Die Informationen Auf Dieser Website Stellen Keine Medizinische Beratung Dar. Wir Verkaufen Nichts. Die Richtigkeit Der Übersetzung Wird Nicht Garantiert. Haftungsausschluss
TetracyclinePeriostat
Drogenzusammenfassung
Periostat ( Doxycyclin Hyclat ) ist ein Tetracyclin -Antibiotikum, das für die Verwendung als Ergänzung zu Zahnverfahren angezeigt wird, einschließlich Skalierung und Wurzelplanung zur Förderung des Gewinns des Bindungsniveaus und zur Verringerung der Taschentiefe bei Patienten mit Parodontitis bei Erwachsenen.
Nebenwirkungen von Periostat sind:
- Starke Kopfschmerzen
- Schwindel
- verschwommenes Sehen
- Brechreiz
- Durchfall
- Magenverstimmung
- Hautausschlag oder Juckreiz oder
- Vaginaler Juckreiz oder Ausfluss.
Sagen Sie Ihrem Arzt, wenn Sie ernsthafte Nebenwirkungen von Periostat haben, einschließlich:
- Sonnenbrand (Sonnenempfindlichkeit)
- schmerzhaft oder schwer zu schlucken oder
- Eine Änderung der Urinmenge.
Die Periostat -Dosierung unterscheidet sich von der von Doxycyclin zur Behandlung von Infektionen. Das Überschreiten der empfohlenen Dosierung kann zu einer erhöhten Inzidenz von Nebenwirkungen führen, einschließlich der Entwicklung resistenter Mikroorganismen. Periostat wird oral in Kapselform eingenommen.
Sagen Sie Ihrem Arzt, wenn Sie schwanger werden, während Sie Periostat einnehmen. Periostat kann mit interagieren mit Cholesterin -Lower Medications Isotretinoin Tretinoin Antazida-Produkte, die Wismut-Subsalicylat (wie Pepto-Bismol) enthalten, wie Eisenzink-Calcium-Magnesium und rezeptfreie Vitamin und Mineralzusätze Blutverdünner oder Penicillin-Antibiotika. Sagen Sie Ihrem Arzt alle Medikamente und Nahrungsergänzungsmittel, die Sie verwenden. Die Ergebnisse von Tierstudien zeigen, dass Doxycyclin die Plazenta überschreitet und in fetalen Geweben gefunden wird. Die Verwendung von Periostat kann bei Verabreichung der Zähne im Fötus in der letzten Hälfte der Schwangerschaft zu Verfärbungen führen und die Zähne, wenn sie als Kind oder Kind bis zum Alter von 8 Jahren angenommen werden, verfärben. Sprechen Sie mit Ihrem Arzt über die Verwendung von Geburtenkontrolle, während Sie Periostat einnehmen. Periostat geht in die Muttermilch über und kann die Knochen- und Zahnentwicklung bei einem Pflegebaby beeinflussen. Das Stillen während der Einnahme von Periostaten wird nicht empfohlen.
Suchen Sie medizinische Versorgung oder rufen Sie auf einmal 911 an, wenn Sie die folgenden schwerwiegenden Nebenwirkungen haben:
- Schwerwiegende Augensymptome wie plötzlicher Sehverlust verschwommenes Sehen Tunnel Sehschmerzen oder Schwellungen oder Halos in der Umgebung des Lichts;
- Schwerwiegende Herzsymptome wie schnelle unregelmäßige oder pochende Herzschläge; Flattern in deiner Brust; Kurzatmigkeit; und plötzliche Schwindel -Benommenheit oder ohnmächtig;
- Starke Kopfschmerzen Verwirrung verwirrt Spracharm oder Bein Schwäche Schwierigkeiten beim Verlust der Koordination unstabil sehr steifes Muskeln hoher Fieber problemlos Schwitzen oder Zittern.
Dieses Dokument enthält nicht alle möglichen Nebenwirkungen und andere können auftreten. Wenden Sie sich an Ihren Arzt nach zusätzlichen Informationen zu Nebenwirkungen.
