Die Informationen Auf Dieser Website Stellen Keine Medizinische Beratung Dar. Wir Verkaufen Nichts. Die Richtigkeit Der Übersetzung Wird Nicht Garantiert. Haftungsausschluss



MS-Contin

Drogenzusammenfassung

Was ist MS Contin?

MS Contin (Morphinsulfat) ist ein Betäubungsmittelschmerzablastung, der zur Behandlung mittelschwerer bis starker Schmerzen verschrieben wird. Frau Contin ist die generisches Form von Morphium.

Was sind Nebenwirkungen von MS Contin?

MS-Contin kann schwerwiegende Nebenwirkungen verursachen, einschließlich:



  • langsame Herzfrequenz
  • Seufzen
  • schwache oder flache Atmung
  • Atmen, der während des Schlafes aufhört
  • Brustschmerzen
  • schnelle oder pochende Herzschläge
  • Extreme Schläfrigkeit
  • Benommenheit
  • Brechreiz
  • Erbrechen
  • Appetitverlust
  • Schwindel
  • Verschlechterung von Müdigkeit und
  • Schwäche

Holen Sie sich sofort medizinische Hilfe, wenn Sie eines der oben aufgeführten Symptome haben.



Häufige Nebenwirkungen von MS Contin sind:

  • Verstopfung
  • Durchfall
  • Benommenheit
  • Kopfschmerzen
  • Schwindel
  • Spinngefühl
  • Schläfrigkeit
  • Brechreiz
  • Erbrechen
  • Magenschmerzen
  • Appetitverlust
  • Gewichtsverlust
  • Schwitzen
  • Spülung (Wärmerötung oder prickelndes Gefühl)
  • Speicherprobleme
  • Schlafprobleme (Schlaflosigkeit oder seltsame Träume)
  • Depression
  • Angst
  • Unruhe und
  • Euphorie.

Sagen Sie Ihrem Arzt, wenn Sie ernsthafte Nebenwirkungen von MS Contin haben, einschließlich:



  • Veränderungen für geistige/stimmige Veränderungen (z. B. Halluzinationen der Agitation Verwirrung)
  • schwere Magen-/Bauchschmerzen oder
  • Schwierigkeiten zu urinieren.

Suchen Sie medizinische Versorgung oder rufen Sie auf einmal 911 an, wenn Sie die folgenden schwerwiegenden Nebenwirkungen haben:

  • Schwerwiegende Augensymptome wie plötzlicher Sehverlust verschwommenes Sehen Tunnel Sehschmerzen oder Schwellungen oder Halos in der Umgebung des Lichts;
  • Schwerwiegende Herzsymptome wie schnelle unregelmäßige oder pochende Herzschläge; Flattern in deiner Brust; Kurzatmigkeit; und plötzliche Schwindel -Benommenheit oder ohnmächtig;
  • Starke Kopfschmerzen Verwirrung verwirrt Spracharm oder Bein Schwäche Schwierigkeiten beim Verlust der Koordination unstabil sehr steifes Muskeln hoher Fieber problemlos Schwitzen oder Zittern.

Dieses Dokument enthält nicht alle möglichen Nebenwirkungen und andere können auftreten. Wenden Sie sich an Ihren Arzt nach zusätzlichen Informationen zu Nebenwirkungen.

Dosierung für MS Contin

Initiieren Sie die Behandlung mit MS Contin mit einer Dosis von 15 mg Tabletten alle 8 oder 12 Stunden oral.

Welche Medikamentenstoffe oder Nahrungsergänzungsmittel interagieren mit MS Contin?

Interaktionen und Warnungen für Arzneimittel umfassen: Vermeiden der gleichzeitigen Verwendung anderer Depressiva des Zentralnervensystems, einschließlich Beruhigungsmittel für Beruhigungsmittel oder Hypnotika, die Phenothiazine -Beruhigungsmittel und Alkohol, da diese additiven Depressiva -Wirkungen hervorrufen können.

MS Contining während der Schwangerschaft und Stillen

MS Contin (Morphinsulfat) sollte nur bei schwangeren Frauen angewendet werden, wenn die Notwendigkeit von MS Contin (Morphinsulfat) das potenzielle Risiko für den Fötus deutlich überwiegt. Normalerweise sollte keine Pflege durchgeführt werden, während ein Patient MS Contin (Morphinsulfat) erhält, da Morphin in die Milch ausgeschieden werden kann. Dieses Medikament kann zu Entzugsreaktionen führen.

Weitere Informationen

Unsere MS Contin (Morphinsulfat) -Seit Wirkstoffe Wirkungsmittel sind eine umfassende Übersicht über die verfügbaren Arzneimittelinformationen über die potenziellen Nebenwirkungen bei der Einnahme dieses Medikaments.

FDA -Drogeninformationen

WARNUNG

Suchtmissbrauch und Missbrauch; Lebensbedrohliche Atemdepression; Zufällige Einnahme; Neugeborenen -Opioid -Entzugssyndrom; und Risiken durch gleichzeitige Verwendung mit Benzodiazepinen oder anderen ZNS -Depressiva

Suchtmissbrauch und Missbrauch

Frau Contin® setzt Patienten und andere Benutzer dem Risiko von Missbrauch und Missbrauch von Opioidsucht aus, die zu Überdosierung und Tod führen können. Bewerten Sie das Risiko jedes Patienten vor der Verschreibung von MS Contin und überwachen alle Patienten regelmäßig auf die Entwicklung dieser Verhaltensweisen und Bedingungen VORSICHTSMASSNAHMEN ].

Lebensbedrohliche Atemdepression

Eine schwerwiegende lebensbedrohliche oder tödliche Atemdepression kann bei der Verwendung von MS Contin auftreten. Überwachung auf Atemdepression, insbesondere während der Einleitung von MS -Kontinieren oder nach einer Dosiserhöhung. Weisen Sie die Patienten an, MS -Kontinentabletten Ganzes zu schlucken. Das zerkleinerte Kauen oder Auflösen von MS -Kontinentabletten kann eine schnelle Freisetzung und Absorption einer potenziell tödlichen Morphinendosis verursachen [siehe Warnungen und VORSICHTSMASSNAHMEN ].

Zufällige Einnahme

Zufällige Einnahme von selbst einer Dosis von MS -Kontinieren, insbesondere durch Kinder, kann zu einer tödlichen Überdosis von Morphin führen [siehe Warnungen und VORSICHTSMASSNAHMEN ].

Neugeborenen -Opioid -Entzugssyndrom

Eine längere Anwendung von MS-Kontinieren während der Schwangerschaft kann zu einem Opioid-Entzug-Syndrom für Neugeborene führen, das möglicherweise lebensbedrohlich, wenn nicht anerkannt und behandelt wird und die von Neonatologie-Experten entwickelte Protokolle gemäß den Protokollen erforderlich ist. Wenn Opioidkonsum für einen längeren Zeitraum bei einer schwangeren Frau erforderlich ist VORSICHTSMASSNAHMEN ].

Risiken aus der gleichzeitigen Verwendung mit Benzodiazepinen oder anderen ZNS -Depressiva

Ein gleichzeitiger Einsatz von Opioiden mit Benzodiazepinen oder anderen Zentralnervensystemen (ZNS) Depressiva einschließlich Alkohol kann zu einer tiefgreifenden Atemwirtdepression und Tod führen [siehe Warnungen und Warnungen und VORSICHTSMASSNAHMEN Wechselwirkungen mit Arzneimitteln ].

  • Reserve gleichzeitig die Verschreibung von MS Contin und Benzodiazepinen oder anderen ZNS -Depressiva für uns e bei Patienten, für die alternative Behandlungsoptionen unzureichend sind.
  • Begrenzen Sie die DOS -Altersgruppen und -dauern auf das erforderliche Minimum.
  • Folgen Sie den Patienten für Anzeichen und Symptome einer Atemdepression und Sedierung.

Beschreibung für MS-Contin

MS Contin (Morphinsulfat Extended Release Tabletten) dient zur oralen Verwendung und enthält Morphinsulfat und einen Opioidagonisten.

Jedes Tablet enthält die folgenden inaktiven Inhaltsstoffe, die allen Stärken gemeinsam sind: Cetostarylalkoholhydroxyethylcellulose -Hypromellose -Magnesium -Stearat -Polyethylenglykol -Talk und Titaniumdioxid.

Die Tablettenstärken beschreiben die Menge an Morphin pro Tablette als pentahydratisiertes Sulfatsalz (Morphinsulfat).

Die 15 mg Tabletten enthalten auch: FD

Die 30 mg Tabletten enthalten auch: D.

Die 60 mg Tabletten enthalten auch: D.

Die 100 mg Tabletten enthalten ebenfalls: schwarzes Eisenoxid

Die 200 mg Tabletten enthalten auch: D.

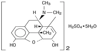
Morphinsulfat ist ein geruchloses weißes kristallines Pulver mit einem bitteren Geschmack. Es hat eine Löslichkeit von 1 in 21 Teilen Wasser und 1 zu 1000 Teilen Alkohol, ist jedoch in Chloroform oder Ether praktisch unlöslich. Der Octanol: Der Wasserpartitionskoeffizient von Morphin beträgt 1,42 bei physiologischem pH und der PK für den tertiären Stickstoff (hauptsächlich ionisiert bei pH 7,4). Sein Molekulargewicht beträgt 758,83 und seine strukturelle Formel lautet:

Verwendung für MS-Contin

MS Contin ist für die Behandlung von Schmerzen angezeigt, die schwerwiegend genug sind, um täglich eine langfristige Opioidbehandlung zu benötigen und für die alternative Behandlungsoptionen unzureichend sind.

Einschränkungen der Nutzung

  • Aufgrund des Risikos von Suchtmissbrauch und Missbrauch mit Opioiden auch bei empfohlenen Dosen und aufgrund der größeren Risiken von Überdosierung und Tod mit Opioidformulierungen mit längerer Freisetzung [siehe WARNUNGS AND VORSICHTSMASSNAHMEN ] Reserve MS Contin für die Verwendung bei Patienten, für die alternative Behandlungsoptionen (z. B. Nicht-Opioid-Analgetika oder Opioide mit sofortiger Freisetzung) nicht toleriert sind oder ansonsten unzureichend sind, um eine ausreichende Bewirtschaftung von Schmerzen zu liefern.
  • MS Contin wird nicht als notwendig (PRN) -Analgetika angezeigt.

Dosierung für MS-Contin

Wichtige Dosierungs- und Verwaltungsanweisungen

Frau Contin sollte nur von Angehörigen der Gesundheitsberufe verschrieben werden, die sich mit potenten Opioiden für die Behandlung chronischer Schmerzen kennenlernen.

MS Contin 100 mg und 200 mg Tabletten Eine einzelne Dosis von mehr als 60 mg oder eine Gesamtdosis von mehr als 120 mg dienen nur zur Verwendung bei Patienten, bei denen Toleranz gegenüber einem Opioid vergleichbarer Wirksamkeit hergestellt wurde. Patienten, die als opioid-tolerant angesehen werden, nehmen diejenigen, die eine Woche oder länger mindestens 60 mg Morphin pro Tag einnehmen.

  • Verwenden Sie die niedrigste wirksame Dosierung für die kürzeste Dauer, die mit individuellen Patientenbehandlungszielen übereinstimmt [siehe WARNUNGS AND VORSICHTSMASSNAHMEN ].
  • Initiieren Sie das Dosierungsschema für jeden Patienten individuell unter Berücksichtigung der Schwere des Schmerzes des Patienten frühere analgetische Behandlungserfahrung und Risikofaktoren für Missbrauch und Missbrauch von Sucht [siehe WARNUNGS AND VORSICHTSMASSNAHMEN ].
  • Überwachen Sie die Patienten genau auf die Atemdepression, insbesondere innerhalb der ersten 24 bis 72 Stunden der Initiierungstherapie und nach der Dosierung mit MS Contin und passen Sie die Dosierung entsprechend an [siehe WARNUNGS AND VORSICHTSMASSNAHMEN ].

Weisen Sie die Patienten an, MS -Kontinentabletten Ganzes zu schlucken [ Patienteninformationen ]. Crushing chewing or dissolving Frau Contin tablets will result in uncontrolled delivery of morphine and can lead to overdose or death [see WARNUNGS AND VORSICHTSMASSNAHMEN ].

MS Contin wird alle 8 oder 12 Stunden oral verabreicht.

Patientenzugang zu Naloxon für die Notfallbehandlung von Opioidüberdosis

Besprechen Sie die Verfügbarkeit von Naloxon für die Notfallbehandlung von Opioidüberdosierung mit dem Patienten und der Pflegekraft und bewerten Sie den potenziellen Bedarf an Zugang zu Naloxon sowohl bei der Initiierung als auch bei der Erneuerung mit MS Contin [siehe WARNUNGS AND VORSICHTSMASSNAHMEN Patienteninformationen ].

Informieren Sie Patienten und Betreuer über die verschiedenen Möglichkeiten, Naloxon zu erhalten, wie dies durch die individuelle staatliche Naloxonabgabe und Verschreibung von Anforderungen oder Richtlinien zulässig ist (z. B. durch Verschreibung direkt von einem Apotheker oder als Teil eines gemeindenahen Programms).

Erwägen Sie, Naloxon zu verschreiben, basierend auf den Risikofaktoren des Patienten für Überdosierung wie der gleichzeitigen Verwendung von ZNS -Depressiva Eine Vorgeschichte von Opioidkonsumstörungen oder frühere Opioidüberdosis. Das Vorhandensein von Risikofaktoren für eine Überdosierung sollte die ordnungsgemäße Behandlung von Schmerzen bei einem bestimmten Patienten nicht verhindern [siehe WARNUNGS AND VORSICHTSMASSNAHMEN ].

Erwägen Sie, Naloxon zu verschreiben, wenn der Patient Haushaltsmitglieder (einschließlich Kinder) oder andere enge Kontakte mit einem zufälligen Aufnahme oder Überdosis hat.

Anfängliche Dosierung

Verwendung von MS Contin als erste Opioidanalgetikerin (opioid-naive Patienten)

Initiieren Sie die Behandlung mit MS Contin mit 15 mg Tabletten alle 8 oder 12 Stunden mündlich.

Verwendung von MS-Kontinieren bei Patienten, die nicht opioid tolerant sind (nicht tolerante Opioid-Patienten)

Die Startdosis für Patienten, die nicht opioid tolerant sind, ist MS Contin 15 mg oral alle 12 Stunden.

Die Verwendung höherer Startdosen bei Patienten, die nicht opioid tolerant sind, kann eine tödliche Atemdepression verursachen.

Umwandlung von einem anderen oralen Morphin in MS Contin

Patienten, die andere orale Morphinformulierungen erhalten, können durch die Verabreichung einer Hälfte der 24-Stunden-Anforderung des Patienten als MS-Kontinent für einen Zeitplan des Patienten oder durch Verabreichung eines Drittels des täglichen Anforderungen des Patienten als MS-Anforderung als MS-Anforderung als MS Contining in einem 8-Stunden-Zeitplan umgewandelt werden.

