Die Informationen Auf Dieser Website Stellen Keine Medizinische Beratung Dar. Wir Verkaufen Nichts. Die Richtigkeit Der Übersetzung Wird Nicht Garantiert. Haftungsausschluss
Beta-Blocker, nichtselektivBlocadren
Drogenzusammenfassung
Was ist Blocadren?
Blocadren (Timolol Maleate) ist ein Beta-Blocker zur Behandlung von Bluthochdruck (Bluthochdruck). Der Markenname Blocadren ist abgesetzt, aber generische Versionen können verfügbar sein.
Was sind Nebenwirkungen von Blocadren?
Häufige Nebenwirkungen von Blocadren (Timolol Maleate) umfassen
- Verringerter Sexualtrieb
- Impotenz
- Schwierigkeiten haben einen Orgasmus
- Schlafprobleme (Schlaflosigkeit)
- müde Gefühl
- Angst oder
- Nervosität
Dosierung für die Blocadren
Die übliche anfängliche Dosierung von Blocadren beträgt 10 mg zweimal täglich, unabhängig davon, ob sie allein oder zur Diuretik -Therapie zugesetzt werden. Die übliche Gesamtwartungsdosis beträgt 20-40 mg pro Tag.
Welche Medikamentensubstanzen oder Nahrungsergänzungsmittel interagieren mit Blocadren?
Blocadren kann mit Allergiebehandlungen (oder Allergie-Hauttests) Clonidin Guanabenz Mao-Inhibitoren Diabetes Medikamente Herzmedikamentenmedizin für Asthma oder andere Atemstörungen kaltische Medikamente Stimulanzien oder Diätpillen. Sagen Sie Ihrem Arzt alle Medikamente und Nahrungsergänzungsmittel, die Sie verwenden.
Blocadren während der Schwangerschaft oder des Stillens
Blocadren kann für einen Fötus schädlich sein. Sagen Sie Ihrem Arzt, wenn Sie schwanger sind oder planen, während der Behandlung schwanger zu werden. Dieses Medikament kann in Muttermilch übergehen und einem stillenden Baby schädigen. Wenden Sie sich vor dem Stillen an Ihren Arzt.
Weitere Informationen
Unsere Blocadren (Timolol Maleate) Side Effects Drug Center bietet einen umfassenden Überblick über die verfügbaren Arzneimittelinformationen über die potenziellen Nebenwirkungen bei der Einnahme dieses Medikaments.
FDA -Drogeninformationen
- Drogenbeschreibung
- Indikationen
- Nebenwirkungen
- Wechselwirkungen mit Arzneimitteln
- Warnungen
- Vorsichtsmaßnahmen
- Überdosis
- Klinische Pharmakologie
- Medikamentenhandbuch
Beschreibung für Blocadren
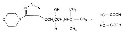
Blocadren (Timolol Maleate) ist ein nicht selektives Beta-adrenerge Rezeptor-Blockiermittel. Der chemische Name für Timolol Maleate beträgt (s) -1-[(11-dimethylethyl) amino -3-[[4- (4-Morpholinyl) -125-Thiadiazol-3-yl] Oxy] -2-Propanol (Z) -2-Buteedioate (1: 1) Salz. Es besitzt ein asymmetrisches Kohlenstoffatom in seiner Struktur und wird als Levo -Isomer bereitgestellt. Seine empirische Formel ist c 13 H 24 N 4 O 3 SC. 4 H 4 O 4 und seine strukturelle Formel lautet:
|
Timolol Maleate hat ein Molekulargewicht von 432,50. Es ist ein weißes, geruchloses kristallines Pulver, das in Wassermethanol und Alkohol löslich ist.
Blocadren (Timolol) wird als Tabletten in drei Stärken mit 5 mg 10 mg oder 20 mg Timolol Maleate zur oralen Verabreichung geliefert. Inaktive Zutaten sind Cellulose -FD
Welche Art von Medizin ist Tylenol
Verwendung für Blocadren
Hypertonie
Blocadren (Timolol) ist für die Behandlung von Bluthochdruck angezeigt. Es kann allein oder in Kombination mit anderen blutdrucksenkenden Wirkstoffen, insbesondere in der Diuretika vom Typ Thiazid, verwendet werden.
Myokardinfarkt
Blocadren (Timolol) ist bei Patienten angezeigt, die die akute Phase des Myokardinfarkts überlebt haben und klinisch stabil sind, um die kardiovaskuläre Mortalität und das Risiko einer Wiederinfarkt zu verringern.
Migräne
Blocadren (Timolol) ist für die Prophylaxe von Migränekopfschmerzen angezeigt.
Dosierung für die Blocadren
Hypertonie
Die übliche anfängliche Dosierung von Blocadren (Timolol) beträgt 10 mg zweimal täglich, unabhängig davon, ob sie allein oder zur diuretischen Therapie zugesetzt werden. Die Dosierung kann je nach Herzfrequenz und Blutdruckreaktion erhöht oder verringert werden. Die übliche Gesamtwartungsdosis beträgt 20-40 mg pro Tag. Es können eine Erhöhung der Dosierung auf maximal 60 mg pro Tag in zwei Dosen unterteilt sein. Es sollte ein Intervall von mindestens sieben Tagen zwischen den Dosierungen geben.
Blocadren (Timolol) kann mit einem Thiazid -Diuretikum oder mit anderen blutdrucksenkenden Wirkstoffen verwendet werden. Patienten sollten während der Einleitung einer solchen gleichzeitigen Therapie sorgfältig beobachtet werden.
