Die Informationen Auf Dieser Website Stellen Keine Medizinische Beratung Dar. Wir Verkaufen Nichts. Die Richtigkeit Der Übersetzung Wird Nicht Garantiert. Haftungsausschluss
Cyclosporin -Ophthalmic
Bleibt übrig
Drogenzusammenfassung
Was ist Restasis?
Restasis (Cyclosporin -Ophthalmic -Emulsion) ist ein immunsuppressives Mittel zur Behandlung von chronischem trockenem Auge, das durch Entzündungen verursacht werden kann.
Was sind Nebenwirkungen von Restasis?
Bleibt übrig
- Starke Augenschmerzen brennen oder stechen nach dem Einsetzen der Tropfen
- Geschwollene Augenlider und
- Schwellung Rötung schwere Beschwerdenskruste oder Entwässerung aus dem Auge
Holen Sie sich sofort medizinische Hilfe, wenn Sie eines der oben aufgeführten Symptome haben.
Häufige Nebenwirkungen der Restasis umfassen:
- Augenbrennen
- Rötung
- zerreißen
- Entladung
- Schmerz
- Juckreiz
- stechen
- visuell verschwommen oder
- Ich fühle mich, als ob etwas im Auge ist.
Es wird nicht erwartet, dass schwerwiegende Nebenwirkungen während der Behandlung mit Restasis auftreten.
Suchen Sie medizinische Versorgung oder rufen Sie auf einmal 911 an, wenn Sie die folgenden schwerwiegenden Nebenwirkungen haben:
- Schwerwiegende Augensymptome wie plötzlicher Sehverlust verschwommenes Sehen Tunnel Sehschmerzen oder Schwellungen oder Halos in der Umgebung des Lichts;
- Schwerwiegende Herzsymptome wie schnelle unregelmäßige oder pochende Herzschläge; Flattern in deiner Brust; Kurzatmigkeit; und plötzlich Schwindel Benommenheit oder ohnmächtig;
- Starke Kopfschmerzen Verwirrung verwirrt Spracharm oder Bein Schwäche Schwierigkeiten beim Verlust der Koordination unstabil sehr steifes Muskeln hoher Fieber problemlos Schwitzen oder Zittern.
Dieses Dokument enthält nicht alle möglichen Nebenwirkungen und andere können auftreten. Wenden Sie sich an Ihren Arzt nach zusätzlichen Informationen zu Nebenwirkungen.
Dosierung für Restasis
Restasis ist ein Augentropfen, der in Einzelgebrauch-Fläschchen dosiert ist, die zweimal/Tag oder nach Anweisung verwendet werden.
Welche Drogensubstanzen oder Nahrungsergänzungsmittel interagieren mit Restasis?
Verwenden Sie während der Behandlung mit Restasien keine anderen Augentropfen oder Medikamente, sofern Ihr Arzt nicht anders angegeben. Verwenden Sie keine Restasis, während Sie Kontaktlinsen tragen.
Restase während der Schwangerschaft oder Stillen
Es ist nicht bekannt, ob Restasis für einen Fötus schädlich sein wird. Sprechen Sie mit Ihrem Arzt, wenn Sie schwanger sind oder während der Behandlung schwanger werden können. Es ist nicht bekannt, ob Restase in die Muttermilch übergeht. Sprechen Sie mit Ihrem Arzt, wenn Sie stillen oder planen, zu stillen.
Weitere Informationen
Unsere RESTASIS -Nebenwirkungen Arzneimittelzentrum bietet einen umfassenden Überblick über die verfügbaren Arzneimittelinformationen über die potenziellen Nebenwirkungen bei der Einnahme dieses Medikaments.