FDA -Drogeninformationen
- Drogenbeschreibung
- Indikationen
- Nebenwirkungen
- Warnungen
- Vorsichtsmaßnahmen
- Überdosis
- Klinische Pharmakologie
- Medikamentenhandbuch
Beschreibung für Periostat
Periostat® (Doxycyclin -Hyclat) ist als 20 -mg -Tablettenformulierung von Doxycyclin für die orale Verabreichung erhältlich.
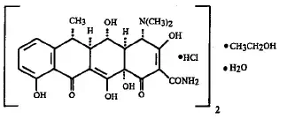
Die strukturelle Formel des Doxycyclin -Hyclats lautet:
|
mit einer empirischen Formel von (c (c) 22 H 24 N 2 O 8 • HCl) 2 • C. 2 H 6 OH. 2 O und ein Molekulargewicht von 1025,89. Die chemische Bezeichnung für Doxycyclin beträgt 4- (Dimethylamino) -144A55A61112A -Octahydro -35101212 Apentahydroxy - 6 - Methyl - 1 1 1 - Dioxo - 2 -napthaCenecarboxamid -Monohyhydrochlorid -Verbindungen (2: 1) monohydrochlorid.
Das Doxycyclin-Hyclat ist ein gelb bis hellgelbes kristallines Pulver, das in Wasser löslich ist.
Inerte Inhaltsstoffe in der Formulierung sind: Hydroxypropylmethylcellulose -Lactose -Magnesium -Stearat -mikrokristallines Cellulose -Titan -Dioxid und Triacetin. Jedes Tablet enthält 23 mg Doxycyclin -Hyclathyklat, die 20 mg Doxycyclin entsprechen.
Verwendung für Periostat
Periostat ist für die Verwendung als Ergänzung zur Skalierung und Wurzelplanung angezeigt, um die Gewinn des Bindungsniveaus zu fördern und die Taschentiefe bei Patienten mit einer Parodontitis bei Erwachsenen zu verringern.
Dosierung für Periostat
Die Dosierung von Periostat unterscheidet sich von der von Doxycyclin zur Behandlung von Infektionen. Das Überschreiten der empfohlenen Dosierung kann zu einer erhöhten Inzidenz von Nebenwirkungen führen, einschließlich der Entwicklung resistenter Mikroorganismen.
Periostat 20 mg zweimal täglich als Ergänzung nach Skalierung und Wurzelplanung kann bis zu 9 Monate verabreicht werden. Periostat sollte zweimal täglich in Intervallen von 12 Stunden morgens und abends zweimal täglich eingenommen werden. Es wird empfohlen, dass, wenn Periostat in der Nähe der Mahlzeiten eingenommen wird, mindestens eine Stunde vor oder zwei Stunden nach den Mahlzeiten zulässt. Sicherheit über 12 Monate und Wirksamkeit über 9 Monate wurden nicht festgestellt.
Es wird empfohlen, das Arzneimittel abzuwaschen und das Risiko einer Speiseröhre für Reizungen und Geschwüren zu verringern. (Sehen Nebenwirkungen Abschnitt).
Wie geliefert
Dosierungsformen und Stärken
Periostat (weiße Tablette mit einem PS20 geprägt) mit Doxycyclin -Hyclat -Hyclat -Hyclat -Hyclat -Hyclat -Hyclat -Hyclat -Hyclat -Hyclat -Hyklin -Hycclin -Hyclat -Hyclat -Hycclin -Hyklin, der 20 mg Doxycyclin entspricht. Flasche von 100 ( NDC 0299-5960-02).
Lagerung und Handhabung
Alle Produkte sollen bei kontrollierten Raumtemperaturen von 15 ° C - 30 ° C (59 ° F - 86 ° F) gelagert werden und in engen, hellresistenten Behältern (USP) abgegeben werden.
