Die Informationen Auf Dieser Website Stellen Keine Medizinische Beratung Dar. Wir Verkaufen Nichts. Die Richtigkeit Der Übersetzung Wird Nicht Garantiert. Haftungsausschluss
Raucherentwöhnung hilft
Chantix
Drogenzusammenfassung
Was ist Chantix?
Chantix (Vareniclin) ist ein partieller Agonisten -Selektiv für A4ß2 -Nikotin -Acetylcholinrezeptor -Subtypen, die zur Einstellung des Rauchens verwendet werden.
Was sind Nebenwirkungen von Chantix?
Häufige Nebenwirkungen von Chantix umfassen
- Übelkeit (kann mehrere Monate bestehen)
- Magenschmerzen
- Verdauungsstörungen
- Verstopfung
- Gas
- Erbrechen
- Kopfschmerzen
- Schwäche
- Müdigkeit
- ungewöhnliche Träume
- Schlafprobleme (Schlaflosigkeit)
- Kopfschmerz trockener Mund oder
- unangenehmer Geschmack in deinem Mund.
Chantix macht nicht süchtig und ist keine kontrollierte Substanz. Einige Patienten können jedoch Reizbarkeit und Schlafstörungen aufweisen, wenn Chantix abrupt abgebrochen wird. Bei Patienten können psychiatrische Symptome wie Verhaltensänderungen auftreten, die die Stimmung und das Selbstmordverhalten bei der Verwendung von Chantix verändert. Sagen Sie Ihrem Arzt, wenn Sie ernsthafte Nebenwirkungen von Chantix einschließlich haben
- Brennende Gefühl in Füßen/Zehen
- ungewöhnliche Schmerzen in den Beinen beim Gehen
- Beschlagnahme (Krämpfe)
- Gedanken über Selbstmord oder Verletzung
- Unruhe
- seltsame Träume
- Schlafwandeln
- Probleme beim Schlafen
- Stimmung oder Verhalten ändert sich
- Depression
- Agitation
- Feindseligkeit
- Aggression
- Brustschmerzen oder Druck
- Schmerzen, die sich auf den Kiefer oder die Schulter ausbreiten
- Brechreiz
- Schwitzen
- plötzliche Taubheit oder Schwäche
- verschwommene Sprache und
- Probleme mit Sehvermögen oder Gleichgewicht
Suchen Sie medizinische Versorgung oder rufen Sie auf einmal 911 an, wenn Sie die folgenden schwerwiegenden Nebenwirkungen haben:
- Schwerwiegende Augensymptome wie plötzlicher Sehverlust verschwommenes Sehen Tunnel Sehschmerzen oder Schwellungen oder Halos in der Umgebung des Lichts;
- Schwerwiegende Herzsymptome wie schnelle unregelmäßige oder pochende Herzschläge; Flattern in deiner Brust; Kurzatmigkeit; und plötzliche Schwindel -Unbeschwertheit oder ohnmächtig;
- Starke Kopfschmerzen Verwirrung verwirrt Spracharm oder Bein Schwäche Schwierigkeiten beim Verlust der Koordination unstabil sehr steifes Muskeln hoher Fieber problemlos Schwitzen oder Zittern.
Dieses Dokument enthält nicht alle möglichen Nebenwirkungen und andere können auftreten. Wenden Sie sich an Ihren Arzt nach zusätzlichen Informationen zu Nebenwirkungen.
Dosierung für Chantix
Die empfohlene Chantixdosis beträgt 3 Tage lang 0,5 mg täglich, gefolgt von 0,5 mg zweimal täglich für 4 Tage, dann 1 mg zweimal täglich für den Rest des Behandlungszeitraums. Die Therapiedauer beträgt 12 Wochen.
Welche Medikamentensubstanzen oder Nahrungsergänzungsmittel interagieren mit Chantix?
Wenn die Behandlung erfolgreich für weitere 12 Wochen ist, erhöhen Sie die Wahrscheinlichkeit einer langfristigen Abstinenz.
Chantix während der Schwangerschaft und des Stillens
Es gibt keine angemessenen Studien bei schwangeren Frauen und es ist nicht bekannt, ob Chantix in Muttermilch ausgeschieden ist.
Weitere Informationen
Unsere Chantix (Varenicline) -Seitwirkungsdrogenzentrum bietet einen umfassenden Überblick über die verfügbaren Arzneimittelinformationen über die potenziellen Nebenwirkungen bei der Einnahme dieses Medikaments.
FDA -Drogeninformationen
- Drogenbeschreibung
- Indikationen
- Nebenwirkungen
- Wechselwirkungen mit Arzneimitteln
- Warnungen
- Überdosis
- Klinische Pharmakologie
- Medikamentenhandbuch
Wer sollte Chantix nicht nehmen?
Nehmen Sie keine Chantix ein, wenn Sie eine schwerwiegende allergische oder Hautreaktion auf Chantix hatten. Symptome können ein sein:
- Schwellung des Gesichtsmundes (Zungenlippen Zahnfleisch) Hals oder Hals
- Probleme beim Atmen
- Hautausschlag mit schälen Haut
- Blasen in deinem Mund
Bevor du nimmst Chantix Sagen Sie Ihrem Gesundheitsdienstleister, wenn Sie :
- Verwenden Sie andere Behandlungen, um das Rauchen aufzuhören. Die Verwendung von Chantix mit einem Nikotin -Patch kann dazu führen, dass Übelkeit erbrechen Kopfschmerz Schwindel, die Magen und Müdigkeit häufiger auftreten, als wenn Sie nur einen Nikotin -Patch allein verwenden.
- Nierenprobleme haben oder Niere bekommen
- eine Geschichte von Anfällen haben
- Alkohol trinken
- Habe Herz- oder Blutgefäßprobleme
- haben andere Erkrankungen
- sind schwanger oder planen, schwanger zu werden. Es ist nicht bekannt, ob Chantix Ihrem ungeborenen Baby schädigen wird.
- stillen. Es ist nicht bekannt, ob Chantix in die Muttermilch übergeht. Wenn Sie stillen und Chantix einnehmen, überwachen Sie Ihr Baby auf Anfälle sowie auf Spucken oder Erbrechen mehr als normal.
- Alle Medikamente, die Sie einnehmen, einschließlich verschreibungspflichtiger und rezeptfreier Medikamente Vitamine und Kräuterpräparate. Ihr Gesundheitsdienstleister muss möglicherweise die Dosis einiger Ihrer Arzneimittel ändern, wenn Sie das Rauchen aufhören.
- Halten Sie eine Liste von ihnen bei, um Ihren Gesundheitsdienstleister und Apotheker zu zeigen, wenn Sie ein neues Medikament erhalten.
Beschreibung für Chantix
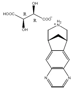
Chantix tablets contain varenicline (as the tartrate salt) which is a partial nicotinic agonist selective for α 4 β 2 Nikotin -Acetylcholinrezeptor -Subtypen.
Varenicline als Tartratsalz ist ein Pulver, das mit dem folgenden chemischen Namen ein weißes bis achftes bis leicht gelbem Feststoff ist: 78910-Tetrahydro-610-methano-6H-Pyrazino [23- H] [3] Benzazepin (2R3R) -23-dihydroxybutanedioat (1: 1: 1). Es ist in Wasser sehr löslich. Das Vareniclin -Tartrat hat ein Molekulargewicht von 361,35 Daltons und eine molekulare Formel von C 13 H 13 N 3 • C. 4 H 6 O 6 . Die chemische Struktur ist:
|
Chantix is supplied for oral administration in two strengths: a 0.5 mg capsular biconvex white to off-white film-coated tablet debossed with Pfizer on one side and CHX 0.5 on the other side and a 1 mg capsular biconvex light blue film-coated tablet debossed with Pfizer on one side and CHX 1.0 on the other side. Each 0.5 mg Chantix tablet contains 0.85 mg of Varenicline -Tartrat equivalent to 0.5 mg of varenicline free base; each 1 mg Chantix tablet contains 1.71 mg of Varenicline -Tartrat equivalent to 1 mg of varenicline free base. The following inactive ingredients are included in the tablets: microcrystalline cellulose anhydrous dibasic calcium phosphate croscarmellose sodium colloidal silicon dioxide magnesium stearate Opadry® White (for 0.5 mg) Opadry® Blue (for 1 mg) and Opadry® Clear.
Verwendung für Chantix
Chantix ist für die Verwendung als Hilfe für die Behandlung von Raucherentwöhnung angezeigt.
Dosierung für Chantix
Übliche Dosierung für Erwachsene
Therapien zur Raucherentwöhnung gelten eher für Patienten, die motiviert sind, das Rauchen einzustellen, und die zusätzliche Ratschläge und Unterstützung erhalten. Stellen Sie den Patienten geeignete Bildungsmaterialien und Beratung zur Verfügung, um den Kündigungsversuch zu unterstützen.
Der Patient sollte ein Datum festlegen, um das Rauchen aufzuhören. Beginnen Sie eine Woche vor diesem Datum Chantix -Dosierung. Alternativ kann der Patient die Chantix -Dosierung beginnen und dann zwischen den Tagen 8 und 35 der Behandlung mit dem Rauchen aufhören.
Chantix sollte nach dem Essen und mit einem vollen Glas Wasser oral eingenommen werden.
Die empfohlene Chantix-Dosis beträgt nach einer 1-wöchigen Titration wie folgt 1 mg zweimal täglich:
| Tage 1 - 3: | 0,5 mg einmal täglich |
| Tage 4 - 7: | 0,5 mg zweimal täglich |
| Tag 8 - Ende der Behandlung: | 1 mg zweimal täglich |
Patienten sollten 12 Wochen lang mit Chantix behandelt werden. Bei Patienten, die nach 12 Wochen erfolgreich das Rauchen eingestellt haben, wird empfohlen, die Wahrscheinlichkeit einer langfristigen Abstinenz weiter zu erhöhen.
Für Patienten, die sicher sind, dass sie nicht in der Lage oder bereit sind, abrupt einen allmählichen Ansatz für das Rauchen mit Chantix aufzuhören. Die Patienten sollten die Chantix -Dosierung beginnen und das Rauchen innerhalb der ersten vier Wochen in den nächsten vier Wochen um 50% um 50% reduzieren und sich weiterhin mit dem Ziel reduzieren, die vollständige Abstinenz um 12 Wochen zu erreichen. Fortsetzung der Chantix -Behandlung für weitere 12 Wochen für insgesamt 24 Wochen Behandlung. Ermutigen Sie die Patienten, früher aufzuhören, wenn sie sich bereit fühlen [siehe Klinische Studien ].
Patienten, die motiviert sind, aufzuhören, und es war nicht gelungen, während der früheren Chantix -Therapie aus anderen Gründen als Unverträglichkeit aufgrund unerwünschter Ereignisse zu rauchen oder nach der Behandlung zurückzuziehen, sollten ermutigt werden, einen weiteren Versuch mit Chantix zu unternehmen, sobald Faktoren, die zum gescheiterten Versuch beitragen, identifiziert und angesprochen wurden.
Betrachten Sie eine vorübergehende oder dauerhafte Dosisreduktion bei Patienten, die die nachteiligen Auswirkungen von Chantix nicht tolerieren können.
Dosierung in speziellen Populationen
Patienten mit beeinträchtigter Nierenfunktion
Für Patienten mit leichter bis mittelschwerer Nierenbeeinträchtigung ist keine Dosierungsanpassung erforderlich. Bei Patienten mit schwerer Nierenbeeinträchtigung (geschätzte Kreatinin -Clearance von weniger als 30 ml pro Minute) beträgt die empfohlene Startdosis Chantix einmal täglich 0,5 mg. Die Dosis kann dann nach Bedarf zu einer maximalen Dosis von 0,5 mg zweimal täglich titriert werden. Bei Patienten mit Nierenerkrankungen im Endstadium, die sich einer Hämodialyse unterziehen, kann eine maximale Dosis von 0,5 mg einmal täglich verabreicht werden Verwendung in bestimmten Populationen Klinische Pharmakologie ].
Ältere und Patienten mit beeinträchtigter Leberfunktion
Für Patienten mit Leberbeeinträchtigung ist keine Dosierungsanpassung erforderlich. Da ältere Patienten mit größerer Wahrscheinlichkeit eine verminderte Nierenfunktionspflege haben, sollte bei der Dosisauswahl eingesetzt werden, und es kann nützlich sein, die Nierenfunktion zu überwachen [siehe Verwendung in bestimmten Populationen ].
Wie geliefert
Dosierungsformen und Stärken
Capsular Biconvex-Tabletten: 0,5 mg (weiß bis nicht weißes mit Pfizer auf der einen Seite und CHX 0,5 auf der anderen Seite) und 1 mg (hellblau mit Pfizer auf der einen Seite und CHX 1.0 auf der anderen Seite).
Lagerung und Handhabung
Chantix wird für die orale Verabreichung in zwei Stärken geliefert: eine mit Pfizer auf der einen Seite mit Pfizer mit Pfizer und CHX 0,5 auf der anderen Seite und einem 1 mg Capsular Biconvex mit Pfizer auf der anderen Seite und einem Capsular-Biconvex mit Pfizer mit Pfizer auf der anderen Seite und einem side und einem CHX 1.0 besiedelte 1-mg-Kapsular-Biconvex-Tablette: eine mit Pfizer auf der anderen Seite von Pfizer und einem Capsular-Biconvex-Tablet, die mit Pfizer auf der anderen Seite debütierende, wird mit Pfizer auf der anderen Seite und einem 1-mg-Kapsel. Chantix wird in den folgenden Paketkonfigurationen geliefert:
| Beschreibung | NDC | |
| Packungen | Start 2 Wochenkarte: 0,5 mg x 11 Tabletten und 1 mg x 14 Tabletten | NDC 0069-0471-01 |
| Fortsetzung 2 Wochenkarte: 1 mg x 28 Tabletten | NDC 0069-0469-11 | |
| Start 4-Wochen-Karte: 0,5 mg x 11 Tabletten und 1 mg x 42 Tabletten | NDC 0069-0471-03 | |
| Fortsetzung der 4-Wochen-Karte: 1 mg x 56 Tabletten | NDC 0069-0469-03 | |
| Startmonat Box: 0,5 mg x 11 Tabletten und 1 mg x 42 Tabletten | NDC 0069-0471-02; NDC 0069-0471-03 | |
| Fortsetzung Monat Box: 1 mg x 56 Tabletten | NDC 0069-0469-12; NDC 0069-0469-03 | |
| Flaschen | 0,5 mg - Flasche 56 | NDC 0069-0468-56 |
| 1 mg - Flasche 56 | NDC 0069-0469-56 |
Speichern Sie bei 25 ° C (77 ° F); Exkursionen, die auf 15–30 ° C (59–86 ° F) zulässig sind (siehe USP -kontrollierte Raumtemperatur ).
Verteilt von: Pfizer Labs Division von Pfizer Inc. NY NY 10017. Überarbeitet: 20. Dezember 16
Nebenwirkungen for Chantix
Die folgenden schwerwiegenden unerwünschten Reaktionen wurden in der Erfahrung nach dem Markenzeichen gemeldet und werden in anderen Abschnitten der Kennzeichnung ausführlicher erörtert:
- Neuropsychiatrische unerwünschte Ereignisse einschließlich Selbstmord [siehe Warnungen und VORSICHTSMASSNAHMEN ]
- Anfälle [siehe Warnungen und VORSICHTSMASSNAHMEN ]
- Interaktion mit Alkohol [siehe Warnungen und VORSICHTSMASSNAHMEN ]
- Zufällige Verletzung [siehe Warnungen und VORSICHTSMASSNAHMEN ]
- Herz -Kreislauf -Ereignisse [siehe Warnungen und VORSICHTSMASSNAHMEN ]
- Somanbulismus [Hit Warnungen und VORSICHTSMASSNAHMEN ]
- Angioödem- und Überempfindlichkeitsreaktionen [siehe Warnungen und VORSICHTSMASSNAHMEN ]
- Schwerwiegende Hautreaktionen [siehe Warnungen und VORSICHTSMASSNAHMEN ]
In den placebokontrollierten Prämarketing-Studien waren die häufigsten unerwünschten Ereignisse, die mit Chantix (> 5% und der doppelten Geschwindigkeit bei Placebo-behandelten Patienten beobachtet wurden) Übelkeit abnormale (lebendige ungewöhnliche oder seltsame) Träume Verstopfung Flatulenz und Erbrechen.
