Die Informationen Auf Dieser Website Stellen Keine Medizinische Beratung Dar. Wir Verkaufen Nichts. Die Richtigkeit Der Übersetzung Wird Nicht Garantiert. Haftungsausschluss
Netzarsudil ophthalmic
Rhopressa
Drogenzusammenfassung
Was ist Rhopressa?
Rhopressa (Netarsudil Ophthalmic-Lösung) ist ein Rho-Kinase-Inhibitor, der für die Reduktion des erhöhten intraokularen Drucks bei Patienten mit offenem Winkelglaukom oder Augenhypertonie angegeben ist.
Was sind Nebenwirkungen von Rhopressa?
aRhopressa
- Nesselsucht
- Schwierigkeiten beim Atmen
- Schwellung Ihrer Gesichtslippen Zunge oder Hals
- Sehveränderungen
- Augenschmerzen und
- schwerer Schwindel
Holen Sie sich sofort medizinische Hilfe, wenn Sie eines der oben aufgeführten Symptome haben.
Zu den häufigen Nebenwirkungen von Rhopressa gehören:
- Augenrötung
- Hornhautanomalien
- Schmerz der Anbindung an Ort
- und Blutgefäße in die Augen.
Suchen Sie medizinische Versorgung oder rufen Sie auf einmal 911 an, wenn Sie die folgenden schwerwiegenden Nebenwirkungen haben:
- Schwerwiegende Augensymptome wie plötzlicher Sehverlust verschwommenes Sehen Tunnel Sehschmerzen oder Schwellungen oder Halos in der Umgebung des Lichts;
- Schwerwiegende Herzsymptome wie schnelle unregelmäßige oder pochende Herzschläge; Flattern in deiner Brust; Kurzatmigkeit; und plötzliche Schwindel -Benommenheit oder ohnmächtig;
- Starke Kopfschmerzen Verwirrung verwirrt Spracharm oder Bein Schwäche Schwierigkeiten beim Verlust der Koordination unstabil sehr steifes Muskeln hoher Fieber problemlos Schwitzen oder Zittern.
Dieses Dokument enthält nicht alle möglichen Nebenwirkungen und andere können auftreten. Wenden Sie sich an Ihren Arzt nach zusätzlichen Informationen zu Nebenwirkungen.
Dosierung für Rhopressa
Die Dosis Rhopressa ist ein Tropfen in die betroffenen Auge (en) einmal täglich abends.
Welche Medikamentensubstanzen oder Nahrungsergänzungsmittel interagieren mit Rhopressa?
Rhopressa kann mit anderen Medikamenten interagieren. Sagen Sie Ihrem Arzt alle Medikamente und Nahrungsergänzungsmittel, die Sie verwenden.
Rhopressa während der Schwangerschaft oder des Stillens
Sagen Sie Ihrem Arzt, wenn Sie schwanger sind oder vorhaben, vor der Verwendung von Rhopressa schwanger zu werden. Es ist nicht bekannt, ob es einen Fötus beeinflussen würde. Es ist nicht bekannt, ob Rhopressa in die Muttermilch übergeht. Wenden Sie sich vor dem Stillen an Ihren Arzt.
langfristige Nebenwirkungen von Allegra
Weitere Informationen
Unsere Rhopressa (Netarsudil Ophthalmic -Lösung) 0,02% für den topischen Ophthalmic -Gebrauch Nebenwirkungen Arzneimittelzentrum bietet eine umfassende Übersicht über verfügbare Arzneimittelinformationen über die potenziellen Nebenwirkungen bei der Einnahme dieses Medikaments.