Myokardinfarkt
Die empfohlene Dosierung für die langfristige prophylaktische Verwendung bei Patienten, die die akute Phase eines Myokardinfarkts überlebt haben Klinische Pharmakologie ).
Migräne
Die übliche anfängliche Dosierung von Blocadren (Timolol) beträgt 10 mg zweimal täglich. Während der Erhaltungstherapie kann die 20 mg tägliche Dosierung als einzelne Dosis verabreicht werden. Die gesamte tägliche Dosierung kann in geteilten Dosen auf maximal 30 mg erhöht werden oder je nach klinischem Ansprechen und Verträglichkeit auf 10 mg zurückgegangen. Wenn nach 6-8 Wochen eine zufriedenstellende Reaktion nicht erhalten wird, sollte die Verwendung der maximalen täglichen Dosierungstherapie mit Blocadren (Timolol) abgesetzt werden.
Wie geliefert
Nr. 3343 - Tabletten Blocadren (Timolol) 5 mg sind hellblau runde komprimierte Tabletten mit Code MSD 59 auf einer Seite und Blocadren (Timolol) auf der anderen Seite. Sie werden wie folgt geliefert:
NDC 0006-0059-68 Flaschen von 100.
Nr. 3344 - Tabletten Blocadren (Timolol) 10 mg sind hellblau rund gewertete komprimierte Tabletten mit Code MSD 136 auf der einen Seite und Blocadren (Timolol) auf der anderen Seite. Sie werden wie folgt geliefert:
NDC 0006-0136-68 Flaschen von 100
Nr. 3371 - Tabletten Blocadren (Timolol) 20 mg sind hellblau -kapselförmige, mit Code MSD 437 auf einer Seite und Blocadren (Timolol) auf der anderen Seite. Sie werden wie folgt geliefert:
NDC 0006-0437-68 Flaschen von 100
Lagerung
Lagern Sie bei kontrollierter Raumtemperatur 15-30 ° C (59-86 ° F). Halten Sie den Behälter fest geschlossen. Vor Licht schützen.
Merck und Co. Inc. Whitehouse Station NJ 08889 USA. Ausgestellt April 2001. FDA Rev. Datum: 25.02.2003
Nebenwirkungen for Blocadren
Blocadren (Timolol) wird normalerweise bei ordnungsgemäß ausgewählten Patienten gut vertragen. Die meisten nachteiligen Wirkungen waren mild und vorübergehend.
In einer multizentrischen (12-wöchigen) klinischen Studie zum Vergleich von Timolol Maleate und Placebo bei hypertensiven Patienten wurden die folgenden Nebenwirkungen spontan gemeldet und als kausal mit Timolol Maleate verwandt angesehen:
| Timolol Maleate (n = 176) % | Placebo (n = 168) % | |
| Körper als Ganzes | ||
| fatigue/tiredness | 3.4 | 0.6 |
| headache | 1.7 | 1.8 |
| chest pain | 0.6 | 0 |
| asthenia | 0.6 | 0 |
| Herz -Kreislauf | ||
| bradycardia | 9.1 | 0 |
| arrhythmia | 1.1 | 0.6 |
| syncope | 0.6 | 0 |
| edema | 0.6 | 1.2 |
| VERDAUUNGS | ||
| dyspepsia | 0.6 | 0.6 |
| nausea | 0.6 | 0 |
| HAUT | ||
| pruritus | 1.1 | 0 |
| NERVENSYSTEM | ||
| dizziness | 2.3 | 1.2 |
| vertigo | 0.6 | 0 |
| paresthesia | 0.6 | 0 |
| Psychiatrisch | ||
| decreased libido | 0.6 | 0 |
| Atemweg | ||
| dyspnea | 1.7 | 0.6 |
| bronchial spasm | 0.6 | 0 |
| rales | 0.6 | 0 |
| Besondere Sinne | ||
| eye irritation | 1.1 | 0.6 |
| tinnitus | 0.6 | 0 |
Diese Daten sind repräsentativ für die Inzidenz von nachteiligen Wirkungen, die bei ordnungsgemäß ausgewählten Patienten beobachtet werden können, die mit Blocadren (Timolol) behandelt wurden, d. H. Mit Ausnahme von Patienten mit Bronchospastic -Erkrankungskonstiver Herzinsuffizienz oder anderen Kontraindikationen zur Beta -Blocker -Therapie.
Bei Patienten mit Migräne betrug die Inzidenz von Bradykardien 5 Prozent.
