Die Informationen Auf Dieser Website Stellen Keine Medizinische Beratung Dar. Wir Verkaufen Nichts. Die Richtigkeit Der Übersetzung Wird Nicht Garantiert. Haftungsausschluss
Antivirale, HSV
Valtrex
Drogenzusammenfassung
Was ist Valtrex?
Valtrex (Valacyclovir) ist ein Virostatikum Medikamente zur Behandlung von Infektionen mit:
- Herpes Zoster ( Gürtelrose )
- Herpes einfaches Genital (Genital Herpes)
- und Herpes labialis (Fieberbläschen).
Was ist Valtrex?
Was sind Nebenwirkungen von Valtrex?
Valtrex kann schwerwiegende Nebenwirkungen verursachen, einschließlich:
- Einfache Blutergüsse oder Blutungen (lila oder rote Flecken unter der Haut)
- wenig oder kein Urinieren
- schmerzhaftes oder schwieriges Urinieren
- Schwellung in Ihren Füßen oder Knöcheln
- müde und
- Kurzatmigkeit
Holen Sie sich sofort medizinische Hilfe, wenn Sie eines der oben aufgeführten Symptome haben.
Zu den Nebenwirkungen von Valtrex gehören:
- Kopfschmerzen
- Schwindel
- müde Gefühl
- Depression
- Brechreiz
- Erbrechen
- Magenschmerzen
- Gelenkschmerzen
- Menstruationsschmerzen
- Hautausschlag
- verstopfte Nase
- oder Halsschmerzen .
Dosierung für Valtrex
Die Dosis von Valtrex hängt von der Behandlung der Erkrankung ab. Valtrex wird als Caplets angenommen, die mit oder ohne Nahrung eingenommen werden können.
Welche Medikamentensubstanzen oder Nahrungsergänzungsmittel interagieren mit Valtrex?
Valtrex kann mit Lithium -Methotrexatschmerzen interagieren oder Arthritis Medikamente zur Behandlung verwendet Colitis ulcerosa Medikamente zur Vorbeugung von Abstoßung von Organtransplantationen IV Antibiotika antivirale Medikamente oder Krebsmedikamente. Sagen Sie Ihrem Arzt alle Medikamente und Nahrungsergänzungsmittel, die Sie verwenden.
Valtrex während der Schwangerschaft oder des Stillens
Valtrex zeigte in Tierstudien keine Auswirkungen auf den Fötus; Bei schwangeren Frauen gab es jedoch keine angemessene Bewertung von Valtrex oder (Acyclovir). Valtrex sollte nur während der Schwangerschaft eingesetzt werden, wenn die Vorteile der Mutter die Risiken für den Fötus überwiegen. Die Sicherheit von Valtrex beim Stillen von Säuglingen wurde nicht festgestellt. Andere Methoden als das Stillen sollten berücksichtigt werden, wenn während der Pflege Valtrex eingenommen werden muss.
Weitere Informationen
Unser Valrex -Nebenwirkungen Arzneimittelzentrum bietet einen umfassenden Überblick über die verfügbaren Arzneimittelinformationen über die potenziellen Nebenwirkungen bei der Einnahme dieses Medikaments.
FDA -Drogeninformationen
- Drogenbeschreibung
- Indikationen
- Dosierung
- Nebenwirkungen
- Warnungen
- Überdosis
- Klinische Pharmakologie
- Medikamentenhandbuch
Beschreibung für Valtrex
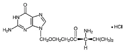
Valtrex (Valacyclovirhydrochlorid) ist das Hydrochloridsalz des L-Valylester des Virostatikum Medikament Acyclovir.
Valtrex Caplets dienen zur oralen Verabreichung. Jedes Caplet enthält Valacyclovir -Hydrochlorid -äquivalent zu 500 mg oder 1 Gramm Valacyclovir und die inaktiven Inhaltsstoffe Carnuba Wachs kolloidal Silicon Dioxid Crospovidon FD
Der chemische Name des Valacyclovir-Hydrochlorids ist L-Valin 2-[(2-Amino-16-Dihydro-6-Oxo-9H-Purin-9-yl) -Methoxy-Ethylestermonohydrochlorid. Es hat die folgende strukturelle Formel:
|
Valacyclovir-Hydrochlorid ist ein weißes bis achftes Pulver mit der molekularen Formel C. 13 H 20 N 6 O 4 • HCl und ein Molekulargewicht von 360,80. Die maximale Löslichkeit in Wasser bei 25 ° C beträgt 174 mg/ml. Die PKAs für Valacyclovir -Hydrochlorid sind 1,90 7,47 und 9,43.
Verwendet für Valtrex
Erwachsene Patienten
Fieberbläschen (Herpes labialis)
Valtrex ist für die Behandlung von Fieberbläschen (Herpes labialis) angezeigt. Die Wirksamkeit von Valtrex, die nach der Entwicklung klinischer Anzeichen einer kalten Schmerzen (z. B. Papule -Vesikel oder Geschwüre) initiiert wurde, wurde nicht festgestellt.
Genitalherpes
Initiale Episode
Valrex ist für die Behandlung der ersten Episode von Herpes genitalis bei immunkompetenten Erwachsenen angezeigt. Die Wirksamkeit der Behandlung mit Valtrex, wenn sie mehr als 72 Stunden nach Einsetzen von Anzeichen und Symptomen eingeleitet wurde, wurde nicht festgestellt.
Wiederkehrende Episoden
Valtrex ist für die Behandlung rezidivierender Episoden von Herpes genitalis bei immunkompetenten Erwachsenen angezeigt. Die Wirksamkeit der Behandlung mit Valtrex, wenn sie mehr als 24 Stunden nach Einsetzen von Anzeichen und Symptomen eingeleitet wurde, wurde nicht festgestellt.
Suppressive Therapie
Valrex ist für die chronische Suppressive der wiederkehrenden Episoden von Genitalherpes bei immunkompetenten und bei HIV-1-infizierten Erwachsenen angezeigt. Die Wirksamkeit und Sicherheit von Valtrex für die Unterdrückung von Herpes genitalis über 1 Jahr bei immunkompetenten Patienten und über 6 Monate bei HIV-1-infizierten Patienten wurde nicht festgestellt.
Verringerung der Übertragung
Valrex ist für die Verringerung der Übertragung von Herpes genitalis bei immunkompetenten Erwachsenen angezeigt. Die Wirksamkeit von Valtrex zur Verringerung der Übertragung von Herpes genitalis über 8 Monate bei nicht übereinstimmenden Paaren wurde nicht festgestellt. Die Wirksamkeit von Valtrex zur Reduzierung der Übertragung von Herpes genitalis bei Personen mit mehreren Partnern und nicht-heterosexuellen Paaren wurde nicht festgestellt. Safer Sex -Praktiken sollten mit einer unterdrückenden Therapie angewendet werden (siehe Aktuelle Zentren für die Kontrolle und Prävention von Krankheiten [CDC] sexuell übertragbare Krankheiten Behandlungsrichtlinien ).
Herpes Zoster
Valtrex ist für die Behandlung von Herpes Zoster (Schindeln) bei immunkompetenten Erwachsenen angezeigt. Die Wirksamkeit von Valtrex, wenn sie mehr als 72 Stunden nach Einsetzen von Hautausschlägen und die Wirksamkeit und Sicherheit von Valtrex zur Behandlung von dissemininiertem Herpes Zoster initiierte.
Pädiatrische Patienten
Fieberbläschen (Herpes labialis)
Valtrex ist für die Behandlung von Fieberbläschen (Herpes labialis) bei pädiatrischen Patienten im Alter von mehr oder gleich 12 Jahren angezeigt. Die Wirksamkeit von Valtrex, die nach der Entwicklung klinischer Anzeichen einer kalten Schmerzen (z. B. Papule -Vesikel oder Geschwüre) initiiert wurde, wurde nicht festgestellt.
Windpocken
Valrex ist für die Behandlung von Windpocken bei immunkompetenten pädiatrischen Patienten im Alter von 2 bis weniger als 18 Jahren angezeigt. Basierend auf Wirksamkeitsdaten aus klinischen Studien mit oraler Acyclovir -Behandlung mit Valtrex sollten innerhalb von 24 Stunden nach Einsetzen des Ausschlags eingeleitet werden [siehe Klinische Studien ].
Einschränkungen der Nutzung
Die Wirksamkeit und Sicherheit von Valtrex wurde nicht festgestellt in:
- Immungeschwächte Patienten, die andere als zur Unterdrückung von Genitalherpes bei HIV-1-infizierten Patienten mit einer CD4-Zellzahl größer oder gleich 100 Zellen/mm³ sind, als zur Unterdrückung von Patienten.
- Patienten im Alter von weniger als 12 Jahren mit Fieberbläschen (Herpes labialis).
- Patienten im Alter von weniger als 2 Jahren oder höher als 18 Jahre mit Windpocken.
- Patienten im Alter von weniger als 18 Jahren mit Herpes genitalis.
- Patienten im Alter von weniger als 18 Jahren mit Herpes Zoster.
- Neugeborene und Säuglinge als Unterdrückungstherapie nach Infektion mit Neugeborenen -Herpes -Simplex -Virus (HSV).
Dosierung für Valtrex
- Valtrex kann ohne Rücksicht auf die Mahlzeiten gegeben werden.
- Valacyclovir orale Suspension (25 mg/ml oder 50 mg/ml) können aus 500 mg Valtrex-Tabletten zur Verwendung bei pädiatrischen Patienten, für die ein festes Dosierungsformular nicht geeignet ist Dosierung und Verwaltung ].
Erwachsene Dosierungsempfehlungen
Fieberbläschen (Herpes labialis)
Die empfohlene Dosierung von Valtrex zur Behandlung von Fieberbläschen beträgt 2 Gramm zweimal täglich, wenn es sich um einen Tag von 12 Stunden entfernt. Die Therapie sollte zum frühesten Symptom einer kalten Schmerzen (z. B. Juckreiz oder Brennen) eingeleitet werden.
Genitalherpes
Initiale Episode
Die empfohlene Dosierung von Valtrex zur Behandlung von anfänglichen Herpes im Genital ist 10 Tage lang zwei zweimal täglich. Die Therapie war am effektivsten, wenn sie innerhalb von 48 Stunden nach Beginn der Anzeichen und Symptome verabreicht wurde.
Wiederkehrende Episoden
Die empfohlene Dosierung von Valtrex zur Behandlung von wiederkehrenden Herpes genitalis beträgt 500 mg zweimal täglich für 3 Tage. Initiieren Sie die Behandlung beim ersten Anzeichen oder Symptom einer Episode.
Suppressive Therapie
Die empfohlene Dosierung von Valtrex für die chronische Unterdrückungstherapie von rezidivierenden Herpes genitalis ist bei Patienten mit normaler Immunfunktion 1 Gramm einmal täglich. Bei Patienten mit einer Vorgeschichte von 9 oder weniger Rezidiven pro Jahr beträgt eine alternative Dosis einmal täglich 500 mg.
Bei HIV-1-infizierten Patienten mit einer CD4-Zellzahl größer oder gleich 100 Zellen/mm³ beträgt die empfohlene Dosierung von Valtrex für die chronische Suppressentherapie von wiederkehrenden Herpes genitalis 500 mg zweimal täglich.
Verringerung der Übertragung
Die empfohlene Dosierung von Valtrex zur Verringerung der Übertragung von Herpes genitalis bei Patienten mit einer Vorgeschichte von 9 oder weniger Rezidiven pro Jahr beträgt für den Quellpartner 500 mg einmal täglich.
Herpes Zoster
Die empfohlene Dosierung von Valtrex zur Behandlung von Herpes Zoster beträgt 7 Tage lang 3 -mal täglich. Die Therapie sollte zum frühesten Anzeichen oder Symptom von Herpes Zoster eingeleitet werden und ist am effektivsten, wenn sie innerhalb von 48 Stunden nach Ausbruch des Ausbruchs begonnen wird.
Pädiatrische Dosierungsempfehlungen
Fieberbläschen (Herpes labialis)
Die empfohlene Dosierung von Valtrex zur Behandlung von Fieberbläschen bei pädiatrischen Patienten im Alter von mehr oder gleich 12 Jahren beträgt 2 Gramm zweimal täglich für 1 Tag, die 12 Stunden voneinander entfernt wurden. Die Therapie sollte zum frühesten Symptom einer kalten Schmerzen (z. B. Juckreiz oder Brennen) eingeleitet werden.
