Die Informationen Auf Dieser Website Stellen Keine Medizinische Beratung Dar. Wir Verkaufen Nichts. Die Richtigkeit Der Übersetzung Wird Nicht Garantiert. Haftungsausschluss
Neurologika, Antisense -Oligonukleotide
Spinraza
Drogenzusammenfassung
Was ist Spinraza?
Die Injektion von Spinraza (Nusinersen) ist ein Überlebensmotoneuron-2 (SMN2)- gerichtetes Antisense-Oligonukleotid für die Behandlung der muskulösen Atrophie (SMA) bei pädiatrischen und erwachsenen Patienten.
Was sind Nebenwirkungen von Spinraza?
Spinraza
- Nesselsucht
- Schwierigkeiten beim Atmen
- Schwellung Ihrer Gesichtslippen Zunge oder Hals
- Einfach Blutergüsse
- Ungewöhnliche Blutungen (Nasenmundvagina oder Rektum)
- Lila oder rote Punktflecken unter Ihrer Haut
- Brustschmerzen
- Kurzatmigkeit
- roter Hautausschlag
- Schaumer Urin
- rot oder braun gefärbter Urin und
- Schwellung in deinem Gesicht Magenhände oder Füße
Holen Sie sich sofort medizinische Hilfe, wenn Sie eines der oben aufgeführten Symptome haben.
Zu den häufigen Nebenwirkungen von Spinraza gehören:
- Untereinerhaltungsinfektion
- Infektion der oberen Atemwege und
- Verstopfung
- Zahnen
- Stauung
- Ohrenentzündung und
- Skoliose.
Suchen Sie medizinische Versorgung oder rufen Sie auf einmal 911 an, wenn Sie die folgenden schwerwiegenden Nebenwirkungen haben:
- Schwerwiegende Augensymptome wie plötzlicher Sehverlust verschwommenes Sehen Tunnel Sehschmerzen oder Schwellungen oder Halos in der Umgebung des Lichts;
- Schwerwiegende Herzsymptome wie schnelle unregelmäßige oder pochende Herzschläge; Flattern in deiner Brust; Kurzatmigkeit; und plötzlich Schwindel Benommenheit oder ohnmächtig;
- Starke Kopfschmerzen Verwirrung verwirrt Spracharm oder Bein Schwäche Schwierigkeiten beim Verlust der Koordination unstabil sehr steifes Muskeln hoher Fieber problemlos Schwitzen oder Zittern.
Dieses Dokument enthält nicht alle möglichen Nebenwirkungen und andere können auftreten. Wenden Sie sich an Ihren Arzt nach zusätzlichen Informationen zu Nebenwirkungen.
Dosierung für Spinraza
Die empfohlene Dosierung von Spinraza beträgt 12 mg (5 ml) pro Verabreichung. Initiieren Sie die Spinraza -Behandlung mit 4 Ladedosen. Die ersten drei Ladedosen sollten in Intervallen von 14 Tagen verabreicht werden. Die 4. Ladedosis sollte 30 Tage nach der 3. Dosis verabreicht werden. Eine Wartendosis sollte alle 4 Monate danach verabreicht werden.
Welche Drogensubstanzen oder Nahrungsergänzungsmittel interagieren mit Spinraza?
Spinraza kann mit anderen Medikamenten interagieren. Sagen Sie Ihrem Arzt alle Medikamente und Nahrungsergänzungsmittel, die Sie verwenden.
Spinraza während der Schwangerschaft und Stillen
Sagen Sie Ihrem Arzt, wenn Sie schwanger sind oder vorhaben, schwanger zu werden, bevor Sie Spinraza verwenden. Es ist nicht bekannt, ob es einen Fötus betrifft. Es ist nicht bekannt, ob Spinraza in die Muttermilch übergeht. Wenden Sie sich vor dem Stillen an Ihren Arzt.
Weitere Informationen
Unsere Spinraza (Nusinersen) -Injektions -Arzneimittelzentrum -Injektion bietet einen umfassenden Überblick über die verfügbaren Arzneimittelinformationen über die potenziellen Nebenwirkungen bei der Einnahme dieses Medikaments.
FDA -Drogeninformationen
- Drogenbeschreibung
- Indikationen
- Nebenwirkungen
- Warnungen
- Überdosis
- Klinische Pharmakologie
- Medikamentenhandbuch
Beschreibung für Spinraza -Lösung
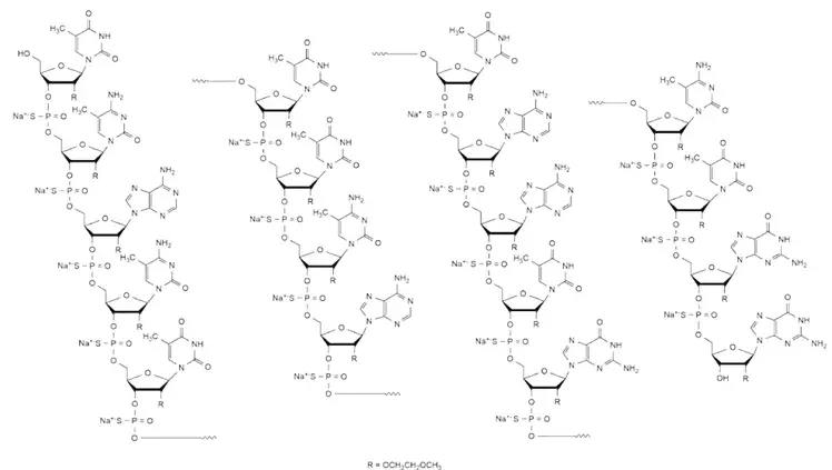
Nusinersen ist ein modifiziertes Antisense-Oligonukleotid, bei dem die 2'-Hydroxy-Gruppen der Ribofuranosylringe durch 2'-O-2-Methoxyethylgruppen ersetzt werden und die Phosphatverbindungen durch Phosphorothioat-Verknüpfungen ersetzt werden. Nusinersen bindet an eine spezifische Sequenz im Intron stromabwärts von Exon 7 der SMN2 Transkript. Die strukturelle Formel lautet:
|
Spinraza wird als sterile konservativ-freie farblose Lösung für den intrathekalen Gebrauch in einem eindosierten Glasfläschchen geliefert. Jede 1 ml Lösung enthält 2,4 mg Nusinersen (gleich 2,53 mg Nusinersen -Natriumsalz). Jede 1 ml enthält auch Calciumchloriddihydrat (NULL,21 mg) USP -Magnesiumchloridhexahydrat (NULL,16 mg) USP -Kaliumchlorid (NULL,22 mg) USP -Natriumchlorid (NULL,77 mg) USP -Natricium -Phosphat -Dibat -Dibat -Dibat -Dibat -Dibat -Dibat -Dibat -Dibat -Dibat -Dibat -Dibat -Dibatic -0 -MG) -Mg) uSP -Natricat -dibasinm (NULL,10 mg). USP und Wasser zur Injektion USP. Das Produkt kann Salzsäure oder Natriumhydroxid enthalten, um den pH -Wert einzustellen. Der pH -Wert ist ~ 7,2.
