Die Informationen Auf Dieser Website Stellen Keine Medizinische Beratung Dar. Wir Verkaufen Nichts. Die Richtigkeit Der Übersetzung Wird Nicht Garantiert. Haftungsausschluss
Wie funktionieren Betablocker mit Alpha -Aktivität?
Coreg Cr
Drogenzusammenfassung
Was ist Coreg Cr?
Coreg CR (Carvedilol-Phosphat) ist ein Beta-Blocker zur Behandlung von Herzinsuffizienz und Bluthochdruck (Bluthochdruck). Coreg CR wird auch verwendet, um Herzinfarkt zu behandeln oder zu verhindern.
Was sind Nebenwirkungen von Coreg CR?
Zu den häufigen Nebenwirkungen von Coreg CR gehören:
- Schwindel
- Benommenheit
- Schläfrigkeit
- Brechreiz
- Erbrechen
- Durchfall
- Schwäche
- Müdigkeit
- Trockene Augen
- Gelenkschmerzen
- Husten
- Verringerter Sexualtrieb
- Impotenz oder
- Schwierigkeiten haben einen Orgasmus.
Coreg CR kann den Blutfluss zu Ihren Händen und Füßen verringern, wodurch sie sich kalt anfühlen. Rauchen kann diesen Effekt verschlimmern. Sagen Sie Ihrem Arzt, wenn Sie ernsthafte Nebenwirkungen von Coreg CR haben, einschließlich:
- Sehr langsamer Herzschlag
- schwerer Schwindel
- Ohnmacht
- ungewöhnliche Schwäche
- Änderungen der Urinmenge
- Taubheit oder Kribbeln der Hände oder Füße
- blaue Finger oder Zehen
- einfache Blutergüsse oder Blutungen
- mentale/stimmungsveränderungen (wie Verwirrungsdepression) oder
- Anfälle.
Dosierung für Coreg Cr
Coreg CR ist eine Kapsel mit verlängerter Freisetzung, die für die einmal tägliche Verabreichung in Dosen zwischen 10 mg und 80 mg bestimmt ist.
Welche Medikamentensubstanzen oder Nahrungsergänzungsmittel interagieren mit Coreg CR?
Coreg CR kann mit Allergiebehandlungen (oder Allergie-Hauttests) Clonidin-Cyclosporin-Digoxin Fluconazol Guanabenz Rifampin Insulin oder orale Diabetes Medikamente Antidepressiva Beta-Blocker Mao-Inhibitoren Herzmedizinmedizin oder andere Athma-Arzneimittel oder andere Athma-Arzneimittel-Medikamente oder sonstige Arzneimittel-Medikamente oder sonstige Arzneimittel-Medikamente oder andere Display-Pills. Sagen Sie Ihrem Arzt alle Medikamente, die Sie verwenden.
Coreg CR während der Schwangerschaft und Stillen
Während der Schwangerschaft sollte Coreg CR nur bei Verschreibungen verwendet werden. Basierend auf Informationen aus verwandten Arzneimitteln kann dieses Medikament in Muttermilch übergehen und unerwünschte Auswirkungen auf ein Pflegekind haben. Wenden Sie sich vor dem Stillen an Ihren Arzt.
Weitere Informationen
Unsere Coreg CR (Carvedilol Phosphat) -Seitwirkungsdrogenzentrum bietet eine umfassende Übersicht über verfügbare Arzneimittelinformationen über die potenziellen Nebenwirkungen bei der Einnahme dieses Medikaments.
FDA -Drogeninformationen
- Drogenbeschreibung
- Indikationen
- Dosierung
- Nebenwirkungen
- Wechselwirkungen mit Arzneimitteln
- Warnungen
- Überdosis
- Klinische Pharmakologie
- Medikamentenhandbuch
Beschreibung für Coreg Cr
Carvedilol-Phosphat ist ein nichtselektives β-adrenerge Blockierungsmittel mit α1-blockierender Aktivität. Es ist (2RS) -1- (9H-Carbazol-4-Yloxy) -3-[[2- (2-methoxyphenoxy) Ethyl] Amino] Propan-2-ol-Phosphatsalz (1: 1) Hemihydrat. Es ist eine racemische Mischung mit der folgenden Struktur:
|
Carvedilol-Phosphat ist ein Weiß-zu-fast-weißer Feststoff mit einem Molekulargewicht von 513,5 (NULL,5 Carvedilol-freier Basis) und einer molekularen Formel von C 24 H 26 N 2 O 4 • H. 3 Po 4 • ½ h 2 DER.