Konvertierung von anderen Opioiden zu MS Contin

Brechen Sie alle anderen Opioidmedikamente rund um die Uhr ab, wenn die MS-Kontinentherapie initiiert wird.

Es gibt keine festgelegten Umwandlungsverhältnisse für die Umwandlung von anderen Opioiden in MS Contin, definiert durch klinische Studien. Initiieren Sie die Dosierung mit MS Contin 15 mg alle 8 bis 12 Stunden oral.

Es ist sicherer, die 24-Stunden-Morphin-Dosierung eines Patienten zu unterschätzen und Rettungsmedikamente (z. B. Opioid mit sofortiger Freisetzung) bereitzustellen, als die 24-Stunden-Morphin-Dosierung zu überschätzen und eine nachteilige Reaktion aufgrund einer Überdosierung zu verwalten. Während nützliche Tabellen von Opioidäquivalenten leicht verfügbar sind, gibt es eine Variabilität zwischen Patient in der Potenz von Opioidmedikamenten und Opioidformulierungen. Eine enge Beobachtung und häufige Titration sind erforderlich, bis das Schmerzmanagement auf dem neuen Opioid stabil ist. Überwachen Sie die Patienten auf Anzeichen und Symptome des Opioidentzugs und auf Anzeichen von Übersexuelle/Toxizität nach Umwandlung von Patienten in MS Contin.

Umwandlung von parenteralem Morphin oder anderen Opioiden (parenteraler oder oraler) zu MS Contin

Bei der Umwandlung von parenteralem Morphin oder anderen nicht-morphinischen Opioiden (parenteraler oder oraler) in MS Contin betrachten Sie die folgenden allgemeinen Punkte:

Parenteral zu oralem Morphinverhältnis:

Zwischen 2 bis 6 mg oralem Morphin können Analgesie erforderlich sein, die 1 mg parenterales Morphin entsprechen. Typischerweise ist eine Dosis Morphin, die ungefähr das Dreifache der vorherigen täglichen parenteralen Morphin -Anforderung ausmacht, ausreichend.

Andere parenterale oder orale nichtmorphinische Opioide zu oralem Morphinverhältnis:

Spezifische Empfehlungen sind nicht verfügbar, da für diese Arten von analgetischen Substitutionen systematische Nachweise mangeln. Veröffentlichte relative Potenzdaten sind verfügbar, aber solche Verhältnisse sind Annäherungen. Im Allgemeinen beginnt mit der Hälfte des geschätzten täglichen Morphinbedarfs als anfängliche Dosis, die unzureichende Analgesie durch Ergänzung mit Morphin mit sofortiger Freisetzung verwaltet.

Umwandlung von Methadon zu MS Contin

Eine enge Überwachung ist bei der Umwandlung von Methadon in andere Opioidagonisten von besonderer Bedeutung. Das Verhältnis zwischen Methadon und anderen Opioidagonisten kann in Abhängigkeit von früherer Dosis -Exposition stark variieren. Methadon hat eine lange Halbwertszeit und kann sich im Plasma ansammeln.

Titration und Aufrechterhaltung der Therapie

Individuell titrieren Sie MS über eine Dosis, die eine angemessene Analgesie liefert und Nebenwirkungen minimiert. Die Patienten, die MS erhalten, werden kontinuierlich neu bewertet, um die Aufrechterhaltung der Schmerzkontrolle und die relative Inzidenz von negativen Reaktionen sowie die Überwachung der Entwicklung von Suchtmissbrauch oder Missbrauch zu bewerten [siehe WARNUNGS AND VORSICHTSMASSNAHMEN ]. Frequent communication is important among the prescriber other members of the healthcare team the patient and the caregiver/family during periods of changing analgesic requirements including initial titration. During chronic therapy periodically reassess the continued need for the use of opioid analgesics.

Patienten, bei denen Schmerzen bei Durchbrüchen auftreten, müssen möglicherweise eine Dosierungsanpassung der MS-Kontinierung erfordern oder Rettungsmedikamente mit einer angemessenen Dosis eines Analgetikums mit sofortiger Freisetzung benötigen. Wenn der Schmerzniveau nach der Dosisstabilisierung zunimmt, um die Quelle erhöhter Schmerzen zu identifizieren, bevor die MS -Kontinentosis erhöht wird. Da die stationären Plasmakonzentrationen in 1-Tage-MS-Kontinentosisanpassungen angenähert werden, können alle 1 bis 2 Tage vorgenommen werden.

Wenn nicht akzeptable opioidbedingte unerwünschte Reaktionen beobachtet werden, um die Dosierung zu verringern. Passen Sie die Dosierung an, um ein angemessenes Gleichgewicht zwischen der Behandlung von Schmerzen und opioidbedingten Nebenwirkungen zu erhalten.

Dosierungsmodifikationen mit gleichzeitiger Verwendung von Depressiva des Zentralnervensystems

Wenn der Patient derzeit ein Depressivant des Zentralnervensystems (ZNS) einnimmt und die Entscheidung getroffen wird, MS -Kontinent mit der niedrigstmöglichen Dosi WARNUNGS AND VORSICHTSMASSNAHMEN Wechselwirkungen mit Arzneimitteln ].

Sichere Reduktion oder Abnahme von MS Continual

Nicht abrupt MS Continus bei Patienten, die physisch von Opioiden abhängig sind, nicht abrupt einstellen. Eine schnelle Abnahme von Opioidanalgetika bei Patienten, die physisch von Opioiden abhängig sind, hat zu schwerwiegenden Entzugssymptomen unkontrollierten Schmerzen und Selbstmord geführt. Eine schnelle Absetzung wurde auch mit Versuchen in Verbindung gebracht, andere Quellen von Opioidanalgetika zu finden, die mit Drogensuchenden nach Missbrauch verwechselt werden können. Patienten können auch versuchen, ihre Schmerzen oder Entzugssymptome mit illegalen Opioiden wie Heroin und anderen Substanzen zu behandeln.

Wenn eine Entscheidung getroffen wurde Es ist wichtig, die kontinuierliche Versorgung des Patienten zu gewährleisten und sich auf einen geeigneten Verjüngungszeitplan und einen Follow-up-Plan zuzustimmen, damit die Ziele und Erwartungen von Patienten und Anbietern klar und realistisch sind. Wenn Opioidanalgetika aufgrund einer vermuteten Substanzkonsumstörung abgesetzt werden, bewerten und behandeln Sie den Patienten oder verweisen Sie zur Bewertung und Behandlung der Substanzkonsumstörung. Die Behandlung sollte evidenzbasierte Ansätze wie medikamentenunterstützte Behandlung von Opioidkonsumstörungen umfassen. Komplexe Patienten mit komorbiden Schmerz- und Substanzkonsumstörungen können von der Überweisung an einen Spezialisten profitieren.

Es gibt keine Standard -Opioid -Verjüngungszeitpläne, die für alle Patienten geeignet sind. Gute klinische Praxis diktiert einen patientspezifischen Plan, um die Dosis des Opioids allmählich zu verjüngen. Für Patienten auf MS Contin, die physisch opioidabhängig sind, starten die Verjüngung durch ein indoseitiertes Inkrement (z. B. nicht mehr als 10% bis 25% der gesamten täglichen Dosis), um Entzugssymptome zu vermeiden und in einem Intervall von 2 bis 4 Wochen mit einer dosissenkenden DOS-Senkung fortzusetzen. Patienten, die Opioide für bloßende Zeiträume einnehmen, können eine schnelle Verjüngung tolerieren.

Es kann notwendig sein, den Patienten mit niedrigeren Dosierungsstärken zu versorgen, um eine erfolgreiche Verjüngung zu erreichen. Überprüfen Sie den Patienten häufig, um Schmerz- und Entzugssymptome zu behandeln, falls er auftauchen sollte. Häufige Entzugssymptome sind Unruhe träge Rhinorrhoe gähnenden Schweißkörpern Myalgie und Mydriasis. Andere Anzeichen und Symptome können sich ebenfalls entwickeln, einschließlich Reizbarkeitsangst Rückenschmerzen Gelenkschmerzen Schwäche Bauchkrämpfe Insomnia Übelkeit Anorexie erbrechen Durchfall oder erhöhte Blutdruckatmungsrate oder Herzfrequenz. Wenn Entzugssymptome auftreten, kann es erforderlich sein, die Verjüngung für einen bestimmten Zeitraum zu pausieren oder die Dosis des Opioidanalgetikums an die vorherige Dosis zu erhöhen und dann mit einer langsameren Verjüngung fortzufahren. Überwachen Sie außerdem Patienten auf Veränderungen in der Stimmung auf Selbstmordgedanken oder die Verwendung anderer Substanzen.

Bei der Behandlung von Patienten, die Opioid -Analgetika einnehmen, insbesondere solche, die für eine lange Dauer und/oder mit hohen Dosen für chronische Schmerzen behandelt wurden, stellen sicher, dass ein multimodaler Ansatz zur Schmerzbehandlung einschließlich der Unterstützung der psychischen Gesundheit (falls erforderlich) vorhanden ist, bevor ein Opioid -Analgetika -Verjüngung initiiert wird. Ein multimodaler Ansatz zur Schmerzbehandlung kann die Behandlung von chronischen Schmerzen optimieren und die erfolgreiche Verjüngung des Opioidanalgetikums unterstützen [siehe WARNUNGS AND VORSICHTSMASSNAHMEN Drogenmissbrauch und Abhängigkeit ].

Wie geliefert

Dosierungsformen und Stärken

  • Frau Contin ® (Morphinsulfat-Tabletten mit verlängerter Freisetzung) 15 mg
    Runde blau gefärbte filmbeschichtete Tabletten mit dem Symbol PF auf der einen Seite und M 15 auf der anderen Seite
  • Frau Contin ® (Morphinsulfat-Tabletten mit verlängerter Freisetzung) 30 mg
    Runde lavendelfarbene filmbeschichtete Tabletten mit dem Symbol PF auf der einen Seite und M 30 auf der anderen Seite
  • Frau Contin ® (Morphinsulfat verlängerte Freisetzungstabletten) 60 mg
    Runde orangefarbene filmbeschichtete Tabletten mit dem Symbol PF auf der einen Seite und M 60 auf der anderen Seite
  • Frau Contin ® (Morphinsulfat-Tabletten mit verlängerter Freisetzung) 100 mg
    Runde grau gefärbte filmbeschichtete Tabletten mit dem Symbol PF auf der einen Seite und 100 auf der anderen Seite
  • Frau Contin ® (Morphinsulfat-Tabletten mit verlängerter Freisetzung) 200 mg
    Kapselförmige grün gefärbte filmbeschichtete Tabletten mit dem Symbol PF auf der einen Seite und M 200 auf der anderen Seite

Lagerung und Handhabung

Frau Contin ® (Morphinsulfat-Tabletten ausgegeben) werden wie folgt geliefert:

15 mg -Runde blau gefärbte filmbeschichtete Tabletten mit dem Symbol PF auf der einen Seite und M 15 auf der anderen Seite.
Flaschen (undurchsichtiges Kunststoff) von 100 Tabletten - NDC 42858-515-01

30 mg -Runde lavendelfarbene filmbeschichtete Tabletten mit dem Symbol PF auf der einen Seite und M 30 auf der anderen Seite.
Flaschen (undurchsichtiges Kunststoff) von 100 Tabletten - NDC 42858-631-01

60 mg -Runde orangefarbene, filmbeschichtete Tabletten mit dem Symbol PF auf der einen Seite und M 60 auf der anderen Seite.
Flaschen (undurchsichtiges Kunststoff) von 100 Tabletten - NDC 42858-760-01

100 mg -Runde grau gefärbte filmbeschichtete Tabletten mit dem Symbol PF auf der einen Seite und 100 auf der anderen Seite.
Flaschen (undurchsichtiges Kunststoff) von 100 Tabletten - NDC 42858-799-01

200 mg -Kapselförmige grün gefärbte filmbeschichtete Tabletten mit dem Symbol PF auf der einen Seite und M 200 auf der anderen Seite.
Flaschen (undurchsichtiges Kunststoff) von 100 Tabletten - NDC 42858-900-01

Speichern Sie bei 25 ° C (77 ° F); Ausflüge zwischen 15 ° -30 ° C (59 ° -86 ° F) [siehe USP-kontrollierte Raumtemperatur].

MS Continy sicher speichern und ordnungsgemäß entsorgen [[ Patienteninformationen ].

In einem engen, lichtbeständigen Behälter geben.

Vermarktet von: Rhodes Pharmaceuticals L.P. Coventry RI 02816 US. Überarbeitet: März 2021

Nebenwirkungen for MS-Contin

Die folgenden schwerwiegenden Nebenwirkungen werden in anderen Abschnitten ausführlicher beschrieben oder ausführlicher beschrieben:

  • Suchtmissbrauch und Missbrauch [see WARNUNGS AND VORSICHTSMASSNAHMEN ]
  • Lebensbedrohliche Atemdepression [see WARNUNGS AND VORSICHTSMASSNAHMEN ]
  • Neugeborenen -Opioid -Entzugssyndrom [see WARNUNGS AND VORSICHTSMASSNAHMEN ]
  • Wechselwirkungen mit Benzodiazepin oder anderen ZNS -Depressiva [siehe WARNUNGS AND VORSICHTSMASSNAHMEN ]
  • Nebenniereninsuffizienz [siehe WARNUNGS AND VORSICHTSMASSNAHMEN ]
  • Schwere Hypotonie [siehe WARNUNGS AND VORSICHTSMASSNAHMEN ]
  • Gastrointestinale Nebenwirkungen [siehe WARNUNGS AND VORSICHTSMASSNAHMEN ]
  • Anfälle [siehe WARNUNGS AND VORSICHTSMASSNAHMEN ]
  • Rückzug [siehe WARNUNGS AND VORSICHTSMASSNAHMEN ]

Klinische Versuchserfahrung

Da klinische Studien unter stark unterschiedlichen Bedingungen durchgeführt werden, die in den klinischen Studien eines Arzneimittels beobachtet werden, können in den klinischen Studien eines anderen Arzneimittels nicht direkt mit den Raten verglichen werden und spiegeln möglicherweise nicht die in der Praxis beobachteten Raten wider.

Frau Contin may increase the risk of serious adverse reactions such as those observed with other opioid analgesics including respiratory Depression apnea respiratory arrest circulatory Depression hypotension or shock [see ÜBERDOSIS ].

Am häufigsten beobachtete Reaktionen

In klinischen Studien waren die häufigsten unerwünschten Reaktionen mit MS Contin -Verstopfung Schwindel -Sedierung Übelkeit, erbricht schwitzende Dysphorie und euphorische Stimmung.

Einige dieser Effekte scheinen bei ambulanten Patienten und bei Patienten, bei denen keine starken Schmerzen auftreten, deutlicher zu sein.

