Die Informationen Auf Dieser Website Stellen Keine Medizinische Beratung Dar. Wir Verkaufen Nichts. Die Richtigkeit Der Übersetzung Wird Nicht Garantiert. Haftungsausschluss
Alpha/Beta adrenerge AgonistenAufgetaucht
Drogenzusammenfassung
Was ist aufgebraucht?
Ephedrinsulfat ist ein alpha- und beta-adrenergen Agonist und ein noradrenalin-freisetzendes Mittel zur Behandlung klinisch wichtiger niedriger Blutdruck (Hypotonie), das bei der Einstellung einer Anästhesie auftritt.
Was sind Nebenwirkungen von Eild?
Die Nebenwirkungen von Emerphed sind:
- Brechreiz
- Erbrechen
- Schnelle Herzfrequenz
- Herzklopfen
- reaktive Hypertonie
- langsame Herzfrequenz
- Ventrikuläre Ektopiker
- R-R-Variabilität
- Schwindel und
- Unruhe
Suchen Sie medizinische Versorgung oder rufen Sie auf einmal 911 an, wenn Sie die folgenden schwerwiegenden Nebenwirkungen haben:
- Schwerwiegende Augensymptome wie plötzlicher Sehverlust verschwommenes Sehen Tunnel Sehschmerzen oder Schwellungen oder Halos in der Umgebung des Lichts;
- Schwerwiegende Herzsymptome wie schnelle unregelmäßige oder pochende Herzschläge; Flattern in deiner Brust; Kurzatmigkeit; und plötzliche Schwindel -Benommenheit oder ohnmächtig;
- Starke Kopfschmerzen Verwirrung verwirrt Spracharm oder Bein Schwäche Schwierigkeiten beim Verlust der Koordination unstabil sehr steifes Muskeln hoher Fieber problemlos Schwitzen oder Zittern.
Dieses Dokument enthält nicht alle möglichen Nebenwirkungen und andere können auftreten. Wenden Sie sich an Ihren Arzt nach zusätzlichen Informationen zu Nebenwirkungen.
Dosierung für aufgebrauchte
Die Dosis von Eild beträgt 5 mg bis 10 mg, die von intravenösem Bolus verabreicht werden. Zusätzliche Bolus können nach Bedarf verabreicht werden, um eine Gesamtdosis von 50 mg nicht zu überschreiten.
Bei Kindern aufgetaucht
Sicherheit und Effektivität von Patienten bei pädiatrischen Patienten wurde nicht festgestellt.
Mit welchen Drogensubstanzen oder Nahrungsergänzungsmitteln interagieren Eild?
Es können mit anderen Arzneimitteln wie folgt interagieren:
- Oxytocin- und Oxytocic -Medikamente
- Clonidin
- Propofol
- Monoaminoxidase -Inhibitoren (Maois)
- Atropin
- Alpha-adrenerge Antagonisten
- Beta-adrenerge Rezeptorantagonisten
- Reserpin
- Chinidin
- Mephentermine
- Guanethidin
- Rocuronium
- Epiduralanästhesie
- Theophyllin und
- Herzglykoside
Sagen Sie Ihrem Arzt alle Medikamente und Nahrungsergänzungsmittel, die Sie verwenden.
Während der Schwangerschaft und des Stillens aufgetaucht
Sagen Sie Ihrem Arzt, wenn Sie schwanger sind oder vorhaben, schwanger zu werden, bevor Sie Emerphed verwenden. Es ist nicht bekannt, wie es einen Fötus beeinflussen würde. Es ist in der Muttermilch vorhanden. Über die Auswirkungen des Arzneimittels auf das gestillte Kind oder die Auswirkungen des Arzneimittels auf die Milchproduktion sind keine Informationen verfügbar. Wenden Sie sich vor dem Stillen an Ihren Arzt.
Weitere Informationen
Unsere Ephedrin -Sulfat -Injektion für die Nebenwirkungen des Arzneimittelzentrums für intravenöse Gebrauch bietet eine umfassende Übersicht über die verfügbaren Arzneimittelinformationen über die potenziellen Nebenwirkungen bei der Einnahme dieses Medikaments.