Die Behandlungsabbruchrate aufgrund unerwünschter Ereignisse bei Patienten, die zweimal täglich 1 mg dosierten, betrug 12% für Chantix, verglichen mit 10% für Placebo in Studien mit drei Monaten. In dieser Gruppe waren die Abbruchquoten, die für die häufigsten unerwünschten Ereignisse bei mit Chantix behandelten Patienten höher sind als Placebo, wie folgt: Übelkeit (3% gegenüber 0,5% für Placebo) Schlaflosigkeit (NULL,2% gegenüber 1,1% für Placebo) und abnormale Träume (NULL,3% gegenüber 0,2% für Placebo).
Die Raucherentwöhnung mit oder ohne Behandlung ist mit Symptomen des Nikotinentzugs verbunden und wurde auch mit der Verschlechterung der zugrunde liegenden psychiatrischen Erkrankungen in Verbindung gebracht.
Klinische Studien Erfahrung
Da klinische Studien unter sehr unterschiedlichen Bedingungen durchgeführt werden, können die in den klinischen Studien eines Arzneimittels beobachteten Nebenwirkungen in den klinischen Studien eines anderen Arzneimittels nicht direkt mit den in der klinischen Praxis beobachteten Raten verglichen werden.
Während der vormarkierten Entwicklung von Chantix wurden über 4500 Probanden Chantix ausgesetzt, wobei über 450 mindestens 24 Wochen lang und ungefähr 100 für ein Jahr behandelt wurden. Die meisten Studienteilnehmer wurden 12 Wochen oder weniger behandelt.
Das häufigste unerwünschte Ereignis, das mit der Chantix -Behandlung verbunden ist Warnungen und VORSICHTSMASSNAHMEN ].
Tabelle 3 zeigt die unerwünschten Ereignisse für Chantix und Placebo in den 12-wöchigen Dosis-Premarketing-Studien mit Titration in der ersten Woche [Studien 2 (nur titrierter Arm) 4 und 5]. Unerwünschte Ereignisse wurden unter Verwendung des medizinischen Wörterbuchs für regulatorische Aktivitäten (Meddra Version 7.1) kategorisiert.
Die bei ≥ 5% der Patienten in der Chantix 1 mg zweimal täglichen Dosisgruppe angegebenen Meddra -Gruppenbegriffe (HLGT) werden zusammen mit den untergeordneten Vorzugsbegriffen (PT) (PT) in ≥ 1% der Chantix -Patienten (und mindestens 0,5% häufiger als Placebo) aufgeführt. In eng verwandte Vorzugsbegriffe wie 'Schlaflosigkeit' 'erste Schlaflosigkeit' 'mittlere Schlaflosigkeit' am frühen Morgenwachen 'wurden gruppiert, aber einzelne Patienten, die zwei oder mehr gruppierte Ereignisse melden, werden nur einmal gezählt.
Tabelle 3: Häufige Behandlungen Emergent AEs (%) in den placebegonten Studien mit fester Dosierung (HLGTs ≥ 5% der Patienten in der 1-mg-Bid-Chantix-Gruppe und häufiger als Placebo und PT ≥ 1% in der 1-mg-Gebots-Chantix-Gruppe und 1 mg Bid-Chantix mehr als 0,5% mehr als Placebo)
| System Organ Class High Level Gruppenbegriff bevorzugter Begriff | Chantix 0,5 mg Angebot N = 129 | Chantix 1 mg Angebot N = 821 | Placebo N = 805 |
| Magen -Darm (GI) | |||
| GI -Anzeichen und Symptome | |||
| Brechreiz | 16 | 30 | 10 |
| Bauchschmerzen * | 5 | 7 | 5 |
| Blähung | 9 | 6 | 3 |
| Dyspepsie | 5 | 5 | 3 |
| Erbrechen | 1 | 5 | 2 |
| GI -Motilitäts-/Defäkationsbedingungen | |||
| Verstopfung | 5 | 8 | 3 |
| Gastroösophageale Refluxkrankheit | 1 | 1 | 0 |
| Speicheldrüsenbedingungen | |||
| Trockener Mund | 4 | 6 | 4 |
| Psychiatrische Störungen | |||
| Schlafstörung/Störungen | |||
| Schlaflosigkeit† | 19 | 18 | 13 |
| Abnormale Träume | 9 | 13 | 5 |
| Schlafstörung | 2 | 5 | 3 |
| Alptraum | 2 | 1 | 0 |
| NERVENSYSTEM | |||
| Kopfschmerzen | |||
| Kopfschmerzen | 19 | 15 | 13 |
| Neurologische Störungen NEC | |||
| Dysgeusie | 8 | 5 | 4 |
| Schläfrigkeit | 3 | 3 | 2 |
| Lethargie | 2 | 1 | 0 |
| Allgemeine Störungen | |||
| Allgemeine Störungen NEC | |||
| Müdigkeit/Unwohlsein/Asthenie | 4 | 7 | 6 |
| Respir/Thorax/Mediast | |||
| Atemstörungen NEC | |||
| Rhinorrhoe | 0 | 1 | 0 |
| Dyspnoe | 2 | 1 | 1 |
| Störung der oberen Atemwege | 7 | 5 | 4 |
| Haut/Subkutanes Gewebe | |||
| Epidermale und dermale Bedingungen | |||
| Ausschlag | 1 | 3 | 2 |
| Pruritis | 0 | 1 | 1 |
| STOFFWECHSEL | |||
| Appetit/allgemeine Mnutritionsstörungen | |||
| Erhöhter Appetit | 4 | 3 | 2 |
| Verminderter Appetit/Anorexie | 1 | 2 | 1 |
| *Beinhaltet pts abdominal (Schmerz Schmerzen obere Schmerzen Unterer Beschwerden Zartnahrung) und Magenbeschwerden † Beinhaltet PTS |
Das Gesamtmuster und die Häufigkeit von unerwünschten Ereignissen während der in Tabelle 3 beschriebenen längerfristigen Vormarkenversuche waren ähnlich, obwohl einige der häufigsten Ereignisse durch einen größeren Anteil der Patienten mit Langzeitverwendung berichtet wurden (z. B. wurde bei 40% der mit Chantix 1 mg zweimal täglich in einer einjährigen Studie behandelten Patienten im Vergleich zu 8% von Placebo-behandelten Patienten eine Übelkeit berichtet.
Im Folgenden finden Sie eine Liste von unerwünschten Ereignissen, die von Patienten mit Chantix in allen klinischen Studien vorübergehend behandelt wurden und auf der Grundlage gepoolter Daten aus 18 placebokontrollierten Preand-Nachmarktstudien, einschließlich ungefähr 5000 mit Varenicline behandelten Patienten, aktualisiert wurden. Unerwünschte Ereignisse wurden unter Verwendung von Meddra Version 16.0 kategorisiert. Die Auflistung enthält nicht die bereits in den vorherigen Tabellen aufgeführten Ereignisse oder an anderer Stelle, um die Ereignisse zu kennzeichnen, für die eine Arzneimittelursache die Ereignisse enthielt, die so allgemein uninformativ waren, und diese Ereignisse nur einmal gemeldet wurden, die keine wesentliche Wahrscheinlichkeit hatten, akut lebensbedrohlich zu sein.
Blut- und Lymphsystemstörungen . Selten : Anämie -Lymphadenopathie. Selten : Leukozytose Splenomegalie -Thrombozytopenie.
Herzerkrankungen . Selten : Angina Pectoris Myokardinfarktkalpitationen Tachykardie. Selten : Akutes Koronarsyndrom Arrhythmie Vorhofflimmern Bradykardie Herzflutter Cormonale Koronararterienerkrankung ventrikuläre Extraser.
Ohr- und Labyrinthstörungen . Selten : Tinnitus Vertigo. Selten : Taubheit mit Meniere.
Endokrine Störungen . Selten : Schilddrüsenerkrankungen.
Augenstörungen . Selten : Bindehautentzündung Augenreizung Augenschmerzen Sehbehinderung verschwommenes Sehbehinderung.
Selten : Blindheit Transient Cataract Subkapsulare Trockene Augennacht Blindheit Augengefäßerkrankung Photophobie Glaskörperschwimmer.
Magen -Darm -Störungen . Häufig : Durchfall Zahnschmerzen. Selten : Dysphagie Euktation Gastritis Magen -Darm -Blutung Mundgeschwür. Selten : Enterokolitis -Ösophagitis Magengeschwür Darmverstopfung Pankreatitis Akut.
Allgemeine Erkrankungen und Verwaltungsortbedingungen . Häufig : Brustschmerzen. Selten : Brustbeschwerde kaltartige Ödeme Influenza-ähnliche Krankheit Pyrexie.
Lebererkrankungen . Selten : Gallenblasenstörung.
Untersuchungen . Häufig : Leberfunktionstest das abnormale Gewicht nahm zu. Selten : Elektrokardiogramm abnormal. Selten : Muskelenzym erhöhte die Urinanalyse abnormal.
Stoffwechsel- und Ernährungsstörungen . Selten : Diabetes mellitus Hypoglykämie. Selten : Hyperlipidämie Hypokaliämie.
Muskuloskelett- und Bindegewebestörungen . Häufig : Arthralgie Rückenschmerzen Myalgie. Selten : Arthritis Muskelkrampf Muskuloskelettschmerzen. Selten : Myositis -Osteoporose.
Störungen des Nervensystems . Häufig : Störung der Aufmerksamkeit Schwindel. Selten : Amnesie -Krampf -Migosmie -Synkope Zittern. Selten : Balance Disorder zerebrovaskuläre Unfalldysarthrie psychische Beeinträchtigung Multiple Sklerose VII Th
Psychiatrische Störungen . Selten : Dissoziationslibido verringerte die Stimmungsschwankungen, die abnormal denken. Selten : Bradyphrenie Desorientierung Euphorische Stimmung.
Nieren- und Harnstörungen . Selten : Nocturia pollakiuria Urin Abnormalität. Selten : Nephrolithiasis Polyurie Nierenversagen Akutes Harnröhrensyndrom Harnretention.
Fortpflanzungssystem und Bruststörungen . Häufig : Menstruationsstörung. Selten : erektile Dysfunktion. Selten : sexuelle Dysfunktion.
Atemstillstand und Mediastinalstörungen . Häufig : Atemstörungen. Selten : Asthma -Epistaxis Rhinitis Allergic Opper Respiratory Tract Entzündung. Selten : Pleuritis -Lungenembolie.
Haut- und subkutane Gewebeerkrankungen . Selten : Akne Trockenhaut Ekzem Erythem Hyperhidrosis Urticaria. Selten : Photosensitivitätsreaktion Psoriasis.
Gefäßstörungen . Selten : Heiße Flush. Selten : Thrombose.
CHANTIX has also been studied in postmarketing trials including (1) a trial conducted in patients with chronic obstructive pulmonary disease (COPD) (2) a trial conducted in generally healthy patients (similar to those in the premarketing studies) in which they were allowed to select a quit date between days 8 and 35 of treatment (alternative quit date instruction trial) (3) a trial conducted in patients who did not succeed in stopping smoking during prior CHANTIX therapy or who Rückfälliger nach der Behandlung (Wiederbehandlungsstudie) (4) Eine Studie bei Patienten mit stabiler kardiovaskulärer Erkrankung (5) Eine Studie bei Patienten mit stabiler Schizophrenie oder schizoaffektiver Störung (6) Eine Studie, die bei Patienten mit schwerer depressiver Störung (7) durchgeführt wurde (7). Abrupt aufgeben und die angewiesen wurden, schrittweise aufzuhören (schrittweise Ansatz zum Aufhören von Raucherversuchen).
Unerwünschte Ereignisse in der Studie mit Patienten mit COPD in der alternativen Studie zum Ableiten des Datums für den Abschluss und im schrittweisen Ansatz zur Beenden von Raucherversuch waren denen ähnlich, die in Premarketing -Studien beobachtet wurden. In der Wiederbehandlungsstudie war das Profil häufiger unerwünschter Ereignisse der zuvor gemeldeten, aber zusätzlich mit Varenicline behandelten Patienten (6% gegenüber 4% bei mit Placebo-behandelten Patienten) depressive Stimmungsstörungen und Störungen (6% gegenüber 1%) und andere Stimmungsstörungen und Störungen (5% Vs. 2%).
In der Studie von Patienten mit stabilen Herz -Kreislauf -Erkrankungen und einer größeren Anzahl von kardiovaskulären Ereignissen wurden im Vergleich zu Prämarketing -Studien berichtet. Kardiovaskuläre Ereignisse von Behandlungsmotten (On-Versand oder 30 Tage nach der Behandlung), die in dieser Studie mit einer Häufigkeit von ≥ 1% in beiden Behandlungsgruppen berichteten, waren Angina pectoris (NULL,7% und 2,0% für Vareniclin bzw. Placebo) Brustschmerzen (NULL,5% vs. 2,3%) Periphere Ödeme (NULL,0% VS. 1%). 1,1%). Todesfälle und schwerwiegende kardiovaskuläre Ereignisse, die in den 52 Wochen der Studie (aufstrebende und nicht regelmäßige Emergent) auftraten, wurden von einem verblindeten unabhängigen Komitee entschieden. Die folgenden Ereignisse mit Behandlungsemergententechnik traten in beiden Behandlungsgruppen mit einer Häufigkeit von ≥ 1% auf: nicht tödlicher MI (NULL,1% gegenüber 0,3% für Vandericline bzw. Placebo) bzw. Krankenhausaufenthalte für Angina Pectoris (NULL,6% gegenüber 1,1%). Während der Nachuntersuchung der Nichtbehandlungen bis zu 52 Wochen umfassten die entschlossenen Ereignisse die Notwendigkeit einer Koronarrevaskularisierung (NULL,0% gegenüber 0,6%) Krankenhausaufenthalt für Angina-Pektoris (NULL,7% gegenüber 1,1%) und eine neue Diagnose von peripheren Gefäßerkrankungen (PVD) oder Eintritt für ein PVD-Verfahren (NULL,4% Vaskulärer Erkrankungen). Einige der Patienten, die eine Koronarrevaskularisation benötigten, wurden im Rahmen der Behandlung von nicht tödlichem MI und Krankenhausaufenthalt für Angina das Verfahren unterzogen. Der kardiovaskuläre Tod trat bei 0,3% der Patienten im Vareniclin-Arm und 0,6% der Patienten im Placebo-Arm im Verlauf der 52-Wochen-Studie auf.