Windpocken
Die empfohlene Dosierung von Valtrex zur Behandlung von Windpocken bei immunkompetenten pädiatrischen Patienten im Alter von 2 bis weniger als 18 Jahren beträgt 5 Tage täglich 20 mg/kg. Die Gesamtdosis sollte 1 Gramm nicht dreimal täglich überschreiten. Die Therapie sollte zum frühesten Anzeichen oder Symptom eingeleitet werden [siehe Verwendung in bestimmten Populationen Klinische Pharmakologie Klinische Studien ].
Unvorbereitetes Vorbereitung der oralen Suspension
Zutaten und Vorbereitung nach USP-NF
Valtrex-Tabletten 500 mg Kirschgeschmack und hängendes strukturiertes Fahrzeug USP-NF (SSV). Valacyclovir orale Suspension (25 mg/ml oder 50 mg/ml) sollte in vielen 100 ml hergestellt werden.
Anweisungen zur Vorbereitung der Suspendierung zum Zeitpunkt der Abgabe
- Bereiten Sie SSV nach USP-NF vor.
- Unter Verwendung eines Stößel und Mörtel mahlen die erforderliche Anzahl von Valtrex 500-mg-Tabletten, bis ein feines Pulver erzeugt wird (5 Valtrex-Tabletten für 25 mg/ml-Suspension; 10 Valtrex-Tabletten für 50 mg/ml-Suspension).
- Nach und nach ungefähr 5-ml-Aliquots SSV zum Mörtel und das Pulver triturieren, bis eine Paste erzeugt wurde. Stellen Sie sicher, dass das Pulver ausreichend benetzt wurde.
- Fügen Sie weiterhin ungefähr 5-ml-Aliquots SSV zum Mörtelmisch zwischen Additionen hinzu, bis eine konzentrierte Suspension zu einer minimalen Gesamtmenge von 20 ml SSV und einer maximalen Gesamtmenge von 40 ml SSV sowohl für die 25-mg/ml- als auch für 50 mg/ml-Suspensionen erzeugt wird.
- Übertragen Sie die Mischung in einen geeigneten 100-ml-Messkolben.
- Übertragen Sie den Kirschgeschmack* in den Mörtel und löst sich in ungefähr 5 ml SSV auf. Einmal gelöst zu dem Messkolben.
- Spülen Sie den Mörtel mindestens dreimal mit ungefähr 5-ml-Aliquots SSV aus und übertragen die Spülung auf den Messkolben zwischen den Ergänzungen.
- Machen Sie die Aufhängung mit SSV auf Volumen (100 ml) und schütteln Sie gründlich, um sie zu mischen.
- Übertragen Sie die Federung in eine Bernsteinglas-Medizinflasche mit einem kinderresistenten Verschluss.
- Die vorbereitete Suspension sollte mit den folgenden Informationen gekennzeichnet werden, die vor der Verwendung gut erschütteten. Lagern Sie die Suspension zwischen 2 ° C bis 8 ° C (36 ° F bis 46 ° F) in einem Kühlschrank. Nach 28 Tagen wegwerfen.
*Die Menge an Kirschgeschmack wird wie von den Lieferanten des Kirschgeschmacks angewiesen.
Patienten mit Nierenbehinderung
Dosierung recommendations foder adult patients with reduced renal function are provided in Table 1 [sehen Verwendung in bestimmten Populationen Klinische Pharmakologie ]. Daten are not available foder the use of Valtrex in pediatric patients with a creatinine clearance less than 50 mL/min/1.73 m².
Tabelle 1: Empfehlungen zur Dosierung von Valtex für Erwachsene mit Nierenbeeinträchtigungen
| Indikationen | Regime (Kreatinin -Clearance ≥ 50 ml/min) | Kreatinin -Clearance (ml/min) | ||
| 30-49 | 10-29 | <10 | ||
| Fieberbläschen (Herpes labialis) überschreiten 1 Tag der Behandlung nicht. | Zwei 2-Gramm-Dosen, die 12 Stunden voneinander entfernt wurden | Zwei 1-Gramm-Dosen, die 12 Stunden voneinander entfernt wurden | Zwei 500-mg-Dosen, die 12 Stunden voneinander entfernt wurden | 500-mg-Einzeldosis |
| Genitalherpes: Initiale Episode | 1 Gramm alle 12 Stunden | Keine Reduzierung | 1 Gramm alle 24 Stunden | 500 mg alle 24 Stunden |
| Genitalherpes: Wiederkehrende Episode | 500 mg alle 12 Stunden | Keine Reduzierung | 500 mg alle 24 Stunden | 500 mg alle 24 Stunden |
| Herpes genitalis: Unterdrückungstherapie | ||||
| Immunkompetente Patienten | 1 Gramm alle 24 Stunden | Keine Reduzierung | 500 mg alle 24 Stunden | 500 mg alle 24 Stunden |
| Alternative Dosis für immunkompetente Patienten mit weniger als oder gleich 9 Rezidiven/Jahr | 500 mg alle 24 Stunden | Keine Reduzierung | 500 mg alle 48 Stunden | 500 mg alle 48 Stunden |
| HIV-1-infizierte Patienten | 500 mg alle 12 Stunden | Keine Reduzierung | 500 mg alle 24 Stunden | 500 mg alle 24 Stunden |
| Herpes Zoster | 1 Gramm alle 8 Stunden | 1 Gramm alle 12 Stunden | 1 Gramm alle 24 Stunden | 500 mg alle 24 Stunden |
Hämodialyse
Patienten, die eine Hämodialyse benötigen, sollten nach Hämodialyse die empfohlene Dosis von Valtrex erhalten. Während der Hämodialyse beträgt die Halbwertszeit von Acyclovir nach der Verabreichung von Valtrex ungefähr 4 Stunden. Etwa ein Drittel Acyclovir im Körper wird während einer 4-stündigen Hämodialysesitzung durch Dialyse entfernt.
Fentanyl Patch 25 MCG Straßenwert
Peritonealdialyse
Es gibt keine Informationen für die Verabreichung von Valtrex bei Patienten, die Peritonealdialyse erhalten. Die Wirkung der chronischen ambulanten Peritonealdialyse (CAPD) und der kontinuierlichen arteriovenösen Hämofiltration/Dialyse (CAVHD) auf die Pharmakokinetik von Acyclovir wurde untersucht. Die Entfernung von Acyclovir nach CAPD und CAVHD ist weniger ausgeprägt als bei Hämodialyse und die pharmakokinetischen Parameter ähneln stark denen, die bei Patienten mit Nierenerkrankungen im Endstadium (ESRD) beobachtet werden, die keine Hämodialyse erhalten. Daher sollte nach CAPD oder Cavhd keine zusätzlichen Dosen von Valtrex erforderlich sein.
Wie geliefert
Dosierung Foderms And Strengths
Tabletten
- 500-mg: Jedes blau-filmbeschichtete Kapsel-förmige Tablet, gedruckt mit Valtex 500 mg, enthält 556,2 mg Valacyclovir-Hydrochlorid, die 500 mg der freien Basis entsprechen.
- 1-Gramm: Jedes blau-filmbeschichtete Kapsel-förmige Tablet mit einer teilweisen Score-Bar auf beiden Seiten, die mit Valtrex 1 Gramm gedruckt ist, enthält 1,112 Gramm Valacyclovir-Hydrochlorid entspricht 1 Gramm der freien Basis.
Lagerung und Handhabung
Valtrex Tabletten (blau-filmbeschichtete Kapsel-förmige Tabletten, gedruckt mit Valtex 500 mg) mit 556,2 mg Valacyclovir-Hydrochlorid enthält 500 mg Valacyclovir.
Flasche 30 ( NDC 0173-0933-08).
Flasche von 90 ( NDC 0173-0933-10).
Valtrex Tabletten (blau-filmbeschichtete Kapsel-förmige Tabletten mit einer teilweisen Score-Bar auf beiden Seiten, die mit Valtrex 1 Gramm gedruckt sind) mit 1,112 Gramm Valacyclovir-Hydrochlorid enthält, entspricht 1 Gramm Valacyclovir.
Flasche 30 ( NDC 0173-0565-04).
Flasche von 90 ( NDC 0173-0565-10).
Lagerung
Lagern Sie bei 15 ° C bis 25 ° C (59 ° F bis 77 ° F). In einem gut abgeschlossenen Behälter wie im USP definierten Container geben.
Verteilt von: GlaxoSmithKline Durham NC 27701. Überarbeitet: Nov 2022.
Nebenwirkungen für Valtrex
Die folgenden schwerwiegenden Nebenwirkungen werden in anderen Abschnitten der Kennzeichnung ausführlicher erörtert:
- Thrombotischer thrombozytopenischer Purpura /hämolytisches urämisches Syndrom [siehe Warnungen und Vorsichtsmaßnahmen ].
- Akutes Nierenversagen [sehen Warnungen und Vorsichtsmaßnahmen ].
- Effekte des Zentralnervensystems [siehe Warnungen und Vorsichtsmaßnahmen ].
Die häufigsten Nebenwirkungen, die bei mindestens 1 Indikation von mehr als 10% der mit Valtrex behandelten adulten Probanden berichtet und häufiger mit Valtrex beobachtet wurden als Placebo, sind Kopfschmerz -Übelkeit und Bauchschmerzen. Die einzige nachteilige Reaktion, die bei mehr als 10% der pädiatrischen Probanden im Alter von weniger als 18 Jahren berichtet wurde, waren Kopfschmerzen.
Klinische Studien Erfahrung bei erwachsenen Probanden
Da klinische Studien unter sehr unterschiedlichen Bedingungen durchgeführt werden, die in den klinischen Studien eines Arzneimittels in den klinischen Studien eines anderen Arzneimittels nicht direkt mit den in der Praxis beobachteten Raten nicht direkt mit den Raten in den klinischen Studien eines anderen Arzneimittels beobachtet werden.
Fieberbläschen (Herpes labialis)
In klinischen Studien zur Behandlung von Fieberbläschen enthielt die unerwünschten Reaktionen von Probanden, die Valtrex 2 Gramm zweimal täglich (n = 609) oder Placebo (n = 609) für 1 Tag erhielten, Kopfschmerzen (14% 10%) und Schwindel (2% 1%). Die Frequenzen von abnormalem ALT (mehr als 2 x Uln) betrugen 1,8% für Probanden, die Valtrex erhielten, verglichen mit 0,8% für Placebo. Andere Laboranomalien ( Hämoglobin Weiße Blutkörperchen alkalische Phosphatase und Serumkreatinin) traten bei ähnlichen Frequenzen in den beiden Gruppen auf.
Genitalherpes
Initiale Episode
In einer klinischen Studie zur Behandlung von ersten Episoden von Genitalherpes die Nebenwirkungen von mehr als oder gleich 5% der Probanden, die Valtex 1 Gramm zweimal täglich für 10 Tage (n = 318) oder orales Acyclovir 200 mg täglich für 10 Tage (n = 318) erhielten, enthielten 10 Tage (n = 318). Für die Inzidenz von Laboranomalien siehe Tabelle 2.
Wiederkehrende Episoden
In 3 klinischen Studien zur episodischen Behandlung von rezidivierenden Genitalherpes Die unerwünschten Reaktionen von mehr als oder gleich 5% der Probanden, die Valrex 500 mg zweimal täglich für 3 Tage (n = 402) erhalten (n = 402) Valtex 500 mg zweimal täglich 5 Tage täglich (N = 1136) (N = 259), inklusive 1%% 11% 14% ig. Für die Inzidenz von Laboranomalien siehe Tabelle 2.
Suppressive Therapie
Unterdrückung rezidivierender Genitalherpes bei immunkompetenten Erwachsenen: In einer klinischen Studie zur Unterdrückung von rezidivierenden Genitalherpes -Infektionen Die unerwünschten Reaktionen von Probanden, die Valtex 1 Gramm 1 Gramm einmal täglich (n = 269) berichtet, einmal täglich (N = 266) (N = 134) (N = 134) (34%) (N = 134), wurde der Kopfschmerzen (35% 34%) (34%) (34%) (34%) (34%) (34%). 8%) Bauchschmerzen (11% 9% 6%) Dysmenorrhoe (8% 5% 4%) Depression (7% 5% 5%) Arthralgie (6% 5% 4%) Erbrechen (3% 3% 2%) und Schwindel (4% 2% 1%). Für die Inzidenz von Laboranomalien siehe Tabelle 2.
Unterdrückung rezidivierender Genitalherpes bei HIV-1-infizierten Probanden: Bei HIV-1-infizierten Probanden berichteten häufig Nebenwirkungen von Valtrex (500 mg zweimal täglich; n = 194 mittlere Tage bei Therapie = 172) und Placebo (n = 99 mittlere Tage an der Therapie = 59) einbezogen (8%). Nach dem Strandomisierungslaboranomalien, die bei ValacyClovir-Probanden gegen Placebo häufiger berichtet wurden, umfassten erhöhte alkalische Phosphatase (4% 2%) erhöhte ALT (14% 10%) erhöhte AST-AST-(16% 11%) verringerten die Anzahl der neutrophilen Anzahl (18% 10%) und verringerten die Anzahl der Plättchen (3% 0%).