Weniger häufig beobachtete Reaktionen

Herz -Kreislauf -Störungen: Tachykardie Bradykardia -Palpitationen

Augenstörungen: Sehbehinderung Visual Unschurkte Diplopia Miosis

Magen -Darm -Störungen: Trockenmund Durchfall Bauchschmerzen Verstopfung Dyspepsie

Allgemeine Störungen und Verwaltungsortbedingungen: Schüttelfrost spüren abnormale Ödemödeme periphere Schwäche

Lebererkrankungen: Gallenkolik

Stoffwechsel- und Ernährungsstörungen: Anorexie

Muskuloskelett- und Bindegewebestörungen: Muskelsteifigkeitsmuskel zuckten

Störungen des Nervensystems: Presyncope Synkope Kopfschmerz Zittern unkoordinierte Muskelbewegungen Intrakranialdruck erhöhte Geschmacksveränderung Parästhesie Nystagmus

Psychiatrische Störungen: Agitationsstimmung veränderte Angst Depression abnormale Träume Halluzinationsdeholution

Nieren- und Harnstörungen: Harnretention im Urin zögert antidiuretische Wirkungen

Fortpflanzungssystem und Bruststörungen: Reduzierte Libido und/oder Potenz

Atemstörungen für Brust- und Mediastinalerkrankungen: Laryngospaspasp

Haut und subkutane Gewebeerkrankungen: Evolidus Urticaria Ausschlag

Gefäßstörungen: Spülhypotonie Hypertonie

Nachmarkterfahrung

Die folgenden nachteiligen Reaktionen wurden während der Verwendung von MS Contin nach der Anbietung identifiziert. Da diese Reaktionen freiwillig aus einer Population unsicherer Größe berichtet werden, ist es nicht immer möglich, ihre Häufigkeit zuverlässig abzuschätzen oder ein kausales Verhältnis zur Arzneimittelexposition herzustellen.

Amenorrhoe Asthenia Bronchospasmus Verwirrungstaat Arzneimittel Überempfindlichkeit Müdigkeit Hyperalgesie Hypertonia ileus Erhöhte Leberenzyme Darmobstruktion Lethargie Malaise Lungenödem Denkweise Störungen Somnolenz und Schwindel.

Serotons Syndrom

Fälle des Serotonin-Syndroms Eine potenziell lebensbedrohliche Erkrankung wurde während der gleichzeitigen Verwendung von Opioiden mit serotonergen Arzneimitteln berichtet.

Nebenniereninsuffizienz

Es wurden Fälle von Nebenniereninsuffizienz bei Opioidkonsum nach mehr als einem Monat der Verwendung berichtet.

Anaphylaxie

Anaphylaxie has been reported with ingredients contained in Frau Contin

Androgenmangel

Fälle von Androgenmangel sind bei chronischer Verwendung von Opioiden aufgetreten [siehe Klinische Pharmakologie ].

Wechselwirkungen mit Arzneimitteln for MS-Contin

Tabelle 1 umfasst klinisch signifikante Wechselwirkungen zwischen Arzneimitteln und MS Contin.

Tabelle 1: Klinisch signifikante Wechselwirkungen zwischen Arzneimitteln mit MS Contin

Benzodiazepine und andere Zentralnervensysteme (ZNS) Depressiva
Klinische Wirkung: Aufgrund der additiven pharmakologischen Wirkung kann die gleichzeitige Verwendung von Benzodiazepinen oder anderen ZNS -Depressiva einschließlich Alkohol das Risiko einer hypothartigen Atemdepression erhöhen, tiefgreifende Sedation Coma und Tod.
Intervention: Reserve gleichzeitig die Verschreibung dieser Arzneimittel zur Verwendung bei Patienten, für die alternative Behandlungsoptionen unzureichend sind. Beschränken Sie die Dosierungen und Dauer auf das erforderliche Mindestmindest. Folgen Sie den Patienten eng, um Anzeichen einer Atemdepression und Sedierung zu erhalten. Wenn ein gleichzeitiger Einsatz gerechtfertigt ist, sollten Sie Naloxon für die Notfallbehandlung der Opioidüberdosis verschreiben [siehe Dosierung und Verwaltung WARNUNGS AND VORSICHTSMASSNAHMEN ].
Beispiele: Benzodiazepine und andere beruhigende Hypnotikangehörige Anxiolytika Beruhigungsmittel Muskelrelaxantien Allgemeine Anästhetika Antipsychotika Andere Opioide Alkohol.
Serotonerge Medikamente
Klinische Wirkung: Die gleichzeitige Verwendung von Opioiden mit anderen Arzneimitteln, die das serotonerge Neurotransmittersystem beeinflussen, hat zu einem Serotonin -Syndrom geführt.
Intervention: Wenn ein gleichzeitiger Einsatz erforderlich ist, beobachten Sie den Patienten sorgfältig, insbesondere während der Behandlungsinitiierung und der Dosisanpassung. MS Continual Continuation Wenn das Serotonin -Syndrom vermutet wird.
Beispiele: Selective serotonin reuptake inhibitors (SSRIs) serotonin and norepinephrine reuptake inhibitors (SNRIs) tricyclic antidepressants (TCAs) triptans 5-HT3 receptor antagonists drugs that effect the serotonin neurotransmitter system (e.g. mirtazapine trazodone tramadol) certain muscle relaxants (i.e. Cyclobenzaprin -Metaxalon) -Monoaminoxidase (MAO) -Hemmer (diejenigen, die zur Behandlung von psychiatrischen Störungen und auch anderen Linezolid und intravenösem Methylenblau beabsichtigt sind).
Monoaminoxidase -Inhibitoren (Maois)
Klinische Wirkung: MAOI -Wechselwirkungen mit Opioiden können sich als Serotonin -Syndrom oder Opioidtoxizität (z. B. Atemdepressionskoma) manifestieren [siehe WARNUNGS AND VORSICHTSMASSNAHMEN ].
Intervention: Verwenden Sie keine MS -Kontinuelle bei Patienten, die Maois oder innerhalb von 14 Tagen nach Beendigung einer solchen Behandlung einnehmen.
Beispiele: Phenelzine Tranylcypromine Linezolid
Gemischter Agonisten/Antagonist und partieller Agonisten -Opioid -Analgetika
Klinische Wirkung: Kann die analgetische Wirkung von MS -Kontinieren verringern und/oder die Entzugssymptome ausfallen.
Intervention: Vermeiden Sie die gleichzeitige Verwendung.
Beispiele: Butorphanol Nalbuphine Pentazocin Buprenorphin
Muskelrelaxantien
Klinische Wirkung: Morphin kann die neuromuskuläre Blockierungswirkung von Relaxantien des Skelettmuskels verbessern und einen erhöhten Grad an Atemdepression erzeugen.
Intervention: Überwachen Sie die Patienten auf Anzeichen einer Atemdepression, die möglicherweise größer sein als erwartet, und verringern Sie die Dosierung von MS Contin und/oder das Muskelrelaxant bei Bedarf. Aufgrund des Risikos einer Atemdepression mit gleichzeitiger Verwendung von Relaxantien und Opioiden der Skelettmuskulatur in Betracht, Naloxon für die Notfallbehandlung von Opioidüberdosis zu verschreiben [siehe Dosierung und Verwaltung WARNUNGS AND VORSICHTSMASSNAHMEN ]
Beispiele: Cyclobenzaprin -Metaxalon
Cimetidin
Klinische Wirkung: Die gleichzeitige Anwendung von Cimetidin kann Morphinffekte potenzieren und das Risiko einer hypotonie respiratorischen Depressionen tiefgreifende Sedierungskoma und des Todes erhöhen.
Intervention: Überwachen Sie die Patienten auf Anzeichen einer Atemdepression, die möglicherweise größer sein als erwartet, und verringern Sie die Dosierung von MS Contin und/oder Cimetidin bei Bedarf.
Diuretika
Klinische Wirkung: Opioide können die Wirksamkeit der Diuretika verringern, indem sie die Freisetzung von antidiuretisches Hormon induziert.
Intervention: Überwachen Sie die Patienten auf Anzeichen einer verminderten Diurese und/oder auf den Blutdruck und erhöhen Sie die Dosierung des Diuretikums nach Bedarf.
Anticholinergika
Klinische Wirkung: Die gleichzeitige Anwendung von Anticholinergika kann das Risiko einer Harnretention und/oder schweren Verstopfung erhöhen, was zu einem lähmlichen Ileus führen kann.
Intervention: Überwachen Sie die Patienten auf Anzeichen einer Harnretention oder verringerte Magenmotilität, wenn MS -Kontinent gleichzeitig mit Anticholinergika verwendet wird.
P-Glykoprotein (P-GP) -Hemmer
Klinische Wirkung: Die gleichzeitige Verwendung von PGP-Inhibitoren kann die Exposition gegenüber Morphin um etwa zweifach erhöhen und das Risiko einer hypotonie respiratorischen Depression erhöhen.
Intervention: Überwachen Sie die Patienten auf Anzeichen einer Atemdepression, die möglicherweise größer sein als erwartet, und verringern Sie die Dosierung von MS Contin und/oder dem PGP-Hemmibitor bei Bedarf.
Beispiele: Chinidin

Drogenmissbrauch und Abhängigkeit

Kontrollierte Substanz

Frau Contin contains morphine a Schedule II controlled substance.

Missbrauch

Frau Contin contains morphine a substance with a high potential for abuse similar to other opioids including fentanyl hydrocodone hydromorphone methadone oxycodone oxymorphone and tapentadol. Frau Contin can be abused and is subject to misuse addiction and criminal diversion [see WARNUNGS AND VORSICHTSMASSNAHMEN ].

Der hohe Arzneimittelgehalt in Formulierungen mit längerer Freisetzung erhöht das Risiko von negativen Ergebnissen durch Missbrauch und Missbrauch.

Alle mit Opioiden behandelten Patienten benötigen eine sorgfältige Überwachung auf Anzeichen von Missbrauch und Sucht, da die Verwendung von Opioidanalgetika -Produkten das Risiko einer Sucht selbst unter geeignetem medizinischem Gebrauch darstellt.

Verschreibungspflichtiger Drogenmissbrauch ist der absichtliche nicht therapeutische Einsatz einer rezeptfreien oder verschreibungspflichtigen Droge auch einmal für ihre lohnenden psychologischen oder physiologischen Wirkungen. Arzneimittelabhängigkeit ist eine Gruppe von kognitiven und physiologischen Phänomenen verhaltensbezogener Substanzen, die sich nach wiederholtem Substanzkonsum entwickeln und umfassen: Ein starker Wunsch, die Arzneimittelschwierigkeiten bei der Kontrolle des Gebrauchs in ihrer Verwendung zu kontrollieren, trotz schädlicher Konsequenzen, die dem Drogenkonsum höhere Priorität als höhere Priorität als für andere Aktivitäten und Verpflichtungen erhöhten, erhöhte die Toleranz und manchmal einen physischen Rückzug.

Das Verhalten von Drogen suchend ist bei Personen mit Substanzstörungen sehr häufig. Zu den medikamentensuchenden Taktiken gehören Notrufe oder Besuche gegen Ende der Bürozeiten, die sich verweigert, geeignete Prüfungstests oder eine wiederholte Überweisung zu unterziehen, die sich mit Rezepten und Abneigung zur Bereitstellung früherer medizinischer Aufzeichnungen oder Kontaktinformationen für andere Anbieter von Gesundheitsanbietern befassen. Arzteinkäufe (Besuch mehrerer Verschreiber, um zusätzliche Rezepte zu erhalten) ist bei Drogensauger und Menschen, die unter unbehandelter Sucht leiden, häufig. Die Beschäftigung mit einer angemessenen Schmerzlinderung kann bei einem Patienten mit schlechter Schmerzkontrolle ein angemessenes Verhalten sein.

Missbrauch and addiction are separate and distinct from physical dependence and tolerance. Healthcare providers should be aware that addiction may not be accompanied by concurrent tolerance and symptoms of physical dependence in all addicts. In addition abuse of opioids can occur in the absence of true addiction.

Frau Contin like other opioids can be diverted for non-medical use into illicit channels of distribution. Careful record-keeping of prescribing information including quantity frequency and renewal requests as required by state and federal law is strongly advised.

Eine ordnungsgemäße Bewertung des Patienten ordnungsgemäße Verschreibungspraktiken regelmäßige Neubewertung der Therapie und ordnungsgemäße Abgabe und Lagerung sind geeignete Maßnahmen, die dazu beitragen, den Missbrauch von Opioidmedikamenten zu begrenzen.

Risiken spezifisch für den Missbrauch von MS Contin

Frau Contin is for oral use only. Missbrauch of Frau Contin poses a risk of overdose and death. This risk is increased with concurrent abuse of Frau Contin with alcohol and other central nervous system depressants. Taking cut broken chewed crushed or dissolved Frau Contin enhances drug release and increases the risk of overdose and death.

Aufgrund des Vorhandenseins von Talken als Hilfsmittel in MS -Kontinalmissbrauch kann erwartet werden, dass sie zu einer lokalen Gewebenekrose -Infektion infektionaler Lungengranulomeembolie und zu einem erhöhten Risiko für Endokarditis und Klappenherzverletzungen führen. Parenteraler Drogenmissbrauch ist häufig mit der Übertragung von Infektionskrankheiten wie Hepatitis und HIV verbunden.

Abhängigkeit

Während der chronischen Opioid -Therapie können sich sowohl Toleranz als auch körperliche Abhängigkeit entwickeln. Toleranz ist die Notwendigkeit einer Erhöhung der Dosen von Opioiden, um eine definierte Wirkung wie Analgesie aufrechtzuerhalten (in Abwesenheit eines Fortschreitens von Krankheiten oder anderen externen Faktoren). Toleranz kann sowohl gegenüber den gewünschten als auch gegenüber unerwünschten Wirkungen von Arzneimitteln auftreten und sich bei unterschiedlichen Raten für unterschiedliche Wirkungen entwickeln.

Die körperliche Abhängigkeit ist ein physiologischer Zustand, in dem sich der Körper nach einer regelmäßigen Exposition an das Arzneimittel anpasst, was zu Entzugssymptomen nach abrupter Absetzung oder einer signifikanten Dosierungsreduktion eines Arzneimittels führt. Der Entzug kann auch durch die Verabreichung von Arzneimitteln mit Opioidantagonistenaktivität (z. B. Naloxon -Nalmefen) gemischtem Agonisten/Antagonisten -Analgetika (z. Die physische Abhängigkeit kann bis nach mehreren Tagen bis Wochen der anhaltenden Opioidversorgung nicht in signifikantem Maße auftreten.

