Die Informationen Auf Dieser Website Stellen Keine Medizinische Beratung Dar. Wir Verkaufen Nichts. Die Richtigkeit Der Übersetzung Wird Nicht Garantiert. Haftungsausschluss
Makroliden
Erythromycin
Drogenzusammenfassung
Was ist Erythromycin?
Erythromycin -Basisfilm (Erythromycin) ist ein Makrolid -Antibiotikum, mit dem Menschen mit Organismen infiziert sind, die für Erythromycin anfällig sind. Einige der Erkrankungen Erythromycin -Basis -Filmtab -Leckereien sind leichte bis mittelschwere Infektionen der oberen und unteren Atemwege. Erythromycin Base FilmTab ist in generischer Form erhältlich.
Was sind Nebenwirkungen von Erythromycin?
Häufige Nebenwirkungen von Erythromycin -Basisfilmtabs umfassen:
- Brechreiz
- Erbrechen
- Durchfall
- Bauchschwellung
- fühle uns unwohl
- Verwirrung
- Schläfrigkeit
- dunkler Urin
- Tonfarbene Stühle
- Appetitverlust
- Schwäche
- Juckreiz
- Gelben der Haut oder Augen (Gelbsucht)
- Fieber
- Bauchkrämpfe
- Dehydration
- wässriger Durchfall
- Eiter oder Schleim in Ihrem Stuhl
- Kurzatmigkeit
- Rennen oder langsamer Herzschlag
- Brustschmerzen
- Schwindel
- flatterend oder pochendem Herzschlag
- Ohnmacht
- Benommenheit
- Kaltes Schweiß
- Niedriger Blutdruck
- Juckreiz
- Schwellung der Lippen -Augenlider und in Ihrem Hals
- Gelenkschmerzen
- Plötzlicher Ausschlag, der auf den Handflächen der Händesosen Ihrer Füße und Ihres Gesichts erscheint
- Ausschlag
- rohe und schmerzhafte Bereiche auf Ihrer Haut
- Hautschälchen ohne Blasenbildung
- Erhöhter Urinausgang
- Bluthochdruck
- Plötzliche Gewichtszunahme
- Bauchschmerzen, die auf Ihren Rücken strahlen
- Bauchschmerzen, die nach dem Essen zunehmen
- Erhöhter Puls und
- Appetitverlust.
Dosierung für Erythromycin
Die erwachsene Dosis von Erythromycin -Basisfilmtab beträgt 4 Mal pro Tag mit einer maximalen Dosis von 4 Gramm pro 24 Stunden, während die 500 -mg -Tablette zweimal täglich beträgt (insgesamt Dosen über 1 Gramm pro Tag sollten in 4 Dosen pro 24 Stunden unterteilt werden). Die pädiatrischen Dosen reichen von 30 bis 50 mg/kg/Tag (Milligramm pro Kilogramm pro 24 Stunden), sollten jedoch 4 g pro Tag nicht überschreiten. Den Patienten wird empfohlen, Erythromycin -Basis -Filmtab -Tabletten ohne Lebensmittel bis zu 2 Stunden (das bevorzugte Zeitintervall) vor dem Essen von Nahrung zu nehmen.
Welche Medikamentensubstanzen oder Nahrungsergänzungsmittel interagieren mit Erythromycin?
Erythromycin Base Filmtabs may interact with ergotamine dihydroergotamine benzodiazepines HMG-CoA reductase inhibitors sildenafil cyclosporine carbamazepine tacrolimus alfentanil disopyramide rifabutin quinidine methylprednisolone cilostazol vinblastine bromocriptine Cisapride Pimozid Astemizol Terfenadin Hexobarbital Phenytoin Valproat und Astemizol.
Erythromycin während der Schwangerschaft und des Stillens
Sagen Sie Ihrem Arzt, wenn Sie schwanger sind oder vorhaben, schwanger zu werden, bevor Sie Erythromycin -Basisfilmtab verwenden. Es ist nicht bekannt, ob es einen Fötus betrifft. Erythromycin Base Filmtab geht in Muttermilch über. Wenden Sie sich vor dem Stillen an Ihren Arzt.
Weitere Informationen
Unsere Erythromycin -Basis -Filmtabs -Nebenwirkungen Arzneimittelzentrum bietet einen umfassenden Überblick über verfügbare Arzneimittelinformationen über die potenziellen Nebenwirkungen bei der Einnahme dieses Medikaments.
FDA -Drogeninformationen
- Drogenbeschreibung
- Indikationen
- Dosierung
- Nebenwirkungen
- Wechselwirkungen mit Arzneimitteln
- Warnungen
- Vorsichtsmaßnahmen
- Überdosis
- Klinische Pharmakologie
- Medikamentenhandbuch
Um die Entwicklung von medikamentenresistenten Bakterien zu verringern und die Wirksamkeit von Erythromycin-Basis-Filmtab-Tabletten und anderen antibakteriellen Arzneimitteln Erythromycin-Basis-Filmtab-Tabletten nur zur Behandlung oder Verhinderung von Infektionen zu verwenden, die nachgewiesen oder stark durch Bakterien vermutet werden.
Beschreibung für Erythromycin -Basisfilmtab
Erythromycin -Basisfilm (Erythromycin -Tabletten USP) ist ein antibakterielles Produkt, das Erythromycin USP in einer einzigartigen nicht -entirischen Filmbeschichtung für die orale Verabreichung enthält. Erythromycin -Basisfilmtabletten (Erythromycin -Tabletten) sind in zwei Stärken erhältlich, die entweder 250 mg oder 500 mg Erythromycin -Basis enthalten.
