Die Informationen Auf Dieser Website Stellen Keine Medizinische Beratung Dar. Wir Verkaufen Nichts. Die Richtigkeit Der Übersetzung Wird Nicht Garantiert. Haftungsausschluss
Antidysrhythmika, iii
Cordarone
Drogenzusammenfassung
Was ist Cordarone?
Cordaron (Amiodaron) ist ein Antiarrhythmikum, das für viele schwere Arrhythmien des Herzens verwendet wird, einschließlich ventrikulärer Fibrillationsventrikel -Tachykardie Vorhofflimmern und atriales Flattern.
- Cordarone ist in generischer Form erhältlich.
Was sind Nebenwirkungen von Cordarone?
Zu den häufigen Nebenwirkungen von Cordarone gehören:
- Brechreiz
- Erbrechen
- Verstopfung
- Gewichtsverlust
- Ermüdung
- Lungenfibrose
- Herzblock
- Herzinsuffizienz
- Schwindel
- Müdigkeit
- Schütteln oder Zittern
- Taubheit und Kribbeln
- Magenschmerzen
- Appetitverlust
- Schlafprobleme (Schlaflosigkeit)
- Schwäche
- Mangel an Koordination
- Wärme Kribbeln oder Rötung unter Ihrer Haut
- einfache Blutergüsse oder Blutungen
- Koordinierungsverlust
- Kribbeln oder Taubheit der Hände oder Füße
- Unkontrollierte Bewegungen oder
- Neue oder verschlechterende Symptome einer Herzinsuffizienz (wie die Schwellung der Bein- oder Beinschwellung erhöhte die Kürze beim Liegen).
Dosierung für Cordarone?
Die Dosierung variiert je nach Indikation. Die empfohlene Dosierung für die erste Behandlung beträgt 800 bis 1600 mg/Tag, bis die erste therapeutische Reaktion auftritt.
Welche Medikamentensubstanzen oder Nahrungsergänzungsmittel interagieren mit Cordaron?
Cordarone kann mit interagieren mit
- Beta-Blocker und bestimmte Calciumkanalblocker, die zu einer übermäßig langsamen Herzfrequenz oder einem Block in der Leitung des elektrischen Impulses durch das Herz führen.
- Cordaron erhöht den Blutspiegel von Digoxin Flecainid Phenytoin und Procainamid.
- Cordarone interagiert mit Warfarin und erhöht das Blutungsrisiko.
Cordaron während der Schwangerschaft und Stillen
Amiodaron kann mit Simvastatin Atorvastatin und Lovastatin interagieren, die das Risiko eines schweren Muskelabbaus und Nierenversagens oder Lebererkrankungen erhöhen. Cordarone ist schädlich für den Fötus und für Säuglinge.
- Es sollte während der Schwangerschaft nicht verabreicht werden und Frauen sollten während der Einnahme von Cordarone nicht stillen.
Weitere Informationen
Unser Cordarone Side Effects Drug Center bietet einen umfassenden Überblick über die verfügbaren Arzneimittelinformationen über die potenziellen Nebenwirkungen bei der Einnahme dieses Medikaments.
FDA -Drogeninformationen
- Drogenbeschreibung
- Indikationen
- Nebenwirkungen
- Wechselwirkungen mit Arzneimitteln
- Warnungen
- Überdosis
- Klinische Pharmakologie
- Medikamentenhandbuch
WARNUNG
Pulmonale Leber- und Herztoxizität
Cordaron ist nur bei Patienten mit den angegebenen lebensbedrohlichen Arrhythmien vorgesehen, da ihre Verwendung von erheblicher Toxizität begleitet wird [siehe Indikationen und Nutzung ].
Cordaron kann eine Lungentoxizität (Überempfindlichkeitspneumonitis oder interstitielle/alveoläre Pneumonitis) verursachen, die bei einigen Patienten eine klinisch manifestierte Krankheit mit einer Raten von bis zu 17% zu einer Reihe von Patienten geführt hat. Lungentoxizität war in etwa 10% der Fälle tödlich. Erhalten Sie eine Basis-Röntgen- und Lungenfunktionstests, einschließlich der Diffusionskapazität, wenn eine Cordaron-Therapie ausgelöst wird. Wiederholen Sie alle 3 bis 6 Monate körperliche Untersuchung und Röntgenaufnahme des Brustkorbs [siehe Warnungen und VORSICHTSMASSNAHMEN ].
Cordarone kann eine Hepatoxizität verursachen, die tödlich sein kann. Erhalten Sie Basis- und periodische Lebertransaminasen und stellen Sie die Dosis ab oder reduzieren Sie, wenn der Anstieg das dreifache Normalwert überschreitet oder bei einem Patienten mit einer erhöhten Basislinie verdoppelt wird. Cordaron einstellen, wenn der Patient Anzeichen oder Symptome einer klinischen Leberverletzung erlebt [siehe Warnungen und VORSICHTSMASSNAHMEN ].
Cordaron kann Arrhythmien verschlimmern. Initiierung Cordaron in einer klinischen Umgebung, in der kontinuierliche Elektrokardiogramme und Herzbelegungen verfügbar sind VORSICHTSMASSNAHMEN ].
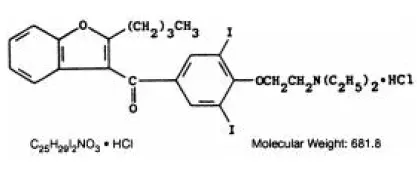
Beschreibung für Cordarone
Cordaron (Amiodaron HCl) ist ein Antiarrhythmika, das für die orale Verabreichung als Pink -bewertete Tabletten mit 200 mg Amiodaronhydrochlorid zur Verfügung steht. Die vorhandenen inaktiven Inhaltsstoffe sind kolloidale Siliziumdioxid -Lactose -Magnesium -Stearat -Povidon -Stärke und FD
Die strukturelle Formel lautet wie folgt:
|
Amiodaron HCl ist ein weißes bis cremefarbenes kristallines Pulver. Es ist leicht löslich in wasserlöslich in Alkohol und frei löslich in Chloroform. Es enthält 37,3% Jod.
Verwendung für Cordarone
Cordaron ist für die Behandlung von dokumentierten lebensbedrohlichen rezidivierenden ventrikulären Fibrillationen und lebensbedrohlichen rezidivierenden hämodynamisch instabilen Tachykardien bei Erwachsenen angezeigt, die nicht auf angemessene Dosen anderer verfügbarer Antiarrhythmika oder wenn alternative Wirkstoffe nicht toleriert werden können.
Dosierung für Cordarone
Die Dosierung muss basierend auf dem Schweregrad von Arrhythmie und Reaktion individualisiert werden. Verwenden Sie die niedrigste effektive Dosis. Erhalten Sie Basis-Röntgen-Lungenfunktionstests für die Röntgenfunktion von Schilddrüsenfunktion und Leberaminotransferasen. Richtige Hypokaliämie -Hypomagnesiämie und Hypokalzämie vor der Initiierung der Behandlung
Empfohlene Dosierung
Initiieren Sie die Behandlung mit einer Beladungsdosen von 800 bis 1600 mg/Tag, bis eine anfängliche therapeutische Reaktion auftritt (normalerweise 1 bis 3 Wochen). Sobald eine angemessene Arrhythmie -Kontrolle erreicht ist oder wenn Nebenwirkungen einen Monat lang auf 600 bis 800 mg/Tag und dann auf die Wartungsdosis in der Regel 400 mg/Tag reduzieren.
Verwaltung
Cordarone in Bezug auf die Mahlzeiten konsequent verabreichen [siehe Klinische Pharmakologie ]. Verwaltung of CORDARONE in divided doses with meals is suggested for total daily doses of 1000 mg or higher or when gastrointestinal intolerance occurs.
Wie geliefert
Dosierungsformen und Stärken
200 mg Tabletten: Runde, konvexe rosa Tabletten mit erhöhtem C und 200 auf einer Seite mit gewertetem und markierten Wyeth und 4188 markiert.
Lagerung und Handhabung
Cordarone® (Amiodarone HCl) Tabletten sind wie folgt in Flaschen mit 60 Tabletten erhältlich:
200 mg NDC 0008-4188-04 runde konvexe rosa Tabletten mit einem erhöhten C und mit 200 auf einer Seite markiert mit der Rückwärtsseite und markiert Wyeth und 4188.
Sich dicht geschlossen halten.
Auf der kontrollierten Raumtemperatur von 20 ° bis 25 ° C (68 ° bis 77 ° F) speichern.
Vor Licht schützen.
In einem leichten, festen Behälter verzichten.