MS nicht abrupt MS Contin in einem Patienten physisch abhängig von Opioiden einstellen. Eine schnelle Verjüngung von MS -Kontinieren bei einem Patienten kann physisch von Opioiden abhängig sein kann zu schwerwiegenden Entzugssymptomen unkontrollierten Schmerzen und Selbstmord. Eine schnelle Absetzung wurde auch mit Versuchen in Verbindung gebracht, andere Quellen von Opioidanalgetika zu finden, die mit Drogensuchenden nach Missbrauch verwechselt werden können.

Wenn MS-Contin-Contin die Dosierung nach und nach mit einem patientspezifischen Plan verjüngt, der Folgendes berücksichtigt: Die Dosis des MS-Fortsetzung des Patienten hat die Dauer der Behandlung und die physikalischen und psychologischen Eigenschaften des Patienten übernommen. Um die Wahrscheinlichkeit einer erfolgreichen Verjüngung zu verbessern und die Entzugssymptome zu minimieren, ist es wichtig, dass der Patient der Opioid -Verjüngungsplan vereinbart wird. Bei Patienten, die Opioide für eine lange Dauer bei hohen Dosen einnehmen Dosierung und Verwaltung WARNUNGS AND VORSICHTSMASSNAHMEN ].

Säuglinge, die von Müttern körperlich von Opioiden geboren wurden Verwendung in bestimmten Populationen ].

Warnungen für MS-Contin

Eingeschlossen als Teil der 'VORSICHTSMASSNAHMEN' Abschnitt

Vorsichtsmaßnahmen für MS-Contin

Suchtmissbrauch und Missbrauch

Frau Contin contains morphine a Schedule II controlled substance. As an opioid Frau Contin exposes its users to the risks of addiction abuse and misuse. Because extended-release products such as Frau Contin deliver the opioid over an extended period of time there is a greater risk for overdose and death due to the larger amount of morphine present [see Drogenmissbrauch und Abhängigkeit ].

Obwohl das Risiko einer Sucht bei einer Person nicht bekannt ist, kann es bei Patienten auftreten, die MS Contin angemessen verschrieben haben. Sucht kann bei empfohlenen Dosen auftreten und wenn das Medikament missbraucht oder missbraucht wird.

Bewerten Sie das Risiko jedes Patienten für Opioidabhängigkeitsmissbrauch oder Missbrauch, bevor MS Contin verurteilt wird, und alle Patienten, die MS Contin erhalten, für die Entwicklung dieser Verhaltensweisen und Bedingungen erneut bewerten. Die Risiken sind bei Patienten mit einer persönlichen oder familiären Vorgeschichte von Drogenmissbrauch (einschließlich Drogen- oder Alkoholmissbrauch oder Sucht) oder psychischen Erkrankungen (z. B. Major Depression) erhöht. Das Potenzial für diese Risiken sollte jedoch nicht die ordnungsgemäße Behandlung von Schmerzen bei einem bestimmten Patienten verhindern. Patienten mit erhöhtem Risiko können Opioide wie MS -Kontinuelle verschrieben werden, aber bei solchen Patienten eine intensive Beratung über das Risiko für die ordnungsgemäße Verwendung von MS -Kontinieren sowie eine häufige Neubewertung für Anzeichen von Missbrauch und Missbrauch von Sucht. Erwägen Sie, Naloxon für die Notfallbehandlung von Opioidüberdosierung zu verschreiben [siehe Dosierung und Verwaltung Lebensbedrohliche Atemdepression ].

Missbrauch or misuse of Frau Contin by crushing chewing snorting or injecting the dissolved product will result in the uncontrolled delivery of morphine and can result in overdose and death [see ÜBERDOSIS ].

Opioide werden für nicht medizinische Verwendung gesucht und unterliegen einer Ablenkung von der legitimen vorgeschriebenen Verwendung. Betrachten Sie diese Risiken bei der Verschreibung oder Abgabe von MS Contin. Zu den Strategien zur Verringerung dieser Risiken gehört die Verschreibung des Arzneimittels in die kleinste angemessene Menge und die Beratung des Patienten über die sorgfältige Lagerung des Arzneimittels im Verlauf der Behandlung und die ordnungsgemäße Entsorgung von nicht verwendeten Arzneimitteln. Wenden Sie sich an die örtliche staatliche professionelle Lizenzbehörde oder die staatlich kontrollierte Substanzenbehörde, um Informationen zur Verhinderung und Erkennung von Missbrauch oder Ablenkung dieses Produkts zu verhindern und zu erkennen.

Lebensbedrohliche Atemdepression

Eine schwerwiegende lebensbedrohliche oder tödliche Atemdepression wurde unter Verwendung von Opioiden auch bei der Verwendung wie empfohlen berichtet. Atemdepression, wenn sie nicht sofort erkannt und behandelt wird, kann zu einer Verhaftung und dem Tod der Atemwege führen. Das Management von Atemdepressionen kann in Abhängigkeit vom klinischen Status des Patienten eine enge beobachtete unterstützende Maßnahmen und die Verwendung von Opioidantagonisten umfassen [siehe ÜBERDOSIS ]. Carbon dioxide (CO 2 ) Die Retention durch opioidinduzierte Atemdepression kann die sedierenden Wirkungen von Opioiden verschlimmern.

Während eine schwerwiegende lebensbedrohliche oder tödliche Atemdepression zu jeder Zeit während der Verwendung von MS auftreten kann, ist das Risiko während der Einleitung einer Therapie am größten oder nach einer Dosierungserhöhung am größten.

Das Risiko einer ordnungsgemäßen Dosierung der Atemdepression zu verringern und die Titration von MS Contin zu verringern [siehe Dosierung und Verwaltung ]. Overestimating the Frau Contin dosage when converting patients from another opioid product can result in a fatal overdose with the first dose.

Eine zufällige Einnahme von selbst einer Dosis von MS -Kontinieren, insbesondere durch Kinder, kann zu einer Atemdepression und einem Tod aufgrund einer Überdosis von Morphin führen.

Schulung von Patienten und Betreuern über die Erkennung von Atemdepressionen und betonen Sie die Bedeutung des Rufens von 911 oder zur Aufnahme von Notfallhilfe im Falle einer bekannten oder mutmaßlichen Überdosis.

Opioide können schlafbedingte Atemstörungen einschließlich zentraler Schlafapnoe (CSA) und schlafbedingter Hypoxämie verursachen. Die Verwendung von Opioid erhöht das Risiko von CSA in dosisabhängiger Weise. Bei Patienten, die mit CSA präsentieren Dosierung und Verwaltung ].

Patientenzugang zu Naloxon für die Notfallbehandlung von Opioidüberdosis

Diskutieren Sie die Verfügbarkeit von Naloxon für die Notfallbehandlung von Opioid -Überdosierung mit dem Patienten und der Pflegekraft und bewerten Sie den potenziellen Bedarf an Zugang zu Naloxon sowohl bei der Initiierung als auch bei der Erneuerung der Behandlung mit MS Contin. Informieren Sie Patienten und Betreuer über die verschiedenen Möglichkeiten, Naloxon zu erhalten, wie dies durch die individuelle staatliche Naloxonabgabe und Verschreibung von Anforderungen oder Richtlinien zulässig ist (z. B. durch Verschreibung direkt von einem Apotheker oder als Teil eines gemeindenahen Programms). Schulung von Patienten und Betreuern darüber, wie die Atemdepression erfasst und die Bedeutung der Rufnotierung von 911 oder zur Erlangung von Notfallhilfe betonen kann, auch wenn Naloxon verabreicht wird.

Erwägen Sie, Naloxon zu verschreiben, basierend auf den Risikofaktoren des Patienten für Überdosierung wie der gleichzeitigen Verwendung von ZNS -Depressiva Eine Vorgeschichte von Opioidkonsumstörungen oder frühere Opioidüberdosis. Das Vorhandensein von Risikofaktoren für eine Überdosierung sollte die ordnungsgemäße Behandlung von Schmerzen bei einem bestimmten Patienten nicht verhindern. Erwägen Sie auch, Naloxon zu verschreiben, wenn der Patient Haushaltsmitglieder (einschließlich Kinder) oder andere enge Kontakte mit einem zufälligen Aufnahme oder Überdosis hat. Wenn Naloxon verschrieben wird, bildeten Patienten und Pflegekräfte zur Behandlung mit Naloxon [siehe Dosierung und Verwaltung Suchtmissbrauch und Missbrauch Risiken aus der gleichzeitigen Verwendung mit Benzodiazepinen oder anderen ZNS -Depressiva ÜBERDOSIS ].

Risiken aus der gleichzeitigen Verwendung mit Benzodiazepinen oder anderen ZNS -Depressiva

Eine tiefgreifende Sedation Atemdepression Coma und Tod können aus der gleichzeitigen Verwendung von MS -Kontinieren mit Benzodiazepinen und/oder anderen ZNS -Depressiva einschließlich Alkohol zurückzuführen (z. Aufgrund dieser Risiken reserve die damit verbundene Verschreibung dieser Arzneimittel für die Verwendung bei Patienten, für die alternative Behandlungsoptionen unzureichend sind.

Beobachtungsstudien haben gezeigt, dass die gleichzeitige Verwendung von Opioidanalgetika und Benzodiazepinen das Risiko einer medikamentenbedingten Mortalität im Vergleich zur Verwendung von Opioidanalgetika erhöht. Aufgrund ähnlicher pharmakologischer Eigenschaften ist es vernünftig, ein ähnliches Risiko bei der gleichzeitigen Verwendung anderer ZNS -Depressiva mit Opioidanalgetika zu erwarten [siehe Wechselwirkungen mit Arzneimitteln ].

Wenn die Entscheidung getroffen wird, ein Benzodiazepin oder ein anderes ZNS -Depressivum gleichzeitig mit einem Opioidanalgetikum zu verschreiben, verschreiben Sie die niedrigsten wirksamen Dosierungen und Mindestdauer der gleichzeitigen Verwendung. Bei Patienten, die bereits eine Opioidanalgetika erhalten, verschreiben eine niedrigere Anfangsdosis des Benzodiazepins oder eines anderen ZNS -Depressivums als in Abwesenheit eines Opioids und Titrats anhand des klinischen Ansprechens angegeben. Wenn ein Opioid -Analgetikum bei einem Patienten initiiert wird, der bereits ein Benzodiazepin oder andere ZNS -Depression einnimmt, verschreiben eine niedrigere Anfangsdosis des Opioid -Analgetikums und der Titrats basierend auf der klinischen Reaktion. Informieren Sie die Patienten und Betreuer über diese potenzielle Interaktion und informieren Sie sie über die Anzeichen und Symptome einer Atemdepression (einschließlich Sedierung).

Wenn ein gleichzeitiger Einsatz gerechtfertigt ist, sollten Sie Naloxon für die Notfallbehandlung der Opioidüberdosis verschreiben [siehe Dosierung und Verwaltung Lebensbedrohliche Atemdepression ÜBERDOSIS ].

Beraten Sie sowohl Patienten als auch Pflegekräfte über das Risiko einer Atemdepression und Sedierung, wenn MS Contin mit Benzodiazepinen oder anderen ZNS -Depressiva (einschließlich Alkohol und illegalen Drogen) verwendet wird. Raten Sie den Patienten, schwere Maschinen zu fahren oder zu betreiben, bis die Auswirkungen der gleichzeitigen Verwendung des Benzodiazepins oder eines anderen ZNS -Depressivums bestimmt wurden. Screenpatienten auf das Risiko von Störungen des Substanzkonsums wie Opioidmissbrauch und Missbrauch und Warnen vor dem Risiko für Überdosierung und Tod im Zusammenhang mit der Verwendung zusätzlicher ZNS -Depressiva einschließlich Alkohol und illegalen Drogen [siehe Wechselwirkungen mit Arzneimitteln ].

Neugeborenen -Opioid -Entzugssyndrom

Die Verwendung von MS Contin über einen längeren Zeitraum während der Schwangerschaft kann zu einem Entzug des Neugeborenen führen. Das Neugeborenen-Opioid-Entzug-Syndrom im Gegensatz zum Opioid-Entzugssyndrom bei Erwachsenen kann lebensbedrohlich, wenn sie nicht anerkannt und behandelt werden, und erfordert das Management gemäß Protokollen, die von Experten von Neonatologie entwickelt wurden. Beobachten Sie Neugeborene für Anzeichen eines Neugeborenen -Opioid -Entzugssyndroms und verwalten Sie entsprechend. Beraten Sie schwangere Frauen, die Opioide über einen längeren Zeitraum des Risikos eines Opioidentzugs -Syndroms für Neugeborene verwenden, und stellen Sie sicher, dass eine angemessene Behandlung verfügbar ist [siehe Verwendung in bestimmten Populationen ].

Opioid -Analgetika -Risikobewertung und Minderungsstrategie (REMS)

Um sicherzustellen, dass die Vorteile von Opioidanalgetika das Risiko von Suchtmissbrauch überwiegen und die Food and Drug Administration (FDA) für diese Produkte eine Risikobewertung und Minderungsstrategie (REMS) benötigen. Nach den Anforderungen der REMS-Arzneimittelunternehmen mit zugelassenen Opioid-Analgetika-Produkten müssen REMS-konforme Bildungsprogramme den Gesundheitsdienstleistern zur Verfügung stellen. Gesundheitsdienstleister werden nachdrücklich ermutigt, alle folgenden zu tun:

  • Vervollständigen Sie ein REMS-konforme Bildungsprogramm, das von einem akkreditierten Anbieter von Continuing Education (CE) oder einem anderen Bildungsprogramm angeboten wird, das alle Elemente der FDA-Bildung Entstehung für Gesundheitsdienstleister enthält, die an der Verwaltung oder Unterstützung von Patienten mit Schmerzen beteiligt sind.
  • Besprechen Sie die sicheren Verwendung schwerwiegender Risiken und die ordnungsgemäße Lagerung und Entsorgung von Opioidanalgetika bei Patienten und/oder ihren Pflegepersonen jedes Mal, wenn diese Medikamente verschrieben werden. Der Patientenberatungshandbuch (PCG) kann unter diesem Link erhalten werden: www.fda.gov/opioidanalgeSicremspcg.
  • Betonen Sie den Patienten und ihren Pflegepersonen, wie wichtig es ist, den Medikamentenleitfaden zu lesen, den sie jedes Mal von ihrem Apotheker erhalten, wenn ein Opioidanalgetiker an sie abgegeben wird.
  • Erwägen Sie, andere Instrumente zur Verbesserung der Sicherheit des Patienten und der Sicherheit der Gemeinschaft zu verbessern, wie z. B. Patienten mit Patienten, die die Verantwortlichkeiten der Patientenrepräsentation verstärken.
  • Um weitere Informationen über die Opioid-Analgetika-REMs und für eine Liste der akkreditierten REMS CME/CE-Rufen 1-800-503-0784 zu erhalten oder sich unter www.opioidanalgesicrems.com anzumelden. Die FDA -Blaupause finden Sie unter www.fda.gov/opioidanalgesicremsblueprint.

