Die Informationen Auf Dieser Website Stellen Keine Medizinische Beratung Dar. Wir Verkaufen Nichts. Die Richtigkeit Der Übersetzung Wird Nicht Garantiert. Haftungsausschluss
Antibiotika, Otic
Citraal
Drogenzusammenfassung
Was ist Cetraxal?
Cetraxal (Ciprofloxacin) OTOTIC -Lösung 0,2% ist ein Antibiotika zur Behandlung von Ohrinfektionen, die den äußeren Gehörgang beeinflussen. Diese Art von Ohrenentzündung wird manchmal als Schwimmerohr bezeichnet.
Was sind Nebenwirkungen von Cetraxal?
Citraal
- Nesselsucht
- Schwierigkeiten beim Atmen
- Schwellung Ihrer Gesichtslippen Zunge oder Hals
- Hautausschlag (egal wie mild) und
- Neue Ohrentwässerung mit schwerem Juckreiz
Holen Sie sich sofort medizinische Hilfe, wenn Sie eines der oben aufgeführten Symptome haben.
Häufige Nebenwirkungen der Cetraxal -Otic -Lösung sind Kopfschmerzen oder Beschwerdenschmerzen oder Juckreiz im Ohr. Suchen Sie sich medizinisch, wenn Sie Nebenwirkungen einer schweren allergischen Reaktion auf Cetraxal -Otic -Lösung haben, einschließlich:
- Nesselsucht
- Schwierigkeiten beim Atmen or
- Schwellung Ihrer Gesichtslippen Zunge oder Hals
Suchen Sie medizinische Versorgung oder rufen Sie auf einmal 911 an, wenn Sie die folgenden schwerwiegenden Nebenwirkungen haben:
- Schwerwiegende Augensymptome wie plötzlicher Sehverlust verschwommenes Sehen Tunnel Sehschmerzen oder Schwellungen oder Halos in der Umgebung des Lichts;
- Schwerwiegende Herzsymptome wie schnelle unregelmäßige oder pochende Herzschläge; Flattern in deiner Brust; Kurzatmigkeit; und plötzliche Schwindel -Benommenheit oder ohnmächtig;
- Starke Kopfschmerzen Verwirrung verwirrt Spracharm oder Bein Schwäche Schwierigkeiten beim Verlust der Koordination unstabil sehr steifes Muskeln hoher Fieber problemlos Schwitzen oder Zittern.
Dieses Dokument enthält nicht alle möglichen Nebenwirkungen und andere können auftreten. Wenden Sie sich an Ihren Arzt nach zusätzlichen Informationen zu Nebenwirkungen.
Dosierung für Cetraxal
Die Dosis von Cetraxal besteht darin, den Inhalt eines einzelnen Gebrauchsbehälters (NULL,25 ml) in das betroffene Ohr zweimal täglich (ungefähr 12 Stunden voneinander entfernt) 7 Tage lang in das betroffene Ohr einzubinden.
Welche Arzneimittelsubstanzen oder Nahrungsergänzungsmittel interagieren mit Cetraxal?
Cetraxal kann mit anderen Medikamenten interagieren. Sagen Sie Ihrem Arzt alle Medikamente und Nahrungsergänzungsmittel, die Sie verwenden.
Cetraxal während der Schwangerschaft oder des Stillens
Während der Schwangerschaft sollte Cetraxal nur angewendet werden, wenn sie verschrieben werden. Es ist nicht bekannt, ob dieses Medikament in die Muttermilch übergeht. Wenden Sie sich vor dem Stillen an Ihren Arzt.
Weitere Informationen
Unsere Cetraxal (Ciprofloxacin) Otic -Lösung 0,2% Nebenwirkungen Arzneimittelzentrum bietet eine umfassende Übersicht über die verfügbaren Arzneimittelinformationen über die potenziellen Nebenwirkungen bei der Einnahme dieses Medikaments.
FDA -Drogeninformationen
- Drogenbeschreibung
- Indikationen
- Nebenwirkungen
- Warnungen
- Überdosis
- Klinische Pharmakologie
- Medikamentenhandbuch
Beschreibung für Cetraxal
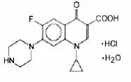
Cetraxal (Ciprofloxacin -Otic -Lösung) 0,2% enthält das synthetische antimikrobielle Mittel Ciprofloxacinhydrochlorid. Cetraxal (Ciprofloxacin-Otic-Lösung) ist eine sterile konservativ-freie Lösung für die Otic-Verwendung. Jeder einzelne Gebrauchsbehälter von Cetraxal liefert 0,25 ml Lösungen, die 0,5 mg Ciprofloxacin entsprechen. Die inaktiven Zutaten sind Povidonglycerin und Wasser zur Injektion. Natriumhydroxid und/oder Milchsäure können zugesetzt werden, um den pH -Wert einzustellen.