FDA -Drogeninformationen
- Drogenbeschreibung
- Indikationen
- Nebenwirkungen
- Warnungen
- Überdosis
- Klinische Pharmakologie
- Medikamentenhandbuch
Beschreibung für Rhopressa
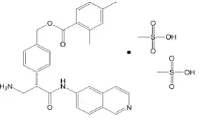
Netarsudil ist ein Rho -Kinase -Inhibitor. Sein chemischer Name beträgt (s) -4- (3-Amino-1- (Isoquinolin-6-yl-Amino) -1oxopropan-2-yl) Benzyl 24-Dimethylbenzoat-Dimesylat. Die molekulare Formel der freien Basis ist c 28 H 27 N 3 O 3 und die molekulare Formel des Dimesylats ist c 30 H 35 N 3 O 9 S 2 . Das Molekulargewicht der freien Basis beträgt 453,54 und das Molekulargewicht des Dimesylats beträgt 645,74. Die chemische Struktur ist:
|
Netarsudil-Dimesylat ist ein hellgelb bis zu weißes Pulver, das in dimethylformamid und praktisch unlöslich in Dichlormethan und Heptan praktisch unlöslich ist.
Rhopressa (Netarsudil Ophthalmic -Lösung) 0,02% wird als sterile isotonische gepufferte wässrige Lösung von Netarsudil -Dimesylat mit einem pH -Wert von ungefähr 5 und einer Osmolalität von ungefähr 295 Mosmol/kg geliefert. Es ist für die topische Anwendung im Auge gedacht. Jede ml Rhopressa enthält 0,2 mg Netarsudil (äquivalent zu 0,28 mg Netarsudil -Dimesylat). Benzalkoniumchlorid 0,015% werden als Konservierungsmittel zugesetzt. Die inaktiven Inhaltsstoffe sind: Borsäure -Mannit -Natriumhydroxid zum Einstellen von pH und Wasser zur Injektion.
Verwendung für Rhopressa
Rhopressa ist für die Reduktion des erhöhten intraokularen Drucks (IOD) bei Patienten mit offenem Winkelglaukom oder Augenhypertonie angezeigt.
Dosierung für Rhopressa
Die empfohlene Dosierung ist ein Tropfen der betroffenen Auge (en) einmal täglich abends.
Wenn eine Dosis übersehen wird, sollte die Behandlung mit der nächsten Dosis am Abend fortgesetzt werden. Zweimal täglich wird die Dosierung nicht gut vertragen und wird nicht empfohlen. Wenn Rhopressa gleichzeitig mit anderen topischen Augenmedikamenten verwendet werden soll, um den Augeninnendruck zu senken, das jedes Arzneimittelprodukt mindestens 5 Minuten voneinander entfernt wird [siehe Patienteninformationen ].
Wie geliefert
Dosierungsformen und Stärken
Ophthalmic -Lösung mit Netarsudil 0,02% (NULL,2 mg/ml).
Lagerung und Handhabung
Rhopressa ® (Netarsudil Ophthalmic -Lösung) 0,02% werden steril in und undurchsichtigen weißen Polyethylenflaschen mit niedriger Dichte und Spitzen mit weißen Polypropylenkappen geliefert.
2,5 ml füllen Sie einen 4 -ml -Behälter aus NDC
Lagerung
Auf 2 ° C bis 8 ° C (36 ° F bis 46 ° F) speichern, bis er geöffnet ist. Nach dem Öffnen kann das Produkt bis zu 6 Wochen bei 2 ° C bis 25 ° C (36 ° F bis 77 ° F) gehalten werden. Wenn das Produkt nach dem Öffnen des Produkts bei 2 ° C bis 8 ° C (36 ° F bis 46 ° F) gekühlt bleibt, kann das Produkt bis zum Ablaufdatum auf der Flasche verwendet werden. Während des Versands kann die Flasche bei Temperaturen bis zu 40 ° C für einen Zeitraum von nicht mehr als 14 Tagen gehalten werden.
Hergestellt für: Alcon Laboratoriesinc 6201 South Freeway Fort Worth Texas 76134 USA. Überarbeitet: September 2024
Nebenwirkungen für Rhopressa
Klinische Studien Erfahrung
Da klinische Studien unter sehr unterschiedlichen Bedingungen durchgeführt werden, die in den klinischen Studien eines Arzneimittels in den klinischen Studien eines anderen Arzneimittels nicht direkt mit den Raten verglichen werden können, können die in den klinischen Arzneimitteln nicht direkten Reaktionsraten nicht direkt mit den in der Praxis beobachteten Raten verglichen werden.