In einer Population der Koronararterienkrankheiten, die in der norwegischen Mehrzentrumstudie untersucht wurde (siehe Klinische Pharmakologie ) Die Häufigkeit der wichtigsten Nebenwirkungen und die Häufigkeit, mit der diese zu einer Abnahme der Therapie in den Timolol- und Placebo -Gruppen führten
| Nebenwirkungen *** | Rückzug † | |||
| Timolol (n = 945) % | Placebo (n = 939) % | Timolol (n = 945) % | Placebo (n = 939) % | |
| Asthenie oder Müdigkeit | 5 | 1 | <1 | <1 |
| Herzfrequenz <40 beats/minute | 5 | <1 | 4 | <1 |
| Herzversagen-Nonfatal | 8 | 7 | 3 | 2 |
| Hypotonie | 3 | 2 | 3 | 1 |
| Lungenödem-Nonfatal | 2 | <1 | <1 | <1 |
| Claudication | 3 | 3 | 1 | <1 |
| AV -Block - 2. oder 3. Grad | <1 | <1 | <1 | <1 |
| Sinoatrialer Block | <1 | <1 | <1 | <1 |
| Kalte Hände und Füße | 8 | <1 | <1 | 0 |
| Übelkeit oder Verdauungsstörungen | 8 | 6 | 1 | <1 |
| Schwindel | 6 | 4 | 1 | 0 |
| Bronchialverstopfung | 2 | <1 | 1 | <1 |
| *** Wenn eine nachteilige Reaktion bei einem Patienten wieder auftrat, ist sie nur einmal aufgeführt. † Der einzige Hauptgrund für den Rückzug bei jedem Patienten ist aufgeführt. Diese unerwünschten Reaktionen können auch bei Patienten auftreten, die wegen Bluthochdruck behandelt wurden. |
Die folgenden zusätzlichen nachteiligen Effekte wurden in klinischer Erfahrung mit dem Medikament berichtet: Körper als Ganzes: Anaphylaxie -Extremitätsschmerzen verringerten die Gewichtsverlustfieber der Trainingstoleranz; Herz -Kreislauf: Herzstillstand Herzversagen zerebraler Gefäßunfall, Verschlechterung der Angina -Pektoris -Verschlechterung der arteriellen Insuffizienz Raynauds Phänomen -Palpitationen Vasodilatation; Verdauungs: Magen -Darm -Schmerz Hepatomegalie erbrechen Durchfalldyspepsie; Hämatologisch: Nicht -Thrombozytopenische Purpura; Endokrin: Hyperglykämie -Hypoglykämie; Haut: Ausfallende Hautreizungen erhöhte Pigmentation, die Alopezie schwitzt; Muskuloskelett: Arthralgie; Nervensystem: Lokale Schwäche Zunahme der Anzeichen und Symptome von Myasthenia gravis; Psychiatrisch: Depression Albträume Schläfrigkeit Insomnia Nervosität verringerten die Konzentration Halluzinationen; Atemweg: Husten; Besondere Sinne: visuelle Störungen Diplopia ptosis trockene Augen; Urogenital: Impotenz urination difficulties.
Es gab Berichte über retroperitoneale Fibrose bei Patienten, die Timolol Maleate erhielten, und bei Patienten, die andere Beta-adrenerge Blocker erhielten. Eine kausale Beziehung zwischen dieser Erkrankung und dieser Therapie mit Beta-adrenergen Blockierungsmitteln wurde nicht hergestellt.
Mögliche nachteilige Auswirkungen: Darüber hinaus sollten eine Vielzahl von Nebenwirkungen, die in klinischen Studien mit Blocadren (Timolol) nicht beobachtet wurden, aber mit anderen Beta-adrenergen Blockern berichtet wurden, als potenzielle nachteilige Auswirkungen von Blocadren (Timolol) angesehen werden: Nervensystem: Reversible geistige Depression, die nach Katatonie voranschreitet; Ein akutes reversibler Syndrom, das durch Desorientierung für Zeit- und Kurzzeitgedächtnisverlust emotionaler Labilität leicht getrübtes Sensorium und eine verminderte Leistung für Neuropsychometrie gekennzeichnet ist. Herz -Kreislauf: Intensivierung des AV -Blocks (siehe Kontraindikationen ); Verdauungs: Mesenteriale arterielle Thrombose Ischämische Kolitis; Hämatologisch: Agranulozytose thrombozytopenische Purpura; Allergisch: Erythematöser Hautausschlagfieber in Kombination mit schmerzenden und Halsschmerzen Laryngospasmus mit Atemnot; Verschiedenes: Peyronie -Krankheit.
Es gab Berichte über ein Syndrom, das Psoriasiformen-Hautausschlag bei Konjunktivitis Sicca-Otitis und sklerosierte Serositis, die auf die praktische Blockierung des Beta-adrenergen Rezeptors zurückzuführen sind, zugeschrieben wurden. Dieses Syndrom wurde mit Blocadren (Timolol) nicht berichtet.
Klinische Labortestbefunde: Klinisch wichtige Änderungen der Standardlaborparameter wurden selten mit der Verabreichung von Blocadren (Timolol) verbunden. Ein geringfügiger Anstieg der Blutharnstoff -Stickstoff -Serum -Kalium -Harnsäure und Triglyceride und leichte Abnahmen des Hämoglobin -Hämatokrit- und HDL -Cholesterins traten jedoch nicht fortschreitend oder mit klinischen Manifestationen verbunden. Es wurde über einen Anstieg der Leberfunktionstests berichtet.
Wechselwirkungen mit Arzneimitteln for Blocadren
Katecholamin-Abnahme-Medikamente: Eine genaue Beobachtung des Patienten wird empfohlen, wenn Blocadren (Timolol) an Patienten verabreicht wird, die katecholamin -repletierende Arzneimittel wie Reserpin aufgrund möglicher additiver Effekte und der Produktion von Hypotonie und/oder ausgeprägter Bradykardie erhalten, die schwanger Synkope oder posturaler Hypotonie produzieren können.