In der Studie mit Patienten mit stabiler Schizophrenie oder schizoaffektiver Störung wurden 128 Raucher bei Antipsychotika für 12 Wochen mit einer 12-wöchigen Nicht-Drogen-Follow-up 12 Wochen mit einer 12-wöchigen Nicht-Drogen-Follow-up randomisiert. Die häufigsten unerwünschten Ereignisse bei Patienten, die Vareniclin einnahmen, waren Übelkeit (24% gegenüber 14,0% auf Placebo) Kopfschmerzen (11% gegenüber 19% auf Placebo) und Erbrechen (11% gegenüber 9% auf Placebo). Unter den gemeldeten neuropsychiatrischen unerwünschten Ereignissen war die Schlaflosigkeit das einzige Ereignis, das in einer der beiden Behandlungsgruppen in ≥ 5% der Probanden mit einer Geschwindigkeit in der Vareniclin -Gruppe als in Placebo (10% gegenüber 5%) auftrat. Diese gemeinsamen und neuropsychiatrischen unerwünschten Ereignisse traten bei der Behandlung oder innerhalb von 30 Tagen nach der letzten Dosis des Studienmedikaments auf. Es gab keine konsequente Verschlechterung der Schizophrenie in einer der beiden Behandlungsgruppen, gemessen an der positiven und negativen Syndromskala. Es gab keine allgemeinen Änderungen der extra-pyramidenen Anzeichen, gemessen an der Simpson-Angus-Bewertungsskala. Die Schweregrade des Columbia-Suizid-Schweregrads wurde zu Studienbeginn und bei Klinikbesuchen während der Behandlung und der Nichtbehandlungs-Follow-up-Phasen verabreicht. Über die Hälfte der Patienten hatte eine lebenslange Vorgeschichte von Selbstmordverhalten und/oder -gedanken (62% auf Vareniclin gegenüber 51% im Placebo), aber zu Studienbeginn berichteten keine Patienten in der Gruppe von Varenicline -Gruppe und/oder eine Vorstellung gegenüber einem Patienten in der Placebo -Gruppe (2%). Selbstmordverhalten und/oder Ideen wurden in 11% der mit Vareniklin behandelten und 9% der mit Placebo behandelten Patienten während der Behandlungsphase berichtet. Während des Nachbehandlungsphase wurden bei 11% der Patienten in der Varenicline-Gruppe und 5% der Patienten in der Placebo-Gruppe Suizidverhalten und/oder -erdege nach der Behandlung. Viele der Patienten, die Selbstmordverhalten und Ideen in der Nachuntersuchungsphase meldeten, hatten solche Erfahrungen in der Behandlungsphase nicht berichtet. In kurzer (innerhalb einer Woche) nach Absetzen der Behandlungen entstanden jedoch keine neue Selbstmordgedanken oder kein neues Verhalten (ein Phänomen, das bei der Nachmarktberichterstattung festgestellt wurde). Es gab keine fertigen Selbstmorde. Es gab einen Selbstmordversuch bei einem mit Vareniklin behandelten Patienten. Die begrenzten Daten, die aus dieser einzelnen Studie zur Raucherentwöhnung verfügbar sind, reichen nicht aus, um die Schlussfolgerungen zu ermöglichen.
In der Studie von Patienten mit einer Depressivstörung der Depression waren die häufigsten unerwünschten Ereignisse (≥ 10%) bei Probanden, die Varenicline einnahmen, Übelkeit (27% vs. 10% auf Placebo) Kopfschmerzen (17 vs. 11%) abnormale Träume (11% vs. 8%) Schlaflosigkeit (11% vs. 5%) und Reizbarkeit (11% vs. 8%). Zusätzlich wurden die folgenden psychiatrischen AEs bei ≥ 2% der Patienten in der entweder in der Behandlungsgruppe (Varenicline oder Placebo): Angst (7% vs. 9%) Agitation (7% vs. 4%) Depressive Stimmungsstörungen und Störungen (11% vs. 9%) Spannung (4% vs. 3%) Feindseligkeit (2% Vs. 0,4%) und Unruhe (2% vs. 2%). Mit Vareniclin behandelte Patienten, die mit Placebo behandelt wurden, meldeten Patienten mit Placebo eine der verschiedenen Ereignisse im Zusammenhang mit Feindseligkeit und Aggression (3% gegenüber 1%). Psychiatrische Skalen zeigten keine Unterschiede zwischen den Vareniclin- und Placebo -Gruppen und keine allgemeine Verschlechterung der Depression während der Studie in beiden Behandlungsgruppen. Der Prozentsatz der Probanden mit Selbstmordgedanken und/oder Verhalten war zwischen den Varenicline- und Placebo-Gruppen während der Behandlung (6% bzw. 8%) und der Nichtbehandlungs-Follow-up (6% bzw. 6%) ähnlich. Es gab ein Ereignis einer absichtlichen Selbstverletzung/möglichen Selbstmordversuch während der Behandlung (Tag 73) in einem Subjekt in der Placebo-Gruppe. Selbstmord konnte nicht in einem Subjekt ausgeschlossen werden, das 76 Tage nach der letzten Dosis von Studienmedikamenten in der Vareniclin -Gruppe durch eine Überdosis illegale Drogen starb.
In der Studie mit Patienten ohne oder mit einer Vorgeschichte psychiatrischer Störung waren die häufigsten unerwünschten Ereignisse bei mit Vareniclin behandelten Probanden ähnlich wie bei Vorkenntnissen. Unerwünschte Ereignisse, die bei ≥ 10% der in der gesamten Studienpopulation behandelten Probanden gemeldet wurden, waren Übelkeit (25% gegenüber 7% auf Placebo) und Kopfschmerzen (12% gegenüber 10% auf Placebo). Zusätzlich wurden die folgenden psychiatrischen unerwünschten Ereignisse bei ≥ 2% der Patienten in der beiden Behandlungsgruppen (Varenicline vs. Placebo) durch Kohorte berichtet. Für die nicht-psychiatrische Kohorte waren diese unerwünschten Ereignisse abnormale Träume (8% vs. 4%) Agitation (3% gegenüber 3%) Angst (5% gegenüber 6%) Depressive Stimmung (3% gegenüber 3%) Die Irritabilität (3%) Schlafstörung (3% v. 2% vs. 2%). Für die psychiatrische Kohorte waren diese unerwünschten Ereignisse abnormale Träume (12% vs. 5%) Agitation (5% vs. 4%) Angst (8% vs. 6%) Depressive Stimmung (5% vs. 5%) Depression (5% vs. 5%) Insomnie (9% vs. 7%).
Nachmarkterfahrung
Die folgenden unerwünschten Ereignisse wurden während der Verwendung von Chantix nach der Anbietung gemeldet. Da diese Ereignisse freiwillig von einer Population unsicherer Größe berichtet werden, ist es nicht möglich, ihre Häufigkeit zuverlässig abzuschätzen oder ein kausales Verhältnis zur Arzneimittelexposition herzustellen.
Es gab Berichte über die Halluzinationen von Depression Mania Psychose Halluzinationen Paranoia -Wahnvorstellungen Mord -Ideen -Aggressionen Feindseligkeit und Panik sowie Selbstmordversuch von Selbstmordgedanken und vervollständigten Selbstmord bei Patienten, die versuchen, das Rauchen aufzuhören, während sie Chantix einnehmen [siehe [siehe Warnungen und VORSICHTSMASSNAHMEN ].
Bei Patienten, die mit Chantix behandelt wurden, gab es Berichte über neue oder verschlechterte Anfälle [siehe Patienten mit Chantix) Warnungen und VORSICHTSMASSNAHMEN ].
Es wurden Berichte über Patienten mit einer erhöhten berauschenden Wirkung von Alkohol während der Einnahme von Chantix nach dem Stempeln vorhanden. Einige berichteten über neuropsychiatrische Ereignisse, einschließlich ungewöhnliches und manchmal aggressives Verhalten [siehe Warnungen und VORSICHTSMASSNAHMEN ].
Es gab Berichte über Überempfindlichkeitsreaktionen, einschließlich Angioödeme [siehe Warnungen und VORSICHTSMASSNAHMEN ].
Es gab auch Berichte über schwerwiegende Hautreaktionen, einschließlich Stevens-Johnson-Syndrom und Erythema Multiforme bei Patienten, die Chantix einnehmen [siehe Warnungen und VORSICHTSMASSNAHMEN ]. There have been reports of myocardial infarction (MI) and cerebrovascular accident (CVA) including ischemic and hemorrhagic events in patients taking Chantix. In the majority of the reported cases patients had pre-existing cardiovascular disease and/or other risk factors. Although smoking is a risk factor for MI and CVA based on temporal relationship between medication use and events a contributory role of varenicline cannot be ruled out [see Warnungen und VORSICHTSMASSNAHMEN ].
Es gab Berichte über Hyperglykämie bei Patienten nach Beginn von Chantix. Es gab Berichte über den Somnambulismus, was einige zu schädlichem Verhalten für selbst andere oder Eigentum bei Patienten führte, die mit Chantix behandelt wurden [siehe Warnungen und VORSICHTSMASSNAHMEN ].
Wechselwirkungen mit Arzneimitteln for Chantix
Basierend auf den Merkmalen von Varenicline und der klinischen Erfahrung bisher hat Chantix keine klinisch aussagekräftigen pharmakokinetischen Arzneimittelwechselwirkungen [siehe Klinische Pharmakologie ].
Verwendung mit anderen Drogen zur Raucherentwöhnung
Sicherheit und Wirksamkeit von Chantix in Kombination mit anderen Therapien zur Raucherentwöhnung wurden nicht untersucht.
Bupropion
Varenicline (1 mg zweimal täglich) veränderte die stationäre Pharmakokinetik von Bupropion (150 mg zweimal täglich) bei 46 Rauchern nicht. Die Sicherheit der Kombination von Bupropion und Vareniclin wurde nicht festgestellt.
Nikotinersatztherapie (NRT)
Obwohl die gleichzeitige Verabreichung von Varenicline (1 mg zweimal täglich) und transdermaler Nikotin (21 mg/Tag) für bis zu 12 Tage keinen Einfluss auf die Nikotin-Pharmakokinetik beeinflussen, war die Inzidenz von Übelkeit Kopfschmerzen, die Dizziness-Dyspepsie und Müdigkeit erbricht, für die Kombination allein größer als für NRT allein. In dieser Studie, die acht von zweiundzwanzig (36%) Patienten mit der Kombination von Vareniclin und NRT behandelt wurden, wurden die Behandlung aufgrund unerwünschter Ereignisse vorzeitig abgebrochen, verglichen mit 1 von 17 (6%) der mit NRT und Placebo behandelten Patienten.
Auswirkung der Raucherentwöhnung auf andere Drogen
Physiologische Veränderungen aufgrund der Raucherentwöhnung mit oder ohne Behandlung mit Chantix können die Pharmakokinetik oder Pharmakodynamik bestimmter Arzneimittel (z. B. Theophyllin Warfarin Insulin) verändern, für die eine Dosierungsanpassung erforderlich sein kann.
Drogenmissbrauch und Abhängigkeit
Kontrollierte Substanz
Varenicline ist keine kontrollierte Substanz.
Abhängigkeit
Menschen
Weniger als 1 von 1000 Patienten berichteten über Euphorie in klinischen Studien mit Chantix. Bei höheren Dosen (größer als 2 mg) erzeugte Chantix häufigere Berichte über gastrointestinale Störungen wie Übelkeit und Erbrechen. Es gibt keine Hinweise auf eine Dosis-Eskalation, um therapeutische Wirkungen in klinischen Studien aufrechtzuerhalten, was darauf hindeutet, dass sich keine Toleranz entwickelt. Die abrupte Abnahme von Chantix war mit einer Zunahme der Reizbarkeit und Schlafstörungen bei bis zu 3% der Patienten verbunden. Dies deutet darauf hin, dass Vareniclin bei einigen Patienten eine leichte physikalische Abhängigkeit hervorrufen kann, die nicht mit Sucht verbunden ist.
In einer menschlichen Labor -Missbrauchsunterlagenstudie erzeugte eine einzige orale Dosis von 1 mg Varenicline bei Rauchern keine signifikanten positiven oder negativen subjektiven Reaktionen. In Nichtrauchern führte 1 mg Vareniclin zu einem Anstieg einiger positiver subjektiver Effekte, dies ging jedoch von einer Zunahme der negativen Nebenwirkungen einher, insbesondere von Übelkeit. Eine einzelne orale Dosis von 3 mg Varenicline erzeugte gleichmäßig unangenehme subjektive Reaktionen sowohl bei Rauchern als auch bei Nichtrauchern.
Tiere
Studien an Nagetieren haben gezeigt, dass Varenicline Verhaltensreaktionen erzeugt, ähnlich denen von Nikotin. Bei Ratten, die zur Unterscheidung von Nikotin von Saline Vareniclin ausgebildet wurden, erzeugten Varenicline eine vollständige Verallgemeinerung des Nikotin -Hinweises. In der Selbstverwaltung untersucht das Grad, in dem Vareniclin-Ersatz für Nikotin ersetzt, von der Anforderung der Aufgabe abhängig. Ratten, die unter einfachen Bedingungen für sich selbst verabreichte Nikotin ausgebildet wurden, wurden in einem Grad, der mit dem von Nikotin vergleichbar ist, weiterhin selbst verabschiedet. In einer anspruchsvolleren Aufgabe verabreichten die Ratten jedoch in geringerem Maße Vareniclin als Nikotin. Die Vorbehandlung von Vareniclin reduzierte auch die Selbstverabreichung der Nikotin.
Warnungen für Chantix
Eingeschlossen als Teil der VORSICHTSMASSNAHMEN Abschnitt.
Vorsichtsmaßnahmen für Chantix
Neuropsychiatrische unerwünschte Ereignisse einschließlich Suizidalität
Es wurde über schwerwiegende neuropsychiatrische unerwünschte Ereignisse bei Patienten berichtet, die mit Chantix behandelt wurden [siehe Nebenwirkungen ]. These postmarketing reports have included changes in mood (including Depression and mania) psychosis hallucinations paranoia delusions homicidal ideation Aggression Feindseligkeit Agitation anxiety and panic as well as suicidal ideation suicide attempt and completed suicide. Some patients who stopped smoking may have been experiencing symptoms of nicotine withdrawal including Depressive Stimmung. Depression rarely including suicidal ideation has been reported in smokers undergoing a smoking cessation attempt without medication. However some of these adverse events occurred in patients taking Chantix who continued to smoke.
Neuropsychiatrische unerwünschte Ereignisse traten bei Patienten ohne und mit bereits bestehender psychiatrischer Erkrankung auf; Einige Patienten hatten eine Verschlechterung ihrer psychiatrischen Erkrankungen. Einige neuropsychiatrische unerwünschte Ereignisse, einschließlich ungewöhnlicher und manchmal aggressives Verhalten, die sich selbst oder andere durch den gleichzeitigen Alkoholkonsum verschlechtert haben [siehe Interaktion mit Alkohol Nebenwirkungen ]. Observe patients for the occurrence of neuropsychiatric adverse events. Advise patients and caregivers that the patient should stop taking Chantix and contact a healthcare provider immediately if Agitation Depressive Stimmung or changes in behavior or thinking that are not typical for the patient are observed or if the patient develops suicidal ideation or suicidal behavior. The healthcare provider should evaluate the severity of the symptoms and the extent to which the patient is benefiting from treatment and consider options including dose reduction continued treatment under closer monitoring or discontinuing treatment. In many postmarketing cases resolution of symptoms after discontinuation of Chantix was reported. However the symptoms persisted in some cases; therefore ongoing monitoring and supportive care should be provided until symptoms resolve.
Die neuropsychiatrische Sicherheit von Chantix wurde in einer randomisierten doppelblinden aktiven und placebokontrollierten Studie bewertet, die Patienten ohne eine psychiatrische Störung (nichtpsychiatrische Kohorte n = 3912) und Patienten mit psychiatrischer Störung (psychiatrischer Kohort N = 4003) umfasste. In der nicht-psychiatrischen Kohorte war Chantix nicht mit einer erhöhten Inzidenz klinisch signifikanter neuropsychiatrischer unerwünschter Ereignisse in einem zusammengesetzten Endpunkt in Verbindung gebracht, das die Depression des Angst umfasst, an die Halluzinationen Mörderung von Halluzinationen Mörderin und Iritabilität von Feindseligkeitsunruhen sind. In der psychiatrischen Kohorte wurden in jeder Behandlungsgruppe im Vergleich zur nicht-psychiatrischen Kohorte mehr Ereignisse gemeldet, und die Inzidenz von Ereignissen im Verbundendpunkt war für jede der aktiven Behandlungen im Vergleich zu Placebo: Risikounterschiede (RDS) (95% CI) vs. Placebo waren 2,7% (-0,05 5,4). für transdermale Nikotin. In den nicht-psychiatrischen Kohorten wurden neuropsychiatrische unerwünschte Ereignisse einer schwerwiegenden Natur bei 0,1% der mit Chantix behandelten Patienten und 0,4% der mit Placebo behandelten Patienten berichtet. In den psychiatrischen Kohorten wurden neuropsychiatrische Ereignisse schwerwiegender Natur bei 0,6% der mit Chantix behandelten Patienten mit 0,5% an psychiatrischem Krankenhausaufenthalt berichtet. Bei mit Placebo behandelten Patienten traten schwerwiegende neuropsychiatrische Ereignisse in 0,6% auf, wobei 0,2% psychiatrische Krankenhausaufenthalte erfordern [siehe Klinische Studien ].