Die molekulare Formel von Spinraza ist c 234 H 323 N 61 O 128 P 17 S 17 N / A 17 und das Molekulargewicht beträgt 7501,0 Daltons.
Verwendung für Spinraza -Lösung
Spinraza ist für die Behandlung der muskulösen Atrophie (SMA) bei pädiatrischen und erwachsenen Patienten angezeigt.
Dosierung für Spinraza Solution
Dosierungsinformationen
Spinraza wird von oder unter der Leitung von Angehörigen der Gesundheitsberufe, die bei der Durchführung von Lumbalpunktionen erlebt werden, intrathekal verabreicht.
Empfohlene Dosierung
Die empfohlene Dosierung beträgt 12 mg (5 ml) pro Verabreichung.
Initiieren Sie die Spinraza -Behandlung mit 4 Ladedosen. Die ersten drei Ladedosen sollten in Intervallen von 14 Tagen verabreicht werden. Die 4. Ladedosis sollte 30 Tage nach der 3. Dosis verabreicht werden. Eine Wartendosis sollte alle 4 Monate danach verabreicht werden.
Verpasste Dosis
Verpasste Ladedosis
Wenn eine Ladedosis (eine der 4 Ladedosen) verpasst wird, verabreicht es die fehlende Ladedosis so schnell wie möglich; Passen Sie das Datum für die nachfolgenden Dosen an, um das empfohlene Intervall zwischen den Dosen aufrechtzuerhalten.
Verpasste Wartungsdosis
Was sind die Auswirkungen von Dextromethorphan
Weniger als 8 Monate ab der letzten Dosis
Die verpasste Wartungsdosis so schnell wie möglich verabreichen; Verwalten Sie dann die nächste Wartungsdosis pro ursprünglich geplanter Datum, solange diese beiden Dosen mindestens 14 Tage voneinander entfernt verabreicht werden.
Mindestens 8 Monate, aber weniger als 16 Monate nach der letzten Dosis
Verabreichen Sie die fehlende Wartungsdosis so schnell wie möglich, gefolgt von einer zusätzlichen Dosis 14 Tage später und verabreichen Sie dann die nächste Wartungsdosis 4 Monate danach.
Mindestens 16 Monate, aber weniger als 40 Monate nach der letzten Dosis
Verwalten Sie die fehlende Wartungsdosis so bald wie möglich, gefolgt von zwei zusätzlichen Dosen im Abstand von 14 Tagen und dann die nächste Wartungsdosis 4 Monate danach.
Mindestens 40 Monate nach der letzten Dosis
Starten Sie die Dosierung wie in der empfohlenen Dosierung neu.
Wichtige Vorbereitung und Verwaltungsanweisungen
Spinraza dient nur für den intrathekalen Gebrauch.
Bereiten Sie Spinraza gemäß den folgenden Schritten mit aseptischer Technik vor und verwenden Sie sie. Jede Fläschchen ist nur für einzelne Dosis bestimmt.
Vorbereitung
- Spinraza im Karton in einem Kühlschrank bis zum Gebrauch speichern.
- Lassen Sie das Spinraza -Fläschchen vor der Verabreichung auf Raumtemperatur (25 ° C/77 ° F) warm. Verwenden Sie keine externen Wärmequellen.
- Überprüfen Sie das Spinraza -Chiden auf Partikel und Verfärbungen vor der Verabreichung. Verabreichen Sie Spinraza nicht, wenn sichtbare Partikel beobachtet werden oder wenn die Flüssigkeit in der Fläschchen verfärbt ist. Die Verwendung externer Filter ist nicht erforderlich.
- 12 mg (5 ml) Spinraza aus dem eindosierten Fläschchen in eine Spritze zurückziehen und den ungenutzten Inhalt des Fläschchens entsorgen.
- Spinraza innerhalb von 4 Stunden nach der Entfernung aus dem Fläschchen verwalten.
Verwaltung
- Betrachten Sie die Sedierung wie durch den klinischen Zustand des Patienten.
- Betrachten Sie Ultraschall oder andere Bildgebungstechniken, um die intrathekale Verabreichung von Spinraza insbesondere bei jüngeren Patienten zu leiten.
- Vor der Verabreichung entfernen Sie 5 ml Cerebrospinalflüssigkeit.
- Spinraza als intrathekale Bolusinjektion über 1 bis 3 Minuten unter Verwendung einer Spinalanästhesie -Nadel verabreichen [siehe Dosierungsinformationen ]. Verabreichen Sie Spinraza nicht in Bereichen der Haut, in denen Anzeichen von Infektionen oder Entzündungen vorhanden sind [siehe Nebenwirkungen ].
Labortests und Überwachung zur Bewertung der Sicherheit
Führen Sie die folgenden Labortests zu Studienbeginn und vor jeder Dosis Spinraza durch und wie klinisch benötigt [siehe Warnungen und Vorsichtsmaßnahmen ]:
- Thrombozytenzahl
- Prothrombinzeit; aktivierte partielle Thromboplastinzeit
- Quantitative Fleck -Urin -Protein -Tests
Wie geliefert
Dosierungsformen und Stärken
Injektion : 12 mg/5 ml (NULL,4 mg/ml) Nusinersen als klare und farblose Lösung in einem eindosis-Fläschchen.
Die Spinraza-Injektion ist eine sterile, klare und farblose Lösung, die als 12 mg/5 ml (NULL,4 mg/ml) Lösung in einem eindosierten Glasfläschchen frei von Konservierungsstoffen geliefert wird. Der NDC ist 64406-058-01.
Lagerung und Handhabung
In einem Kühlschrank zwischen 2 ° C bis 8 ° C (36 ° F bis 46 ° F) im ursprünglichen Karton aufbewahren, um vor Licht zu schützen. NICHT einfrieren.
Spinraza sollte vor Licht geschützt und bis zum Zeitpunkt der Verwendung im ursprünglichen Karton aufbewahrt werden. Wenn keine Kühlung verfügbar ist, kann Spinraza in seinem ursprünglichen Karton bis zu 14 Tage bei oder unter 30 ° C (86 ° F) gespeichert werden.