Die am häufigsten in kontrollierten klinischen Studien beobachtete Augenvergünstigungsreaktion mit Rhopressa, die einmal täglich dosiert wurde, war eine Konjunktivalhyperämie, die bei 53% der Patienten berichtet wurde. Sechs Prozent der Patienten stellten die Therapie aufgrund einer konjunktivalen Hyperämie ab. Andere häufige (ungefähr 20%) berichtete Nebenverfolgungen waren: Hornhaut Verticillata Instillationsstelle Schmerzen und Konjunktivalblutungen. Instillationsstelle Erythema Hornhautfärbung verschwommenes Sehvermögen erhöhte das Erythem an Augenlid und eine verringerte Sehschärfe wurde bei 5-10% der Patienten berichtet.
Hornhaut Verticillata
In kontrollierten klinischen Studien trat bei etwa 20% der Patienten in kontrollierten klinischen Studien eine Hornhautvertikillata auf. Die bei Rhopressa behandelten Hornhaut-Verticillata wurde erstmals in 4 Wochen der täglichen Dosierung festgestellt. Diese Reaktion führte nicht zu offensichtlichen visuellen funktionellen Veränderungen bei Patienten. Die meisten Hornhautvertikillata wurden beim Absetzen der Behandlung entschlossen.
Nachmarkterfahrung
Die folgenden nachteiligen Reaktionen wurden während der Verwendung von Rhopressa nach dem Stempeln identifiziert. Da diese Reaktionen freiwillig aus einer Population unsicherer Größe berichtet werden, ist es nicht immer möglich, ihre Häufigkeit zuverlässig abzuschätzen oder ein kausales Verhältnis zur Arzneimittelexposition herzustellen.
Augenstörungen
Bei einigen Patienten mit bereits bestehendem Hornhaut-Stromalödem oder nach Augenverfahren, die die Endothelfunktion der Hornhaut beeinflussen könnten Warnungen und Vorsichtsmaßnahmen ].
Wechselwirkungen zwischen Arzneimitteln für Rhopressa
Keine Informationen zur Verfügung gestellt
Warnungen vor Rhopressa
Eingeschlossen als Teil der 'VORSICHTSMASSNAHMEN' Abschnitt
Vorsichtsmaßnahmen für Rhopressa
Bakterielle Keratitis
Es gab Berichte über bakterielle Keratitis im Zusammenhang mit der Verwendung von Mehrdosisbehältern topischer ophthalmischer Produkte. Diese Behälter waren versehentlich von Patienten kontaminiert worden Patienteninformationen ].
Verwendung mit Kontaktlinsen
Die Kontaktlinsen sollten vor der Einbeziehung von Rhopressa entfernt werden und können 15 Minuten nach seiner Verwaltung wieder einverrückt werden.
Nichtklinische Toxikologie
Karzinogenese -Mutagenese -Beeinträchtigung der Fruchtbarkeit
Langzeitstudien an Tieren wurden nicht durchgeführt, um das krebserzeugende Potential von Netarsudil zu bewerten. Netarsudil war im AMES -Test im Maus -Lymphom -Test oder im Maus -Lymphom -Test nicht mutagenisch vergeblich Ratten -Mikronukleus -Test. Studien zur Bewertung der Auswirkungen von Netrarsudil auf die männliche oder weibliche Fruchtbarkeit bei Tieren wurden nicht durchgeführt.
Verwendung in bestimmten Populationen
Schwangerschaft
Risikozusammenfassung
Es stehen keine Daten zum Einsatz von Rhopressa bei schwangeren Frauen zur Verfügung, um ein Risiko für Arzneimittel zu informieren. Die systemische Exposition gegenüber Netarsudil durch die Verabreichung von Augen ist jedoch gering [siehe Klinische Pharmakologie ]. Intravenous administration of netarsudil to pregnant rats and rabbits during organogenesis did not produce adverse embryofetal effects at clinically relevant systemic exposures [see Daten ].