Ciprofloxacin A Flurchinolon ist als Monohydrochlorid-Monohydratsalz von 1-Cyclopropyl-6-Fluor-14-Dihydro-4-oxo-7- (1-Piperazinyl) -3-Quinolinecarboxylic-Säure erhältlich. Seine molekulare Formel ist c 17 H 18 Fn 3 O 3 • HCl • H. 2 O und Molekulargewicht beträgt 385,82.
Wie lange dauert es, bis sich das Hämatom auflöst
Die chemische Struktur von Ciprofloxacinhydrochlorid lautet:
|
Nebenwirkungen für Cetraxal
Da klinische Studien unter sehr unterschiedlichen Bedingungen durchgeführt werden, die in den klinischen Studien eines Arzneimittels in den klinischen Studien eines anderen Arzneimittels nicht direkt mit den Raten in den klinischen Studien verglichen werden können, werden die in der klinischen Praxis beobachteten Raten nicht direkt mit den Raten verglichen.
In einer randomisierten aktiv kontrollierten klinischen Studie wurden ungefähr 300 Patienten mit klinischen Anzeichen und Symptomen von Otitis externa mit Cetraxal behandelt. Die am häufigsten berichteten unerwünschten Reaktionen waren Anwendungsort-Schmerz Ohrpruritus-Pilz-Ohr-Superinfektion und Kopfschmerzen, die jeweils bei ungefähr 2-3% der Patienten gemeldet wurden.
Arzneimittelwechselwirkungen für Cetraxal
Keine Informationen zur Verfügung gestellt
Warnungen für Cetraxal
Eingeschlossen als Teil der 'VORSICHTSMASSNAHMEN' Abschnitt
Vorsichtsmaßnahmen für Cetraxal
NUR OTEN UNSE
Cetraxal ist nur für den Otic -Gebrauch gedacht. Es sollte nicht zur Injektion zur Inhalation oder zur topischen Augen Verwendung verwendet werden.
Überempfindlichkeit
Cetraxal sollte beim ersten Auftreten eines Hautausschlags oder eines anderen Anzeichens einer Überempfindlichkeit abgesetzt werden.
Wachstum resistenter Organismen mit längerem Gebrauch
Wie bei anderen Anti-Infektiven kann die Verwendung von Cetraxal zu einem Überwachsen von nicht merkwürdigen Organismen wie Hefe und Pilzen führen. Wenn eine Superinfektion auftritt, werden die alternative Therapie eingestellt und institutiert.
Mangel an klinischem Ansprechen
Wenn die Infektion nach einer Woche der Therapiekulturen nicht verbessert wird, kann dies dazu beitragen, eine weitere Behandlung zu leiten.
Verwendung in bestimmten Populationen
Schwangerschaft
Schwangerschaft Category C
Fortpflanzungsstudien wurden bei Ratten und Mäusen unter Verwendung von oralen Dosen von bis zu 100 mg/kg und intravenösen (iv) Dosen von bis zu 30 mg/kg durchgeführt und haben infolge von Ciprofloxacin keinen Hinweis auf den Fötus festgestellt. Bei Kaninchen erzeugte Ciprofloxacin (30 und 100 mg/kg oral) Magen -Darm -Störungen, was zu einem Gewichtsverlust bei Müttern und einer erhöhten Inzidenz von Abtreibung führte, aber bei beiden Dosis wurde keine Teratogenität beobachtet. Nach der intravenösen Verabreichung von Dosen bis zu 20 mg/kg wurde im Kaninchen keine mütterliche Toxizität erzeugt und es wurde keine Embryotoxizität oder Teratogenität beobachtet.
Tiere -Fortpflanzungsstudien wurden nicht mit Cetraxal durchgeführt. Bei schwangeren Frauen wurden keine angemessenen und gut kontrollierten Studien durchgeführt. Vorsicht sollte gewarnt werden, wenn Cetraxal von einer schwangeren Frau verwendet wird.
Pflegemütter
Ciprofloxacin wird mit systemischer Verwendung in Muttermilch ausgeschieden. Es ist nicht bekannt, ob Ciprofloxacin nach dem Einsatz von Muttermilch in die Muttermilch ausgeschieden wird. Aufgrund des Potenzials für schwerwiegende Nebenwirkungen bei Säuglingen sollte eine Entscheidung getroffen werden, ob die Krankenpflege eingestellt oder das Medikament unter Berücksichtigung der Bedeutung des Arzneimittels für die Mutter eingestellt werden soll.
Pädiatrische Verwendung
Die Sicherheit und Wirksamkeit von Cetraxal bei Säuglingen unter einem Jahr wurde nicht festgestellt. Die Wirksamkeit von Cetraxal bei der Behandlung von Otitis externa bei pädiatrischen Patienten, ein Jahr oder älter, wurde in kontrollierten klinischen Studien nachgewiesen (siehe Klinische Studien ).