Anfälle
Während der klinischen Studien und der Erfahrung nach dem Marketing gab es Berichte über Anfälle bei mit Chantix behandelten Patienten. Einige Patienten hatten keine Anfälle in der Anamnese, während andere eine Anfälle von Anfällen hatten, die abgelegen oder gut kontrolliert waren. In den meisten Fällen trat der Anfall im ersten Monat der Therapie auf. Wägen Sie dieses potenzielle Risiko gegen die potenziellen Vorteile vor der Verschreibung von Chantix bei Patienten mit Anfällen von Anfällen oder anderen Faktoren, die die Anfallsschwelle senken können. Raten Sie den Patienten, Chantix einzustellen und einen Gesundheitsdienstleister sofort zu kontaktieren, wenn sie während der Behandlung eine Anfälle erleben [siehe Nebenwirkungen ].
Interaktion mit Alkohol
Es wurden Berichte über Patienten mit einer erhöhten berauschenden Wirkung von Alkohol während der Einnahme von Chantix nach dem Stempeln vorhanden. Einige Fälle beschrieben ungewöhnliches und manchmal aggressives Verhalten und wurden oft von Amnesie für die Ereignisse begleitet. Raten Sie den Patienten, die Menge an Alkohol zu reduzieren, die sie während der Einnahme von Chantix konsumieren, bis sie wissen, ob Chantix ihre Toleranz gegenüber Alkohol beeinflusst [siehe Nebenwirkungen ].
Zufällige Verletzung
Es wurden Berichte über Verkehrsunfälle in der Nähe des Verkehrs oder andere zufällige Verletzungen bei Patienten mit Chantix vorhanden. In einigen Fällen berichteten die Patienten an, dass ein gewaltiger Bewusstseinsverlust oder Schwierigkeitsgrad -Konzentration etwas Beeinträchtigung oder Bedenken hinsichtlich einer potenziellen Beeinträchtigung des Fahrens oder der Betriebsmaschinerie führte. Beraten Sie den Patienten, vorsichtiger Fahren oder Betriebsmaschinen zu verwenden oder andere potenziell gefährliche Aktivitäten zu betreiben, bis sie wissen, wie sich Chantix auf sie auswirken kann.
Herz -Kreislauf -Ereignisse
In einer placebokontrollierten klinischen Studie mit Chantix, die Patienten mit einer stabilen Herz-Kreislauf-Erkrankung mit ungefähr 350 Patienten pro Behandlungsarm verabreicht wurde, und die kardiovaskuläre Mortalität war bei Patienten, die mit Chantix behandelt wurden Nebenwirkungen ]. Table 1 below shows the incidence of deaths and of selected nonfatal serious cardiovascular events occurring more frequently in the Chantix arm compared to the placebo arm. These events were adjudicated by an independent blinded committee. Nonfatal serious cardiovascular events not listed occurred at the same incidence or more commonly in the placebo arm. Patients with more than one cardiovascular event of the same type are counted only once per row. Some of the patients requiring coronary revascularization underwent the procedure as part of management of nonfatal MI and hospitalization for angina.
Tabelle 1: Mortalität und entschlossene nicht tödliche schwerwiegende kardiovaskuläre Ereignisse in der placebokontrollierten Chantix-Studie bei Patienten mit stabiler Herz-Kreislauf-Erkrankung
| Sterblichkeit und kardiovaskuläre Ereignisse | Chantix (N = 353) N (%) | Placebo (N = 350) N (%) |
| Mortalität (kardiovaskulär | ||
| Herz -Kreislauf -Tod | 1 (NULL,3) | 2 (NULL,6) |
| Gesamtmortalität | 2 (NULL,6) | 5 (NULL,4) |
| Nicht tödliche kardiovaskuläre Ereignisse (Rate auf Chantix> Placebo) | ||
| Bis zu 30 Tage nach der Behandlung | ||
| Nicht tödlicher Myokardinfarkt | 4 (NULL,1) | 1 (NULL,3) |
| Nicht tödlicher Schlaganfall | 2 (NULL,6) | 0 (0) |
| Über 30 Tage nach der Behandlung hinaus | ||
| Nicht tödlicher Myokardinfarkt | 3 (NULL,8) | 2 (NULL,6) |
| Notwendigkeit einer Koronarrevaskularisierung | 7 (2.0) | 2 (NULL,6) |
| Krankenhausaufenthalt für Angina Pectoris | 6 (NULL,7) | 4 (NULL,1) |
| Vorübergehender Ischämieangriff | 1 (NULL,3) | 0 (0) |
| Neue Diagnose einer peripheren Gefäßerkrankung (PVD) oder Aufnahme für ein PVD -Verfahren | 5 (NULL,4) | 2 (NULL,6) |
Eine Metaanalyse von 15 klinischen Studien mit einer Behandlungsdauer von ≥ 12 Wochen, einschließlich 7002 Patienten (4190 Chantix 2812 Placebo), wurde durchgeführt, um die kardiovaskuläre Sicherheit von Chantix systematisch zu bewerten. Die Studie bei Patienten mit stabiler kardiovaskulärer Erkrankung wurde in die Metaanalyse einbezogen. Es gab niedrigere Raten der Gesamtmortalität (Chantix 6 [0,14%]; Placebo 7 [0,25%]) und die kardiovaskuläre Mortalität (Chantix 2 [0,05%]; Placebo 2 [0,07%]) in den Chantix-Armen im Vergleich zu den Placebo-Armen in der Metaanalyse.
Die wichtigste kardiovaskuläre Sicherheitsanalyse umfasste das Auftreten und das Timing eines zusammengesetzten Endpunkts der wichtigsten unerwünschten kardiovaskulären Ereignisse (MACE), die als kardiovaskulärer Tod nicht tödlicher MI und nicht -tödlicher Schlaganfall definiert sind. Diese im Endpunkt enthaltenen Ereignisse wurden von einem verblindeten unabhängigen Komitee beurteilt. Insgesamt trat in den in der Metaanalyse enthaltenen Studien eine geringe Anzahl von Kennmaßen auf, wie in Tabelle 2 beschrieben. Diese Ereignisse traten hauptsächlich bei Patienten mit bekannten Herz-Kreislauf-Erkrankungen auf.
Tabelle 2: Anzahl der Kennkreisfälle Hazard-Verhältnis und Ratenunterschied in einer Metaanalyse von 15 klinischen Studien, in denen Chantix mit Placebo* verglichen wird
| Chantix N = 4190 | Placebo N = 2812 | |
| Mace -Fälle n (%) | 13 (NULL,31%) | 6 (NULL,21%) |
| Patientenjahre der Exposition | 1316 | 839 |
| Gefahrenquote (95% CI) | ||
| 1.95 (NULL,79 4,82) | ||
| Ratendifferenz pro 1000 Patientenjahre (95% CI) | ||
| 6.30 (-2.40 15.10) | ||
| *Beinhaltet Kennmaschine, die bis zu 30 Tage nach der Behandlung auftritt. |
Die Metaanalyse zeigte, dass die Exposition gegenüber Chantix für Patienten bis zu 30 Tage nach der Behandlung zu einem Gefährdungsverhältnis von 1,95 (95% -Konfidenzintervall von 0,79 bis 4,82) führte; Dies entspricht einem geschätzten Anstieg von 6,3 Kennzeichen pro 1000 Patientenjahre. Die Metaanalyse zeigte höhere Rate von CV-Endpunkten bei Patienten mit Chantix im Vergleich zu Placebo über verschiedene Zeitrahmen und vorgegebene Sensitivitätsanalysen, einschließlich verschiedener Studiengruppierungen und CV-Ergebnisse. Obwohl diese Ergebnisse statistisch nicht signifikant waren, waren sie konsistent. Da die Anzahl der Ereignisse insgesamt gering war, ist die Leistung, einen statistisch signifikanten Unterschied in einem Signal dieser Größe zu finden, niedrig.
Chantix was not studied in patients with unstable cardiovascular disease or cardiovascular events occurring within two months before screening. Patients should be advised to notify a healthcare provider of new or worsening symptoms of cardiovascular disease. The risks of Chantix should be weighed against the benefits of its use in smokers with cardiovascular disease. Smoking is an independent and major risk factor for cardiovascular disease. Chantix has been demonstrated to increase the likelihood of abstinence from smoking for as long as one year compared to treatment with placebo.
Twambulismus
Es wurden Fälle von Somnambulismus bei Patienten berichtet, die Chantix einnehmen. In einigen Fällen wurden schädliches Verhalten für sich selbst oder Eigentum beschrieben. Weisen Sie die Patienten an, Chantix abzubrechen und ihren Gesundheitsdienstleister zu benachrichtigen, wenn sie einen Somnambulismus erleben [siehe Nebenwirkungen ].
Angioödem und Überempfindlichkeitsreaktionen
Es wurden Berichte über Überempfindlichkeitsreaktionen, einschließlich Angioödeme bei Patienten, die mit Chantix behandelt wurden Nebenwirkungen Patienteninformationen ]. Clinical signs included swelling of the face mouth (tongue lips and gums) extremities and neck (throat and larynx ). There were infrequent reports of life-threatening angioedema requiring emergent medical attention due to respiratory compromise. Instruct patients to discontinue Chantix and immediately seek medical care if they experience these symptoms.
Schwerwiegende Hautreaktionen
Es wurden Berichte über seltene, aber schwerwiegende Hautreaktionen wie Stevens-Johnson-Syndrom und Erythema multiforme bei Patienten unter Verwendung von Chantix nach dem Stempeln vorgestellt [siehe Nebenwirkungen ]. As these skin reactions can be life-threatening instruct patients to stop taking Chantix and contact a healthcare provider immediately at the first appearance of a skin rash with mucosal lesions or any other signs of hypersensitivity.
Brechreiz
Brechreiz was the most common adverse reaction reported with Chantix treatment. Brechreiz was generally described as mild or moderate and often transient; however for some patients it was persistent over several months. The incidence of Brechreiz was dose-dependent. Initial dose-titration was beneficial in reducing the occurrence of Brechreiz. For patients treated to the maximum recommended dose of 1 mg zweimal täglich following initial dosage titration the incidence of Brechreiz was 30% compared with 10% in patients taking a comparable placebo regimen. In patients taking Chantix 0,5 mg zweimal täglich following initial titration the incidence was 16% compared with 11% for placebo. Approximately 3% of patients treated with Chantix 1 mg zweimal täglich in studies involving 12 weeks of treatment discontinued treatment prematurely because of Brechreiz. For patients with intolerable Brechreiz a dose reduction should be considered.
Patientenberatungsinformationen
Siehe von der FDA zugelassene Patientenkennzeichnung ( Medikamentenhandbuch )
Die Behandlung einleiten und versuchen Sie weiterhin aufzuhören, wenn Sie verfallen
Weisen Sie die Patienten an, ein Datum für das Rauchen aufzuhören und eine Woche vor dem Kündigungsdatum eine Chantix -Behandlung zu initiieren. Alternativ kann der Patient die Chantix -Dosierung beginnen und dann ein Datum einstellen, um das Rauchen zwischen den Tagen 8 und 35 der Behandlung aufzuhören. Ermutigen Sie die Patienten, weiterhin zu versuchen, aufzuhören, wenn sie nach dem Kündigentag frühe Fakten haben [siehe Dosierung und Verwaltung ].
Für Patienten, die sicher sind, dass sie nicht in der Lage oder bereit sind, abrupt abrupt zu kündigen, kann ein allmählicher Ansatz zum Aufhören des Rauchens mit Chantix in Betracht gezogen werden. Die Patienten sollten in den ersten 12 Wochenwochen mit Chantix -Dosierung beginnen und das Rauchen verringern und dann bis zum Ende dieses Zeitraums kündigen und weitere 12 Wochen für insgesamt 24 Wochen fortsetzen [siehe Dosierung und Verwaltung ].
Ermutigen Sie Patienten, die motiviert sind, aufzuhören Dosierung und Verwaltung Klinische Studien ].
Wie man nimmt
Beraten Sie den Patienten, dass Chantix nach dem Essen und mit einem vollen Glas Wasser oral eingenommen werden sollte [siehe Dosierung und Verwaltung ].
Startwoche Dosierung
Weisen Sie die Patienten an, wie man Chantix beginnt, beginnend bei einer Dosis von 0,5 mg/Tag. Erklären Sie, dass ein Tafel mit 0,5 mg täglich für die ersten drei Tage eingenommen werden sollte und dass am Morgen für die nächsten vier Tage eine 0,5 -mg -Tablette eingenommen werden sollte und abends ein Tafel mit 0,5 mg eingenommen werden sollte [siehe Dosierung und VERWALTUNG ].
Fortsetzung Wochen Dosierung
Beraten Sie den Patienten, dass nach den ersten sieben Tagen die Dosis am Morgen auf eine 1 mg Tablette und abends 1 mg Tablette erhöht werden sollte [siehe Dosierung und Verwaltung ].
Dosierungsanpassung für Chantix oder andere Medikamente
Informieren Sie Patienten, dass Übelkeit und Schlaflosigkeit Nebenwirkungen von Chantix sind und normalerweise vorübergehend sind. Raten Sie jedoch den Patienten, dass sie den verschreibenden Arzt benachrichtigen sollten, damit eine Dosisreduktion berücksichtigt werden kann.
Informieren Sie die Patienten, dass einige Medikamente möglicherweise eine Dosisanpassung nach dem Rauchen erfordern [siehe Dosierung und VERWALTUNG ].
Beratung und Unterstützung
Bieten Sie Patienten Bildungsmaterial und notwendige Beratung zur Unterstützung eines Versuchs, mit dem Rauchen aufzuhören [siehe Dosierung und Verwaltung ].
Neuropsychiatrische unerwünschte Ereignisse
Informieren die Patienten, dass einige Patienten Veränderungen in der Stimmungsveränderungen (einschließlich Depressionen und Manie) Psychose -Halluzinationen Paranoia -Wahnvorstellungen auf Mörderung von Mörderung von Mörderung von Aggressionen für Aggressionen Agitation und Panik sowie Selbstmordgedanken und Selbstmord verzeichneten, wenn sie mit dem Rauchen aufhörten, während sie Chantix einnehmen. Weisen Sie die Patienten an, Chantix abzubrechen und einen medizinischen Fachmann zu kontaktieren, wenn sie solche Symptome erleben [siehe Warnungen und VORSICHTSMASSNAHMEN Nebenwirkungen ].
Geschichte der psychiatrischen Krankheit
Ermutigen Sie die Patienten, vor Beginn der Behandlung jegliche Vorgeschichte von psychiatrischen Erkrankungen aufzudecken.
Nikotinentzug
Informieren Sie die Patienten, dass das Rauchen mit oder ohne Chantix mit Nikotinentzugssymptomen (einschließlich Depressionen oder Bewegung) oder einer Verschlechterung der bereits bestehenden psychiatrischen Erkrankungen in Verbindung gebracht werden kann.
Anfälle
Ermutigen Sie die Patienten, jegliche Anamnese von Anfällen oder anderen Faktoren zu berichten, die die Schwelle der Beschlagnahme verringern können. Weisen Sie die Patienten an, Chantix abzubrechen und einen Gesundheitsdienstleister sofort zu kontaktieren, wenn sie während der Behandlung einen Anfall erleben [siehe Warnungen und VORSICHTSMASSNAHMEN ].
Interaktion mit Alkohol
Raten Sie den Patienten, die Menge an Alkohol zu reduzieren, die sie während der Einnahme von Chantix konsumieren, bis sie wissen, ob Chantix ihre Toleranz gegenüber Alkohol beeinflusst [siehe Warnungen und VORSICHTSMASSNAHMEN Nachteilig Reaktionen ].