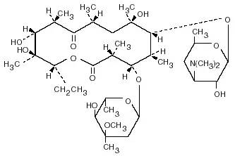
Erythromycin wird durch einen Stamm von produziert Saccharopolyspora Erythraea (früher Streptomyces erythraeus ) und gehört zur Makrolidgruppe von Antibiotika. Es ist grundlegend und bildet leicht Salze mit Säuren. Erythromycin ist ein weißes und weißes Pulver, der in Wasser leicht löslich ist und in Alkoholchloroform und Äther löslich ist. Erythromycin ist chemisch als (3R* 4S* 5S* 6R* 7R* 9R* 11R* 12R* 13S* 14R*)-4-[(26-Dideoxy-3-c-methyl-3-o-methyl-α-L- Fisch -hexopyranosyl) oxy] -14-Ethyl-71213-Trihydroxy-35791113-Hexamethyl-6-[346-Trideoxy-3- (Dimethylamino) -β-D- Xylo -hexopyranosyl] oxy] oxacyclotetredecan- 210-dion. Die molekulare Formel ist c 37 H 67 NEIN 13 und das Molekulargewicht beträgt 733,94. Die strukturelle Formel lautet:
|
Inaktive Zutaten
Kolloidales Siliziumdioxid Croscarmellose Natrium Crospovidon D.
Verwendung für Erythromycin -Basisfilmtab
Um die Entwicklung von medikamentenresistenten Bakterien zu verringern und die Wirksamkeit von Erythromycin-Basis-Filmtab-Tabletten und anderen antibakteriellen Arzneimitteln Erythromycin-Basisfilmtab (Erythromycin-Tabletten) nur zur Behandlung oder Verhindern von Infektionen, die nachgewiesen oder stark vermutet werden, anfällig für anfällige Bactisible-Tabletten verwendet werden sollten. Wenn Kultur- und Anfälligkeitsinformationen verfügbar sind, sollten sie bei der Auswahl oder Modifizierung der antibakteriellen Therapie in Betracht gezogen werden. In Ermangelung solcher Daten können lokale Epidemiologie- und Empfindlichkeitsmuster zur empirischen Auswahl der Therapie beitragen.
Erythromycin -Basisfilmtabletten (Erythromycin -Tabletten) sind bei der Behandlung von Infektionen angezeigt, die durch anfällige Stämme der ausgewiesenen Mikroorganismen in den unten aufgeführten Krankheiten verursacht werden:
Infektionen der oberen Atemwege von leichtem bis mittelschwerer Grad durch verursacht durch Streptococcus pyogenes; Streptococcus pneumoniae; Haemophilus Influenzae (Bei gleichzeitig mit angemessenen Sulfonamidendosen seit vielen Stämmen von H. Influenzae sind nicht anfällig für die erythromycin -Konzentrationen, die normalerweise erreicht werden). (Sehen Angemessene Sulfonamidmarkierung zur Verschreibung von Informationen. )
Infektionen der unteren Atemwege mit leichter bis mittelschwerer Schwere durch verursacht durch verursacht durch Streptococcus pyogenes oder Streptococcus pneumoniae.
Listeriose verursacht durch Listeria monocytogenes.
Atemwegsinfektionen durch Mycoplasma pneumoniae.
Haut- und Hautstrukturinfektionen mit leichter bis mittelschwerer Schwere, die durch verursacht werden durch Streptococcus pyogenes oder Staphylococcus aureus (Resistant Staphylococci kann während der Behandlung entstehen).
Pertussis (Keuchhusten) verursacht durch Bordetella pertussis. Erythromycin ist wirksam, um den Organismus aus dem Nasopharynx infizierter Personen zu beseitigen, die sie nicht infektiös machen. Einige klinische Studien legen nahe, dass Erythromycin bei der Prophylaxe von Pertussis bei exponierten anfälligen Personen hilfreich sein kann.
Diphtherie: Infektionen aufgrund CoryNebacterium diphtheriae als Ergänzung zum Antitoxin zur Verhinderung der Gründung von Trägern und zur Beseitigung des Organismus in Trägern.
Erythraspsma -In der Behandlung von Infektionen aufgrund von Campylobacter Minute.
Darmamebiasis durch verursacht durch Entamoeba histolytica (Nur orale Erythromycine). Eine zusätzliche Amebiasis erfordert eine Behandlung mit anderen Wirkstoffen.
Akute entzündliche Erkrankungen der Becken- Neisseria gonorrhoeae : Erythrocin® Lactobionat-I.V. (Erythromycin -Lactobionat für die Injektion USP), gefolgt von einer Erythromycin -Base oral als alternatives Medikament bei der Behandlung von akuten entzündlichen Erkrankungen der Becken N. Gonorrhoeae Bei weiblichen Patienten mit Empfindlichkeit gegenüber Penicillin. Die Patienten sollten einen serologischen Test für Syphilis haben, bevor er Erythromycin als Behandlung von Gonorrhoe und nach 3 Monaten einen serologischen Test für Syphilis erhalten.