Dies ist keine vollständige Liste von Nebenwirkungen, und andere können auftreten. Rufen Sie Ihren Arzt an, um medizinische Beratung zu Nebenwirkungen zu erhalten. Sie können die FDA bei 1-800-FDA-1088 Nebenwirkungen melden.
FDA -Drogeninformationen
- Drogenbeschreibung
- Indikationen
- Nebenwirkungen
- Warnungen
- Überdosis
- Klinische Pharmakologie
- Medikamentenhandbuch
Beschreibung für aufgebrauchte
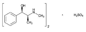
Es ist eine klare farblose sterile Lösung für die intravenöse Injektion. Der chemische Name von Ephedrinsulfat ist Benzenemethanol α- [1- (Methylamino) Ethyl]-[R- (r*S*)]-Sulfat (2: 1) (Salz) und das Molekulargewicht 428,5 g/mol. Die strukturelle Formel ist unten dargestellt:
|
Ephedrinsulfat ist in Wasser frei löslich und Ethanol in Chloroform und im Äther praktisch unlöslich. Jede ML enthält Ephedrinsulfat USP 5 mg (gleichwertig mit 3,8 mg Ephedrinbasis) 0,9% Natriumchlorid USP in Wasser zur Injektion. Der pH wird bei Bedarf mit Natriumhydroxid und/oder Gletscher Essigsäure eingestellt. Der pH -Bereich beträgt 4,5 bis 7,0.
Verwendung für aufgebrauchte
Es sind aufgebrauchte und auftretende PFs für die Behandlung klinisch wichtiger Hypotonie bei der Einstellung der Anästhesie angezeigt.
Dosierung für aufgebrauchte
Allgemeine Anweisungen für Dosierungs- und Verwaltungsanweisungen
- Dies ist eine vorgemischte Formulierung. Vor der Verwendung nicht verdünnen.
- Verwerfen Sie einen ungenutzten Teil von aufgebrauchten oder aufgebrauchten PFs
- Überprüfen Sie parenterale Arzneimittelprodukte visuell auf Partikel und Verfärbungen vor der Verabreichung, wenn Lösung und Behälter dies zulassen.
- Es ist eine klare farblose Lösung. Verwenden Sie nicht, wenn die Lösung nicht klar ist oder wenn Partikel vorhanden sind.
- Die vorgefüllte eindosierte Spritze dürfte bei einem Patienten während eines chirurgischen Eingriffs verwendet werden.
Dosierung für die Behandlung klinisch wichtiger Hypotonie im Rahmen einer Anästhesie
Die empfohlenen Dosierungen für die Behandlung klinisch wichtiger Hypotonie in der Anästhesie sind eine anfängliche Dosis von 5 mg bis 10 mg, die durch intravenöse Bolus verabreicht wird. Verabreichen Sie zusätzliche Boli nach Bedarf, um eine Gesamtdosis von 50 mg nicht zu überschreiten.
- Stellen Sie die Dosierung nach dem Blutdruckziel ein (d. H. Titrieren titrieren).
Anweisungen zur Verwendung von vorgefüllter Spritze
Die ordnungsgemäße Verabreichung der aufgebrauchten PFS-Injektion ist in den folgenden Anweisungen beschrieben. Für jede einzelne Dosis vorgefüllte Spritze:
Abbildung 1
Abbildung 2
Nebenwirkungen von Memantin für Demenz
- Entfernen Sie die Spritze aus dem Tablett und überprüfen Sie, ob es nicht beschädigt oder undicht ist.
- Überprüfen Sie das Arzneimittelprodukt in der Glasspritze auf sichtbare Partikel oder Verfärbungen vor der Verwendung. Entsorgen Sie, wenn Partikel oder Verfärbungen vorhanden sind.
- Entfernen Sie das manipulierende Siegel nicht. Drücken Sie die Kolbenstange leicht hinein, um den Stopper locker zu brechen, während die Spitze noch eingeschaltet ist.
- Halten Sie die Spritze aufrecht auf dem Spritzenfass (C). Nehmen Sie mit der anderen Hand die Kappe (a) und verdrehen Sie die Kappe gegen den Uhrzeigersinn von der Spritzenspitze (siehe Abbildung 1)
- Sobald die Kappe (a) ausgeschaltet ist Abbildung 2 ).