Opioid-induzierte Hyperalgesie und Allodynie

Opioid-induzierte Hyperalgesie (OIH) tritt auf, wenn ein opioid-analgetisches paradoxerweise eine Erhöhung der Schmerzen oder eine Zunahme der Empfindlichkeit gegenüber Schmerz verursacht. Dieser Zustand unterscheidet sich von Toleranz, was die Notwendigkeit einer Erhöhung der Opioidedosen ist, um einen definierten Effekt aufrechtzuerhalten [siehe Abhängigkeit ]. Symptoms of OIH include (but may not be limited to) increased levels of pain upon opioid dosage increase decreased levels of pain upon opioid dosage decrease or pain from ordinarily non-painful stimuli (allodynia). These symptoms may suggest OIH only if there is no evidence of underlying disease progression opioid tolerance opioid withdrawal or addictive behavior.

Fälle von OIH wurden sowohl mit kurzfristiger als auch mit längerfristiger Verwendung von Opioidanalgetika gemeldet. Obwohl der Mechanismus von OIH nicht vollständig verstanden wird, wurden mehrere biochemische Wege beteiligt. Die medizinische Literatur deutet auf eine starke biologische Plausibilität zwischen Opioidanalgetika und OIH und Allodynie hin. Wenn vermutet wird, dass ein Patient eine angemessene Verringerung der Dosis des aktuellen Opioid -Analgetikums oder der Opioiddrehung (sicher schalten Sie den Patienten sicher auf eine andere Opioideinheit) angemessen ab Dosierung und Verwaltung Rückzug ].

Risiko einer lebensbedrohlichen Atemdepression bei Patienten mit chronischer Lungenerkrankung oder bei älteren kachektischen oder geschwächten Patienten

Die Verwendung von MS -Kontinieren bei Patienten mit akutem oder schwerem Asthma aus Bronchial in einer nicht überwachten Umgebung oder in Ermangelung von wiederbelebten Geräten ist kontraindiziert.

Patienten mit chronischer Lungenerkrankung

Frau Contin-treated patients with significant chronic obstructive pulmonary disease or cor pulmonale and those with a substantially decreased respiratory reserve hypoxia hypercapnia or pre-existing respiratory Depression are at increased risk of decreased respiratory drive including apnea even at recommended dosages of Frau Contin [see Lebensbedrohliche Atemdepression ].

Ältere kachektische oder geschwächte Patienten

Es ist wahrscheinlicher, dass lebensbedrohliche Atemdepression bei älteren kachektischen oder geschwächten Patienten auftritt, da sie im Vergleich zu jüngeren gesünderen Patienten möglicherweise die Pharmakokinetik oder die Clearance verändert haben [siehe Lebensbedrohliche Atemdepression ].

Bewerten Sie regelmäßig Patienten, insbesondere beim Initiieren und Titrieren von MS -Kontin Risiken aus der gleichzeitigen Verwendung mit Benzodiazepinen oder anderen ZNS -Depressiva Wechselwirkungen mit Arzneimitteln ]. Alternatively consider the use of non-opioid analgesics in these patients.

Wechselwirkung mit Monoaminoxidase -Inhibitoren

Monoaminoxidase -Inhibitoren (Maois) können die Wirkungen von Morphin einschließlich der Atemdepression und Verwirrung potenzieren. MS Contin sollte nicht bei Patienten verwendet werden, die Maois einnehmen oder innerhalb von 14 Tagen nach Beendigung einer solchen Behandlung.

Nebenniereninsuffizienz

Es wurden Fälle von Nebenniereninsuffizienz bei Opioidkonsum nach mehr als einem Monat der Verwendung berichtet. Presentation of adrenal insufficiency may include non-specific symptoms and signs including Brechreiz Erbrechen Anorexie fatigue Schwäche Schwindel and Niedriger Blutdruck . Wenn die Nebenniereninsuffizienz vermutet wird, bestätigen Sie die Diagnose mit diagnostischen Tests so bald wie möglich. Wenn die Nebenniereninsuffizienz mit physiologischen Ersatzdosen von Kortikosteroiden diagnostiziert wird. Entsetzen Sie den Patienten von der Opioid, damit die Nebennierenfunktion sich erholen und die Corticosteroidbehandlung fortsetzen kann, bis sich die Nebennierenfunktion erholt. Andere Opioide können ausprobiert werden, da einige Fälle ohne Wiederholung der Nebenniereninsuffizienz ein anderes Opioid verwendet wurden. Die verfügbaren Informationen identifizieren keine bestimmten Opioide als wahrscheinlicher, dass sie mit Nebenniereninsuffizienz verbunden sind.

Schwere Hypotonie

Frau Contin may cause severe hypotension including orthostatic hypotension and syncope in ambulatory patients. There is increased risk in patients whose ability to maintain blood pressure has already been compromised by a reduced blood volume or concurrent administration of certain CNS depressant drugs (e.g. phenothiazines or general anesthetics) [see Wechselwirkungen mit Arzneimitteln ]. Regularly evaluate these patients for signs of hypotension after initiating or titrating the dosage of Frau Contin. In patients with circulatory shock Frau Contin may cause vasodilation that can further reduce cardiac output and blood pressure. Avoid the use of Frau Contin in patients with circulatory shock.

Gebrauchsrisiken bei Patienten mit erhöhtem Intrakranialdruck Hirntumoren Kopfverletzung oder Beeinträchtigung des Bewusstseins

Bei Patienten, die möglicherweise für die intrakraniellen Wirkungen von CO anfällig sind 2 Retention (z. B. solche mit Anzeichen eines erhöhten Intrakranialdrucks oder Hirntumoren) MS können respiratorische Antrieb und den daraus resultierenden CO reduzieren 2 Die Retention kann den Intrakranialdruck weiter erhöhen. Bewerten Sie solche Patienten regelmäßig auf Anzeichen von Sedierung und Atemdepression, insbesondere bei der Initiierung der Therapie mit MS Contin.

Opioide können den klinischen Verlauf eines Patienten mit Kopfverletzung auch verdecken. Vermeiden Sie den Einsatz von MS -Kontinieren bei Patienten mit beeinträchtigtem Bewusstsein oder Koma.

Gebrauchsrisiken bei Patienten mit Magen -Darm -Erkrankungen

Frau Contin is contraindicated in patients with known or suspected gastrointestinal obstruction including paralytic ileus.

Das Morphin in MS kann weiterhin einen Krampf des Schließmuskels von Odteri verursachen. Opioide können zu Erhöhungen der Serumamylase führen. Bewerten Sie regelmäßig Patienten mit Gallenstrakterkrankungen, einschließlich einer akuten Pankreatitis bei Verschlechterung von Symptomen.

Erhöhtes Risiko für Anfälle bei Patienten mit Anfallserkrankungen

Das Morphin in MS Contines kann die Häufigkeit von Anfällen bei Patienten mit Anfallserkrankungen erhöhen und das Risiko von Anfällen erhöhen, die in anderen mit Anfällen verbundenen klinischen Umgebungen auftreten. Bewerten Sie regelmäßig Patienten mit Anfällen von Anfallserkrankungen zur verschlechterten Beschlagnahmungskontrolle während der MS -Kontinentherapie.

Rückzug

MS nicht abrupt MS Contin in einem Patienten physisch abhängig von Opioiden einstellen. Beim Absetzen von MS in einem physikalisch abhängigen Patienten schrittweise die Dosierung nach und nach. Eine schnelle Verjüngung von Morphin bei einem Patienten, der physisch von Opioiden abhängig ist Dosierung und Verwaltung Drogenmissbrauch und Abhängigkeit ].

Vermeiden Sie zusätzlich die Verwendung des gemischten Agonisten/Antagonisten (z. B. Pentazozin -Nalbuphin und Butorphanol) oder partieller Agonisten (z. B. Buprenorphin) -Analgetika bei Patienten, die eine Therapie mit einer vollständigen Opioid -Agonist -Analgesic erhalten haben oder eine Therapie erhalten. Bei diesen Patienten können gemischte Agonisten/Antagonisten und partielle Agonistenanalgetika die analgetische Wirkung verringern und/oder Entzugssymptome auslösen [siehe Wechselwirkungen mit Arzneimitteln ].

Risiken des Fahr- und Betriebsmaschinens

Frau Contin may impair the mental or physical abilities needed to perform potentially hazardous activities such as driving a car or operating machinery. Warn patients not to drive or operate dangerous machinery unless they are tolerant to the effects of Frau Contin and know how they will react to the medication.

Patientenberatungsinformationen

Raten Sie dem Patienten, die von der FDA zugelassene Patientenkennzeichnung zu lesen ( Medikamentenhandbuch ).

Lagerung und Entsorgung

Aufgrund der Risiken, die mit versehentlicher Einnahme im Missbrauch und Missbrauch verbunden sind, raten Sie den Patienten, MS Continy Continely außer Sichtweite und Reichweite von Kindern und an einem Ort zu speichern, der von anderen, einschließlich Besuchern, nicht zugänglich ist, nicht zugänglich. Die Patienten darüber informieren, dass das Verlassen von MS, die kontinuierlich ungesichert sind, ein tödliches Risiko für andere im Haushalt darstellen können [siehe WARNUNGS AND VORSICHTSMASSNAHMEN Drogenmissbrauch und Abhängigkeit ].

Beraten Sie Patienten und Betreuer, dass Medikamente, die nicht mehr benötigt werden, unverzüglich entsorgt werden sollten. Abgelaufene unerwünschte oder nicht verwendete MS Contin sollten entsorgt werden, indem die nicht verwendeten Medikamente die Toilette hinunter spülen, wenn eine Option für Drogenübernahme nicht ohne weiteres verfügbar ist. Informieren Sie die Patienten, dass sie www.fda.gov/drugdisposal besuchen können, um eine vollständige Liste von Medikamenten zu erhalten, die durch Spülen sowie zusätzliche Informationen zur Entsorgung ungenutzter Arzneimittel zur Entsorgung empfohlen werden.

Suchtmissbrauch und Missbrauch

Informieren Sie Patienten, dass die Verwendung von MS Contin, auch wenn er wie empfohlen genommen wird WARNUNGS AND VORSICHTSMASSNAHMEN ]. Instruct patients not to share Frau Contin with others and to take steps to protect Frau Contin from theft or misuse.

Lebensbedrohliche Atemdepression

Informieren Sie die Patienten über das Risiko einer lebensbedrohlichen Atemdepression, einschließlich Informationen, dass das Risiko am größten beim Starten von MS Contin oder bei erhöhtem Dosierung ist und dass es auch bei empfohlenen Dosierungen auftreten kann.

Schulung von Patienten und Betreuern darüber, wie die Atemdepression erfasst und die Bedeutung des Rufens von 911 oder die Erlangung von Notfallhilfe im Falle einer bekannten oder mutmaßlichen Überdosis hervorgehoben werden kann [siehe WARNUNGS AND VORSICHTSMASSNAHMEN ÜBERDOSIS ].

Zufällige Einnahme

Informieren die Patienten, dass eine zufällige Einnahme insbesondere durch Kinder zu einer Atemdepression oder zu Tod führen kann [siehe WARNUNGS AND VORSICHTSMASSNAHMEN ].

Wechselwirkungen mit Benzodiazepinen und anderen ZNS -Depressiva

Informieren Sie Patienten und Betreuer, dass potenziell tödliche additive Effekte auftreten können, wenn MS -Kontin WARNUNGS AND VORSICHTSMASSNAHMEN Wechselwirkungen mit Arzneimitteln ].

Patientenzugang zu Naloxon für die Notfallbehandlung von Opioidüberdosis

Besprechen Sie mit dem Patienten und der Pflegekraft die Verfügbarkeit von Naloxon für die Notfallbehandlung von Opioidüberdosis sowohl bei der Initiierung als auch bei der Erneuerung der Behandlung mit MS Contin. Informieren Sie Patienten und Pflegekräfte über die verschiedenen Möglichkeiten, Naloxon zu erhalten, wie durch einzelne staatliche Naloxonabgabe- und Verschreibungsanforderungen oder -richtlinien zulässig (z. B. durch Verschreibung direkt von einem Apotheker oder als Teil eines gemeindebasierten Programms [siehe Dosierung und Verwaltung WARNUNGS AND VORSICHTSMASSNAHMEN ].

Schulung von Patienten und Betreuern darüber, wie man die Anzeichen und Symptome einer Überdosierung erkennt.

Erklären Sie Patienten und Betreuern, dass die Auswirkungen von Naloxon vorübergehend sind und dass sie in allen Fällen von bekannten oder vermuteten Opioidüberdosierungen sofort 911 anrufen oder eine medizinische Notfallhilfe erhalten müssen, selbst wenn Naloxon verabreicht wird [siehe ÜBERDOSIS ].

Wenn Naloxon verschrieben wird, rät es auch Patienten und Pflegepersonen:

  • Wie man mit Naloxon im Falle einer Opioidüberdosis behandelt
  • Familie und Freunde von ihrem Naloxone erzählen und an einem Ort, an dem Familie und Freunde im Notfall zugreifen können
  • Lesen der Patienteninformationen (oder anderer Bildungsmaterial), die mit ihrem Naloxon verbunden sind. Betonen Sie, wie wichtig es ist, dies vor einem Opioid -Notfall zu tun, damit der Patient und die Pflegekraft wissen, was zu tun ist.
Hyperalgesie und Allodynie

Informieren Sie Patienten und Betreuer, um die Opioiddosis nicht zu erhöhen, ohne zuerst einen Kliniker zu konsultieren. Raten Sie den Patienten, medizinische Hilfe zu suchen, wenn sie Symptome einer Hyperalgesie aufweisen, einschließlich einer Verschlechterung der Schmerzen erhöhte Empfindlichkeit für Schmerzen oder neue Schmerzen [siehe WARNUNGS AND VORSICHTSMASSNAHMEN Nebenwirkungen ].

Serotons Syndrom

Informieren Sie die Patienten, dass Opioide einen seltenen, aber potenziell lebensbedrohlichen Zustand verursachen könnten, der als Serotonin-Syndrom bezeichnet wird, der sich aus einer gleichzeitigen Verabreichung von Serotonergen Medikamenten ergibt. Warnen Sie die Patienten vor den Symptomen des Serotonin -Syndroms und um sofort medizinische Hilfe zu suchen, wenn sich die Symptome entwickeln. Weisen Sie die Patienten an, ihre Ärzte zu informieren, ob sie serotonerge Medikamente einnehmen oder planen [siehe Wechselwirkungen mit Arzneimitteln ].

Maoi -Interaktion

Informieren Sie die Patienten, MS -Kontinuelle nicht einzunehmen, während Sie Medikamente verwenden, die die Monoaminoxidase hemmen. Patienten sollten bei MS Contin nicht mit Maois beginnen [siehe WARNUNGS AND VORSICHTSMASSNAHMEN Wechselwirkungen mit Arzneimitteln ].