Vermarktet von: Galderma Laboratories L. P. Dallas Texas 75201 USA. Überarbeitet: Apr 2025
Nebenwirkungen für Periostat
Nebenwirkungen in klinischen Studien einer bioäquivalenten Form von Doxycyclin -Hyclatkapseln
In klinischen Studien mit erwachsenen Patienten mit Parodontalerkrankungen erhielten 213 Patienten 20 mg BID über einen Zeitraum von 9 bis 12 Monaten. Die häufigsten Nebenwirkungen, die in Studien mit einer bioäquivalenten Form von Doxycyclin -Hyclatkapseln oder Placebo auftreten, sind unten aufgeführt:
Inzidenz (%) von Nebenwirkungen in klinischen Studien mit Doxycyclin -Hyklatkapseln 20 mg
(Bioäquivalent zu Doxycyclin Hyclat Tabletten 20 mg) gegen Placebo
| Nebenwirkungen | Doxycyclin Hyclat Kapseln 20 mg Angebot (n = 213) | Placebo (n = 215) |
| Kopfschmerzen | 55 (26%) | 56 (26%) |
| Erkältung | 47 (22%) | 46 (21%) |
| Grippe Symptome | 24 (11%) | 40 (19%) |
| Zahnschmerz | 14 (7%) | 28 (13%) |
| Parodontal Abszess | 8 (4%) | 21 (10%) |
| Zahnstörung | 13 (6%) | 19 (9%) |
| Brechreiz | 17 (8%) | 12 (6%) |
| Sinusitis | 7 (3%) | 18 (8%) |
| Verletzung | 11 (5%) | 18 (8%) |
| Dyspepsie | 13 (6%) | 5 (2%) |
| Halsschmerzen | 11 (5%) | 13 (6%) |
| Gelenkschmerzen | 12 (6%) | 8 (4%) |
| Durchfall | 12 (6%) | 8 (4%) |
| Sinusstau | 11 (5%) | 11 (5%) |
| Husten | 9 (4%) | 11 (5%) |
| Sinus Kopfschmerzen | 8 (4%) | 8 (4%) |
| Ausschlag | 8 (4%) | 6 (3%) |
| Rückenschmerzen | 7 (3%) | 8 (4%) |
| Back Ache | 4 (2%) | 9 (4%) |
| Menstruationskrampf | 9 (4%) | 5 (2%) |
| Säureverdaulichkeit | 8 (4%) | 7 (3%) |
| Schmerz | 8 (4%) | 5 (2%) |
| Infektion | 4 (2%) | 6 (3%) |
| Zahnfleischschmerzen | 1 ( <1%) | 6 (3%) |
| Bronchitis | 7 (3%) | 5 (2%) |
| Muskelschmerzen | 2 (1%) | 6 (3%) |
| Hinweis: Prozentsätze basieren auf der Gesamtzahl der Studienteilnehmer in jeder Behandlungsgruppe. |
Nebenwirkungen for Tetracyclines
Bei Patienten, die Tetracycline erhielten, wurden folgende unerwünschte Reaktionen beobachtet:
Magen -Darm : Anorexie Übelkeit erbricht Durchfall durch Durchfall -Glossitis -Dysphagie -Enterokolitis und entzündliche Läsionen (mit vaginaler Candidiasis) in der anogenitalen Region. Hepatotoxizität wurde selten gemeldet.
Rare instances of esophagitis and esophageal ulcerations have been reported in patients receiving the capsule forms of the drugs in the tetracycline class. Most of these patients took medications immediately before going to bed. (See Dosierung und Verwaltung Abschnitt).
Haut : Maculopapuläre und erythematöse Hautausschläge. Es wurde ein Peeling der Dermatitis berichtet, ist jedoch ungewöhnlich. Die Photosensitivität wird oben diskutiert. (Sehen Warnungen Abschnitt).
Nierentoxizität : Es wurde ein Aufstieg des Brötchens gemeldet und ist anscheinend dosiert. (Sehen Warnungen Abschnitt).