FDA -Drogeninformationen
- Drogenbeschreibung
- Indikationen
- Nebenwirkungen
- Warnungen
- Überdosis
- Klinische Pharmakologie
- Medikamentenhandbuch
Beschreibung für Restasis
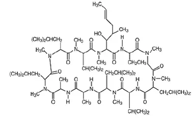
Restasis® (Cyclosporin-ophthalmische Emulsion) 0,05% enthält einen topischen Calcineurin-Inhibitor-Immunsuppressivum mit entzündungshemmenden Wirkungen. Cyclosporines chemischer Name ist Cyclo [[(e)-(2S3R4R) -3hydroxy-4-methyl-2- (methylamino) -6-Octenoyl] -l-2-Aminobutyryl-n-methylglycyl-n-methyl -L-leucyl-l-Valyln-methyl-l-l-l-leucyl-l-alanyl-d-alanyl-n-methyl-l-l-l-leucyl-n-methyl-l-l-l-methyl-l-valyl] Und es hat die folgende Struktur:
Strukturformel
|
Formel : C 62 H 111 N 11 O 12 Mol. Wt .: 1202.6
Cyclosporin ist ein feines weißes Pulver. Restasis® erscheint als weißer undurchsichtiger bis leicht durchscheinender homogener Emulsion. Es hat eine Osmolalität von 230 bis 320 Mosmol/kg und einen pH-Wert von 6,5 bis 8,0. Jede ML von Restasis® Ophthalmic Emulsion enthält: aktiv: Cyclosporin 0,05%. Inaktive: Glycerin; Rizinusöl; Polysorbate 80; Carbomer -Copolymer Typ A; gereinigtes Wasser; und Natriumhydroxid zum Einstellen von pH.
Verwendung für Restasis
Restasis® Ophthalmic Emulsion ist angezeigt, um die Tränenproduktion bei Patienten zu erhöhen, deren Tränenproduktion aufgrund von Augenentzündungen im Zusammenhang mit der SICCA von Keratokonjunktivitis unterdrückt wird. Eine erhöhte Tränenproduktion wurde bei Patienten nicht beobachtet, die derzeit topische entzündungshemmende Medikamente einnahmen oder mit Pünktlichkeitsstopfen unter Verwendung von Pünktlichkeitsstopfen einnahmen.
Dosierung für Restasis
Die Einheit -Dosisfläschchen einige Male umkehren, um vor der Verwendung eine gleichmäßige weiße undurchsichtige Emulsion zu erhalten. Geben Sie einen Tropfen Restasis® Ophthalmic Emulsion zweimal täglich in jedem Auge ungefähr 12 Stunden voneinander ab. Restasis® kann gleichzeitig mit Schmierstoff-Augentropfen verwendet werden, die ein 15-minütiges Intervall zwischen den Produkten ermöglichen. Entfernen Sie die Fläschchen unmittelbar nach dem Gebrauch.
Wie geliefert
Dosierungsformen und Stärken
Ophthalmische Emulsion, die Cyclosporin 0,5 mg/ml enthält
Lagerung und Handhabung
Restasis® Ophthalmic Emulsion ist in sterilen konservativen Einwegfläschchen verpackt. Jedes Fläschchen enthält 0,4 ml Füllen Sie ein 0,9 -ml -LDPE -Fläschchen; 30 oder 60 Fläschchen werden in einem Polypropylenschale mit einem aluminiumschälbaren Deckel verpackt. Der gesamte Inhalt jedes Tabletts (30 Fläschchen oder 60 Fläschchen) muss intakt abgegeben werden.
30 Fläschchen 0,4 ml jeweils - NDC 0023-9163-30
60 Fläschchen 0,4 ml jeweils - NDC 0023-9163-60
Lagerung
Auf 15 ° -25 ° C (59 ° -77 ° F) speichern.
Allergan. Irvine CA 92612 USA. Siehe www.allergan.com/patents. Überarbeitet: 2017
Nebenwirkungen für die Restase
Die folgenden schwerwiegenden Nebenwirkungen werden an anderer Stelle in der Kennzeichnung beschrieben:
- Potenzial für Augenverletzungen und Kontaminationen [siehe Warnungen und VORSICHTSMASSNAHMEN ]
Klinische Studien Erfahrung
Da klinische Studien unter stark unterschiedlichen Bedingungen durchgeführt werden, die in den klinischen Studien eines Arzneimittels beobachtet werden, können in den klinischen Studien eines anderen Arzneimittels nicht direkt mit den Raten verglichen werden und spiegeln möglicherweise nicht die in der Praxis beobachteten Raten wider.
