Die Informationen Auf Dieser Website Stellen Keine Medizinische Beratung Dar. Wir Verkaufen Nichts. Die Richtigkeit Der Übersetzung Wird Nicht Garantiert. Haftungsausschluss
Akne -Agenten, topisch
Clindagel
Drogenzusammenfassung
Was ist Clindagel?
Clindagel (Clindamycin -Phosphatgel) Topisches Gel 1% ist ein topisches Antibiotikum für die topische Anwendung bei der Behandlung von Akne vulgaris.
Was sind Nebenwirkungen von Clindagel?
Zu den häufigen Nebenwirkungen von Clindagel gehören:
- Hautrötung
- Trockene Haut
- Hautschälchen
- Juckreiz
- Hautempfindlichkeit gegenüber Sonnenlicht
- Ausschlag
- Haarstöße
- Hautreizung
- Durchfall und
- Bauchschmerzen.
Dosierung für Clindagel
Tragen Sie einmal täglich eine dünne Filmdosis Clindagel auf die Haut auf, wo Aknenläsionen erscheinen. Verwenden Sie genug, um den gesamten betroffenen Bereich leicht abzudecken.
Welche Drogensubstanzen oder Nahrungsergänzungsmittel interagieren mit Clindagel?
Clindagel kann mit anderen neuromuskulären Blockiermitteln interagieren. Sagen Sie Ihrem Arzt alle Medikamente und Nahrungsergänzungsmittel, die Sie verwenden.
Clindagel während der Schwangerschaft oder des Stillens
Sagen Sie Ihrem Arzt, wenn Sie schwanger sind oder planen, während der Behandlung mit Clindagel schwanger zu werden. Während der Schwangerschaft sollte Clindagel nur angewendet werden, wenn sie verschrieben werden. Es ist nicht bekannt, ob topische Clindagel in die Muttermilch übergeht. Orale Formen von Clindamycin passen in Muttermilch. Das Stillen bei der Verwendung von Clindagel wird nicht empfohlen.
Weitere Informationen
Unser Clindagel (Clindamycin -Phosphatgel) Topisches Gel 1% Nebenwirkungen Arzneimittelzentrum bietet eine umfassende Übersicht über verfügbare Arzneimittelinformationen über die potenziellen Nebenwirkungen bei der Einnahme dieses Medikaments.
FDA -Drogeninformationen
- Drogenbeschreibung
- Indikationen
- Nebenwirkungen
- Warnungen
- Vorsichtsmaßnahmen
- Überdosis
- Klinische Pharmakologie
- Medikamentenhandbuch
Beschreibung für Clindagel Topical Gel
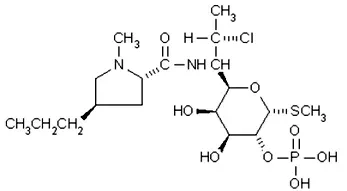
Clindagel® (clindamycin phosphate gel) topical gel 1% a topical antibiotic contains clindamycin phosphate USP at a concentration equivalent to 10 mg clindamycin per gram in a gel vehicle consisting of carbomer 941 methylparaben polyethylene glycol 400 propylene glycol sodium hydroxide and purified water. Chemisch Clindamycin-Phosphat ist ein wasserlöslicher Ester des semi-synthetischen Antibiotikums, das durch A 7 (s) -Clorosuubstitution der 7 (R) -Hydroxylgruppe der Eltern Antibiotikum Lincomycin produziert wird und die unten dargestellte strukturelle Formel dargestellt hat:
|
Der chemische Name für Clindamycin-Phosphat ist Methyl 7-Chlor-678-Trideoxy-6- (1-methyl-trans-4-propyl-l-2-pyrrolidincarboxamido) -1-thio-l-theo -.-galacto-octopyranosid 2- (Dihychysigen-Phosphat).
Verwendet für Clindagel Topical Gel
Clindagel® ist für die topische Anwendung bei der Behandlung von Akne vulgaris angezeigt. In Anbetracht des Potenzials für Durchfallblut -Durchfall und Pseudomembran -Kolitis sollte der Arzt überlegen, ob andere Wirkstoffe angemessener sind. (Sehen Kontraindikationen Warnungen Und Nebenwirkungen ).