Daten
Tierdaten
Netarsudil, die täglich durch intravenöse Injektion an Ratten während der Organogenese verabreicht wurde, verursachte Abtreibungen und Embryofetal-Letalität bei Dosen von ≥ 0,3 mg/kg/Tag (126-fach die Plasmaexposition an der empfohlenen menschlichen Ophthalmic-Dosis [RHOD] basierend auf CMAX). Die Noael-Ebene ohne Beobachtung von Adverse-Effect-Level für die Embryofetalentwicklung war 0,1 mg/kg/Tag (40-fach die Plasmaexposition am RHOD basierend auf CMAX).
Netarsudil, die täglich durch intravenöse Injektion in Kaninchen während der Organogenese verabreicht wurde, verursachte Embryofetal-Letalität und verringerte das fetale Gewicht bei 5 mg/kg/Tag (1480-fach die Plasmaexposition am RhOD basierend auf CMAX). Fehlbildungen wurden bei ≥3 mg/kg/Tag (1330-fach die Plasmaklosse am Rhod basierend auf Cmax) einschließlich des Thorakogastroschisis-Nabelhernie und fehlender Zwischenlungenlappen beobachtet. Der NOAEL für die Embryofetalentwicklungstoxizität betrug 0,5 mg/kg/Tag (214-fach die Plasmaexposition am RhOD basierend auf Cmax).
Stillzeit
Risikozusammenfassung
Es gibt keine Daten über das Vorhandensein von Rhopresses in der Muttermilch die Auswirkungen auf das gestillte Kind oder die Auswirkungen auf die Milchproduktion. Die systemische Exposition gegenüber Netarsudil nach der topischen Augenverabreichung ist jedoch gering [siehe Klinische Pharmakologie ] und es ist nicht bekannt, ob messbare Netarsudil -Werte in der mütterlichen Milch nach der topischen Augenverabreichung vorhanden sein würden.
Die Entwicklungs- und gesundheitlichen Vorteile des Stillens sollten zusammen mit dem klinischen Bedürfnis der Mutter nach Rhopressa und potenziellen nachteiligen Auswirkungen des gestillten Kindes durch Rhopressa berücksichtigt werden.
Pädiatrische Verwendung
Sicherheit und Wirksamkeit bei pädiatrischen Patienten unter 18 Jahren wurden nicht festgestellt.
Geriatrische Verwendung
Es wurden keine allgemeinen Unterschiede in der Sicherheit oder Wirksamkeit zwischen älteren und anderen erwachsenen Patienten beobachtet.
Überdosierungsinformationen für Rhopressa
Es berichtet nicht überwältigend
Kontraindikationen für Rhopressa
Keiner.
Klinische Pharmakologie for Rhopressa
Wirkungsmechanismus
Netarsudil ist ein Rho -Kinase -Inhibitor, von dem angenommen wird, dass er den IOD reduziert, indem er den Abfluss des wässrigen Humors durch das trabekuläre Netzwerk erhöht. Der genaue Mechanismus ist unbekannt.
Pharmakokinetik
Absorption
Die systemischen Expositionen von Netarsudil und deren aktiven Metaboliten AR-13503 wurden bei 18 gesunden Probanden nach täglicher täglicher täglicher Verabreichung von Rhopressa von Rhopressa (täglich ein Tropfen bilateral) 8 Tage lang bewertet. Es gab keine quantifizierbaren Plasmakonzentrationen von Netarsudil (Untergrenze der Quantifizierung (LLOQ) 0,100 ng/ml) nach der Dosis am Tag 1 und am Tag 8. Es wurde nur eine Plasmakonzentration bei 0,11 ng/ml für den aktiven Metaboliten am Tag 8 zu 8 Stunden nach der Dosierung beobachtet.
