Die Informationen Auf Dieser Website Stellen Keine Medizinische Beratung Dar. Wir Verkaufen Nichts. Die Richtigkeit Der Übersetzung Wird Nicht Garantiert. Haftungsausschluss
Medikamente
Lortab 10
Drogenzusammenfassung
Was ist Lortab 10?
Lortab 10/500 (Hydrocodon-Bitartrat und Paracetamol) ist ein Kombinationschmerzablastung, der einen Opiat (Narkotik-) Schmerzmittelhydrocodon und der nicht narkotische Schmerzmittel-Acetamol verwendet, um mittelschwere bis starke Schmerzen zu lindern.
Was sind Nebenwirkungen von Lortab 10?
Häufige Nebenwirkungen von Lortab sind:
- Schläfrigkeit
- Angst
- Schwindel
- Brechreiz
- Erbrechen
- Magenverstimmung
- Verstopfung
- Kopfschmerzen
- Stimmungsänderungen
- verschwommenes Sehen
- in den Ohren klingeln
- Trockener Mund Und
- unklaren Denken.
Dosierung für Lortab 10
Lortab 10/500 ist als Tablet für den mündlichen Gebrauch erhältlich. Die übliche erwachsene Dosierung von Lortab 10/500 ist eine Tablette alle vier bis sechs Stunden nach Bedarf für Schmerzen.
Welche Medikamentensubstanzen oder Nahrungsergänzungsmittel interagieren mit Lortab 10?
Lortab 10/500 may interact with alcohol products that contain acetaminophen other medicines that can make you sleepy or slow your breathing (other narcotic pain medications sedatives tranquilizers sleeping pills or muscle relaxers) antidepressants MAO inhibitors atropine benztropine dimenhydrinate glycopyrrolate mepenzolate methscopolamine scopolamine Blase oder Harnmedikamente Bronchodilatatoren oder Reizdarmmedikamente. Sagen Sie Ihrem Arzt alle Medikamente und Nahrungsergänzungsmittel, die Sie verwenden.
Lortab 10 während der Schwangerschaft und Stillen
> Dieses Medikament sollte nur angewendet werden, wenn sie während der Schwangerschaft eindeutig benötigt werden. Lortab wird nicht für lange Zeiträume oder in hohen Dosen in der Nähe des erwarteten Liefertermins aufgrund des Schadens für ein ungeborenes Baby nicht empfohlen. Besprechen Sie die Risiken und Vorteile mit Ihrem Arzt. Basierend auf Informationen aus verwandten Arzneimitteln kann dieses Medikament in die Muttermilch übergehen. Aufgrund des potenziellen Risikos für das Kind konsultieren Sie Ihren Arzt vor dem Stillen. Narkotische Schmerzmittel haben das Potenzial, gewohnheitsbildend zu werden und weniger effektiv zu arbeiten, wenn sie über lange Zeiträume genommen werden.Weitere Informationen
Unser Lortab 10/500 (Hydrocodon -Bitartrat und Paracetamol) -Anramm -Arzneimittelzentrum bietet eine umfassende Übersicht über verfügbare Arzneimittelinformationen über die potenziellen Nebenwirkungen bei der Einnahme dieses Medikaments.
Kann ich 800 mg Ibuprofen nehmen?
FDA -Drogeninformationen
- Drogenbeschreibung
- Indikationen
- Nebenwirkungen
- Warnungen
- Vorsichtsmaßnahmen
- Überdosis
- Klinische Pharmakologie
- Medikamentenhandbuch
Beschreibung für Lortab 10
Hydrocodon -Bitartrat und Paracetamol werden in Tablettenform zur oralen Verabreichung geliefert.
WARNUNG : Kann Gewohnheit bilden (sehen VORSICHTSMASSNAHMEN Informationen für Patienten Und Drogenmissbrauch und Abhängigkeit ).
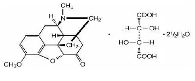
Hydrocodon -Bitartrat ist ein Opioidanalgetikum und Antitussive und tritt als feine weiße Kristalle oder als kristallines Pulver auf. Es ist durch Licht beeinflusst. Der chemische Name ist 45α-Epoxy-3-Methoxy-17-Methylmorphinan-6-One-Tartrat (1: 1) Hydrat (2: 5). Es hat die folgende strukturelle Formel:
|
C 18 H 21 NEIN 3 • C. 4 H 6 O 6 • 2 ½ h 2 DER
Acetaminophen 4'-Hydroxyacetanilid Ein leicht bitteres weißes, geruchloses kristallines Pulver ist ein nicht-opiates nicht-salicylatalgetisches und antipyretisch. Es hat die folgende strukturelle Formel:
|
C 8 H 9 NEIN 2
Jeder Lortab 10 (Hydrocodon -Bitartrat- und Paracetamol -Tabletten) /500 Tablette enthält:
Hydrocodon Bitartrat ...............................................