Hergestellt von Sanofi Winthrop Industrie 1 Rue de la Vierge 33440 Ambares Frankreich. Verteilt von: Wyeth Pharmaceuticals Inc. Eine Tochtergesellschaft von Pfizer Inc. Philadelphia PA 19101. Überarbeitet: Oktober 2018
Nebenwirkungen for Cordarone
Die folgenden schwerwiegenden Nebenwirkungen werden in anderen Abschnitten der Verschreibungsinformationen ausführlicher beschrieben:
- Lungentoxizität [siehe WARNUNGS AND VORSICHTSMASSNAHMEN ]
- Leberverletzung [siehe WARNUNGS AND VORSICHTSMASSNAHMEN ]
- Verschlechterte Arrhythmie [siehe WARNUNGS AND VORSICHTSMASSNAHMEN ]
- Sehbehinderung und Sehverlust [siehe WARNUNGS AND VORSICHTSMASSNAHMEN ]
- Schilddrüsenanomalien [siehe WARNUNGS AND VORSICHTSMASSNAHMEN ]
- Bradykardie [siehe WARNUNGS AND VORSICHTSMASSNAHMEN ]
- Periphere Neuropathie [siehe WARNUNGS AND VORSICHTSMASSNAHMEN ]
- Photoempfindlichkeit und Hautverfärbung [siehe WARNUNGS AND VORSICHTSMASSNAHMEN ]
Klinische Studien Erfahrung
Da klinische Studien unter stark unterschiedlichen Bedingungen durchgeführt werden, die in den klinischen Studien eines Arzneimittels beobachtet werden, können in den klinischen Studien eines anderen Arzneimittels nicht direkt mit den Raten verglichen werden und spiegeln möglicherweise nicht die in der Praxis beobachteten Raten wider.
Bei der üblichen Erhaltungsdosis (400 mg/Tag) und über Cordaron führt bei etwa drei Vierteln aller Patienten unerwünschte Reaktionen, was zu einer Absage von 7 bis 18%führt.
Bei Umfragen von fast 5000 Patienten, die in offenen US -Studien behandelt wurden und in veröffentlichten Berichten über die Behandlung mit Cordaron, umfassten die unerwünschten Reaktionen am häufigsten, die am häufigsten abgesetzt werden mussten, Lungeninfiltrate oder Fibrose paroxysmal ventrikuläre Tachykardien -Herzinsuffizienz und Erhöhung der Leberenzymes. Andere Symptome, die Diskontinuationen seltener verursachen, umfassten visuelle Störungen Photoempfindlichkeit Blau Hautverfärbungen Hyperthyreose und Hypothyreose.
Können Sie Oxycodon mit Hydrocodon mischen?
Die folgenden Nebeneffektraten basieren auf einer retrospektiven Studie von 241 Patienten, die 2 bis 1515 Tage lang behandelt wurden (Mittelwert 441,3 Tage):
Schilddrüse
Gemeinsam : Hypothyreose Hyperthyreose.
Herz -Kreislauf
Gemeinsam : Collgestive Heart Versagen kardiale Arrhythmien SA -Knotenfunktionsstörung.
Magen -Darm
Sehr häufig : Übelkeit Erbrechen.
Gemeinsam : Verstopfung Anorexie Bauchschmerzen.
Dermatologisch
Gemeinsam : Solardermatitis/Photoemsitivität.
Neurologisch
Gemeinsam : Unwohlsein und Müdigkeit Zittern/abnormale unwillkürliche Bewegungen mangelnde Koordination Abnormale Gang/Ataxie Schwindel Parästhesien verringerte Libido -Schlaflosigkeit Kopfschmerzstörungen.
Ophthalmic
Gemeinsam : Visuelle Störungen.
Hepatisch
Gemeinsam : Abnormale Leberfunktionstests unspezifische Lebererkrankungen.
Atemweg
Gemeinsam : Lungenentzündung oder Fibrose.
Andere
Gemeinsam : Spülung abnormaler Geschmack und Geruch Ödeme Abnormaler Speichelkoagulation Anomalien.
Ungewöhnlich : Blaue Hautverfärbungsausschlag Spontaner Ekchymose Alopezie -Hypotonie und kardiale Leitungsanomalien.
Nachmarkterfahrung
Die folgenden nachteiligen Reaktionen wurden während der Verwendung von Cordaron nach der Annahme identifiziert. Da diese Reaktionen freiwillig aus einer Population unsicherer Größe berichtet werden, ist es nicht immer möglich, ihre Häufigkeit zuverlässig abzuschätzen oder ein kausales Verhältnis zur Arzneimittelexposition herzustellen.
Hämatologisch : Hämolytische Anämie Aplastische Anämie Panzytopenie Neutropenie Thrombozytopenie Agranulozytose -Granulom.
Immun : anaphylaktische/anaphylaktoidreaktion (einschließlich Schock) Angioödem.
Neurologisch : Pseudotumor cerebri Parkinson -Symptome wie Akinesie und Bradykinesien (manchmal reversibel mit Abnahme der Therapie) demyelinierende Polyneuropathie.
Psychiatrisch : Halluzinationsverwirrungsstaat Desorientierung Delirium.
Herz : Hypotonie (manchmal tödlich) Sinus Verhaftung.
Atemweg : Eosinophile Lungenentzündung akute Atemnot-Syndrom beim postoperativen Bronchospasmus-Bronchiolitis Obliterans organisieren Pleurusfusionsfusions-Pleura-Erguss von Pleura-Erguss von Pleura.
Magen -Darm : Pankreatitis Akute Pankreatitis.
Hepatisch : Hepatitis Cholestatische Hepatitis -Zirrhose.
Wird Zyrtec mich schläfrig machen
Haut- und subkutane Gewebeerkrankungen : Urtikaria toxische epidermale Nekrolyse (manchmal tödlich) Erythema multiforme Stevens-Johnson-Syndrom Exfoliative Dermatitis Bullous Dermatitis Medikamentenausschlag mit Eosinophilie und systemischen Symptomen (Kleid) Eczema Pruritus Hautkrebs Lupus-ähnliches Sydrom.
Muskuloskelett : Myopathie Muskelschwäche Rhabdomyolyse.
Nieren : Nierenbeeinträchtigung Niereninsuffizienz akutes Nierenversagen.
Reproduktiv : Epididymitis Impotenz.
Körper als Ganzes : Fieber trockener Mund.
Endokrin und metabolisch : Schilddrüsenknoten/ Schilddrüsenkrebssyndrom der unangemessenen antidiuretischen Hormonsekretion (SIADH).
Gefäß : Vaskulitis.
Wechselwirkungen mit Arzneimitteln for Cordarone
Aufgrund der langen Halbwertszeit von Amiodaron erwarten die Wechselwirkungen zwischen den Arzneimitteln wochenlang nach Absetzen von Amiodaron.
Die Wechselwirkungen zwischen den Arzneimitteln mit Amiodaron sind in Tabelle 1 unten beschrieben.