Erythromycine sind für die Behandlung der folgenden Infektionen angezeigt, die durch Chlamydien -Trachomatis verursacht werden : Bindehautentzündung der neugeborenen Pneumonie der Säuglinge und Urogenitalinfektionen während der Schwangerschaft. Wenn Tetracyclinen kontraindiziert oder nicht toleriert sind, ist Erythromycin für die Behandlung unkomplizierter urethraler endozervikaler oder rektaler Infektionen bei Erwachsenen aufgrund dessen angezeigt Chlamydien -Trachome . 3
Wenn Tetracycline kontraindiziert oder nicht toleriert ist, ist Erythromycin für die Behandlung von Nongonococcal -Urethritis durch verursacht durch verursachte durch verursachte durch verursachte Nongonokokken -Urethritis Ureaplasma urealytisch. 3
Primäre Syphilis verursacht durch Treponema blass. Erythromycin (nur orale Formen) ist eine alternative Wahl der Behandlung für primäre Syphilis bei Patienten, die gegen die Penicilline allergisch sind. Bei der Behandlung von primären Syphilis-Wirbelsäulenflüssigkeit sollte vor der Behandlung und als Teil der Nachuntersuchung nach der Therapie untersucht werden.
Krankheit der Legionäre durch verursacht durch Legionella pneumophila. Obwohl keine kontrollierten klinischen Wirksamkeitsstudien durchgeführt wurden in vitro und begrenzte vorläufige klinische Daten legen nahe, dass Erythromycin bei der Behandlung der Legionärerkrankungen wirksam sein kann.
Prophylaxe
Verhinderung anfänglicher Angriffe des rheumatischen Fiebers -Penicillin wird von der American Heart Association als das Medikament der Wahl bei der Verhinderung anfänglicher Angriffe des rheumatischen Fiebers angesehen (Behandlung von Streptococcus pyogenes Infektionen des oberen Atemwegs, z. Mandelentzündung oder Pharyngitis). 3 Erythromycin ist für die Behandlung von Penicillin-Alloge-Patienten angezeigt. Die therapeutische Dosis sollte zehn Tage lang verabreicht werden.
Nebenwirkungen von Valacyclovir 500 mg
Prävention wiederholter Angriffe von rheumatischen Fieber -Penicillin oder Sulfonamide werden von der American Heart Association als Medikamente der Wahl bei der Vorbeugung wiederkehrender Angriffe des rheumatischen Fiebers angesehen. Bei Patienten, die gegen Penicillin und Sulfonamide allergisch sind, werden von der American Heart Association bei der Langzeitprophylaxe der Streptokokken-Pharyngitis (zur Vorbeugung wiederkehrender Angriffe des rheumatischen Fiebers) orale Erythromycin empfohlen. 3
Dosierung für Erythromycin Base Filmtab
Es werden optimale Blutspiegel erhalten, wenn Erythromycin -Basisfilmtabletten (Erythromycin -Tabletten) im Fastenzustand (mindestens 1/2 Stunden und vorzugsweise 2 Stunden vor den Mahlzeiten) angegeben sind.
Erwachsene: Die übliche Dosierung von Erythromycin -Basisfilmtab (Erythromycin -Tabletten) beträgt alle 12 Stunden viermal täglich eine 250 mg Tablette in gleichermaßen Abstand oder ein 500 mg Tablette. Die Dosierung kann je nach Schweregrad der Infektion um bis zu 4 g pro Tag erhöht werden. Es wird jedoch keine Dosierung von zweimal am Tag empfohlen, wenn Dosen größer als 1 g täglich verabreicht werden.
Kinder: Altersgewicht und Schwere der Infektion sind wichtige Faktoren bei der Bestimmung der richtigen Dosierung. Die übliche Dosierung beträgt 30 bis 50 mg/kg/Tag in gleichermaßen geteilten Dosen. Bei schwereren Infektionen kann diese Dosierung verdoppelt werden, sollte jedoch 4 g pro Tag nicht überschreiten.
Bei der Behandlung von Streptokokkeninfektionen des oberen Atemwegs (z. B. Tonsillitis oder Pharyngitis) sollte die therapeutische Dosierung von Erythromycin mindestens zehn Tage verabreicht werden.
Die American Heart Association schlägt eine Dosierung von 250 mg Erythromycin oral zweimal täglich bei der Langzeitprophylaxe von Streptokokken-Infektionen der oberen Atemwege zur Vorbeugung wiederkehrender Rheuma-Fieber bei Patienten allergisch gegen Penicillin und Sulfonamide vor. 3
Bindehautentzündung des Neugeborenen durch verursacht durch Chlamydien -Trachome: Orale Erythromycin -Suspension 50 mg/kg/Tag in 4 geteilten Dosen für mindestens 2 Wochen. 3
Lungenentzündung der Kindheit durch verursacht durch Chlamydien -Trachome: Obwohl die optimale Therapiedauer nicht festgestellt wurde, ist die empfohlene Therapie mindestens 3 Wochen lang eine orale Erythromycin -Suspension von 50 mg/kg/Tag in 4 geteilten Dosen.
Urogenitalinfektionen während der Schwangerschaft zu aufgrund Chlamydien -Trachome: Obwohl die optimale Dosis und Therapiedauer nicht festgestellt wurden, beträgt die vorgeschlagene Behandlung mindestens 7 Tage lang viermal täglich viermal täglich mit 500 mg Erythromycin. Für Frauen, die dieses Regime nicht tolerieren können, sollten eine verringerte Dosis eines Erythromycin -500 -mg -Tablettens alle 12 Stunden oder 250 mg mündlich viermal täglich mindestens 14 Tage lang verwendet werden. 5
Für Erwachsene mit unkomplizierten urethralen endozervikalen oder rektalen Infektionen durch verursachte durch Chlamydien -Trachome Wenn Tetracyclin kontraindiziert oder nicht toleriert ist : 500 mg Erythromycin nach Mund viermal täglich mindestens 7 Tage lang. 5
Bei Patienten mit Nongonokokken -Urethritis, die durch Ureaplasma -Harnränke verursacht wird, wenn Tetracyclin kontraindiziert ist oder nicht toleriert ist : 500 mg Erythromycin nach Mund viermal täglich mindestens sieben Tage. 5
Primäre Syphilis: 30 bis 40 g in geteilten Dosen über einen Zeitraum von 10 bis 15 Tagen.