- Die Tippkappe verwerfen.
- Luftblase vertreiben.
- Stellen Sie die Dosis in steriles Material ein (falls zutreffend).
- Schließen Sie die Spritze mit einer geeigneten intravenösen Verbindung an.
- Vor der Injektion stellen Sie sicher, dass die Spritze sicher an die Nadel- oder Bedarfs -Luer -Zugangsvorrichtung (NLAD) angeschlossen ist.
- Drücken Sie die Kolbenstange, um Medikamente zu liefern. Stellen Sie sicher, dass der Druck auf der Kolbenstange während der gesamten Verwaltung aufrechterhalten wird.
- Entfernen Sie die Spritze von NLAD (falls zutreffend) und entsorgen Sie sie in ein angemessenes Behälter.
NOTIZ : Alle Schritte müssen nacheinander ausgeführt werden
- Um die Nadelstabverletzungen zu verhindern, werden die Nadel nicht zusammenfassen, wenn die Nadel mit einer Spritze verbunden ist.
- Spritze nicht sterilisieren
- Verwenden Sie dieses Produkt nicht auf einem sterilen Bereich
- Stellen Sie zu keinem Zeitpunkt keine andere Flüssigkeit in die Spritze ein
- Dieses Produkt ist nur für einzelne Dosis
Wie geliefert
Dosierungsformen und Stärken
Aufgetaucht (Ephedrinsulfat -Injektion) ist eine klare farblose Lösung, die als:
- Ein Einzeldosisfläschchen, das 50 mg/10 ml (5 mg/ml) Ephedrinsulfat enthält, äquivalent zu 38 mg/10 ml (NULL,8 mg/ml) Ephedrinbase.
Aufgetaucht -PFS (Ephedrin -Sulfat -Injektion) ist eine klare farblose Lösung, die als:
- Eine vorgefüllte Spritze mit einer Dosis von 5 ml, die 25 mg/5 ml (5 mg/ml) Ephedrinsulfat enthält, äquivalent zu 19 mg/5 ml (NULL,8 mg/ml) Ephedrin-Base.
- Eine vorgefüllte eindosierte Spritze, die 50 mg/10 ml (5 mg/ml) Ephedrinsulfat enthält, äquivalent zu 38 mg/10 ml (NULL,8 mg/ml) Ephedrinbase.
Lagerung und Handhabung
Aufgetaucht (Ephedrinsulfat-Injektion) ist eine klare farblose Lösung, die als eindosis-Fläschchen verfügbar ist, das 5 mg/ml Ephedrinsulfat enthält, der 3,8 mg/ml Ephedrinbasis entspricht und wie folgt geliefert wird: wie folgt:
| NDC | Präsentation |
| 14789-250-10 | 10 ml ein dosiertes Flächenfläschchen mit klarem Glas; Stärke 50 mg/10 ml (5 mg/ml) |
| 14789-250-10 | 10 ml Fläschchen in einem Karton von 10 verpackt |
Aufgetaucht-PFS (Ephedrinsulfat-Injektion) ist eine klare farblose Lösung, die als eindosis vorgefüllte Spritzen verfügbar ist, die 5 mg/ml Ephedrinsulfat enthalten, die einer Basis von 3,8 mg/ml Ephedrin entsprechen und wie folgt geliefert werden: wie folgt:
| NDC | Präsentation |
| 14789-251-09 | 5 ml Einklares Ein-Dosis-vorgefüllter Spritze; Stärke 25 mg/5 ml (5 mg/ml) |
| 14789-251-10 | 5 ml vorgefüllte Spritzen in einem Karton von 10 verpackt |
| 14789-252-09 | 10 ml ein dosierte vorgefüllte Spritze durch Klarglas; Stärke 50 mg/10 ml (5 mg/ml) |
| 14789-252-10 | 10 ml vorgefüllte Spritzen in einem Karton von 10 verpackt |
Die eindosis vorgefüllten Spritzen, die jeweils mit abnehmbaren Spitzenkappe und Kolbenstangen ausgestattet sind, werden in einem Karton präsentiert.