Nichtsteroidale entzündungshemmende Medikamente: Es wurde berichtet, dass die blutdrucksenkende Wirkung von Beta-Adrenozeptor-Blockern durch nichtsteroidale entzündungshemmende Medikamente durch nichtsteroidale Wirkstoffblocker entspricht. Bei der Verwendung dieser Wirkstoffe sollten Patienten sorgfältig beobachtet werden, um zu bestätigen, dass die gewünschte therapeutische Wirkung erzielt wurde.
Kalziumantagonisten: Literaturberichte deuten darauf hin, dass orale Kalziumantagonisten in Kombination mit Beta-adrenergen Blockierern verwendet werden können, wenn die Herzfunktion normal ist, bei Patienten mit beeinträchtigter Herzfunktion jedoch vermieden werden sollte. Hypotonie-AV-Leitungsstörungen und linksventrikuläres Versagen wurden bei einigen Patienten berichtet, die Beta-adrenerge Blocker erhielten, wenn ein oraler Kalziumantagonist zum Behandlungsschema zugesetzt wurde. Hypotonie trat eher auf, wenn der Kalziumantagonist ein Dihydropyridin -Derivat war, z. Nifedipin, während links ventrikuläres Versagen und AV -Leitungsstörungen bei Verapamil oder Diltiazem eher auftraten.
Intravenöse Kalziumantagonisten sollten bei Patienten mit Vorsicht verwendet werden, die Beta-adrenerge Blocker erhalten.
Digitalis und entweder Diltiazem oder Verapamil: Die gleichzeitige Verwendung von Beta-adrenerge Blocker mit Digitalis und entweder Diltiazem oder Verapamil kann additive Effekte bei der Verlängerung der AV-Leitungszeit haben.
Chinidin: Bei einer kombinierten Behandlung mit Chinidin und Timolol wurde möglicherweise eine potenzierte systemische Beta-Blockade (z. B. eine verminderte Herzfrequenz) möglicherweise berichtet, da Chinidin den Metabolismus von Timolol über das P-450-Enzym CYP2D6 hemmt.
Clonidin: Adrenerge Blocker der Beta -Blockierung können den Abprallerhypertonie verschärfen, der dem Entzug von Clonidin folgen kann. Wenn die beiden Medikamente koadministeriert werden, sollte das adrenerge Beta -Blockierungsmittel einige Tage vor dem allmählichen Rückzug von Clonidin zurückgezogen werden. Wenn das Ersetzen von Clonidin durch Beta-Blocker-Therapie ersetzt wird, sollte die Einführung von adrenergen Beta-Blockern mehrere Tage verzögert werden, nachdem die Verabreichung der Clonidin gestoppt wurde.
Risiko durch anaphylaktische Reaktion: Bei der Einnahme von Beta-Blockern-Patienten mit Atopie oder einer Vorgeschichte schwerer anaphylaktischer Reaktion auf eine Vielzahl von Allergenen kann auf wiederholte versehentliche diagnostische oder therapeutische Herausforderung mit solchen Allergenen reaktiv sein. Solche Patienten reagieren möglicherweise nicht auf die üblichen Dosen von Adrenalin, die zur Behandlung von anaphylaktischen Reaktionen verwendet werden.
Warnungen for Blocadren
Herzversagen
Die sympathische Stimulation kann für die Unterstützung der Kreislauf bei Personen mit verminderter Myokardkontraktilität von wesentlicher Bedeutung sein, und ihre Hemmung durch Beta-adrenerge Rezeptorblockade kann zu einem stärkeren Versagen führen. Obwohl Beta-Blocker bei offener Herzinsuffizienz vermieden werden sollten, können sie bei Patienten mit Versagen bei Vorsicht geboten werden, die normalerweise mit Digitalis und Diuretika gut kompensiert sind. Sowohl Digitalis als auch Timolol Maleate langsame AV -Leitung. Wenn Herzversagen die Therapie mit Blocadren (Timolol) bestehen, sollte zurückgezogen werden.
Bei Patienten ohne Herzversagen in der Vorgeschichte Die fortgesetzte Depression des Myokards mit Beta-Blockierern über einen bestimmten Zeitraum kann in einigen Fällen zu Herzversagen führen. Beim ersten Anzeichen oder Symptom von Herzversagen sollten Patienten, die Blocadren (Timolol) erhalten, digitalisiert und/oder ein Diuretikum und die beobachtete Reaktion erhalten. Wenn das Herzversagen trotz einer angemessenen Digitalisierung und diuretische Therapie fortgesetzt wird, sollte Blocadren (Timolol) zurückgezogen werden.
Verschärfung der ischämischen Herzerkrankungen nach abruptem Rückzug - Überempfindlichkeit gegen Katecholamine wurde bei Patienten beobachtet, die aus der Beta -Blocker -Therapie entnommen wurden. Eine Verschärfung der Angina und in einigen Fällen ist nach abrupter Abnahme einer solchen Therapie Myokardinfarkt aufgetreten. Bei der Abnahme chronisch verabreichtes Timolol -Maleat, insbesondere bei Patienten mit ischämischer Herzerkrankung, sollte die Dosierung über einen Zeitraum von ein bis zwei Wochen allmählich reduziert werden und der Patient sorgfältig überwacht werden. Wenn sich die Angina deutlich verschlechtert oder eine akute Koronarinsuffizienz entwickelt, sollte die Timolol -Maleatverwaltung zumindest vorübergehend wieder eingesetzt werden und andere Maßnahmen, die für die Verwaltung instabiler Angina geeignet sind. Die Patienten sollten vor Unterbrechung oder Abnahme der Therapie ohne Rat des Arztes gewarnt werden. Da die Erkrankung der Koronararterien häufig ist und nicht erkannt werden kann, kann es auch bei Patienten, die nur wegen Bluthochdruck behandelt wurden, nicht abrupt abrupt Timolol -Maleat -Therapie abrupt sein.