Akute entzündliche Erkrankungen der Becken- N. Gonorrhoeae: 500 mg Erythrocin® Lactobionat-I.V. (Erythromycin Lactobionat zur Injektion USP) Alle 6 Stunden für 3 Tage, gefolgt von 500 mg Erythromycin -Basis alle 12 Stunden für 7 Tage oral.
Darmamebiasis: Erwachsene : 500 mg alle 12 Stunden oder 250 mg alle 6 Stunden für 10 bis 14 Tage. Kinder : 30 bis 50 mg/kg/Tag in geteilten Dosen für 10 bis 14 Tage.
Pertussis: Obwohl eine optimale Dosierung und Dauer nicht festgelegt wurden, waren die in den berichteten klinischen Studien verwendeten Dosen von Erythromycin 40 bis 50 mg/kg/Tag in geteilten Dosen für 5 bis 14 Tage gegeben.
Legionärskrankheit: Obwohl die optimale Dosierung in geteilten Dosen nicht täglich 4 g war.
Wie geliefert
Erythromycin -Basis -Filmtab -Tabletten (Erythromycin -Tabletten USP) werden in den folgenden Stärken und Paketen als rosa nicht bewertete ovale Tabletten geliefert.
250 mg Tablets (gestrichen mit und EB):
Flaschen von 100 .............................................. (( NDC 0074-6326-13);
Flaschen von 500 .................................................. (( NDC 0074-6326-53);
ABBO-PAC®-Einheit-Dosis-Streifenpakete mit 100 Tabletten .............................................. ( NDC 0074-6326-11).
500 mg Tablets (gestrichen mit und EA):
Flaschen von 100 .............................................. (( NDC 0074-6227-13).
Empfohlener Speicher : Speichern Sie unter 86 ° F (30 ° C). Sich dicht geschlossen halten.
Abbott Laboratories North Chicago IL 60064 USA. Überarbeitet: November 2004. FDA Rev. Datum: 01.12.1998
Referenzen
3.. Ausschuss für rheumatische Fieber -Endokarditis und Kawasaki -Krankheit des Rates für Herz -Kreislauf -Erkrankungen bei Young The American Heart Association: Prävention des rheumatischen Fiebers. Verkehr. 78 (4): 1082-1086 Oktober 1988.
5. Daten in Datei Abbott Laboratories.
Nebenwirkungen foder Erythromycin Base Filmtab
Die häufigsten Nebenwirkungen oraler Erythromycin-Präparate sind gastrointestinal und dosisbedingt. Dazu gehören Übelkeit, die Bauchschmerzdurchfall und Magersucht erbricht. Symptome einer Hepatitis -Leberfunktionsstörung und/oder einer abnormalen Leberfunktionstestergebnisse können auftreten. (Sehen Warnungen . )
Der Beginn von pseudomembranösen Colitis -Symptomen kann während oder nach einer antibakteriellen Behandlung auftreten. (Sehen Warnungen . ) Erythromycin wurde mit einer QT -Verlängerung und ventrikulären Arrhythmien in Verbindung gebracht, einschließlich ventrikulärer Tachykardie und Torsades de Pointes.
Es sind allergische Reaktionen von Urticaria bis Anaphylaxie aufgetreten. Hautreaktionen, die von leichten Eruptionen bis hin zu Erythema Multiforme Stevens-Johnson-Syndrom und toxischer epidermaler Nekrolyse reichen, wurden selten berichtet.
Es gab seltene Berichte über Pankreatitis und Krämpfe.
Bei Patienten mit Niereninsuffizienz und bei Patienten, die hohe Erythromycin -Dosen erhielten, wurden isolierte Berichte über einen reversiblen Hörverlust auftraten.
Wechselwirkungen mit Arzneimitteln foder Erythromycin Base Filmtab
Der Einsatz von Erythromycin bei Patienten, die hohe Dosen von Theophyllin erhalten, können mit einer Zunahme der Serum -Theophyllin -Spiegel und der potenziellen Theophyllin -Toxizität verbunden sein. Im Falle der Theophyllin -Toxizität und/oder einer erhöhten Serum -Theophyllin -Spiegel sollte die Dosis von Theophyllin reduziert werden, während der Patient eine gleichzeitige Erythromycin -Therapie erhält.
Es wurde berichtet, dass eine gleichzeitige Verabreichung von Erythromycin und Digoxin zu erhöhten Digoxinserumspiegeln führt. Es gab Berichte über erhöhte Antikoagulans -Wirkungen, wenn erythromycin und orale Antikoagulanzien gleichzeitig verwendet wurden. Erhöhte Antikoagulationseffekte aufgrund von Erythromycin -Wechselwirkungen mit oralen Antikoagulanzien können bei älteren Menschen stärker ausgeprägt sein.
Erythromycin ist ein Substrat und Inhibitor der 3A -Isoform -Unterfamilie des Cytochrom -P450 -Enzymsystems (CYP3A). Die gleichzeitige Verabreichung von Erythromycin und einem durch CYP3A hauptsächlich metabolisierten Medikament kann mit Erhöhungen der Arzneimittelkonzentrationen verbunden sein, die sowohl die therapeutischen als auch die nachteiligen Wirkungen des gleichzeitigen Arzneimittels erhöhen oder verlängern können. Dosierungsanpassungen können berücksichtigt werden, und wenn mögliche Serumkonzentrationen von Arzneimitteln, die hauptsächlich durch CYP3A metabolisiert wurden, sollten bei Patienten, die gleichzeitig Erythromycin erhalten, genau überwacht werden.
