Die Informationen Auf Dieser Website Stellen Keine Medizinische Beratung Dar. Wir Verkaufen Nichts. Die Richtigkeit Der Übersetzung Wird Nicht Garantiert. Haftungsausschluss
Topische Alpha -Agonisten
Frieden
Drogenzusammenfassung
Was ist Mirvaso?
Das topische Gel (Brimonidin) Mirvaso ist ein alpha-adrenerge Agonist, der zur Behandlung von anhaltender (nicht transientem) Hautrötungen (Erythem) von Rosacea bei Erwachsenen verwendet wird.
Was sind Nebenwirkungen von Mirvaso?
Zu den häufigen Nebenwirkungen von Mirvaso gehören:
- Rötung
- spülen
- Brennen der Haut brennend
- Hautreizung
- warmes Hautgefühl
- Kribbeln
- Akne
- Hautschmerzen
- Rosacea
- verschwommenes Sehen
- Kopfschmerzen
- laufende Nase oder
- Nasal Stauung .
Hautrötung und Spülung können etwa 3 bis 4 Stunden nach dem Auftragen von Mirvaso Topical Gel auftreten.
Dosierung für Mirvaso
Tragen Sie einmal täglich eine Erbsengröße von Mirvaso auf jedes der fünf Bereiche des Gesichts auf: Zentral-Stirn-Kinnnase und jede Wange. Mirvaso Topisches Gel sollte reibungslos und gleichmäßig als dünne Schicht über das gesamte Gesicht aufgetragen werden, wodurch die Augen und Lippen vermieden werden.
Welche Drogensubstanzen oder Nahrungsergänzungsmittel interagieren mit Mirvaso?
Mirvaso kann mit Beta-Blockern Anti-Hypertensiven kardiale Glycoside Alkohol Barbiturate Opiate Sedatives Anästhetika oder Monoaminoxidase (MAO) -Hemmer (MAO) interagieren. Sagen Sie Ihrem Arzt alle Medikamente und Nahrungsergänzungsmittel, die Sie verwenden.
So verwenden Sie Ylang Ylang Oil
Mirvaso während der Schwangerschaft oder des Stillens
Sagen Sie Ihrem Arzt, wenn Sie schwanger sind oder vorhaben, schwanger zu werden, bevor Sie Mirvaso verwenden. Es ist nicht bekannt, ob es einen Fötus betrifft. Es ist nicht bekannt, ob Mirvaso in die Muttermilch übergeht. Das Stillen bei der Verwendung von Mirvaso wird nicht empfohlen.
Weitere Informationen
Unser Mirvaso (Brimonidin) Topisches Gel -Nebenwirkungen Arzneimittelzentrum bietet eine umfassende Übersicht über verfügbare Arzneimittelinformationen über die potenziellen Nebenwirkungen bei der Einnahme dieses Medikaments.
FDA -Drogeninformationen
- Drogenbeschreibung
- Indikationen
- Nebenwirkungen
- Warnungen
- Überdosis
- Klinische Pharmakologie
- Medikamentenhandbuch
Beschreibung für Mirvaso
Mirvaso (Brimonidin) Topisches Gel 0,33% enthält Brimonidintartrat einen adrenergen Alpha -Agonisten.
Die molekulare Formel von Brimonidin -Tartrat ist c 11 H 10 Brn 5 • C 4 H 6 O 6 . Es hat die folgende strukturelle Formel:
|
Chemisch Brimonidin-Tartrat ist 5-Brom-6- (2-Imidazolidinylideneamino) -L-Tartrat. Brimonidin -Tartrat hat ein Molekulargewicht von 442,24 und erscheint als weiß bis leicht gelblich.
Jedes Gramm Mirvaso (Brimonidin) topisches Gel 0,33% enthält 5 mg 5 mg Brimonidin -Tartrat (äquivalent zu 3,3 mg Brimonidin -freier Base) in einem weißen bis hellgelben Opaque -Gel -Gel -Glycer -Methylparaber -Methylparaber -Methylparen -Methylparen -Methylparen -Methylparen -Methylparen -Methylparen -Methylparen -Methylparen -Methylparen -Methylparen -Methylparen -Methylparen -Methylparen -Methylparen -Homolycer -Methylparen -Homolycer -Methylparen -Homolycer -Methylparen -Homolycer -Methylparen -Homolycer -Methylparen -Homolycer -Methylparen -Homolycer -Methylparen. Hydroxid und Titandioxid.
Verwendet für Mirvaso
Mirvaso (Brimonidin) Topisches Gel 0,33% ist ein adrenerge Alpha -Agonist, der für die topische Behandlung von persistierenden (nicht -transienten) Erythem an Rosacea bei Erwachsenen ab 18 Jahren oder älter angegeben ist.