Überempfindlichkeitsreaktionen : Urticaria Angioneurotische Ödeme -Anaphylaxie -Anaphylactoid -Purpura -Serumkrankheit Perikarditis und Verschlimmerung des systemischen Lupus erythematosus. Blut: Hämolytische Anämie -Thrombozytopenie -Neutropenie und Eosinophilie wurden berichtet. Psychiatrische: Depressionsangst Selbstmordgedämmung Schlaflosigkeit abnormale Träume Halluzination.
Wechselwirkungen zwischen Arzneimitteln für Periostat
Because tetracyclines have been shown to depress plasma prothrombin activity patients who are on anticoagulant therapy may require downward adjustment of their anticoagulant dosage. Since bacterial antibiotics such as the tetracycline class of antibiotics may interfere with the bactericidal action of members of the -lactam (e.g. penicillin) class of antibiotics it is not advisable to administer these antibiotics concomitantly. Absorption of tetracyclines is impaired by antacids containing aluminum calcium or magnesium and iron-containing preparations and by bismuth subsalicylate.
Barbiturate Carbamazepin und Phenytoin verringern die Halbwertszeit von Doxycyclin. Es wurde berichtet, dass die gleichzeitige Verwendung von Tetracyclin und Methoxyfluran zu einer tödlichen Nierentoxizität führt. Die gleichzeitige Verwendung von Tetracycline kann orale Kontrazeptiva weniger wirksam machen.
Warnungen for Periostat
Die Verwendung von Arzneimitteln der Tetracyclin-Klasse während der Zahnentwicklung (letzte Hälfte der Schwangerschaft in Kinderschuhen und Kindheit bis zum Alter von 8 Jahren) kann zu einer dauerhaften Verfärbung der Zähne (gelbgraubraun) führen.
Diese unerwünschte Reaktion tritt bei langfristiger Verwendung der Arzneimittel häufiger auf, wurde jedoch nach wiederholten Kurzzeitkursen beobachtet. Es wurde auch eine Email -Hypoplasie berichtet. Tetracyclin -Medikamente sollten daher in dieser Altersgruppe und in schwangeren oder stillenden Müttern nicht angewendet werden, es sei denn, die potenziellen Vorteile können trotz der potenziellen Risiken akzeptabel sein.
Alle Tetracyclines bilden in jedem Knochenformgewebe einen stabilen Calciumkomplex. Bei Frühgeborenen wurde bei vorzeitigen Säuglingen eine Abnahme der Fibula -Wachstumsrate beobachtet, die alle 6 Stunden in Dosen von 25 mg/kg orale Tetracyclines verabreicht wurden. Es wurde gezeigt, dass diese Reaktion reversibel ist, wenn das Medikament abgesetzt wurde. Doxycyclin kann einen fetalen Schaden verursachen, wenn sie einer schwangeren Frau verabreicht werden. Die Ergebnisse von tierischen Studien zeigen, dass Tetracycline die Plazenta in fetalen Geweben überschreiten und toxische Wirkungen auf den sich entwickelnden Fötus haben können (häufig in Bezug auf die Verzögerung der Skelettentwicklung). Es wurde auch bei Tieren, die früh in der Schwangerschaft behandelt wurden, Hinweise auf Embryotoxizität festgestellt. Wenn während der Schwangerschaft Tetracycline verwendet werden oder der Patient während der Einnahme dieses Medikaments schwanger wird, sollte der Patient über die potenzielle Gefahr für den Fötus informiert werden. Die katabolische Wirkung der Tetracycline kann zu einer Zunahme des Brötchens führen. Frühere Studien haben bei Patienten mit beeinträchtigter Nierenfunktion keinen Anstieg des Brötchens unter Verwendung von Doxycyclin beobachtet. Bei einigen Personen, die Tetracyclines einnahmen, wurde die Photosensitivität durch eine übertriebene Sonnenbrandreaktion beobachtet. Patienten, die nützlich einem direkten Sonnenlicht oder ultraviolettem Licht ausgesetzt sind, sollten darauf hingewiesen werden, dass diese Reaktion bei Tetracyclin -Medikamenten auftreten kann, und die Behandlung sollte bei den ersten Hinweisen auf Hauterythem abgesetzt werden.