Die folgenden Beispiele für einige klinisch signifikante CYP3A -basierte Arzneimittelwechselwirkungen. Auch Wechselwirkungen mit anderen Arzneimitteln, die vom CYP3A -Isoform metabolisiert wurden, sind ebenfalls möglich. Die folgenden CYP3A-basierten Arzneimittelwechselwirkungen wurden mit Erythromycin-Produkten in der Nachmarkterfahrung beobachtet:
Ergotamin/Dihydroergotamin: Die gleichzeitige Verwendung von Erythromycin und Ergotamin oder Dihydroergotamin wurde bei einigen Patienten mit akuter Ergot -Toxizität in Verbindung gebracht, die durch schweres peripheres Vasospasmus und Dysästhesie gekennzeichnet sind.
Triazolobenzodiazepine (wie Triazolam und Alprazolam) und Verwandte Benzodiazepine: Es wurde berichtet, dass Erythromycin die Clearance von Triazolam und Midazolam verringert und somit den pharmakologischen Effekt dieser Benzodiazepine erhöhen kann.
HMG-CoA-Reduktase-Inhibitoren: Es wurde berichtet, dass Erythromycin die Konzentrationen von HMG-CoA-Reduktase-Inhibitoren (z. B. Lovastatin und Simvastatin) erhöht. Bei Patienten, die diese Medikamente gleichzeitig einnehmen, wurden seltene Berichte über Rhabdomyolyse berichtet.
Sildenafil (Viagra): Es wurde berichtet, dass Erythromycin die systemische Exposition (AUC) von Sildenafil erhöht. Die Verringerung der Sildenafil -Dosierung sollte berücksichtigt werden. (Sehen Viagra -Paketeinsatz. )
Es gab spontane oder veröffentlichte Berichte über CYP3A -basierte Wechselwirkungen von Erythromycin mit Cyclosporin -Carbamazepin -Tacrolimus alfentanil disopyramid rifabutin chinidin methylprrednisolon cilostazol vinblastin und Bromokription.
Die gleichzeitige Verabreichung von Erythromycin mit Cisaprid -Pimozid -Astemizol oder Terfenadin ist kontraindiziert. (Sehen Kontraindikationen . )
Darüber hinaus gab es Berichte über Wechselwirkungen von Erythromycin mit Medikamenten, von denen nicht angenommen wurde, dass sie von CYP3A metabolisiert wurden, einschließlich Hexobarbital -Phenytoin und Valproat.
Es wurde berichtet, dass Erythromycin den Stoffwechsel der nicht zuständigen Antihistaminika Terfenadin und Astemizol signifikant verändert, wenn sie gleichzeitig eingenommen werden. Seltene Fälle schwerer kardiovaskulärer unerwünschter Ereignisse, einschließlich elektrokardiographischer QT/QT c Es wurden eine Intervallverlängerung des Herzstillstands von Torsades de Pointes und anderen ventrikulären Arrhythmien beobachtet. (Sehen Kontraindikationen . ) Zusätzlich wurden Todesfälle selten mit der gleichzeitigen Verabreichung von Terfenadin und Erythromycin berichtet.
Es gab Nachmarktberichte über Arzneimittelwechselwirkungen, wenn Erythromycin mit Cisaprid zusammengefasst wurde, was zu einer QT-Verlängerung von kardialen Arrhythmien-ventrikulären Tachykardie-ventrikulären Fibrillationen und Torsades de Points aufgrund der Hemmung des hepatischen Metabolismus durch E-Oerythromykin führte. Es wurden Todesfälle gemeldet. (Sehen Kontraindikationen ).
Wechselwirkungen zwischen Arzneimittel und Labor-/Labortests: Erythromycin stört die fluorometrische Bestimmung von Katecholaminen im Urin.
Warnungen foder Erythromycin Base Filmtab
Es gab Berichte über hepatische Funktionsstörungen, einschließlich erhöhter Leberenzyme und hepatozellulärer und/oder cholestatischer Hepatitis mit oder ohne Gelbsucht bei Patienten, die orale Erythromycin -Produkte erhalten.
Es gab Berichte, die darauf hindeuten, dass Erythromycin den Fötus in angemessener Konzentration nicht erreicht, um angeborene Syphilis zu verhindern. Säuglinge, die von Frauen geboren wurden, die während der Schwangerschaft mit oralem Erythromycin für frühe Syphilis behandelt wurden, sollten mit einem geeigneten Penicillin -Regime behandelt werden.
Rhabdomyolyse mit oder ohne Nierenbeeinträchtigung wurde bei schwerkranken Patienten berichtet, die erythromycin gleichzeitig mit Lovastatin erhalten. Daher sollten Patienten, die gleichzeitig Lovastatin und Erythromycin erhalten, sorgfältig auf Kreatinkinase (CK) und Serumtransaminasespiegel überwacht werden. (Sehen Paketeinsatz für Lovastatin. )
Pseudomembranische Kolitis wurde bei fast allen antibakteriellen Wirkstoffen, einschließlich Erythromycin, berichtet und kann von mild bis lebensbedrohlich sind. Daher ist es wichtig, diese Diagnose bei Patienten zu berücksichtigen, die sich nach der Verabreichung von antibakteriellen Wirkstoffen mit Durchfall aufweisen.