Dosierung für Mirvaso
Tragen Sie eine erbsengroße Menge einmal täglich auf jedes der fünf Bereiche des Gesichts auf: Zentrale Stirnkinnnase pro Wange. Mirvaso Topisches Gel sollte reibungslos und gleichmäßig als dünne Schicht über das gesamte Gesicht aufgetragen werden, wodurch die Augen und Lippen vermieden werden.
Waschen Sie die Hände, nachdem Sie Mirvaso Topical Gel aufgetragen haben.
Mirvaso Topisches Gel ist nur für den topischen Gebrauch und nicht für die orale ophthalmische oder intravaginale Verwendung.
Wie geliefert
Dosierungsformen und Stärken
Mirvaso (Brimonidin) Topisches Gel 0,33% ist ein weißes bis hellgelb undurchsichtiges wässriges Gel. Jedes Gramm GEL enthält 5 mg Brimonidin -Tartrat, die 3,3 mg brimonidinfreier Basis entsprechen.
Lagerung und Handhabung
Mirvaso (Brimonidin) Topisches Gel 0,33% ist ein weißes bis hellgelb undurchsichtiges Gel, das in den folgenden Größen in einem laminierten Rohr oder einer pumpen mit einer untergeordneten Kappe geliefert wird:
30 Gramm Röhre NDC 0299-5980-30
30 Gramm Pumpe NDC 0299-5980-35
45 Gramm Tube NDC 0299-5980-45
Speichern Sie bei 20 ° C bis 25 ° C (68 ° F bis 77 ° F) Exkursionen zwischen 15 ° C und 30 ° C (59 ° F und 86 ° F) [siehe USP -kontrollierte Raumtemperatur].
Vermarktung von: Galderma Laboratories L.P. Fort Worth Texas 76177 USA. Überarbeitet: Juli 2016
Nebenwirkungen für Mirvaso
Die folgenden unerwünschten Arzneimittelreaktionen werden in anderen Abschnitten des Etiketts ausführlicher erörtert:
- Systemische Nebenwirkungen von alpha-2 adrenergen Agonisten [siehe Warnungen und VORSICHTSMASSNAHMEN ]
- Lokale vasomotorische Nebenwirkungen [siehe Warnungen und VORSICHTSMASSNAHMEN ]
- Überempfindlichkeit [siehe Warnungen und VORSICHTSMASSNAHMEN ]
Klinische Studien Erfahrung
Da klinische Studien unter stark unterschiedlichen Bedingungen durchgeführt werden, die in den klinischen Studien eines Arzneimittels beobachtet werden, können in den klinischen Studien eines anderen Arzneimittels nicht direkt mit den Raten verglichen werden und spiegeln möglicherweise nicht die in der Praxis beobachteten Raten wider.
In klinischen Studien wurden 1210 Probanden mirvaso -topischem Gel ausgesetzt. Insgesamt 833 Probanden wurden wegen persistierender (nicht transientes) Erythems mit Rosacea behandelt, und 330 davon wurden einmal täglich für 29 Tage in Fahrzeugen kontrollierte Versuche täglich behandelt.
Nebenwirkungen, die bei mindestens 1% der Probanden auftraten, die einmal täglich 29 Tage lang mit miRvaso -topischem Gel behandelt wurden und für die die Rate für miRvaso -topische Gel die Fahrzeugrate überschritt, sind in Tabelle 1 dargestellt.
Tabelle 1 - Nebenwirkungen in klinischen Studien von mindestens 1% der Probanden, die 29 Tage lang behandelt wurden
| Bevorzugter Begriff | Mirvaso Topisches Gel (n = 330) N (%) | Fahrzeuggel (n = 331) N (%) |
| Probanden mit mindestens einer unerwünschten Reaktionszahl (%) der Probanden | 109 (33) | 91 (28) |
| 12 (4%) | 3 (1%) | |
| 9 (3%) | 0 | |
| 5 (2%) | 2 (1%) | |
| 3 (1%) | 1 ( <1%) | |
| 3 (1%) | 1 ( <1%) | |
| 3 (1%) | 0 | |
| 2 (1%) | 1 ( <1%) | |
| 2 (1%) | 1 ( <1%) | |
| 2 (1%) | 0 | |
| 2 (1%) | 0 | |
| 2 (1%) | 0 |
Open-Label-Langzeitstudie
Eine Open-Label-Studie über mirvaso-topisches Gel, die einmal täglich für bis zu einem Jahr angewendet wurde, wurde bei Probanden mit anhaltendem (nicht transienten) Gesichtserythem von Rosacea durchgeführt. Die Probanden durften andere Rosacea -Therapien verwenden. Insgesamt 276 Probanden haben mindestens ein Jahr lang topisches Gel angewendet. Die häufigsten unerwünschten Ereignisse (≥ 4%der Probanden) für die gesamte Studie waren die Spülung (10%) erythem (8%) Rosacea (5%) Nasopharyngitis (5%) Hautbrennemerkennung (4%) erhöhte den intraokularen Druck (4%) und Kopfschmerzen (4%).