Bei Doxycyclin sind feste Arzneimittelausbrüche aufgetreten und wurden mit einer Verschlechterung der Schwere nach nachfolgenden Verwaltungen in Verbindung gebracht, einschließlich einer verallgemeinerten Bullous Festmedikamentsausbruch (siehe Nebenwirkungen von Tetracyclinen). Wenn schwere Hautreaktionen auftreten, stellen Sie die Doxycyclin -Kapseln sofort ab und setzen Sie eine angemessene Therapie ein.
Nebenwirkungen for Tetracyclines
Haut : Makulopapuläre und erythematöse Hautausschläge und ein fester Arzneimittelausbruch wurden berichtet. Es wurde ein Peeling der Dermatitis berichtet, ist jedoch ungewöhnlich. Die Photosensitivität wird oben diskutiert (siehe Warnungen Abschnitt).
Vorsichtsmaßnahmen for Periostat
Während in klinischen Studien kein Überwachsen durch opportunistische Mikroorganismen wie Hefe festgestellt wurde, wie bei anderen antimikrobiellen Periostat-Therapie zu Überwachsen von nicht empfindlichen Mikroorganismen, einschließlich Pilzen. Die Verwendung von Tetracycline kann die Inzidenz von vaginaler Candidiasis erhöhen.
Periostat sollte bei Patienten mit Vorgeschichte oder Veranlagung für orale Candidiasis mit Vorsicht verwendet werden. Die Sicherheit und Wirksamkeit von Periostaten wurde nicht zur Behandlung von Parodontitis bei Patienten mit koexistierenden oralen Candidiasis festgelegt. Wenn die Superinfektion vermutet wird, sollten geeignete Maßnahmen ergriffen werden.
Labortests
In langfristigen Therapie sollten periodische Laborbewertungen von Organsystemen einschließlich hämatopoetischer Nieren- und Leberstudien durchgeführt werden
Wechselwirkungen zwischen Arzneimittel und Labor-/Labortest
Falsche Erhöhungen des Katecholaminspiegels im Urin können aufgrund von Störungen des Fluoreszenztests auftreten.
Nichtklinische Toxikologie
Karzinogenese -Mutagenese -Beeinträchtigung der Fruchtbarkeit
Das Doxycyclin-Hyclat wurde in einer Studie bewertet, in der die Verbindung der Ratten der Sprague-Dawley durch Gavage bei Dosierungen von 20 75 und 200 mg/kg/Tag für zwei Jahre an die Karzinogenese induziert wurde. Eine erhöhte Inzidenz von Uteruspolypen wurde bei weiblichen Ratten beobachtet, die 200 mg/kg/Tag eine Dosierung erhielten, die zu einer systemischen Exposition gegenüber Doxycyclin etwa neunmal so hoch dass bei weiblichen Menschen beobachtet wurde, die Periostat verwendeten (Expositionsvergleich basierend auf AUC -Werten). Bei männlichen Ratten bei 200 mg/kg/Tag oder bei den anderen untersuchten Dosierungen wurde kein Einfluss auf die Tumorinzidenz beobachtet. In Studien mit verwandten Verbindungen, d. H. Oxytetracyclin (Nebennieren- und Hypophysen -Tumoren) und Minocyclin (Schilddrüsentumoren), wurden Hinweise auf die onkogene Aktivität erhalten.
Doxycyclin -Hyclat zeigte kein Potenzial, eine genetische Toxizität in einem zu verursachen in vitro Punktmutationsstudie mit Säugetierzellen (CHO/HGPRT -Vorwärtsmutationstest) oder in einem vergeblich Mikronukleus-Assay, der in CD-1-Mäusen durchgeführt wird. Jedoch Daten von einem in vitro Der Assay mit CHO -Zellen, um chromosomale Aberrationen zu verursachen, legen nahe, dass Doxycyclin -Hyclat ein schwaches Klastogen ist.