Obstruktive Lungenerkrankung
Patienten mit chronisch obstruktiver Lungenerkrankung (z. B. chronisch Bronchitis -Emphysem) von leichten oder mittelschweren Schweregrad -Bronchospastikerkrankungen oder einer Vorgeschichte von bronchospastischen Erkrankungen (außer Bronchialasthma oder einer Vorgeschichte von Bronchialasthma Kontraindikationen ) Sollte im Allgemeinen keine Beta -Blocker einschließlich 'Blocadren (Timolol)' erhalten. Wenn Blocadren (Timolol) bei solchen Patienten jedoch erforderlich ist, sollte das Medikament mit Vorsicht verabreicht werden 2 Rezeptoren.
Hauptoperation
Die Notwendigkeit oder Wünschbarkeit des Entzugs der Beta-Blocking-Therapie vor einer größeren Operation ist umstritten. Beta-adrenerge Rezeptorblockade beeinträchtigt die Fähigkeit des Herzens, auf Beta-adrenergisch vermittelte Reflexstimuli zu reagieren. Dies kann das Risiko einer Vollnarkose bei chirurgischen Eingriffen verstärken. Einige Patienten, die Beta-adrenerge Rezeptorblocker erhalten, wurden während der Anästhesie einer langwierigen schweren Hypotonie unterzogen. Es wurde auch Schwierigkeiten beim Neustart und Aufrechterhalten des Herzschlags berichtet. Aus diesen Gründen bei Patienten, die sich einer elektiven Operation unterziehen, empfehlen einige Behörden einen allmählichen Rückzug von Beta-adrenergen Rezeptorblockern.
Bei Bedarf während der Operation können die Auswirkungen von Beta-adrenergen Blockern durch ausreichende Dosen solcher Agonisten wie Isoproterenol Dopamin Dobutamin oder Levarterenol umgekehrt werden (siehe Überdosierung ).
Diabetes mellitus
Blocadren (Timolol) sollte bei Patienten mit Vorsicht von spontanen Hypoglykämie oder Diabetikern (insbesondere Patienten mit labilem Diabetes) verabreicht werden, die Insulin- oder orale Hypoglykämika erhalten. Beta-adrenerge Rezeptorblocker können die Anzeichen und Symptome einer akuten Hypoglykämie maskieren.
Thyrotoxikose
Die Beta-adrenerge Blockade kann bestimmte klinische Anzeichen (z. B. Tachykardie) des Hyperthyreose maskieren. Patienten, bei denen vermutet wird, dass sie Thyrotoxikose entwickelt haben, sollten sorgfältig behandelt werden, um einen abrupten Entzug von Beta -Blockade zu vermeiden, die einen Schilddrüsensturm auslösen könnten.
Vorsichtsmaßnahmen for Blocadren
Allgemein
Beeinträchtigte Leber- oder Nierenfunktion: Da Blocadren (Timolol) teilweise in der Leber metabolisiert und hauptsächlich durch die Nieren -Dosierungsreduzierungen ausgeschieden werden, kann es erforderlich sein, wenn Leber- und/oder Niereninsuffizienz vorliegt.
Dosierung in Gegenwart eines ausgeprägten Nierenversagens: Obwohl die Pharmakokinetik von Blocadren (Timolol) nicht stark durch nierenmarkierte hypotensive Reaktionen verändert wird, wurden bei Patienten mit einer ausgeprägten Nierenbeeinträchtigung nach 20 mg Dosen festgestellt. Die Dosierung bei solchen Patienten sollte daher besonders vorsichtig sein.
Muskelschwäche: Es wurde berichtet, dass die beta-adrenerge Blockade die Muskelschwäche im Einklang mit bestimmten myasthenischen Symptomen (z. B. Diplopie-Ptosis und verallgemeinerte Schwäche) potenziert. Timolol wurde selten berichtet, dass bei einigen Patienten mit Myasthenia gravis oder myasthenischen Symptomen die Muskelschwäche erhöht wurde.
Zerebrovaskuläre Insuffizienz: Aufgrund der möglichen Auswirkungen von Beta-adrenergen Blockierern im Vergleich zu Blutdruck und Impuls sollten diese Wirkstoffe bei Patienten mit zerebrovaskulärer Insuffizienz mit Vorsicht eingesetzt werden. Wenn Anzeichen oder Symptome, die auf einen verringerten zerebralen Blutfluss hinweisen, beobachtet werden, sollten die Abnahme dieser Wirkstoffe berücksichtigt werden.
Karzinogenese -Mutagenese -Beeinträchtigung der Fruchtbarkeit
In einer zweijährigen Studie über Timolol-Maleat bei Ratten gab es einen statistisch signifikanten Anstieg der Inzidenz von Nebennieren-Phäochromozytomen bei männlichen Ratten, die 300 mg/kg/Tag verabreicht wurden (250-mal ** Die maximal empfohlene menschliche Dosis). Ähnliche Unterschiede wurden bei Ratten nicht beobachtet, die Dosen verabreichten, die ungefähr 20 oder 80 Mal entspricht. ** Die maximal empfohlene menschliche Dosis.