Couchgras
Allergische Kontaktdermatitis
Allergische Kontaktdermatitis gegen Mirvaso Topical Gel wurde bei etwa 1% der Probanden im gesamten klinischen Entwicklungsprogramm berichtet. Zwei Probanden wurden Patch -Tests mit individuellen Produktzutaten unterzogen. Ein Subjekt war empfindlich gegenüber Brimonidin -Tartrat, und ein Thema war empfindlich gegenüber Phenoxyethanol (ein Konservierungsmittel).
Nachmarkterfahrung
Die folgenden nachteiligen Reaktionen wurden während der Verwendung von Mirvaso-topischen Gel nach der Anbietung identifiziert. Da diese Reaktionen freiwillig aus einer Population unsicherer Größe berichtet werden, ist es nicht immer möglich, ihre Häufigkeit abzuschätzen oder eine kausale Beziehung zur Arzneimittelexposition herzustellen.
Herz -Kreislauf -Störungen: Bradykardie -Hypotonie (einschließlich orthostatischer Hypotonie)
Störungen des Immunsystems: Angioödem Überempfindlichkeit Lippenschwellung geschwollen
Störungen des Nervensystems: Schwindel
Haut und subkutane Störungen: Blässe
Wechselwirkungen zwischen Arzneimitteln für Mirvaso
Anti-Hypertensive/Herzglykoside
Alpha-2 agonists as a class may reduce blood pressure. Caution in using drugs such as beta-blockers anti-hypertensives and/or cardiac glycosides is advised.
ZNS -Depressiva
Obwohl spezifische Arzneimittel-Drogen-Wechselwirkungenstudien mit miRvaso-topischem Gel nicht durchgeführt wurden, sollten die Möglichkeit einer additiven oder potenzierenden Wirkung mit ZNS-Depressiva (Alkohol Barbiturate Opiate Sedative oder Anästhetika) berücksichtigt werden.
Monoaminoxidase -Inhibitoren
Monoaminoxidase (MAO) -Hemmer können theoretisch den Metabolismus von Brimonidin stören und möglicherweise zu einem erhöhten systemischen Nebeneffekt wie Hypotonie führen. Bei Patienten, die MAO -Inhibitoren einnehmen, ist Vorsicht geboten, die den Stoffwechsel und die Aufnahme zirkulierender Amine beeinflussen können.
Warnungen für Mirvaso
Eingeschlossen als Teil der 'VORSICHTSMASSNAHMEN' Abschnitt
Vorsichtsmaßnahmen für Mirvaso
Potenzierung der Gefäßinsuffizienz
Mirvaso Topisches Gel sollte bei Patienten mit zerebraler Depression oder koronarer Insuffizienz von Raynauds Phänomen orthostatischer Hypotonie -Thrombiktitis -SCLERODERMI oder SJÖGREN -SYNDROM mit Vorsicht eingesetzt werden.
Schwere Herz -Kreislauf -Erkrankungen
Adrenerge Alpha-2-Agonisten können den Blutdruck senken. Mirvaso Topisches Gel sollte bei Patienten mit schweren oder instabilen oder unkontrollierten Herz -Kreislauf -Erkrankungen mit Vorsicht eingesetzt werden.
Schwerwiegende Nebenwirkungen nach Einnahme von Mirvaso Topical Gel
Zwei kleine Kinder eines Subjekts in einer klinischen Studie hatten nach versehentlichem Mirvaso -topischem Gel schwerwiegende Nebenwirkungen. Nebenwirkungen von einem oder beiden Kindern umfassten Lethargie -Atemnot mit apnischen Episoden (die Intubation erfordert) Sinus Bradykardie Verwirrung psychomotorischer Hyperaktivität und Diaphorese. Beide Kinder wurden über Nacht ins Krankenhaus eingeliefert und am folgenden Tag ohne Folgen entlassen.
Halten Sie Mirvaso topisches Gel außerhalb der Reichweite der Kinder.