Aufgetaucht (ephedrine sulfate injection) 50 mg/10 mL (5 mg/mL) and Aufgetaucht-PFS (ephedrine sulfate injection) 50 mg/10 mL (5 mg/mL) and 25 mg/5 mL (5 mg/mL) are not made with natural rubber latex.
Speichern Sie bei 25 ° C (77 ° F); Exkursionen zu 15 ° C bis 30 ° C (59 ° F bis 86 ° F) [siehe USP -kontrollierte Raumtemperatur].
Im Karton bis zum Gebrauch speichern. Nur für einzelne Dosis. Nicht genutzten Teil verwerfen.
Die vorgefüllte eindosierte Spritze dürfte bei einem Patienten während eines chirurgischen Eingriffs verwendet werden.
Hergestellt in Italien für: Nexus Pharmaceuticals LLC 400 Knightsbridge Parkway Lincolnshire IL 60069 USA. Überarbeitet: August 2024
Nebenwirkungen für aufgebrauchte
Die folgenden unerwünschten Reaktionen, die mit der Verwendung von Ephedrinsulfat verbunden sind, wurden in der Literatur identifiziert. Da diese Reaktionen freiwillig aus einer Population unsicherer Größe berichtet werden, ist es nicht immer möglich, ihre Häufigkeit zuverlässig abzuschätzen oder ein kausales Verhältnis zur Arzneimittelexposition herzustellen.
Magen -Darm -Störungen: Übelkeit Erbrechen
Herzerkrankungen: Tachykardie-Palpitationen (Thumping Heart) Reaktive Hypertonie Bradykardie ventrikuläre Ektopics R-R-Variabilität
Störungen des Nervensystems: Schwindel
Psychiatrische Störungen: Unruhe
Wechselwirkungen mit Arzneimitteln für die Entstehung
| Interaktionen, die den Pressoreffekt verstärken | |
| Oxytocin- und Oxytocic -Medikamente | |
| Klinische Wirkung: | Eine schwerwiegende postpartale Hypertonie wurde bei Patienten beschrieben, die sowohl einen Vasopressor (d. H. Methoxamin -Phenylephrinephedrin) als auch einen Oxytocic (d. H. Methylergonovin Ergonovin) erhielten. Einige dieser Patienten hatten einen Schlaganfall. |
| Intervention: | Überwachen Sie sorgfältig den Blutdruck von Personen, die sowohl aufgebrauchte als auch aufgetauchte PFs und einen Oxytocic erhalten haben |
| Klonidinpropofol -Monoamin -Oxidase -Inhibitoren (Maois) Atropin | |
| Klinische Wirkung: | Diese Medikamente erweitern die Pressorwirkung von Ephedrin. |
| Intervention: | Überwachen Sie sorgfältig den Blutdruck von Personen, die sowohl aufgebrauchte als auch aufgetauchte PFs und eines dieser Medikamente erhalten haben. |
| Medikamente, die den Pressor -Effekt antagonisieren | |
| α-adrenerge Antagonisten β-adrenerge Rezeptor-Antagonisten Reserpin Chinidin Mephentermine | |
| Klinische Wirkung: | Diese Medikamente verhalten die Pressewirkung von Ephedrin. |
| Intervention: | Überwachen Sie sorgfältig den Blutdruck von Personen, die sowohl aufgebrauchte als auch aufgetauchte PFs und eines dieser Medikamente erhalten haben |
| Andere Wechselwirkungen mit Arzneimitteln | |
| Guanethidin | |
| Klinische Wirkung: | Aufgetaucht and Aufgetaucht-PFS may inhibit the neuron blockage produced by Guanethidin resulting in loss of antihypertensive effectiveness. |
| Intervention: | Der Kliniker sollte den Patienten auf die Blutpressorantwort überwachen und die Dosierung oder die Auswahl des Drucks entsprechend einstellen. |
| Rocuronium | |
| Klinische Wirkung: | Aufgetaucht and Aufgetaucht-PFS may reduce the onset time of neuromuscular blockade when used for intubation with Rocuronium if administered simultaneously with anesthetic induction |