Wichtige Verwaltungsanweisungen

Weisen Sie die Patienten an, MS Continual einschließlich der folgenden zu übernehmen:

  • MS Content Tablets Ganze schlucken [siehe Dosierung und Verwaltung ]
  • Zerquetschen oder die Tabletten nicht auflösen [siehe Dosierung und Verwaltung ]
  • Verwenden Sie MS Contin genau wie verschrieben, um das Risiko von lebensbedrohlichen Nebenwirkungen (z. B. Atemdepression) zu verringern [siehe WARNUNGS AND VORSICHTSMASSNAHMEN ]
Wichtige Absetzenanweisungen

Um die Entwicklung von Entzugssymptomen nicht zu entwickeln, weist die Patienten an, MS Contin nicht zu beenden, ohne zuerst einen sich verjüngenden Plan mit dem Prescriber zu diskutieren [siehe Dosierung und Verwaltung ].

Fahren oder Betreiben schwerer Maschinen

Informieren Sie die Patienten, dass MS weiterhin die Fähigkeit beeinträchtigen kann, potenziell gefährliche Aktivitäten wie das Fahren eines Autos oder den Betrieb schwerer Maschinen auszuführen. Raten Sie den Patienten, solche Aufgaben erst auszuführen, bis sie wissen, wie sie auf das Medikament reagieren [siehe WARNUNGS AND VORSICHTSMASSNAHMEN ].

Verstopfung

Beraten Sie den Patienten über das Potenzial für schwere Verstopfung, einschließlich Managementanweisungen und wann sie medizinische Hilfe suchen sollen [siehe Nebenwirkungen s Klinische Pharmakologie ].

Nebenniereninsuffizienz

Informieren Sie die Patienten, dass MS Contin die Nebenniereninsuffizienz zu einem potenziell lebensbedrohlichen Zustand verursachen könnte. Nebennieren-Insuffizienz kann mit nicht spezifischen Symptomen und Anzeichen wie Übelkeit auftreten, wie beispielsweise die Schwäche der Anorexie-Müdigkeit Schwäche und niedriger Blutdruck. Raten Sie den Patienten, medizinische Hilfe zu suchen, wenn sie eine Konstellation dieser Symptome erleben [siehe WARNUNGS AND VORSICHTSMASSNAHMEN ].

Hypotonie

Informieren Sie die Patienten, dass MS weiterhin orthostatische Hypotonie und Synkope verursachen können. Weisen Sie Patienten an, wie man Symptome eines niedrigen Blutdrucks erkennen und wie das Risiko schwerwiegender Folgen eine Hypotonie verringern sollte (z. B. sitzen oder hinlegen WARNUNGS AND VORSICHTSMASSNAHMEN ].

Anaphylaxie

Informieren Sie die Patienten, dass eine Anaphylaxie mit in MS Contin enthaltenen Zutaten berichtet wurde. Beraten Sie den Patienten, wie sie eine solche Reaktion erkennen und wann sie medizinische Hilfe suchen sollen [siehe Kontraindikationen Nebenwirkungen ].

Schwangerschaft

Neugeborenen -Opioid -Entzugssyndrom

Informieren Sie weibliche Patienten über das Fortpflanzungspotential, dass die Verwendung von MS Contin über einen längeren Zeitraum während der Schwangerschaft zu einem Neugeborenen-Opioid-Entzug-Syndrom führen kann, das möglicherweise lebensbedrohlich sein kann, wenn nicht erkannt und behandelt WARNUNGS AND VORSICHTSMASSNAHMEN Verwendung in bestimmten Populationen ].

Embryo-Fetal-Toxizität

Informieren Sie weibliche Patienten über das Fortpflanzungspotential, dass MS Contin fetale Schäden verursachen und ihren Gesundheitsdienstleister über eine bekannte oder vermutete Schwangerschaft informieren kann [siehe Nebenwirkungen ].

Stillzeit

Beraten Sie den Patienten, dass das Stillen während der Behandlung mit MS Contin nicht empfohlen wird [siehe Verwendung in bestimmten Populationen ]

Unfruchtbarkeit

Informieren Sie die Patienten, dass die chronische Verwendung von Opioiden eine verringerte Fruchtbarkeit verursachen kann. Es ist nicht bekannt, ob diese Auswirkungen auf die Fruchtbarkeit reversibel sind [ Verwendung in bestimmten Populationen ].

Nichtklinische Toxikologie

Karzinogenese -Mutagenese -Beeinträchtigung der Fruchtbarkeit

Karzinogenese

Langzeitstudien an Tieren zur Bewertung des krebserzeugenden Potentials von Morphin wurden nicht durchgeführt.

Mutagenese

Es wurden keine formalen Studien zur Beurteilung des mutagenen Potentials von Morphin durchgeführt. In der veröffentlichten Literatur wurde festgestellt, dass Morphin mutagen ist in vitro Erhöhte DNA-Fragmentierung bei menschlichen T-Zellen. Es wurde berichtet, dass Morphin mutagen in der ist vergeblich Maus -Mikronukleus -Assay und positiv für die Induktion von chromosomalen Aberrationen in Mausspermatiden und Murinenlymphozyten. Mechanistische Studien legen nahe, dass die vergeblich Mit Morphin bei Mäusen berichtete klastogene Wirkungen können mit Erhöhungen der Glukokortikoidspiegel zusammenhängen, die durch Morphin in dieser Spezies produziert werden. Im Gegensatz zu den oben genannten positiven Befunden in vitro Studien in der Literatur haben auch gezeigt, dass Morphin keine chromosomalen Aberrationen in menschlichen Leukozyten oder Translokationen oder letalen Mutationen in Drosophila induzierte.

Beeinträchtigung der Fruchtbarkeit

Es wurden keine formalen nichtklinischen Studien zur Bewertung des Potenzials von Morphin zur Beeinträchtigung der Fruchtbarkeit durchgeführt. Mehrere nichtklinische Studien aus der Literatur haben nachteilige Auswirkungen auf die männliche Fruchtbarkeit der Ratte durch Morphin -Exposition gezeigt. Eine Studie, in der männliche Ratten vor der Paarung (bis zu 30 mg/kg zweimal täglich) subkutan (bis zu 30 mg/kg) und während der Paarung (20 mg/kg zweimal täglich) verabreicht wurden, wobei unbehandelte Weibchen eine Reihe von unerwünschten Fortpflanzungseffekten einschließlich einer Reduktion der Gesamtschwangerschaft und einer höheren Inzidenz von Pseudopregnancen nach 20 mg/kg/tagsüber (NULL,2 -mal).

Studien aus der Literatur haben auch Veränderungen der hormonellen Spiegel bei männlichen Ratten (d. H. Testosteron -Luteinisierungshormon) nach Behandlung mit Morphin bei 10 mg/kg/Tag oder mehr (NULL,6 -mal der Festplatte) berichtet.

Weibliche Ratten, denen Morphinsulfat vor der Paarung intraperitoneal verabreicht wurde, zeigten längere Östruszyklen bei 10 mg/kg/Tag (NULL,6 -mal der Festplatte).

Die Exposition von männlichen Ratten von jugendlichen männlichen Ratten gegenüber Morphin wurde mit einer verzögerten sexuellen Reifung in Verbindung gebracht und nach der Paarung mit unbehandelten Frauen kleinere Würfe wurde die PUP -Mortalität erhöht und/oder Änderungen des reproduktiven endokrinen Status bei erwachsenen männlichen Nachkommen berichtet (geschätzt 5 -fache Plasmaspiegel bei der Festplatte).

Verwendung in bestimmten Populationen

Schwangerschaft

Risikozusammenfassung

Die Verwendung von Opioidanalgetika über einen längeren Zeitraum während der Schwangerschaft kann das Neugeborenen -Entzugssyndrom verursachen [siehe WARNUNGS AND VORSICHTSMASSNAHMEN ]. There are no available data with Frau Contin in pregnant women to inform a drug-associated risk for major birth defects and miscarriage. Published studies with morphine use during pregnancy have not reported a clear association with morphine and major birth defects [see Menschliche Daten ]. In published animal reproduction studies morphine administered subcutaneously during the early gestational period produced neural tube defects (i.e. exencephaly and cranioschisis) at 5 and 16 times the human daily dose of 60 mg based on body surface area (HDD) in hamsters and mice respectively lower fetal body weight and increased incidence of abortion at 0.4 times the HDD in the rabbit growth retardation at 6 times the HDD in the rat and axial skeletal fusion and cryptorchidism at 16 times the HDD in the mouse. Administration of morphine sulfate to pregnant rats during organogenesis and through lactation resulted in cyanosis hypothermia decreased brain weights pup mortality decreased pup body weights and adverse effects on reproductive tissues at 3 to 4 times the HDD; and long-term neurochemical changes in the brain of offspring which correlate with altered behavioral responses that persist through adulthood at exposures comparable to and less than the HDD [see Tierdaten ]. Based on animal data advise pregnant women of the potential risk to a fetus.

Das Hintergrundrisiko von schweren Geburtsfehlern und Fehlgeburten für die angegebene Bevölkerung ist unbekannt. Alle Schwangerschaften haben ein Hintergrundrisiko für einen Verlust von Geburtsfehlern oder andere nachteilige Ergebnisse. In der US -allgemeinen Bevölkerung beträgt das geschätzte Hintergrundrisiko für größere Geburtsfehler und eine Fehlgeburt bei klinisch anerkannten Schwangerschaften 2 bis 4% bzw. 15 bis 20%.

Klinische Überlegungen

Nebenwirkungen von fetalen/Neugeborenen

Die Verwendung von Opioidanalgetika über einen längeren Zeitraum während der Schwangerschaft für medizinische oder nichtmedizinische Zwecke kann kurz nach der Geburt zu einer physischen Abhängigkeit des Neugeborenen- und Neugeborenen -Opioid -Entzugssyndroms führen. Das Neugeborenen -Opioid -Entzug -Syndrom ist als Reizbarkeit Hyperaktivität und abnormales Schlafmuster hoher Pitched -Crem -Tremor -Erbrechen durch Durchfall und Versagen, Gewicht zu nutzen. Die Beginndauer und der Schweregrad des Neugeborenen -Opioid -Entzugssyndroms variieren je nach dem spezifischen Opioid verwendeten Gebrauchszeitpunkt und der Menge der letzten Mütterkonsum und der Eliminierungsrate des Arzneimittels durch das Neugeborene. Beobachten Sie Neugeborene nach Symptomen des Neugeborenen -Opioid -Entzugssyndroms und verwalten Sie entsprechend [siehe WARNUNGS AND VORSICHTSMASSNAHMEN ]

Arbeit oder Lieferung

Opioide überschreiten die Plazenta und können bei Neugeborenen eine Atemdepression und psycho-physiologische Wirkungen hervorrufen. Ein Opioidantagonist wie Naloxon muss für die Umkehrung der Opioid-induzierten Atemdepression im Neugeborenen verfügbar sein. MS Contin wird nicht für die Verwendung bei schwangeren Frauen während oder unmittelbar vor der Wehen empfohlen, wenn kürzere Analgetika oder andere analgetische Techniken angemessener wurden. Opioidanalgetika einschließlich MS Contin können Arbeit durch Maßnahmen verlängern, die die Festigkeitsdauer und Häufigkeit von Uteruskontraktionen vorübergehend verringern. Dieser Effekt ist jedoch nicht konsistent und kann durch eine erhöhte Halsrate ausgeglichen werden, die dazu neigt, die Arbeit zu verkürzen. Überwachen Sie Neugeborene, die Opioidanalgetika während der Wehen auf Anzeichen einer überschüssigen Sedierung und der Atemdepression ausgesetzt sind.

Daten

Menschliche Daten

Die Ergebnisse einer bevölkerungsbezogenen prospektiven Kohorte, darunter 70 Frauen, die während des ersten Schwangerschaftstrimesters Morphin ausgesetzt waren, und 448 Frauen, die zu irgendeinem Zeitpunkt während der Schwangerschaft einem Morphin ausgesetzt waren, weisen auf kein erhöhtes Risiko für angeborene Fehlbildungen hin. Diese Studien können jedoch aufgrund methodischer Einschränkungen, einschließlich kleiner Stichprobengröße und nicht randomisiertes Studiendesign, nicht definitiv das Fehlen eines Risikos feststellen.

Tierdaten

Es wurden keine formalen reproduktiven und entwickligischen Toxikologiestudien für Morphin durchgeführt. Die Expositionsmargen für die folgenden veröffentlichten Studienberichte basieren auf einer täglichen Dosis von 60 mg Morphin unter Verwendung eines Vergleichs der Körperoberfläche (HDD).

Neuralrohrdefekte (Exencephalie und Cranioschisis) wurden nach subkutaner Verabreichung von Morphinsulfat (35 bis 322 mg/kg) am Schwangerschaftstag 8 an schwangere Hamster (NULL,7 bis 43,5 -fache der Festplatte) festgestellt. In dieser Studie wurde kein nachteiliger Effektniveau definiert, und die Ergebnisse können nicht eindeutig auf die mütterliche Toxizität zurückgeführt werden. Neural tube defects (exencephaly) axial skeletal fusions and cryptorchidism were reported following a single subcutaneous (SC) injection of morphine sulfate to pregnant mice (100 to 500 mg/kg) on ​​Gestation Day 8 or 9 at 200 mg/kg or greater (16 times the HDD) and fetal resorption at 400 mg/kg or higher (32 times the HDD). In diesem Modell (8 -fache der Festplatte) wurden nach 100 mg/kg -Morphin keine nachteiligen Auswirkungen festgestellt. In einer Studie nach kontinuierlicher subkutaner Infusion von Dosen größer oder gleich 2,72 mg/kg zu Mäusen (NULL,2 -fache der HDD) wurden execephaly hydronephrosedarmblutung aufgeteilt, die supraoczipitale fehlgeformte Sternebrae geteilt wurden, und fehlformte Xiphoid wurde angegeben. Die Effekte wurden mit zunehmender täglicher Dosis verringert; möglicherweise aufgrund einer schnellen Induktion der Toleranz unter diesen Infusionsbedingungen. Die klinische Bedeutung dieses Berichts ist nicht klar.

Verringerte fetale Gewichte wurden bei schwangeren Ratten beobachtet, die mit 20 mg/kg/Tag Morphinsulfat (NULL,2 -fach der Festplatten) vom Schwangerschaftstag 7 bis 9 behandelt wurden. Es gab keine Hinweise auf Fehlbildungen trotz mütterlicher Toxizität (10% Mortalität). In a second rat study decreased fetal weight and increased incidences of growth retardation were noted at 35 mg/kg/day (5.7 times the HDD) and there was a reduced number of fetuses at 70 mg/kg/day (11.4 times the HDD) when pregnant rats were treated with 10 35 or 70 mg/kg/day morphine sulfate via continuous infusion from Gestation Day 5 to 20. There was Kein Hinweis auf fetale Missbildungen oder mütterliche Toxizität.