Tabelle 1: Amiodaron -Arzneimittelwechselwirkungen
| Begleitende Drogenklasse/Name | Beispiele | Klinischer Kommentar |
| Pharmakodynamische Wechselwirkungen | ||
| QT -Verlängerung Medikamente | class I and III antiarrhythmics lithium certain phenothiazines tricyclic antidepressants certain fluoroquinolone and macrolide antibiotics azole antifungals halogenated inhalation anesthetic agents | Erhöhtes Risiko für Torsade de Pointes. Vermeiden Sie die gleichzeitige Verwendung. |
| Negative Chronotropen | Digoxin Beta -Blocker Verapamil Diltiazem Clonidin Ivabradin | Potenziert die elektrophysiologischen und hämodynamischen Wirkungen von Amiodaron, was zu einer Verhaftung von Bradykardien und einem AV -Block führt. Herzfrequenz überwachen. |
| Pharmakokinetische Wechselwirkungen | ||
| CYP450 -Inhibitoren | Grapefruitsaft bestimmte Fluorchinolon- und Makrolid -Antibiotika Azol Antimykotidin Cimetidin bestimmte Protease -Inhibitoren | Erhöhte Exposition von Amiodaron. Vermeiden Sie die gleichzeitige Verwendung. |
| CYP450 -Induktoren | St. Johns Würze | Reduzierte Amiodaron -Serumspiegel. |
| Cyclosporin | Es wurde über erhöhte Plasmaspiegel von Cyclosporin berichtet, was trotz der Verringerung der Cyclosporin -Dosis zu erhöhtem Kreatinin führte. Überwachen Sie die Cyclosporin -Arzneimittelspiegel und die Nierenfunktion mit gleichzeitiger Verwendung. | |
| Cholestyramin | Reduzierte Amiodaron -Serumspiegel. | |
| Antiarrhythmika | Chinidin Procainamid Flecainid | Reserve gleichzeitig die Verwendung von Patienten, die nicht auf ein einzelnes Mittel reagieren. Antiarrhythmischer Metabolismus durch Amiodaron gehemmt. Initiieren Sie die Antiarrhythmie in einer niedrigeren Dosis und überwachen Sie den Patienten sorgfältig. Reduzieren Sie die Dosisspiegel zuvor verabreichtes Antiarrhythmika für mehrere Tage nach dem Übergang zum oralen Amiodaron um 30 bis 50%. Bewerten Sie die anhaltende Notwendigkeit von Antiarrhythmie. |
| Digoxin | Erhöhte Digoxinkonzentration. Reduzieren Sie Digoxin um die Hälfte oder ein Ende. Bei fortgesetzter Überwachung auf Hinweise auf Toxizität. | |
| HMG-CoA-Reduktase-Inhibitoren | Simvastatin Lovastatin Atorvastatin | Erhöhte Plasmakonzentration des HMG-CoA-Reduktase-Inhibitors. Begrenzen Sie die Dosis Lovastatin auf 40 mg. Begrenzen Sie die koadministerierte Dosis von Simvastatin auf 20 mg. Eine niedrigere Startdosis anderer CYP3A4 -Substrate kann erforderlich sein. |
| Warfarin | Potenziert die Antikoagulans -Reaktion und kann zu schwerwiegenden oder tödlichen Blutungen führen. Die gleichzeitige Verabreichung erhöht nach 3 bis 4 Tagen die Prothrombinzeit um 100%. Reduzieren Sie die Warfarin-Dosis um ein Drittel auf die Hälfte und überwachen Sie die Prothrombinzeit. | |
| Phable | Erhöhte stationäre Phenytoinspiegel. Phenytoinspiegel überwachen. | |
| Hepatitis C Direkte antivirale Direkte | Sofosbuvir | Bei Patienten über orale Erhaltung Amiodaron, die die Therapie mit Sofosbuvir initiierten, wurden Fälle von symptomatischen Bradyarrhythmie, bei denen Herzschrittmacherinsertion erforderlich ist. |
| CYP3A -Substrat | Lidocain | Sinus Bradykardie wurde mit oralem Amiodaron in Kombination mit Lidocain für die Lokalanästhesie berichtet. Herzfrequenz überwachen. Möglicherweise ist eine niedrigere Startdosis Lidocain erforderlich. |
| CYP3A -Substrat | Fentanyl | Fentanyl in Kombination mit Amiodaron kann zu einer hypotonie Bradykardie führen und das Herzzeitvolumen verringert. |
Warnungen für Cordarone
Eingeschlossen als Teil der VORSICHTSMASSNAHMEN Abschnitt.
Vorsichtsmaßnahmen für Cordarone
Beharrlichkeit von nachteiligen Auswirkungen
Aufgrund der langen Halbwertszeit von Amiodaron (15 bis 142 Tagen) und deren aktiven Metaboliten-Desethylamiodaron (14 bis 75 Tage) können unerwünschte Reaktionen und Arzneimittelwechselwirkungen nach dem Absetzen von Amiodaron mehr Wochen bestehen [siehe Klinische Pharmakologie ].
Lungentoxizität
Cordaron kann ein klinisches Syndrom aus Husten und progressiver Dyspnoe verursachen, begleitet von funktionellen radiologischen Gallium-Scan und pathologischen Daten, die mit der Lungentoxizität übereinstimmen. Lungentoxizität, die infolge von Cordaron sekundär aus der indirekten oder direkten Toxizität resultieren, wie durch eine Überempfindlichkeitspneumonitis (einschließlich eosinophiler Pneumonie) bzw. interstitielle/alveolarische Pneumonitis dargestellt. Es wurde berichtet, dass die Raten der Lungentoxizität bis zu 17% liegen und in etwa 10% der Fälle tödlich sind. Erhalten Sie eine Basis-Röntgen- und Lungenfunktionstests, einschließlich der Diffusionskapazität, wenn eine Cordaron-Therapie ausgelöst wird. Wiederholen Sie alle 3 bis 6 Monate die Geschichte körperlicher Untersuchung und Röntgenaufnahme des Brustkorbs oder wenn Symptome auftreten. Betrachten Sie eine alternative antiarrhythmische Therapie, wenn der Patient Anzeichen oder Symptome einer Lungentoxizität erlebt. Prednison 40 bis 60 mg/Tag, das über mehrere Wochen verjüngt ist, kann bei der Behandlung von Lungentoxizität hilfreich sein.
Atemdurchmesser bei Erwachsenen (ARDS)
Postoperatives Auftreten von ARDS wurde bei Patienten berichtet, die eine Cordaron -Therapie erhalten, die entweder eine Herz- oder nicht kardiale Operation unterzogen wurden. Obwohl Patienten in seltenen Fällen in der Regel gut auf eine kräftige Atemtherapie reagieren, war das Ergebnis tödlich.
Hepatisch Injury
Asymptomatische Erhöhungen des Leberenzymspiegels werden häufig beobachtet, aber Cordaron kann eine lebensbedrohliche Leberverletzung verursachen. Die Histologie hat der alkoholischen Hepatitis oder Zirrhose ähnelt. Erhalten Sie Basis- und periodische Lebertransaminasen. Wenn Transaminasen bei einem Patienten mit einem erhöhten Basisabbruch dreimal normal überschreiten oder die Dosis von Cordaron reduzieren, erhalten Sie Follow-up-Tests und behandeln Sie sie angemessen.
Verschlechterte Arrhythmie
Cordaron kann die präsentierende Arrhythmie bei etwa 2 bis 5% der Patienten verschlimmern oder eine neue ventrikuläre Fibrillationsunwirtung von ventrikulären Tachykardien verursachen, die die Resistenz gegen Kardioversion und polymorphe ventrikuläre Tachykardien im Zusammenhang mit der QTC -Verlängerung erhöht (Torsade de Pointes [TDP]).
Richtige Hypokaliämie -Hypomagnesiämie und Hypokalzämie, bevor die Behandlung mit Cordaron initiiert, da diese Störungen den Grad der QTC -Verlängerung übertreiben und das Potenzial für TDP erhöhen können. Besonderes Augenmerk auf das Elektrolyt- und Säure-Basis-Gleichgewicht bei Patienten mit schwerem oder verlängertem Durchfall oder Erhalt von Arzneimitteln, die Elektrolytspiegel wie Diuretik-Abführmittel systemische Kortikosteroide oder Amphotericin B. beeinflussen B.
Sehbehinderung und Sehverlust
Optische Neuropathie und Optikusneuritis
Bei Patienten, die mit Amiodaron behandelt wurden, wurden Fälle von optischer Neuropathie und Optikusneuritis in der Regel zu Sehbehinderung und manchmal dauerhafter Blindheit berichtet und können jederzeit während der Therapie auftreten. Wenn Symptome einer Sehbehinderung auftreten, wie z. B. Veränderungen der Sehschärfe und Abnahme des peripheren Sehens in Betracht ziehen, Cordaron abzubauen und sich unverzüglich für die Augenuntersuchung zu beziehen. Eine regelmäßige ophthalmische Untersuchung, einschließlich Funduskopie und Spaltlampenuntersuchung, wird während der Verabreichung von Cordaron empfohlen [siehe Nebenwirkungen ].
Hornhautmikrodepositionen
In den meisten Erwachsenen treten Hornhautmikrodepositionen auf, die mit Cordaron behandelt wurden. Sie sind normalerweise nur durch Schlitz-Lampenuntersuchung erkennbar, führen jedoch bei bis zu 10% der Patienten zu Symptomen wie visuellem Halos oder verschwommenem Sehen. Hornhautmikrodepositionen sind bei Verringerung der Dosis oder der Beendigung der Behandlung reversibel. Asymptomatische Mikrodepositionen allein sind kein Grund, die Dosis oder die Einstellung der Behandlung zu reduzieren [siehe Nebenwirkungen ].