Coreg CR ist für eine einmalige Verabreichung als orale Kapseln kontrollierter Freisetzung mit 10 20 40 oder 80 mg Carvedilol-Phosphat erhältlich. Coreg CR-Hard-Gelatin-Kapseln werden mit Carvedilol-Phosphat-Sofortabfreisetzungen und kontrollierten Freisetzungen gefüllt, die medikamentenschichtig sind und dann mit Methacrylsäure-Copolymeren beschichtet sind. Inaktive Inhaltsstoffe umfassen crospovidon hydriertes Rizinusöl mit hydriertem Pflanzenöl Magnesium -Stearat -Methacrylsäure -Copolymere mikrokristallin Cellulose und Povidon.
Verwendung für Coreg Cr
Herzinsuffizienz
COREG CR® ist für die Behandlung von mild bis schwerer chronischer Herzinsuffizienz von ischämischen oder kardiomyopathischen Ursprungs in der Regel zusätzlich zu Diuretik-ACE-Inhibitoren und Digitalis angezeigt, um das Überleben zu erhöhen und auch das Krankenhausrisiko zu verringern [siehe Klinische Studien ].
Linksventrikuläre Dysfunktion nach Myokardinfarkt
COREG CR ist angezeigt, um die kardiovaskuläre Mortalität bei klinisch stabilen Patienten, die die akute Phase eines Myokardinfarkts überlebt haben Klinische Studien ].
Hypertonie
COREG CR ist für die Behandlung von essentieller Hypertonie angezeigt [siehe Klinische Studien ]. It can be used aleins or in combination with other antihypertensive agents especially thiazide-type diuretics [see Wechselwirkungen mit Arzneimitteln ].
Dosierung für Coreg Cr
Coreg CR ist eine Kapsel, die für einmal tägliche Verabreichung vorgesehen ist. Patienten, die mit Carvedilol-Tabletten mit sofortiger Freisetzung allein oder in Kombination mit anderen Medikamenten kontrolliert werden, können auf COREG-CR-CR-Extended-Release-Kapseln basierend auf den in Tabelle 1 gezeigten Gesamtdosen umgestellt werden.
Tabelle 1: Dosierungskonvertierung
| Tägliche Dosis von Carvedilol-Tabletten mit sofortiger Freisetzung | Tägliche Dosis von Coreg -CR -Kapseln a |
| 6,25 mg (NULL,125 mg zweimal täglich) | 10 mg einmal täglich |
| 12,5 mg (NULL,25 mg zweimal täglich) | 20 mg einmal täglich |
| 25 mg (NULL,5 mg zweimal täglich) | 40 mg einmal täglich |
| 50 mg (25 mg zweimal täglich) | 80 mg einmal täglich |
| a Beim Umschalten von Carvedilol 12,5 mg oder 25 mg zweimal täglich kann eine Startdosis von Coreg CR 20 mg bzw. 40 mg einmal täglich für ältere Patienten oder bei einem erhöhten Risiko für Hypotonie -Schwindel oder Synkope gerechtfertigt sein. Die anschließende Titration zu höheren Dosen sollte gegebenenfalls nach einem Intervall von mindestens 2 Wochen durchgeführt werden. |
Coreg CR sollte morgens einmal täglich mit Essen eingenommen werden. Coreg CR sollte als ganze Kapsel verschluckt werden. Coreg Cr und/oder sein Inhalt sollten nicht zerkleinert oder in geteilten Dosen eingenommen werden.
Alternative Verwaltung
Die Kapseln können sorgfältig geöffnet und die Perlen über einen Löffel Apfelmus bestreut werden. Der Apfelmus sollte nicht warm sein, da er die Eigenschaften der modifizierten Freisetzung dieser Formulierung beeinflussen kann. Die Mischung aus Arzneimittel und Apfelmus sollte unmittelbar vollständig konsumiert werden. Die Medikamente und die Apfelmusmischung sollten nicht für den zukünftigen Gebrauch gespeichert werden. Die Absorption der auf anderen Lebensmittel bestreuten Perlen wurde nicht getestet.