In klinischen Studien war die häufigste nachteilige Reaktion nach Verwendung von Restasis® -Verbrennung (17%).
Andere Reaktionen, die in 1% bis 5% der Patienten berichteten, umfassten Konjunktivalhyperämie -Entladung von Epiphora -Augenschmerzen Fremdkörperempfindungen Pruritus -Stechen und Sehstörungen (am häufigsten verschwommen).
Nachmarkterfahrung
Die folgenden nachteiligen Reaktionen wurden während der Verwendung von Restasis® nach der Genehmigung identifiziert. Da diese Reaktionen freiwillig aus einer Population unsicherer Größe berichtet werden, ist es nicht immer möglich, ihre Häufigkeit zuverlässig abzuschätzen oder ein kausales Verhältnis zur Arzneimittelexposition herzustellen.
Bezeichnete Reaktionen haben: Überempfindlichkeit (einschließlich Augenschwellungen Urtikaria seltene Fälle von schwerem Angioödem -Gesichtsschwellungszungenschwellungen -Rachenödemen und Dyspnoe); und oberflächliche Verletzung des Auges (von der Fläschchenspitze, die das Auge während der Verabreichung berührt).
Wechselwirkungen zwischen Arzneimitteln für die Restase
Keine Informationen zur Verfügung gestellt.
Warnungen vor Restasis
Eingeschlossen als Teil der VORSICHTSMASSNAHMEN Abschnitt.
Vorsichtsmaßnahmen für Restasis
Potential für Augenverletzungen und Kontaminationen
Achten Sie darauf, die Fläschchenspitze nicht an Ihrem Auge oder anderen Oberflächen zu berühren, um das Potenzial für Augenverletzungen und Kontaminationen zu vermeiden.
Verwendung mit Kontaktlinsen
Restasis® sollte beim Tragen von Kontaktlinsen nicht verabreicht werden. Patienten mit verminderter Tränenproduktion sollten in der Regel keine Kontaktlinsen tragen. Wenn Kontaktlinsen getragen werden, sollten sie vor der Verabreichung der Emulsion entfernt werden. Die Objektive können 15 Minuten nach Verabreichung von Restasis® Ophthalmic Emulsion wieder eingebaut werden.
Nichtklinische Toxikologie
Karzinogenese -Mutagenese -Beeinträchtigung der Fruchtbarkeit
Karzinogenese
Systemische Karzinogenitätsstudien wurden bei männlichen und weiblichen Mäusen und Ratten durchgeführt. In der 78-wöchigen oralen (Diät-) Mausstudie in Dosen von 1 4 und 16 mg/kg/Tag wurde ein statistisch signifikanter Trend für lymphozytische Lymphome bei Frauen gefunden, und die Inzidenz von hepatozellulären Karzinomen bei Männern mit mittlerer Dosis überstieg den Kontrollwert erheblich.
In der 24-monatigen oralen (Diät-) Rattenstudie, die mit 0,5 2 und 8 mg/kg/Tag Pankreas-Inselzelladenomen durchgeführt wurde, überschritt die Adenome der Kontrollrate im niedrigen Dosisniveau signifikant. Die hepatozellulären Karzinome und die Pankreas -Inselzelladenome waren nicht dosisbezogen. Die niedrigen Dosen bei Mäusen und Ratten sind ungefähr 80 -mal höher (normalisiert auf die Körperoberfläche) als die tägliche empfohlene menschliche Dosis eines Tropfens (ungefähr 28 mcl) von 0,05% Restasis® zweimal täglich in jedes Auge einer 60 -kg -Person (NULL,001 mg/kg/Tag) vorausgesetzt, dass die gesamte Dosis absorbiert wird.
Mutagenese
Cyclosporin wurde im AMES-Test nicht mutagen/genotoxisch festgestellt. Der V79-HGPRT-Test den Mikronukleus-Test bei Mäusen und chinesischen Hamstern Die Chromosom-Aberrationstests in chinesischen Hamster-Knochenmärrows Der Maus-dominante letale Assay und der DNA-Reparaturtest bei Sperm-Mäusen von behandelten Mäusen. Eine Studie zur Analyse der Induktion von Schwester Chromatid Exchange (SCE) durch Cyclosporin unter Verwendung menschlicher Lymphozyten in vitro gab Hinweise auf eine positive Wirkung (d. H. Induktion von SCE).