Schilddrüse Abnormalities
Cordaron hemmt die periphere Umwandlung von Thyroxin (T4) in Triiodothyronin (T3) und kann zu erhöhten Thyroxinspiegeln führen und die T3 -Spiegel und erhöhte Spiegel an inaktivem Reverse T3 (RT3) bei klinisch Euthyroid -Patienten verringert. Cordaron kann entweder zu einer Hypothyreose (bei bis zu 10% der Patienten berichtet) oder Hyperthyreose (bei etwa 2% der Patienten). Überwachen Sie die Schilddrüsenfunktion vor der Behandlung und danach danach, insbesondere bei älteren Patienten und bei jedem Patienten mit einer Vorgeschichte von Schilddrüsenknoten, Kropf oder einer anderen Schilddrüsenfunktionsstörung.
Hyperthyreose kann einen Durchbruch der Arrhythmie induzieren. Wenn neue Anzeichen einer Arrhythmie die Möglichkeit eines Hyperthyreoses erscheint. Antithyreoidmedikamente β-adrenerge Blocker temporäre Kortikosteroid-Therapie können erforderlich sein, um die Symptome einer Hyperthyreose zu behandeln. Die Wirkung von Antithioidmedikamenten kann in der Amiodaron-induzierten Thyrotoxikose aufgrund erheblicher Mengen an vorgeformten Schilddrüsenhormonen verzögert werden, die in der Drüse gespeichert sind. Die radioaktive Iod-Therapie ist aufgrund der mit Amiodaron induzierten Hyperthyreose im Zusammenhang mit dem Amiodaron-induzierten Hyperthyreose im Zusammenhang mit der radioaktiven Iodtherapie kontraindiziert. Cordaron-induzierte Hyperthyreose kann von einer vorübergehenden Periode der Hypothyreose folgen.
Nebenwirkungen von Focalin XR bei Kindern
Hypothyrodismus kann primär oder nach der Auflösung der vorhergehenden Amiodaron-induzierten Hyperthyreose sein. Schwere Hypothyreose und Myxederkoma -Koma wurden manchmal in Verbindung mit der Amiodarone -Therapie berichtet. In einigen klinisch hypothyreoid-mit Amiodaron behandelten Patienten können freie Thyroxin-Indexwerte normal sein. Behandeln Sie die Hypothyreose, indem Sie die Dosis von Cordaron- und Schilddrüsenhormon -Supplementierung reduzieren oder absetzen.
Bradykardie
Cordaron verursacht eine symptomatische Bradykardie oder den Sinusstillstand mit Unterdrückung von Escape -Herde bei 2 bis 4% der Patienten. Das Risiko wird durch elektrolytische Störungen oder die Verwendung von gleichzeitigen Antiarrhythmie oder negativen Chronotropen erhöht [siehe Wechselwirkungen mit Arzneimitteln ]. Bradykardie may require a pacemaker for rate control.
Nach dem Stempelfälle von symptomatischen Bradykardien, die einige Herzschrittmacherinsertion und mindestens ein tödliches Erfordernis erfordern, wurden Ledipasvir/Sofosbuvir oder Sofosbuvir mit Simeprevir bei Patienten auf Amiodaron eingeleitet. Bradykardie trat im Allgemeinen innerhalb von Stunden bis Tagen auf, in einigen Fällen jedoch bis zu 2 Wochen nach der Initiierung Virostatikum Behandlung. Bradykardie wurde im Allgemeinen nach Absetzen der antiviralen Behandlung aufgelöst. Der Mechanismus für diesen Effekt ist unbekannt. Überwachen Sie die Herzfrequenz bei Patienten, die Amiodaron beim Starten einer antiviralen Behandlung einnehmen oder kürzlich abnehmen [siehe Wechselwirkungen mit Arzneimitteln ].
Implantierbare Herzgeräte
Bei Patienten mit implantierten Defibrillatoren oder Herzschrittmachern kann chronische Verabreichung von Antiarrhythmika -Arzneimitteln die Stimulation oder Defibrillationsschwellen beeinflussen. Daher sollten zu Beginn und während der Amiodaron -Behandlung und Defibrillationsschwellen bewertet werden.
Fetale Toxizität
Cordaron kann einen fetalen Schaden verursachen, wenn er einer schwangeren Frau verabreicht wird. Die fetale Exposition kann das Potenzial für neurologische und Wachstumseffekte der kardialen Schilddrüsenschilddrüse erhöhen [siehe Verwendung in bestimmten Populationen ].
Periphere Neuropathie
Eine chronische Verabreichung von Cordaron kann zu einer peripheren Neuropathie führen, die sich möglicherweise nicht lösen kann, wenn Cordaron abgesetzt wird.
Photoempfindlichkeit und Hautverfärbung
Cordaron induziert die Photosensibilisierung bei etwa 10% der Patienten; Ein gewisser Schutz kann Sonnenbahnencremes oder Schutzkleidung gewährt werden. Während der Langzeitbehandlung kann eine blau-grauer Verfärbung der exponierten Haut auftreten. Das Risiko kann bei Patienten mit fairem Teint oder Patienten mit übermäßiger Sonneneinstrahlung erhöht werden. Eine gewisse Umkehrung der Verfärbung kann beim Absetzen des Arzneimittels auftreten.
Operation
Flüchtige Anästhesieger
Patienten mit Cordarontherapie können empfindlicher gegenüber den Myokard -Depressiva- und Leitungswirkungen von halogenierten Inhalationsanästhetika.
Patientenberatungsinformationen
Raten Sie dem Patienten, die von der FDA zugelassene Patientenkennzeichnung zu lesen ( Medikamentenhandbuch ).
Beraten Sie schwangere Frauen über das potenzielle Risiko für einen Fötus. Beraten Sie Frauen des Fortpflanzungspotentials, ihren Prescriber über eine bekannte oder vermutete Schwangerschaft zu informieren [siehe Verwendung in bestimmten Populationen ].
Beraten Sie Frauen, dass das Stillen während der Behandlung mit Cordarone nicht empfohlen wird [siehe Verwendung in bestimmten Populationen ].
Raten Sie den Patienten, Grapefruitsaft und St. John's -Würze zu vermeiden.
Raten Sie den Patienten, medizinische Hilfe zu suchen, wenn sie die Anzeichen und Symptome einer Lungentoxizität erleben, die die Arrhythmie-Bradykardie-Sehbehinderung oder Hypo- und Hyperthyreose verschlechtert.
Das Etikett dieses Produkts wurde möglicherweise aktualisiert. Informationen zu vollständigen Verschreibungsinformationen finden Sie unter www.pfizer.com.
Nichtklinische Toxikologie
Karzinogenese -Mutagenese -Beeinträchtigung der Fruchtbarkeit
Amiodaron HCl war mit einem statistisch signifikanten dosisbedingten Anstieg der Inzidenz von Schilddrüsentumoren (follikuläres Adenom und/oder Karzinom) bei Ratten verbunden. Die Inzidenz von Schilddrüsentumoren war bei dem niedrigsten getesteten Dosisspiegel größer als die Kontrolle als 5 mg/kg/Tag (ungefähr das 0,08 -fache der maximal empfohlenen menschlichen Erhaltungsdosis*).
Mutagenitätsstudien (Ames -Mikronukleus- und lysogene Tests) mit Cordaron waren negativ.
In einer Studie, in der Amiodaron HCl an männliche und weibliche Ratten ab 9 Wochen vor der Paarung verabreicht wurde, wurde eine verringerte Fruchtbarkeit bei einem Dosis von 90 mg/kg/Tag beobachtet (ungefähr das 1,4 -fache der maximal empfohlenen maximal empfohlenen menschlichen Erhaltungsdosis*).
*600 mg bei einem 60 -kg -Patienten (Dosis auf Körperoberfläche verglichen)
Verwendung in bestimmten Populationen
Schwangerschaft
Risikozusammenfassung
Verfügbare Daten aus Nachmarkterberichten und veröffentlichten Fallreihen zeigen, dass der Einsatz von Amiodaron bei schwangeren Frauen das Risiko für nachteilige Wirkungen fetaler Hypo- und Hyperthyreose-Neugeborenen-Bradykardien neurologisch entwicklungsbezogene Abnormalitäten Frühgeburt und fetale Wachstumsbeschränkung erhöhen kann. Amiodaron und sein Metabolitendesethylamiodaron (DEA) überqueren die Plazenta. Unbehandelte zugrunde liegende Arrhythmien einschließlich ventrikulärer Arrhythmien während der Schwangerschaft ist ein Risiko für Mutter und Fötus (siehe Klinische Überlegungen ). In animal studies administration of amiodarone to rabbits rats and mice during organogenesis resulted in embryofetal toxicity at doses less than the maximum recommended human maintenance dose (see Daten ). Advise pregnant women of the potential risk to a fetus.