Herzinsuffizienz
Die Dosierung muss von einem Arzt während der Titrierung individualisiert und eng überwacht werden. Vor Beginn von Coreg CR wird empfohlen, die Flüssigkeitsretention zu minimieren. Die empfohlene Startdosis von Coreg CR beträgt 2 Wochen einmal täglich 10 mg. Patienten, die einmal täglich eine Dosis von 10 mg tolerieren, können ihre Dosis über aufeinanderfolgende Intervalle von mindestens 2 Wochen auf 20 40 und 80 mg erhöhen. Die Patienten sollten in niedrigeren Dosen gehalten werden, wenn höhere Dosen nicht toleriert werden.
Den Patienten sollte darauf hingewiesen werden, dass die Initiierung der Behandlung und (in geringerem Maße) eine Dosierungserhöhung innerhalb der ersten Stunde nach der Dosierung mit vorübergehenden Symptomen von Schwindel oder Benommenheit (und selten Synkope) verbunden sein kann. Während dieser Zeiträume sollten sie Situationen wie Fahren oder gefährliche Aufgaben vermeiden, bei denen Symptome zu Verletzungen führen können. Vasodilatorische Symptome erfordern häufig keine Behandlung, aber es kann nützlich sein, den Zeitpunkt der Dosierung von Coreg CR von der des ACE -Inhibitors zu trennen oder die Dosis des ACE -Inhibitors vorübergehend zu verringern. Die Dosis von Coreg CR sollte nicht erhöht werden, wenn die Symptome einer Verschlechterung der Herzinsuffizienz oder der Vasodilatation stabilisiert wurden.
Die Flüssigkeitsretention (mit oder ohne vorübergehende Symptome der Herzinsuffizienz) sollte durch eine Erhöhung der Diuretika -Dosis behandelt werden.
Die Dosis von Coreg CR sollte reduziert werden, wenn Patienten eine Bradykardie aufweisen (Herzfrequenz von weniger als 55 Schlägen pro Minute).
Episoden von Schwindel oder Flüssigkeitsretention während der Einleitung von Coreg CR können im Allgemeinen ohne Absetzen der Behandlung behandelt werden und schließen die anschließende erfolgreiche Titration oder eine günstige Reaktion auf Coreg CR nicht aus.
Linksventrikuläre Dysfunktion nach Myokardinfarkt
Die Dosierung muss während der Titrierung individualisiert und überwacht werden. Die Behandlung mit Coreg CR kann als stationärer oder ambulanter oder ambulanter Start begonnen werden und sollte begonnen werden, nachdem der Patient hämodynamisch stabil ist und die Flüssigkeitsretention minimiert wurde. Es wird empfohlen, dass Coreg CR einmal täglich bei 20 mg gestartet und nach 3 bis 10 Tagen erhöht wird, basierend auf der Verträglichkeit auf 40 mg einmal täglich und wieder bis zur Zieldosis von 80 mg einmal täglich. Eine niedrigere Startdosis kann verwendet werden (10 mg einmal täglich) und/oder die Geschwindigkeit der Upitrierung kann verlangsamt werden, wenn sie klinisch angezeigt werden (z. B. aufgrund von niedrigem Blutdruck oder Herzfrequenz oder Flüssigkeitsretention). Die Patienten sollten in niedrigeren Dosen gehalten werden, wenn höhere Dosen nicht toleriert werden. Das empfohlene Dosierungsschema muss bei Patienten, die während der akuten Phase des Myokardinfarkts eine Behandlung mit einem IV- oder oralen β-Blocker erhalten haben, nicht verändert werden.
Hypertonie
Die Dosierung muss individuell sein. Die empfohlene Startdosis Coreg CR beträgt 20 mg einmal täglich. Wenn diese Dosis unter Verwendung des stehenden systolischen Drucks, gemessen, gemessen wurde, etwa 1 Stunde nach der Dosierung als Leitfaden, sollte die Dosis 7 bis 14 Tage aufrechterhalten werden und dann bei Bedarf einmal täglich auf 40 mg erhöht werden, basierend auf dem Blutdruck mit dem stehenden systolischen Druck 1 Stunde nach der Dosierung als Leitfaden für Toleranz. Diese Dosis sollte auch 7 bis 14 Tage gehalten werden und kann dann einmal täglich auf 80 mg eingestellt werden, wenn sie toleriert und benötigt werden. Obwohl nicht ausdrücklich untersucht wird, wird die gesamte blutdrucksenkende Wirkung von Coreg CR innerhalb von 7 bis 14 Tagen erwartet, wie es mit Carvedilol mit sofortiger Freisetzung gezeigt wurde. Die gesamte tägliche Dosis sollte 80 mg nicht überschreiten.