Fahr- oder Betriebsmaschinerie
Raten Sie den Patienten, vorsichtiger Fahren oder Betriebsmaschinen zu verwenden, bis sie wissen, wie sich das Rauchen und/oder die Varenicline auf sie auswirken kann [siehe Warnungen und VORSICHTSMASSNAHMEN ].
Herz -Kreislauf -Ereignisse
Patienten sollten angewiesen werden, ihre Gesundheitsdienstleister über Symptome neuer oder verschlechterender kardiovaskulärer Ereignisse zu informieren und sofortige medizinische Hilfe zu suchen, wenn sie Anzeichen und Symptome eines Myokardinfarkts oder Schlaganfalls aufweisen [siehe Warnungen und VORSICHTSMASSNAHMEN Nebenwirkungen ].
Twambulismus
Die Patienten sollten angewiesen werden, Chantix einzustellen und ihre Gesundheitsdienstleister zu benachrichtigen, wenn sie einen Somnambulismus erleben [siehe Warnungen und VORSICHTSMASSNAHMEN ].
Angioödem
Informieren Sie die Patienten, dass es Berichte über Angioödeme mit Schwellungen des Gesichtsmundes (Lippenzunge) und Hals (Kehlkopf und Rachen) gab, die zu lebensbedrohlichen Atemfächern führen können. Weisen Sie die Patienten an, Chantix abzubrechen und sofort medizinische Versorgung zu suchen, wenn sie diese Symptome erleben [siehe Warnungen und VORSICHTSMASSNAHMEN Nebenwirkungen ].
Schwerwiegende Hautreaktionen
Die Patienten informieren, dass schwerwiegende Hautreaktionen wie das Stevens-Johnson-Syndrom und das Erythema multiforme von einigen Patienten berichtet wurden, die Chantix einnahmen. Raten Sie den Patienten, die Einnahme von Chantix beim ersten Anzeichen von Hautausschlag mit Schleimhautläsionen oder Hautreaktion einzustellen und wenden Sie sich sofort an einen Gesundheitsdienstleister [siehe Warnungen und VORSICHTSMASSNAHMEN Nebenwirkungen ].
Lebendige ungewöhnliche oder seltsame Träume
Informieren Sie die Patienten, dass sie während der Behandlung mit Chantix lebhafte ungewöhnliche oder seltsame Träume erleben können.
Schwangerschaft und Laktation
Patienten, die schwanger oder stillen oder schwanger sind, sollten beraten werden: Das Risiko des Rauchens an eine schwangere Mutter und ihr sich entwickelndes Baby Die potenzielle Risiken des Chantix -Gebrauchs während der Schwangerschaft und des Stillens sowie die Vorteile der Raucherentwöhnung mit und ohne Chantix. Beraten Sie das Stillen von Frauen, um das Kind auf Anfälle und Erbrechen zu überwachen [siehe Verwendung in bestimmten Populationen ].
Das Etikett dieses Produkts wurde möglicherweise aktualisiert. Informationen zu vollständigen Verschreibungsinformationen finden Sie unter www.pfizer.com
Nichtklinische Toxikologie
Karzinogenese -Mutagenese -Beeinträchtigung der Fruchtbarkeit
Karzinogenese
Lebensdauerkarzinogenitätsstudien wurden an CD-1-Mäusen und Sprague-Dawley-Ratten durchgeführt. Es gab keine Hinweise auf eine krebserregende Wirkung bei Mäusen, die 2 Jahre lang Vareniclin durch orale Gavage in Dosen von bis zu 20 mg/kg/Tag verabreicht wurden (47 -mal so groß wie die auf AUC). Ratten wurden 2 Jahre lang Vareniclin (1 5 und 15 mg/kg/Tag) durch orale Gavage verabreicht. Bei männlichen Ratten (n = 65 pro Geschlecht pro Dosisgruppe) waren die Inzidenzen des Hibernoms (Tumor des braunen Fetts) in der mittleren Dosis erhöht (1 Tumor 5 mg/kg/Tag 23 -fache der MRHD -Exposition basierend auf AUC) und maximaler Dosis (2 Tumoren 15 mg/kg/Tag 67 -fache der MRHD -Exposition basierend auf der MRHD -Exposition). Die klinische Relevanz dieses Befundes für den Menschen wurde nicht festgestellt. Es gab keine Hinweise auf Karzinogenität bei weiblichen Ratten.
Mutagenese
Vareniclin war in den folgenden Tests nicht genotoxisch mit oder ohne metabolische Aktivierung: Ames -Bakterienmutationsassay; Säugetier -Cho/Hgprt -Assay; und Tests auf zytogenetische Aberrationen in vivo im Rattenknochenmark und in vitro in menschlichen Lymphozyten.
Beeinträchtigung der Fruchtbarkeit
Es gab keine Hinweise auf eine Beeinträchtigung der Fruchtbarkeit bei männlichen oder weiblichen Sprague-Dawley-Ratten
verabreichtes Varenicline -Succinat von bis zu 15 mg/kg/Tag (67 bzw. 36 -mal die MRHD -Exposition basierend auf AUC bei 1 mg zweimal täglich). Die mütterliche Toxizität, die durch eine Abnahme der Körpergewichtszunahme gekennzeichnet war, wurde bei 15 mg/kg/Tag beobachtet. Eine Abnahme der Fruchtbarkeit wurde jedoch bei den Nachkommen schwangerer Ratten festgestellt, denen Varenicline -Succinat in einer oralen Dosis von 15 mg/kg/Tag verabreicht wurde. Diese Abnahme der Fruchtbarkeit bei den Nachkommen behandelter weiblicher Ratten war bei einer oralen Dosis von 3 mg/kg/Tag (9 -fache der MRHD -Exposition auf der Grundlage von AUC bei 1 mg zweimal täglich) nicht erkennbar.
Verwendung in bestimmten Populationen
Schwangerschaft
Risikozusammenfassung
Die verfügbaren menschlichen Daten zur Verwendung von Chantix bei schwangeren Frauen reichen nicht aus, um ein mit Drogen verbundenes Risiko zu informieren. Das Rauchen während der Schwangerschaft ist mit den fetalen und neonatalen Risiken mütterlicherseits verbunden [siehe Klinische Überlegungen ]. In animal studies varenicline did not result in major malformations but caused decreased fetal weights in rabbits when dosed during organogenesis at exposures equivalent to 50 times the exposure at the maximum recommended human dose (MRHD). Additionally administration of varenicline to pregnant rats during organogenesis through lactation produced developmental toxicity in offspring at maternal exposures equivalent to 36 times human exposure at the MRHD [see Daten ].
Das geschätzte Hintergrundrisiko für orale Spalten wird bei Säuglingen von Frauen, die während der Schwangerschaft rauchen, um etwa 30% im Vergleich zu schwangeren Frauen, die nicht rauchen, erhöht. Das Hintergrundrisiko anderer schwerer Geburtsfehler und der Fehlgeburt für die angegebene Bevölkerung ist unbekannt. In der US -allgemeinen Bevölkerung beträgt das geschätzte Hintergrundrisiko für größere Geburtsfehler und eine Fehlgeburt bei klinisch anerkannten Schwangerschaften 2–4% bzw. 15 bis 20%.
Klinische Überlegungen
Krankheitsassoziierte mütterliche und/oder embryo/fetale Risiko
Das Rauchen während der Schwangerschaft verursacht ein erhöhtes Risiko von orofazialen Spalten vorzeitiger Riss der Membranen Plazenta -Prävia -Plazenta -Abbruch ektopische Schwangerschaft Fötuswachstumsrestriktion und niedriges Geburtsgewicht Totgeburten vorzeitige Entbindung und verkürzte Schwangerschafts -Schwangerschaft mit neonataler Todesdaten -Todes -Syndrom und Reduktion von Lungenfunktionen bei Infants. Es ist nicht bekannt, ob das Rauchen mit Chantix während der Schwangerschaft diese Risiken verringert.
Daten
Tierdaten
Schwangere Ratten und Kaninchen erhielten während der Organogenese in oralen Dosen bis zu 15 bzw. 30 mg/kg/Tag eine Vareniclin -Succinat. Während in beiden Arten keine fetalen strukturellen Anomalien auftraten, die durch verringerte Gewichtszunahme der Körper und verringerte fetale Gewichte bei Kaninchen bei der höchsten Dosis auftraten (Expositionen 50 -mal die menschliche Exposition am MRHD von 1 mg zweimal täglich basierend auf AUC). Bei der Fötusgewichtsreduzierung trat bei den Expositionen 23 -fach der menschliche Exposition am MRHD auf der Basis von AUC nicht auf.
In einer vor- und postnatalen Entwicklungsstudie erhielten schwangere Ratten bis zu 15 mg/kg/Tag oraler Vareniklin-Succinat von der Organogenese durch Laktation. Die mütterliche Toxizität, die durch eine Abnahme der Körpergewichtszunahme gekennzeichnet war, wurde bei 15 mg/kg/Tag (36 -fach der menschliche Exposition am MRHD basierend auf AUC) beobachtet. Eine verminderte Fertilität und eine erhöhte Hörschaltungsreaktion traten jedoch bei Nachkommen bei der höchsten mütterlichen Dosis von 15 mg/kg/Tag auf.
Stillzeit
Risikozusammenfassung
Es gibt keine Daten über das Vorhandensein von Vareniclin in der Muttermilch die Auswirkungen auf das gestillte Kind oder die Auswirkungen auf die Milchproduktion. In Tierstudien war Vareniclin in Milch von stillenden Ratten vorhanden [siehe Daten ]. However due to species-specific differences in lactation physiology animal data may not reliably predict drug levels in human milk. The lack of clinical data during lactation precludes a clear determination of the risk of Chantix to an infant during lactation; however the developmental and health benefits of breastfeeding should be considered along with the mother's clinical need for Chantix and any potential adverse effects on the breastfed child from Chantix or from the underlying maternal condition.
Klinische Überlegungen
Da es keine Daten über das Vorhandensein von Vareniclin in der Muttermilch gibt, und die Auswirkungen auf das gestillte Stillstand von Säuglingen sollten ihr Kind auf Anfälle und übermäßiges Erbrechen überwachen, die bei Erwachsenen, die beim Stillen von Säuglingen klinisch relevant sind, aufgetreten sind.
Daten
In einer vor- und postnatalen Entwicklungsstudie erhielten schwangere Ratten bis zu 15 mg/kg/Tag oraler Vareniklin-Succinat durch Schwangerschaft und Laktation, mittlere Serumkonzentrationen von Vareniklin in den Pflegepuppen 5–22% der mütterlichen Serumkonzentrationen.
Pädiatrische Verwendung
Sicherheit und Wirksamkeit von Chantix bei pädiatrischen Patienten wurden nicht festgestellt.
Geriatrische Verwendung
Eine kombinierte pharmakokinetische ein- und multiple-dosierte Studie zeigte, dass die Pharmakokinetik von 1 mg Vareniklin, die einmal täglich oder zweimal täglich bis 16 gesunde ältere ältere männliche und weibliche Raucher (65 bis 75 Jahre) über 7 aufeinanderfolgende Tage verabreicht wurden, ähnlich der der jüngeren Probanden war. Es wurden keine allgemeinen Unterschiede in der Sicherheit oder Wirksamkeit zwischen diesen Probanden und jüngeren Probanden beobachtet, und andere berichtete klinische Erfahrungen haben keine Unterschiede in den Antworten zwischen älteren und jüngeren Patienten identifiziert, aber eine stärkere Empfindlichkeit einiger älterer Personen kann nicht ausgeschlossen werden.
Es ist bekannt, dass Varenicline von der Niere wesentlich ausgeschieden wird, und das Risiko toxischer Reaktionen auf dieses Arzneimittel kann bei Patienten mit beeinträchtigter Nierenfunktion höher sein. Da ältere Patienten mit größerer Wahrscheinlichkeit eine verminderte Nierenfunktionspflege haben, sollte bei der Dosisauswahl eingesetzt werden, und es kann nützlich sein, die Nierenfunktion zu überwachen [siehe Dosierung und Verwaltung ].
Für ältere Patienten wird keine Dosierungsanpassung empfohlen.
Nierenbehinderung
Die Varenicline wird durch die nierenglomeruläre Filtration zusammen mit der aktiven tubulären Sekretion erheblich beseitigt. Bei Patienten mit leichter bis mittelschwerer Nierenbeeinträchtigung ist keine Dosisreduktion erforderlich. Bei Patienten mit schwerer Nierenbeeinträchtigung (geschätzte Kreatinin -Clearance <30 mL/min) and for patients with end-stage renal disease undergoing hemodialysis dosage adjustment is needed [see Dosierung und Verwaltung Klinische Pharmakologie ].
Überdosierungsinformationen für Chantix
Im Falle einer Überdosierungsstandard sollten Standardmessungen nach Bedarf eingeleitet werden.
Es wurde gezeigt, dass Varenicline bei Patienten mit Nierenerkrankungen im Endstadium dialysiert [siehe Klinische Pharmakologie ] Es gibt jedoch keine Erfahrung in der Dialyse nach einer Überdosis.
Kontraindikationen für Chantix
Chantix is contraindicated in patients with a known history of serious hypersensitivity reactions or skin reactions to Chantix.
Klinische Pharmakologie for Chantix
Wirkungsmechanismus
Vareniclin bindet mit hoher Affinität und Selektivität bei α4β2 -neuronalen Nikotin -Acetylcholinrezeptoren. Es wird angenommen, dass die Wirksamkeit von Chantix bei der Raucherentwöhnung das Ergebnis der Aktivität von Vareniclin am α4β2-Subtyp des Nikotinrezeptors ist, bei dem seine Bindung eine agonistische Aktivität erzeugt und gleichzeitig die Nikotinbindung an diese Rezeptoren verhindert.
Elektrophysiologische Studien in vitro- und neurochemischen Studien in vivo haben gezeigt, dass Vareniclin an α4β2-neuronalen Nikotin-Acetylcholin-Rezeptoren bindet und die Rezeptor-vermittelte Aktivität, jedoch auf einem signifikant niedrigeren Niveau als Nikotin, stimuliert. Vareniclin blockiert die Fähigkeit von Nikotin, α4β2 -Rezeptoren zu aktivieren und so das mesolimbische Dopamin -System des Zentralnervens zu stimulieren, von dem angenommen wird, dass es der neuronale Mechanismus ist, der der Verstärkung und Belohnung beim Rauchen zugrunde liegt. Varenicline ist hochselektiv und bindet potent an α4β2-Rezeptoren als an andere häufige Nikotinrezeptoren (> 500-fach α3β4> 3500-fach α7> 20000-fach α1 & bgr; & dgr; oder an nicht nicotinische Rezeptoren und Transporter (> 2000-Fold). Varenicline bindet auch mit der moderaten Affinität (KI = 350 nm) an den 5-HT3-Rezeptor.
Pharmakokinetik
Absorption
Maximale Plasmakonzentrationen der Vareniklinie treten typischerweise innerhalb von 3 bis 4 Stunden nach oraler Verabreichung auf. Nach der Verabreichung mehrerer oraler Dosen von Vareniclin-stationären Bedingungen wurden innerhalb von 4 Tagen erreicht. Über den empfohlenen Dosierbereich zeigt die Varenicline nach einzelnen oder wiederholten Dosen eine lineare Pharmakokinetik.
In einer Massenbilanzstudie war die Absorption von Varenicline nach oraler Verabreichung praktisch vollständig und systemische Verfügbarkeit betrug ~ 90%.
Lebensmitteleffekt
Die orale Bioverfügbarkeit von Varenicline wird durch Lebensmittel oder Tagesdosierung nicht beeinflusst.
Verteilung
Die Plasmaproteinbindung von Vareniclin ist niedrig (≤ 20%) und unabhängig von der Alters- und Nierenfunktion.
Beseitigung
Die Eliminierungs-Halbwertszeit von Varenicline beträgt ungefähr 24 Stunden.