Beeinträchtigung der Fruchtbarkeit
In Studien an männlichen und weiblichen Ratten, die orale Dosen von Cyclosporin von bis zu 15 mg/kg/Tag (ungefähr 2000 -mal die tägliche Dosis von 0,001 mg/kg/Tag normalisiert auf die Körperoberfläche normalisiert) für 9 Wochen (männlich) und 2 Wochen (weiblich) vor dem Paarungsvorkommen, wurde keine Beeinträchtigung der Fruchtbarkeit nachgewiesen.
Verwendung in bestimmten Populationen
Schwangerschaft
Risikozusammenfassung
Die klinische Verabreichung von Cyclosporin -Ophthalmic -Emulsion 0,05% wird nach der topischen Augenverabreichung nicht systemisch nachgewiesen [siehe Klinische Pharmakologie ] und es wird nicht erwartet, dass der Gebrauch von Müttern zu einer Exposition des Arzneimittels fetal ist. Die orale Verabreichung von Cyclosporin gegenüber schwangeren Ratten oder Kaninchen produzierte keine Teratogenität bei klinisch relevanten Dosen [siehe Daten ].
Daten
Tierdaten
Bei maternal toxischen Dosen (30 mg/kg/Tag bei Ratten und 100 mg/kg/Tag bei Kaninchen) war die orale Cyclosporin-Lösung (USP) teratogen, was durch erhöhte Vor- und postnatale Mortalität angezeigt wurde und die fetale Gewichtsmortalität und Skelett-Reichweite reduzierte. Diese Dosen (normalisiert auf die Körperoberfläche) sind 5000 bzw. 32000 -mal höher als die tägliche empfohlene menschliche Dosis eines Tropfens (ungefähr 28 mCl) von Cyclosporin -Ophthalmolen -Emulsion 0,05% zweimal täglich in jedes Auge einer 60 kg -Person (NULL,001 mg/kg/Tag), vorausgesetzt, dass die gesamte Dosis absorbiert wird. Bei Ratten oder Kaninchen, die während der Organogenese bei oralen Dosen von bis zu 17 mg/kg/Tag bzw. 30 mg/kg/Tag Cyclosporin erhielten, wurden keine Anzeichen für eine Embryofetaltoxizität beobachtet. Diese Dosen bei Ratten und Kaninchen sind ungefähr 3000 bzw. 10000 -mal höher als die täglich empfohlene menschliche Dosis. Eine orale Dosis von 45 mg/kg/Tag Cyclosporin, die Ratten ab Tag 15 der Schwangerschaft bis zum 21. Tag nach der Geburt verabreicht wurde, erzeugte mütterliche Toxizität und eine Zunahme der postnatalen Mortalität bei Nachkommen. Diese Dosis ist 7000 -mal höher als die tägliche empfohlene menschliche Dosis. Bei oralen Dosen von bis zu 15 mg/kg/Tag wurden keine nachteiligen Auswirkungen bei Dämmen oder Nachkommen beobachtet (2000 -mal höher als die tägliche empfohlene menschliche Dosis).
Stillzeit
Risikozusammenfassung
Es ist bekannt, dass Cyclosporin nach systemischer Verabreichung in der Muttermilch auftritt, aber ihre Anwesenheit in der Muttermilch nach topischer Behandlung wurde nicht untersucht. Obwohl die Blutkonzentrationen nach der topischen Verabreichung der Restasis® Ophthalmic Emulsion nicht nachweisbar sind [siehe Klinische Pharmakologie ] Vorsicht werden gewarnt, wenn Restasis® einer stillenden Frau verabreicht wird. Die Entwicklungs- und gesundheitlichen Vorteile des Stillens sollten zusammen mit dem klinischen Bedürfnis der Mutter nach Restasis® und potenziellen nachteiligen Auswirkungen auf das gestillte Kind aus Cyclosporin berücksichtigt werden.
Pädiatrische Verwendung
Sicherheit und Wirksamkeit wurden bei pädiatrischen Patienten unter dem Alter von 16 Jahren nicht festgelegt.