Verringerung der Übertragung
In einer klinischen Studie zur Verringerung der Übertragung von Herpes des Genitalus die Nebenwirkungen von Probanden, die einmal täglich 500 mg Valtrex 500 mg erhalten (n = 743), oder ein Placebo einmal täglich (n = 741) umfassten eine Kopfschmerzen (29% 26%) Nasopharyngitis (16% 15%) bzw. obere Atemwegsinfektion (9% 10%).
Herpes Zoster
In 2 klinischen Studien zur Behandlung von Herpes Zoster enthielt die unerwünschten Reaktionen von Probanden, die Valtrex 1 Gramm 3 -mal täglich für 7 bis 14 Tage (n = 967) oder Placebo (n = 195) täglich erhielten. Für die Inzidenz von Laboranomalien siehe Tabelle 2.
Tabelle 2: Inzidenz (%) der Laboranomalien in Herpes Zoster- und Genital -Herpes -Versuchspopulationen
| Laboranomalie | Herpes Zoster | Genitalherpes Treatment | Genitalherpes Suppression | |||||
| Valtrex 1 gram 3 Times Daily (n = 967) | Placebo (n = 195) | Valtrex 1 gram Twice Daily (n = 1194) | Valtrex 500 mg Twice Daily (n = 1159) | Placebo (n = 439) | Valtrex 1 gram Once Daily (n = 269) | Valtrex 500 mg Once Daily (n = 266) | Placebo (n = 134) | |
| Hämoglobin ( <0.8 x LLN) | 0,8% | 0% | 0,3% | 0,2% | 0% | 0% | 0,8% | 0,8% |
| Weiße Blutkörperchen ( <0.75 x LLN) | 1,3% | 0,6% | 0,7% | 0,6% | 0,2% | 0,7% | 0,8% | 1,5% |
| Thrombozytenzählung ( <100000/mm³) | 1,0% | 1,2% | 0,3% | 0,1% | 0,7% | 0,4% | 1,1% | 1,5% |
| AST (SGOT) (> 2 x Uln) | 1,0% | 0% | 1,0% | a | 0,5% | 4,1% | 3,8% | 3,0% |
| Serumkreatinin (> 1,5 x Uln) | 0,2% | 0% | 0,7% | 0% | 0% | 0% | 0% | 0% |
| a Die Daten wurden nicht prospektiv gesammelt. LLN = Untergrenze der Normalen. ULN = Obergrenze des Normalen. |
Klinische Studien Erfahrung in pädiatrischen Probanden
Das Sicherheitsprofil von Valtrex wurde bei 177 pädiatrischen Probanden im Alter von 1 Monat bis weniger als 18 Jahren untersucht. 65 dieser pädiatrischen Probanden im Alter von 12 bis weniger als 18 Jahren erhielten 1 bis 2 Tage lang orale Tabletten zur Behandlung von Fieberbläschen. Die verbleibenden 112 pädiatrischen Probanden im Alter von 1 Monat bis weniger als 12 Jahren nahmen an 3 Pharmakokinetik- und Sicherheitsversuchen teil und erhielten die mündliche Suspendierung von Valacyclovir. Einundfünfzig dieser 112 pädiatrischen Probanden erhielten 3 bis 6 Tage orale Suspendierung. Die Frequenzintensität und Art von klinischen Nebenwirkungen und Laboranomalien waren ähnlich wie bei Erwachsenen.
Pädiatrische Probanden im Alter von 12 bis weniger als 18 Jahren (Fieberbläschen)
In klinischen Studien zur Behandlung von Fieberbläschen Die unerwünschten Reaktionen von jugendlichen Probanden, die Valtex 2 Gramm zwei zweimal täglich für 1 Tag oder Valtex 2 Gramm zweimal täglich für 1 Tag, gefolgt von 1 Gramm zweimal täglich für 1 Tag (n = 65 über beide Dosierungsgruppen) oder Placebo (n = 30) erhalten (17% 3%) (8%) (8%) (8%).
Pädiatrische Probanden im Alter von 1 Monat bis weniger als 12 Jahren
Unerwünschte Ereignisse, die in mehr als einem Subjekt in den 3 Pharmakokinetik- und Sicherheitsversuchen bei Kindern im Alter von 1 Monat bis weniger als 12 Jahren berichteten, waren Durchfall (5%) Pyrexie (4%) Dehydration (2%) Herpes -simplex (2%) und Rhinorrhoe (2%). Es wurden keine klinisch bedeutenden Veränderungen der Laborwerte beobachtet.
Nachmarkterfahrung
Zusätzlich zu unerwünschten Ereignissen, die aus klinischen Studien gemeldet wurden, wurden die folgenden Ereignisse während der Verwendung von Valtrex nach dem Stempeln identifiziert. Da sie freiwillig von einer Population unbekannter Größenschätzungen der Frequenz gemeldet werden, kann nicht vorgenommen werden. Diese Ereignisse wurden aufgrund einer Kombination ihrer Schwere der Berichterstattung oder einer potenziellen kausalen Verbindung zu Valtrex zur Einbeziehung ausgewählt.
Allgemein
Gesichtsödem Hypertonie Tachykardie.
Allergisch
Akute Überempfindlichkeitsreaktionen einschließlich Anaphylaxie Angioödem -Dyspnoe -Pruritus -Ausschlag und Urtikaria [siehe Kontraindikationen ].
Zentralnervensystem (ZNS) Symptome
Aggressives Verhalten; Agitation; Ataxia; Koma; Verwirrung; vermindertes Bewusstsein; Dysarthrie; Enzephalopathie; Manie; und Psychose einschließlich auditorischer und visueller Halluzinationen Beschlagnahme Zittern [siehe Warnungen und Vorsichtsmaßnahmen Verwendung in bestimmten Populationen ].
Auge
Visuelle Anomalien.
Magen -Darm
Durchfall.
Lebertrakt und Bauchspeicheldrüse
Leberenzym Anomalien Hepatitis.
Nieren
Nieren failure renal pain (may be associated with renal failure) [sehen Warnungen und Vorsichtsmaßnahmen Verwendung in bestimmten Populationen ].
Hämatologisch
Thrombozytopenie Aplastische Anämie Leukozytoklastische Vaskulitis TTP/HUS [siehe Warnungen und Vorsichtsmaßnahmen ].
Haut
Erythema Multiforme -Hautausschläge einschließlich der Alopezie von Photosensitivität.
Wechselwirkungen mit Arzneimitteln für Valrex
Es sind keine klinisch signifikanten Wechselwirkungen zwischen Arzneimitteln oder Arzneimittelfrüchten mit Valtrex bekannt [siehe Klinische Pharmakologie ].
Warnungen für Valtrex
Eingeschlossen als Teil der VORSICHTSMASSNAHMEN Abschnitt.
Vorsichtsmaßnahmen für Valtrex
Thrombotisches thrombozytopenisches Purpura/hämolytisches urämisches Syndrom (TTP/HUS)
TTP/HUS in einigen Fällen, was zum Tod führte, ist bei Patienten mit fortgeschrittener HIV-1-Erkrankung sowie bei allogenen Knochenmarktransplantationen und Nierentransplantatempfängern aufgetreten, die an klinischen Studien mit Valtrex in Dosen von 8 Gramm pro Tag teilnehmen. Die Behandlung mit Valtrex sollte sofort gestoppt werden, wenn klinische Symptome und Laboranomalien im Einklang mit TTP/HUS auftreten.
Akutes Nierenversagen
Es wurden Fälle von akutem Nierenversagen gemeldet in:
- Ältere Patienten mit oder ohne reduzierte Nierenfunktion. Bei der Verabreichung von Valrex an geriatrische Patienten sollte Vorsicht geboten werden, und für Patienten mit beeinträchtigter Nierenfunktion wird eine Dosierungsreduktion empfohlen [siehe Dosierung und Verwaltung Verwendung in bestimmten Populationen ].
- Patienten mit zugrunde liegenden Nierenerkrankungen, die für ihre Nierenfunktion mit höher als empfohlenen Dosen von Valtrex erhältlich waren. Eine Dosierungsreduktion wird empfohlen, wenn Patienten mit Nierenbeeinträchtigungen Valrex verabreichen [siehe Dosierung und Verwaltung Verwendung in bestimmten Populationen ].
- Patienten, die andere nephrotoxische Medikamente erhalten. Bei der Verabreichung von Valtex an Patienten, die potenziell nephrotoxische Arzneimittel erhalten, sollte Valtex Vorsicht geboten werden.
- Patienten ohne angemessene Flüssigkeitszufuhr. Die Ausfällung von Acyclovir in Nieren -Tubuli kann auftreten, wenn die Löslichkeit (NULL,5 mg/ml) in der intratubulären Flüssigkeit überschritten wird. Für alle Patienten sollte eine angemessene Hydratation beibehalten werden.
Im Falle eines akuten Nierenversagens und der Anurie kann der Patient von der Hämodialyse profitieren, bis die Nierenfunktion wiederhergestellt ist [siehe Dosierung und Verwaltung Nebenwirkungen ].
Effekte des Zentralnervensystems
Nebenwirkungen der Zentralnervensysteme, einschließlich der Halluzinationen von Agitation, wurden sowohl bei erwachsenen als auch bei pädiatrischen Patienten mit oder ohne verringerte Nierenfunktion und bei Patienten mit zugrunde liegenden Nierenerkrankungen, die für ihre Nierenfunktion mit einer höheren als als höhere als miteinander empfohlenen Dosen von Valtrex eine höher als die Nierenfunktion empfohlene Dosen erhalten haben, Verwirrungsanfälle und unreduzierte Nierenfunktionen. Ältere Patienten haben eher nachteilige Reaktionen des Zentralnervensystems. Valtrex sollte abgesetzt werden, wenn negative Reaktionen des Zentralnervensystems auftreten [siehe Nebenwirkungen Verwendung in bestimmten Populationen ].
Patientenberatungsinformationen
Raten Sie dem Patienten, die von der FDA zugelassene Patientenkennzeichnung (Patienteninformationen) zu lesen.
Bedeutung einer angemessenen Flüssigkeitszufuhr
Patienten sollten empfohlen werden, eine angemessene Hydratation aufrechtzuerhalten.
Verpasste Dosis
Weisen Sie die Patienten an, dass sie, wenn sie eine Dosis Valtrex verpassen, es sich annehmen, sobald sie sich erinnern. Raten Sie den Patienten, ihre nächste Dosis nicht zu verdoppeln oder mehr als die verschriebene Dosis zu nehmen.
Fieberbläschen (Herpes labialis)
Den Patienten sollte empfohlen werden, die Behandlung zum frühesten Symptom eines kalten Schmerzes zu initiieren (z. B. Juckreiz oder Verbrennung). Es gibt keine Daten zur Wirksamkeit der Behandlung, die nach der Entwicklung klinischer Anzeichen einer kalten Schmerzen (z. B. Papules -Vesikel oder Geschwür) eingeleitet wurde. Die Patienten sollten angewiesen werden, dass die Behandlung von Fieberbläschen 1 Tag (2 Dosen) nicht überschreiten sollte und dass ihre Dosen etwa 12 Stunden voneinander entfernt werden sollten. Die Patienten sollten darüber informiert werden, dass Valtrex keine Heilung für Fieberbläschen ist.
Genitalherpes
Die Patienten sollten darüber informiert werden, dass Valtrex kein Heilmittel für Herpes genitalis ist. Da Genitalherpes eine sexuell übertragbare Krankheit ist, sollte Patienten den Kontakt mit Läsionen oder Geschlechtern vermeiden, wenn Läsionen und/oder Symptome vorhanden sind, um infizierende Partner zu vermeiden. Genitalherpes wird häufig ohne Symptome durch asymptomatisches Virusabschub übertragen. Daher sollten Patienten beraten werden, Safer -Sexualpraktiken in Kombination mit einer unterdrückenden Therapie mit Valtrex zu verwenden. Sexuelle Partner infizierter Personen sollten empfohlen werden, dass sie möglicherweise infiziert sein, auch wenn sie keine Symptome haben. Typ-spezifische serologische Tests asymptomatischer Partner von Personen mit Herpes genitalis können feststellen, ob ein Risiko für eine HSV-2-Akquisition besteht.
Valtrex has not been shown to reduce transmission of sexually transmitted infections other than HSV-2.