| Intervention: | Achten Sie auf diese potenzielle Interaktion. Es sind keine Behandlung oder andere Interventionen erforderlich. |
| Epiduralanästhesie | |
| Klinische Wirkung: | Aufgetaucht and Aufgetaucht-PFS may decrease the efficacy of epidural blockade by hastening the regression of sensory analgesia. |
| Intervention: | Überwachen und behandeln Sie den Patienten gemäß der klinischen Praxis. |
| Theophyllin | |
| Klinische Wirkung: | Die gleichzeitige Verwendung von aufgebrauchten und aufgewandten PFs kann die Häufigkeit von Übelkeit und Schlaflosigkeit erhöhen. |
| Intervention : | Überwachen Sie den Patienten auf die Verschlechterung der Symptome und behandeln Sie die Symptome gemäß der klinischen Praxis. |
| Herzglykoside | |
| Klinische Wirkung: | Das Anenden von Eildern und aufgetauchten PFs mit einem Herzglykosid wie Digitalis kann die Möglichkeit von Arrhythmien erhöhen. |
| Intervention: | Überwachen Sie die Patienten sorgfältig auf Herzglykosiden, denen ebenfalls Ephedrin verabreicht wird. |
Warnungen für aufgetaucht
Eingeschlossen als Teil der 'VORSICHTSMASSNAHMEN' Abschnitt
Vorsichtsmaßnahmen für aufgebrauchte
Pressorwirkung mit begleitenden Oxytocic -Medikamenten
Eine schwerwiegende postpartale Hypertonie wurde bei Patienten beschrieben, die sowohl einen Vasopressor (d. H. Methoxamin -Phenylephrin -Ephedrin) als auch einen Oxytocic (d. H. Methylergonovin Ergonovin) erhielten [siehe Wechselwirkungen mit Arzneimitteln ]. Einige dieser Patienten hatten einen Schlaganfall. Überwachen Sie sorgfältig den Blutdruck von Personen, die sowohl aufgebrauchte als auch aufgetauchte PFs und einen Oxytocic erhalten haben.
Toleranz und Tachyphylaxe
Daten zeigen, dass eine wiederholte Verabreichung von Ephedrin zu einer Tachyphylaxie führen kann. Achten Sie auf diese Möglichkeit bei der Behandlung von Anästhesie-induzierter Hypotonie mit aufgebrauchtem oder aufgetauchtem PFS und seien Sie mit einem alternativen Pressor vorbereitet, um eine inakzeptable Reaktionsfähigkeit zu mildern.
Risiko einer Bluthochdruck bei prophylaktisch verwendet
Bei Verwendung zur Vorbeugung von Hypotonie -Ephedrin wurde mit einer erhöhten Inzidenz von Hypertonie in Verbindung gebracht, als wenn Ephedrin zur Behandlung von Hypotonie verwendet wird.
Nichtklinische Toxikologie
Karzinogenese -Mutagenese -Beeinträchtigung der Fruchtbarkeit
Karzinogenese
Zweijährige Fütterungsstudien an Ratten und Mäusen, die im Rahmen des National Toxicology Program (NTP) durchgeführt wurden 2 Basis jeweils).
Mutagenese
Ephedrinsulfat testet negativ in der in vitro Bakterieller Reverse -Mutationstest die in vitro Maus -Lymphom -Assay die in vitro Schwester Chromatid tauschen die in vitro Chromosomal -Aberrationstest und der vergeblich Rattenknochenmark -Mikronukleus -Assay.
Beeinträchtigung der Fruchtbarkeit
In einer Studie, in der männliche Ratten männliche Ratten intravenösen Bolusdosen von 0 2 10 oder 60 mg/kg Ephedrinensulfat (bis zu 12 -fach die maximal empfohlene empfohlene menschliche Dosis von 50 mg basierend auf der Körperfläche), 28 Tage vor dem Paar und der Steuhelme und Frauen wurden, wurden bei der Müde, die mit der Gestation wurden, wurden die Bolus -Dosen von 0 2 10 oder 60 mg/kg -Ephedrinsulfat (bis zu 12 -mal die maximal empfohlene menschliche dosi) verabreicht.