Systemische Nebenwirkungen von Alpha 2-adrenergen Agonisten
Nach dem Stempeln wurden Fälle von Bradykardienhypotonie (einschließlich orthostatischer Hypotonie) und Schwindel berichtet. Einige Fälle erforderten einen Krankenhausaufenthalt. In einigen Fällen handelte es sich um die Anwendung von miRVaso -topischem Gel in nicht genehmigten Dosierungsschemata und für nicht genehmigte Indikationen, einschließlich der Anwendung von miRvaso -topischem Gel nach Laserverfahren. Vermeiden Sie es, Mirvaso -topisches Gel auf gereizte Haut oder offene Wunden anzuwenden.
Lokale vasomotorische Nebenwirkungen
Erythem
Einige Probanden in den klinischen Studien stellten die Verwendung von mirvaso -topischem Gel wegen Erythems ab. Einige Probanden in den klinischen Studien berichteten über ein Rebound -Phänomen, bei dem das Erythema im Vergleich zum Schweregrad zu Studienbeginn schlechter zurückkehrte. Erythema schien sich nach Absetzen von Mirvaso Topical Gel zu lösen [siehe Nebenwirkungen ].
Der Behandlungseffekt von miRvaso -topischem Gel kann Stunden nach der Anwendung abnehmen.
Aus den Berichten nach dem Stempel haben einige Patienten Erytheme mit Bereichen des Gesichts erlebt, die zuvor nicht von Erythem und in Bereichen (z. B. Hals und Brust) außerhalb der Behandlungsstellen nicht betroffen waren.
Spülen
Einige Probanden in den klinischen Studien stellten die Verwendung von mirvaso -topischem Gel wegen Spülung ab.
In den klinischen Studien traten bei einigen Probanden, die mit Mirvaso Topical Gel behandelt wurden, bei einigen Probanden auf. Der Einsetzen des Spülens relativ zur Anwendung von mirvaso -topischem Gel im Bereich von ca. 30 Minuten bis zu mehreren Stunden [siehe Nebenwirkungen ]. Spülen appeared to resolve after discontinuation of Frieden topical gel.
Aus Nachmarktberichten haben einige Patienten eine erhöhte Häufigkeit des Spülens und/oder die Erythem -Tiefe mit dem Spülen erlebt. Zusätzlich berichteten einige Patienten über einen neuen Beginn des Spülens.
Blässe und übermäßiges Aufhellen
Aus den Berichten nach dem Stempeln haben einige Patienten nach der Behandlung mit Mirvaso Topical Gel an oder außerhalb der Anwendungsstelle eine übermäßige Aufhellung aufgenommen.
Überempfindlichkeit
Allergische Kontaktdermatitis wurde in den klinischen Studien für mirvaso -topisches Gel berichtet [siehe Nebenwirkungen ].
Die Ereignisse berichteten über das Vermarktung von Mirvaso topischem Gel, umfassen Angioödem -Halsstraffungen der Zungenschwellung und Urtikarial [siehe Nebenwirkungen ]. Institute appropriate therapy Und discontinue Frieden topical gel if clinically significant hypersensitivity reaction occurs.
Patientenberatungsinformationen
Siehe von der FDA zugelassene Patientenkennzeichnung ( Patienteninformationen und Anweisungen zur Verwendung ) Patienten, die mirvaso -topisches Gel verwenden, sollten die folgenden Informationen und Anweisungen erhalten:
- Dieses Medikament soll wie vom Arzt angewiesen werden.
- Es ist nur für den externen Gebrauch.
- Mirvaso Topisches Gel sollte nicht auf gereizte Haut oder offene Wunden angewendet werden.
- Vermeiden Sie den Kontakt mit den Augen und Lippen.
- Die Patienten sollten ihre Hände sofort nach der Anwendung des Medikaments waschen.
- Einige Patienten, die mirvaso -topisches Gel verwenden, können Erythem -Spülung oder übermäßige Aufhellung erleben.
- Patienten sollten ihrem Arzt nachteilige Reaktionen melden.
- Außerhalb der Reichweite von Kindern.
Nichtklinische Toxikologie
Karzinogenese -Mutagenese -Beeinträchtigung der Fruchtbarkeit
Karzinogenese
In einer 21-monatigen oralen (Diät-) Mauskarzinogenitätsstudie und einer 24-monatigen oralen (Diät-) Rattenkarzinogenitätsstudie wurden bei Mäusen mit oralen Dosen von Brimonidin-Tartrat bis 2,5 mg/kg/tagsweise bei oralen Dosen von Brimonidin-Tartrat bis 1 mg/kg/tagsweise keine medikamentenbedingten Neoplasmen beobachtet.