Dosierung für Clindagel Topical Gel
Tragen Sie einmal täglich einen dünnen Film von Clindagel® auf die Haut auf, wo Akne -Läsionen erscheinen. Verwenden Sie genug, um den gesamten betroffenen Bereich leicht abzudecken.
Halten Sie den Behälter fest geschlossen.
Wie geliefert
Clindagel® In der folgenden Größe ist Clindamycin -Phosphat enthält, das 10 mg Clindamycin pro Gramm entspricht:
75 ml Flasche - NDC 16781-462-75
Unter kontrollierter Raumtemperatur auf Lager von 20 ° C bis 25 ° C (68 ° F bis 77 ° F) aufbewahren; Ausflüge zwischen 15 ° C und 30 ° C (59 ° F bis 86 ° F). Lagern Sie nicht direktes Sonnenlicht.
Wie viele Zyrtec können Sie nehmen
Hergestellt für: Valeant Pharmaceuticals North America LLC Bridgewater NJ 08807 USA. Von: DPT Laboratories Ltd. San Antonio Texas 78215 USA. Überarbeitet: November 2015
Nebenwirkungen für Clindagel Topisches Gel
In der einen gut kontrollierten klinischen Studie zum Vergleich von Clindagel® und seinem Fahrzeug wird die Inzidenz von Haut- und Anhängern unerwünschter Ereignisse bei ≥ 1% der Patienten in beiden Gruppen dargestellt:
| Körpersystem/unerwünschtes Ereignis | Zahl (%) der Patienten | |
| Clindagel® QD N = 168 | Fahrzeug Gel Qd N = 84 | |
| Haut- und Anhängerstörungen Dermatitis | 0 (NULL,0) | 1 (NULL,2) |
| Dermatitis Kontakt | 0 (NULL,0) | 1 (NULL,2) |
| Dermatitispilz | 0 (NULL,0) | 1 (NULL,2) |
| Follikulitis | 0 (NULL,0) | 1 (NULL,2) |
| Photosensitivitätsreaktion | 0 (NULL,0) | 1 (NULL,2) |
| Pruritus | 1 (NULL,6) | 1 (NULL,2) |
| Hautausschlag erythematös | 0 (NULL,0) | 0 (NULL,0) |
| Haut trocken | 0 (NULL,0) | 0 (NULL,0) |
| Peeling | 1 (NULL,6) | 0 (NULL,0) |
Oral und parenteal verabreichtes Clindamycin wurde mit schwerer Kolitis in Verbindung gebracht, die tödlich enden können.
Fälle von Durchfallblutigungen durch Durchfall und Colitis (einschließlich pseudomembranischer Kolitis) wurden als Nebenwirkungen bei Patienten berichtet, die mit oralen und parenteralen Formulierungen von Clindamycin behandelt werden und selten mit topischem Clindamycin (siehe) Warnungen ). Abdominal pain Und gastrointestinal disturbances as well as gram-negative folliculitis have also been reported in association with the use of topical formulations of clindamycin.
Um vermutete unerwünschte Reaktionen zu melden. Kontaktieren Sie Valeant Pharmaceuticals North America LLC unter 1-800-321-4576 und/oder FDA unter 1-800-FDA-1088 oder www.fda.gov/medwatch
Wechselwirkungen zwischen Arzneimitteln für Clindagel Topical Gel
Es wurde gezeigt, dass Clindamycin neuromuskuläre Blockierungseigenschaften aufweist, die die Wirkung anderer neuromuskulärer Blocker verbessern können. Daher sollte es bei Patienten, die solche Wirkstoffe erhalten, mit Vorsicht verwendet werden.
Warnungen for Clindagel Topical Gel
Oral und parenteal verabreichtes Clindamycin wurde mit schwerer Kolitis in Verbindung gebracht, was zum Tod des Patienten führen kann. Die Verwendung der topischen Formulierung von Clindamycin führt zur Absorption des Antibiotikums von der Hautoberfläche. Durchfall blutiger Durchfall und Colitis (einschließlich pseudomembranischer Kolitis) wurden unter Verwendung von topischem und systemischem Clindamycin berichtet.