Stoffwechsel
Nach dem topischen Augendosierung wird Netarsudil durch Esterasen im Auge metabolisiert.
Klinische Studien
Rhopressa 0.02% was evaluated in three randomized and controlled clinical trials namely AR-13324ÂCS301 (NCT 02207491 referred to as Study 301) AR-13324-CS302 (NCT 02207621 referred to as Study 302) and AR-13324-CS304 (NCT 02558374 referred to as Study 304) in patients with open-angle glaucoma or ocular hypertension. Studies 301 and 302 enrolled subjects with baseline IOP lower than 27 mmHg and Study 304 enrolled subjects with baseline IOP lower than 30 mmHg. The treatment duration was 3 months in Study 301 12 months in Study 302 and 6 months in Study 304.
Die drei Studien zeigten bis zu 5 mmHg -Reduktionen des IOD für Probanden, die mit Rhopressa 0,02% einmal täglich abends behandelt wurden. Für Patienten mit Basis -IOP <25 mmHg the IOP reductions with Rhopressa 0.02% dosed once daily were similar to those with timolol 0.5% dosed twice daily (see Table 1). For patients with baseline IOP equal to or above 25 mmHg however Rhopressa 0.02% resulted in smaller mean IOP reductions at the morning time points than timolol 0.5% for study visits on Days 43 and 90; the difference in mean IOP reduction between the two treatment groups was as high as 3 mmHg favoring timolol.
Tabelle 1: mittlere IOD -Änderung von Studienauge (MMHG) durch Besuch und Zeit
Beste Gegend zum Übernachten in Boston
Diese Tabelle wurde auf der Grundlage der beobachteten Daten aller randomisierten Probanden erstellt, die keine größeren Protokollverletzungen hatten. Die Behandlungsunterschiede und die zweiseitigen CIs zum Vergleich von Rhopressa QD mit Timolol-Gebot von 0,5% basierten auf der Analyse der Kovarianz (ANCOVA), die für den Basis-IOD angepasst wurden.
Patienteninformationen für Rhopressa
Umgang mit dem Behälter
Weisen Sie die Patienten an, zu vermeiden, dass die Spitze des Abgabebehälters die Augen umgebende Strukturen oder eine andere Oberfläche in Verbindung setzen, um die Kontamination der Lösung zu minimieren. Eine schwerwiegende Schädigung des Auges und des anschließenden Sehverlusts kann durch die Verwendung kontaminierter Lösungen resultieren [siehe Warnungen und Vorsichtsmaßnahmen ].
Wann man einen Beratung von Ärzten sucht
Beraten Sie den Patienten, dass, wenn sie einen interkurrenten Augenerkrankung entwickeln (z. B. eine Trauma -Infektion oder ein verringertes Sehvermögen mit oder ohne Augenschmerzen), eine Augenoperation aufweisen oder irgendwelche Augenreaktionen entwickeln, insbesondere Bindehautentzündung und Augenlidreaktionen, die sie sofort nach den Rat ihrer Arzt nach der fortgesetzten Verwendung von Rhopressa suchen sollten.
Verwendung mit Kontaktlinsen
Beraten Sie den Patienten, dass Rhopressa Benzalkoniumchlorid enthält, das von weichen Kontaktlinsen absorbiert werden kann. Die Kontaktlinsen sollten vor der Einbeziehung von Rhopressa entfernt werden und können 15 Minuten nach seiner Verwaltung wieder einverrückt werden.
Verwendung mit anderen Ophthalmika
Beraten Sie den Patienten, dass, wenn mehr als ein topisches Ophthalmika verwendet wird, die Medikamente zwischen den Anwendungen mindestens 5 Minuten verabreicht werden sollten.
Verpasste Dosis
Beraten Sie den Patienten, dass, wenn eine Dosis fehlte, die Behandlung mit der nächsten Dosis abends fortgesetzt werden sollte.