Eine erhöhte Inzidenz von Abtreibung wurde in einer Studie festgestellt, in der schwangere Kaninchen mit 2,5 (NULL,8-fach der HDD) bis 10 mg/kg Morphinsulfat über subkutane Injektion von Schwangerschaftstag 6 bis 10 behandelt wurden. In einer zweiten Studie verringerte die Fetalgewichtsgewichte der fetalen Körpergewichte nach der Behandlung von schwangeren Rabbits mit zunehmendem Morpin und 50 mg/kg/kg/Tag. Mg/kg/Tag (16 -mal der Festplatte) während der Schwangerschaftszeit. In beiden Veröffentlichungen wurden keine offenkundigen Missbildungen gemeldet; Obwohl nur begrenzte Endpunkte bewertet wurden.

In veröffentlichten Studien zur Rattenexposition gegenüber Morphin während der Schwangerschafts- und/oder Laktationsperioden ist mit: verminderte Lebensfähigkeit der Welpe bei 12,5 mg/kg/Tag oder mehr (2 -mal der Festplatten); verringerte das Körpergewicht mit 15 mg/kg/Tag oder mehr (NULL,4 -mal der Festplatte); Eine verminderte Wurfgröße verringerte das absolute Gehirn und Kleinhirngewichte Cyanose und Unterkühlung bei 20 mg/kg/Tag (NULL,2 -fache der Festplatte); Veränderung der Verhaltensreaktionen (sozialer Interaktion spielen) bei 1 mg/kg/Tag oder höher (NULL,2-fach der Festplatten); Veränderung des mütterlichen Verhaltens (z. B. verringerte Pflege- und Puppenabruf) bei Mäusen bei 1 mg/kg oder höher (NULL,08 -mal der Festplatte) und Ratten bei 1,5 mg/kg/Tag oder höher (NULL,2 -mal der Festplatte); und eine Vielzahl von Verhaltensanomalien bei den Nachkommen von Ratten, einschließlich einer veränderten Reaktionsfähigkeit auf Opioide bei 4 mg/kg/Tag (NULL,7 -mal der Festplatte) oder höher.

Es wurde gezeigt, dass fetale und/oder postnatale Exposition gegenüber Morphin bei Mäusen und Ratten zu morphologischen Veränderungen der fetalen und neonatalen Gehirn- und neuronalen Zellverlustveränderung einer Reihe von Neurotransmitter- und Neuromodulatorsystemen, einschließlich Opioid- und Nicht-Opioid-Systemen und Beeinträchtigung in verschiedenen Lern- und Gedächtnisuntersuchungen, zu einer Veränderung einer Reihe von Neurotransmitter- und Gedächtnisuntersuchungen führt. Diese Studien wurden mit Morphinbehandlung durchgeführt, die normalerweise im Bereich von 4 bis 20 mg/kg/Tag (NULL,7 bis 3,2 -mal die Festplatte) sind.

Zusätzlich verzögerte die sexuelle Reifung und verringerte sexuelle Verhaltensweisen bei weiblichen Nachkommen bei 20 mg/kg/Tag (NULL,2 -fach das HDD) und verringerte das Plasma und die Testikularspiegel von luteinisierender Hormon und Testosteron verringerte Tests Gewichte, Seminier -Tubulus -Schrumpfung. HDD). Eine verminderte Wurfgröße und Lebensfähigkeit wurden in den Nachkommen männlicher Ratten beobachtet, die 1 Tag vor der Paarung bei 25 mg/kg/Tag (NULL,1 -fache der Festplatte) intraperitoneal verabreicht wurden und mit unbehandelten Frauen kombiniert wurden. Verringerte Lebensfähigkeit und Körpergewicht und/oder Bewegungsdefizite sowohl bei Nachkommen der ersten als auch in der zweiten Generation wurden gemeldet, wenn männliche Mäuse 5 Tage lang mit eskalierenden Dosen von 120 bis 240 mg/kg/Tag behandelt wurden. Eine 5-tägige Behandlungsfreier Erholungsphase vor der Paarung. Ähnliche multigenerationale Befunde wurden auch bei weiblichen Ratten beobachtet, die prä-stationell mit eskalierenden Dosen von 10 bis 22 mg/kg/Tag Morphin (NULL,6 bis 3,6-fache der Festplatte) behandelt wurden.

Stillzeit

Risikozusammenfassung

Morphin ist in Muttermilch vorhanden. Veröffentlichte Laktationsstudien berichten über variable Morphinkonzentrationen in der Muttermilch mit Verabreichung von Morphin mit sofortiger Freisetzung an stillende Mütter im frühen postpartalen Zeitraum mit einem Milch-zu-Plasma-Morphin-AUC-Verhältnis von 2,5: 1, gemessen in einer Laktationsstudie. Es gibt jedoch nicht genügend Informationen, um die Auswirkungen von Morphin auf das gestillte Kind und die Auswirkungen von Morphin auf die Milchproduktion zu bestimmen. Laktationsstudien wurden nicht mit erweitertem Release -Morphin einschließlich MS Contin durchgeführt. Aufgrund des Potenzials für schwerwiegende Nebenwirkungen, einschließlich überschüssiger Sedierung und Atemdepression bei einem gestillten Kind, werden Patienten während der Behandlung mit MS Contin nicht empfohlen.

Klinische Überlegungen

Überwachung von Säuglingen, die MS ausgesetzt sind, die durch die Muttermilch kontaktiert werden, um überschüssige Sedierung und Atemdepression zu sein. Entzugssymptome können bei gestillten Säuglingen auftreten, wenn die mütterliche Verabreichung eines Opioidanalgetikums gestoppt wird oder beim Stillen gestoppt wird.

Frauen und Männer des Fortpflanzungspotentials

Unfruchtbarkeit

Die Verwendung von Opioiden über einen längeren Zeitraum kann eine verringerte Fruchtbarkeit bei Frauen und Männern des Fortpflanzungspotentials verursachen. Es ist nicht bekannt, ob diese Auswirkungen auf die Fruchtbarkeit reversibel sind [siehe Nebenwirkungen Klinische Pharmakologie Nichtklinische Toxikologie ].

In veröffentlichten Tierstudien nachteiligte Morphin -Verabreichung von Fruchtbarkeit und reproduktiven Endpunkten bei männlichen Ratten und einem verlängerten Östruszyklus bei weiblichen Ratten [siehe Nichtklinische Toxikologie ].

Pädiatrische Verwendung

Die Sicherheit und Wirksamkeit bei pädiatrischen Patienten unter dem Alter von 18 Jahren wurde nicht festgestellt.

Geriatrische Verwendung

Die Pharmakokinetik von MS Contin wurde bei älteren Patienten nicht untersucht. Klinische Studien von MS Contin umfassten nicht eine ausreichende Anzahl von Probanden ab 65 Jahren, um festzustellen, ob sie anders als jüngere Probanden reagieren.

Ältere Patienten (ab 65 Jahren oder älter) können eine erhöhte Empfindlichkeit gegenüber Morphin haben. Verwenden Sie im Allgemeinen Vorsicht bei der Auswahl einer Dosierung für einen älteren Patienten, der normalerweise am unteren Ende des Dosierungsbereichs beginnt, was die größere Häufigkeit einer verringerten Nieren- oder Herzfunktion des Lebers widerspiegelt, und einer gleichzeitigen Erkrankung oder einer anderen medikamentösen Therapie.

Atemdepression ist das Hauptrisiko für ältere Patienten, die mit Opioiden behandelt wurden und nach großen anfänglichen Dosen an Patienten aufgetreten sind, die nicht opioid-tolerant waren oder wenn Opioide mit anderen Wirkstoffen, die die Atmung depressieren, gemeinsam verabreicht wurden. Titrieren Sie die Dosierung von MS -Kontin WARNUNGS AND VORSICHTSMASSNAHMEN ].

Es ist bekannt, dass Morphin von der Niere wesentlich ausgeschieden wird, und das Risiko von Nebenwirkungen auf dieses Arzneimittel kann bei Patienten mit beeinträchtigter Nierenfunktion höher sein. Da ältere Patienten mit größerer Wahrscheinlichkeit eine verminderte Nierenfunktionspflege haben, sollten die Selektion der Dosis durchgeführt werden, und es kann möglicherweise nützlich sein, die Nierenfunktion regelmäßig zu bewerten.

Hepatische Beeinträchtigung

Es wurde berichtet, dass Morphin -Pharmakokinetik bei Patienten mit Zirrhose signifikant verändert ist. Beginnen Sie diese Patienten mit einer niedrigeren als üblichen Dosierung von MS -Kontin Klinische Pharmakologie ].

Nierenbehinderung

Die Morphin -Pharmakokinetik wird bei Patienten mit Nierenversagen verändert. Beginnen Sie diese Patienten mit einer niedrigeren als üblichen Dosierung von MS -Kontin Klinische Pharmakologie ].

Überdosierungsinformationen für MS-Contin

Klinische Präsentation

Eine akute Überdosierung mit MS Contin kann sich durch die Schläfrigkeit der Atemdepression manifestieren, die sich zu Stupor- oder Koma -Skelettmuskulatur schließt, Kalt- und klammige Haut verengte die Pupillen und in einigen Fällen Lungenödem -Ödemödeme Bradykardie -Hypotonie teilweise oder vollständige Atypisch -Atypische Schnitt und Tod. Mit Hypoxie in Überdosierungssituationen kann eher eine ausgeprägte Mydriasis als Miose beobachtet werden.

Behandlung von Überdosis

Bei Überdosierung sind Prioritäten die Wiederherstellung eines Patent- und geschützten Atemwegs und einer Einrichtung von unterstützten oder kontrollierten Belüftungen bei Bedarf. Verwenden Sie andere unterstützende Maßnahmen (einschließlich Sauerstoff und Vasopressoren) bei der Behandlung von Kreislaufschock und Lungenödemen wie angegeben. Herzstillstand oder Arrhythmien erfordern fortgeschrittene Lebenserhaltungstechniken.

Opioidantagonisten wie Naloxon sind spezifische Gegenmittel gegen Atemdepression, die sich aus einer Opioidüberdosis ergeben. Für klinisch signifikante Atem- oder Kreislaufdepressionen infolge der Opioidüberdosierung einen Opioidantagonisten.

Da erwartet wird, dass die Umkehrdauer geringer ist als die Wirkungsdauer von Morphin in MS, die den Patienten sorgfältig überwacht, bis die spontane Atmung zuverlässig wieder hergestellt wird. MS Contin wird weiterhin Morphin freisetzen und die Morphinlast 24 bis 48 Stunden oder länger nach Aufnahme erhöhen, was eine längere Überwachung erfordert. Wenn die Reaktion auf Opioidantagonisten suboptimal ist oder nur kurz in der Natur einen zusätzlichen Antagonisten verabreicht, das durch die Verschreibungsinformationen des Produkts gerichtet ist.

In einer individuellen physikalisch abhängigen Opioiden wird die verabreichte Verabreichung der empfohlenen üblichen Dosierung des Antagonisten ein akutes Entzugssyndrom auslösen. Die Schwere der auf erlebten Entzugssymptome hängt vom Grad der körperlichen Abhängigkeit und der Dosis des verabreichten Antagonisten ab. Wenn eine Entscheidung getroffen wird, um schwerwiegende Atemdepressionen bei der körperlich abhängigen Patientenverabreichung des Antagonisten zu behandeln, sollte mit Sorgfalt und Titration mit kleineren Dosen des Antagonisten eingeleitet werden.

Kontraindikationen für MS-Contin

Frau Contin is contraindicated in patients with:

  • Signifikante Atemdepression [siehe WARNUNGS AND VORSICHTSMASSNAHMEN ]
  • Akutes oder schweres bronchiale Asthma in einer nicht überwachten Umgebung oder in Abwesenheit von wiederbelebten Geräten [siehe WARNUNGS AND VORSICHTSMASSNAHMEN ]
  • Gleichzeitige Verwendung von Monoaminoxidase -Inhibitoren (Maois) oder Verwendung von Maois innerhalb der letzten 14 Tage [siehe WARNUNGS AND VORSICHTSMASSNAHMEN Wechselwirkungen mit Arzneimitteln ].
  • Bekannte oder vermutete gastrointestinale Obstruktion einschließlich lähmter Ileus [siehe WARNUNGS AND VORSICHTSMASSNAHMEN ]
  • Überempfindlichkeit (z. B. Anaphylaxie) gegen Morphin [siehe Nebenwirkungen ]

Klinische Pharmakologie for MS-Contin

Wirkungsmechanismus

Morphin ist ein vollständiger Opioid-Agonist und für den Mu-Opioid-Rezeptor relativ selektiv, obwohl es bei höheren Dosen an andere Opioidrezeptoren binden kann. Die wichtigste therapeutische Wirkung von Morphin ist Analgesie. Wie alle vollen Opioidagonisten gibt es für Analgesie mit Morphin keinen Deckeneffekt. Die klinische Dosierung wird titriert, um eine angemessene Analgesie bereitzustellen, und kann durch nachteilige Reaktionen wie Atemweg und ZNS -Depression begrenzt sein.

Der genaue Mechanismus der analgetischen Wirkung ist unbekannt. Spezifische ZNS-Opioidrezeptoren für endogene Verbindungen mit opioidähnlicher Aktivität wurden jedoch im gesamten Gehirn und im Rückenmark identifiziert und sollen eine Rolle bei den analgetischen Wirkungen dieses Arzneimittels spielen.

Pharmakodynamik

ZNS -Depressivum/Alkohol -Interaktion

Additive pharmakodynamische Effekte sind zu erwarten, wenn MS -Kontinent in Verbindung mit Alkohol andere Opioide oder illegale Medikamente verwendet wird, die Depressionen des Zentralnervensystems verursachen.

Auswirkungen auf das Zentralnervensystem

Morphin produziert Atemdepression durch direkte Wirkung auf Hirnstamm -Atmungszentren. Die Atemdepression beinhaltet eine Verringerung der Reaktionsfähigkeit der Hirnstamm -Atmungszentren, sowohl die Kohlendioxidspannung als auch die elektrische Stimulation zu erhöhen.

Morphin verursacht Miose auch bei totaler Dunkelheit. Pinpoint -Pupillen sind ein Vorzeichen für eine Überdosierung der Betäubungsmittel, aber nicht pathognomonisch (z. B. Pontinläsionen hämorrhagischer oder ischämischer Herkunft können ähnliche Befunde erzeugen). Mit Hypoxie in Überdosierungssituationen kann eher eine ausgeprägte Mydriasis als Miose beobachtet werden.

Wellbutrin xl 300 mg Gewichtsverlust
Auswirkungen auf den Magen -Darm -Trakt und andere glatte Muskeln

Morphin führt zu einer Verringerung der Motilität im Zusammenhang mit einer Zunahme des glatten Muskeltonus im Antrum des Magens und im Duodenum. Die Verdauung von Nahrungsmitteln im Dünndarm wird verzögert und die treibenden Kontraktionen werden verringert. Die treibenden peristaltischen Wellen im Dickdarm werden verringert, während der Ton auf den Punkt des Krampfes erhöht werden kann, was zu Verstopfung führt. Andere opioidinduzierte Effekte können die Verringerung des Krampfs der Gallen- und Pankreassekrete des Schließmuskels von Oddi und transienten Erhöhungen in der Serumamylase umfassen.