Acetaminophen ...........................................................................................................................................................................................................................................................................................................................................................................................................................................................................................................................................................................................................................................................................................................................................................................
Zusätzlich enthält jedes Tablet die folgenden inaktiven Zutaten: D.
Verwendung für Lortab 10
Lortab 10 (Hydrocodon -Bitartrat- und Paracetamol -Tabletten) /500 Tabletten (Hydrocodon -Bitartrat- und Paracetamol -Tabletten USP 10 mg /500 mg) sind zur Linderung von mittelschweren bis mäßig starken Schmerzen angezeigt.
Dosierung für Lortab 10
Die Dosierung sollte entsprechend der Schwere der Schmerzen und der Reaktion des Patienten angepasst werden. Es sollte jedoch beachtet werden, dass sich die Toleranz gegenüber Hydrocodon durch kontinuierliche Verwendung entwickeln kann und dass die Inzidenz von ungünstigen Effekten dosisbedingt ist.
Die übliche erwachsene Dosierung ist eine Tablette alle vier bis sechs Stunden nach Bedarf für Schmerzen. Die gesamte tägliche Dosierung sollte 6 Tabletten nicht überschreiten.
Wie geliefert
Lortab ® 10/500 Tabletten (Hydrocodon -Bitartrat- und Paracetamol -Tabletten USP 10 mg/500 mg) enthalten 10 mg Hydrocodon -Bitartrat und Paracetamol 500 mg. Sie werden als pink-Kapsel-förmige halbierte Tabletten geliefert, die auf der einen Seite 'UCB' und in Behältern von 100 Tabletten NDC 50474-910-01 500 Tabletten NDC 50474-910-50 und in Krankenhauseinheiten-Dosen-Paketen mit 100 Tabletten [4 x 25] NDC 50474-60 auf der anderen Seite entblößt.
LAGERUNG : Speichern Sie bei 20 bis 25 ° C (68 bis 77 ° F). [Siehe USP -kontrollierte Raumtemperatur]
In einem engen, leicht resistenten Behälter mit einem kinderresistenten Verschluss abgeben.
Ein Zeitplan Ciii Narkotikum
Lisinopril 5 mg Tabletten Nebenwirkungen
Hergestellt für: UCB Pharma Inc. Smyrna GA 30080. Hergestellt von: Mallinckrodt Inc.HoBart New York 13788. Rev. 03/2004. FDA Rev. Datum: 8/3/2000
Nebenwirkungen für Lortab 10
Die am häufigsten berichteten unerwünschten Reaktionen sind Leuchten. Diese Effekte scheinen bei Ambulatorien stärker zu sein als bei nicht ambulanten Patienten, und einige dieser unerwünschten Reaktionen können gelindert werden, wenn sich der Patient niederlegt.
Weitere nachteilige Reaktionen sind:
Zentralnervensystem : Schläfrigkeit Mentaler Trübung Lethargie Beeinträchtigung der Angst und körperlicher Leistung Angst Angst Dysphorie Psychische Abhängigkeit Stimmungsänderungen.
Magen -Darm -System : Verlängerte Verabreichung von Lortab 10 (Hydrocodon -Bitartrat- und Paracetamol -Tabletten) /500 Tabletten können Verstopfung erzeugen.
Genitourinarsystem : Mit Opiaten wurden Harnstoffkrampfstriche von Vesical Phinkter und Harnretention gemeldet.
Atemdepression : Hydrocodon-Bitartrat kann eine dosisbedingte Atemdepression erzeugen, indem sie direkt auf die Atemwegszentren des Gehirns reagieren (siehe Überdosierung ).
Besondere Sinne : Fälle von Hörbehinderung oder dauerhaftem Verlust wurden überwiegend bei Patienten mit chronischer Überdosis berichtet.
Dermatologisch : Hautausschlagdruck.
Die folgenden unerwünschten Arzneimittelereignisse können als potenzielle Auswirkungen von Paracetamol berücksichtigt werden: Allergische Reaktionen Hautausschlag Thrombozytopenie Agranulozytose.