In einer dermalen Rattenkarzinogenitätsstudie mit miRvaso-topischem Gel Brimonidin-Tartrat wurde Wistar-Ratten in topischen Dosen von 0,9 (NULL,03% Gel) verabreicht, 1,8 (NULL,06% Gel) und 5,4 mg/kg/Tag (NULL,18% Gel) bei Männern und 5,4 (NULL,18%) und 5,4 (NULL,18%) während der Tage und 5,4 (NULL,18%) während der Tage 1-3/3/1. (NULL,36% Gel) danach und 60 (2% Gel) während der Tage 1-343/21,6 mg/kg/Tag (NULL,72% Gel) danach bei Frauen einmal täglich für 24 Monate. In dieser Studie wurden keine medikamentenbedingten Neoplasien beobachtet.
In einer 12-monatigen dermalen Photo-Karkinogenitätsstudie wurden topische Dosen von 0% (mirvaso-topisches Gelfahrzeug) 0,18% 1% und 2% Brimonidin-Tartrat-Gel an haarlose Albino-Mäuse einmal täglich fünf Tage pro Woche verabreicht. In dieser Studie wurden keine medikamentenbedingten Nebenwirkungen beobachtet. Die Ergebnisse dieser Studie legen nahe, dass die topische Behandlung mit miRvaso-topischem Gel die Foto-Karzinogenese nicht verbessern würde.
Mutagenese
Brimonidintartrat war in einer Reihe von nicht mutagen oder klastogen in vitro Und vergeblich Studien mit dem AMES-Test Ein chromosomaler Aberrationstest in chinesischen Hamster-Ovary (CHO) -Zellen und drei Studien an CD1-Mäusen (ein Wirt-vermittelter Assay A Cytogenetic Study und A dominant tödlicher Assay).
Beeinträchtigung der Fruchtbarkeit
Fortpflanzungs- und Fruchtbarkeitsstudien an Ratten mit Brimonidintartrat zeigten keine nachteiligen Auswirkungen auf die männliche oder weibliche Fruchtbarkeit bei oralen Dosen von bis zu 1 mg/kg/Tag.
Verwendung in bestimmten Populationen
Schwangerschaft
Schwangerschaft Category B.
Es gibt keine angemessenen und gut kontrollierten Studien zum mirvaso-topischen Gel bei schwangeren Frauen. In Tierstudien überquerte Brimonidin die Plazenta und trat in begrenztem Maße in die fetale Kreislauf ein. Mirvaso Topisches Gel sollte während der Schwangerschaft nur dann verwendet werden, wenn der potenzielle Nutzen das potenzielle Risiko für den Fötus rechtfertigt.
Cyanocobalamin 1000 mcg/ml Injektion
Das Brimonidin -Tartrat war bei oralen Dosen von bis zu 2,5 mg/kg/Tag bei schwangeren Ratten während der Schwangerschaftstage 6 bis 15 und 5 mg/kg/Tag bei schwangeren Kaninchen während der Schwangerschaftstage 6 bis 18 nicht teratogen.
Pflegemütter
Es ist nicht bekannt, ob Brimonidin -Tartrat in Muttermilch ausgeschieden wird, obwohl in Tiermilch gezeigt wurde, dass Brimonidin -Tartrat in Muttermilch ausgeschieden wird. Aufgrund des Potenzials für schwerwiegende Nebenwirkungen von Mirvaso Topical Gel bei Säuglingen sollte eine Entscheidung getroffen werden, ob die Pflege eingestellt oder das Medikament unter Berücksichtigung der Bedeutung des Arzneimittels für die Mutter eingestellt werden soll.
Pädiatrische Verwendung
Halten Sie Mirvaso topisches Gel außerhalb der Reichweite von Kindern. Es wurden schwerwiegende Nebenwirkungen von zwei Kindern eines Subjekts in einer klinischen Studie erlebt, die versehentlich Mirvaso topisches Gel aufgenommen haben [siehe Warnungen und VORSICHTSMASSNAHMEN ].
Sicherheit und Wirksamkeit bei pädiatrischen Patienten wurden nicht festgestellt.
Geriatrische Verwendung
Einhundertfünfte Probanden ab 65 Jahren wurden in klinische Studien mit Mirvaso Topical Gel einbezogen. Es wurden keine allgemeinen Unterschiede in der Sicherheit oder Wirksamkeit zwischen den Probanden ≥ 65 Jahre und jüngeren erwachsenen Probanden beobachtet. Klinische Studien mit mirvaso -topischem Gel umfassten nicht eine ausreichende Anzahl von Probanden ab 65 Jahren und mehr, um festzustellen, ob sie unterschiedlich von jüngeren Probanden reagieren.