Die Behandlung mit antibakteriellen Wirkstoffen verändert die normale Flora des Dickdarms und kann ein Überwachsen der Clostridien ermöglichen. Studien zeigen, dass ein Toxin von produziert wird Clostridium difficile ist eine Hauptursache für 'Antibiotika-assoziierte Kolitis'.
Nach der Diagnose einer pseudomembranösen Kolitis sollten therapeutische Maßnahmen eingeleitet werden. Leichte Fälle von Pseudomembran -Kolitis reagieren normalerweise auf die Absetzung des Arzneimittels allein. In mittelschwerer bis schwerer Fälle sollte der Behandlung mit Flüssigkeiten und Elektrolyten -Proteingänzung und Behandlung mit einem antibakteriellen Arzneimittel klinisch gegen eine Protein -Supplementierung und -behandlung gegen ein Verhältnis verabreicht werden Clostridium difficile Kolitis.
Vorsichtsmaßnahmen foder Erythromycin Base Filmtab
Allgemein : Verschreibung von Erythromycin-Basisfilmtabletten (Erythromycin-Tabletten) ohne nachgewiesene oder stark vermutete bakterielle Infektion oder eine prophylaktische Anzeige ist unwahrscheinlich, dass er dem Patienten den Nutzen bringt und das Risiko der Entwicklung von drogenresistenten Bakterien erhöht.
Da Erythromycin hauptsächlich durch die Leber -Vorsicht ausgeschieden wird, sollte bei Patienten mit beeinträchtigter Leberfunktion Vorsicht geboten, wenn Erythromycin verabreicht wird. (Sehen Klinische Pharmakologie Und Warnungen. )
Es gab Berichte, dass Erythromycin die Schwäche von Patienten mit Myasthenia gravis verschlimmern kann.
Es gab Berichte über infantile hypertrophe pylorische Stenose (IHPs), die bei Säuglingen nach Erythromycin -Therapie auftraten. In einer Kohorte von 157 Neugeborenen, denen Erythromycin für die Pertussis-Prophylaxe verabreicht wurde, entwickelten sieben Neugeborene (5%) Symptome von nicht-triebes Erbrechen oder Reizbarkeit mit der Fütterung und diagnostiziert anschließend mit IHPs, die eine chirurgische Pyloromyotomie benötigten. Ein möglicher Dosis-Wirkungs-Effekt wurde mit einem absoluten Risiko für IHPs von 5,1% für Säuglinge beschrieben, die Erythromycin 8-14 Tage lang einnahmen, und 10% für Säuglinge, die 15-21 Tage lang Erythromycin einnahmen. 4 Da Erythromycin bei der Behandlung von Erkrankungen bei Säuglingen verwendet werden kann, die mit einer signifikanten Mortalität oder Morbidität verbunden sind (wie Pertussis oder neonatale Chlamydien -Trachomatis -Infektionen), muss der Nutzen der Erythromycin -Therapie gegen das potenzielle Risiko der Entwicklung von IHPs abgewogen werden. Eltern sollten informiert werden, ihren Arzt zu kontaktieren, wenn Erbrechen oder Reizbarkeit durch Fütterung auftritt.
Eine längere oder wiederholte Verwendung von Erythromycin kann zu einem Überwachsen von nicht merkwürdigen Bakterien oder Pilzen führen. Wenn eine Superinfektion auftritt, sollte Erythromycin abgesetzt und eine angemessene Therapie eingeleitet werden.
Bei der angegebenen Inzision und Entwässerung oder anderen chirurgischen Eingriffen sollten in Verbindung mit einer Antibiotikatherapie durchgeführt werden.
Karzinogenese -Mutagenese -Beeinträchtigung der Fruchtbarkeit: Langzeit- (2-Jahres-) orale Studien, die an Ratten mit Erythromycin-Basis durchgeführt wurden, lieferten keine Hinweise auf eine Tumorigenität. Mutagenitätsstudien wurden nicht durchgeführt. Es gab keinen offensichtlichen Einfluss auf die männliche oder weibliche Fertilität bei Ratten, die mit Erythromycin (Basis) in Höhe von bis zu 0,25 Prozent der Ernährung gefüttert wurden.
Schwangerschaft: teratogene Wirkungen. Schwangerschaft Kategorie B: Es gibt keine Hinweise auf eine Teratogenität oder eine andere nachteilige Auswirkung auf die Reproduktion bei weiblichen Ratten, die die Erythromycin -Basis (bis zu 0,25 Prozent der Ernährung) vor und während der Paarung während der Schwangerschaft und durch das Absetzen von zwei aufeinanderfolgenden Würfen gefüttert haben. Es gibt jedoch keine angemessenen und gut kontrollierten Studien bei schwangeren Frauen. Da Studien zur Reproduktion von Tieren nicht immer der menschlichen Reaktion vorhersagen, sollte dieses Medikament nur dann während der Schwangerschaft angewendet werden, wenn sie eindeutig benötigt werden.
Arbeit und Lieferung: Die Wirkung von Erythromycin auf Arbeit und Entbindung ist unbekannt.
Stillende Mütter: Erythromycin wird in Muttermilch ausgeschieden. Vorsicht werden gewarnt, wenn Erythromycin einer stillenden Frau verabreicht wird.
Proparacain Hydrochlorid Ophthalmic -Lösung USP 0,5
Pädiatrische Verwendung: Sehen Indikationen Und Dosierung und Verwaltung .