Die orale Verabreichung von Doxycyclinhyklat an männliche und weibliche Sprague-Dawley-Ratten beeinflussten die Fertilität und die Fortpflanzungsleistung nachteilig, was durch eine erhöhte Zeit für die Paarung auftrat, die die Geschwindigkeit der Spermienmotilität und die abnormale Konzentrationsmorphologie und eine erhöhte Vor- implantatische Verluste auftraten. Doxycyclin -Hyclat induzierte die Fortpflanzungstoxizität bei allen Dosierungen, die in dieser Studie untersucht wurden, da selbst die niedrigste getestete Dosierung (50 mg/kg/Tag) eine statistisch signifikante Verringerung der Spermiengeschwindigkeit verursachte. Beachten Sie, dass 50 mg/kg/Tag ungefähr das 10 -fache der Menge an Doxycyclin -Hyclat beträgt, die in der empfohlenen Tagesdosis Periostat für einen 60 -kg -Menschen enthalten ist, im Vergleich zu den Schätzungen der Körperoberfläche (mg/m2). Obwohl Doxycyclin die Fruchtbarkeit von Ratten beeinträchtigt, wenn sie bei einer ausreichenden Dosierung verabreicht werden, ist die Wirkung des Periostats auf die menschliche Fruchtbarkeit unbekannt.
Verwendung in bestimmten Populationen
Schwangerschaft
Teratogene Wirkungen
Schwangerschaft Category D. (Sehen Warnungen Abschnitt). Results from animal studies indicate that doxycycline crosses the placenta and is found in fetal tissues.
Nicht teratogene Wirkungen
(Sehen Warnungen Abschnitt).
Arbeit und Entbindung
Die Auswirkung von Tetracyclines auf Arbeit und Entbindung ist unbekannt.
Pflegemütter
Tetracycline werden in Muttermilch ausgeschieden. Aufgrund des Potenzials für schwerwiegende Nebenwirkungen bei Pflegedaten aus Doxycyclin ist der Einsatz von Periostaten bei stillenden Müttern kontraindiziert. (Sehen Warnungen Abschnitt).
Pädiatrische Verwendung
Die Verwendung von Periostaten im Kindesalter und Kindheit ist kontraindiziert. (Sehen Warnungen Abschnitt).
Überdosierungsinformationen für Periostat
Im Falle einer Überdosierung behandeln die Medikamente symptomatisch und setzen unterstützende Maßnahmen ein. Die Dialyse verändert die Serum-Halbwertszeit nicht und wäre daher bei der Behandlung von Überdosierungsfällen nicht von Nutzen.
Kontraindikationen für Periostat
Dieses Medikament ist bei Personen kontraindiziert, die eine Überempfindlichkeit gegenüber Doxycyclin oder einer der anderen Tetracyclines gezeigt haben.
Klinische Pharmakologie for Periostat
Nach der oralen Verabreichung ist Doxycyclin -Hyclat schnell und fast vollständig aus dem Magen -Darm -Trakt absorbiert. Doxycyclin wird mit einer Halbwertszeit von ungefähr 18 Stunden durch Nieren- und Fäkalausscheidung von unveränderten Arzneimitteln beseitigt.
Wirkungsmechanismus
Es wurde gezeigt, dass Doxycyclin die Kollagenaseaktivität hemmt in vitro .1 Zusätzliche Studien haben gezeigt, dass Doxycyclin die erhöhte Kollagenaseaktivität in der Gingivalkrevikularflüssigkeit von Patienten mit einer Parodontitis bei Erwachsenen verringert.23 Die klinische Bedeutung dieser Befunde ist nicht bekannt.
Mikrobiologie
Doxycycline is a member of the tetracycline class of antibiotics. The dosage of doxycycline achieved with this product during administration is well below the concentration required to inhibit microorganisms commonly associated with adult periodontitis. Clinical studies with this product demonstrated no effect on total anaerobic and facultative bacteria in plaque samples from patients administered this dose regimen for 9 to 18 months.
Dieses Produkt sollte nicht zur Reduzierung der Anzahl der mit Parodontitis verbundenen Mikroorganismen verwendet werden.