Es ist zu erwarten, dass eine gleichzeitige Verabreichung mit einem Diuretikum zu additiven Effekten führt und die orthostatische Komponente der Carvedilol -Wirkung übertreibt.
Hepatische Beeinträchtigung
Coreg CR sollte nicht an Patienten mit schwerer Leberbeeinträchtigung gegeben werden [siehe Kontraindikationen ].
Geriatrische Verwendung
Beim Wechsel älterer Patienten (ab 65 Jahren oder älter), die die höheren Dosen von Carvedilol-Tabletten mit sofortiger Freisetzung einnehmen, wird empfohlen, eine niedrigere Startdosis (40 mg) Coreg CR zu COREG CR, um das Potenzial für die Synkope oder die Hypotonie des Schwindels zu minimieren. Patienten, die Coreg CR gewechselt und toleriert haben, sollten nach einem Intervall von mindestens 2 Wochen ihre Dosis erhöhen [siehe Verwendung in bestimmten Populationen ].
Wie geliefert
Dosierung Forms And Strengths
Die harten Gelatinekapseln sind mit weißen bis nicht weißen Mikropartikeln gefüllt und sind in den folgenden Stärken erhältlich:
- 10 mg - weiße und grüne Kapselschale mit GSK CORG CR und 10 mg gedruckt
- 20 mg - weiße und gelbe Kapselschale mit GSK CORG CR und 20 mg gedruckt
- 40 mg - gelbe und grüne Kapselschale mit GSK CORG CR und 40 mg gedruckt
- 80 mg - weiße Kapselschale mit GSK CORG CR und 80 mg gedruckt
Lagerung und Handhabung
Die harten Gelatinekapseln sind in den folgenden Stärken erhältlich:
- 10 mg - weiße und grüne Kapselschale mit GSK CORG CR und 10 mg gedruckt
- 20 mg - weiße und gelbe Kapselschale mit GSK CORG CR und 20 mg gedruckt
- 40 mg - gelbe und grüne Kapselschale mit GSK CORG CR und 40 mg gedruckt
- 80 mg - weiße Kapselschale mit GSK CORG CR und 80 mg gedruckt
10 mg Flaschen von 30: NDC 0007-3370-13
20 mg Flaschen von 30: NDC 0007-3371-13
40 mg Flaschen von 30: NDC 0007-3372-13
80 mg Flaschen von 30: NDC 0007-3373-13
Speichern Sie bei 25 ° C (77 ° F); Exkursionen 15 ° bis 30 ° C (59 ° bis 86 ° F). In einem engen, lichtbeständigen Behälter geben.
Macht Ativan süchtiger als Xanax
GlaxoSmithKline Research Triangle Park NC 27709. Überarbeitet: Oktober 2015
Nebenwirkungen for Coreg CR
Klinische Studien Erfahrung
Carvedilol wurde bei Probanden mit Herzinsuffizienz (leichter mittelschwer und schwer) bei Probanden mit linksventrikulären Dysfunktionen nach Myokardinfarkt und bei hypertensiven Probanden auf Sicherheit bewertet. Das beobachtete unerwünschte Ereignisprofil stimmte mit der Pharmakologie des Arzneimittels und dem Gesundheitszustand der Probanden in den klinischen Studien überein. Nachfolgend sind unerwünschte Ereignisse für jede dieser Populationen, die die Verwendung von Coreg CR- oder sofortiger Freisetzungspflicht widerspiegeln. Ausgeschlossen sind unerwünschte Ereignisse, die als zu allgemein als informativ angesehen werden, und diejenigen, die nicht mit der Verwendung des Arzneimittels verbunden sind, da sie mit der Behandlung der Erkrankung in Verbindung gebracht wurden oder in der behandelten Bevölkerung sehr häufig sind. Die Raten von unerwünschten Ereignissen waren in den demografischen Untergruppen im Allgemeinen ähnlich (Männer und ältere Menschen und nicht ältere Schwarze und Nicht-Schwarzen). Coreg CR wurde aus Sicherheit in einer 4-wöchigen (2 Wochen mit einer klinischen Studie von Coreg CR) (2 Wochen mit sofortiger Freisetzung) untersuchten Studie (N = 187), die 157 Probanden mit stabilem leichten, mittelschweren oder schweren chronischen Herzinsuffizienz und 30 Probanden mit links ventrikulärer Dysfunktion nach akutem myokardialem Infarkt umfasste. Das Profil von unerwünschten Ereignissen, die bei Coreg CR in dieser kleinen kurzfristigen Studie beobachtet wurden, war im Allgemeinen der Beobachtung mit Carvedilol mit sofortiger Freisetzung. Unterschiede in der Sicherheit wären nicht zu erwarten, basierend auf der Ähnlichkeit der Plasmaspiegel für CORG CR und CARVEDILOL mit sofortiger Freisetzung.