Stoffwechsel
Die Varenicline erfährt einen minimalen Stoffwechsel, wobei 92% im Urin unverändert sind.
Ausscheidung
Die Nieren -Eliminierung von Varenicline erfolgt hauptsächlich durch die glomeruläre Filtration zusammen mit der aktiven tubulären Sekretion möglicherweise über den organischen Kationentransporter OCT2.
Spezifische Populationen
Es gibt keine klinisch aussagekräftigen Unterschiede in der Pharmakokinetik von Vareniclin aufgrund des Raucherstatus der Altersrasse oder der Verwendung von gleichzeitigen Medikamenten, wie in spezifischen pharmakokinetischen Studien und in Populations pharmakokinetischen Analysen gezeigt.
Alter: Geriatrische Patienten
Eine kombinierte pharmakokinetische ein- und multiple-dosis-Studie zeigte, dass die Pharmakokinetik von 1 mg Varenicline, die einmal täglich oder zweimal täglich bis 16 gesunde ältere ältere männliche und weibliche Raucher (65-75 Jahre) über 7 aufeinanderfolgende Tage der jüngeren Probanden verabreicht wurden.
Alter: pädiatrische Patienten
Da die Sicherheit und Wirksamkeit von Chantix bei pädiatrischen Patienten nicht festgestellt wurde, wird Chantix nicht für den Einsatz bei Patienten unter 18 Jahren empfohlen. Ein- und Mehrfachdosis-Pharmakokinetik von Vareniclin wurden bei pädiatrischen Patienten im Alter von 12 bis 17 Jahren (inklusive) untersucht und waren über den untersuchten täglichen Dosisbereich von 0,5 mg bis 2 mg dosisproportional. Die systemische stationäre systemische Exposition bei jugendlichen Patienten mit Körpergewicht> 55 kg, wie von AUC (0-2 24) bewertet, war vergleichbar mit der für dieselben Dosen in der erwachsenen Bevölkerung angegebenen. Wenn 0,5 mg BID bei jugendlicher Patienten mit Körpergewicht ≤ 55 kg durchschnittlich höher (ungefähr 40%) mit einer stationären täglichen Exposition von Varenicline verabreicht wurde, war sie im Vergleich zu der in der erwachsenen Bevölkerung angegebenen Patienten mit Körpergewicht ≤ 55 kg.
Nierenbehinderung
Die Pharmakokinetik der Varenicline blieb bei Probanden mit milder Nierenbeeinträchtigung unverändert (geschätzte Kreatinin -Clearance> 50 ml/min und ≤ 80 ml/min). Bei Probanden mit mittelschwerer Nierenbeeinträchtigung (geschätzter Kreatinin-Clearance ≥ 30 ml/min und ≤ 50 ml/min) stieg die Exposition gegenüber der Vareniclin-Exposition im Vergleich zu Probanden mit normaler Nierenfunktion (geschätzter Kreatinin-Clearance> 80 ml/min). Bei Probanden mit schwerer Nierenbeeinträchtigung (geschätzte Kreatinin -Clearance <30 mL/min) varenicline exposure was increased 2.1-fold. In subjects with end-stage-renal disease (ESRD) undergoing a three-hour session of hemodialysis for three days a week varenicline exposure was increased 2.7-fold following 0,5 mg einmal täglich administration for 12 days. The plasma Cmax and AUC of varenicline noted in this setting were similar to those of healthy subjects receiving 1 mg zweimal täglich [see Dosierung und Verwaltung Verwendung in bestimmten Populationen ]. Additionally in subjects with ESRD varenicline was efficiently removed by hemodialysis [see Überdosierung ].
Hepatische Beeinträchtigung
Aufgrund des Fehlens eines signifikanten Leberstoffwechsels sollte die Pharmakokinetik von Vareniclin bei Patienten mit Leberbeeinträchtigung nicht beeinflusst werden.
Wechselwirkungen mit Drogenmedikamenten
In -vitro -Studien zeigten, dass Vareniclin die folgenden Cytochrom -P450 -Enzyme (IC50> 6400 ng/ml) nicht hemmt: 1A2 2A6 2B6 2C8 2C9 2C19 2D6 2E1 und 3A4/5. Auch in menschlichen Hepatozyten in vitro induziert Vareniclin nicht die Cytochrom -P450 -Enzyme 1A2 und 3A4.
In -vitro -Studien zeigten, dass Vareniclin bei therapeutischen Konzentrationen keine menschlichen Nierentransportproteine hemmt. Daher ist es unwahrscheinlich, dass Medikamente durch Nierensekretion (z. B. Metformin [siehe unten]) durch Varenicline beeinflusst werden.
In -vitro -Studien zeigten, dass die aktive Nierensekretion von Vareniclin durch den organisatorischen organischen Kationentransporter Okt2 vermittelt wird. Die gleichzeitige Verabreichung mit Inhibitoren von OCT2 (z. B. Cimeditin [siehe unten]) muss möglicherweise keine Dosisanpassung von Chantix erfordern, da die Erhöhung der systemischen Exposition gegenüber Chantix nicht klinisch aussagekräftig ist. Da der Metabolismus von Varenicline ausmacht, sind weniger als 10% seiner Clearance -Medikamente, von denen bekannt ist, dass sie das Cytochrom -P450 -System beeinflussen Klinische Pharmakologie ]; Daher wäre keine Dosisanpassung von Chantix erforderlich.
Arzneimittelinteraktionsstudien wurden mit Vareniclin und Digoxin Warfarin transdermaler Nikotin -Bupropion -Cimetidin und Metformin durchgeführt. Es wurden keine klinisch aussagekräftigen pharmakokinetischen Arzneimittel-Drogen-Wechselwirkungen identifiziert.
Metformin
Als sie mit 30 Rauchern, die Varenicline (1 mg zweimal täglich) verabreicht hatten, haben die stationäre Pharmakokinetik von Metformin (500 mg zweimal täglich) nicht verändert, was ein Substrat von 2 Oktober ist. Metformin hatte keinen Einfluss auf die Pharmakokinetik der Varenicline Steady-State.
Cimetidin
Die gleichzeitige Verabreichung eines OCT2-Inhibitors Cimetidin (300 mg viermal täglich) mit Vareniclin (2 mg Einzeldosis) auf 12 Raucher erhöhte die systemische Exposition von Varenicline um 29% (90% CI: 21,5% 36,9%) aufgrund einer Verringerung der Vareniklin-Nierenklärung.
Digoxin
Varenicline (1 mg zweimal täglich) veränderte die stationäre Pharmakokinetik von Digoxin nicht, die bei 18 Rauchern als 0,25 mg täglicher Dosis verabreicht wurde.
Warfarin
Varenicline (1 mg zweimal täglich) veränderte die Pharmakokinetik einer einzigen 25 mg Dosis (Rs) Warfarin bei 24 Rauchern nicht. Die Prothrombinzeit (INR) wurde nicht durch Varenicline beeinflusst. Die Raucherentwöhnung selbst kann zu Änderungen der Warfarin -Pharmakokinetik führen [siehe Wechselwirkungen mit Arzneimitteln ].
Verwendung mit anderen Drogen zur Raucherentwöhnung
Bupropion: Varenicline (1 mg zweimal täglich) did not alter the steady-state pharmacokinetics of bupropion (150 mg twice daily) in 46 smokers [see Wechselwirkungen mit Arzneimitteln ].
Nikotinersatztherapie (NRT): Obwohl die gleichzeitige Verabreichung von Varenicline (1 mg zweimal täglich) und transdermaler Nikotin (21 mg/Tag) für bis zu 12 Tage keine Nikotin-Pharmakokinetik auf die Inzidenz von Nebenwirkungen beeinflusst wurde als für NRT allein [siehe Wechselwirkungen mit Arzneimitteln ].
Klinische Studien
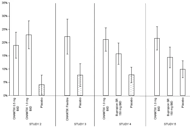
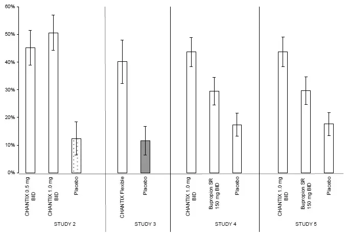
Die Wirksamkeit von Chantix bei der Raucherentwöhnung wurde in sechs klinischen Studien nachgewiesen, in denen insgesamt 3659 chronische Zigarettenraucher (≥ 10 Zigaretten pro Tag) mit Chantix behandelt wurden. In allen klinischen Studien wurde die Abstinenz beim Rauchen durch den Selbstbericht des Patienten bestimmt und durch Messung des ausgeatmten Kohlenmonoxids (CO ≤ 10 ppm) bei wöchentlichen Besuchen verifiziert. Unter den mit Chantix behandelten Patienten, die in diese Studien eingeschlossen sind, betrug die Abschlussrate 65%. Mit Ausnahme der dosisberuflichen Studie (Studie 1) und der Aufrechterhaltung der Abstinenzstudie (Studie 6) wurden Patienten 12 Wochen lang behandelt und dann 40 Wochen nach der Behandlung beobachtet. Die meisten Patienten, die in diese Studien aufgenommen wurden, waren weiß (79-96%). Alle Studien nahmen fast die gleiche Anzahl von Männern und Frauen ein. Das Durchschnittsalter der Patienten in diesen Studien betrug 43 Jahre. Die Patienten hatten durchschnittlich ungefähr 25 Jahre lang etwa 21 Zigaretten pro Tag geraucht. Die Patienten legten ein Datum fest, um das Rauchen (Ziel -Kündigungsdatum) mit der Dosierung von 1 Woche vor diesem Datum zu stoppen.
Sieben zusätzliche Studien bewerteten die Wirksamkeit von Chantix bei Patienten mit Herz -Kreislauf -Erkrankungen bei Patienten mit chronisch obstruktiver Lungenerkrankung [siehe Klinische Studien ] Bei Patienten, die angewiesen wurden, ihr Kündigungsdatum innerhalb der Tage 8 und 35 nach der Behandlung auszuwählen [siehe Klinische Studien ] Patienten mit einer schweren depressiven Störung [siehe Klinische Studien ] Patienten, die einen früheren Versuch unternommen hatten, mit Chantix zu rauchen, und es war entweder nicht gelungen, nach der Behandlung zu beenden oder zurückzuziehen [siehe Klinische Studien ] bei Patienten ohne oder mit einer Anamnese einer psychiatrischen Störung, die in einer neuropsychiatrischen Sicherheitsergebnissergebnis nach dem Stempel aufgenommen wurde [siehe Warnungen und VORSICHTSMASSNAHMEN Klinische Studien ] und bei Patienten, die nicht in der Lage waren, abrupt abrupt aufzuhören, und angewiesen wurden, allmählich aufzuhören [siehe Klinische Studien ].
In allen Studien erhielten Patienten bei jedem wöchentlichen Behandlungsbesuch nach Angaben der Agentur für Gesundheitsforschung und Qualitätsrichtlinien eine Beratung von Raucherentwöhnung und erhielten bei jedem wöchentlichen Behandlungsbesuch bis zu 10 Minuten.
Initiierung der Abstinenz
Studie 1
Dies war eine sechswöchige dosisbereitende Studie, in der Chantix mit Placebo verglichen wurde. Diese Studie lieferte erste Beweise dafür, dass Chantix in einer Gesamtdosis von 1 mg pro Tag oder 2 mg pro Tag als Hilfe für die Raucherentwöhnung wirksam war.
Studie 2
Diese Studie mit 627 Patienten verglichen Chantix 1 mg pro Tag und 2 mg pro Tag mit Placebo. Die Patienten wurden 12 Wochen lang behandelt (einschließlich einer Wochen-Titration) und dann 40 Wochen nach der Behandlung befolgt. Chantix wurde täglich in zwei geteilten Dosen gegeben. Jede Chantixdosis wurde in zwei verschiedenen Regimen mit und ohne anfängliche Dosis-Titration angegeben, um die Wirkung verschiedener Dosierungsregime auf die Verträglichkeit zu untersuchen. Für die titrierten Gruppen wurde die Dosierung im Laufe einer Woche mit einer vollständigen Dosierung ab der zweiten Dosierungswoche titriert. Die titrierten und nicht montierten Gruppen wurden für die Wirksamkeitsanalyse zusammengefasst.
45 Prozent der Patienten, die Chantix 1 mg pro Tag (NULL,5 mg zweimal täglich) erhielten, und 51% der Patienten, die 2 mg pro Tag (1 mg zweimal täglich) erhielten, hatten in den Wochen 9 bis 12 die kontinuierliche Abstinenz mit einer kontinuierlichen Abstinenz, verglichen mit 12% der Patienten in der Placebo-Gruppe (Abbildung 1). Zusätzlich waren 31% der 1 mg pro Tagsgruppe und 31% der 2 mg pro Tagsgruppe von einer Woche nach TQD bis zum Ende der Behandlung kontinuierlich abstinuierlich, verglichen mit 8% der Placebo -Gruppe.
Studie 3
Diese flexible Dosierungsstudie mit 312 Patienten untersuchte die Auswirkung einer patientengesteuerten Dosierungsstrategie von Chantix oder Placebo. Nach einer anfänglichen einwöchigen Titration zu einer Dosis von 0,5 mg zweimal täglich konnten Patienten ihre Dosierung so oft anpassen, wie sie sich zweimal täglich zwischen 0,5 mg bis 1 mg pro Tag wünschten. 69 Prozent der Patienten titrierten zu jeder Zeit während der Studie auf die maximal zulässige Dosis. Bei 44% der Patienten betrug die ausgewählte modale Dosis 1 mg zweimal täglich; Für etwas mehr als die Hälfte der Studienteilnehmer betrug die ausgewählte modale Dosis 1 mg/Tag oder weniger.
Von den mit Chantix behandelten Patienten hatten 40% die kontinuierliche Abstinenz in den Wochen 9 bis 12 im Vergleich zu 12% in der Placebo-Gruppe. Zusätzlich waren 29% der Chantix -Gruppe von einer Woche nach TQD bis zum Ende der Behandlung kontinuierlich abstinuierlich im Vergleich zu 9% der Placebo -Gruppe.
Studie 4 und Studie 5
Diese identischen Doppelblindstudien verglichen Chantix 2 mg pro Tag, die zweimal täglich 150 mg und Placebo-Freisetzung (SR) (SR). Die Patienten wurden 12 Wochen lang behandelt und wurden dann 40 Wochen lang nach der Behandlung befolgt. Die Chantix -Dosierung von 1 mg zweimal täglich wurde für die ersten 3 Tage mit einer Titration von 0,5 mg einmal täglich erreicht, gefolgt von 0,5 mg zweimal täglich für die nächsten 4 Tage. Die zweimal täglich 150 mg DOSUS von Bupropion SR wurde unter Verwendung einer 3-tägigen Titration von 150 mg einmal täglich erreicht.
In Studie 4 wurden 1022 Patienten eingeschlossen und Studie 5 1023 Patienten eingeschlossen. Patienten, die für die Behandlung von Bupropion oder Patienten, die zuvor ein Bupropion verwendet hatten, unangemessen wurden. In Studie 4, die mit Chantix behandelt wurden, hatten während der Wochen 9 bis 12 (44%) eine überlegene Rate an der gemeinsam bestätigten Abstinenz im Vergleich zu Patienten, die mit Bupropion SR (30%) oder Placebo (17%) behandelt wurden. Die Bupropion SR -Quit -Rate war auch Placebo überlegen. Zusätzlich waren 29% der Chantix -Gruppe von einer Woche nach TQD bis zum Ende der Behandlung kontinuierlich abstinuierlich, verglichen mit 12% der Placebo -Gruppe und 23% der Bupropion SR -Gruppe.
In ähnlicher Weise wiesen in Studie 5 mit Chantix behandelte Patienten während der Wochen 9 bis 12 (44%) eine überlegene Rate an der gemeinsam bestätigten Abstinenz im Vergleich zu Patienten mit Bupropion SR (30%) oder Placebo (18%) auf. Die Bupropion SR -Quit -Rate war auch Placebo überlegen. Zusätzlich waren 29% der Chantix -Gruppe von einer Woche nach TQD bis zum Ende der Behandlung kontinuierlich abstinuierlich, verglichen mit 11% der Placebo -Gruppe und 21% der Bupropion -SR -Gruppe.