Pharmakokinetik
Die Pharmakokinetik von Doxycyline nach oraler Verabreichung von Periostat wurde in 4 Freiwilligenstudien untersucht, an denen 107 Erwachsene beteiligt waren. Zusätzlich wurden Doxycyclin-Pharmakokinetik in zahlreichen wissenschaftlichen Veröffentlichungen charakterisiert.4 Pharmakokinetische Parameter für Periostat nach einzelnen oralen Dosen und im stationären Zustand bei gesunden Probanden werden wie folgt vorgestellt:
Pharmakokinetische Parameter für Periostat
| n | Cmax* (ng/ml) | Tmax ** (HR) | Ci / f * (l / h) | T½* (HR) | |
| Einzeldosis 20 mg (Tablet) | 20 | 362 ± 101 | 1.4 (1.0-2.5) | 3,85 ± 1,3 | 18,1 ± 4,85 |
| Gleichgewichtszustand 20 mg Bid *** | 30 | 790 ± 285 | 2 (NULL,98 - 12,0) | 3,76 ± 1,06 | Nicht Bestimmt |
| * Mittelwert ± SD ** Mittelwert und Reichweite *** Steady-State-Daten wurden von normalen Freiwilligen erhalten, die eine bioäquivalente Formulierung verabreicht wurden. |
Absorption
Doxycyclin ist nach oraler Verabreichung gut absorbiert. In einer Einzeldosis-Studie, die eine gleichzeitige Verabreichung von Periostat mit einer kalorienarmen Hochproteinmahlzeit von 1000 kalorien, führte die Milchprodukte bei gesunden Freiwilligen zu einer Abnahme der Geschwindigkeit und Ausdehnung der Absorption und Verzögerung der Zeit auf maximale Konzentrationen.
Verteilung
Doxycyclin ist größer als 90% an Plasmaproteine gebunden. Das scheinbare Verteilungsvolumen wird unterschiedlich zwischen 52,6 und 134 L. 46
Stoffwechsel
Hauptmetaboliten von Doxycyclin wurden nicht identifiziert. Enzyminduktoren wie Barbiturate Carbamazepin und Phenytoin verringern jedoch die Halbwertszeit von Doxycyclin.
Ausscheidung
Doxycyclin wird im Urin und Kot als unveränderter Medikament ausgeschieden. Es wird unterschiedlich berichtet, dass zwischen 29% und 55,4% einer verabreichten Dosis im Urin um 72 Stunden ausgewiesen werden können.
Besondere Populationen
Geriatrisch
Die Pharmakokinetik von Doxycyclin wurde bei geriatrischen Patienten nicht bewertet.
Ist Naproxen 500 mg ein Schmerzmittel
Pädiatrisch
Doxycyclin -Pharmakokinetik wurde bei pädiatrischen Patienten nicht bewertet (siehe Warnungen Abschnitt).
Geschlecht
Die Pharmakokinetik von Doxycyclin wurde bei 9 Männern und 11 Frauen unter gefütterten und fastenbedingten Bedingungen verglichen. Während weibliche Probanden eine höhere Geschwindigkeit (CMAX) und das Ausmaß der Absorption (AUC) hatten, wird angenommen, dass diese Unterschiede auf Unterschiede in der Körpergewicht/magerer Körpermasse zurückzuführen sind. Unterschiede in anderen pharmakokinetischen Parametern waren nicht signifikant.
Wettrennen
Unterschiede in der Doxycyclin -Pharmakokinetik zwischen Rassengruppen wurden nicht bewertet.
Niereninsuffizienz
Studien haben keinen signifikanten Unterschied in der Serum-Halbwertszeit von Doxycyclin bei Patienten mit normaler und stark beeinträchtigter Nierenfunktion gezeigt. Die Hämodialyse verändert die Halbwertszeit von Doxycyclin nicht.
Leberinsuffizienz
Doxycyclin -Pharmakokinetik wurde bei Patienten mit Leberinsuffizienz nicht bewertet.