Wenn das medizinische Management eines Genital -Herpes -Rezidivs angezeigt wird, sollte Patienten empfohlen werden, die Therapie beim ersten Anzeichen oder Symptom einer Episode zu initiieren.
Es gibt keine Daten über die Wirksamkeit der Behandlung, die mehr als 72 Stunden nach Einsetzen von Anzeichen und Symptomen einer ersten Episode von Herpes genitalis oder mehr als 24 Stunden nach Einsetzen von Anzeichen und Symptomen einer wiederkehrenden Episode eingeleitet wurde.
Es gibt keine Daten zur Sicherheit oder Wirksamkeit einer chronischen Unterdrückungstherapie von mehr als einer Jahresdauer bei ansonsten gesunden Patienten. Es gibt keine Daten zur Sicherheit oder Wirksamkeit einer chronischen Suppressiva-Therapie von mehr als 6 Monaten bei HIV-1-infizierten Patienten.
Herpes Zoster
Es gibt keine Daten zur Behandlung, die mehr als 72 Stunden nach Beginn des Zoster -Ausschlags eingeleitet wurde. Den Patienten sollte empfohlen werden, die Behandlung so bald wie möglich nach einer Diagnose von Herpes Zoster zu initiieren.
Windpocken
Den Patienten sollte empfohlen werden, die Behandlung zum frühesten Anzeichen oder zum Symptom von Windpocken zu initiieren.
Nichtklinische Toxikologie
Karzinogenese -Mutagenese -Beeinträchtigung der Fruchtbarkeit
Die nachstehend dargestellten Daten enthalten Verweise auf den stationären Acyclovir AUC, der beim Menschen, das mit 1 Gramm Valtrex behandelt wurde, oral 3-mal täglich zur Behandlung von Herpes-Zoster oral beobachtet wird. Plasma -Arzneimittelkonzentrationen in tierischen Studien werden als Vielfache der menschlichen Exposition gegenüber Acyclovir ausgedrückt [siehe Klinische Pharmakologie ].
Karzinogenese
Valacyclovir war bei einzelnen täglichen Dosen (Gavage) des Valacyclovirs, das Plasma -Acyclovir -Konzentrationen entspricht, nicht karzinogen in lebenslanger Karzinogenitätsbioassays, die dem menschlichen Niveau im Maus -Bioassay und im Bioassay der Ratten -Bioassay mit 1,4 bis 2,3 Zeiten entsprechen. Es gab keinen signifikanten Unterschied in der Inzidenz von Tumoren zwischen behandelten und Kontrolltieren, noch verkürzte Valacyclovir die Latenz von Tumoren.
Mutagenese
Valacyclovir wurde in 5 genetischen Toxizitätstests getestet. Ein Ames -Assay war in Abwesenheit oder Gegenwart einer metabolischen Aktivierung negativ. Negativ waren auch eine in vitro -zytogenetische Studie mit menschlichen Lymphozyten und einer zytogenetischen Rattenstudie.
Im Maus -Lymphom -Assay war Valacyclovir in Abwesenheit einer metabolischen Aktivierung nicht mutagen. In Gegenwart einer metabolischen Aktivierung (76% bis 88% Umwandlung in Acyclovir) war Valacyclovir mutagen.
Valacyclovir war mutagen in einem Maus -Mikronukleus -Assay.
Beeinträchtigung der Fruchtbarkeit
Valacyclovir beeinträchtigte die Fruchtbarkeit oder Reproduktion bei männlichen oder weiblichen Ratten bei Acyclovir -Expositionen (AUC) 6 -mal höher als bei Menschen angesichts der MRHD. Die Hodenatrophie trat bei männlichen Ratten auf (oral dosiert für 97 Tage nach dem 18 -fachen der MRHD) und war reversibel.
Verwendung in bestimmten Populationen
Schwangerschaft
Risikozusammenfassung
Klinische Daten über mehrere Jahrzehnte mit Valacyclovir und seinem Metaboliten -Acyclovir bei schwangeren Frauen haben kein medikamenten damit verbundenes Risiko für schwere Geburtsfehler identifiziert. Es gibt nicht genügend Daten zur Verwendung von Valacyclovir über Fehlgeburten oder nachteilige Ergebnisse der Mutter oder des Fötus (siehe Daten ). There are risks to the fetus associated with untreated herpes simplex during pregnancy (see Klinische Überlegungen ).
In den Studien zur Fortpflanzung von Tiervervielfällen wurden bei Valacyclovir keine Hinweise auf unerwünschte Entwicklungsergebnisse beobachtet, wenn sie schwangeren Ratten und Kaninchen bei Systemexpositionen (AUC) 4 (Ratten) und 7 (Kaninchen), die die menschliche Exposition bei der maximal empfohlenen Dosis (MRHD) (siehe) (siehe) verabreicht wurden, verabreicht. Daten ).
Das geschätzte Hintergrundrisiko von schweren Geburtsfehlern und Fehlgeburten für die angegebenen Populationen ist unbekannt. Alle Schwangerschaften haben ein Hintergrundrisiko für einen Verlust von Geburtsfehlern oder andere nachteilige Ergebnisse. In der US -allgemeinen Bevölkerung beträgt das geschätzte Hintergrundrisiko für größere Geburtsfehler und eine Fehlgeburt bei klinisch anerkannten Schwangerschaften 2% bis 4% bzw. 15% bis 20%.
Klinische Überlegungen
Krankheitsassoziierte mütterliche und/oder embryo/fetale Risiko
Das Risiko einer HSV -Infektion mit Neugeborenen variiert zwischen 30% und 50% für das in der späten Schwangerschaft (dritte Trimester) erworbene Genital -HSV, während das Risiko einer Neugeborenen -Infektion bei der HSV -Erfassung in der frühen Schwangerschaft bei etwa 1% beträgt. Ein primäres Herpes im ersten Trimester der Schwangerschaft wurde mit einer Mikrozephalie von Neugeborenen -Chorioretinitis und in seltenen Fällen Hautläsionen in Verbindung gebracht. In sehr seltenen Fällen kann eine transplazentale Übertragung auftreten, was zu einer angeborenen Infektion führen kann, einschließlich der intrauterinen Wachstumsbeschränkung und der Totgeburt in der intrauterinen Intrauterin. Die Koinfektion mit HSV erhöht das Risiko einer perinatalen HIV-Übertragung bei Frauen, die während der Schwangerschaft eine klinische Diagnose von Herpes genitalis diagnostizieren.
Daten
Menschliche Daten
Klinische Daten über mehrere Jahrzehnte mit Valacyclovir und seinem Metaboliten-Acyclovir bei schwangeren Frauen, die auf veröffentlichter Literatur basieren, haben kein drogenassoziiertes Risiko für schwere Geburtsfehler identifiziert. Es gibt nicht genügend Daten zur Verwendung von Valacyclovir über Fehlgeburten oder nachteilige Ergebnisse der Mutter oder des Fötus.
Die Acyclovir und die Schwangerschaftsregister von Valacyclovir wurden bis April 1999 in bevölkerungsbezogenen internationalen prospektiven Studien gesammelt. Das Acyclovir-Register dokumentierte die Ergebnisse von 1246 Säuglingen und Feten, die während des zweiten Trimesters 291 im dritten Trimester und dem ersten Trimester im zweiten Trimester 291 während des dritten Trimesters im dritten Trimester und dem 29. Trimester 291 im zweiten Trimester 291 im zweiten Trimester) dokumentierten. Das Auftreten schwerer Geburtsfehler während des Ersttrimesters im Acyclovir betrug 3,2% (95% CI: 2,0% bis 5,0%) und während eines Expositionstrimesters 2,6% (95% CI: 1,8% bis 3,8%). Das Schwangerschaftsregister von Valacyclovir dokumentierte die Ergebnisse von 111 Säuglingen und Feten, die während der Schwangerschaft dem Valacyclovir ausgesetzt waren (28 mit frühesten Exposition im ersten Trimester 31 während des zweiten Trimesters und 52 während des dritten Trimesters). Das Auftreten von schweren Geburtsfehlern während des ersten Fluggesetzes. 3,9% (95% CI: 1,3% bis 10,7%).
Verfügbare Studien haben methodische Einschränkungen, einschließlich einer unzureichenden Stichprobengröße, um Schlussfolgerungen zum allgemeinen Missbildungsrisiko oder zum Vergleich der Frequenzen spezifischer Geburtsfehler zu unterstützen.
Tierdaten
Valacyclovir wurde während der Organogenese oral an schwangere Ratten und Kaninchen (bis zu 400 mg/kg/Tag) verabreicht (Schwangerschaftstage 6 bis 15 und 6 bis 18). Bei Ratten und Kaninchen bei Acyclovir-Expositionen (AUC) von bis zu ungefähr 4 (Ratten) und 7 (Kaninchen), die die Exposition beim Menschen am MRHD bei Menschen am Menschen am Menschen am MRHD haben, wurden keine unerwünschten embryo-fetalen Effekte beobachtet. Frühe Embryo -Todeswachstumsverzögerung (Gewicht und Länge) und Variationen der fetalen Skelettentwicklung (hauptsächlich zusätzliche Rippen und verzögerte Ossifikation von Sternebrae) wurden bei Ratten beobachtet und mit der mütterlichen Toxizität (200 mg/kg/Tag; ungefähr 6 -mal höher als mit dem menschlichen Exposition bei der MRHD) verbunden.
In einer Studie vor/postnataler Entwicklung wurde Valacyclovir oral an schwangere Ratten (bis zu 200 mg/kg/Tag vom Tag 15 bis nach der Partnerung nach 20) von der späten Schwangerschaft durch die Laktation oral verabreicht. Es wurden keine signifikanten nachteiligen Auswirkungen bei der täglichen Exposition von Nachkommen vor der Geburt durch die Laktation bei Müttern (AUC) von ungefähr 6 -mal höher als bei der menschlichen Exposition bei der MRHD beobachtet.
Stillzeit
Risikozusammenfassung
Obwohl es keine Informationen über das Vorhandensein von Valacyclovir in der Muttermilch gibt, ist sein Metaboliten Acyclovir nach oraler Verabreichung von Valacyclovir in der Muttermilch vorhanden. Basierend auf veröffentlichten Daten würde eine 500-mg-Mütterdosis von Valtrex zweimal täglich einem gestillten Kind eine orale Acyclovir-Dosierung von ungefähr 0,6 mg/kg/Tag zur Verfügung stellen (siehe Daten ). There is no data on the effects of valacyclovir oder acyclovir on the breastfed child oder on milk production. The developmental and health benefits of breastfeeding should be considered along with the mother’s clinical need foder Valtrex and any potential adverse effects on the breastfed child from Valtrex oder from the underlying maternal condition.
Daten
Nach oraler Verabreichung einer 500-mg-Dosis von Valtrex an 5 laktierende Frauen lag die Acyclovir-Konzentrationen (CMAX) in der Muttermilch zwischen 0,5 und 2,3-mal (Median 1,4). Die Acyclovir -Muttermilch -AUC lag zwischen 1,4 und 2,6 -mal (Median 2,2) mütterlicher Serum AUC. Eine 500 mg mütterliche Dosis Valrex zweimal täglich würde einem gestillten Kind eine orale Acyclovir-Dosierung von ungefähr 0,6 mg/kg/Tag zur Verfügung stellen. Unveränderter Valacyclovir wurde in der Muttermilch oder im Urin von Säuglingen nicht nachgewiesen.
Pädiatrische Verwendung
Valtrex is indicated foder treatment of cold soderes in pediatric patients aged greater than oder equal to 12 years and foder treatment of chickenpox in pediatric patients aged 2 to less than 18 years [sehen Indikationen und Nutzung Dosierung und Verwaltung ].
Die Verwendung von Valtrex zur Behandlung von Fieberbläschen basiert auf 2 doppeltblind-placebokontrollierten klinischen Studien bei gesunden Erwachsenen und Jugendlichen (im Alter von größerem oder gleich 12 Jahren) mit wiederkehrenden Fieberbläschen [siehe Klinische Studien ].
The use of VALTREX for treatment of chickenpox in pediatric patients aged 2 to less than 18 years is based on single-dose pharmacokinetic and multiple-dose safety data from an open-label trial with valacyclovir and supported by efficacy and safety data from 3 randomized double-blind placebo-controlled trials evaluating oral acyclovir in pediatric subjects with chickenpox [see Dosierung und Verwaltung Nebenwirkungen Klinische Pharmakologie Klinische Studien ].