Geriatrische Verwendung
Zwischen älteren und jüngeren Patienten wurde kein Gesamtunterschied in der Sicherheit oder Wirksamkeit beobachtet.
Warnungen vor Restasis
Eingeschlossen als Teil der VORSICHTSMASSNAHMEN Abschnitt.
Vorsichtsmaßnahmen für Restasis
Potential für Augenverletzungen und Kontaminationen
Achten Sie darauf, die Flaschenspitze nicht mit Ihrem Auge oder anderen Oberflächen zu berühren, um das Potenzial für Augenverletzungen und Kontaminationen zu vermeiden.
Verwendung mit Kontaktlinsen
Restasis multidose ™ sollte beim Tragen von Kontaktlinsen nicht verabreicht werden. Patienten mit verminderter Tränenproduktion sollten in der Regel keine Kontaktlinsen tragen. Wenn Kontaktlinsen getragen werden, sollten sie vor der Verabreichung der Emulsion entfernt werden. Die Objektive können 15 Minuten nach Verabreichung von Restasis Multidose ™ Ophthalmic Emulsion wieder eingebaut werden.
Patientenberatungsinformationen
Umgang mit dem Behälter
Raten Sie den Patienten, die Flaschenspitze nicht das Auge oder eine Oberfläche zu berühren, da dies die Emulsion kontaminieren kann. Raten Sie den Patienten, die Flaschenspitze nicht mit ihrem Auge zu berühren, um das Augepotential zu vermeiden [siehe Warnungen und VORSICHTSMASSNAHMEN ].
Verwendung mit Kontaktlinsen
Restasis multidose ™ sollte beim Tragen von Kontaktlinsen nicht verabreicht werden. Patienten mit verminderter Tränenproduktion sollten in der Regel keine Kontaktlinsen tragen. Beraten Sie den Patienten, dass sie vor der Verabreichung der Emulsion entfernt werden sollten, wenn Kontaktlinsen getragen werden. Die Objektive können 15 Minuten nach Verabreichung von Restasis Multidose ™ Ophthalmic Emulsion wieder eingebaut werden [siehe Warnungen und VORSICHTSMASSNAHMEN ].
Verwaltung
Beraten Sie den Patienten, die Anweisungen für die Verwendung für detaillierte Erstanweisungen zu lesen.
Nichtklinische Toxikologie
Karzinogenese -Mutagenese -Beeinträchtigung der Fruchtbarkeit
Karzinogenese
Systemische Karzinogenitätsstudien wurden bei männlichen und weiblichen Mäusen und Ratten durchgeführt. In der 78-wöchigen oralen (Diät-) Mausstudie in Dosen von 1 4 und 16 mg/kg/Tag wurde ein statistisch signifikanter Trend für lymphozytische Lymphome bei Frauen gefunden, und die Inzidenz von hepatozellulären Karzinomen bei Männern mit mittlerer Dosis überstieg den Kontrollwert erheblich.
In der 24-monatigen oralen (Diät-) Rattenstudie, die mit 0,5 2 und 8 mg/kg/Tag Pankreas-Inselzelladenomen durchgeführt wurde, überschritt die Adenome der Kontrollrate im niedrigen Dosisniveau signifikant. Die hepatozellulären Karzinome und die Pankreas -Inselzelladenome waren nicht dosisbezogen. Die niedrigen Dosen bei Mäusen und Ratten sind ungefähr 80 -mal höher (normalisiert auf die Körperoberfläche) als die tägliche empfohlene menschliche Dosis eines Tropfens (ungefähr 28 mcl) von Cyclosporin -Ophthalmic -Emulsion 0,05% zweimal täglich in jedes Auge einer 60 -kg -Person (NULL,001 mg/kg/Tag), dass die gesamte Dosis absorbiert wird.
Mutagenese
Es wurde nicht festgestellt, dass Cyclosporin im Ames-Test mutagen/genotoxisch ist. dominant tödlicher Assay und der DNA-Reparaturtest in Spermien von behandelten Mäusen. Eine Studie zur Analyse der Induktion von Schwester Chromatid Exchange (SCE) durch Cyclosporin unter Verwendung menschlicher Lymphozyten in vitro ergab Hinweise auf eine positive Wirkung (d. H. Induktion von SCE).