Wechselwirkungen mit Arzneimitteln
(Sehen VORSICHTSMASSNAHMEN Abschnitt)
Klinische Studie
In a randomized multi-centered double-blind 9-month Phase 3 study involving 190 adult patients with periodontal disease [at least two probing sites per quadrant of between 5 and 9 mm pocket depth (PD) and attachment level (ALv)] the effects of oral administration of 20 mg twice a day of doxycycline hyclate (using a bioequivalent capsule formulation) plus scaling and root planing (SRP) were compared zu Placebo Control plus SRP. Beide Behandlungsgruppen wurden zu Studienbeginn in 2 Quadranten einen Verlauf der Skalierung und Wurzelplanung verabreicht. Die Messungen von ALV-PD und Blutung (BOP) wurden zu Studienbeginn 3 6 und 9 Monaten von jedem Standort über jeden Zahn in den beiden Quadranten erhalten, die SRP unter Verwendung der UNC-15-manuellen Sonde erhielten. Jede Zahnstelle wurde in eine von drei Schichten kategorisiert, basierend auf der PD: 0-3 mm (keine Krankheit) 4-6 mm (leichte/mittelschwere Erkrankung) ≥ 7 mm (schwere Krankheit). Für jede Schicht- und Behandlungsgruppe wurden die folgenden im Monat 3 6 und 9 berechnet: mittlere Änderung des ALV gegenüber der mittleren PD -Änderung des PD gegenüber dem Ausgangsnutzungsanteil der Zahnstellen pro Patient, der einen Bindungsverlust von ≥ 2 mm von Studienbeginn und den Prozentsatz der Zahnstellen mit Blutungen bei der Prüfung aufweist. Die Ergebnisse sind in der folgenden Tabelle zusammengefasst.
Klinische Ergebnisse nach neun Monaten Doxycyclin -Hyklatkapseln 20 mg als Ergänzung zu SRP (bioäquivalent zu Doxycyclin -Hyclat -Tabletten 20 mg)
| Parameter | Grundlinien -Taschentiefe | ||
| 0-3 mm | 4-6 mm | ≥ 7 mm | |
| Anzahl der Patienten (Periostat 20 mg BID) | 90 | 90 | 79 |
| Anzahl der Patienten (Placebo) | 93 | 93 | 78 |
| Mittlere Gewinn (SD ff ) in Alv v | 0,25 (NULL,29) mm | 1,03 (NULL,47) mm* | 1,55 (NULL,16) mm* |
| Periostat 20 mg Angebot | 0,20 (NULL,29) mm | 0,86 (NULL,48) mm | 1,17 (NULL,15) mm |
| Placebo | |||
| Meandecrease (SD ff ) in PD VV | |||
| Periostat 20 mg Angebot | 0,16 (NULL,19) mm ** | 0,95 (NULL,47) mm ** | 1,68 (NULL,07) mm ** |
| Placebo | 0,05 (NULL,19) mm | 0,69 (NULL,48) mm | 120 (NULL,06) mm |
| % der Standorte (SDFF) mit ALV -Verlust v = 2 mm | |||
| Periostat 20 mg Angebot | 1,9 (NULL,2)% | 1,3 (NULL,5)% | 0,3 (NULL,4)%* |
| Placebo | 2,2 (NULL,1)% | 2,4 (NULL,4)% | 3,6 (NULL,4)% |
| % der Standorte (SDFF) mit BOP f | |||
| Periostat 20 mg Angebot | 39 (19)%** | 64 (18)%* | 75 (29)% |
| Placebo | 46 (19)% | 70 (18)% | 80 (29)% |
| *P <0.050 vs. the placebo control group. **P <0.010 vs. the placebo control group. √ √ c PD = Taschentiefe f BOP = Blutung beim Prüfen ff SD = Standardabweichung |
Patienteninformationen für Periostat
Keine Informationen zur Verfügung gestellt. Bitte beachten Sie die Warnungen AND VORSICHTSMASSNAHMEN Abschnitt.