Vor der Verabreichung können ungeöffnete Fläschchen von Spinraza entfernt und bei Bedarf zum Kühlschrank zurückgegeben werden. Wenn Sie aus dem ursprünglichen Karton entfernt werden, sollte die Gesamtzeit der Kühlung 30 Stunden bei einer Temperatur nicht überschreiten, die 25 ° C nicht überschreitet.
Hergestellt für: Biogen Cambridge MA 02142. Überarbeitet: Apr 2024.
Nebenwirkungen für die Spinraza -Lösung
Die folgenden schwerwiegenden Nebenwirkungen werden in anderen Abschnitten der Kennzeichnung ausführlich beschrieben:
- Thrombozytopenie und Gerinnungsstörungen [siehe Warnungen und Vorsichtsmaßnahmen ]
- Nierentoxizität [siehe Warnungen und Vorsichtsmaßnahmen ]
Klinische Studien Erfahrung
Da klinische Studien unter sehr unterschiedlichen Bedingungen durchgeführt werden, die in den klinischen Studien mit Spinraza unerwünschte Reaktionsraten beobachtet werden, können in klinischen Studien mit anderen Arzneimitteln nicht direkt mit den Raten verglichen werden und spiegeln möglicherweise nicht die in der Praxis beobachteten Raten wider.
In klinischen Studien wurden 346 Patienten (47% männliche 76% Kaukasische) mit Spinraza behandelt, einschließlich 314 ausgesetzt für mindestens 6 Monate 258 für mindestens 1 Jahr und 138 für mindestens 2 Jahre ausgesetzt. Die Sicherheit von Spinraza wurde bei präsymptomatischen Säuglingen mit SMA untersucht; pädiatrische Patienten (ungefähr 3 Tage bis 16 Jahre bei der ersten Dosis) mit symptomatischem SMA; in einer scheinkontrollierten Studie bei Säuglingen mit symptomatischem SMA (Studie 1; n = 80 für Spinraza n = 41 zur Kontrolle); in einer scheinkontrollierten Studie bei Kindern mit symptomatischem SMA (Studie 2; n = 84 für Spinraza n = 42 zur Kontrolle); In einer Open-Label-Studie an präsymptomatischen Säuglingen (Studie 3 n = 25) und anderen Studien an symptomatischen Säuglingen (n = 54) und späteren Patienten (n = 103). In Studie 1 58 wurden die Patienten mindestens 6 Monate lang ausgesetzt und 28 Patienten mindestens 12 Monate lang ausgesetzt. In Studie 2 84 wurden die Patienten mindestens 6 Monate lang ausgesetzt und 82 Patienten mindestens 12 Monate lang ausgesetzt.
Klinische Studie in SMA infantil-einset (Studie 1)
In Study 1 baseline disease characteristics were largely similar in the SPINRAZA-treated patients and sham-control patients except that SPINRAZA-treated patients at baseline had a higher percentage compared to sham-control patients of paradoxical breathing (89% vs 66%) pneumonia or respiratory symptoms (35% vs 22%) swallowing or feeding difficulties (51% vs 29%) and requirement for Atemunterstützung (26% gegenüber 15%).
Die häufigsten Nebenwirkungen, die bei mindestens 20% der mit Spinraza behandelten Patienten auftraten und mindestens 5% häufiger auftraten als bei Kontrollpatienten, waren eine niedrigere Atemwegsinfektion und Verstopfung. Schwerwiegende Nebenwirkungen der Atelektase waren bei mit Spinraza behandelten Patienten (18%) häufiger als bei Kontrollpatienten (10%). Da Patienten in Studie 1 Säuglinge waren, konnten unerwünschte Reaktionen in dieser Studie nicht bewertet werden.
Tabelle 1. Nebenwirkungen der Reaktionen, die bei mindestens 5% der Spinraza-Patienten auftraten und mindestens 5% häufiger oder mindestens 2-mal so häufig auftraten als bei Kontrollpatienten mit SMA infantil-aufer als (Studie 1)
| Nebenwirkungen | Spinraza 12 mg 1 N = 80 % | Scheinbekämpfungskontrolle N = 41 % |
| Untereinerhaltungsinfektion 2 | 55 | 37 |
| Verstopfung | 35 | 22 |
| Zahnen | 18 | 7 |
| Harnwegsinfektion | 9 | 0 |
| Überlastung der oberen Atemwege | 8 | 2 |
| Ohrenentzündung | 6 | 2 |
| Blähung | 5 | 2 |
| Vermindertes Gewicht | 5 | 2 |
| 1 Ladedosen, gefolgt von 5 mg (5 ml) einmal alle 4 Monate 2 Includes adenovirus infection bronchiolitis bronchitis bronchitis viral corona virus infection Influenza lower respiratory tract infection lower respiratory tract infection viral lung infection parainfluenzae virus infection pneumonia pneumonia bacterial pneumonia influenzal pneumonia moraxella pneumonia parainfluenzae viral pneumonia Pneumokokken -Pneumonie Pseudomonales Pneumonie respiratorische syncytiale virale Pneumonie virale und respiratorische Syncytial -Virus -Bronchiolitis. |
In einer offenen klinischen Studie mit symptomatischer SMA wurde bei einem mit Spinraza behandelten Patienten, der 14 Monate lang Salzgänzung erforderte, über eine offene klinische Studie mit einer offenen Label-Studie.
Bei Patienten, die mit Spinraza behandelt wurden, wurden Fälle von Hautausschlägen berichtet. Ein Patient 8 Monate nach Beginn der Spinraza-Behandlung entwickelte schmerzlose rote Makula-Läsionen am Unterarmbein und Fuß über einen Zeitraum von 8 Wochen. Die Läsionen ucerierten und haben innerhalb von 4 Wochen überschritten und über mehrere Monate gelöst. Ein zweiter Patient entwickelte rote Makula -Hautläsionen auf der Wange und zehn Monate nach Beginn der Spinraza -Behandlung, die über 3 Monate auflöste. Beide Fälle erhielten weiterhin Spinraza und hatten eine spontane Auflösung des Ausschlags. Spinraza kann zu einer Verringerung des Wachstums führen, gemessen nach Höhe, wenn sie an Säuglinge verabreicht werden, wie durch Beobachtungen aus der kontrollierten Studie vorgeschlagen. Es ist nicht bekannt, ob ein Effekt von Spinraza auf das Wachstum durch die Behandlung der Behandlung reversibel wäre.