Beeinträchtigung der Fruchtbarkeit
In Studien an männlichen und weiblichen Ratten, die orale Dosen von Cyclosporin von bis zu 15 mg/kg/Tag (ungefähr 2000 -mal die tägliche Dosis von 0,001 mg/kg/Tag normalisiert auf die Körperoberfläche normalisiert) für 9 Wochen (männlich) und 2 Wochen (weiblich) vor dem Paarungsvorkommen, wurde keine Beeinträchtigung der Fruchtbarkeit nachgewiesen.
Verwendung in bestimmten Populationen
Schwangerschaft
Risikozusammenfassung
Die klinische Verabreichung von Cyclosporin -Ophthalmic -Emulsion 0,05% wird nach der topischen Augenverabreichung nicht systemisch nachgewiesen [siehe Klinische Pharmakologie ] und es wird nicht erwartet, dass der Gebrauch von Müttern zu einer Exposition des Arzneimittels fetal ist. Die orale Verabreichung von Cyclosporin gegenüber schwangeren Ratten oder Kaninchen produzierte keine Teratogenität bei klinisch relevanten Dosen [siehe Daten ].
Daten
Tierdaten
Bei maternal toxischen Dosen (30 mg/kg/Tag bei Ratten und 100 mg/kg/Tag bei Kaninchen) war die orale Cyclosporin-Lösung (USP) teratogen, was durch erhöhte Vor- und postnatale Mortalität angezeigt wurde und die fetale Gewichtsmortalität und Skelett-Reichweite reduzierte. Diese Dosen (normalisiert auf die Körperoberfläche) sind 5000 bzw. 32000 -mal höher als die tägliche empfohlene menschliche Dosis eines Tropfens (ungefähr 28 mCl) von Cyclosporin -Ophthalmolen -Emulsion 0,05% zweimal täglich in jedes Auge einer 60 kg -Person (NULL,001 mg/kg/Tag), vorausgesetzt, dass die gesamte Dosis absorbiert wird. Bei Ratten oder Kaninchen, die während der Organogenese bei oralen Dosen von bis zu 17 mg/kg/Tag bzw. 30 mg/kg/Tag Cyclosporin erhielten, wurden keine Anzeichen für eine Embryofetaltoxizität beobachtet. Diese Dosen bei Ratten und Kaninchen sind ungefähr 3000 bzw. 10000 -mal höher als die täglich empfohlene menschliche Dosis.
Eine orale Dosis von 45 mg/kg/Tag Cyclosporin, die Ratten ab Tag 15 der Schwangerschaft bis zum 21. Tag nach der Geburt verabreicht wurde, erzeugte mütterliche Toxizität und eine Zunahme der postnatalen Mortalität bei Nachkommen. Diese Dosis ist 7000 -mal höher als die tägliche empfohlene menschliche Dosis. Bei oralen Dosen von bis zu 15 mg/kg/Tag wurden keine nachteiligen Auswirkungen bei Dämmen oder Nachkommen beobachtet (2000 -mal höher als die tägliche empfohlene menschliche Dosis).
Stillzeit
Risikozusammenfassung
Es ist bekannt, dass Cyclosporin nach systemischer Verabreichung in der Muttermilch auftritt, aber ihre Anwesenheit in der Muttermilch nach topischer Behandlung wurde nicht untersucht. Obwohl die Blutkonzentrationen nach der topischen Verabreichung von Cyclosporin -ophthalmischer Emulsion 0,05% nicht nachweisbar sind [siehe Klinische Pharmakologie ] Vorsicht werden gewarnt, wenn Restasis Multidose ™ einer stillenden Frau verabreicht wird. Die Entwicklungs- und gesundheitlichen Vorteile des Stillens sollten zusammen mit dem klinischen Bedarf der Mutter nach Restasis Multidose ™ und möglichen nachteiligen Auswirkungen des gestillten Kindes von Cyclosporin berücksichtigt werden.
Pädiatrische Verwendung
Sicherheit und Wirksamkeit wurden bei pädiatrischen Patienten unter dem Alter von 16 Jahren nicht festgelegt.