Mögliche Auswirkungen einer hohen Dosierung sind in der aufgeführt Überdosierung Abschnitt.
Drogenmissbrauch und Abhängigkeit
Kontrollierte Substanz : Lortab 10 (Hydrocodon -Bitartrat- und Paracetamol -Tabletten) /500 Tabletten (Hydrocodon -Bitartrat- und Paracetamol -Tabletten USP 10 mg /500 mg) werden als kontrollierter Substanz des Zeitplan -III klassifiziert.
Missbrauch und Abhängigkeit : Die psychische Abhängigkeit physische Abhängigkeit und Toleranz kann sich bei wiederholter Verabreichung von Betäubungsmitteln entwickeln. Daher sollte dieses Produkt vorgeschrieben und mit Vorsicht verabreicht werden. Es ist jedoch unwahrscheinlich, dass sich die psychische Abhängigkeit entwickelt, wenn Hydrocodon -Bitartrat- und Paracetamol -Tabletten für kurze Zeit zur Behandlung von Schmerzen verwendet werden.
Physikalische Abhängigkeit Die Erkrankung, in der die fortgesetzte Verabreichung des Arzneimittels erforderlich ist, um das Erscheinen eines Entzugssyndroms zu verhindern, nimmt nur nach mehreren Wochen der anhaltenden Betäubungsmittelanwendung klinisch signifikante Ausmaße an, obwohl sich nach einigen Tagen der Betäubungsmitteltherapie ein leichte Grad an körperlicher Abhängigkeit entwickeln kann. Toleranz, bei der zunehmend große Dosen erforderlich sind, um den gleichen Grad an Analgesie zu erzeugen, wird zunächst durch eine verkürzte Dauer des analgetischen Effekts und anschließend durch Abnahme der Intensität der Analgesie manifestiert. Die Entwicklungsrate der Toleranz variiert von Patienten.
Wechselwirkungen mit Arzneimitteln für Lortab 10
Patienten, die Antihistaminika Antipsychotika gegen Antipsychotika oder andere ZNS -Depressiva (einschließlich Alkohol) erhalten, können gleichzeitig mit Hydrocodon -Bitartrat und Paracetamol -Tabletten eine additive ZNS -Depression aufweisen. Wenn eine kombinierte Therapie in Betracht gezogen wird, sollte die Dosis eines oder beiden Mittel reduziert werden.
Die Verwendung von MAO -Inhibitoren oder trizyklischen Antidepressiva mit Hydrokodonpräparaten kann die Wirkung des Antidepressivums oder des Hydrokodons erhöhen.
Wechselwirkungen zwischen Arzneimittel und Labor-/Labortest : Paracetamol kann falsch-positive Testergebnisse für 5-Hydroxyindoleacesalsäure im Urin erzeugen.
Warnungen for Lortab 10
Atemdepression : Bei hohen Dosen oder bei empfindlichen Patienten kann Hydrocodon dosisbedingte Atemdepressionen produzieren, indem sie direkt auf das Atemzentrum des Gehirnstamms wirken. Hydrocodon beeinflusst auch das Zentrum, das den Atemrhythmus steuert und unregelmäßige und periodische Atmung erzeugt.
Wofür wird Ipratropium -Bromid verwendet?
Kopfverletzung und erhöhten Intrakranialdruck : Die respiratorischen Depressiva -Wirkungen von Betäubungsmitteln und ihre Fähigkeit zur Erhöhung des Cerebrospinalflüssigkeitsdrucks können in Gegenwart einer Kopfverletzung, die andere intrakranielle Läsionen oder eine bereits bestehende Erhöhung des intrakraniellen Drucks durch Kopfverletzung erhöht. Darüber hinaus erzeugen Betäubungsmittel unerwünschte Reaktionen, die den klinischen Verlauf von Patienten mit Kopfverletzungen verdecken können.
Akute Bauchbedingungen : Die Verabreichung von Betäubungsmitteln kann die Diagnose oder den klinischen Verlauf von Patienten mit akuten Bauchbedingungen verdecken.