Das geschätzte Hintergrundrisiko für schwere Geburtsfehler und Fehlgeburt für die angegebene Bevölkerung ist unbekannt. Alle Schwangerschaften haben ein Hintergrundrisiko für einen Verlust von Geburtsfehlern oder andere nachteilige Ergebnisse. In der US-allgemeinen Bevölkerung beträgt das geschätzte Hintergrundrisiko für größere Geburtsfehler und eine Fehlgeburt bei klinisch anerkannten Schwangerschaften 2% -4% bzw. 15% -20%.
Klinische Überlegungen
Krankheitsassoziiertes mütterliches und oder embryo/fetales Risiko
Die Inzidenz einer ventrikulären Tachykardie ist erhöht und kann während der Schwangerschaft symptomatischer sein. Ventrikuläre Arrhythmien treten am häufigsten bei schwangeren Frauen mit einer zugrunde liegenden Kardiomyopathie angeborene Herzerkrankung Valvular Herzerkrankung oder Mitralklappenprolaps auf. Die meisten Tachykardien -Episoden werden durch ektopische Beats initiiert, und das Auftreten von Arrhythmien -Episoden kann daher während der Schwangerschaft aufgrund der erhöhten Neigung zur ektopischen Aktivität zunehmen. Durchbruch können auch während der Schwangerschaft auftreten, da die therapeutischen Behandlungsniveaus aufgrund des erhöhten Verteilungsvolumens und des erhöhten Arzneimittelstoffwechsels, der dem schwangeren Zustand inhärent ist, schwierig zu halten sein.
Nebenwirkungen von fetalen/Neugeborenen
Es wurde gezeigt, dass Amiodaron und sein Metaboliten die Plazenta überqueren. Adverse fetal effects associated with maternal amiodarone use during pregnancy may include neonatal bradycardia QT prolongation and periodic ventricular extrasystoles neonatal hypothyroidism (with or without goiter) detected antenatally or in the newborn and reported even after a few days of exposure neonatal hyperthyroxinemia neurodevelopmental abnormalities independent of thyroid function including speech delay and Schwierigkeiten mit schriftlicher Sprache und arithmetischer verzögerter motorischer Entwicklung und Ataxie ruckeln Nystagmus mit synchroner Kopftitubation fetaler Wachstumsbeschränkung und vorzeitiger Geburt. Überwachen Sie das Neugeborene auf Anzeichen und Symptome einer Schilddrüsenerkrankung und Herzrhythmien.
Arbeit und Entbindung
Das Risiko einer Arrhythmien kann während der Arbeit und der Entbindung zunehmen. Mit Cordaron behandelte Patienten sollten während der Wehen und Entbindung kontinuierlich überwacht werden [siehe WARNUNGS AND VORSICHTSMASSNAHMEN ].
Daten
Tierdaten
Bei schwangeren Ratten und Kaninchen während des Zeitraums der Organogenese Amiodaron HCl in Dosen von 25 mg/kg/Tag (ungefähr 0,4 bzw. 0,9 -fache der maximal empfohlene Erhaltungsdosis menschlicher Erhaltung*) hatte keine nachteiligen Auswirkungen auf den Fötus. Im Kaninchen 75 mg/kg/Tag (ungefähr das 2,7 -fache der maximal empfohlene Erhaltungsdosis von Menschen*) verursachte Abtreibungen in mehr als 90% der Tiere. In den Rattendosen von 50 mg/kg/Tag oder mehr wurden mit einer geringfügigen Verschiebung der Hoden und einer erhöhten Inzidenz einer unvollständigen Ossifikation einiger Schädel und digitaler Knochen verbunden; Bei 100 mg/kg/Tag oder mehr fetalen Körpergewicht wurden reduziert; Bei 200 mg/kg/Tag gab es eine erhöhte Inzidenz der fetalen Resorption. (Diese Dosen in der Ratte betragen ungefähr 0,8 1,6 und das 3,2 -fache der maximal empfohlenen Erhaltungsdosis der Menschen*) Nebenwirkungen auf das Wachstum des Fötus und das Überleben wurden auch in einem von zwei Mäusenstämmen mit einer Dosis von 5 mg/kg/Tag (ungefähr 0,04 -fach das maximale empfohlene menschliche Erhaltungsdosis*) festgestellt.
*600 mg bei einem 60 -kg -Patienten (Dosen im Vergleich zur Körperoberfläche)
Stillzeit
Risikozusammenfassung
Amiodaron und einer seiner Hauptmetaboliten DEA sind in Muttermilch zwischen 3,5% und 45% der mütterlichen Gewichtsdosis von Amiodaron vorhanden. Es gibt Fälle von Hypothyreose und Bradykardie bei gestillten Säuglingen, obwohl unklar ist, ob diese Effekte auf die Amiodaron -Exposition in Muttermilch zurückzuführen sind. Das Stillen wird während der Behandlung mit Cordarone nicht empfohlen [siehe WARNUNGS AND VORSICHTSMASSNAHMEN ].
Frauen und Männer des Fortpflanzungspotentials
Unfruchtbarkeit
Basierend auf Tierfruchtbarkeitsstudien kann Cordaron die Fruchtbarkeit von Frauen und Männern verringern. Es ist nicht bekannt, ob dieser Effekt reversibel ist. [sehen Nichtklinische Toxikologie ].
Pädiatrische Verwendung
Die Sicherheit und Wirksamkeit von Cordaron bei pädiatrischen Patienten wurde nicht festgestellt.
Geriatrische Verwendung
Normale Probanden über 65 Jahre zeigen niedrigere Genehmigungen und eine erhöhte Arzneimittelhälfte als jüngere Probanden [siehe Klinische Pharmakologie ]. In general dose selection for an elderly patient should be cautious usually starting at the low end of the dosing range reflecting the greater frequency of decreased hepatic renal or cardiac function and of concomitant disease or other drug therapy.
Überdosierungsinformationen für Cordarone
Es gab Fälle einige tödliche Cordaron -Überdosis.
Überwachen Sie den Herzrhythmus und den Blutdruck des Patienten, und wenn Bradykardien ein β-adrenergen Agonist oder ein Herzschrittmacher anwenden. Behandeln Sie die Hypotonie mit unzureichender Gewebeperfusion mit positiven inotropen und Vasopressor -Wirkstoffen. Weder Cordaron noch sein Metaboliten sind dialyzierbar.
Kontraindikationen für Cordarone
- Kardiogener Schock.
- Sick Sinus-Syndrom zweiten oder dritten Grades atrioventrikulärer Block Bradykardie führt zu Synkope ohne funktionierende Herzschrittmacher.
- Bekannte Überempfindlichkeit gegenüber dem Arzneimittel oder gegen eine seiner Komponenten, einschließlich Jod.
Klinische Pharmakologie for Cordarone
Wirkungsmechanismus
Amiodarone is considered a class III antiarrhythmic drug but it possesses electrophysiologic characteristics of all four Vaughan Williams classes. Like class I drugs amiodarone blocks sodium channels at rapid pacing frequencies and like class II drugs amiodarone exerts a noncompetitive antisympathetic action. One of its main effects with prolonged administration is to lengthen the cardiac action potential a class III effect. The negative chronotropic effect of amiodarone in nodal tissues is similar to the effect of class IV drugs. In addition to blocking sodium channels amiodarone blocks myocardial potassium channels which contributes to slowing of conduction and prolongation of refractoriness. The antisympathetic action and the block of calcium and potassium channels are responsible for the negative dromotropic effects on the sinus node and for the slowing of conduction and prolongation of refractoriness in the atrioventricular (AV) node. Its vasodilatory action can decrease cardiac workload and consequently myocardial oxygen consumption.
Cordaron verlängert die Dauer des Aktionspotentials aller Herzfasern und gleichzeitig eine minimale Verringerung der DV/DT (maximale Verlaufgeschwindigkeit des Aktionspotentials). Die feuerfeste Periode wird in allen Herzgeweben verlängert. Cordaron erhöht die kardiale Refraktionsperiode, ohne die Ruhemembranpotential zu beeinflussen, außer in automatischen Zellen, in denen die Steigung des Präpotentials im Allgemeinen reduziert wird, was die Automatik reduziert. Diese elektrophysiologischen Effekte spiegeln sich in einer verringerten Sinusrate von 15 bis 20% erhöhten PR- und QT-Intervallen von etwa 10% der Entwicklung von U-Wellen und Änderungen der T-Wellenkontur wider. Diese Veränderungen sollten keine Abnahme von Cordaron erfordern, da sie ein Hinweis auf ihre pharmakologische Wirkung sind, obwohl Cordaron einen ausgeprägten Sinus Bradykardie oder Sinusstillstand und Herzblock verursachen kann [siehe WARNUNGS AND VORSICHTSMASSNAHMEN ].