Die Wirksamkeit und Sicherheit von Valacyclovir wurde bei pädiatrischen Patienten nicht festgestellt:
- im Alter von weniger als 12 Jahren mit Fieberbläschen im Alter
- im Alter von weniger als 18 Jahren mit Herpes genitalis
- weniger als 18 Jahre mit Herpes Zoster im Alter von weniger als 18 Jahren
- weniger als 2 Jahre mit Windpocken im Alter von weniger als 2 Jahren
- zur Suppressivitätstherapie nach einer HSV -Infektion mit Neugeborenen.
Das pharmakokinetische Profil und die Sicherheit der oralen Suspension von Valacyclovir bei Kindern im Alter von weniger als 12 Jahren wurden in 3 Open-Label-Versuchen untersucht. In einem der 3 Versuche wurden keine Wirksamkeitsbewertungen durchgeführt.
Studie 1 war eine eindosierte pharmakokinetische Mehrfachdosis-Sicherheitsstudie bei 27 pädiatrischen Probanden im Alter von 1 bis weniger als 12 Jahren mit klinisch vermutetem Varicella-Zoster-Virus (VZV) [siehe Dosierung und Verwaltung Nebenwirkungen Klinische Pharmakologie Klinische Studien ].
Die Studie 2 war eine eindosierte Pharmakokinetik- und Sicherheitsversuch bei pädiatrischen Probanden im Alter von 1 Monat bis weniger als 6 Jahren, die eine aktive Herpes-Virus-Infektion hatten oder das Risiko für eine Herpes-Virus-Infektion ausgesetzt war. Siebenundfünfzig Probanden wurden angemeldet und erhielten eine einzige Dosis von 25 mg/kg Valacyclovir oraler Suspension. Bei Säuglingen und Kindern im Alter von 3 Monaten bis weniger als 6 Jahren lieferte diese Dosis eine vergleichbare systemische Acyclovir-Expositionen mit einer 1-Gramm-Dosis Valacyclovir bei Erwachsenen (historische Daten). Bei Säuglingen im Alter von 1 Monat bis weniger als 3 Monaten waren die aus einer Dosis von 25 mg/kg resultierenden Acyclovir-Expositionen höher (CMAX: ↑ 30% AUC: ↑ 60%) als Acyclovir-Expositionen nach einer 1-Gramm-Dosis Valacyclovir bei Erwachsenen. Acyclovir ist nicht für die Suppressentherapie bei Säuglingen und Kindern nach HSV -Infektionen mit Neugeborenen zugelassen. Daher wird Valacyclovir für diese Indikation nicht empfohlen, da die Wirksamkeit nicht von Acyclovir extrapoliert werden kann.
Die Studie 3 war eine pharmakokinetische Mehrfachdosis-Sicherheitsversuch bei 28 pädiatrischen Probanden im Alter von 1 bis weniger als 12 Jahren mit klinisch vermutetem HSV-Infektion. Keiner der an diesem Versuch eingeschriebenen Probanden hatte Herpes genitalis. Jedes Subjekt wurde 3 bis 5 Tage lang zweimal täglich mit einem Valacyclovir -oralen Suspension von 10 mg/kg dosiert. Acyclovir -systemische Expositionen bei pädiatrischen Probanden nach oraler Suspension von Valacyclovir wurden mit historischen akyclovir -systemischen Expositionen bei immunokompetenten Erwachsenen verglichen, die die feste orale Dosierungform des Valcyclovir oder Acyclovir zur Behandlung von wiederkehrenden Genital -Herpes erhielten. Die mittleren prognostizierten täglichen systemischen Expositionen bei pädiatrischen Acyclovir-systemischen Expositionen in allen Altersgruppen (1 bis weniger als 12 Jahre) waren niedriger (CMAX: ↓ 20%AUC: ↓ 33%im Vergleich zu den Acyclovir-systemischen Expositionen bei Erwachsenen, die Valacyclovir 500 mg zweimal täglich erhielten, waren zweimal höher (täglich. mal täglich. Es stehen unzureichende Daten zur Verfügung, um Valacyclovir für die Behandlung wiederkehrender Herpes genitalis in dieser Altersgruppe zu unterstützen, da klinische Informationen über wiederkehrende Herpes genitalis bei kleinen Kindern begrenzt sind. Daher ist das Extrapolieren von Wirksamkeitsdaten von Erwachsenen auf diese Population nicht möglich. Darüber hinaus wurde Valacyclovir bei Kindern im Alter von 1 bis weniger als 12 Jahren mit wiederkehrenden Herpes genitalis untersucht.
Geriatrische Verwendung
Die Gesamtzahl der Probanden in klinischen Studien von Valtrex 906 betrug 65 und 352 75 und über. In einer klinischen Studie mit Herpes zoster war die Schmerzdauer nach der Heilung (postherpetische Neuralgie) bei den Probanden ab 65 Jahren länger als jüngere Erwachsene. Ältere Patienten haben häufiger eine verringerte Nierenfunktion und erfordern eine Dosisreduktion. Ältere Patienten haben auch eher nieren- oder ZNS -unerwünschte Ereignisse [siehe Dosierung und Verwaltung Warnungen und Vorsichtsmaßnahmen Klinische Pharmakologie ].
Nieren Impairment
Dosierung reduction is recommended when administering Valtrex to patients with renal impairment [sehen Dosierung und Verwaltung Warnungen und Vorsichtsmaßnahmen ].
Überdosierungsinformationen für Valtrex
Vorsicht sollte gewartet werden, um eine versehentliche Überdosis zu verhindern [siehe Verwendung in bestimmten Populationen ]. Precipitation of acyclovir in renal tubules may occur when the solubility (2.5 mg/mL) is exceeded in the intratubular fluid. Im Falle eines akuten Nierenversagens und der Anurie kann der Patient von der Hämodialyse profitieren, bis die Nierenfunktion wiederhergestellt ist [siehe Dosierung und Verwaltung ].
Kontraindikationen für Valtrex
Valtrex is contraindicated in patients who have had a demonstrated clinically significant hypersensitivity reaction (e.g. anaphylaxis) to valacyclovir acyclovir oder any component of the fodermulation [sehen Nebenwirkungen ].
Klinische Pharmakologie foder Valtrex
Wirkungsmechanismus
Valacyclovir ist ein antivirales Medikament, das gegen α-Herpes-Viren aktiv ist [siehe Mikrobiologie ].
Pharmakokinetik
Die Pharmakokinetik von Valacyclovir und Acyclovir nach oraler Verabreichung von Valtrex wurde in 14 Freiwilligenversuche untersucht, an denen 283 Erwachsene beteiligt waren, und in 3 Studien mit 112 pädiatrischen Probanden im Alter von 1 Monat bis weniger als 12 Jahren.
Pharmakokinetik In Adults
Absorption und Bioverfügbarkeit
Nach der oralen Verabreichung wird das Valacyclovir-Hydrochlorid schnell aus dem Magen-Darm-Trakt absorbiert und durch Erstpassdarm- und/oder Leberstoffwechsel fast vollständig in Acyclovir und L-Valin umgewandelt.
Die absolute Bioverfügbarkeit von Acyclovir nach der Verabreichung von Valtrex beträgt 54,5% ± 9,1%, wie nach einer oralen 1-Gramm-Dosis von Valtrex und einer intravenösen 350 mg intravenösen Acyclovir-Dosis an 12 gesunde Freiwillige bestimmt. Acyclovir -Bioverfügbarkeit durch die Verabreichung von Valtrex wird nicht durch Verabreichung mit Lebensmitteln (30 Minuten nach einem 873 kcalen Frühstück mit 51 Gramm Fett) geändert.
Acyclovir-pharmakokinetische Parameterschätzungen nach Verabreichung von Valtrex an gesunde erwachsene Freiwillige sind in Tabelle 3 vorgestellt. Es gab eine weniger als Dosis-proportionale Zunahme der maximalen Acyclovir-Konzentration (CMAX) und Fläche unter der Acyclovir-Konzentrationskurve (AUC) nach einer Dosis mit einer Dosis (4-fache) von Acyclovir zwischen 250 mg bis zu 1 (4-mal).
Nach der Verabreichung von Valacyclovir an den empfohlenen Dosierungsregimen bei Erwachsenen mit normaler Nierenfunktion gibt es keine Akkumulation von Acyclovir.
Tabelle 3: Mittelwert (± SD) Plasma acyclovir pharmakokinetische Parameter nach Verabreichung von Valtrex an gesunde erwachsene Freiwillige
| Administra | Valrex an gesunde erwachsene Freiwillige | |||
| Dosis | Einzeldosis AD (n = | Ministerium 8) | Mehrfachdosisverwaltung a (N = 24 8 pro Behandlungsarm) | |
| Cmax (± SD) (MCG/ml) | AUC (± SD) (H • MCG/ml) | Cmax (± SD) (MCG/ml) | AUC (± SD) (H • MCG/ml) | |
| 100 mg | 0,83 (± 0,14) | 2,28 (± 0,40) | Nd | Nd |
| 250 mg | 2,15 (± 0,50) | 5,76 (± 0,60) | 2,11 (± 0,33) | 5,66 (± 1,09) |
| 500 mg | 3,28 (± 0,83) | 11,59 (± 1,79) | 3,69 (± 0,87) | 9,88 (± 2,01) |
| 750 mg | 4,17 (± 1,14) | 14.11 (± 3,54) | Nd | Nd |
| 1000 mg | 5,65 (± 2,37) | 19,52 (± 6,04) | 4,96 (± 0,64) | 15,70 (± 2,27) |
| a 4 -mal täglich für 11 Tage verabreicht. Nd = not done. |
Verteilung
Die Bindung von Valacyclovir an menschliche Plasmaproteine liegt zwischen 13,5% und 17,9%. Die Bindung von Acyclovir an menschliche Plasmaproteine liegt zwischen 9% und 33%.
Stoffwechsel
Valacyclovir wird durch Erstpassdarm- und/oder Leberstoffwechsel in Acyclovir und L-Valin umgewandelt. Acyclovir wird durch Aldehydoxidase und durch Alkohol und Aldehyd -Dehydrogenase in geringem Maße in inaktive Metaboliten umgewandelt. Weder Valacyclovir noch Acyclovir werden durch Cytochrom -P450 -Enzyme metabolisiert. Die Plasmakonzentrationen von unkonvertierten Valacyclovir sind niedrig und vorübergehend im Allgemeinen nicht nach der Verabreichung nicht quantifizierbar. Die Spitzenplasma -Valacyclovir -Konzentrationen sind in allen Dosen im Allgemeinen weniger als 0,5 mcg/ml. Nach der Verabreichung von 1 Gramm Valrex-durchschnittlicher Plasma-Valacyclovir-Konzentrationen betrugen bei Probanden mit einer Niereninsuffizienz von Leberfunktionen 0,5 0,4 und 0,8 mcg/ml und bei gesunden Probanden, die gleichzeitig Cimetidin bzw. Probenecid erhielten.
Beseitigung
Die pharmakokinetische Disposition von Acyclovir, die von Valacyclovir geliefert wird, stimmt mit früheren Erfahrungen aus intravenöser und oralem Acyclovir überein. Nach der oralen Verabreichung einer einzelnen 1-Gramm-Dosis aus radioaktiv markiertem Valacyclovir an 4 gesunde Probanden wurden 46% und 47% der verabreichten Radioaktivität in Urin und Kot über 96 Stunden gewonnen. Acyclovir machte 89% der im Urin ausgeschiedenen Radioaktivität aus. Die Nierenclearance von Acyclovir nach der Verabreichung einer einzelnen 1-Gramm-Dosis von Valtrex an 12 gesunde Probanden betrug ungefähr 255 ± 86 ml/min, was 42% des gesamten Acyclovir-scheinbaren Plasma-Clearance entspricht.
Die Plasma-Eliminierungs-Halbwertszeit von Acyclovir betrug in allen Versuchen mit Valtrex bei Probanden mit normaler Nierenfunktion typischerweise 2,5 bis 3,3 Stunden.
Spezifische Populationen
Patienten mit Nierenbehinderung
Die Verringerung der Dosierung wird bei Patienten mit Nierenbeeinträchtigung empfohlen [siehe Dosierung und Verwaltung Verwendung in bestimmten Populationen ].
Nach der Verabreichung von Valtrex an Probanden mit ESRD beträgt die durchschnittliche Acyclovir-Halbwertszeit ungefähr 14 Stunden. Während der Hämodialyse beträgt die Acyclovir-Halbwertszeit ungefähr 4 Stunden. Ungefähr ein Drittel Acyclovir im Körper wird während einer 4-stündigen Hämodialysesitzung durch Dialyse entfernt. Die scheinbare Plasma -Clearance von Acyclovir bei Probanden auf Dialyse betrug 86,3 ± 21,3 ml/min/1,73 m² im Vergleich zu 679,16 ± 162,76 ml/min/1,73 m² bei gesunden Probanden.