Verwendung in bestimmten Populationen
Schwangerschaft
Risikozusammenfassung
Verfügbare Daten aus randomisierten Studien Fallreihen und Berichte über Ephedrinsulfatgebrauch bei schwangeren Frauen haben kein medikamentenassoziiertes Risiko von schwerwiegenden Geburtsfehlern Fehlgeburten oder unerwünschten Ergebnissen mütterlicher oder fetaler Ergebnisse identifiziert. Es gibt jedoch klinische Überlegungen aufgrund der zugrunde liegenden Bedingungen [siehe Klinische Überlegungen ]. In tierischen Fortpflanzungsstudien wurde das Überleben des Fötus verringert und das Körpergewicht des Fötus wurde in Gegenwart einer mütterlichen Toxizität beobachtet, nachdem normotensive schwangere Ratten 60 mg/kg intravenöse Ephedrinsulfat (12 -mal die maximal empfohlene menschliche Dosis (MRHD) von 50 mg/Tag) verabreicht wurden. Es wurden keine Missbildungen oder embryofetalen Nebenwirkungen beobachtet, wenn schwangere Ratten oder Kaninchen während der Organogenese bei den Dosen 1,9 bzw. 7,7 -mal das MRHD mit intravenösen Bolusdosen von Ephedrinensulfat behandelt wurden [siehe Daten ].
Das geschätzte Hintergrundrisiko für schwere Geburtsfehler und Fehlgeburt für die angegebene Bevölkerung ist unbekannt. Alle Schwangerschaften haben ein Hintergrundrisiko für einen Verlust von Geburtsfehlern oder andere nachteilige Ergebnisse. In der US -allgemeinen Bevölkerung beträgt das geschätzte Hintergrundrisiko für größere Geburtsfehler und eine Fehlgeburt bei klinisch anerkannten Schwangerschaften 2 bis 4% bzw. 15 bis 20%.
Klinische Überlegungen
Krankheitsassoziiertes mütterliches und/oder embryofetales Risiko
Unbehandelte Hypotonie im Zusammenhang mit der Wirbelsäulenanästhesie für den Kaiserschnitt ist mit einer Zunahme der Übelkeit und Erbrechen mütterlicherseits verbunden. Eine Abnahme des Uterusblutflusses aufgrund einer mütterlichen Hypotonie kann zu einer fetalen Bradykardie und Azidose führen.
Nebenwirkungen von fetalen/Neugeborenen
In der Literatur wurden Fälle einer potenziellen metabolischen Azidose bei Neugeborenen bei der Entbindung mit Ephedrin -Exposition bei Müttern berichtet. Diese Berichte beschreiben zum Zeitpunkt der Entbindung einen pH -Wert von ≤ 7,2 Nabelarterienarterie [siehe Klinische Pharmakologie ]. Monitoring of the newborn for signs and symptoms of metabolic acidosis may be required. Monitoring of infant’s acid-base status is warranted to ensure that an episode of acidosis is acute and reversible.
Daten
Tierdaten
Verringerte fetale Körpergewichte wurden beobachtet, wenn schwangere Ratten intravenöse Bolusdosen von 60 mg/kg Ephedrinensulfat (12-fach die maximal empfohlene menschliche Dosis (MRHD) von 50 mg basierend auf der Körperoberfläche) vom Schwangerschaftstag 6-17 verabreicht wurden. Diese Dosis war mit Anzeichen einer mütterlichen Toxizität verbunden (verringerte Körpergewicht von Dämmen und abnormalen Kopfbewegungen). Bei dieser Dosis wurden keine Missbildungen oder Todesfälle fetal festgestellt. Bei 10 mg/kg (NULL,9 -fach das MRHD von 50 mg) wurden keine Auswirkungen auf das Körpergewicht des Fötus festgestellt.
Bei schwangeren intravenösen Bolusdosen von bis zu 20 mg/kg Ephedrinsulfat (NULL,7-fache der maximal empfohlenen maximal empfohlenen menschlichen Dosis (MRHD) von 50 mg basierend auf der Körperoberfläche) vom Gestationstag 6-20 wurden in intravenösen Bolusdosen von bis zu 20 mg/kg Ephedrinsulfat (NULL,7-fache der maximal empfohlene maximal empfohlene menschliche dosis (mrHD) von 50 mg) keine Fehlbildungen oder Embryo-fetale Toxizität festgestellt. Diese Dosis war mit den erwarteten pharmakologischen mütterlichen Effekten verbunden (erhöhte Atemfrequenzpiloerektion).