Herzinsuffizienz
Die folgenden Informationen beschreiben die Sicherheitserfahrung in Herzinsuffizienz mit Carvedilol mit sofortiger Freisetzung.
Carvedilol wurde in mehr als 4500 Probanden weltweit aus Sicherheit bei Herzinsuffizienz bewertet, von denen mehr als 2100 an placebokontrollierten klinischen Studien teilnahmen. Ungefähr 60% der gesamten behandelten Population in placebokontrollierten klinischen Studien erhielten Carvedilol für mindestens 6 Monate und 30% für mindestens 12 Monate. In der Comet-Studie wurden 1511 Probanden mit leicht bis mittelschwerer Herzinsuffizienz für bis zu 5,9 Jahre mit Carvedilol behandelt (Mittelwert: 4,8 Jahre). Both in US clinical trials in mild-to-moderate heart failure that compared carvedilol in daily doses up to 100 mg (n = 765) with placebo (n = 437) and in a multinational clinical trial in severe heart failure (COPERNICUS) that compared carvedilol in daily doses up to 50 mg (n = 1156) with placebo (n = 1133) discontinuation rates for adverse experiences were similar in carvedilol and placebo Themen. In placebokontrollierten klinischen Studien war die einzige Ursache für Absetzen von mehr als 1% und auf Carvedilol häufiger auftrat (NULL,3% auf Carvedilol 0,6% auf Placebo in der Copernicus-Studie).
Tabelle 2 zeigt unerwünschte Ereignisse, die bei Probanden mit leichter bis mittelschwerer Herzinsuffizienz gemeldet wurden, die in den in den USA placebokontrollierten klinischen Studien und mit schwerer Herzinsuffizienz in der Copernicus-Studie eingeschrieben sind. Daraus sind unerwünschte Ereignisse, die bei medikamenten behandelten Probanden häufiger auftraten als mit Placebo behandelte Probanden mit einer Inzidenz von mehr als 3% bei Probanden, die unabhängig von der Kausalität mit Carvedilol behandelt wurden. Die mediane Versuchsmedikamentenexposition betrug 6,3 Monate für Carvedilol- und Placebo-Probanden in den Versuchen mit leichter bis mittelschwerer Herzinsuffizienz und 10,4 Monate in der Studie mit Probanden mit schwerer Herzinsuffizienz. Das in der Langzeit-Komet-Studie beobachtete unerwünschte Ereignisprofil von Carvedilol war im Allgemeinen der in den US-Herzinsuffizienzversuchen beobachteten.