Überdosierungsinformationen für Mirvaso
Bei Erwachsenen mit mirvaso -topischem Gel sind keine Informationen zur Überdosis verfügbar.
Es wurde berichtet, dass orale Überdosierungen anderer alpha-2-adrenerge Agonisten Symptome wie Hypotonie-Asthenie-Erbrechen-Lethargie-Sedierung Bradykardie Arrhythmien Miosis Apnoe Hypotonie Hypothermie Atemdepression und Annahme verursachen.
Die Behandlung einer oralen Überdosierung umfasst eine unterstützende und symptomatische Therapie; Ein Patentländer sollte aufrechterhalten werden.
Kontraindikationen für Mirvaso
Mirvaso Topical Gel ist bei Patienten, bei denen eine Überempfindlichkeitsreaktion auf jede Komponente aufgetreten ist, kontraindiziert. Zu den Reaktionen gehörten Angioödeme Urticarial- und Kontaktdermatitis [siehe Warnungen und VORSICHTSMASSNAHMEN Und Nebenwirkungen ].
Klinische Pharmakologie for Mirvaso
Wirkungsmechanismus
Brimonidin ist ein relativ selektiver Alpha-2-adrenerge Agonist. Die topische Anwendung von Mirvaso Topical Gel kann das Erythem durch direkte Vasokonstriktion verringern.
Pharmakokinetik
Absorption
Die Absorption von Brimonidin aus dem topischen Gel miRvaso wurde in einer klinischen Studie bei 24 erwachsenen Probanden mit Gesichtserythem im Zusammenhang mit Rosacea bewertet. Alle eingeschriebenen Probanden erhielten 29 Tage lang täglich tägliche topische Anwendung von Mirvaso Topical Gel 1 Gramm auf das gesamte Gesicht. Pharmakokinetische Bewertungen wurden am Tag 15 und Tag 29 von Tag 29 durchgeführt. Die mittlere Plasma-Maximumskonzentration (Cmax) und die Fläche unter der Konzentrationszeitkurve (AUC) waren am Tag 15 am höchsten mit Cmax- und AUC-Werten (± Standardabweichung) von 46 ± 62 pg/ml und 417 ± 264 pG.HR/ML Die systemische Arzneimittelexposition war am 29. Tag geringfügig niedriger, was auf keine weitere Arzneimittelakkumulation hinweist.
Stoffwechsel
Brimonidin wird von der Leber ausgiebig metabolisiert.
Ausscheidung
Die Ausscheidung im Urin ist der Hauptweg der Eliminierung von Brimonidin und seinen Metaboliten.
Klinische Studien
Das mirvaso-topische Gel wurde zur Behandlung von mittelschweren bis schweren persistenten (nicht-transienten) Gesichtserythem von Rosacea in zwei randomisierten doppelblindkontrollierten klinischen Studien bewertet, die im Design identisch waren. Die Versuche wurden bei 553 Probanden ab 18 Jahren durchgeführt, die 4 Wochen lang einmal täglich mit mirvaso -topischem Gel oder Fahrzeug behandelt wurden. Insgesamt 99% der Probanden waren kaukasisch und 76% weiblich. Der Schweregrad der Baseline-Erkrankung wurde unter Verwendung einer 5-Punkte-Skala für klinische Erytheme Assessment (CEA) und einer PSA-Skala (5-Punkte-Patienten-Selbstbewertung) (PSA) bewertet, auf der Probanden auf beiden Skalen entweder mittelschwer oder schwerwiegend bewerteten.
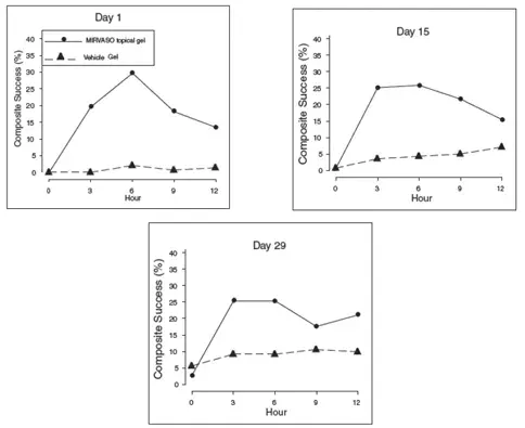
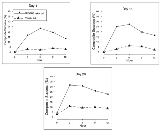
Der primäre Wirksamkeitsendpunkt in beiden zentralen Studien war der 2-Grad-Verbunderfolg als Anteil der Probanden mit einer 2-Grad-Verbesserung sowohl bei CEA als auch bei PSA, gemessen am Tag 3 6 9 und 12 am Tag 29. Tabelle 2 zeigt die Wirksamkeitsergebnisse. Zusätzlich zum Tag 29 wurde die Wirksamkeit am 15. und Tag 1 bewertet und die Ergebnisse in den Abbildungen 1 und 2 für die Studien 1 bzw. 2 dargestellt.