Hämodynamik
In tierischen Untersuchungen und nach der intravenösen Verabreichung im Man Cordaron entspannt der glatte Gefäßmuskel die periphere Gefäßresistenz (Nachlast) und erhöht den Herzindex leicht. Nach oraler Dosierung erzeugt Cordaron jedoch keine signifikante Änderung der linken ventrikulären Ejektionsfraktion (LVEF) selbst bei Patienten mit depressiven LVEF. Nach einer akuten intravenösen Dosierung im Mann kann Cordaron einen leichten negativen inotropen Effekt haben.
Pharmakodynamik
Es gibt keine gut etablierte Beziehung zwischen Plasmakonzentration und Wirksamkeit, aber es scheint, dass Konzentrationen weit unter 1 mg/l häufig ineffektiv sind und dass die Werte über 2,5 mg/l im Allgemeinen nicht erforderlich sind. Plasmakonzentrationsmessungen können verwendet werden, um Patienten zu identifizieren, deren Werte ungewöhnlich niedrig sind und die möglicherweise von einer Dosisanstieg oder einer ungewöhnlich hohen Dosis profitieren und die möglicherweise eine Dosierungsreduktion in der Hoffnung haben, Nebenwirkungen zu minimieren.
Auswirkungen auf abnormale Rhythmen sind vor 2 bis 3 Tagen nicht zu sehen und erfordern normalerweise 1 bis 3 Wochen, selbst wenn eine Ladendosis verwendet wird. Es kann noch eine anhaltende Zunahme der Wirkung über längere Zeiträume geben. Es gibt Hinweise darauf, dass die Effektzeit kürzer ist, wenn ein Ladendosis-Regime verwendet wird.
In Übereinstimmung mit der langsamen Eliminationsrate, die antiarrhythmische Effekte Wochen oder Monate nach dem Absetzen von Cordaron bestehen, ist jedoch der Zeitpunkt des Wiederauftretens variabel und unvorhersehbar. Im Allgemeinen, wenn das Arzneimittel nach dem Wiederauftreten der Arrhythmiekontrolle wieder aufgenommen wird, wird im Vergleich zu der anfänglichen Reaktion vermutlich, da die Gewebespeicher nicht vollständig erschöpft waren.
Pharmakokinetik
Absorption
Die orale Verabreichung beim Menschen Cordaron wird langsam und variabel absorbiert. Die Bioverfügbarkeit von Cordaron beträgt ungefähr 50%. Die maximalen Plasmakonzentrationen werden 3 bis 7 Stunden nach einer einzigen Dosis erreicht. Plasmakonzentrationen mit chronischer Dosierung bei 100 bis 600 mg/Tag sind ungefähr dosis proportional mit einem durchschnittlichen Anstieg von 0,5 mg/l für jeden 100 mg/Tag. Diese Mittel sind jedoch eine beträchtliche individuelle Variabilität.
Nahrung erhöht die Geschwindigkeit und das Ausmaß der Absorption von Cordaron. Die Auswirkungen von Lebensmitteln auf die Bioverfügbarkeit von Cordaron wurden bei 30 gesunden Probanden untersucht, die unmittelbar nach dem Verzehr eines fettreichen Mahlzeit und nach einer Übernachtung eine einzige 600-mg-Dosis erhielten. Die Fläche unter der Plasmakonzentrationskurve (AUC) und die Spitzenplasmakonzentration (CMAX) von Amiodaron stieg in Gegenwart von Nahrungsmitteln um 2,3 (Bereich 1,7 bis 3,6) bzw. 3,8 (Bereich 2,7 bis 4,4). Die Nahrung erhöhte auch die Absorptionsrate von Amiodaron, was die Zeit auf die Spitzenplasmakonzentration (TMAX) um 37%verringert. Der mittlere AUC und der mittlere Cmax des Hauptmetaboliten von Amiodaron DEA stiegen um 55% (Bereich 58 bis 101%) bzw. 32% (Bereich 4 bis 84%), aber es gab keine Änderung der TMAX in Gegenwart von Nahrungsmitteln.
Verteilung
Cordaron ist stark proteingebunden (ungefähr 96%). Cordarone hat ein sehr großes, aber variables Verteilungsvolumen von durchschnittlich 60 l/kg, da an verschiedenen Stellen eine umfangreiche Akkumulation, insbesondere Fettgewebe, und stark perfundierte Organe wie Leberlungen und Milz.
One major metabolite of CORDARONE DEA has been identified in man; it accumulates to an even greater extent in almost all tissues. No data are available on the activity of DEA in humans but in animals it has significant electrophysiologic and antiarrhythmic effects generally similar to amiodarone itself. DEA's precise role and contribution to the antiarrhythmic activity of oral amiodarone are not certain. The development of maximal ventricular class III effects after oral CORDARONE administration in humans correlates more closely with DEA accumulation over time than with amiodarone accumulation.
Beseitigung
Nach der Verabreichung einer einzelnen Dosis bei 12 gesunden Probanden zeigte Cordaron eine multikompartimentelle Pharmakokinetik mit einer mittleren scheinbaren Halbwertszeit von 58 Tagen (Bereich 15 bis 142 Tage) für Amiodaron und 36 Tage (Bereich 14 bis 75 Tage) für den aktiven Metaboliten (DEA). Bei Patienten nach Abbruch von chronischer oraler Therapie wurde nachgewiesen, dass Cordaron eine zweiphasige Eliminierung mit einer anfänglichen 50% igen Verringerung der Plasmaspiegel nach 2,5 bis 10 Tagen aufweist. Eine viel langsamere Klemme-Plasmaeliminierungsphase zeigt eine Halbwertszeit der Elternverbindung zwischen 26 und 107 Tagen mit einem Mittelwert von ungefähr 53 Tagen und den meisten Patienten im Bereich von 40 bis 55 Tagen. In Ermangelung einer Ladungsdosis-Periode würde die Plasmakonzentrationen bei konstanten oralen Dosierungen daher zwischen 130 und 535 Tagen mit durchschnittlich 265 Tagen erreicht. Für den Metaboliten betrug die mittlere Plasmaeliminierung Halbwertszeit ungefähr 61 Tage. Diese Daten spiegeln wahrscheinlich eine anfängliche Eliminierung des Arzneimittels aus gut perfundiertem Gewebe (die 2,5 bis 10-tägige Halbwertsphase) wider, gefolgt von einer terminalen Phase, die eine extrem langsame Eliminierung aus schlecht perfundierten Gewebekompartimenten wie Fett darstellt.
Die beträchtliche Variation zwischen den Subjekten in beiden Phasen der Elimination sowie der Unsicherheit darüber, welches Kompartiment für den Arzneimitteleffekt von entscheidender Bedeutung ist, erfordert Aufmerksamkeit für einzelne Antworten, sobald die Kontrolle der Arrhythmie mit Belastungsdosen erreicht ist, da die korrekte Wartungsdosis durch die Eliminationsraten teilweise bestimmt wird. Individualisieren Sie Wartungsdosen von Cordarone [siehe Dosierung und Verwaltung ].
Stoffwechsel
Amiodaron wird durch die Cytochrom P450 (CYP) -Enzymgruppe spezifisch CYP3A und CYP2C8 zu DEA metabolisiert. Das CYP3A -Isoenzym ist sowohl im Leber als auch im Darm vorhanden. In -vitro Amiodaron und DEA zeigen ein Potenzial zur Hemmung von CYP2C9 CYP2C19 CYP2D6 CYP3A CYP2A6 CYP2B6 und CYP2C8. Amiodaron und DEA haben auch ein Potenzial, einige Transporter wie P-Glykoprotein und organische Kationentransporter zu hemmen (OCT2).
Ausscheidung
Amiodaron wird hauptsächlich durch den Leberstoffwechsel und die Gallenausscheidung beseitigt und es gibt eine vernachlässigbare Ausscheidung von Amiodaron oder DEA im Urin. Weder Amiodaron noch DEA sind dialyzierbar.
Spezifische Populationen
Auswirkung des Alters
Normale Probanden über 65 Jahre alt sind niedrigere Clearances (etwa 100 ml/h/kg) als jüngere Probanden (ca. 150 ml/h/kg) und eine Zunahme von T½ von etwa 20 auf 47 Tage.
Nieren Impairment
Nieren impairment does not influence the pharmacokinetics of amiodarone or DEA.