Vorsichtsmaßnahmen for Lortab 10
Allgemein : Patienten mit besonderem Risiko : Wie bei jedem narkotischen Analgetika -Mittel Lortab 10 (Hydrocodon -Bitartrat- und Paracetaminophen -Tabletten) sollten bei älteren oder geschwächten Patienten mit Vorsicht bei älteren Menschen und Patienten mit schwerer Beeinträchtigung der hepatischen oder renalen Hypothyreoidismus -Prostatikhypertroph -hypertroph -orethere oder orethrale orethrale hepatische Funktionen mit Vorsicht eingesetzt werden. Die üblichen Vorsichtsmaßnahmen sollten beobachtet werden und die Möglichkeit einer Atemdepression im Auge behalten werden.
Hustenreflex : Hydrocodon unterdrückt den Hustenreflex; Wie bei allen Betäubungsmitteln sollte Vorsicht geboten werden, wenn Lortab 10 (Hydrocodon -Bitartrat- und Paracetamol -Tabletten) postoperativ und bei Patienten mit Lungenerkrankung verwendet werden.
Karzinogenese -Mutagenese -Beeinträchtigung der Fruchtbarkeit : Es wurden keine angemessenen Studien bei Tieren durchgeführt, um festzustellen, ob Hydrocodon oder Paracetamol ein Potenzial für die Karzinogenese -Mutagenese oder eine Beeinträchtigung der Fruchtbarkeit aufweisen.
Schwangerschaft:
Teratogene Wirkungen: Schwangerschaft Kategorie C: Es gibt keine angemessenen und gut kontrollierten Studien bei schwangeren Frauen. Lortab 10 (Hydrocodon -Bitartrat- und Paracetamol -Tabletten) /500 Tabletten sollten während der Schwangerschaft nur dann verwendet werden, wenn der potenzielle Nutzen das potenzielle Risiko für den Fötus rechtfertigt.
Nichtteratogene Wirkungen : Babys, die von Müttern geboren wurden, die vor der Entbindung regelmäßig Opioide eingenommen haben, sind physisch abhängig. Die Entzugszeichen umfassen Reizbarkeit und übermäßige weinende Zittern hyperaktive Reflexe erhöhten die Stühle, die die Hocker Niese gählernen Erbrechen und Fieber. Die Intensität des Syndroms korreliert nicht immer mit der Dauer der mütterlichen Opioidkonsum oder der Dosis. Es besteht kein Konsens über die beste Methode zur Verwaltung des Rückzugs.
Arbeit und Entbindung : Wie bei allen Betäubungsmittelverwaltung dieses Produkts an die Mutter kann kurz vor der Entbindung ein gewisses Maß an Atemdepression im Neugeborenen führen, insbesondere wenn höhere Dosen verwendet werden.
Pflegemütter : Paracetamol wird in kleinen Mengen in die Muttermilch ausgeschieden, aber die Bedeutung seiner Auswirkungen auf Pflegekinder ist nicht bekannt. Es ist nicht bekannt, ob Hydrocodon in Muttermilch ausgeschieden ist. Da viele Medikamente in Muttermilch und aufgrund des Potenzials für schwerwiegende Nebenwirkungen bei Säuglingen aus Hydrocodon und Paracetamol -Reaktionen getroffen werden, sollte eine Entscheidung getroffen werden, ob die Krankenpflege eingestellt oder das Medikament unter Berücksichtigung der Bedeutung des Arzneimittels für die Mutter eingestellt werden soll.
Pädiatrische Verwendung : Sicherheit und Wirksamkeit in der pädiatrischen Bevölkerung wurden nicht festgestellt.
Geriatrische Verwendung : Klinische Studien zu Hydrocodon -Bitartrat- und Paracetamol -Tabletten umfassten nicht eine ausreichende Anzahl von Probanden ab 65 Jahren und mehr, um festzustellen, ob sie unterschiedlich als jüngere Probanden reagieren. Andere gemeldete klinische Erfahrung haben keine Unterschiede in den Antworten zwischen älteren und jüngeren Patienten identifiziert. Im Allgemeinen sollte die Dosisauswahl für einen älteren Patienten vorsichtig sein, normalerweise am unteren Ende des Dosierungsbereichs, der die größere Häufigkeit einer verringerten Nieren- oder Herzfunktion von Lebern und einer gleichzeitigen Erkrankung oder einer anderen medikamentösen Therapie widerspiegelt.
Hydrocodon und die Hauptmetaboliten von Paracetamol sind von der Niere wesentlich ausgeschieden. Daher kann das Risiko toxischer Reaktionen bei Patienten mit beeinträchtigter Nierenfunktion aufgrund der Akkumulation der Elternverbindung und/oder der Metaboliten im Plasma höher sein. Da ältere Patienten mit größerer Wahrscheinlichkeit eine verminderte Nierenfunktionspflege haben, sollten die Selektion der Dosis durchgeführt werden, und es kann nützlich sein, die Nierenfunktion zu überwachen.