Referenzen
4. HONEIN M.A. ET. Al.: Infantile hypertrophe pylorische Stenose nach Pertussis -Prophylaxe mit Erythromycin: eine Fallüberprüfung und Kohortenstudie. The Lancet 1999; 354 (9196): 2101-5.
Überdosierungsinformationen für Erythromycin -Basisfilmtab
Im Falle einer Überdosierung sollte Erythromycin abgesetzt werden. Überdosierung sollte mit der sofortigen Beseitigung des nicht absorbierten Arzneimittels behandelt werden, und alle anderen geeigneten Maßnahmen sollten eingeführt werden.
Erythromycin wird nicht durch Peritonealdialyse oder Hämodialyse entfernt.
Kontraindikationen für Erythromycin -Basisfilmtab
Erythromycin ist bei Patienten mit bekannter Überempfindlichkeit gegen dieses Antibiotika kontraindiziert.
Erythromycin ist bei Patienten, die Terfenadin -Astemizol -Pimozid oder Cisapride einnehmen, kontraindiziert. (Sehen VORSICHTSMASSNAHMEN: Wechselwirkungen mit Arzneimitteln . )
Klinische Pharmakologie foder Erythromycin Base Filmtab
Die oral verabreichte Erythromycin -Basis und ihre Salze werden in der mikrobiologisch aktiven Form leicht absorbiert. Es werden jedoch interindividuelle Variationen der Absorption von Erythromycin beobachtet, und einige Patienten erreichen keine optimalen Serumspiegel. Erythromycin ist weitgehend an Plasmaproteine gebunden. Nach Absorption diffundiert Erythromycin leicht in die meisten Körperflüssigkeiten. In Abwesenheit einer meningealen Entzündung werden normalerweise niedrige Konzentrationen in der Wirbelsäulenflüssigkeit erreicht, aber der Durchgang des Arzneimittels über die Blut-Hirn-Barriere steigt bei Meningitis. Erythromycin überquert die Plazentasperre, aber der fetale Plasmaspiegel ist niedrig. Das Medikament wird in Muttermilch ausgeschieden. Erythromycin wird nicht durch Peritonealdialyse oder Hämodialyse entfernt.
In Gegenwart einer normalen Leberfunktion ist Erythromycin in der Leber konzentriert und in der Galle ausgeschieden; Die Wirkung der Leberfunktionsstörung auf die biliäre Ausscheidung von Erythromycin ist nicht bekannt. Nach oraler Verabreichung können weniger als 5% der verabreichten Dosis in der aktiven Form im Urin gewonnen werden.
Es werden optimale Blutspiegel erhalten, wenn Erythromycin -Basisfilmtabletten (Erythromycin -Tabletten) im Fastenzustand (mindestens 1/2 Stunden und vorzugsweise 2 Stunden vor den Mahlzeiten) angegeben sind. Bioavailability Daten sind verfügbar from Abbott Laboderatoderies Dept. 42W.
Mikrobiologie
Erythromycin wirkt durch Hemmung der Proteinsynthese durch Bindung von 50 -s -ribosomalen Untereinheiten von anfälligen Organismen. Es beeinflusst die Nukleinsäuresynthese nicht. Antagonismus wurde gezeigt in vitro zwischen Erythromycin und Clindamycin Lincomycin und Chloramphenicol.
Viele Stämme von Haemophilus Influenzae sind allein gegen Erythromycin resistent, sind aber anfällig für erythromycin und sulfonamide, die gleichzeitig verwendet werden.
Staphylokokken Resistent gegen Erythromycin kann während einer Erythromycin -Therapie entstehen.
Es wurde gezeigt, dass Erythromycin gegen die meisten Stämme der folgenden Mikroorganismen aktiv ist in vitro Und in clinical infections as described in the Indikationen Abschnitt.
Gram-positive Organismen:
CoryNebacterium diphtheriae
CoryNebacterium minutissimum
Listeria monocytogenes
Staphylococcus aureus (Resistente Organismen können während der Behandlung entstehen)
Streptococcus pneumoniae
Streptococcus pyogenes
Gramnegative Organismen:
Bordetella pertussis
Legionella pneumophila
Neisseria gonorrhoeae
Andere Mikroorganismen:
Chlamydien -Trachome
Entamoeba histolytica
Mycoplasma pneumoniae
Treponema blass
Ureaplasma urealytisch
Die folgende in vitro Daten sind verfügbar Ihre klinische Bedeutung ist jedoch unbekannt.
Erythromycin -Exponate in vitro minimale Hemmkonzentrationen (MICs) von 0,5 µg/ml oder weniger gegen die meisten (≥ 90%) Stämme der folgenden Mikroorganismen; Die Sicherheit und Wirksamkeit von Erythromycin bei der Behandlung klinischer Infektionen aufgrund dieser Mikroorganismen wurde jedoch in angemessenen und gut kontrollierten klinischen Studien nicht festgestellt.