Hepatisch Impairment
Nach einer einzelnen Dosis intravenöser Amiodaron an Zirrhose -Patienten werden CMAX und durchschnittliche Konzentrationswerte für DEA signifikant niedrigeren, aber die mittleren Amiodaronspiegel sind unverändert.
Reiseführer für Belize
Herz Disease
Bei Patienten mit schwerer linksventrikulärer Dysfunktion ist die Pharmakokinetik von Amiodaron nicht signifikant verändert, aber die terminale Eliminierungs -T½ der DEA wird verlängert.
Obwohl während der chronischen Behandlung mit oraler Amiodaron -Klinik -Überwachung keine Dosierungsanpassung bei Patienten mit Nierenleber oder Herzanomalien definiert wurde, ist für ältere Patienten und Patienten mit schwerer linksventrikulärer Dysfunktion ratsam.
Wechselwirkungen mit Arzneimitteln
Auswirkungen anderer Agenten auf Amiodaron
Grapefruitsaft: Grapefruitsaft, das gesunden Freiwilligen gegeben wurde, erhöhte Amiodaron AUC um 50% und Cmax um 84% und verringerte die DEA auf nicht quantifizierbare Konzentrationen.
Cimetidin hemmt CYP3A und kann die Serumamiodaronspiegel erhöhen.
Cholestyramin reduces enterohepatic circulation of amiodarone thereby increasing its elimination. This results in reduced amiodarone serum levels and half-life.
Auswirkungen von Amiodaron auf Agenten
CYP3A -Substrats
Amiodaron, das gleichzeitig mit Chinidin eingenommen wurde, erhöht die Quinidinserumkonzentration nach zwei Tagen um 33%. Amiodaron, das gleichzeitig mit Procainamid über sieben Tage lang eingenommen wird, erhöht die Plasmakonzentrationen von Procainamid und N-Acetyl-Procainamid um 55% bzw. 33%.
Loratadin Ein nicht sedierender Antihistaminischer wird hauptsächlich von CYP3A metabolisiert und sein Metabolismus durch Amiodaron hemmt.
Stoffwechselof Lidocain kann durch Amiodaron gehemmt werden.
Cyclophosphamid ist ein von CYP450 einschließlich CYP3A zu einem aktiven Metaboliten metabolisierte Prodrug. Der Metabolismus von Cyclophosphamid kann durch Amiodaron gehemmt werden.
Clopidogrel Ein inaktives Thienopyridin -Prodrug wird in der Leber durch CYP3A zu einem aktiven Metaboliten metabolisiert. Eine mögliche Wechselwirkung zwischen Clopidogrel und Amiodaron, die zu einer ineffektiven Hemmung der Thrombozytenaggregation führte, wurde berichtet.
Makrolid/Ketolid -Antibiotika
Amiodaron kann die Metabolismus der Macrolid/Ketolid -Antibiotika (mit Ausnahme von Azithromycin) und systemischem Azolantimykolmen hemmen.
P-Glykoprotein-Substrate
Amiodaron, das gleichzeitig mit Digoxin eingenommen wurde, erhöht die Serum -Digoxin -Konzentration nach einem Tag um 70%.
Dabigatran Etexilat Wenn gleichzeitig mit oralem Amiodaron eingenommen wird, kann dies zu einer erhöhten Serumkonzentration von Dabigatran führen.
Dextromethorphan ist ein Substrat für CYP2D6 und CYP3A. Amiodaron hemmt CYP2D6. Chronische (> 2 Wochen) orale Amiodaron -Verabreichung beeinträchtigen den Stoffwechsel von Dextromethorphan können zu erhöhten Serumkonzentrationen führen.
Patienteninformationen für Cordarone
Cordarone®
(Kor-du-ron)
(Amiodaron) Tabletten
Was sind die wichtigsten Informationen, die ich über Cordarone wissen sollte?
Cordarone kann schwerwiegende Nebenwirkungen verursachen, die zum Tod führen können, einschließlich:
- Lungenprobleme
- Leberprobleme
- Verschlechterung von Herzschlagproblemen
Rufen Sie Ihren Gesundheitsdienstleister an oder erhalten Sie sofort medizinische Hilfe, wenn Sie während der Behandlung mit Cordarone folgende Symptome haben:
- Probleme beim Atmen von Keuchen Kürze bei Atemnothusten Schmerzen in der Brust, die aus Blut oder Fieber aufspuckt
- Übelkeit oder Erbrechen brauner oder dunkel gefärbter Urin fühlen sich müder an als gewöhnlich Ihrer Haut oder der Weißen Ihrer Augen (Gelbsucht) oder Schmerzen des rechten oberen Magens
- Herz schlägt, das einen Schlag überspringt, der schnell schlägt oder sich langsam benommen fühlt oder wenn Sie ohnmächtig werden
- Sehprobleme einschließlich verschwommener Sehvermögen sehen Halos oder Ihre Augen empfindlich gegenüber Licht. Sie sollten regelmäßig Augenuntersuchungen vor und während der Behandlung mit Cordarone durchführen.
Cordarone sollte in einem Krankenhaus gestartet werden, damit Ihr Krankheitszustand sorgfältig überwacht werden kann.
Cordarone sollte nur zur Behandlung von Menschen verwendet werden, bei denen lebensbedrohliche Herzschlagprobleme als ventrikuläre Arrhythmien diagnostiziert wurden, wenn andere Behandlungen nicht funktionierten oder Sie sie nicht tolerieren können.
Cordarone kann andere schwerwiegende Nebenwirkungen verursachen. Sehen Sie, was sind die möglichen Nebenwirkungen von Cordarone? Wenn Sie während der Behandlung schwerwiegende Nebenwirkungen haben, müssen Sie möglicherweise verhindern, dass Cordarone Ihre Dosis verändert oder eine medizinische Behandlung erhalten. Sprechen Sie mit Ihrem Gesundheitsdienstleister, bevor Sie aufhören, Cordarone zu nehmen.
Sie haben möglicherweise noch Nebenwirkungen, nachdem Sie Cordarone gestoppt haben, da das Medikament nach der Beendigung der Behandlung monatelang in Ihrem Körper bleibt.
Vor und während der Behandlung mit Cordarone sollten Sie regelmäßige Überprüfungen von Bluttests durch die Bruströntgenaufnahmen durchführen, um nach schwerwiegenden Nebenwirkungen zu überprüfen. Sie sollten auch Lungenfunktionstests durchführen, bevor Sie mit Cordarone mit der Behandlung beginnen.
Was ist Cordarone?
Cordarone ist ein verschreibungspflichtiges Medikament zur Behandlung von Menschen, bei denen lebensbedrohliche Herzschlagprobleme als ventrikuläre Arrhythmien diagnostiziert wurden, wenn andere Behandlungen nicht funktionierten oder Sie sie nicht tolerieren können. Es ist nicht bekannt, ob Cordaron bei Kindern sicher und wirksam ist.
Wer sollte nicht Cordarone nehmen?
Nehmen Sie nicht Cordarone, wenn Sie:
- ein ernstes Herzproblem haben, das als kardiogener Schock bezeichnet wird
- haben bestimmte Arten der Herzerkrankung, die als Herzblock mit oder ohne langsame Herzfrequenz bezeichnet werden
- Haben Sie eine langsame Herzfrequenz mit Schwindel oder Benommenheit und Sie haben keinen implantierten Herzschrittmacher
- sind allergisch gegen Amiodaron Jod oder einen der anderen Zutaten in Cordaron. Das Ende dieses Medikamentenleitfadens finden Sie eine vollständige Liste von Zutaten in Cordarone.
Bevor Sie Cordarone einnehmen, teilen Sie Ihrem Gesundheitsdienstleister alle Ihre medizinischen Erkrankungen mit, einschließlich, wenn Sie:
- Lungen- oder Atemprobleme haben
- Leberprobleme haben
- Schilddrüsenprobleme haben oder hatten
- eine langsame Herzfrequenz- oder Blutdruckprobleme haben
- Durchfall haben oder seit langem Durchfall hatten
- Es wurde gesagt, dass Sie einen geringen Kalium -Magnesium oder Kalzium im Blut haben
- einen implantierten Herzschrittmacher oder Defribrillator haben
- Wenn Sie vorhaben, mit Vollnarkose operiert zu werden
- sind schwanger oder planen, schwanger zu werden. Cordarone kann Ihrem ungeborenen Baby schaden. Teilen Sie Ihrem Gesundheitsdienstleister sofort mit, wenn Sie während der Behandlung mit Cordarone schwanger werden. Cordarone kann monatelang in Ihrem Körper bleiben, nachdem die Behandlung gestoppt wurde.