In a lifetime study in mice there were statistically significant increases in the incidence of benign and malignant pulmonary tumors benign uterine polyps and mammary adenocarcinoma in female mice at 500 mg/kg/day (approximately 400 times** the maximum recommended human dose) but not at 5 or 50 mg/kg/day. In einer nachfolgenden Studie an weiblichen Mäusen, in denen die Untersuchungen nach dem Mortem auf Uterus und Lungen beschränkt waren, wurde erneut ein statistisch signifikanter Anstieg der Inzidenz von Lungentumoren beobachtet, bei 500 mg/kg/Tag.
Das erhöhte Auftreten des Brustadenokarzinoms war mit Erhöhungen des Serumprolaktins verbunden, die bei weiblichen Mäusen auftraten, die Timolol mit 500 mg/kg/Tag verabreicht wurden, jedoch nicht bei Dosen von 5 oder 50 mg/kg/Tag. Eine erhöhte Inzidenz von Brustadenokarzinomen bei Nagetieren wurde mit der Verabreichung mehrerer anderer therapeutischer Wirkstoffe in Verbindung gebracht, die Serumprolaktin erhöhen, aber bei MAN wurde keine Korrelation zwischen Serumprolaktinspiegeln und Brusttumoren festgelegt. Darüber hinaus gab es bei erwachsenen menschlichen weiblichen Probanden, die orale Dosierungen von bis zu 60 mg Timolol -Maleat erhielten.
Timolol maleate was devoid of mutagenic potential when evaluated vergeblich (Maus) im Mikronukleus -Test und im zytogenetischen Assay (Dosen bis zu 800 mg/kg) und in vitro In einem neoplastischen Zelltransformationsassay (bis zu 100 µg/ml). In AMES -Tests waren die höchsten Konzentrationen von Timolol 5000 oder 10000 µg/Platte mit statistisch signifikanten Erhöhungen der mit Tester Distrip TA100 beobachteten Revertants verbunden (in sieben Replikat -Assays), jedoch nicht in drei zusätzlichen Stämmen. In den Assays mit dem Tester -Stamm TA100 wurde keine konsistente Dosisantwortbeziehung beobachtet, und das Verhältnis von Test zur Kontrolle von Revertants erreichte 2. Ein Verhältnis von 2 wird normalerweise als das Kriterium für einen positiven AMES -Test angesehen.
Straßenwert von Norco 5 325
Fortpflanzungs- und Fruchtbarkeitsstudien bei Ratten zeigten keinen nachteiligen Effekt auf die männliche oder weibliche Fruchtbarkeit bei Dosen bis 125 -mal ** Die maximal empfohlene menschliche Dosis.
Schwangerschaft
Schwangerschaft Category C. Teratogenitätsstudien mit Timolol bei Mäusenratten und Kaninchen in Dosen von bis zu 50 mg/kg/Tag (ungefähr 40 -mal ** Die maximal empfohlene tägliche menschliche Dosis) zeigten keine Hinweise auf fetale Fehlbildungen. Obwohl bei dieser Dosis bei Ratten eine verzögerte fetale Ossifikation beobachtet wurde, gab es keine nachteiligen Auswirkungen auf die postnatale Entwicklung von Nachkommen. Dosen von 1000 mg/kg/Tag (ungefähr 830 Mal ** Die maximal empfohlene tägliche menschliche Dosis) waren bei Mäusen mütterlich und führten zu einer erhöhten Anzahl fetaler Resorptionen. Erhöhte fetale Resorptionen wurden auch bei Kaninchen in Dosen von ungefähr 40 -mal ** die maximal empfohlene tägliche menschliche Dosis in diesem Fall ohne offensichtliche mütterliche Mütterlichkeit. Es gibt keine angemessenen und gut kontrollierten Studien bei schwangeren Frauen. Blocadren (Timolol) sollte während der Schwangerschaft nur dann angewendet werden, wenn der potenzielle Nutzen das potenzielle Risiko für den Fötus rechtfertigt.
Pflegemütter
Timolol maleate has been detected in human milk.
Aufgrund des Potenzials für schwerwiegende Nebenwirkungen von Timolol bei Säuglingen sollte eine Entscheidung getroffen werden, ob die Pflege eingestellt oder die Droge unter Berücksichtigung der Bedeutung des Arzneimittels für die Mutter eingestellt werden soll.
Pädiatrische Verwendung
Sicherheit und Wirksamkeit bei pädiatrischen Patienten wurden nicht festgestellt.
** Basierend auf dem Patientengewicht von 50 kg
Überdosierungsinformationen für Blocadren
Übertrieben wurden mit Tablets Blocadren (Timolol) berichtet. Eine 30-jährige Frau aufgenommen 650 mg Blocadren (Timolol) (maximal empfohlene tägliche Dosis-60 mg) und erlebte einen Herzblock zweiten und dritten Grades. Sie erholte sich ohne Behandlung, aber ungefähr zwei Monate später entwickelte sie einen unregelmäßigen Herzschlag mit Bluthochdruck Schwindel Tinnitus Ohnness erhöhte die Pulsfrequenz und die Grenze zum Herzblock ersten Grades.
Die orale Ld 50 der Droge beträgt 1190 und 900 mg/kg bei weiblichen Mäusen bzw. weiblichen Ratten.