Klinische Studie in später einsetzender SMA (Studie 2)
In Studie 2 waren die Basiskrankheitseigenschaften bei den mit Spinraza behandelten Patienten und Scheinkontrollpatienten, mit Ausnahme des Anteils von mit Spinraza behandelten Patienten, die jemals die Fähigkeit, ohne Unterstützung zu stehen, ohne Unterstützung, (13% gegenüber 29%) oder mit Unterstützung (24% gegenüber 33%) zu stehen, weitgehend ähnlich.
Die häufigsten Nebenwirkungen, die bei mindestens 20% der mit Spinraza behandelten Patienten auftraten und mindestens 5% häufiger auftraten als bei Kontrollpatienten, waren Pyrexie-Kopfschmerzen und Rückenschmerzen.
Tabelle 2. Nebenwirkungen bei mindestens 5% der Spinraza-Patienten und mindestens 5% häufiger oder mindestens 2-mal so häufig auftraten als bei Kontrollpatienten mit späterem SMA (Studie 2)
Pille 152
| Nebenwirkungen | Spinraza 12 mg 1 N = 84 % | Scheinbekämpfungskontrolle N = 42 % |
| Pyrexie | 43 | 36 |
| Kopfschmerzen | 29 | 7 |
| Erbrechen | 29 | 12 |
| Rückenschmerzen | 25 | 0 |
| Epistaxis | 7 | 0 |
| Fallen | 5 | 0 |
| Atemwegsstaus | 5 | 2 |
| Saisonale Allergie | 5 | 2 |
| 1 Ladedosen, gefolgt von 5 mg (5 ml) einmal alle 6 Monate |
Nach der Verabreichung von Spinraza wurde auch das Post-Lumbal-Pünktungssyndrom beobachtet.
Immunogenität
Wie bei allen Oligonukleotiden besteht die Immunogenitätspotential. Der Nachweis der Antikörperbildung hängt stark von der Empfindlichkeit und Spezifität des Assays ab. Zusätzlich kann die beobachtete Inzidenz von Antikörper (einschließlich neutralisierender Antikörper) positiv in einem Assay durch verschiedene Faktoren beeinflusst werden, einschließlich der Timing der Probenentnahme von Proben und zugrunde liegenden Erkrankungen. Aus diesen Gründen kann der Vergleich der Inzidenz von Antikörpern mit Nusinersen in den nachstehend beschriebenen Studien mit der Inzidenz von Antikörpern in anderen Studien oder anderen Produkten irreführend sein.
Die immunogene Reaktion auf Nusinersen wurde bei 294 Patienten mit Plasmaproben nach der Baseline für Anti-Drogen-Antikörper (ADAs) bewertet. Siebzehn Patienten (6%) entwickelten Behandlungsemotenträger, von denen 5 vorübergehend 12 als anhaltend angesehen wurden. Persistent wurde definiert als einen positiven Test, gefolgt von einem anderen als 100 Tage nach dem ersten positiven Test. Darüber hinaus ist es persistent als ein oder mehrere positive Proben und keine Probe mehr als 100 Tage nach der ersten positiven Stichprobe. Transient wurde als ein oder mehrere positive Ergebnisse definiert und nicht als anhaltend bestätigt. Es gibt nicht genügend Daten, um einen Effekt von ADAs auf unerwünschte Ereignisse oder das pharmakokinetische Profil von Nusinersen zu bewerten.
Nachmarkterfahrung
Die folgenden nachteiligen Reaktionen wurden während der Verwendung von Spinraza nach der Genehmigung identifiziert. Da diese Reaktionen freiwillig aus einer Population unsicherer Größe berichtet werden, ist es nicht immer möglich, ihre Häufigkeit zuverlässig abzuschätzen oder ein kausales Verhältnis zur Arzneimittelexposition herzustellen.
Es wurden schwerwiegende Infektionen im Zusammenhang mit Lumbalpunktion wie Meningitis berichtet. Es wurden auch Hydrozephalus -aseptische Meningitis -Überempfindlichkeitsreaktionen (z. B. Angioödema -Urtikaria -Hautausschlag) und Arachnoiditis berichtet.
Arzneimittelwechselwirkungen für Spinraza -Lösung
Keine Informationen zur Verfügung gestellt
Warnungen für Spinraza -Lösung
Eingeschlossen als Teil der 'VORSICHTSMASSNAHMEN' Abschnitt
Vorsichtsmaßnahmen für die Spinraza -Lösung
Thrombozytopenie und Gerinnungsstörungen
Gerinnungsanomalien und Thrombozytopenie einschließlich akuter schwerer Thrombozytopenie wurden nach Verabreichung einiger Antisense -Oligonukleotide beobachtet.
In den scheinkontrollierten Studien für Patienten mit infantil-auf einsetzbarem und später einsetzenden SMA 24 von 146 (16%) entwickelten mit Spinraza-behandelten Patienten mit hoher normaler oder unbekannter Thrombozytenzahl zu Studienbeginn ein Thrombozytenniveau unterhalb der unteren Grenze von Normalen im Vergleich zu 10 von 72 (14%).
In der scheinkontrollierten Studie an Patienten mit später eintem SMA (Studie 2) entwickelten zwei mit Spinraza behandelte Patienten eine Thrombozytenzahlen von weniger als 50000 Zellen pro Mikroliter mit einem niedrigsten Niveau von 10000 Zellen pro Mikroliter, das am Studiestag 28 aufgezeichnet wurde.
Aufgrund des Risikos einer Thrombozytopenie und Koagulationsanomalien von Spinraza -Patienten können ein erhöhtes Risiko für Blutungskomplikationen ausgesetzt sein.
Führen Sie zu Studienbeginn und vor jeder Verabreichung von Spinraza eine Thrombozytenzahl- und Gerinnungslabortest und als klinisch benötigt.
Nierentoxizität
Nierentoxizität einschließlich potenziell fataler Glomerulonephritis wurde nach Verabreichung einiger Antisense -Oligonukleotide beobachtet.
Spinraza ist in der Niere vorhanden und ausgeschieden [siehe Klinische Pharmakologie ]. In the sham-controlled studies for patients with infantile-onset and later-onset SMA 71 of 123 (58%) of SPINRAZA-treated patients had elevated urine protein compared to 22 of 65 (34%) sham-controlled patients. Conduct quantitative spot urine protein testing (preferably using a first morning urine specimen) at baseline and prior to each dose of SPINRAZA. For urinary protein concentration greater than 0.2 g/L consider repeat testing and further evaluation.