Abbildung 1: Kontinuierliche Abstinenz Wochen 9 bis 12
|
Tabelle 4: kontinuierliche Abstinenz Wochen 9 bis 12 (95% Konfidenzintervall)
| Chantix 0,5 mg Angebot | Chantix 1 mg Angebot | Chantix Flexible | Bupropion SR | Placebo | |
| Studie 2 | 45% (39% 51%) | 51% (44% 57%) | 12% (6% 18%) | ||
| Studie 3 | 40% (32% 48%) | 12% (7% 17%) | |||
| Studie 4 | 44% (38% 49%) | 30% (25% 35%) | 17% (13% 22%) | ||
| Studie 5 | 44% (38% 49%) | 30% (25% 35%) | 18% (14% 22%) | ||
| Bid = zweimal täglich |
Drang zu rauchen
Basierend auf den Antworten auf den kurzen Fragebogen zum Rauchen und der Minnesota -Nikotinentzugsskala drang zu Rauchgegenständen, Chantix -Drang zum Rauch im Vergleich zu Placebo.
Langzeitabstinenz
Die Studien 1 bis 5 umfassten 40 Wochen nach der Behandlung nach der Behandlung. In jeder Studie hielten mit Chantix behandelte Patienten während der gesamten Nachbeobachtungszeit eher die Abstinenz auf als mit Placebo behandelt (Abbildung 2 Tabelle 5).
Abbildung 2: kontinuierliche Abstinenz Wochen 9 bis 52
|
Tabelle 5: kontinuierliche Abstinenz Wochen 9 bis 52 (95% Konfidenzintervall) in verschiedenen Studien
| Chantix 0,5 mg Angebot | Chantix 1 mg Angebot | Chantix Flexible | Bupropion SR | Placebo | |
| Studie 2 | 19% (14% 24%) | 23% (18% 28%) | 4% (1% 8%) | ||
| Studie 3 | 22% (16% 29%) | 8% (3% 12%) | |||
| Studie 4 | 21% (17% 26%) | 16% (12% 20%) | 8% (5% 11%) | ||
| Studie 5 | 22% (17% 26%) | 14% (11% 18%) | 10% (7% 13%) | ||
| Bid = zweimal täglich |
Studie 6
In dieser Studie wurde die Wirkung einer weiteren 12 Wochen Chantix-Therapie auf die Wahrscheinlichkeit einer Langzeitabstinenz bewertet. Die Patienten in dieser Studie (n = 1927) wurden 12 Wochen lang zweimal täglich mit offenem Chantix 1 mg behandelt. Patienten, die mindestens eine Woche für Woche 12 (n = 1210) aufgehört hatten, wurden dann randomisiert, um mit Chantix (1 mg zweimal täglich) oder Placebo für weitere 12 Wochen behandelt zu werden, und folgte dann 28 Wochen nach der Behandlung.
Die kontinuierliche Abstinenzrate von Woche 13 bis Woche 24 war bei Patienten mit Chantix (70%) höher als bei Patienten, die auf Placebo wechselten (50%). Die Überlegenheit gegenüber Placebo wurde auch in 28 Wochen nach der Behandlung nach der Behandlung aufrechterhalten (Chantix 54% gegenüber Placebo 39%).
In Abbildung 3 unterhalb der x-Achse stellt die Studienwoche für jede Beobachtung dar, die einen Vergleich von Gruppen zu ähnlichen Zeiten nach Absetzen von Chantix ermöglicht. Die Nachbeobachtung nach der Nach-Chantix-Follow-up in Woche 13 für die Placebo-Gruppe und Woche 25 für die Chantix Group. Die y-Achse repräsentiert den Prozentsatz der Patienten, die in der letzten Woche der Chantix-Behandlung abstinent waren und am angegebenen Zeitpunkt abstinent blieben.
Abbildung 3: kontinuierliche Abstinenzrate während der Nachuntersuchung der Nichtbehandlung
|
Alternative Anweisungen zum Festlegen eines Kündigungsdatums
Chantix was evaluated in a double-blind placebo-controlled trial where patients were instructed to select a target quit date between Day 8 and Day 35 of treatment. Subjects were randomized 3:1 to Chantix 1 mg zweimal täglich (N=486) or placebo (N=165) for 12 weeks of treatment and followed for another 12 weeks post-treatment. Patients treated with Chantix had a superior rate of CO-confirmed abstinence during weeks 9 through 12 (54%) compared to patients treated with placebo (19%) and from weeks 9 through 24 (35%) compared to subjects treated with placebo (13%).
Allmählicher Ansatz zum Rauchen aufgehört zu haben
Chantix was evaluated in a 52-week double-blind placebo-controlled study of 1510 subjects who were not able or willing to quit smoking within four weeks but were willing to gradually reduce their smoking over a 12 week period before quitting. Subjects were randomized to either Chantix 1 mg zweimal täglich (N=760) or placebo (N=750) for 24 weeks and followed up post-treatment through week 52. Subjects were instructed to reduce the number of cigarettes smoked by at least 50 percent by the end of the first four weeks of treatment followed by a further 50 percent reduction from week four to week eight of treatment with the goal of reaching complete abstinence by 12 weeks. After the initial 12-week reduction phase subjects continued treatment for another 12 weeks. Subjects treated with Chantix had a significantly higher Continuous Abstinence Rate compared with placebo at weeks 15 through 24 (32% vs. 7%) and weeks 15 through 52 (24% vs. 6%).
Wiederbehandlungsstudie
Chantix was evaluated in a double-blind placebo-controlled trial of patients who had made a previous attempt to quit smoking with Chantix and either did not succeed in quitting or relapsed after treatment. Subjects were randomized 1:1 to Chantix 1 mg zweimal täglich (N=249) or placebo (N=245) for 12 weeks of treatment and followed for 40 weeks post-treatment. Patients included in this study had taken Chantix for a smoking-cessation attempt in the past (for a total treatment duration of a minimum of two weeks) at least three months prior to study entry and had been smoking for at least four weeks.
Patienten, die mit Chantix behandelt wurden, hatten während der Wochen 9 bis 12 (45%) eine überlegene Rate an der mit Placebo behandelten Patienten (12%) und von den Wochen 9 bis 52 (20%) im Vergleich zu mit Placebo behandelten Probanden (3%).
Metronidazol wird für das verwendet, was STD
Tabelle 6: kontinuierliche Abstinenz (95% -Konfidenzintervall) Re-Behandlungsstudie
| Wochen 9 bis 12 | Wochen 9 bis 52 | |||
| Chantix 1 mg Angebot | Placebo | Chantix 1 mg Angebot | Placebo | |
| Rückbehandlungsstudie | 45% (39% 51%) | 12% (8% 16%) | 20% (15% 25%) | 3% (1% 5%) |
| Bid = zweimal täglich |
Probanden mit kardiovaskulärer und chronisch obstruktiver Lungenerkrankung
Chantix was evaluated in a randomized double-blind placebo-controlled study of subjects aged 35 to 75 years with stable documented cardiovascular disease (diagnoses other than or in addition to hypertension) that had been diagnosed for more than 2 months. Subjects were randomized to Chantix 1 mg zweimal täglich (N = 353) or placebo (N = 350) for a treatment of 12 weeks and then were followed for 40 weeks post-treatment. Subjects treated with Chantix had a superior rate of CO-confirmed abstinence during weeks 9 through 12 (47%) compared to subjects treated with placebo (14%) and from week 9 through 52 (20%) compared to subjects treated with placebo (7%).
Chantix was evaluated in a randomized double-blind placebo-controlled study of subjects aged ≥ 35 years with mild-to-moderate COPD with post-bronchodilator FEV /FVC <70% and FEV ≥ 50% of predicted normal value. Subjects were randomized to Chantix 1 mg zweimal täglich (N=223) or placebo (N=237) for a treatment of 12 weeks and then were followed for 40 weeks post-treatment. Subjects treated with Chantix had a superior rate of CO-confirmed abstinence during weeks 9 through 12 (41%) compared to subjects treated with placebo (9%) and from week 9 through 52 (19%) compared to subjects treated with placebo (6%).
Tabelle 7: kontinuierliche Abstinenz (95% -Konfidenzintervall) Studien bei Patienten mit Herz -Kreislauf -Erkrankungen (CVD) und chronisch obstruktiver Lungenerkrankung (COPD)
| Wochen 9 bis 12 | Wochen 9 bis 52 | |||
| Chantix 1 mg Angebot | Placebo | Chantix 1 mg Angebot | Placebo | |
| CVD -Studie | 47% (42% 53%) | 14% (11% 18%) | 20% (16% 24%) | 7% (5% 10%) |
| COPD -Studie | 41% (34% 47%) | 9% (6% 13%) | 19% (14% 24%) | 6% (3% 9%) |
Probanden mit schwerer depressiver Störung
Chantix was evaluated in a randomized double-blind placebo-controlled study of subjects aged 18 to 75 years with major depressive disorder without psychotic features (DSM-IV TR). If on medication subjects were to be on a stable antidepressant regimen for at least two months. If not on medication subjects were to have experienced a major depressive episode in the past 2 years which was successfully treated. Subjects were randomized to Chantix 1 mg zweimal täglich (N=256) or placebo (N=269) for a treatment of 12 weeks and then followed for 40 weeks post-treatment. Subjects treated with Chantix had a superior rate of CO-confirmed abstinence during weeks 9 through 12 (36%) compared to subjects treated with placebo (16%) and from week 9 through 52 (20%) compared to subjects treated with placebo (10%).
Tabelle 8: Studie zur kontinuierlichen Abstinenz (95% -Konfidenzintervall) bei Patienten mit Depression (MDD)
| Wochen 9 bis 12 | Wochen 9 bis 52 | |||
| Chantix 1 mg Angebot | Placebo | Chantix 1 mg Angebot | Placebo | |
| MDD -Studie | 36% (30% 42%) | 16% (11% 20%) | 20% (15% 25%) | 10% (7% 14%) |
| Bid = zweimal täglich |
Nachmarktierung neuropsychiatrischer Sicherheitsergebnisse Studie
Chantix was evaluated in a randomized double-blind active and placebo-controlled trial that included subjects without a history of psychiatric disorder (non-psychiatric cohort N=3912) and with a history of psychiatric disorder (psychiatric cohort N=4003). Subjects aged 18-75 years smoking 10 or more cigarettes per day were randomized 1:1:1:1 to Chantix 1 mg Angebot bupropion SR 150 mg BID nicotine replacement therapy patch (Nrt) 21 mg/day with taper or placebo for a treatment period of 12 weeks; they were then followed for another 12 weeks post-treatment. [See Warnungen und VORSICHTSMASSNAHMEN ]
Ein zusammengesetzter Sicherheitsendpunkt, mit dem klinisch signifikante neuropsychiatrische (NPS) unerwünschte Ereignisse erfasst wurden, umfassten die folgenden NPS -unerwünschten Ereignisse: Angst Depressionen an, die abnormale Feindseligkeit Agitation Aggression Wahnvorstellungen Halluzinationen Mörderung von Mörderung von Mörderung von Suicidal -Ideen Suicidal -Verhaltensverhalten oder Fertigstellung von Suizid oder Fertigstellung von Suizid Panikparanoia -Psychose.
Wie in Tabelle 9 gezeigt, war die Verwendung von Chantix Bupropion und NRT in der nicht-psychiatrischen Kohorte nicht mit einem erhöhten Risiko für klinisch signifikante NPS-unerwünschte Ereignisse im Vergleich zu Placebo verbunden. In der nicht-psychiatrischen Kohorte war die Verwendung von Chantix im Vergleich zu Bupropion oder NRT nicht mit einem erhöhten Risiko von klinisch signifikanten NPS-Ereignissen verbunden.
Tabelle 9: Anzahl der Patienten mit klinisch signifikanten oder schwerwiegenden NPS -unerwünschten Ereignissen nach Behandlungsgruppen bei Patienten ohne psychiatrische Störung
| Chantix (N = 975) n (%) | Bupropion (N = 968) n (%) | Nrt | Placebo (N = 982) n (%) | |
| Klinisch signifikante NPs | 30 (3.1) | 34 (NULL,5) | 33 (NULL,3) | 40 (4.1) |
| Ernsthafte NPs | 1 (NULL,1) | 5 (NULL,5) | 1 (NULL,1) | 4 (NULL,4) |
| Psychiatrisch | 1 (NULL,1) | 2 (NULL,2) | 0 (NULL,0) | 1 (NULL,1) |
Wie in Tabelle 10 gezeigt, wurden bei Patienten in der psychiatrischen Kohorte in jeder Behandlungsgruppe im Vergleich zur nicht-psychiatrischen Kohorte klinisch signifikantere NPS-unerwünschte Ereignisse berichtet (Tabelle 9). Die Inzidenz von Ereignissen im zusammengesetzten Endpunkt war für jede der aktiven Behandlungen im Vergleich zu Placebo: Risikounterschiede (RDS) (95% CI) gegenüber Placebo 2,7% (-0,05 5,4) für Chantix 2,2% (-0,5 4,9) für Bupropion und 0,4% (-2,2 3.0) für NRT-AUS-NICOTINE.
Tabelle 10: Anzahl der Patienten mit klinisch signifikanten oder schwerwiegenden NPS -Ereignissen E -Ereignissen nach Behandlungsgruppe bei Patienten mit einer Tory an ps -ychiatric dis ordnungsgemäß
| Chantix (N = 1007) n (%) | Bupropion (N = 1004) n (%) | T9 | Placebo (N = 997) n (%) | |
| Klinisch signifikante NPs | 123 (NULL,2) | 118 (NULL,8) | 98 (NULL,8) | 95 (NULL,5) |
| Ernsthafte NPs | 6 (NULL,6) | 8 (NULL,8) | 4 (NULL,4) | 6 (NULL,6) |
| Psychiatrisch hospitalizations | 5 (NULL,5) | 8 (NULL,8) | 4 (NULL,4) | 2 (NULL,2) |
Es gab einen abgeschlossenen Selbstmord, der während der Behandlung bei einem mit Placebo in der nicht-psychiatrischen Kohorte behandelten Patienten auftrat. In der psychiatrischen Kohorte wurden keine fertigen Selbstmorde gemeldet.
In beiden Kohorten hatten die mit Chantix behandelten Probanden in den Wochen 9 bis 12 und 9 bis 24 eine überlegene Rate an der mit Betrügerei befindlichen Abstinenz im Vergleich zu Probanden, die mit einem Nikotin-Patch und Placebo mit Bupropion behandelt wurden.
Tabelle 11: Studie zur kontinuierlichen Abstinenz (95% -Konfidenzintervall) bei Patienten mit oder ohne psychiatrische Störung
| Chantix 1 mg Angebot | Bupropion SR 150 mg BID | Nrt 21 mg/day with taper | Placebo | |
| Wochen 9 bis 12 | ||||
| Nicht-psychiatrische Kohorte | 38% (35% 41%) | 26% (23% 29%) | 26% (24% 29%) | 14% (12% 16%) |
| Psychiatrisch Cohort | 29% (26% 32%) | 19% (17% 22%) | 20% (18% 23%) | 11% (10% 14%) |
| Wochen 9 bis 24 | ||||
| Nicht-psychiatrische Kohorte | 25% (23% 28%) | 19% (16% 21%) | 18% (16% 21%) | 11% (9% 13%) |
| Psychiatrisch Cohort | 18% (16% 21%) | 14% (12% 16%) | 13% (11% 15%) | 8% (7% 10%) |
| Bid = zweimal täglich |
Patienteninformationen für Chantix
Chantix ®
(Chant-kys)
(Varenicline) Tablets
Was sind die wichtigsten Informationen, die ich über Chantix wissen sollte?