Ein in vitro Hämodialysestudie verwendet 14 C Timolol zu menschlichem Plasma oder Vollblut zeigte, dass Timolol von diesen Flüssigkeiten leicht dialysiert wurde; Eine Studie mit Patienten mit Nierenversagen zeigte jedoch, dass Timolol nicht leicht dialyze.
Die häufigsten Anzeichen und Symptome, die mit Überdosierung mit einem Beta-adrenergen Rezeptorblockierungsmittel zu erwarten sind, sind symptomatische Bradykardien-Hypotonie-Bronchospasmus und akutes Herzversagen. Die Therapie mit Blocadren (Timolol) sollte abgesetzt und der Patient genau beobachtet werden. Die folgenden zusätzlichen therapeutischen Maßnahmen sollten berücksichtigt werden:
- Magenspülung.
- Symptomatische Bradykardie: Verwenden Sie Atropinsulfat intravenös in einer Dosierung von 0,25 mg bis 2 mg, um eine Vagalblockade zu induzieren. Wenn Bradykardie beibehält, sollte intravenöser Isoproterenolhydrochlorid vorsichtig verabreicht werden. In feuerfesten Fällen kann die Verwendung eines transvenösen Herzschrittmachers berücksichtigt werden.
- Hypotonie: Verwenden Sie eine sympathomimetische Pressor -Arzneimitteltherapie wie Dopamin -Dobutamin oder Levarterenol. In feuerfesten Fällen wurde berichtet, dass die Verwendung von Glucagon -Hydrochlorid nützlich ist.
- Bronchospasmus: Verwenden Sie Isoproterenolhydrochlorid. Eine zusätzliche Therapie mit Aminophyllin kann berücksichtigt werden.
- Akuter Herzversagen: Die konventionelle Therapie mit Digitalis -Diuretika und Sauerstoff sollte sofort eingeleitet werden. In feuerfesten Fällen wird die Verwendung von intravenöser Aminophyllin vorgeschlagen. Dies kann bei Bedarf durch Glucagon -Hydrochlorid erforderlich sein, was als nützlich berichtet wurde.
- Herzblock (zweiter oder dritter Grad): Verwenden Sie Isoproterenolhydrochlorid oder einen transvenösen Herzschrittmacher.
Kontraindikationen für Blocadren
Blocadren (Timolol) ist bei Patienten mit bronchialen Asthma oder mit einer Vorgeschichte von Bronchialasthma oder schwerer chronisch obstruktiver Lungenerkrankung kontraindiziert (siehe Warnungen ); sinus bradycardia; second Und third degree atrioventricular block; overt cardiac failure (see Warnungen ); cardiogenic shock ; hypersensitivity to this product.
Klinische Pharmakologie for Blocadren
Blocadren (Timolol) ist ein Beta 1 und Beta 2 (Nicht-selektiver) adrenerge Rezeptorblockierungsmittel, das keine signifikante intrinsische sympathomimetische direkte myokardiale Depressivität oder Lokalanästhetikum aufweist.
Pharmakodynamik
Klinische Pharmakologiestudien haben die Beta-adrenerge Blockierungsaktivität bestätigt, wie sich (1) Veränderungen der Ruheherzfrequenz und der Reaktion der Herzfrequenz auf Veränderungen der Haltung ergibt. (2) Hemmung der Isoproterenol-induzierten Tachykardie; (3) Veränderung der Reaktion auf das Valsalva -Manöver und die Verabreichung von Amylnitriten; und (4) Verringerung der Herzfrequenz- und Blutdruckänderungen bei der Bewegung.
Blocadren (Timolol) verringert die positiven chronotropen positiven inotropen Bronchodilatator- und Vasodilatator-Reaktionen, die durch Beta-adrenerge Rezeptoragonisten verursacht werden. Die Größe dieser verringerten Reaktion ist proportional zum vorhandenen sympathischen Ton und die Konzentration von Blocadren (Timolol) an Rezeptorstellen.
Bei normalen Freiwilligen war die Verringerung der Herzfrequenzreaktion auf eine Standardübung dosis abhängig über den Testbereich von 0,5 bis 20 mg bei einer Spitzenreduktion nach 2 Stunden von ungefähr 30% bei höheren Dosen.
Die Beta-adrenerge Rezeptorblockade reduziert das Herzzeitvolumen sowohl bei gesunden Probanden als auch bei Patienten mit Herzerkrankungen. Bei Patienten mit schwerer Beeinträchtigung der Myokardfunktion kann die Beta-adrenerge Rezeptorblockade die stimulierende Wirkung des sympathischen Nervensystems hemmen, die zur Aufrechterhaltung einer angemessenen Herzfunktion erforderlich sind.
Beta-adrenerge Rezeptorblockade in den Bronchien und Bronchiolen führt zu einer erhöhten Atemwegsresistenz durch ungehinderte parasympathische Aktivität. Eine solche Wirkung bei Patienten mit Asthma oder anderen bronchospastischen Erkrankungen ist möglicherweise gefährlich.