Nichtklinische Toxikologie
Karzinogenese -Mutagenese -Beeinträchtigung der Fruchtbarkeit
Karzinogenese
Verwaltung of nusinersen (0 5 15 or 50 mg/kg) to male and female mice by subcutaneous injection once every two weeks for 2 years resulted in an increase in the incidence of vascular tumors (combined hemangioma and hemangiosarcoma) at the highest dose tested.
Mutagenese
Nusinersen zeigte keinen Hinweis auf Genotoxizität in in vitro (Ames und chromosomale Aberration in CHO -Zellen) und vergeblich (Maus -Mikronukleus) -Assays.
Beeinträchtigung der Fruchtbarkeit
Wenn Nusinersen (0 3 10 oder 25 mg/kg) jeden zweiten Tag vor und während der Paarung durch subkutane Injektion an Mäuse verabreicht wurde und bei Frauen während der gesamten Organogenese fortgesetzt wurde, wurden keine nachteiligen Auswirkungen auf die männliche oder weibliche Fertilität beobachtet.
Verwendung in bestimmten Populationen
Schwangerschaft
Risikozusammenfassung
Es gibt keine angemessenen Daten zum Entwicklungsrisiko im Zusammenhang mit der Verwendung von Spinraza bei schwangeren Frauen. Als Nusinersen durch eine subkutane Injektion an Mäuse während der Schwangerschaft verabreicht wurde, wurde bei allen getesteten Dosen beobachtet Daten ). In der US -allgemeinen Bevölkerung beträgt das geschätzte Hintergrundrisiko für größere Geburtsfehler und eine Fehlgeburt bei klinisch anerkannten Schwangerschaften 2 bis 4% bzw. 15 bis 20%. Das Hintergrundrisiko von schweren Geburtsfehlern und Fehlgeburten für die angegebene Bevölkerung ist unbekannt.
Daten
Tierdaten
Wenn Nusinersen (0 3 10 oder 25 mg/kg) jeden zweiten Tag vor und während der Paarung an männliche und weibliche Mäuse subkutan verabreicht wurde und bei Frauen während der gesamten Organogenese fortgesetzt wurde, wurden keine nachteiligen Auswirkungen auf die embryofetale Entwicklung beobachtet. Die subkutane Verabreichung von Nusinersen (0 6 12,6 oder 25 mg/kg) an schwangere Kaninchen während der gesamten Organogenese lieferte keine Hinweise auf eine embryofetale Entwicklungstoxizität.
Als Nusinersen (NULL,4 5,8 oder 17,2 mg/kg) jeden Tag während der gesamten Organogenese durch subkutane Injektion an schwangere weibliche Mäuse verabreicht wurde und während der gesamten Laktationsperiode unerwünschte Neurobehaviore -Wirkungen (Veränderungen bei der Lernen des Lokomotors und der Gedächtnisvermahrung) bei der Prüfung von Veränderungen nach dem Gewicht der Zubehör -Aktivitätszeiten), bei denen nach dem Weaning -Aktivitäts oder der Erwachsenen beobachtet wurde). Ein No-Effect-Niveau für die Beeinträchtigung der neurobehavioralen Beeinträchtigung wurde nicht festgestellt.
Stillzeit
Risikozusammenfassung
Es gibt keine Daten über das Vorhandensein von Nusinersen in der Muttermilch. Die Entwicklungs- und gesundheitlichen Vorteile des Stillens sollten zusammen mit dem klinischen Bedarf der Mutter nach Spinraza und potenziellen nachteiligen Auswirkungen auf das gestillte Kind aus Spinraza oder aus dem zugrunde liegenden mütterlichen Zustand berücksichtigt werden.
Pädiatrische Verwendung
Die Sicherheit und Wirksamkeit von Spinraza bei pädiatrischen Patienten von Neugeborenen bis 17 Jahren wurden festgelegt [siehe Klinische Studien ].
Juvenile Animal Toxizity Data
In intrathekalen Toxizitätsstudien zur Verabreichung von Nusinersen (0 0,3 1 oder 3 mg/Dosis für 14 Wochen) führten 53 Wochen lang zu einer Histopathologie des Gehirns (neuronaler Vakuolation und hohen Dosen -Ablagerungen bei hohen Dosen -Abfindungen bei hoher Dosen -Mid -Mid -Dosse, und hohen Dosen -Treuung in der Hippokampus) und hohen Dosen bei hoher Dose und hohen Dosen bei der Middoos und hohen Dosen bei hohen Dosen und hohen Dosen bei hoher Dosen und akutem, und akutem, und akutem, und akutem, und akutem, in der Hippocampus) und bei hohen Dosen mit hohen Dosen und akutem Miduster. Studie. Darüber hinaus wurden mögliche neurobehaviorale Defizite bei einem Lern- und Gedächtnistest bei der hohen Dosis in der 53-wöchigen Affenstudie beobachtet. Die No-Effect-Dosis für die Neurohistopathologie in Affen (NULL,3 mg/Dosis) entspricht der menschlichen Dosis ungefähr jährlich und korrigiert für den Artenunterschied im CSF-Volumen.
Geriatrische Verwendung
Klinische Studien mit Spinraza umfassten nicht eine ausreichende Anzahl von Probanden ab 65 Jahren und über, um festzustellen, ob sie anders als jüngere Probanden reagieren.
Was hat es in sich?
Überdosierungsinformationen für Spinraza -Lösung
Keine Informationen zur Verfügung gestellt
Kontraindikationen für die Spinraza -Lösung
Keiner.
Klinische Pharmakologie for Spinraza Solution
Wirkungsmechanismus
Spinraza ist ein Antisense -Oligonukleotid (ASO), das zur Behandlung von SMA entwickelt wurde, die durch Mutationen im Chromosom 5Q verursacht werden und zu einem SMN -Proteinmangel führen. Verwendung in vitro Es wurde gezeigt, dass Assays und Studien an transgenen Tiermodellen von SMA Spinraza die Exon 7-Eingliederung in SMN2-Messenger-Ribonukleinsäure (mRNA) -Traktionen und die Produktion von SMN-Protein in voller Länge erhöhen.
Pharmakodynamik
Autopsieproben von Patienten (n = 3) hatten einen höheren Spiegel an SMN2 Messenger Ribonukleinsäure (mRNA), das Exon 7 im Brustmarkic -Rückenmark im Vergleich zu unbehandelten SMA -Säuglingen enthält.