Verringerte fetale Überlebens- und Körpergewichte in Gegenwart einer mütterlichen Toxizität (erhöhte Mortalität) wurden festgestellt, wenn schwangere Dämme intravenöse Bolusdosen von 60 mg/kg Epinephrinsulfat verabreicht wurden (ungefähr das 12 -fache der MRHD basierend auf der Körperfläche von GD 6 bis zum Laktationstag 20.
Stillzeit
Risikozusammenfassung
Ein einzelner veröffentlichter Fallbericht zeigt, dass Ephedrin in der Muttermilch vorhanden ist. Es sind jedoch keine Informationen über die Auswirkungen des Arzneimittels auf das gestillte Kind oder die Auswirkungen des Arzneimittels auf die Milchproduktion verfügbar. Die Entwicklungs- und gesundheitlichen Vorteile des Stillens sollten zusammen mit dem klinischen Bedürfnis der Mutter nach aufgebrauchtem oder neuem PFS und potenziellen nachteiligen Auswirkungen des gestillten Kindes aus aufgebrauchten und aufgebrauchten PFs oder aus dem zugrunde liegenden mütterlichen Zustand auf das gestillte Kind berücksichtigt werden.
Pädiatrische Verwendung
Sicherheit und Wirksamkeit von aufgebrauchten und auftretenden PFs bei pädiatrischen Patienten wurden nicht festgestellt.
TIERTIGOGENDE DATEN
In einer Studie, in der jungen Ratten intravenösen Bolusdosen von 2 10 oder 60 mg/kg Ephedrinensulfat täglich vom postnatalen Tag 35 bis 56 verabreicht wurden, wurde bei der hohen Dosis von 60 mg/kg eine erhöhte Inzidenz der Mortalität festgestellt. Der No-Adverse-Effect-Level betrug 10 mg/kg (ungefähr das 1,9-fache einer maximalen täglichen Dosis von 50 mg in einer 60-kg-Person basierend auf der Körperoberfläche)
Geriatrische Verwendung
Klinische Studien von Ephedrin umfassten nicht eine ausreichende Anzahl von Probanden im Alter von 65 Jahren und mehr, um festzustellen, ob sie anders als jüngere Probanden reagieren. Andere gemeldete klinische Erfahrung haben keine Unterschiede in den Antworten zwischen älteren und jüngeren Patienten identifiziert. Im Allgemeinen sollte die Dosisauswahl für einen älteren Patienten vorsichtig sein, normalerweise am unteren Ende des Dosierungsbereichs, der die größere Häufigkeit einer verringerten Nieren- oder Herzfunktion von Lebern und einer gleichzeitigen Erkrankung oder einer anderen medikamentösen Therapie widerspiegelt.
Es ist bekannt, dass dieses Medikament von der Niere wesentlich ausgeschieden wird, und das Risiko von Nebenwirkungen auf dieses Medikament kann bei Patienten mit beeinträchtigter Nierenfunktion höher sein. Da ältere Patienten mit größerer Wahrscheinlichkeit eine verminderte Nierenfunktionspflege haben, sollten die Selektion der Dosis durchgeführt werden, und es kann nützlich sein, die Nierenfunktion zu überwachen.
Nierenbehinderung
Ephedrin und sein Metaboliten werden im Urin ausgeschieden. Bei Patienten mit Nierenbeeinträchtigungsausscheidung von Ephedrin wird wahrscheinlich mit einer entsprechenden Erhöhung der Eliminierungs Halbwertszeit beeinflusst, was zu einer langsamen Eliminierung von Ephedrin und folglich verlängerten pharmakologischen Effekt und potenziell Nebenwirkungen führt. Überwachen Sie Patienten mit Nierenbeeinträchtigung nach der anfänglichen Bolusdosis für unerwünschte Ereignisse sorgfältig.