Hydrocodon kann bei älteren Menschen Verwirrung und Überwachung verursachen; Ältere Patienten sollten im Allgemeinen mit niedrigen Dosen von Hydrocodon -Bitartrat- und Paracetamol -Tabletten begonnen und genau beobachtet werden.
Überdosierungsinformationen für Lortab 10
Nach einer akuten Überdosiertoxizität kann aus Hydrocodon oder Paracetamol resultieren.
Anzeichen und Symptome:
Hydrocodon : Eine schwerwiegende Überdosierung mit Hydrocodon ist durch Atemdepression (eine Abnahme der Atemwegsrate und/oder das Gezeitenvolumen Cheyne-Stokes-Atmung Cyanose) gekennzeichnet. Bei schwerer Überdosierung kann der Kreislauf des Kreislaufs und des Todes auftreten.
Acetaminophen : Bei einer Überdosierung von Paracetamol: Dosisabhängig potenziell tödliche Lebernekrose ist die schwerwiegendste Nebenwirkung. Hypoglykämische Komas und Thrombozytopenie von Nieren -tubulären tubulären Nekrose können ebenfalls auftreten.
Frühe Symptome nach einer potenziell hepatotoxischen Überdosierung können: Übelkeit Erbrechen Diaphorese und allgemeines Unwohlsein. Klinische und Labornachweise einer Leber-Toxizität sind möglicherweise erst 48 bis 72 Stunden nach der Investition zu erkennen.
Bei Erwachsenen wurde die hepatische Toxizität selten mit akuten Überdosierungen von weniger als 10 Gramm oder Todesfällen mit weniger als 15 Gramm berichtet.
Behandlung : Eine einzelne oder multiple Überdosierung mit Hydrocodon und Paracetamol ist eine potenziell tödliche Überdosis Polydrug, und es wird eine Beratung mit einem regionalen Giftkontrollzentrum empfohlen.
Die sofortige Behandlung umfasst die Unterstützung der kardiorespiratorischen Funktion und Maßnahmen zur Verringerung der Arzneimittelabsorption. Erbrechen sollte mechanisch oder mit IPECAC -Sirup induziert werden, wenn der Patient wachsam ist (angemessene Rachen- und Kehlkopfreflexe). Die orale Aktivkohle (1 g/kg) sollte der Magenentleerung folgen. Die erste Dosis sollte von einem geeigneten kathartischen begleitet werden. Wenn wiederholte Dosen verwendet werden, kann der Kathartic nach Bedarf in alternativen Dosen enthalten sein. Hypotonie ist normalerweise hypovolämisch und sollte auf Flüssigkeiten reagieren. Vasopressoren und andere unterstützende Maßnahmen sollten wie angegeben eingesetzt werden. Vor der Magenspülung des unbewussten Patienten und bei Bedarf sollte ein Manschetten-Endo-Trachealrohr eingefügt werden und bei Bedarf zur Bereitstellung einer assistierten Atmung erforderlich sind.
Die Aufrechterhaltung einer angemessenen Lungenbelüftung sollte akribisch beachtet werden. In schweren Fällen von Vergiftungen können Peritonealdialyse oder vorzugsweise eine Hämodialyse in Betracht gezogen werden. Wenn eine Hyprothrombinämie aufgrund einer Überdosierung von Paracetamol auftritt, sollte Vitamin K intravenös verabreicht werden.
Naloxon Ein Betäubungsmittelantagonist kann die Atemdepression und das Koma mit Opioidüberdosierung umkehren. Naloxonhydrochlorid von 0,4 mg bis 2 mg ist parenteral verabreicht. Da die Wirkungsdauer von Hydrocodon die des Naloxons überschreiten kann, sollte der Patient unter kontinuierlicher Überwachung gehalten werden, und wiederholte Dosen des Antagonisten sollten nach Bedarf verabreicht werden, um eine angemessene Atmung aufrechtzuerhalten. Ein Betäubungsmittelantagonist sollte in Abwesenheit einer klinisch signifikanten Atemwegs oder kardiovaskulären Depressionen nicht verabreicht werden.