Studien zeigen ein Toxin (en), das von produziert wird, Clorria ist eine Hauptursache für Antibiotika-assoziierte Kolitis. Die Kolitis ist normalerweise durch schwere anhaltende Durchfall und schwere Bauchkrämpfe gekennzeichnet und kann mit dem Durchgang von Blut und Schleim in Verbindung gebracht werden. Die endoskopische Untersuchung kann eine Pseudomembran -Kolitis aufdecken. Stuhlkultur für Clostridium difficile Und stoolassay for C. schwierig Toxin kann hilfreich diagnostisch sein.
Wenn ein erheblicher Durchfall auftritt, sollte das Medikament abgesetzt werden. Es sollte in Betracht gezogen werden, dass eine große Darmers -Endoskopie bei schwerem Durchfall eine endgültige Diagnose festlegt. Antiperistaltische Mittel wie Opiate und Diphenoxylat mit Atropin können den Zustand verlängern und/oder verschlimmern.
Es wurde beobachtet, dass Durchfallkolitis und Pseudomembran -Kolitis bis zu mehreren Wochen nach Beendigung der oralen und parenteralen Therapie mit Clindamycin beginnen.
Vorsichtsmaßnahmen for Clindagel Topical Gel
Allgemein
Clindagel® should be prescribed with caution in atopic individuals.
Karzinogenese -Mutagenese -Beeinträchtigung der Fruchtbarkeit
Die Karzinogenität eines 1% igen Clindamycin -Phosphatgels ähnlich wie Clindagel® wurde zwei Jahre lang durch tägliche Anwendung bei Mäusen bewertet. Die in dieser Studie verwendeten täglichen Dosen waren ungefähr 3 und 15 -mal höher als die menschliche Dosis von Clindamycin -Phosphat aus 5 Millilitern Clindagel® unter der Annahme einer vollständigen Absorption und basierend auf einem Vergleich der Körperoberfläche. Bei den behandelten Tieren wurde kein signifikanter Anstieg der Tumoren festgestellt.
Ein 1% -Clindamycin -Phosphatgel, das Clindagel® ähnlich war, verursachte eine statistisch signifikante Verkürzung der mittleren Zeit für den Tumorbeginn in einer Studie an haarlosen Mäusen, bei denen Tumoren durch Exposition gegenüber simuliertem Sonnenlicht induziert wurden.
Die durchgeführten Genotoxizitätstests umfassten einen Ratten -Mikronukleus -Test und einen Ames -Salmonellen -Reversionstest. Beide Tests waren negativ. Fortpflanzungsstudien an Ratten unter Verwendung oraler Dosen von Clindamycinhydrochlorid und Clindamycin -Palmitathydrochlorid haben keine Hinweise auf eine beeinträchtigte Fruchtbarkeit gezeigt.
Schwangerschaft
Teratogene Wirkungen
Schwangerschaft Category B
Fortpflanzungsstudien wurden bei Ratten und Mäusen unter Verwendung subkutaner und oraler Dosen von Clindamycin -Phosphat -Clindamycinhydrochlorid und Clindamycin -Palmitathydrochlorid durchgeführt. Diese Studien zeigten keinen Hinweis auf einen fetalen Schaden. Die höchste Dosis in den Studien zur Teratogenität von Ratten und Maus entsprach einer Clindamycin -Phosphatdosis von 432 mg/kg. Für eine Ratte ist diese Dosis 84 -fach höher und für eine 42 -fache Maus höher als die erwartete menschliche Dosis von Clindamycin -Phosphat von Clindagel® basierend auf einem mg/m -Vergleich. Es gibt jedoch keine angemessenen und gut kontrollierten Studien bei schwangeren Frauen. Da Studien zur Reproduktion von Tieren nicht immer der menschlichen Reaktion vorhersagen, sollte dieses Medikament nur dann während der Schwangerschaft angewendet werden, wenn sie eindeutig benötigt werden.