Wenn Sie versuchen, mit oder ohne Chantix zu rauchen, haben Sie möglicherweise Symptome, die möglicherweise auf den Nikotinentzug zurückzuführen sind, einschließlich:
- Drang zu rauchen
- Depressive Stimmung
- Probleme beim Schlafen
- Reizbarkeit
- Frustration
- Wut
- sich ängstlich fühlen
- Schwierigkeiten zu konzentrieren
- Unruhe
- verringerte Herzfrequenz
- Erhöhter Appetit
- Gewichtszunahme
Einige Menschen haben sogar Selbstmordgedanken erlebt, als sie versucht haben, ohne Medikamente zu rauchen.
Manchmal kann das Aufhören des Rauchens zu einer Verschlechterung der psychischen Gesundheitsprobleme führen, die Sie bereits haben, z. B. Depressionen.
Einige Menschen hatten schwerwiegende Nebenwirkungen, als sie Chantix einnahmen, um ihnen zu helfen, mit dem Rauchen aufzuhören, einschließlich:
Neue oder schlechtere psychische Gesundheitsprobleme wie Verhaltensänderungen oder Denk Aggression Feindseligkeit, depressive Stimmung oder Selbstmordgedanken oder Handlungen . Einige Leute hatten diese Symptome, als sie anfingen, Chantix zu nehmen, und andere entwickelten sie nach mehreren Wochen Behandlung oder nach dem Anhalten von Chantix. Diese Symptome traten häufiger bei Menschen auf, die eine hatten Anamnese der psychischen Gesundheitsprobleme, bevor Chantix als bei Menschen ohne mentale Vorgeschichte einnimmt Gesundheitsprobleme.
Hören Sie auf, Chantix einzunehmen, und rufen Sie Ihren Gesundheitsdienstleister sofort an, wenn Sie Ihre Familie oder Ihre Pflegekraft eines dieser Symptome bemerken. Arbeiten Sie mit Ihrem Gesundheitsdienstleister zusammen, um zu entscheiden, ob Sie sollte weiterhin Chantix nehmen. Bei vielen Menschen gingen diese Symptome nach dem Stoppen verschwunden Chantix but in some people symptoms continued after stopping Chantix. It is important for you to Follow-up mit Ihrem Gesundheitsdienstleister, bis Ihre Symptome verschwinden.
Vor der Einnahme von Chantix Sagen Sie Ihrem Gesundheitsdienstleister, wenn Sie have ever had Depression or other mental Gesundheitsprobleme. You should also tell your healthcare provider about any symptoms you had during other times you tried to quit smoking with or without Chantix.
Was ist Chantix?
Chantix is a prescription medicine to help people stop smoking.
Das Aufhören des Rauchens kann Ihre Chancen auf Herzkrankheiten mit Lungenerkrankungen senken oder bestimmte Krebsarten erhalten, die mit dem Rauchen zusammenhängen.
Es ist nicht bekannt, ob Chantix bei Kindern sicher und wirksam ist.
Es ist nicht bekannt, ob Chantix sicher und wirksam ist, wenn sie mit anderen Rauchermedikamenten eingesetzt werden.
Wer sollte Chantix nicht nehmen?
Nehmen Sie keine Chantix ein, wenn Sie eine schwerwiegende allergische oder Hautreaktion auf Chantix hatten. Symptome können ein sein:
- Schwellung des Gesichtsmundes (Zungenlippen Zahnfleisch) Hals oder Hals
- Probleme beim Atmen
- Hautausschlag mit schälen Haut
- Blasen in deinem Mund
Was soll ich meinem Gesundheitsdienstleister sagen, bevor ich Chantix einnehme?
Sehen Sie, was die wichtigsten Informationen über Chantix wissen sollte?
Bevor du nimmst Chantix Sagen Sie Ihrem Gesundheitsdienstleister, wenn Sie:
- Verwenden Sie andere Behandlungen, um das Rauchen aufzuhören. Die Verwendung von Chantix mit einem Nikotin -Patch kann dazu führen, dass Übelkeit erbrechen Kopfschmerz Schwindel, die Magen und Müdigkeit häufiger auftreten, als wenn Sie nur einen Nikotin -Patch allein verwenden.
- Nierenprobleme haben oder Nierendialyse erhalten. Ihr Gesundheitsdienstleister kann Ihnen eine geringere Dosis Chantix verschreiben.
- eine Geschichte von Anfällen haben
- Alkohol trinken
- Habe Herz- oder Blutgefäßprobleme
- haben andere Erkrankungen
- sind schwanger oder planen, schwanger zu werden. Es ist nicht bekannt, ob Chantix Ihrem ungeborenen Baby schädigen wird.
- stillen. Es ist nicht bekannt, ob Chantix in die Muttermilch übergeht. Wenn Sie stillen und Chantix einnehmen, überwachen Sie Ihr Baby auf Anfälle sowie auf Spucken oder Erbrechen mehr als normal.
Teilen Sie Ihrem Gesundheitsdienstleister von allen Medikamenten mit, die Sie einnehmen, einschließlich von verschreibungspflichtigen und über-the-entdeckten Medikamenten-Vitaminen und pflanzlichen Nahrungsergänzungsmitteln. Ihr Gesundheitsdienstleister muss möglicherweise die Dosis einiger Ihrer Arzneimittel ändern, wenn Sie das Rauchen aufhören.
Sie sollten Chantix nicht verwenden, während Sie andere Medikamente verwenden, um das Rauchen aufzuhören. Sagen Sie Ihrem Gesundheitsdienstleister, wenn Sie andere Behandlungen verwenden, um das Rauchen aufzuhören.
Kennen Sie die Medikamente, die Sie einnehmen. Halten Sie eine Liste von ihnen bei, um Ihren Gesundheitsdienstleister und Apotheker zu zeigen, wenn Sie ein neues Medikament erhalten.
Wie soll ich Chantix nehmen?
- Es gibt 3 Möglichkeiten, mit denen Sie Chantix verwenden können, um zu rauchen, um aufzuhören. Sprechen Sie mit Ihrem Gesundheitsdienstleister über die folgenden drei Möglichkeiten, Chantix zu verwenden:
- Wählen Sie ein Kündigungsdatum, wenn Sie das Rauchen aufhören. Nehmen Sie Chantix 1 Woche (7 Tage) vor Ihrem Kündigungsdatum. Nehmen Sie Chantix für 12 Wochen.
ODER - Nehmen Sie Chantix ein, bevor Sie ein Kündigungsdatum auswählen. Wählen Sie ein Datum, um zu rauchen, der zwischen den Tagen 8 und 35 der Behandlung liegt. Nehmen Sie Chantix für 12 Wochen.
ODER - Wenn Sie sicher sind, dass Sie nicht in der Lage oder bereit sind, sofort mit dem Rauchen aufzuhören, beginnen Sie in den ersten 12 Wochen der Behandlung wie folgt ein Chantix zu nehmen und das Rauchen zu verringern:
- Wählen Sie ein Kündigungsdatum, wenn Sie das Rauchen aufhören. Nehmen Sie Chantix 1 Woche (7 Tage) vor Ihrem Kündigungsdatum. Nehmen Sie Chantix für 12 Wochen.
| Wochen 1 bis 4 | Reduzieren Sie Ihr Rauchen, um die Hälfte Ihrer täglichen Startzahl von Zigaretten zu erreichen. Beispiel: Wenn Sie normalerweise jeden Tag 20 Zigaretten rauchen, reduzieren Sie Ihr Rauchen in den Wochen 1 bis 4 täglich auf 10 Zigaretten. |
| Wochen 5 bis 8 | Reduzieren Sie Ihr Rauchen, um ein Viertel Ihrer täglichen Startzahl von Zigaretten zu erreichen. Beispiel: Wenn Sie normalerweise täglich 20 Zigaretten geraucht haben, reduzieren Sie Ihr Rauchen in den Wochen 5 bis 8 pro Tag auf 5 Zigaretten. |
Ziel ist es, bis zum Ende der 12. Behandlungswoche oder früher zu kündigen, wenn Sie sich bereit fühlen. Nehmen Sie weiterhin Chantix für weitere 12 Wochen für insgesamt 24 -Wochen der Behandlung. Das Starten von Chantix, bevor Ihr Kündigungsdatum Chantix Zeit hat, um sich in Ihrem Körper aufzubauen. Sie können während dieser Zeit weiter rauchen. Nehmen Sie Chantix genau wie von Ihrem Gesundheitsdienstleister vorgeschrieben.
- Chantix comes as a white tablet (0.5 mg) and a blue tablet (1 mg). You start with the white tablet and then usually go to the blue tablet. See the chart below for dosing instructions for adults.
| Tag 1 bis Tag 3 |
|
| Tag 4 bis Tag 7 |
|
| Tag 8 bis Ende der Behandlung |
|
- Stellen Sie sicher, dass Sie versuchen, mit Ihrem Kündigungsdatum zu rauchen. Wenn Sie ausrutschen und rauchen, versuchen Sie es erneut. Einige Leute müssen Chantix für ein paar Wochen nehmen, damit Chantix am besten funktioniert.
- Die meisten Menschen nehmen Chantix für bis zu 12 Wochen. Wenn Sie bis 12 Wochen mit dem Rauchen vollständig aufgehört haben, kann Ihr Gesundheitsdienstleister Chantix für weitere 12 Wochen verschreiben, um Ihnen dabei zu helfen, zigarettenfrei zu bleiben.
- Nehmen Sie Chantix nach dem Essen und mit einem vollen Glas (8 Unzen) Wasser.
- Dieser Dosierungsplan ist möglicherweise nicht für alle geeignet. Sprechen Sie mit Ihrem Gesundheitsdienstleister, wenn Sie Nebenwirkungen wie Seltsame Träume oder Schlafprobleme haben. Ihr Gesundheitsdienstleister möchte Ihre Dosis möglicherweise reduzieren.
- Wenn Sie eine Dosis Chantix verpassen, nehmen Sie es so, wie Sie sich erinnern. Wenn es fast Zeit für Ihre nächste Dosis ist, überspringen Sie die verpasste Dosis. Nehmen Sie einfach Ihre nächste Dosis zur regulären Zeit.
Was soll ich vermeiden, während ich Chantix einnehme?
- Seien Sie Vorsicht beim Fahren oder Betriebsmaschinen, bis Sie wissen, wie sich Chantix auf Sie auswirkt. Chantix kann dazu führen, dass Sie sich schläfrig Schwindel fühlen oder Probleme haben, sich sicher zu konzentrieren, um andere Aktivitäten sicher zu fahren oder andere Aktivitäten auszuführen.
- Verringern Sie die Menge an alkoholischen Getränken, die Sie während der Behandlung mit Chantix trinken, bis Sie wissen, ob Chantix Ihre Fähigkeit, Alkohol zu tolerieren, beeinflusst. Einige Menschen haben Folgendes beim Trinken von Alkohol während der Behandlung mit Chantix erlebt:
- Erhöhte Trunkenheit (Vergiftung)
- ungewöhnliches oder manchmal aggressives Verhalten
- Keine Erinnerung an Dinge, die passiert sind
Was sind die möglichen Nebenwirkungen von Chantix?
Zu den schwerwiegenden Nebenwirkungen von Chantix kann gehören:
- Sehen Sie, was die wichtigsten Informationen über Chantix wissen sollte?
- Anfälle . Einige Menschen hatten während der Behandlung mit Chantix Anfälle. In den meisten Fällen haben die Anfälle im ersten Monat der Behandlung mit Chantix stattgefunden. Wenn Sie während der Behandlung mit Chantix einen Anfall haben, nehmen Sie Chantix auf und wenden Sie sich sofort an Ihren Gesundheitsdienstleister.
- Neue oder schlechtere Herz- oder Blutgefäße (kardiovaskuläre) Probleme Meistens bei Menschen, die bereits kardiovaskuläre Probleme haben. Teilen Sie Ihrem Gesundheitsdienstleister mit, ob Sie während der Behandlung mit Chantix Änderungen an Symptomen haben.
Holen Sie sich sofort eine medizinische Nothilfe, wenn Sie die folgenden Symptome eines Herzinfarkts haben, einschließlich:- Brustbeschwerden (unbequemer Druck, der Fülle oder Schmerzen drückt), der mehr als ein paar Minuten dauert oder der weggeht und zurückkommt
- Schmerz oder Beschwerden in einem oder beiden Armen Rückenhalskiefer oder Magen
- Kurzatmigkeit schwitzen Übelkeit, das sich erbrechen oder sich verwöhnt fühlen, die mit Unbehagen der Brust verbunden sind
- Schlafwandeln Kann mit Chantix passieren und manchmal zu Verhalten führen, das für Sie oder andere Personen oder Eigentum schädlich ist. Hören Sie auf, Chantix zu nehmen, und teilen Sie Ihrem Gesundheitsdienstleister mit, wenn Sie mit dem Schlafwandeln beginnen.
- Allergische Reaktionen Kann mit Chantix passieren. Einige dieser allergischen Reaktionen können lebenslange sein.
- Schwerwiegende Hautreaktionen einschließlich Hautausschlagschwellendrötungen und Schälen der Haut. Einige dieser Hautreaktionen können lebensbedrohlich werden.
Hören Sie auf, Chantix zu nehmen, und erhalten Sie sofort medizinische Hilfe, wenn Sie folgende Symptome haben:
- Schwellung des Gesichtsmundes (Zungenlippen und Zahnfleisch) Hals oder Hals
- Probleme beim Atmen
- Hautausschlag mit schälen Haut
- Blasen in deinem Mund
Die häufigsten Nebenwirkungen von Chantix sind:
- Brechreiz
- Schlafprobleme (Schlafstörungen oder lebhafte ungewöhnliche oder seltsame Träume)
- Verstopfung
- Gas
- Erbrechen
Teilen Sie Ihrem Gesundheitsdienstleister über Nebenwirkungen mit, die Sie stören oder nicht verschwinden.
Dies sind nicht alle Nebenwirkungen von Chantix. Fragen Sie Ihren Gesundheitsdienstleister oder Apotheker um weitere Informationen.
Rufen Sie Ihren Arzt an, um medizinische Beratung zu Nebenwirkungen zu erhalten. Sie können die FDA bei 1-800-FDA-1088 Nebenwirkungen melden.
Wie soll ich Chantix aufbewahren?
- Speichern Sie Chantix bei Raumtemperatur zwischen 68 ° F und 77 ° F (20 ° C bis 25 ° C).
- Halten Sie Chantix und alle Medikamente außerhalb der Reichweite der Kinder.
Allgemeine Informationen über die sichere und effektive Verwendung von Chantix
Medikamente werden manchmal für andere Zwecke als die in einem Medikamentenhandbuch aufgeführten Zwecke verschrieben. Verwenden Sie Chantix nicht für eine Erkrankung, für die es nicht verschrieben wurde. Geben Sie Ihren Chantix nicht an andere Menschen, auch wenn sie die gleichen Symptome haben, die Sie haben. Es kann ihnen schaden. Wenn Sie weitere Informationen wünschen, sprechen Sie mit Ihrem Gesundheitsdienstleister. Sie können Ihren Gesundheitsdienstleister oder Apotheker um Informationen zu Chantix bitten, die für medizinische Fachkräfte geschrieben wurden.
Weitere Informationen zu Chantix und Tipps zum Aufhören von Rauchen finden Sie unter www.chantix.com oder telefonisch unter 1-877-242-6849.
Wenn Sie motiviert sind, das Rauchen aufzuhören und während der früheren Chantix -Behandlung aus anderen Gründen als Nebenwirkungen nicht erfolgreich zu sein oder nach der Behandlung zum Rauchen zurückgekehrt sind, sprechen Sie mit Ihrem Gesundheitsdienstleister darüber, ob eine andere Chantix -Therapie für Sie richtig ist.
Was sind die Zutaten in Chantix?
Wirkstoff: Varenicline -Tartrat
Inaktive Zutaten: Mikrokristalline Cellulose -wasser -dibasische Calciumphosphat croscarmellose natriumkolloidales Siliziumdioxid -Magnesium -Stearat Opadry® Weiß (für 0,5 mg) Opadry® Blau (für 1 mg) und Opadry® Clear.