Gram-positive Organismen:
Viridans -Gruppe Streptococci
Gramnegative Organismen:
Moraxella catarrhalis
Empfindlichkeitstests
Verdünnungstechniken
Quantitative Methoden werden verwendet, um antimikrobielle minimale Hemmkonzentrationen (MIC's) zu bestimmen. Diese MICs liefern Schätzungen der Anfälligkeit von Bakterien gegenüber antimikrobiellen Verbindungen. Die MICs sollten unter Verwendung eines standardisierten Verfahrens bestimmt werden. Standardisierte Verfahren basieren auf einer Verdünnungsmethode 1 (Brühe oder Agar) oder gleichwertig mit standardisierten Inokulumkonzentrationen und standardisierten Konzentrationen von Erythromycinpulver. Die MIC -Werte sollten nach den folgenden Kriterien interpretiert werden:
| Mikrofon (µg/ml) | Interpretation |
| ≤ 0,5 | Anfällige (en) |
| 1-4 | Zwischenprodukt (i) |
| ≥ 8 | Resistent (r) |
Ein Bericht über „anfällige“ zeigt, dass der Erreger wahrscheinlich inhibiert wird, wenn die antimikrobielle Verbindung im Blut die gewöhnlich erreichbaren Konzentrationen erreicht. Ein Bericht über Zwischenprodukt zeigt, dass das Ergebnis als nicht eindeutig angesehen werden sollte und wenn der Mikroorganismus nicht vollständig für alternative klinisch realisierbare Arzneimittel anfällig ist, sollte der Test wiederholt werden. Diese Kategorie impliziert eine mögliche klinische Anwendbarkeit an Körperstellen, an denen das Arzneimittel physiologisch konzentriert ist oder in Situationen, in denen eine hohe Dosierung des Arzneimittels angewendet werden kann. Diese Kategorie bietet auch eine Pufferzone, die verhindert, dass kleine, unkontrollierte technische Faktoren wichtige Diskrepanzen in der Interpretation verursachen. Ein Bericht über resistent zeigt, dass der Erreger wahrscheinlich nicht gehemmt wird, wenn die antimikrobielle Verbindung im Blut die gewöhnlich erreichbaren Konzentrationen erreicht. Eine andere Therapie sollte ausgewählt werden.
Standardisierte Anfälligkeitstestverfahren erfordern die Verwendung von Mikroorganismen der Laborkontrolle, um die technischen Aspekte der Laborverfahren zu kontrollieren. Standard -Erythromycin -Pulver sollte die folgenden MIC -Werte liefern:
| Mikroorganismus | Mikrofon (µg/ml) |
| S. aureus ATCC 29213 | 0,12-0,5 |
| E. faecalis ATCC 29212 | 1-4 |
Technische Verbreitung
Quantitative Methoden, die die Messung von Zonendurchmessern erfordern, liefern auch reproduzierbare Schätzungen der Anfälligkeit von Bakterien gegenüber antimikrobiellen Verbindungen. Ein solches standardisiertes Verfahren 2 Erfordert die Verwendung standardisierter Inokulumkonzentrationen. In diesem Verfahren werden Papierscheiben verwendet, die mit 15 µg Erythromycin imprägniert sind, um die Anfälligkeit von Mikroorganismen gegenüber Erythromycin zu testen.
Berichte aus dem Labor, die Ergebnisse des Standard-Suszeptibilitätstests mit einer Einzelscheibe mit einer 15 µg Erythromycin-Festplatte liefern, sollte nach folgenden Kriterien interpretiert werden:
| Zonendurchmesser (mm) | Interpretation |
| ≥ 23 | Anfällige (en) |
| 14-22 | Zwischenprodukt (i) |
| ≤ 13 | Resistent (r) |
Interpretation should be as stated above foder results using dilution techniques. Interpretation involves coderrelation of the diameter obtained in the disk test with the MIC foder erythromycin.
Wie bei standardisierten Verdünnungstechniken erfordern Diffusionsmethoden die Verwendung von Mikroorganismen der Laborkontrolle, die zur Kontrolle der technischen Aspekte der Laborverfahren verwendet werden. Für die Diffusionstechnik sollte die 15 µg Erythromycin-Scheibe die folgenden Zonendurchmesser in diesen Labortest-Qualitätskontrollstämmen liefern:
| Mikroorganismus | Zonendurchmesser (mm) |
| S. aureus ATCC 25923 | 22-30 |
Referenzen
1. Nationales Komitee für klinische Laborstandards. Methoden zur Verdünnung antimikrobieller Suszeptibilitätstests für Bakterien, die aerob wachsen Dritte Ausgabe. Zugelassener Standard-NCCLS-Dokument M7-A3 Vol. 13 Nr. 25 NCCLS Villanova PA Dezember
2. Nationales Komitee für klinische Laborstandards Leistungsstandards für antimikrobielle Festplattenanfälligkeitstests Fünfte Ausgabe. Zugelassenes Standard-NCCLS-Dokument M2-A5 Vol. 13 Nr. 24 NCCLS Villanova PA Dezember 1993.
Patienteninformationen für Erythromycin -Basisfilmtab
Die Patienten sollten beraten werden, dass antibakterielle Medikamente einschließlich Erythromycin -Basis -Filmtab -Tabletten nur zur Behandlung von bakteriellen Infektionen verwendet werden sollten. Sie behandeln keine Virusinfektionen (z. B. die Erkältung). Wenn erythromycin -Basis -Filmtab -Tabletten zur Behandlung einer bakteriellen Infektion verschrieben werden, sollte Patienten mitgeteilt werden, dass es zwar üblich ist, sich im Verlauf der Therapie gemeinsam besser zu fühlen, sollten die Medikamente genau wie gerichtet eingenommen werden. Das Überspringen von Dosen oder nicht abschließend den vollständigen Therapieverlauf kann (1) die Wirksamkeit der sofortigen Behandlung verringern und (2) die Wahrscheinlichkeit erhöhen, dass Bakterien Resistenz entwickeln und nicht durch Erythromycin -Basis -Filmtab (Erythromycin -Tabletten) Tabletten oder andere antibakterielle Drogen in der Zukunft in Zukunft nicht behandelt werden können.