Auswirkungen auf das kardiovaskuläre System

Morphin erzeugt eine periphere Vasodilatation, die zu orthostatischer Hypotonie oder Synkope führen kann. Manifestationen der Histaminfreisetzung und/oder der peripheren Vasodilatation können Pruritus umfassen, die rote Augen schwitzen und/oder eine orthostatische Hypotonie.

Auswirkungen auf das endokrine System

Opioide hemmen die Sekretion von Adrenocorticotropen -Hormon (ACTH) Cortisol und luteinisierendem Hormon (LH) beim Menschen [siehe Nebenwirkungen ]. They also stimulate prolactin growth hormone (GH) secretion and pancreatic secretion of insulin and glucagon.

Die chronische Verwendung von Opioiden kann die Hypothalamus-Hypophysen-Gonaden-Achse beeinflussen, die zu einem Androgenmangel führt, der sich als niedrige Libido manifestieren kann Impotenz Amenorrhoe oder Unfruchtbarkeit erektiler Dysfunktion. Die kausale Rolle von Opioiden im klinischen Syndrom des Hypogonadismus ist unbekannt, da die verschiedenen medizinischen körperlichen Lebensstil und psychischen Stressoren, die die Gonadenhormonspiegel beeinflussen können, in bisher durchgeführten Studien nicht angemessen kontrolliert wurden [siehe Nebenwirkungen ].

Auswirkungen auf das Immunsystem

Es wurde gezeigt, dass Opioide eine Vielzahl von Auswirkungen auf Komponenten des Immunsystems in haben in vitro und Tiermodelle. Die klinische Bedeutung dieser Ergebnisse ist unbekannt. Insgesamt scheinen die Auswirkungen von Opioiden geringfügig immunsuppressiv zu sein.

Konzentration

Wirksamkeitsbeziehungen

Die minimal wirksame Analgetika -Konzentration variiert bei Patienten, insbesondere bei Patienten, die zuvor mit starken agonistischen Opioiden behandelt wurden. Die minimal wirksame analgetische Konzentration von Morphin für einen einzelnen Patienten kann im Laufe der Zeit aufgrund eines Anstiegs der Schmerzen die Entwicklung eines neuen Schmerzsyndroms und/oder der Entwicklung einer analgetischen Toleranz erhöhen [siehe Dosierung und Verwaltung ]

Konzentration

Unerwünschte Reaktionsbeziehungen

Es besteht eine Beziehung zwischen einer zunehmenden Morphinplasmakonzentration und einer zunehmenden Häufigkeit von dosisbedingten Opioiden-Nebenwirkungen wie Übelkeitserbringung von ZNS-Effekten und Atemdepression. Bei opioid-toleranten Patienten kann die Situation durch die Entwicklung der Toleranz gegenüber opioidbedingten Nebenwirkungen verändert werden [siehe Dosierung und Verwaltung ].

Pharmakokinetik

Absorption

Frau Contin is an extended-release tablet containing morphine sulfate. Morphine is released from Frau Contin somewhat more slowly than from immediate-release oral preparations. Following oral administration of a given dose of morphine the amount ultimately absorbed is essentially the same whether the source is Frau Contin or an immediate-release formulation. Because of pre-systemic elimination (i.e. metabolism in the gut wall and liver) only about 40% of the administered dose reaches the central compartment.

Die orale Bioverfügbarkeit von Morphin beträgt ungefähr 20 bis 40%. Wenn MS Contin auf einem festen Dosierungsschema verabreicht wird, wird der stationäre Zustand in etwa einem Tag erreicht.

Lebensmitteleffekt

Die Auswirkung von Lebensmitteln auf die systemische Bioverfügbarkeit von MS Contin wurde für alle Stärken nicht systematisch bewertet. Eine Studie mit den 30 mg MS-Kontinentabletten zeigte keine signifikanten Unterschiede in den CMAX- und AUC-Werten (0-24H), unabhängig davon, ob das Tablet beim Fasten oder mit einem fettreichen Frühstück aufgenommen wurde.

Verteilung

Sobald Morphin absorbiert ist, ist der Skelettmuskelkieren Leberdarmtrakt Lungen Milz und Gehirn. Morphin überquert auch Plazenta -Membranen und wurde in der Muttermilch gefunden. Das Verteilungsvolumen (VD) für Morphin beträgt ungefähr 3 bis 4 Liter pro Kilogramm und Morphin beträgt 30 bis 35% reversibel an Plasmaproteine.

Beseitigung

Stoffwechsel

Die Hauptwegen des Morphinstoffwechsels umfassen Glucuronidation zur Herstellung von Metaboliten wie Morphin-3Glucuronid M3G (etwa 50%) und Morphin-6-Glucuronid M6G (etwa 5 bis 15%) und die Sulfatierung in der Leber zur Erzeugung von Morphin-3-3-Sulfat. Eine kleine Fraktion (weniger als 5%) Morphin ist demethyliert. Es wurde gezeigt, dass M6G eine analgetische Aktivität aufweist, aber die Blut-Hirn-Schranke schlecht überschreitet, während M3G keine signifikante analgetische Aktivität aufweist.

Ausscheidung

Die Eliminierung von Morphin erfolgt hauptsächlich als Nierenausscheidung von M3G und ihre wirksame Halbwertszeit nach intravenöser Verabreichung beträgt normalerweise 2 bis 4 Stunden. Ungefähr 10% der Dosis werden im Urin unverändert ausgeschieden. In einigen Studien, in denen längere Zeiträume der Plasmabiltung eine länger terminale Halbwertszeit von etwa 15 Stunden umfassten, wurde berichtet. Eine kleine Menge des Glucuronid -Konjugats wird in der ausgeschieden sogar Und es gibt ein kleines enterohepatisches Recycling.

Spezifische Populationen

Sex

Eine Geschlechtsanalyse von pharmakokinetischen Daten von gesunden Probanden, die MS -Kontinierten einnahmen, zeigte, dass Morphinkonzentrationen bei Männern und Frauen ähnlich waren.

Rasse/ethnische Zugehörigkeit

Chinesische Probanden, die intravenöser Morphin verabreichten, hatten im Vergleich zu kaukasischen Probanden (1852 /-116 ml /min im Vergleich zu 1495 /- 80 ml /min).

Hepatische Beeinträchtigung

Die Morphin -Pharmakokinetik wird bei Patienten mit Zirrhose verändert. Es wurde festgestellt, dass die Clearance mit einem entsprechenden Anstieg der Halbwertszeit abnimmt. Die M3G und M6G zu Morphinplasma -AUC -Verhältnissen nahmen bei diesen Patienten ebenfalls ab, was auf eine verminderte Stoffwechselaktivität hinweist. Angemessene Studien zur Pharmakokinetik von Morphin bei Patienten mit schwerer Leberbeeinträchtigung wurden nicht durchgeführt.

Nierenbehinderung

Die Morphin -Pharmakokinetik wird bei Patienten mit Nierenversagen verändert. Die AUC ist erhöht und die Clearance wird verringert und die Metaboliten M3G und M6G können bei Patienten mit Nierenversagen im Vergleich zu Patienten mit normaler Nierenfunktion zu viel höheren Plasmaspiegeln ansammeln. Angemessene Studien zur Pharmakokinetik von Morphin bei Patienten mit schwerer Nierenbeeinträchtigung wurden nicht durchgeführt.

Patienteninformationen für MS-Contin

Frau Contin ®
(MS-Kon-Tin) (Morphinsulfat-Tabletten verlängerte Freisetzung)

Frau Contin is:

  • Ein starkes verschreibungspflichtiges Schmerzmittel, das ein Opioid (Betäubungsmittel) enthält, mit dem Schmerz, das schwerwiegend genug ist, um die Langzeitbehandlung mit einem Opioid täglich zu erfordern, wenn andere Schmerzbehandlungen wie Nicht-Opioid-Schmerzmittel oder Opioidmedikamente mit sofortiger Freisetzung Ihre Schmerzen nicht so gut wie möglich behandeln, oder Sie nicht tolerieren können.
  • Eine langwirksame Opioidschmerzmedizin (Extended-Freisetzung), mit der Sie eine Überdosierung und den Tod gefährden können. Auch wenn Sie Ihre Dosis wie vorgeschrieben richtig einnehmen, besteht ein Risiko für Missbrauch und Missbrauch von Opioidabhängigkeit, die zum Tod führen können.
  • Nicht zur Behandlung von Schmerzen, die nicht rund um die Uhr sind.

Wichtige Informationen über MS Contin:

  • Holen Sie sich eine Nothilfe oder rufen Sie sofort 911 an, wenn Sie zu viel MS Contin (Überdosis) nehmen. Wenn Sie anfangen, MS Contin zu nehmen, wenn Ihre Dosis geändert wird, oder wenn Sie zu viel (Überdosis) ernsthafte oder lebensbedrohliche Atemprobleme nehmen, die zum Tod führen können, kann dies auftreten. Sprechen Sie mit Ihrem Gesundheitsdienstleister über Naloxon, ein Medikament für die Notfallbehandlung einer Opioidüberdosis.
  • Die Einnahme von MS Contin mit anderen Opioid -Medikamenten Benzodiazepinen Alkohol oder anderen Depressiva des Zentralnervensystems (einschließlich Straßenmedikamente) kann zu schwerem Schläfrigkeit führen, das das Bewusstsein für Atemprobleme Coma und Tod verringert.
  • Geben Sie niemals jemandem Ihren MS Contin. Sie könnten daran sterben. Der Verkauf oder Verschenken von Frau Contin ist gegen das Gesetz.
  • Lagern Sie MS Continy Continy außer Sichtweite und Reichweite von Kindern und an einem Ort, an dem andere, einschließlich Besucher des Hauses, nicht zugänglich sind.

Nehmen Sie MS Contin NICHT, wenn Sie:

  • Schwere Asthma -Schwierigkeiten Atmen oder andere Lungenprobleme.
  • eine Darmblockade oder eine Verengung des Magens oder des Darms.

Bevor Sie Frau kontinuierlich nehmen, teilen Sie Ihrem Gesundheitsdienstleister mit, ob Sie eine Geschichte haben:

  • Anfälle von Kopfverletzungen
  • Probleme urinieren
  • Leber Nieren -Schilddrüsenprobleme
  • Pankreas oder Gallenblasenprobleme
  • Missbrauch von Straßen- oder verschreibungspflichtigen Drogen Alkoholabhängigkeit Opioid Überdosierung oder psychische Gesundheitsprobleme.

Sagen Sie Ihrem Gesundheitsdienstleister, wenn Sie:

  • schwanger oder planen, schwanger zu werden. Eine längere Verwendung von MS-Kontinieren während der Schwangerschaft kann bei Ihrem neugeborenen Baby Entzugssymptome verursachen, die lebensbedrohlich sein könnten, wenn sie nicht erkannt und behandelt werden.
  • Stillen. Nicht empfohlen während der Behandlung mit MS Contin. Es kann Ihrem Baby schaden.
  • Leben in einem Haushalt, in dem kleine Kinder oder jemanden, der Straße oder verschreibungspflichtige Drogen missbraucht hat
  • Verschreibungspflichtige oder rezeptfreie Medikamente Vitamine oder Kräuterpräparate. Die Einnahme von MS Contin mit bestimmten anderen Medikamenten kann schwerwiegende Nebenwirkungen verursachen.

Bei der Übernahme von MS Contin:

  • Ändern Sie Ihre Dosis nicht. Nehmen Sie MS Contin Contin genau wie von Ihrem Gesundheitsdienstleister vorgeschrieben. Verwenden Sie die niedrigstmögliche Dosis für die kürzeste Dauer.
  • Nehmen Sie Ihre vorgeschriebene Dosis alle 8 bis 12 Stunden, wie Sie von Ihrem Gesundheitsdienstleister angeführt werden. Nehmen Sie nicht mehr als Ihre vorgeschriebene Dosis. Wenn Sie eine Dosis verpassen, nehmen Sie Ihre nächste Dosis zur üblichen Zeit.
  • Schlucken Frau Contin Ganze. Schneiden Sie den Break CHEW Crush Lust auf, schnaubend oder injizieren Sie MS Contin, da dies dazu führen kann, dass Sie überdosieren und sterben.
  • Rufen Sie Ihren Gesundheitsdienstleister an, wenn die Dosis, die Sie einnehmen, Ihre Schmerzen nicht kontrolliert.
  • Hören Sie nicht auf, Frau Contin zu nehmen, ohne mit Ihrem Gesundheitsdienstleister zu sprechen.

Entsorgen Sie abgelaufene unerwünschte oder nicht verwendete MS, indem Sie die Toilette sofort hinunterspülen, wenn eine Option für Drogenkonsumenten nicht ohne weiteres verfügbar ist. Besuchen Sie www.fda.gov/drugdisposal, um zusätzliche Informationen zur Entsorgung ungenutzter Arzneimittel zu erhalten.

Während der Einnahme von MS Contin nicht:

  • Fahren oder betreiben Sie schwere Maschinen, bis Sie wissen, wie sich MS Contin auf Sie auswirkt. Frau Contin kann Sie schläfrig schwindelig oder benommen machen.
  • Trinken Sie Alkohol oder verwenden Sie verschreibungspflichtige oder rezeptfreie Medikamente, die Alkohol enthalten. Die Verwendung von Produkten, die während der Behandlung mit MS Continual Alkohol enthalten, kann dazu führen, dass Sie überdosieren und sterben.

Die möglichen Nebenwirkungen von MS Contin sind:

  • Verstopfung Brechreiz sleepiness Erbrechen tiredness Kopfschmerzen Schwindel abdominal pain. Call your healthcare provider if you have any of these symptoms and they are severe.

Holen Sie sich die medizinische Notfallhilfe oder rufen Sie sofort 911 an, wenn Sie:

  • Schwierigkeiten Atemzude Atemnot schnell Herzschlag Brustschmerzen Schwellungen Ihrer Gesichtszunge oder Hals extreme Schläfrigkeit Leuchten, wenn sich die Positionen ändern, wenn sie schwache Agitation mit hoher Körpertemperatur Schwierigkeiten fühlen, steife Muskeln oder mentale Veränderungen wie Verwirrung.

Dies sind nicht alle möglichen Nebenwirkungen von MS Contin. Rufen Sie Ihren Arzt an, um medizinische Beratung zu Nebenwirkungen zu erhalten. Sie können die FDA bei 1-800-FDA-1088 Nebenwirkungen melden. Weitere Informationen finden Sie unter dailymed.nlm.nih.gov

Dieser Medikamentenführer wurde von der US -amerikanischen Food and Drug Administration zugelassen.