Patienten mit Leberbehinderung
Administration of Valtrex to subjects with moderate (biopsy-proven cirrhosis) oder severe (with and without ascites and biopsy-proven cirrhosis) liver disease indicated that the rate but not the extent of conversion of valacyclovir to acyclovir is reduced and the acyclovir half-life is not affected. Dosierung modification is not recommended foder patients with cirrhosis.
Patienten mit HIV-1-Krankheit
Bei 9 Probanden mit HIV-1-Erkrankung und CD4-Zell zählt weniger als 150 Zellen/mm³, die viermal täglich Valtrex in einer Dosierung von 1 Gramm für 30 Tage erhielten.
Geriatrische Patienten
Nach einer Einzeldosis-Verabreichung von 1 Gramm Valtrex bei gesunden geriatrischen Probanden betrug die Halbwertszeit von Acyclovir 3,11 ± 0,51 Stunden im Vergleich zu 2,91 ± 0,63 Stunden bei gesunden jüngeren erwachsenen Probanden. Die Pharmakokinetik von Acyclovir nach einer oralen und mehreren Dosierung von Valtrex bei geriatrischen Probanden variierte mit der Nierenfunktion. Bei geriatrischen Patienten kann eine Dosisreduktion erforderlich sein, abhängig vom zugrunde liegenden Nierenstatus des Patienten [siehe Dosierung und Verwaltung Verwendung in bestimmten Populationen ].
Pädiatrische Patienten
Acyclovir Pharmacokinetics wurde nach Verabreichung der ersten Dosi Nebenwirkungen Verwendung in bestimmten Populationen ]. Acyclovir pharmacokinetic parameter estimates following a 20-mg/kg dose are provided in Table 4.
Tabelle 4: Mittelwert (± SD) Plasma acyclovir pharmakokinetische Parameterschätzungen nach der Erstdosis-Verabreichung von 20 mg/kg Valacyclovir-oral
| Parameter | Pädiatrische Probanden (20 mg/kg orale Suspension) | Erwachsene 1-Gramm feste Dosis Valtrex a (n = 15) | ||
| 1 - <2 year (n = 6) | 2 - <6 year (n = 12) | 6 - <12 year (n = 8) | ||
| AUC (MCG • H/ml) | 14,4 (± 6,26) | 10,1 (± 3,35) | 13,1 (± 3,43) | 17,2 (± 3,10) |
| CMAX (MCG/ML) | 4,03 (± 1,37) | 3,75 (± 1,14) | 4,71 (± 1,20) | 4,72 (± 1,37) |
| a Historische Schätzungen unter Verwendung pädiatrischer pharmakokinetischer Probenahmeplan. |
Arzneimittelinteraktionsstudien
Wenn Valtrex mit Antazida -Cimetidin und/oder Probenecid -Digoxin oder Thiaziddiuretik bei Patienten mit normaler Nierenfunktion zusammengefasst ist unten ). Therefodere when Valtrex is coadministered with these drugs in patients with nodermal renal function no dosage adjustment is recommended.
Antazida
Die Pharmakokinetik von Acyclovir nach einer einzelnen Dosis Valtrex (1 Gramm) blieb durch gleichzeitige Verabreichung einer einzelnen Dosis von Antaspekteln (Al3 oder Mg) unverändert.
Cimetidin
Acyclovir Cmax und AUC stieg nach einer einzelnen Dosis von Valtrex (1 Gramm) um 8% bzw. 32% nach einer einzelnen Dosis Cimetidin (800 mg).
Cimetidin Plus Probenecid
Acyclovir Cmax und AUC stieg nach einer einzelnen Dosis von Valtrex (1 Gramm) um 30% bzw. 78% nach einer Kombination von Cimetidin und Probenecid hauptsächlich aufgrund einer Verringerung der Nierenclearance von Acyclovir.
Digoxin
Die Pharmakokinetik von Digoxin wurde nicht durch die gleichzeitige Verabreichung von Valtrex 1 Gramm dreimal täglich beeinflusst und die Pharmakokinetik von Acyclovir nach einer einzelnen Dosis Valtrex (1 Gramm) wurde durch die gleichzeitige Verabreichung von Digoxin (2 Dosen von 0,75 mg) unverändert.
Probenecid
Acyclovir Cmax und AUC nach einer einzelnen Dosis von Valtrex (1 Gramm) stieg nach Probenecid (1 Gramm) um 22% bzw. 49%.
Thiaziddiuretika
Die Pharmakokinetik von Acyclovir nach einer einzelnen Dosis Valtrex (1 Gramm) blieb durch die gleichzeitige Verabreichung mehrerer Dosen von Thiazid -Diuretika unverändert.
Mikrobiologie
Wirkungsmechanismus
Valacyclovir ist ein Desoxynukleosid -analoge DNA -Polymerase -Inhibitor. Valacyclovir-Hydrochlorid wird schnell in Acyclovir umgewandelt, das die antivirale Aktivität gegen HSV-Typen 1 (HSV-1) und 2 (HSV-2) und VZV sowohl in der Zellkultur als auch in vivo nachgewiesen hat.
Acyclovir ist ein synthetisches Purin -Desoxynukleosid, das intrazellulär durch die viral codierte Thymidinkinase (TK; pul23) von HSV oder VZV in Acyclovir -Monophosphat A Nucleotidanaloges phosphoryliert wird. Das Monophosphat wird durch zelluläre Guanylatkinase durch eine Reihe von zellulären Enzymen weiter in Diphosphat umgewandelt. In biochemischen Assays hemmt Acyclovir-Triphosphat die Replikation der viralen α-Herpes-DNA. Dies wird auf 3 Wege erreicht: 1) Wettbewerbshemmung der viralen DNA -Polymerase 2) Einbau und Beendigung der wachsenden viralen DNA -Kette und 3) Inaktivierung der viralen DNA -Polymerase. Die größere antivirale Aktivität von Acyclovir gegen HSV im Vergleich zu VZV ist auf die effizientere Phosphorylierung durch das virale TK zurückzuführen.
Antivirale Aktivität
Die quantitative Beziehung zwischen der Zellkultur -Anfälligkeit von Herpesviren zu antiviralen und der klinischen Reaktion auf Therapie wurde beim Menschen nicht festgestellt, und es wurde nicht standardisiert. Die Ergebnisse der Sensitivitätstests als die Konzentration des Arzneimittels ausgedrückt, die erforderlich sind, um das Wachstum des Virus in der Zellkultur (EC50) um 50% zu hemmen, variieren stark von einer Reihe von Faktoren. Unter Verwendung von Plaque-Reduktions-Assays reichen die EC50-Werte gegen Herpes-Simplex-Virus-Isolate von 0,09 bis 60 mikrom (NULL,02 bis 13,5 mcg/ml) für HSV-1 und von 0,04 bis 44 mikrom (NULL,01 bis 9,9 mcg/ml) für HSV-2. Die EC50 -Werte für Acyclovir gegen die meisten Laborstämme und klinische Isolate von VZV liegen zwischen 0,53 und 48 mikrom (NULL,12 bis 10,8 mcg/ml). Acyclovir zeigt auch die Aktivität gegen den OKA -Impfstoffstamm von VZV mit einem mittleren EC50 -Wert von 6 mikrom (NULL,35 mcg/ml).
Widerstand
In der Zellkultur
Acyclovir-resistente HSV-1-HSV-2 und VZV-Stämme wurden in der Zellkultur isoliert. Acyclovir-resistenter HSV und VZV resultierten aus Mutationen in den Genen der viralen Thymidinkinase (TK pul23) und der DNA-Polymerase (pol; pul30). Frameshifts wurden üblicherweise isoliert und führten zu einer vorzeitigen Kürzung des HSV -TK -Produkts mit einer verringerten Anfälligkeit für Acyclovir. Mutationen im viralen TK -Gen können zu einem vollständigen Verlust der TK -Aktivität (TK -negativ) reduzierte TK -Aktivität (TK -Teil) oder Veränderung der Fähigkeit von viralem TK, das Arzneimittel ohne äquivalente Verlust in der Fähigkeit zur Phosphorylierung von Thymidin zu phosphorylieren (TK verändert), führen. In der Zellkultur wurden acyclovir-assoziierte Substitutionen in TK von HSV-1 und HSV-2 beobachtet (Tabelle 5).
Tabelle 5: Zusammenfassung von Acyclovir-Resistenz-assoziierten Aminosäure-Substitutionen in der Zellkultur
| Virus | Gen | Auswechslung |
| HSV-1 | Tk | P5A H7Q L50V G56V G59R/W/A G61A/V K62I/N T63A E83K P84L/S R89W D116N P131S P155R F161I/P A167V P173L R176Q/W q185R A189L/V G200R/W q185R A189L/V G200R R216Q/W q185R A189L/V G200R/W q185R A189L/V G200R 200SH L227F Y239S T245M Q261Stop R281Stop T287M M322K C336Y V348A |
| HSV-2 | Tk | L69P C172R A175V T288M |
| HSV-1 | Pol | D368A Y557S E597D V621S L702H A719V S742N N815S V817M Y818C G841C/S |
| HSV-2 | Pol | Keine Substitutionen festgestellt |
HSV-infizierte Patienten
Klinische HSV-1- und HSV-2-Isolate, die von Patienten erhalten wurden, die für ihre α-Herpes-Virusinfektionen nicht behandelt wurden, wurden auf genotypische Veränderungen in den TK- und POL-Genen und auf phänotypische Resistenz gegen Acyclovir bewertet (Tabelle 6). HSV-Isolate mit Frameshift-Mutationen und resistenzassoziierten Substitutionen in TK und POL wurden identifiziert. Die Auflistung von Substitutionen in der HSV TK und POL, die zu einer verminderten Anfälligkeit für Acyclovir führt, ist nicht ganz integrativ, und zusätzliche Änderungen werden wahrscheinlich in HSV-Varianten identifiziert, die von Patienten isoliert sind, die acyclovir-haltige Therapien nicht bestehen. Die Möglichkeit einer Virusresistenz gegen Acyclovir sollte bei Patienten berücksichtigt werden, die während der Therapie nicht reagieren oder wiederkehrendes virales Abbau erleben.
Tabelle 6: Zusammenfassung der bei behandelten Patienten beobachteten Acyclovir-Resistenz-assoziierten Aminosäure-Substitutionen
| Virus | Gen | Auswechslung |
| HSV-1 | Tk | G6C R32H R41H R51W Y53C/D/H Y53STOP D55N G56D/E/S P57H G58N/R G59R G61A/E/W K62N T63I q67Stop S74STOP Y80N E83K P84L y87H E95Stop T104H -FOPH -P84L Y87H E95STOP T103P M121K/L/R Q125N M128L G129D I143V A156V D162A/H/N R163G/H L170P Y172C P173L/R A174P A175V R176Q/W R176STOP L178R S18R S18R S18R S18R S18R A186P V192A G200C/D/S T201P T202A V204G A207P L208F/H R216C/H R220C/H R221C/H R222C/H E226K D229H L242P T245M/P L249P Q250STOP C251G E257K R281Stop T287M L288STOP L291R L297S L315S L327R C336Y C336Stop Q342Stop T354p L364P A365t |
| HSV-2 | Tk | G25A R34C G39E R51W Y53N/D G59P G61A/E/W S66P A72S D78N P85S R86P A94V L98STOP N100H I101S Q103STOP Q105P A125T T131P Y13F D133F D13FL S13F S13P y3f D1337Stop F125t T131P Y13f D1337Stop F125t T131P Y13f D1337Stop F125t T131P Y13F D1337Stop F140L158P T131P Y13F D1337STOP F140L L158P1313F D1337STOP F140L L158P S131P Y13F D1337STOP F140L L158P1313F D13FL. R177W S182N M183ISTOP V192M G201D R217H R221C/H Q222Stop R223H D229STOP Y239STOP D231N L263STOP R271V P272S D273R T287M C337yyyyyyyyyyyyyyyyyyyyyyyyyyyyyyyyyystoffstoffstoffstoffstoffstoffstoffstoffstoffstoff |
| HSV-1 | Pol | K532T S5559L Q570R L583V A605V V621S A657T D672N V715G A719T/V S724N F7333C E775N L778M E798K V813M N815S G841S R842S R842S I890M V958S G841S R842S I890M V958S G841S R842S I890M V958S G841S R842S R842S I890M V958L H122S G841S R842S I890M V958S G841S R842S R842S I890M |
| HSV-2 | Pol | E250Q D307N K533E A606V C625R R628C E678G A724V S725G S729N I731F Q732R D785N M789K/T V818A N820S Y823C Q829R T843A M910T D912N/V. T934a R964H |
HINWEIS: Es gibt wahrscheinlich viele zusätzliche Wege zum Acyclovir -Widerstand.