Klinische Studien zeigen, dass Blocadren (Timolol) bei einer Dosierung von 20 bis 60 mg/Tag den Blutdruck verringert, ohne bei den meisten Patienten mit wesentlicher Hypertonie eine Hypotonie zu verursachen. Die Verabreichung von Blocadren (Timolol) an Patienten mit Hypertonie -Ergebnissen zunächst zu einer Abnahme des Herzzeitvolumens kaum eine unmittelbare Blutdruckänderung und eine Zunahme der berechneten peripheren Resistenz. Mit der fortgesetzten Verabreichung von Blocadren (Timolol) nimmt der Blutdruck innerhalb weniger Tage ab und bleibt in der Regel reduziert und der periphere Widerstand fällt in Richtung der Vorbehandlungsniveaus. Das Plasmavolumen kann während der Therapie mit Blocadren (Timolol) abnehmen oder bleiben. Bei den meisten Patienten mit Hypertonie -Blocadren (Timolol) verringert auch die Plasma -Reninaktivität. Die Dosierungsanpassung zur Erzielung eines optimalen blutdrucksenkenden Effekts kann einige Wochen erfordern. Wenn die Therapie mit Blocadren (Timolol) abgesetzt wird, kehrt der Blutdruck allmählich in die Vorbehandlungsniveau zurück. Bei den meisten Patienten wird die blutdrucksenkende Aktivität von Blocadren (Timolol) mit einer Langzeittherapie gehalten und gut vertragen.
Der Mechanismus der blutdrucksenkenden Wirkungen von Beta-adrenergen Rezeptorblockern ist derzeit nicht festgestellt. Mögliche Wirkungsmechanismen sind die Verringerung der Reduzierung der Herzleidenverringerung der Plasma -Reninaktivität und einer sympatholytischen Wirkung des Zentralnervensystems.
Eine norwegische Doppelblindstudie mit mehreren Zentren verglichen die Auswirkungen von Timolol Maleate mit Placebo bei 1884 Patienten, die die akute Phase eines Myokardinfarkts überlebt hatten. Patienten mit systolischem Blutdruck unter 100 mm Hg Sinus -Sinus -Syndrom und Kontraindikationen für Beta -Blocker, einschließlich unkontrollierter Herzinsuffizienz zweiter oder dritten Grades AV -Block und Bradykardie ( <50 beats per minute) were excluded from the multi-center trial. Therapy with BLOCADREN (timolol) begun 7 to 28 days following infarction was shown to reduce overall mortality; this was primarily attributable to a reduction in cardiovascular mortality. BLOCADREN (timolol) significantly reduced the incidence of sudden deaths (deaths occurring without symptoms or within 24 hours of the onset of symptoms) including those occurring within one hour Und particularly instantaneous deaths (those occurring without preceding symptoms). The protective effect of BLOCADREN (timolol) was consistent regardless of age sex or site of infarction. The effect was clearest in patients with a first infarction who were considered at a high risk of dying defined as those with one or more of the following characteristics during the acute phase: transient left ventricular failure cardiomegaly newly appearing atrial fibrillation or flutter systolic hypotension or SGOT (ASAT) levels greater than four times the upper limit of normal. Therapy with BLOCADREN (timolol) also reduced the incidence of non-fatal reinfarction. The mechanism of the protective effect of BLOCADREN (timolol) is unknown.
Blocadren (Timolol) wurde auf die prophylaktische Behandlung von Migränekopfschmerzen in placebokontrollierten klinischen Studien untersucht, an denen 400 Patienten hauptsächlich Frauen zwischen 18 und 66 Jahren beteiligt waren. Häufige Migräne war die häufigste Diagnose. Alle Patienten hatten zu Studienbeginn mindestens zwei Kopfschmerzen pro Monat. Ungefähr 50 Prozent der Patienten, die Blocadren (Timolol) erhielten, hatten eine Verringerung der Häufigkeit von Migränekopfschmerzen von mindestens 50 Prozent im Vergleich zu einer ähnlichen Häufigkeit bei 30 Prozent der Patienten, die Placebo erhielten. Der häufigste kardiovaskuläre Nebenwirkungen war Bradykardie (5%).
Pharmakokinetik und Stoffwechsel
Blocadren (Timolol) ist nach oraler Aufnahme schnell und fast vollständig absorbiert (etwa 90%). Innerhalb der halben Stunde treten nachweisbare Plasmaspiegel von Timolol auf und in etwa ein bis zwei Stunden treten die Spitzenplasmaspiegel auf. Die Arzneimittelhälfte im Plasma beträgt ungefähr 4 Stunden und dies ist bei Patienten mit mittelschwerer Niereninsuffizienz im Wesentlichen unverändert. Timolol wird teilweise durch die Leber und Timolol metabolisiert und ihre Metaboliten werden von der Niere ausgeschieden. Timolol ist nicht ausgiebig an Plasmaproteine gebunden; d.h. <10% by equilibrium dialysis Und approximately 60% by ultrafiltration. Ein in vitro Hämodialysestudie verwendet 14 C Timolol zu menschlichem Plasma oder Vollblut zeigte, dass Timolol von diesen Flüssigkeiten leicht dialysiert wurde; Eine Studie mit Patienten mit Nierenversagen zeigte jedoch, dass Timolol nicht leicht dialyze. Plasma levels following oral administration are about half those following intravenous administration indicating approximately 50% first pass metabolism. The level of beta sympathetic activity varies widely among individuals Und no simple correlation exists between the dose or plasma level of timolol maleate Und its therapeutic activity. Therefore objective clinical measurements such as reduction of heart rate Und/or blood pressure should be used as guides in determining the optimal dosage for each patient.
Patienteninformationen für Blocadren
Keine Informationen zur Verfügung gestellt. Bitte beachten Sie die Warnungen Und VORSICHTSMASSNAHMEN Abschnitte.