Tabelle 2: Zusammenfassung des 2-Grad-Komposit-Erfolgs am Tag 29
| Erfolg | Studie 1 | Studie 2 | ||
| Mirvaso Topisches Gel (n = 129) | Fahrzeuggel (n = 131) | Mirvaso Topisches Gel (n = 148) | Fahrzeuggel (n = 145) | |
| Stunde 3 | 31% | 11% | 25% | 9% |
| Stunde 6 | 30% | 10% | 25% | 9% |
| Stunde 9 | 26% | 10% | 18% | 11% |
| Stunde 12 | 23% | 9% | 22% | 10% |
| 2-Grad-Verbund erfolgreich: 2-Grad-Verbesserung der CEA und 2-Grad-Verbesserung der PSA. |
Abbildung 1: 2-Grad-Verbund erfolgreich zu Stunde und Tag für Studie 1
|
Abbildung 2: 2-Grad-Verbund erfolgreich zu Stunde und Tag für Studie 2 für Studie 2
Hotelbuchungsseiten
|
Patienteninformationen für Mirvaso
Frieden
(Mer-vay-soe)
(Brimonidin) Topisches Gel
Wichtige Informationen: Frieden® topical gel is for use on the face only. Do not use Frieden topical gel in your eyes mouth or vagina.
Halten Sie Mirvaso topisches Gel außerhalb der Reichweite der Kinder.
Wenn jemand besonders ein Kind versehentlich Mirvaso Topical Gel schluckt, haben sie möglicherweise schwerwiegende Nebenwirkungen und müssen in einem Krankenhaus behandelt werden. Holen Sie sich sofort medizinische Hilfe, wenn Sie ein Kind oder jemand anderes Mirvaso Topical Gel schluckt und eines dieser Symptome hat:
- Mangel an Energieschuhen Atmen oder Störungen eines langsamen Herzschlags Verwirrung schwitzen Unruhe Muskelkrämpfe oder zucken.
Was ist Mirvaso Topical Gel?
Frieden topical gel is a prescription medicine that is used on your skin (topical) to treat facial Rötung due to Rosacea that does not go away (persistent) in adults who are 18 years of age or older. It is not known if Frieden topical gel is safe Und effective in children.
Wer sollte Mirvaso Topical Gel nicht verwenden?
Verwenden Sie Mirvaso Topical Gel nicht, wenn Sie haben eine schwerwiegende allergische Reaktion auf einen der Inhaltsstoffe in Mirvaso Topical Gel. Das Ende dieser Patientenblätterblätterblatt für eine Liste von Zutaten in Mirvaso Topical Gel finden Sie auf. Sehen Sie, was sind die möglichen Nebenwirkungen von Mirvaso Topical Gel?
Was soll ich meinem Arzt sagen, bevor ich Mirvaso Topical Gel benutze?
Bevor Sie Mirvaso Topical Gel verwenden, informieren Sie Ihren Arzt von all Ihren medizinischen Erkrankungen, einschließlich dessen, wenn Sie:
- Depression haben
- Habe Herz- oder Blutgefäßprobleme
- Schwindel- oder Blutdruckprobleme haben
- Probleme mit der Durchblutung haben oder einen Schlaganfall hatten
- habe trockene Mund- oder Sjögren -Syndrom
- Haut straffen oder Sklerodermie haben
- Habe Raynauds Phänomen
- haben gereizte Haut oder offene Wunden
- Planen Sie, Laserverfahren zu haben
- sind schwanger oder planen, schwanger zu werden. Es ist nicht bekannt, ob Mirvaso Topical Gel Ihrem ungeborenen Baby schadet.
- stillen. Es ist nicht bekannt, ob Mirvaso Topical Gel in Ihre Muttermilch übergeht. Sie und Ihr Arzt sollten entscheiden, ob Sie Mirvaso Topical Gel oder Stillfeed verwenden. Sie sollten nicht beides tun.
Erzählen Sie Ihrem Arzt von all den Medikamenten, die Sie einnehmen einschließlich verschreibungspflichtiger und rezeptfreier Medikamente Hautprodukte Vitamine und pflanzliche Nahrungsergänzungsmittel. Die Verwendung von Mirvaso -topischem Gel mit bestimmten anderen Medikamenten kann sich gegenseitig beeinflussen und schwerwiegende Nebenwirkungen verursachen.