Norco 5 325 vs 10 325
Es gibt keine Hinweise darauf, dass die otische Verabreichung von Chinolonen einen Einfluss auf die Gewichtslagergelenke hat, obwohl gezeigt wurde, dass die systemische Verabreichung einiger Chinolone bei unreifen Tieren eine Arthropathie verursacht.
Geriatrische Verwendung
Es wurden keine allgemeinen Unterschiede in Sicherheit und Wirksamkeit zwischen älteren und jüngeren Beobachtung beobachtet
Überdosierungsinformationen für Cetraxal
Keine Informationen zur Verfügung gestellt
Kontraindikationen für Cetraxal
Cetraxal ist bei Personen mit Überempfindlichkeit gegenüber Ciprofloxacin kontraindiziert.
Klinische Pharmakologie for Cetraxal
Wirkungsmechanismus
Ciprofloxacin ist ein antimikrobielles Fluorchinolon (siehe Klinische Pharmakologie Mikrobiologie ).
Pharmakokinetik
Die Plasmakonzentrationen von Ciprofloxacin wurden nach Verabreichung von 0,25 ml Cetraxal (Gesamtdosis: 0,5 mg Ciprofloxacin) nicht gemessen. Die maximale Plasmakonzentration von Ciprofloxacin wird jedoch weniger als 5 ng/ml betragen.
Mikrobiologie
Die bakterizide Wirkung von Ciprofloxacin resultiert aus der Interferenz mit der Enzym -DNA -Gyrase, die für die Synthese der bakteriellen DNA benötigt wird.
Bakterielle Resistenz gegen Chinolone können sich durch chromosomal- oder plasmidvermittelte Mechanismen entwickeln.
Der Wirkungsmechanismus von Fluorchinolonen, einschließlich Ciprofloxacin, unterscheidet sich von der von Makroliden. Daher kann Ciprofloxacin gegen Krankheitserreger aktiv sein, die gegen diese Antibiotika resistent sind, und diese Antibiotika können gegen Krankheitserreger aktiv sein, die gegen Ciprofloxacin resistent sind. In vitro Studien zeigten eine Kreuzresistenz zwischen Ciprofloxacin und einigen Fluorchinolonen.
Es wurde gezeigt, dass Ciprofloxacin beide gegen die meisten Isolate der folgenden Bakterien aktiv ist in vitro und bei klinischen Infektionen von akuter Otitis externa, wie in Abschnitt beschrieben Indikationen und Nutzung .
Staphylococcus aureus
Pseudomonas aeruginosa.
Klinische Studien
In einer randomisierten multizentrischen Evaluator-blinde-Studie an Patienten mit akuter Otitis-Externa-Patienten wurden Patienten zweimal täglich mit Cetraxal und 7 Tagen dreimal täglich dreimal täglich mit Cetraxal behandelt.
In der pro Protokollpopulation wurde die klinische Heilung am Ende einer 7-tägigen Behandlung in 70% (173/247) für die Cetraxal-behandelte Gruppe gegenüber 60% (147/243) für die kontroll behandelte Gruppe erreicht.
Patienteninformationen für Cetraxal
Gebrauchsanweisung
Den Patienten sollte darauf hingewiesen werden, dass Cetraxal nur für den Otic -Gebrauch bestimmt ist. Es ist nicht für Augen- oder Inhalationsgebrauch. Es ist nicht für die Injektion.
Cetraxal sollte in jedem infizierten Ohr 2 -mal täglich (ca. 12 Stunden voneinander entfernt) verabreicht werden.
Cetraxal sollte so lange verwendet werden, wie es verschrieben wird, auch wenn sich die Symptome verbessern. Dem Patienten sollte empfohlen werden, diese Richtungen in Cetraxal zu befolgen:
Waschen Sie ihre Hände vor dem Gebrauch.
|
Wärmen Sie den Behälter mindestens eine Minute vor dem Gebrauch in den Händen, um Schwindel zu minimieren, die sich aus der Einbeziehung einer kalten Lösung in den Gehörgang zurückführen können. Verdrehen und verwerfen Sie die Spitze des Behälters.
|
Liegen Sie mit dem betroffenen Ohr nach oben und geben Sie dann den Inhalt eines Behälters ins Ohr. Behalten Sie diese Position mindestens eine Minute lang bei, um die Durchdringung der Tropfen in das Ohr zu erleichtern.
Wofür wird Flachsöl verwendet?
|
Wiederholen Sie bei Bedarf für das gegenüberliegende Ohr.
Verwendungsbehälter wegwerfen.
Lagern Sie nicht verwendete Behälter im Beutel, um vor Licht zu schützen.
Überempfindlichkeit
Patienten sollten empfohlen werden, Cetraxal beim ersten Auftreten eines Hautausschlags oder eines anderen Anzeichens von Überempfindlichkeit sofort abzubrechen [siehe Warnungen und Vorsichtsmaßnahmen ].