Geriatrische Verwendung
Zwischen älteren und jüngeren Patienten wurde kein Gesamtunterschied in der Sicherheit oder Wirksamkeit beobachtet.
Überdosierungsinformationen für Restasis
Keine Informationen zur Verfügung gestellt.
Kontraindikationen für Restasis
Restasis® ist bei Patienten mit bekannter oder vermuteter Überempfindlichkeit gegenüber den Inhaltsstoffen in der Formulierung kontraindiziert.
Klinische Pharmakologie for Restasis
Wirkungsmechanismus
Cyclosporin ist ein immunsuppressives Mittel, wenn er systemisch verabreicht wird.
Bei Patienten, deren Tränenproduktion aufgrund von Augenentzündungen im Zusammenhang mit Keratokonjunktivitis -SICCA -Cyclosporin -Emulsion als partieller Immunmodulator unterdrückt wird. Der genaue Wirkmechanismus ist nicht bekannt.
Pharmakokinetik
Blutcyclosporin-A-Konzentrationen wurden unter Verwendung eines spezifischen Hochdruckflüssigkeit-Chromatographie-Massen-Spektrometrie-Assays gemessen. Die Blutkonzentrationen von Cyclosporin in allen nach der topischen Verabreichung von Restasis® von 0,05% zweimal täglichen Proben beim Menschen lagen bis zu 12 Monate unter der Quantifizierungsgrenze von 0,1 ng/ml. Während der 12 -monatigen Behandlung mit Restasis® Ophthalmic Emulsion gab es keine nachweisbare Arzneimittelakkumulation im Blut.
Klinische Studien
Vier multizentrische randomisierte randomisierte und gut kontrollierte klinische Studien wurden bei ungefähr 1200 Patienten mit mittelschwerer bis schwerer Keratokonjunktivitis-SICCA durchgeführt. Restasis® zeigte einen statistisch signifikanten Anstieg der Schirmer -Benetzung von 10 mM gegenüber dem Fahrzeug bei Patienten bei Patienten, deren Tränenproduktion aufgrund von Augenentzündungen unterdrückt wurde. Dieser Effekt wurde bei ungefähr 15% der restasis® ophthalmischen Emulsions Patienten im Vergleich zu ungefähr 5% der mit Fahrzeuge behandelten Patienten beobachtet. Eine erhöhte Tränenproduktion wurde bei Patienten nicht beobachtet, die derzeit topische entzündungshemmende Medikamente einnahmen oder mit Pünktlichkeitsstopfen unter Verwendung von Pünktlichkeitsstopfen einnahmen.
Nach Verabreichung von Restasis® wurde keine Zunahme von Bakterien- oder Pilz -Augeninfektionen berichtet.
Ist Venlafaxin das gleiche wie Effexor
Patienteninformationen für Restasis
Umgang mit dem Behälter
Raten Sie den Patienten, die Spitze des Fläschchens nicht das Auge oder eine Oberfläche zu berühren, da dies die Emulsion kontaminieren kann. Raten Sie den Patienten, die Fläschchenspitze nicht mit ihrem Auge zu berühren, um das Augepotential zu vermeiden [siehe Warnungen und VORSICHTSMASSNAHMEN ].
Verwendung mit Kontaktlinsen
Restasis® sollte beim Tragen von Kontaktlinsen nicht verabreicht werden. Patienten mit verminderter Tränenproduktion sollten in der Regel keine Kontaktlinsen tragen. Beraten Sie den Patienten, dass sie vor der Verabreichung der Emulsion entfernt werden sollten, wenn Kontaktlinsen getragen werden. Die Objektive können 15 Minuten nach Verabreichung von Restasis® Ophthalmic Emulsion wieder eingebaut werden [siehe Warnungen und VORSICHTSMASSNAHMEN ].
Verwaltung
Beraten Sie den Patienten, dass die Emulsion eines einzelnen Einweg-Fläschchens unmittelbar nach der Öffnung zur Verabreichung zu einem oder beiden Augen verwendet werden soll und der verbleibende Inhalt unmittelbar nach der Verabreichung verworfen werden sollte.