Wie soll ich Mirvaso Topical Gel verwenden?
In den detaillierten Anweisungen für die Verwendung, die mit Ihrem Mirvaso Topical Gel Rohr oder Ihrer Pumpe geliefert wird, finden Sie Informationen darüber, wie Sie das mirvaso -topische Gel korrekt anwenden können.
- Verwenden Sie Mirvaso Topical Gel genau, wie es Ihr Arzt Ihnen sagt. Verwenden Sie nicht mehr mirvaso -topisches Gel als vorgeschrieben. Rufen Sie Ihren Arzt an, wenn Sie sich nicht sicher sind.
- Sie sollten Mirvaso Topical Gel auf gereizte Haut oder offene Wunden nicht auftragen.
- Frieden topical gel is for use on your skin only. Do not use Frieden topical gel in your eyes mouth or vagina. Avoid contact with your lips Und eyes.
Was sind die möglichen Nebenwirkungen von Mirvaso Topical Gel?
Frieden topical gel may cause serious side effects including:
- Sehen Sie wichtige Informationen zu Beginn dieser Blätterblattinformationsblätter für Patienteninformationen an.
- Probleme mit der Durchblutung. Menschen, die Mirvaso Topical Gel verwenden, können Probleme mit der Durchblutung haben, einschließlich einer langsamen Herzfrequenz Niedriger Blutdruck Und Schwindel. These problems may sometimes be serious Und lead to hospitalization. See Was soll ich meinem Arzt sagen, bevor ich Mirvaso Topical Gel benutze?
- Schwerwiegende allergische (Überempfindlichkeit) Reaktionen sind bei Menschen passiert, die Mirvaso Topical Gel verwenden. Hören Sie auf, Mirvaso Topical Gel zu verwenden, und gehen Sie sofort in die nächstgelegene Notaufnahme des Krankenhauses, wenn Sie die folgenden Anzeichen und Symptome einer schwerwiegenden allergischen Reaktion haben, einschließlich:
- Schwellung Ihrer Gesichtslippen Zunge oder Hals
- Probleme beim Atmen
- Nesselsucht
Die häufigsten Nebenwirkungen von Mirvaso Topical Gel sind:
- Rötung
- spülen
- Brennen der Haut brennend
- Hautreaktionen (Kontaktdermatitis).
Die Hautrötung ist häufig, nachdem Sie Mirvaso Topical Gel aufgetragen haben, und kann schlechter sein als zuvor, als Sie es angewendet haben. Sie können auch Rötungen in Bereichen Ihres Gesichts entwickeln, die nicht von Rosacea sowie auf Hals und Brust betroffen waren.
Die Hautspülung ist häufig und kann nach dem Auftragen von Mirvaso Topical Gel auftreten. In einigen Fällen kann das Spülen neu sein kann häufiger oder Sie können eine erhöhte Rötung durch Spülen haben.
Hellfarbene Haut oder sehr weiße Haut (übermäßiges Aufhellung) kann im oder außerhalb des behandelten Bereichs auftreten.
die Nebenwirkungen der Patchgeburütenkontrolle
Sagen Sie Ihrem Arzt, wenn Sie eine Hautrötung und blassfarbene Haut erhalten, die für Sie unangenehm ist.
Dies sind nicht alle möglichen Nebenwirkungen von Mirvaso -topischem Gel.
Rufen Sie Ihren Arzt an, um medizinische Beratung zu Nebenwirkungen zu erhalten. Sie können die FDA bei 1-800-FDA-1088 Nebenwirkungen melden.
Allgemeine Informationen über den sicheren und effektiven Einsatz von Mirvaso Topical Gel
Medikamente werden manchmal für andere Zwecke als die in einem Patienteninformationsblatt aufgeführten Zwecke verschrieben. Sie können Ihren Apotheker oder Arzt um Informationen über Mirvaso Topical Gel bitten, das für Angehörige der Gesundheitsberufe geschrieben ist. Verwenden Sie Mirvaso Topical Gel nicht für eine Erkrankung, für die es nicht verschrieben wurde. Geben Sie Mirvaso kein topisches Gel an andere Menschen, auch wenn sie die gleichen Symptome haben, die Sie haben. Es kann ihnen schaden.
Was sind die Zutaten in Mirvaso Topical Gel?
Wirkstoff: Brimonidin
Inaktive Inhaltsstoffe: Carbomer -Homopolymer -Typ -B -Glycerin -Methylparaben -Phenoxyethanol -Propylenglykol gereinigtes Wasser Natriumhydroxid Titaniumdioxid.