Überdosierungsinformationen für aufgebrachte
Überdosis von aufgebrauchten und aufgewachsenen PFs können einen raschen Anstieg des Blutdrucks verursachen. Bei einer Überdosierung wird eine sorgfältige Überwachung des Blutdrucks empfohlen. Wenn der Blutdruck weiterhin zu einem inakzeptablen Niveau steigt, kann nach Ermessen des Klinikers parenterale blutdrucksenkende Wirkstoffe verabreicht werden.
Kontraindikationen für aufgebrauchte
Keiner
Klinische Pharmakologie for Emerphed
Wirkungsmechanismus
Ephedrinsulfat ist ein sympathomimetisches Amin, das direkt als Agonist bei α- und β-adrenergen Rezeptoren wirkt und indirekt die Freisetzung von Noradrenalin aus sympathischen Neuronen verursacht. Pressoreffekte durch direkte Aktivierung von Alpha- und Beta-adrenergen Rezeptoren werden durch Erhöhungen des Herzdrückungs-Herzproduktion und des peripheren Widerstands vermittelt. Die indirekte adrenerge Stimulation wird durch Noradrenalinfreisetzung durch sympathische Nerven verursacht.
Pharmakodynamik
Ephedrin stimuliert die Herzfrequenz und den Herzzeitvolumen und erhöht variabel die periphere Resistenz; Infolgedessen erhöht Ephedrin normalerweise den Blutdruck. Die Stimulation der α-adrenergen Rezeptoren von glatten Muskelzellen in der Blasenbase kann den Widerstand gegen den Abfluss von Urin erhöhen. Die Aktivierung von β-adrenergen Rezeptoren in der Lunge fördert die Bronchodilatation.
Der allgemeine kardiovaskuläre Effekt von Ephedrin ist das Ergebnis eines Gleichgewichts bei α-1-Adrenozeptor-vermittelten Vasokonstriktion β-2-Adrenozeptor-vermittelten Vasokonstriktion und β-2-Adrenozeptor-vermittelten Vasodilatation. Die Stimulation der β-1-Adrenozeptoren führt zu einer positiven Inotrop- und Chronotrope-Wirkung. Tachyphylaxe an die Pressoreffekte von Ephedrin kann bei wiederholter Verabreichung auftreten [siehe Warnungen und Vorsichtsmaßnahmen ].
Pharmakokinetik
Veröffentlichungen, die die Pharmakokinetik der oralen Verabreichung von (-)-Ephedrin untersuchen, unterstützen, dass (-)-Ephedrin in Norephedrin metabolisiert wird. Der Stoffwechselweg ist jedoch unbekannt. Sowohl das Elternmedikament als auch der Metaboliten werden im Urin ausgeschieden. Begrenzte Daten nach IV -Verabreichung von Ephedrin unterstützen ähnliche Beobachtungen der Harnausscheidung von Arzneimittel und Metaboliten. Die Plasma-Eliminierungs-Halbwertszeit von Ephedrin nach oraler Verabreichung betrug etwa 6 Stunden.
Ephedrine überquert die Plazentasperre [siehe Verwendung in bestimmten Populationen ].
Klinische Studien
Die Beweise für die Wirksamkeit von aufgebrauchtem / neuem PFS (Ephedrin-Sulfat-Injektion) stammen aus der veröffentlichten Literatur. In 14 Studien, darunter 9, in denen Ephedrine bei schwangeren Frauen unterzogen wurde, wurde eine Erhöhung des Blutdrucks nach der Verabreichung von Ephedrin während der Kaiserschnittabgabe 1 an einer Studie zur nicht-obstetischen Operation unter neuraxiale Anästhesie und 4 Studien bei Patienten unter der Operation unter allästhesia eingesetzt. Es wurde gezeigt, dass Ephedrin bei Verabreichung als Bolusdosis nach der Entwicklung von Hypotonie während der Anästhesie den systolischen und mittleren Blutdruck erhöht.
Patienteninformationen für aufgebrachte
Keine Informationen zur Verfügung gestellt. Bitte beachten Sie die Warnungen und Vorsichtsmaßnahmen Abschnitt.