Herzelektrophysiologie
In den scheinkontrollierten Studien an 247 Patienten mit muskulöser Atrophie, die entweder Spinraza- oder Scheinkontroll-QTCF-Werte> 500 ms erhielten und sich gegenüber den Basiswerten> 60 ms um die Ausgangswerte> 60 ms beobachtet wurden, erhielten bei 4 (NULL,4%) Patienten, die Spinraza erhielten. Im Vergleich zur Scheinkontrolle gab es keine Zunahme der Inzidenz von kardialen unerwünschten Reaktionen, die mit einer verzögerten ventrikulären Repolarisation bei Patienten, die mit Spinraza behandelt wurden, verbunden waren.
Pharmakokinetik
Absorption
Die intrathekale Injektion von Spinraza in die Cerebrospinalflüssigkeit (CSF) ermöglicht es Nusinersen, vom CSF auf das Target Central Nervous System (CNS) Gewebe (CNS) verteilt zu werden. Nach der intrathekalen Verabreichung waren die Plasmakonzentrationen von Nusinersen im Vergleich zur CSF -Konzentration von Trübchen relativ niedrig. Die medianen Plasma -Tmax -Werte lagen zwischen 1,7 und 6,0 Stunden. Die mittleren Plasma-Cmax- und AUC-Werte stiegen ungefähr dosis proportional bis zu einer Dosis von 12 mg.
Verteilung
Autopsiedaten von Patienten (n = 3) zeigten, dass Spinraza intrathekal in den ZNS und peripheren Geweben wie Skelettmuskelleber und Niere verteilt wurde.
Beseitigung
Stoffwechsel
Nusinersen wird durch Exonuklease (3'- und 5 ')- vermittelte Hydrolyse metabolisiert und ist kein Substrat für oder Inhibitor oder Induktor von CYP450-Enzymen.
Ausscheidung
Die durchschnittliche Halbwertszeit der terminalen Elimination wird in CSF und 63 bis 87 Tage im Plasma auf 135 bis 177 Tage geschätzt. Der primäre Eliminierungsweg erfolgt wahrscheinlich durch Ausscheidung im Urin für Nusinersen und seine kettenverkürzten Metaboliten. Nach 24 Stunden wurden nur 0,5% der verabreichten Dosis im Urin gewonnen.
Klinische Studien
Die Wirksamkeit von Spinraza wurde in zwei doppelblind-scheinverkürzten klinischen Studien in symptomatischen Patienten mit symptomatischem und später einsetzenden SMA-Patienten (Studie 1 und Studie 2) nachgewiesen und wurde durch klinische Studien mit offener Label unterstützt, die bei präsymptomatischen und symptomatischen SMA-Patienten durchgeführt wurden. Die allgemeinen Ergebnisse dieser Studien unterstützen die Wirksamkeit von Spinraza über den Bereich der SMA -Patienten und scheinen die frühe Einleitung der Behandlung mit Spinraza zu unterstützen.
Infantil-einset SMA
Studie 1 (NCT02193074) war eine multizentrische randomisierte, doppelblind-scheinverkürzungsgesteuerte Studie an 121 symptomatischen Säuglingen ≤ 7 Monate zum Zeitpunkt der ersten Dosis diagnostiziert mit SMA (Symptom vor 6 Monaten). Die Patienten wurden randomisiert 2: 1, um entweder 12 mg Spinraza- oder Scheininjektion als eine Reihe von Ladendosen zu erhalten, die intrathekal verabreicht wurden, gefolgt von Wartungsdosen, die alle 4 Monate verabreicht wurden. Patienten in dieser Studie wurden am wahrscheinlichsten als SMA vom Typ 1 entwickelt.
Eine geplante vorläufige Wirksamkeitsanalyse wurde auf der Grundlage von Patienten durchgeführt, die mit dem Verzückenden oder mindestens 183 Tagen Behandlungstagen abgeschlossen wurden. Von den 82 Patienten in der Zwischenanalyse (52 Patienten in der mit Spinraza behandelten Gruppe und 30 in der Schein-Kontroll-Gruppe) waren 44% männlich 87% kaukasische 2% waren schwarz und 4% waren asiatisch. Das Alter bei der ersten Behandlung lag zwischen 30 und 262 Tagen (Median 181). Die Behandlungsdauer lag zwischen 6 und 442 Tagen (Median 261 Tage). Die Demografie der Grundlinien wurde zwischen den Spinraza- und Kontrollgruppen mit Ausnahme des Alters bei der ersten Behandlung (Durchschnittsalter 175 gegenüber 206 Tagen) ausgeglichen. Die Spinraza- und Kontrollgruppen waren in Bezug auf die Dauer der Erkrankung des Schwangerschaftsalters und die Kopienzahl von SMN2 ausgeglichen. Die mittlere Krankheitsdauer betrug 14 Wochen. Es gab ein gewisses Ungleichgewicht im Alter beim Auftreten von Symptomen mit 88% der Probanden in der Spinraza -Gruppe und 77% in der Kontrollgruppe mit Symptomen innerhalb der ersten 12 Lebenswochen.
Der zum Zeitpunkt der Zwischenanalyse bewertete primäre Endpunkt war der Anteil der Responner: Patienten mit einer Verbesserung der motorischen Meilensteine gemäß Abschnitt 2 der Hammersmith Infant Neurologic Exam (Hine). Dieser Endpunkt bewertet sieben verschiedene Bereiche der motorischen Meilensteinentwicklung mit einer maximalen Punktzahl zwischen 2 und 4 Punkten für jeweils je nach Meilenstein und einem Gesamtwert von 26. Ein Behandlungsempfänger wurde als jeder Patient mit mindestens 2-Punkte-Anstieg (oder maximaler Wert von 4) definiert, als jeder Patienten mit mindestens 2 Meilenstämmen konsistent mit dem Stimmen mit mindestens 2 Meilenstämmen übereinstimmte. Verbesserung um mindestens 1 Meilenstein). Als Responder -Patienten klassifiziert zu werden, die für mehr Kategorien von motorischen Meilensteinen verbessert werden müssen als sich verschlechtern. Von den 82 Patienten, die für die Zwischenanalyse in Frage kommen, erreichte ein statistisch signifikant größerer Prozentsatz der Patienten die Definition eines motorischen Meilenstein-Responders in der Spinraza-Gruppe (40%) im Vergleich zur Scheinkontrollgruppe (0%). Die Ergebnisse der endgültigen Analyse stimmten mit denen aus der Zwischenanalyse überein (Tabelle 3). Einundfünfzig Prozent der Patienten in der Spinraza-Gruppe erreichten die Definition eines motorischen Meilenstein-Responders im Vergleich zu 0% der Patienten in der Scheinkontrollgruppe. Abbildung 1 ist eine deskriptive Anzeige der Verteilung der Nettoänderung von Ausgangswert im Gesamtmotor -Meilenstein -Score für Abschnitt 2 der Haut für Patienten im endgültigen Wirksamkeitssatz, der nicht starb oder sich aus der Studie zurückzog.