Kreuzresistenz
Bei HSV-Isolaten wurde eine Kreuzresistenz beobachtet, die Frameshift-Mutationen und resistenzassoziierte Substitutionen tragen, die eine verringerte Anfälligkeit für Penciclovir (PCV) Famciclovir (FCV) und Foscarnet (FOS) verleihen (Tabelle 7).
Tabelle 7: Zusammenfassung von Acyclovir-Resistenz-assoziierten Aminosäure-Substitutionen, die dem PCV-FCV oder FOS eine Kreuzresistenz verleihen
| Kreuzresistente Droge | Virus/Gen | Auswechslung |
| PCV/FCV | HSV-1 Tk | G6C R32H R51W Y53C/H/N H58N G61A S74STOP E83K P84L T103P Q104STOP D116N M121R I143V P155R R163G/H A167V L170P Y172C P173L a174p A189L/V G200D/S G206R L208H R216C R220H R222C/H Y239S T245M Q250Stop Q261Stop R281Stop T287M L315S M322K C336Y V348A |
| HSV-1 Pol | A657T D672N V715G A719V S724N E798K N815S G841C/S | |
| HSV-2 Tk | G39E R51W Y53N R86P Y133F R177W R221H T288M | |
| HSV-2 Pol | K533E A606V C625R R628C S729N Q732R M789K/T V818A N820S F923L T934A | |
| Fos | HSV-1 Pol | D368A A605V D672N L702H V715G A719T/V S724N L778M E798K V813M N815S V817M G841C/S I890M |
| HSV-2 Pol | K533E A606V C625R R628C A724V S725G S729N I731F Q732R M789K/T V818A Y823C D912V F923L T934A R964H |
Klinische Studien
Fieberbläschen (Herpes labialis)
Zwei doppelblinde, placebokontrollierte klinische Studien wurden 1856 gesunde Erwachsene und Jugendliche (im Alter von mehr oder gleich 12 Jahren im Alter von mehr oder gleich 12 Jahren) mit einer Vorgeschichte von wiederkehrenden Fieberbläschen durchgeführt. Probanden selbst initiierte Therapie zu den frühesten Symptomen und vor Anzeichen einer kalten Schmerzen. Die Mehrheit der Probanden leitete die Behandlung innerhalb von 2 Stunden nach Beginn der Symptome ein. Die Probanden wurden an Tag 1 zweimal täglich auf Valtex 2 Gramm randomisiert, gefolgt von Placebo am Tag 2 Valtex 2 Gramm zweimal täglich am Tag 1, gefolgt von 1 Gramm zweimal täglich am 2 oder Placebo an den Tagen 1 und 2.
Die durchschnittliche Dauer der kalten Sore -Episoden betrug bei behandelten Probanden etwa 1 Tag kürzer im Vergleich zu Placebo. Das 2-tägige Regime bot keinen zusätzlichen Nutzen gegenüber dem 1-Tage-Regime.
Es wurde kein signifikanter Unterschied zwischen Probanden beobachtet, die Valtrex oder Placebo bei der Verhinderung des Fortschreitens von Kaltwunden -Läsionen über das papuläre Stadium hinaus erhielten.
Genitalherpes Infections
Initiale Episode
Sechshundertdreiundvierzig immunkompetente Erwachsene mit Herpes im ersten Episoden, die innerhalb von 72 Stunden nach Beginn des Symptoms in einer doppelblinden Studie vorgestellt wurden, um 10 Tage täglich (n = 323) oder orales Acyclovir 200 mg 5 mal täglich (n = 320) zu erhalten. Für beide Behandlungsgruppen betrug die mediane Zeit bis zur Heilung der Läsion 9 Tage, dass die Durchschnittszeit bis zur Beendigung von Schmerz 5 Tage und die mittlere Zeit bis zur Beendigung des Virusabschusses 3 Tage betrug.
Wiederkehrende Episoden
Es wurden drei doppelblinde Versuche (2 davon placebokontrolliert) bei immunkompetenten Erwachsenen mit wiederkehrenden Genitalherpes durchgeführt. Probanden selbst initiierte Therapie innerhalb von 24 Stunden nach dem ersten Anzeichen oder Symptom einer wiederkehrenden Herpes-Episode genitalis.
In 1 Studien wurden die Probanden randomisiert, um 5 Tage täglich 500 mg (n = 360) oder Placebo (n = 259) zu erhalten. Die mediane Zeit bis zur Läsionsheilung betrug 4 Tage in der Gruppe, die Valrex 500 mg im Vergleich zu 6 Tagen in der Placebo -Gruppe erhielt, und die mittlere Zeit bis zur Beendigung des viralen Abschusses bei Probanden mit mindestens 1 positiver Kultur (42% der Gesamtversuchsbevölkerung) betrug 2 Tage in der Gruppe, in der die Gruppe Valtrex 500 mg gegen 4 Tage in der Placebo -Gruppe erhielt. Die mediane Zeit bis zur Beendigung von Schmerzen betrug 3 Tage in der Gruppe, die Valrex 500 mg gegenüber 4 Tagen in der Placebo -Gruppe erhielt. Die Ergebnisse der Wirksamkeit wurden in einem zweiten Versuch repliziert.
In einem dritten Versuch wurden die Probanden randomisiert, um 5 Tage lang zweimal täglich Valrex 500 mg (N = 398) oder Valrex 500 mg zweimal täglich für 3 Tage (und das Placebo zweimal täglich für 2 zusätzliche Tage) (n = 402) zu erhalten. Die mittlere Zeit bis zur Heilung der Läsion betrug in beiden Behandlungsgruppen etwa 4½ Tage. Die mittlere Zeit bis zur Beendigung von Schmerzen betrug in beiden Behandlungsgruppen etwa 3 Tage.
Suppressive Therapie
Zwei klinische Studien wurden bei immunkompetenten Erwachsenen und einer bei infizierten HIV-1-Erwachsenen durchgeführt.
Eine doppelblinde 12-monatige Placebo- und aktiv gesteuerte Studie hat immunkompetente Erwachsene mit einer Vorgeschichte von 6 oder mehr Rezidiven pro Jahr eingeschrieben. Die Ergebnisse für die gesamte Versuchsbevölkerung sind in Tabelle 8 gezeigt.
Tabelle 8: Wiederholungsraten bei immunkompetenten Erwachsenen nach 6 und 12 Monaten
| Ergebnis | 6 Monate | 12 Monate | ||||
| Valtrex 1 gram Once Daily (n = 269) | Orales Acyclovir 400 mg zweimal täglich (n = 267) | Placebo (n = 134) | Valtrex 1 gram Once Daily (n = 269) | Orales Acyclovir 400 mg zweimal täglich (n = 267) | Placebo (n = 134) | |
| Wiederholung frei | 55% | 54% | 7% | 34% | 34% | 4% |
| Rezidive | 35% | 36% | 83% | 46% | 46% | 85% |
| Unbekannt a | 10% | 10% | 10% | 19% | 19% | 10% |
| a Beinhaltet verlorene Follow-up-Unterbrechungen aufgrund unerwünschter Ereignisse und der Einwilligung zurückgezogen. |
Die Probanden mit 9 oder weniger Rezidiven pro Jahr zeigten einmal täglich vergleichbare Ergebnisse mit Valtrex 500 mg.
In einer zweiten Studie wurden 293 HIV-1-infizierte Erwachsene mit einer stabilen antiretroviralen Therapie mit einer Vorgeschichte von 4 oder mehr Rezidiven von Herpes von ANO-Genital pro Jahr randomisiert, um zwei zweimal täglich (n = 194) oder das passende Placebo (n = 99) für 6 Monate entweder 500 mg zu erhalten. Die mediane Dauer der wiederkehrenden Genitalherpes bei eingeschriebenen Probanden betrug 8 Jahre und die mittlere Anzahl von Rezidiven im Jahr vor der Einschreibung betrug 5. Insgesamt betrug die mittlere HIV-1-RNA 2,6 log. 10 Kopien/ml. Unter den Probanden, die Valrex erhielten, betrug die mediane CD4 -Zellzahl von vorgerichtem CD4 336 Zellen/mm³; 11% hatten weniger als 100 Zellen/mm³ 16% hatten 100 bis 199 Zellen/mm³ 42% hatten 200 bis 499 Zellen/mm³ und 31% hatten größer oder gleich 500 Zellen/mm³. Die Ergebnisse für die gesamte Versuchsbevölkerung sind in Tabelle 9 gezeigt.
Tabelle 9: Wiederholungsraten bei HIV-1-infizierten Erwachsenen nach 6 Monaten
| Ergebnis | Valtrex 500 mg Twice Daily (n = 194) | Placebo (n = 99) |
| Wiederholung frei | 65% | 26% |
| Rezidive | 17% | 57% |
| Unbekannt a | 18% | 17% |
| a Beinhaltet verlorene Follow-up-Unterbrechungen aufgrund unerwünschter Ereignisse und der Einwilligung zurückgezogen. |
Verringerung der Übertragung Of Genitalherpes
Eine doppelblinde, placebokontrollierte Studie zur Beurteilung der Übertragung von Herpes genitalis wurde in monogamen heterosexuellen immunkompetenten Paaren erwachsener Paare von 1484 durchgeführt. Die Paare waren bei HSV-2-Infektionen nicht übereinstimmend. Der Quellpartner hatte eine Geschichte von 9 oder weniger Episoden des Genitalherpes pro Jahr. Beide Partner wurden über sicherere Sexualpraktiken beraten und wurde empfohlen, Kondome während der gesamten Versuchszeit zu verwenden. Die Quellpartner wurden randomisiert, um 8 Monate lang einmal täglich einmal täglich mit Valtrex 500 mg oder Placebo zu behandelt. Der primäre Wirksamkeitsendpunkt war der symptomatische Erwerb von HSV-2 bei anfälligen Partnern. Insgesamt wurde die HSV-2-Akquisition als symptomatische HSV-2-Akquisition und/oder die HSV-2-Serokonversion bei anfälligen Partnern definiert. Die Wirksamkeitsergebnisse sind in Tabelle 10 zusammengefasst.
Tabelle 10: Prozentsatz der anfälligen Partner, die HSV-2 erworben haben, definiert durch die primären und ausgewählten sekundären Endpunkte
| Endpunkt | Valtrex a (n = 743) | Placebo (n = 741) |
| Symptomatische HSV-2-Erfassung | 4 (NULL,5%) | 16 (NULL,2%) |
| HSV-2 seroconversion | 12 (NULL,6%) | 24 (NULL,2%) |
| Insgesamt HSV-2-Akquisition | 14 (NULL,9%) | 27 (NULL,6%) |
| a Die Ergebnisse zeigen, dass das Risiko von 75% (symptomatische HSV-2-Akquisition) 50% (HSV-2-Serokonversion) und 48% (Gesamt-HSV-2-Akquisition) mit Valtrex gegenüber Placebo (Gesamth-2-Akquisition). Die individuellen Ergebnisse können je nach Konsistenz sicherer Sexualpraktiken variieren. |
Herpes Zoster
Es wurden zwei randomisierte doppelblinde klinische Studien bei immunkompetenten Erwachsenen mit lokalisiertem Herpes-Zoster durchgeführt. Valtrex wurde mit Placebo bei Probanden im Alter von weniger als 50 Jahren und mit oralem Acyclovir bei Probanden im Alter von mehr als 50 Jahren verglichen. Alle Probanden wurden innerhalb von 72 Stunden nach dem Auftreten von Zoster -Ausschlag behandelt. Bei Probanden im Alter von weniger als 50 Jahren betrug die mediane Zeit bis zur Beendigung der neuen Läsionsbildung 2 Tage für diejenigen, die mit Valtrex behandelt wurden, im Vergleich zu 3 Tagen für diejenigen, die mit Placebo behandelt wurden. Bei Probanden im Alter von mehr als 50 Jahren betrug die mediane Zeit bis zur Beendigung neuer Läsionen 3 Tage bei Probanden, die entweder mit Valtrex oder oralem Acyclovir behandelt wurden. Bei Probanden im Alter von weniger als 50 Jahren wurde kein Unterschied in Bezug auf die Schmerzdauer nach der Heilung (postherpetische Neuralgie) zwischen den Empfängern von Valtrex und Placebo festgestellt. Bei Probanden im Alter von mehr als 50 Jahren unter den 83%, die nach der Heilung (postherpetische Neuralgie) Schmerzen nach der Heilung (95% CI) in Tagen berichteten: 40 (31 51) 43 (36 55) und 59 (41 77) für 7-tägige 14-tägige 14-Tage-Valtex-Valtex und 7-tägige oralische Acyclovir.