- stillen oder planen zu stillen. Cordarone kann in Ihre Muttermilch übergehen und Ihrem Baby schaden. Sie sollten nicht stillen, während Sie Cordarone einnehmen. Cordarone kann monatelang in Ihrem Körper bleiben, nachdem die Behandlung gestoppt wurde. Sprechen Sie mit Ihrem Gesundheitsdienstleister darüber, wie Sie Ihr Baby in dieser Zeit am besten füttern können.
Teilen Sie Ihrem Gesundheitsdienstleister von allen Medikamenten mit, die Sie einnehmen, einschließlich verschreibungspflichtiger und rezeptfreier Arzneimittel-Vitamine und Kräuterpräparate. Cordarone und bestimmte andere Medikamente können sich aufeinander auswirken und schwerwiegende Nebenwirkungen verursachen. Sie können Ihren Apotheker um eine Liste von Medikamenten bitten, die mit Cordarone interagieren.
Wie soll ich Cordarone nehmen?
- Wenn Sie aus dem Krankenhaus entlassen werden, nehmen Sie Cordarone genau so, wie Ihr Arzt Sie auffordert, es zu nehmen.
- Ihr Gesundheitsdienstleister wird Ihnen sagen, wie viel Cordarone Sie nehmen und wann Sie es nehmen sollen.
- Ihr Gesundheitsdienstleister kann Ihre Dosis Cordaron nach Bedarf ändern, wenn Ihr Herzrhythmus kontrolliert wird oder wenn Sie bestimmte Nebenwirkungen haben. Ihr Gesundheitsdienstleister sollte Sie sorgfältig überwachen, wenn Ihre Dosis Cordarone geändert wird.
- Nehmen Sie Ihre Dosis Cordarone jedes Mal mit oder ohne Nahrung auf die gleiche Weise.
- Wenn Sie zu viel Cordarone nehmen, rufen Sie Ihren Gesundheitsdienstleister an oder gehen Sie sofort in die nächste Notaufnahme des Krankenhauses. Wenn Sie eine Dosis verpassen, warten Sie und nehmen Sie Ihre nächste Dosis zu Ihrer regulären Zeit ein. Nehmen Sie keine zwei Dosen gleich. Fahren Sie mit Ihrer nächsten regelmäßig geplanten Dosis fort.
Was soll ich vermeiden, während ich Cordarone einnehme?
- Vermeiden Sie es, Grapefruitsaft während der Behandlung mit Cordaron zu trinken. Das Trinken von Grapefruitsaft mit Cordaron kann die Menge an Cordaron in Ihrem Blut erhöhen und dies kann zu Nebenwirkungen führen.
- Cordarone kann Ihre Haut empfindlich gegenüber Sonnenlicht machen. Sie könnten schweres Sonnenbrand bekommen. Verwenden Sie Sonnenschutzmittel und tragen Sie einen Hut und eine Kleidung, die Ihre Haut bedeckt, um Sie zu schützen, wenn Sie Sonnenlicht haben müssen. Sprechen Sie mit Ihrer Gesundheitsversorgung, wenn Sie einen Sonnenbrand bekommen. Siehe Hautprobleme im Abschnitt Medikamentenführer Was sind die möglichen Nebenwirkungen von Cordarone? unten.
Was sind die möglichen Nebenwirkungen von Cordarone?
Coradarone kann schwerwiegende Nebenwirkungen verursachen, einschließlich:
- Sehen Was sind die wichtigsten Informationen, die ich über Cordarone wissen sollte?
- Nervenprobleme. Cordarone kann Nervenprobleme verursachen. Rufen Sie Ihren Gesundheitsdienstleister an, wenn Sie Symptome von Nervenproblemen entwickeln, darunter: Ein Gefühl von Stiften und Nadeln oder Taubheit in Ihren Händen Beine oder Füße Muskelschwäche unkontrollierte Bewegungen schlechte Koordination oder Probleme beim Gehen.
- Hautprobleme. Cordarone kann dazu führen, dass Ihre Haut empfindlicher gegenüber der Sonne reagiert oder eine bläulich-grauer Farbe dreht. Menschen mit heller Haut oder Menschen mit viel Sonneneinstrahlung können für diese Hautprobleme mehr gefährdet sein. Ein Teil der bläulich-grauen Hautfarbe kann nach dem Stoppen von Cordarone wieder normalisiert werden.
- Schilddrüse problems. Cordaron kann dazu führen, dass Sie entweder eine verminderte Schilddrüsenfunktion (Hypothyreose) haben, die manchmal schwerwiegend sein kann, oder eine überaktive Schilddrüse (Hyperthyreose), die schwerwiegend sein kann.
- Wenn Sie während der Behandlung mit Cordaron eine verminderte Schilddrüsenfunktion entwickeln, muss Ihr Gesundheitsdienstleister möglicherweise Ihre Dosis reduzieren oder Ihre Behandlung mit Cordarone stoppen und möglicherweise Medikamente für das Ersetzen Ihres Schilddrüsenhormons verschreiben.
- Eine überaktive Schilddrüse kann dazu führen, dass Sie zu viel Schilddrüsenhormon produzieren. Sie können abnormale Herzschläge haben, auch wenn Sie Cordarone erhalten. Ihr Gesundheitsdienstleister kann bestimmte Medikamente zur Behandlung Ihrer überaktiven Schilddrüse verschreiben. Rufen Sie Ihren Gesundheitsdienstleister an, wenn Sie während der Behandlung mit Cordarone abnormale Herzschläge erhalten. Dies kann bedeuten, dass Sie eine überaktive Schilddrüse haben.
- Ihr Gesundheitsdienstleister sollte Tests durchführen, um Ihre Schilddrüsenfunktion zu überprüfen, bevor Sie beginnen und während der Behandlung mit Cordarone.
- Rufen Sie Ihren Gesundheitsdienstleister an, wenn Sie die folgenden Symptome eines Schilddrüsenproblems während der Behandlung mit Cordarone entwickeln:
- Schwäche
- Gewichtsverlust oder Gewichtszunahme
- Wärme oder kalte Intoleranz
- Haarverdünnung
- Schwitzen
- Änderungen in Ihren Menstruationszeiten
- Schwellung Ihres Nackens (Kropf)
- Nervosität
- Reizbarkeit
- Unruhe
- Verringerte Konzentration
- sich deprimiert fühlen (bei älteren Menschen)
- Tremor
Die häufigsten Nebenwirkungen von Cordarone sind:
- Lungenprobleme
- Herzschlagprobleme
- Herzprobleme
- Leberprobleme
Cordaron kann die Fruchtbarkeit bei Männern und Frauen beeinflussen. Es ist nicht bekannt, ob die Effekte reversibel sind. Sprechen Sie mit Ihrem Gesundheitsdienstleister, wenn Sie Bedenken hinsichtlich der Fruchtbarkeit haben.
Dies sind nicht alle möglichen Nebenwirkungen von Cordaron. Weitere Informationen finden Sie in Ihrem Gesundheitsdienstleister oder Apotheker.
Rufen Sie Ihren Arzt an, um medizinische Beratung zu Nebenwirkungen zu erhalten. Sie können die FDA bei 1-800-FDA-1088 Nebenwirkungen melden.
Wie soll ich Cordarone aufbewahren?
- Lagern Sie Cordaron bei Raumtemperatur zwischen 20 ° bis 25 ° C (68 ° bis 77 ° F).
- Halten Sie Cordaron in einem dicht geschlossenen Behälter und halten Sie Cordaron aus dem Licht heraus.
Halten Sie Cordarone und alle Medikamente außerhalb der Reichweite der Kinder.
Allgemeine Informationen über den sicheren und effektiven Einsatz von Cordarone
Medikamente werden manchmal für andere Zwecke als die in einem Medikamentenhandbuch aufgeführten Zwecke verschrieben. Verwenden Sie Cordarone nicht für einen Zustand, für den sie nicht verschrieben wurde. Geben Sie anderen Menschen nicht Cordarone, auch wenn sie die gleichen Symptome haben, die Sie haben. Es kann ihnen schaden. Sie können Ihren Apotheker oder Gesundheitsdienstleister um Informationen zu Cordarone bitten, die für Angehörige der Gesundheitsberufe geschrieben wurden.
Was sind die Zutaten in Cordarone?
Wirkstoff: Amiodarone HCl
Tramadol HCl 50 mg Tablette hoch
Inaktive Zutaten: kolloidales Siliziumdioxid -Lactose -Magnesium -Stearat -Povidon -Stärke und FD
Dieser Medikamentenführer wurde von der US -amerikanischen Food and Drug Administration zugelassen.