Der im Endanalyse bewertete primäre Endpunkt war Zeit bis zum Tod oder dauerhafte Beatmung (≥ 16 Stunden Beatmung/Tag für> 21 Tage in Abwesenheit eines akuten reversiblen Ereignisses oder einer Tracheotomie). Statistisch signifikante Auswirkungen auf das ereignisfreie Überleben und das Gesamtüberleben wurden bei Patienten in der Spinraza-Gruppe im Vergleich zu Patienten in der Scheinkontrollgruppe beobachtet (Tabelle 4). In der Spinraza -Gruppe (p = 0,005) wurde eine 47% ige Verringerung des Todesrisikos oder einer dauerhaften Beatmung beobachtet (Abbildung 2). Die mittlere Zeit des Todes oder der dauerhaften Belüftung wurde in der Spinraza-Gruppe nicht erreicht und betrug 22,6 Wochen in der Scheinkontrollgruppe. Es wurde ebenfalls eine statistisch signifikante Reduzierung des Todesrisikos um 63% beobachtet (P = 0,004).
Letztendlich bewertete die Studie auch die Behandlungseffekte auf das Kinderkrankenhaus des Philadelphia-Säuglings von neuromuskulären Störungen (Chop-Intend), was eine Bewertung der motorischen Fähigkeiten bei Patienten mit SMA mit kindempfantilem SMA darstellt. Die CHOP-Intend-Ergebnisse sind in Tabelle 3 angezeigt.
Tabelle 3. Motor-Meilensteinreaktion und Chop-Intend-Ergebnisse der endgültigen Analyse von Patienten mit SMA infantiler einsetzt (Studie 1)
| Endpunkt | Mit Spinraza behandelte Patienten (n = 73) | Scheinkontrollpatienten (n = 37) |
| Motorische Funktion | ||
| Motormeilensteine 1 | ||
| Anteil des vordefinierten Motors | 37 (51%) | 0 (0%) |
| Meilenstein -Responderkriterien (Hine Abschnitt 2) 23 | P <0.0001 | |
| Hacken 1 | ||
| Anteil, die eine 4-Punkte-Verbesserung erzielen | 52 (71%) | 1 (3%) |
| p <0.0001 | ||
| Anteil, die eine 4-Punkte-Verschlechterung erreichen 4 | 2 (3%) | 17 (46%) |
| 1 Letztendlich wurden Chop-Intend- und Motor-Meilensteinanalysen unter Verwendung des Wirksamkeitssatzes (Spinraza n = 73; Scheinkontroll n = 37) durchgeführt. 2 Beurteilt am späteren Tag 183 Tag 302 und Tag 394 Studienbesuch 3 Laut Hine -Abschnitt 2: ≥2 Punkterhöhung [oder maximaler Punktzahl] in der Fähigkeit zum Treten oder einer Erhöhung der motorischen Meilensteine der Kopfkontrolle, das sitzende Krabbeln stehend oder Gehen und Verbesserung in mehr Kategorien von motorischen Meilensteinen als Verschlechterung) definiert, definiert als ein Empfänger für diese Primäranalyse. 4 Nicht statistisch kontrolliert für mehrere Vergleiche |
Tabelle 4. Überlebensergebnisse von Patienten mit infantil-einsetzendem SMA (Studie 1)
| Endpunkt | Mit Spinraza behandelte Patienten (n = 80) | Scheinkontrollpatienten (n = 41) |
| Überleben | ||
| Ereignisfreies Überleben 1 | ||
| Anzahl der Patienten, die starben oder dauerhaft belagten | 31 (39%) | 28 (68%) |
| Gefahrenquote (95% CI) | 0,53 (NULL,32 -0,89) | |
| p-Wert 2 | p = 0,005 | |
| Gesamtüberleben 1 | ||
| Anzahl der gestorbenen Patienten | 13 (16%) | 16 (39%) |
| Gefahrenquote (95% CI) | 0,37 (NULL,18 - 0,77) | |
| p-Wert 2 | p = 0,004 | |
| 1 Im endgültigen Analyse wurden ereignisfreies Überleben und Gesamtüberleben unter Verwendung der Absicht zur Behandlung der Population bewertet (ITT Spinraza n = 80; Scheinkontroll n = 41). 2 Basierend auf der durch Krankheitsdauer geschichteten log-Rank-Test |
Abbildung 1. Prozent der Patienten, die starben, und Nettoveränderung gegenüber dem Ausgangswert des Gesamtmotor -Meilenstein -Scores (Hine) bei Patienten, die in der endgültigen Wirksamkeit von Studie 1* leben
| *Für Probanden, die in der Studie am Leben und in der Studie waren, wurde die Änderung des Gesamtmotor -Meilensteinwerts am späteren Tag 183 Tag 302 oder am Tag 394 berechnet. |
Abbildung 2. Ereignisfreies Überleben in der Absicht, Set zu behandeln
Später einsetzt SMA
Studie 2 (NCT02292537) war eine multizentrische randomisierte, doppelblinde scheinverkessliche kontrollierte Studie an 126 symptomatischen Kindern mit später einsetzbarem SMA (Symptom nach 6 Monaten). Die Patienten wurden 2: 1 nach Randomisierung von 2 mg oder Scheininjektion als eine Reihe von Ladungsdosen, die intrathekal verabreicht wurden, und die alle 6 Monate verabreichten Wartungsdosen verabreicht.
Das mittlere Alter beim Screening betrug 3 Jahre (Bereich 2 bis 9 Jahre) und das durchschnittliche Alter des Beginns klinischer Anzeichen und Symptome von SMA 11 Monate (Bereich 6-20 Monate). Von den 126 in die Studie einbezogenen Patienten waren 47% männlich 75% kaukasische 2% schwarz und 18% asiatisch. Die Behandlungslänge lag zwischen 324 und 482 Tagen (Median 450 Tage). Zu Studienbeginn hatten die Patienten eine mittlere Hammersmith -funktionelle motorische Skala - erweiterter (HFMSE) -Store von 21,6, die alle ein unabhängiges Sitzen erreicht hatten, und keine Patienten hatten ein unabhängiges Gehen erreicht. Patienten in dieser Studie entwickelten am wahrscheinlichsten am wahrscheinlichsten Typ 2 oder 3 SMA.