Windpocken
Die Verwendung von Valtrex zur Behandlung von Windpocken bei pädiatrischen Probanden im Alter von 2 bis weniger als 18 Jahren basiert auf pharmakokinetischen und multiplen Dosis-Sicherheitsdaten aus einer Open-Label-Studie mit ValacyClovir und unterstützt durch Sicherheits- und extrapolierte Wirksamkeitsdaten aus 3 randomisierten Doppelblind-Placebo-kontrollierten Studien, die oral Acyclovir in pediatrisch-kontrollierten Studien bewerten.
In der pharmakokinetischen und mehrfach dosierten Sicherheitsstudie mit einem Dosis wurden 27 pädiatrische Probanden im Alter von 1 bis weniger als 12 Jahren mit einer klinisch vermuteten VZV-Infektion eingeschlossen. Jedes Subjekt wurde 5 Tage lang 3 -mal täglich mit einem Valacyclovir -oralen Suspension von 20 mg/kg dosiert. Acyclovir -systemische Expositionen bei pädiatrischen Probanden nach oraler Suspension von Valacyclovir wurden mit historischen akyclovir -systemischen Expositionen bei immunokompetenten Erwachsenen verglichen, die die feste orale Dosierungsform des Valacyclovir oder Acyclovir zur Behandlung von Herpes -Zoster erhielten. Die mittleren prognostizierten täglichen Acyclovir-Expositionen bei pädiatrischen Probanden in allen Altersgruppen (1 bis weniger als 12 Jahre) waren niedriger (Cmax: ↓ 13%AUC: ↓ 30%als die mittlere tägliche historische Exposition bei Erwachsenen bei Erwachsenen, die Valacyclovir 1 GraM täglich garnieren, aber tägliche ACCLEIVIC: ↑ 50%). Die prognostizierten täglichen Expositionen bei pädiatrischen Probanden waren größer (täglich zu 100% höher) als die Expositionen bei immunkompetenten pädiatrischen Probanden, die Acyclovir 20 mg/kg 4 -mal täglich zur Behandlung von Windpocken erhielten. Basierend auf den Pharmakokinetik- und Sicherheitsdaten aus dieser Studie sowie der Sicherheits- und extrapolierten Wirksamkeitsdaten aus den Acyclovir -Studien oraler Valacyclovir 20 mg/kg 3 -mal täglich für 5 Tage (nicht überschreiten 1 Gramm 3 -mal täglich) für die Behandlung von Windeln bei pädiatrischen Patienten, die 2 bis weniger als 18 Jahre alt sind, werden empfohlen. Da die Wirksamkeit und Sicherheit von Acyclovir für die Behandlung von Windpocken bei Kindern im Alter von weniger als 2 Jahren keine Wirksamkeitsdaten festgelegt wurden, kann nicht extrapoliert werden, um die Behandlung von Valacyclovir bei Kindern im Alter von weniger als 2 Jahren mit Windpocken zu unterstützen. Valacyclovir wird auch nicht für die Behandlung von Herpes Zoster bei Kindern empfohlen, da Sicherheitsdaten bis zu 7 Tage nicht verfügbar sind [siehe Verwendung in bestimmten Populationen ].
Patienteninformationen für Valtrex
Valtrex
(Val-Trex)
(Valacyclovir) Tablets
Was ist Valtrex?
Valtrex is a prescription medicine used in adults:
- Fieberbläschen (Herpes labialis) behandeln.
- Behandlung oder Kontrolle von Herpes -Ausbrüchen von Genital bei Erwachsenen mit normalen Immunsystemen.
- Herpes-Ausbrüche bei Erwachsenen mit menschlichem Immundefizienzvirus-1 (HIV-1) zu kontrollieren.
- Mit sichereren Sexualpraktiken, um die Wahrscheinlichkeit zu senken, Herpes im Genital bei Erwachsenen mit normalen Immunsystemen auf andere zu verbreiten. Selbst bei sichereren Sexualpraktiken ist es immer noch möglich, Herpes im Genital zu verbreiten.
- Haben Sie keinen sexuellen Kontakt mit Ihrem Partner, wenn Sie ein Symptom oder einen Ausbruch von Herpes genitalis haben.
- Verwenden Sie ein Kondom aus Latex oder Polyurethan, wenn Sie sexuellen Kontakt haben.
- Bitten Sie Ihren Gesundheitsdienstleister um weitere Informationen zu sichereren Sexualpraktiken.
- zu behandeln Gürtelrose (Herpes Zoster) bei Erwachsenen mit normalen Immunsystemen.
Valtrex is used in children zu behandeln:
- Fieberbläschen bei Kindern 12 Jahre und älter.
- Windpocken bei Kindern mit normalen Immunsystemen 2 Jahre bis zu weniger als 18 Jahren.
Valtrex does not cure cold Wunden Windpockenschindeln oder Herpes im Genital.
- Es ist nicht bekannt, ob Valtrex bei Menschen mit geschwächten Immunsystemen sicher und wirksam ist, als die Kontrolle über Ausbrüche von Herpes genitalis bei Menschen mit HIV-1.
- Es ist nicht bekannt, ob Valtrex bei Menschen ab 18 Jahren mit Windpocken sicher und wirksam ist.
- Es ist nicht bekannt, ob Valtrex bei Kindern sicher und wirksam ist:
- weniger als 12 Jahre alt mit Fieberbläschen
- weniger als 2 Jahre alt mit Windpocken
- weniger als 18 Jahre alt mit Herpes oder Schindeln des Genitaliens
Nehmen Sie Valtrex nicht Wenn Sie allergisch gegen Valacyclovir Acyclovir oder einen der Zutaten in Valtrex sind. Eine vollständige Liste von Zutaten in Valtrex finden Sie im Ende dieser Broschüre.
Bevor Sie Valrex nehmen, teilen Sie Ihrem Gesundheitsdienstleister alle Ihre medizinischen Erkrankungen mit, einschließlich, wenn Sie:
- Haben Sie eine Knochenmarktransplantation oder eine Nierentransplantation oder wenn Sie eine fortgeschrittene HIV-1-Infektion oder ein erworbenes Immunfunktionssyndrom (AIDS) haben.
- Haben Sie Nierenprobleme, einschließlich der Dialyse.
- sind schwanger oder planen, schwanger zu werden. Es ist nicht bekannt, ob Valtrex Ihrem ungeborenen Baby schadet. Sie und Ihr Gesundheitsdienstleister entscheiden, ob Sie Valtrex einnehmen, wenn Sie schwanger sind.
- stillen oder planen zu stillen. Valtrex kann in Ihre Muttermilch gelangen. Sprechen Sie mit Ihrem Gesundheitsdienstleister darüber, wie Sie Ihr Kind am besten ernähren können, wenn Sie Valtrex einnehmen.
Teilen Sie Ihrem Gesundheitsdienstleister über alle Medikamente, die Sie einnehmen einschließlich verschreibungspflichtiger und rezeptfreier Medikamente Vitamine und Kräuterpräparate.
Wie soll ich Valtrex nehmen?
- Nehmen Sie Valtrex genau so, wie Ihr Gesundheitsdienstleister Ihnen sagt, dass Sie es nehmen sollen.
- Ihre Dosis von Valtrex und die Behandlungslänge hängt von der Art Ihrer Infektion ab, die Sie haben, und alle anderen medizinischen Probleme, die Sie haben.
- Stoppen Sie Valrex nicht oder ändern Sie Ihre Behandlung nicht, ohne mit Ihrem Gesundheitsdienstleister zu sprechen.
- Nehmen Sie Valtrex mit oder ohne Essen.
- Sagen Sie Ihrem Gesundheitsdienstleister, wenn Ihr Kind Valrex -Tablets nicht schlucken kann. Ihr Gesundheitsdienstleister kann Valrex als orale Suspension für Ihr Kind verschreiben.
- Wenn Sie Valtrex einnehmen, um Ausbrüche von Wickelschindeln oder Herpes im Genital zu behandeln, nehmen Sie Valtrex, sobald Sie die ersten Symptome einer Infektion wie Kribbeln oder Brennen oder wenn die Schmerzen erscheint.
- Es ist wichtig, dass Sie während der Behandlung mit Valtrex gut hydratisiert bleiben. Achten Sie darauf, dass Sie in dieser Zeit viele Flüssigkeiten trinken.
- Wenn Sie eine Dosis Valtrex verpassen, nehmen Sie es so, wie Sie sich erinnern. Wenn es fast Zeit für Ihre nächste Dosis ist, nehmen Sie die verpasste Dosis nicht. Nehmen Sie die nächste Dosis zu Ihrer regulären Zeit. Nehmen Sie keine 2 Dosen gleichzeitig oder nehmen Sie mehr Valtrex als vorgeschrieben.
- Wenn Sie zu viel Valtrex nehmen, rufen Sie Ihren Gesundheitsdienstleister an oder gehen Sie sofort in die nächstgelegene Krankenhausaufnahme.
Was sind die möglichen Nebenwirkungen von Valtrex?
Was MG kommt Klonopin herein
Valtrex can cause serious side effects including:
- Thrombotische thrombozytopenische Purpura (TTP) und hämolytisches urämisches Syndrom (HU). TTP und HUS sind bei Menschen mit geschwächtem Immunsystem aufgetreten, die Valtrex einnehmen, und haben zum Tod geführt. TTP und HUS sind Störungen, die dazu führen, dass sich kleine Blutgerinnsel im gesamten Körper bilden und den Blutfluss auf Körperorgane wie das Gehirnherz und die Nieren verringern. Ihr Gesundheitsdienstleister stoppt die Behandlung mit Valtrex, wenn Sie Anzeichen oder Symptome von TTP und HUS haben.
- Nierenversagen.
- Probleme des Nervensystems. Teilen Sie Ihrem Gesundheitsdienstleister sofort mit, wenn Sie während der Behandlung mit Valtrex eines dieser Anzeichen oder Symptome von Nervensystemproblemen erhalten:
- aggressives Verhalten
- unstetige Bewegung
- wackelige Bewegungen
- Verwirrung
- Sprachprobleme
- Halluzinationen (Sehen oder Hören von Dingen, die wirklich nicht da sind)
- Anfälle
- Koma
Ältere Menschen erhalten eher bestimmte Nebenwirkungen. Sprechen Sie mit Ihrem Gesundheitsdienstleister, wenn dies ein Problem für Sie ist.
Zu den häufigsten Nebenwirkungen von Valtrex bei Erwachsenen gehören:
- Kopfschmerzen
- Magenschmerz (abdominal)
- Brechreiz
Die häufigste Nebenwirkung von Valtrex bei Kindern, die weniger als 18 Jahre alt sind, sind Kopfschmerzen.
Dies sind nicht alle möglichen Nebenwirkungen von Valtrex.
Rufen Sie Ihren Arzt an, um medizinische Beratung zu Nebenwirkungen zu erhalten. Sie können die FDA bei 1-800-FDA-1088 Nebenwirkungen melden.
Wie soll ich Valtrex speichern?
- Speichern Sie Valrex -Tabletten bei 59 ° F bis 15 ° C bis 25 ° C.
- Lagern Sie die Valrex -Suspension zwischen 2 ° C und 46 ° F (2 ° C bis 8 ° C) in einem Kühlschrank. Werfen Sie die verbleibende Valtrex -Suspension nach 28 Tagen weg (wegwerfen).
- Schütteln Sie vor dem Gebrauch die Flasche Valtex gut.
- Halten Sie Valtrex in einem dicht geschlossenen Behälter.
Halten Sie Valtrex und alle Medikamente außerhalb der Reichweite der Kinder.
Allgemein infodermation about the safe and effective use of Valtrex.
Medikamente werden manchmal für andere Zwecke als die in einem Patienteninformationsblatt aufgeführten Zwecke verschrieben. Verwenden Sie Valtrex nicht für eine Bedingung, für die es nicht vorgeschrieben wurde. Geben Sie Valrex anderen Menschen nicht, auch wenn sie die gleichen Symptome haben, die Sie haben. Es kann ihnen schaden. Sie können Ihren Gesundheitsdienstleister oder Apotheker um Informationen zu Valtrex bitten, die für Angehörige der Gesundheitsberufe geschrieben wurden.
Was sind die Zutaten in Valtrex?
Wirkstoff: Valacyclovir Hydrochlorid
Inaktive Zutaten: Carnuba Wachs kolloidales Siliziumdioxid Crospovidon FD
Diese Patienteninformationen wurden von der US -amerikanischen Food and Drug Administration genehmigt