Pflegemütter
Es ist nicht bekannt, ob Clindamycin nach Verwendung von Clindagel® in die Muttermilch ausgeschieden ist. Es wurde jedoch berichtet, dass oral und parenteal verabreichtes Clindamycin in der Muttermilch auftritt. Aufgrund des Potenzials für schwerwiegende Nebenwirkungen bei Säuglingen sollte eine Entscheidung getroffen werden, ob die Krankenpflege eingestellt oder das Medikament unter Berücksichtigung der Bedeutung des Arzneimittels für die Mutter eingestellt werden soll.
Pädiatrische Verwendung
Sicherheit und Wirksamkeit bei Kindern unter 12 Jahren wurden nicht festgestellt.
Geriatrische Verwendung
Die klinische Studie mit Clindagel® umfasste keine ausreichende Anzahl von Patienten im Alter von 65 Jahren und mehr, um festzustellen, ob sie anders reagieren als jüngere Patienten.
Überdosierungsinformationen für Clindagel Topical Gel
Topisch angewandte Clindagel® kann in ausreichenden Mengen absorbiert werden, um systemische Effekte zu erzeugen (siehe Warnungen ).
Kontraindikationen für Clindagel Topical Gel
Clindagel® is contraindicated in individuals with a history of hypersensitivity to preparations containing clindamycin or lincomycin a history of regional enteritis or ulcerative colitis or a history of antibioticassociated colitis.
Klinische Pharmakologie for Clindagel Topical Gel
Pharmakokinetik
In einer offenen parallelen Gruppenstudie von 24 Patienten mit Akne vulgaris, die einst täglich täglich von ca. 3-12 Gramm/Tag Clindagel® über fünf Tage tägte, führten zu einer Spitzenplasma-Clindamycin-Konzentrationen von weniger als 5,5 ng/ml.
Nach mehreren Anwendungen von Clindagel® wurden weniger als 0,04% der Gesamtdosis im Urin ausgeschieden.
Mikrobiologie
Obwohl Clindamycin -Phosphat inaktiv ist in vitro schnell in vitro Die Hydrolyse wandelt diese Verbindung in Clindamycin um, das eine antibakterielle Aktivität aufweist. Clindamycin hemmt die Bakterienproteinsynthese auf ribosomaler Ebene durch Bindung an die 50S -ribosomale Untereinheit und beeinflusste den Prozess der Peptidketteninitiation. In vitro Studien zeigten, dass Clindamycin alle getestet hat Propionibacterium acnes Kulturen bei einer minimalen Hemmkonzentration (MIC) von 0,4 μg/ml. Crossresistance wurde zwischen Clindamycin und Erythromycin demonstriert.
Klinische Studien
In einem 12-wöchigen multizentrischen randomisierten Bewertungs-Blind-Blind-Vehicle-kontrollierten parallelen Vergleich klinischer Studie, bei dem Patienten Clindagel® (Clindamycin-Phosphat-Topisches Gel 1%) einmal täglich oder das Fahrzeuggel einmal täglich zur Behandlung von Akne vulgaris von mild bis milder Schweregrad verwendeten Clindagel® Einmal täglich angewendet war wirksamer als das Fahrzeug, das einmal täglich aufgetragen wurde. Die mittleren prozentualen Reduzierungen der Läsionszahlen am Ende der Behandlung in dieser Studie sind in der folgenden Tabelle gezeigt:
| Läsionen | Clindagel® QD N = 162 | Fahrzeug Gel Qd N = 82 |
| Entzündlich | 51% | 40%* |
| Nicht inflammatorisch | 25% | 12% * |
| Gesamt | 38% | 27% * |
| * P <0.05 |
In der globalen Bewertung der Ergebnisse durch den Ermittler gab es einen Trend, der Clindagel® QD gegenüber dem Fahrzeug QD bevorzugte.
In einer Kontakt -Sensibilisierungsstudie schienen vier der 200 Probanden einen Hinweis auf eine allergische Kontaktsensibilisierung zu entwickeln. Clindagel® . Es gab kein Signal für die Kontaktsensibilisierung in den klinischen Studien unter normalen Gebrauchsbedingungen.
Patienteninformationen für Clindagel Topical Gel
Keine Informationen zur Verfügung gestellt. Bitte beachten Sie die Warnungen Und VORSICHTSMASSNAHMEN Abschnitte.