Der primäre Endpunkt bewertete die Änderung gegenüber dem Ausgangswert im Monat 15 im HFMSE. Die HFMSE bewertet die motorische Funktion bei Patienten mit SMA mit begrenzter Ambulation mit 33 bewerteten Aktivitäten, die objektive Informationen über motorische Fähigkeiten und klinische Fortschritte liefern, wie z. Jeder Artikel wird von 0-2 mit einer maximalen Gesamtpunktzahl von 66 bewertet. Höhere Werte weisen auf eine bessere Motorfunktion hin. Die Primäranalyse wurde in der Absicht zur Behandlung (ITT) (ITT) durchgeführt, die alle Probanden umfasste, die randomisiert und mindestens 1 Dosis Spinraza oder mindestens ein Scheinverfahren erhielten. Letztendlich wurde in der mit Spinraza behandelten Gruppe im Vergleich zur Scheinkontrollgruppe eine statistisch signifikante Verbesserung der HFMSE-Werte von Grundlinie bis Monat 15 beobachtet (Tabelle 5).
Tabelle 5. HFMSE führt zu Patienten mit später einsetzender SMA (Studie 2)
| Endpunkt | Mit Spinraza behandelte Patienten (n=84) | Scheinkontrollpatienten (n=42) |
| HFMSE Score | ||
| Wechseln Sie im TotalHFMSE -Score nach 15 Monaten vom Ausgangswert 123 | 3.9 (95% CI: 3,0 4,9) P = 0,0000001 | -1.0 (95% dort: -2,5 0,5) |
| Anteil der Patienten, die mindestens eine 3-Punktimprovie von Ausgangswert bis Monat 15 erreichten 1 | 56,8% (95% CI: 45,6 68,1) p = 0,00064 | 26,3% (95% CI: 12,4 40,2) |
| 1 Unter Verwendung der Absicht, die Bevölkerung zu behandeln, die mindestens eine Dosis Spinraza oder mindestens ein Scheinverfahren erhielt (Spinraza n = 84; Scheinkontroll n = 42); Daten für Patienten ohne einen Monat 15 wurden unter Verwendung der Mehrfachimputationsmethode unterstellt 2 Die geringsten Quadrate bedeuten 3 Der negative Wert zeigt an, dass sich der positive Wert einer Verschlechterung ansteigt. 4 Basierend auf der logistischen Regression mit Behandlungseffekt und Anpassung für das Alter jedes Subjekts beim Screening und zum HFMSE -Score zu Studienbeginn |
Abbildung 3. Durchschnittsänderung gegenüber dem Ausgangswert im HFMSE -Score im Laufe der Zeit in der Absicht zur Behandlung des Satzes 1 2 (Studie 2)
| 1 Daten for patients without a Month 15 visit were imputed using the multiple imputation method 2 Fehlerbalken kennzeichnen /-standard-Fehler |
Presymptomatische SMA
The results of the sham-controlled trial in infantile-onset (Study 1) (NCT02193074) and later-onset (Study 2) (NCT02292537) SMA patients were supported by an open-label uncontrolled trial conducted in 25 presymptomatic SMA patients who had a genetic diagnosis of 5q SMA and 2 or 3 copies of SMN2 (Study 3) (NCT02386553). In Studie 3 15 Patienten (60%) mit 2 SMN2 -Kopien und 10 Patienten (40%) mit 3 SMN2 -Kopien; 48% waren männlich 56% kaukasischen 12% waren asiatische 4% waren ein Indianer -Indianer oder Alaska geboren und 28% waren eine andere Rasse oder hatten keine Rasse gemeldet. Die Patienten reichten zum Zeitpunkt der ersten Dosis zwischen 3 Tagen und 42 Tagen (Median 22 Tage). Die Patienten erhielten 12 mg Spinraza als eine Reihe von Ladendosen, die intrathekal verabreicht wurden, gefolgt von Wartungsdosen, die alle 4 Monate verabreicht wurden. Die Patienten wurden mit den motorischen Meilensteinen der Weltgesundheitsorganisation (WHO) ein Satz von 6 Meilensteinen der motorischen Entwicklung bewertet, von denen erwartet wird, dass sie bei gesunden Kindern 24 Monate lang erreicht werden. Eine Zwischenanalyse wurde durchgeführt, nachdem alle Patienten mindestens 14 Monate Spinraza erhalten hatten (mittlerer 25 Monate Bereich 14 bis 34 Monate). Die Patienten waren im Alter von 14 bis 34 Monaten (Durchschnittsalter von 26 Monaten) zum Zeitpunkt der Analyse. Zum Zeitpunkt der Zwischenanalyse (Data Cutoff Mai 2018), die Spinraza erhalten, bevor die SMA -Symptome auf dem Einsetzen der SMA -Symptome erhalten wurden, ohne dauerhafte Beatmung zu erfordern, und darüber hinaus, was aufgrund ihrer SMN2 -Kopienzahl zu erwarten ist. Alle 25 Patienten (100%) hatten den WHO -motorischen Meilenstein ohne Unterstützung erreicht, und 22 Patienten (88%) hatten den Meilenstein des Gehens mit Hilfe erreicht. Von den 22 Patienten, die älter waren als das Alter, das erwartet hatte, dass sie die Fähigkeit erreicht haben, unabhängig zu gehen (wie durch das 95. Perzentil des WHO erwartet, dass das Alter der Leistung erwartet wurde), erreichte 17 (77%) den Meilenstein des alleine Gehens (d. H. Unabhängig vom Gehen).
Patienteninformationen für Spinraza -Lösung
Thrombozytopenie und Gerinnungsstörungen
Informieren Sie Patienten und Betreuer, dass Spinraza das Blutungsrisiko erhöhen könnte. Informieren Sie die Patienten und Betreuer über die Bedeutung der Erlangung der Blutlabortests zu Studienbeginn und vor jeder Dosis, um Anzeichen eines erhöhten Blutpotentials zu überwachen. Weisen Sie Patienten und Betreuer an, medizinische Hilfe zu suchen, wenn unerwartete Blutungen auftreten [siehe Warnungen und Vorsichtsmaßnahmen ].
Nierentoxizität
Informieren Sie Patienten und Betreuer, dass Spinraza Nierentoxizität verursachen kann. Informieren Sie Patienten und Betreuer über die Bedeutung der Erlangung von Urintests zu Studienbeginn und vor jeder Dosis, um Anzeichen einer potenziellen Nierentoxizität zu überwachen [siehe Warnungen und Vorsichtsmaßnahmen ].