Wenn die Dosis von Paracetamol 140 mg/kg Acetylcystein überschritten hat, sollte so früh wie möglich verabreicht werden. Serumacetamol -Spiegel sollten erhalten werden, da die Vier- oder mehr Stunden nach der Einnahme die Acetamol -Toxizität vorhersagen. Warten Sie nicht die Ergebnisse des Acetamol -Assays, bevor die Behandlung initiiert wird. Leberenzyme sollten anfangs erhalten und in Intervallen von 24 Stunden wiederholt werden.
Nebenwirkungen von Phenazopyridin 200 mg
Methämoglobinämie über 30% sollte durch langsame intravenöse Verabreichung mit Methylenblau behandelt werden.
Die toxische Dosis für Erwachsene für Paracetamol beträgt 10 g.
Kontraindikationen für Lortab 10
Dieses Produkt sollte nicht an Patienten verabreicht werden, die zuvor eine Überempfindlichkeit gegenüber Hydrocodon oder Paracetamol aufweist.
Patienten, von denen bekannt ist, dass sie überempfindlich gegen andere Opioide sind, können eine Kreuzempfindlichkeit gegenüber Hydrocodon aufweisen.
Klinische Pharmakologie for Lortab 10
Hydrocodon is a semisynthetic narcotic analgesic Und antitussive with multiple actions qualitatively similar to those of codeine. Most of these involve the central nervous system Und smooth muscle. The precise mechanism of action of hydrocodone Und other opiates is not known although it is believed to relate to the existence of opiate receptors in the central nervous system. In addition to analgesia narcotics may produce Schläfrigkeit changes in mood Und mental clouding.
Die analgetische Wirkung von Paracetamol beinhaltet periphere Einflüsse, aber der spezifische Mechanismus ist bisher unbestimmt. Die antipyretische Aktivität wird durch hypothalamische Wärme regulierende Zentren vermittelt. Paracetamol hemmt die Prostaglandin -Synthetase. Therapeutische Dosen von Paracetamol haben vernachlässigbare Auswirkungen auf die Herz -Kreislauf- oder Atmungssysteme; Giftige Dosen können jedoch zu Kreislaufversagen und einer schnellen flachen Atmung führen.
Pharmakokinetik : Das Verhalten der einzelnen Komponenten wird unten beschrieben.
Hydrocodon : Nach einer oralen 10 mg -Dosis von Hydrocodon, die fünf erwachsenen männlichen Probanden verabreicht wurden, betrug die mittlere Spitzenkonzentration 23,6 ± 5,2 ng/ml. Die maximalen Serumspiegel wurden nach 1,3 ± 0,3 Stunden erreicht und die Halbwertszeit wurde mit 3,8 ± 0,3 Stunden bestimmt. Hydrocodon zeigt ein komplexes Metabolismusmuster, einschließlich O-Demethylierung N-Demethylierung und 6-Keto-Reduktion auf die entsprechenden 6-α- und 6-β-Hydroxymetaboliten.
Sehen Überdosierung Für Toxizitätsinformationen.
Acetaminophen : Acetamol wird schnell aus dem Magen -Darm -Trakt absorbiert und über die meisten Körpergewebe verteilt. Die Plasma-Halbwertszeit beträgt 1,25 bis 3 Stunden, kann jedoch durch Leberschäden und Überdosierung erhöht werden. Die Beseitigung von Paracetamol erfolgt hauptsächlich durch den Leberstoffwechsel (Konjugation) und die anschließende Nierenausscheidung von Metaboliten. Ungefähr 85% einer oralen Dosis treten innerhalb von 24 Stunden nach der Verabreichung am meisten im Urin auf, da das Glucuronid mit geringen Mengen anderer Konjugate und unveränderter Arzneimittel konjugiert ist.
Sehen Überdosierung Für Toxizitätsinformationen.
Patienteninformationen für Lortab 10
Hydrocodon like all narcotics may impair mental Und/or physical abilities required for the performance of potentially hazardous tasks such as driving a car or operating machinery; patients should be cautioned accordingly.
Alkohol und andere ZNS -Depressiva können eine additive ZNS -Depression bei diesem Kombinationsprodukt produzieren und sollten vermieden werden.
Hydrocodon may be habit-forming. Patients should take the drug only for as long as it is prescribed in the amounts prescribed Und no more frequently than prescribed.
Labortests : Bei Patienten mit schwerer Leber- oder Nierenerkrankungseffekte der Therapie sollten mit seriellen Leber- und/oder Nierenfunktionstests überwacht werden.