Tabelle 2: unerwünschte Ereignisse (%), die häufiger mit Carvedilol mit sofortiger Freisetzung auftreten als mit Placebo bei Probanden mit leichter bis mittelschwerer Herzinsuffizienz (HF) in US-Herzinsuffizienzversuchen oder bei Probanden mit schwerer Herzinsuffizienz im Copernicus-Versuch (Inzidenz> 3% bei Probanden, die mit Carvedilol unabhängig von der Kausalität behandelt wurden, unabhängig von der Kausalität behandelt)
| Körpersystem/ unerwünschtes Ereignis | Mild bis mittelschwerer HF | Schwere HF | ||
| Carvedilol (n = 765) | Placebo (n = 437) | Carvedilol (n = 1156) | Placebo (n = 1133) | |
| Körper als Ganzes | ||||
| 7 | 7 | 11 | 9 | |
| 24 | 22 | — | — | |
| 5 | 4 | 2 | 1 | |
| 5 | 3 | 6 | 5 | |
| 4 | 2 | — | — | |
| Herz -Kreislauf | ||||
| 9 | 1 | 10 | 3 | |
| 9 | 3 | 14 | 8 | |
| 3 | 3 | 8 | 5 | |
| 2 | 3 | 6 | 4 | |
| Zentralnervensystem | ||||
| 32 | 19 | 24 | 17 | |
| 8 | 7 | 5 | 3 | |
| Magen -Darm | ||||
| 12 | 6 | 5 | 3 | |
| 9 | 5 | 4 | 3 | |
| 6 | 4 | 1 | 2 | |
| Stoffwechsel | ||||
| 12 | 8 | 5 | 3 | |
| 10 | 7 | 12 | 11 | |
| 6 | 5 | — | — | |
| 6 | 5 | — | — | |
| 4 | 3 | 1 | 1 | |
| 2 | 1 | 7 | 6 | |
| Muskuloskelett | ||||
| 6 | 5 | 1 | 1 | |
| Atemweg | ||||
| 8 | 9 | 5 | 4 | |
| 4 | 4 | 4 | 2 | |
| Vision | ||||
| 5 | 2 | — | — |
Herzversagen und Dyspnoe wurden auch in diesen Studien berichtet, aber die Raten waren bei Probanden, die Placebo erhielten, gleich oder höher.
Die folgenden unerwünschten Ereignisse wurden mit einer Häufigkeit von mehr als 1%, weniger oder gleich 3% und häufiger mit Carvedilol in den US-amerikanischen placebokontrollierten Studien bei Probanden mit leichter bis mittelschwerer Herzinsuffizienz oder bei Probanden mit schwerer Herzinsuffizienz in der Copernicus-Studie berichtet.
Inzidenz von mehr als 1% bis weniger als oder gleich 3%
Körper als Ganzes: Allergie -Unwohlsein Hypovolämie Fever Beinödem.
Herz -Kreislauf: Fluidüberladung Haltungshypotonie verschärfte Angina pectoris av Block -Palpitation Hypertonie.
Zentrales und peripheres Nervensystem: Hypästhesie Schwindel Parästhesie.
Magen -Darm: Mehena Parodontitis.
Leber- und Gallensystem: SGPT erhöhte SGOT.
Stoffwechsel and Nutritional: Hyperurikämie -Hypoglykämie -Hyponatriämie erhöhte die alkalische Phosphatase -Glykosurie -Hypervolämie Diabetes mellitus GGT erhöhte Gewichtsverlust Hyperkaliämie Kreatinin erhöht.
Muskuloskelett: Muskelkrämpfe.
Blutplättchenblutung und Gerinnung: Prothrombin verringerte die Purpura -Thrombozytopenie.
Psychiatrisch: Schläfrigkeit.
Reproduktiver Mann: Impotenz.
Besondere Sinne: Verschwommenes Sehen.
Harnsystem: Niereninsuffizienz Albuminurie Hämaturie.
Linksventrikuläre Dysfunktion nach Myokardinfarkt
Die folgenden Informationen beschreiben die Sicherheitserfahrung in der linken ventrikulären Dysfunktion nach akutem Myokardinfarkt mit Carvedilol mit sofortiger Freisetzung.
Carvedilol has been evaluated for safety in survivors of an acute myocardial infarction with left ventricular dysfunction in the CAPRICORN trial which involved 969 subjects who received carvedilol and 980 who received placebo. Approximately 75% of the subjects received carvedilol for at least 6 months and 53% received carvedilol for at least 12 months. Subjects were treated for an average of 12.9 months and 12.8 months with carvedilol and placebo respectively.
Die häufigsten unerwünschten Ereignisse, die mit Carvedilol in der Steinbockstudie berichtet wurden, stimmten mit dem Profil des Arzneimittels in den US -Herzinsuffizienzversuchen und in der Copernicus -Studie überein. Die einzigen zusätzlichen unerwünschten Ereignisse, die im Steinbock in mehr als 3% der Probanden und häufiger auf Carvedilol berichtet wurden, waren Dyspnoe -Anämie und Lungenödem. Die folgenden unerwünschten Ereignisse wurden mit einer Häufigkeit von mehr als 1%, weniger oder gleich 3% und häufiger mit Carvedilol: cerebrovaskuläres Unfallunfall -Peripherie -Vaskulärstörung Hypotonie Depression Depression Depression Magen -Darm -Schmerz Arthritis und Gicht gemeldet. Die Gesamtrate von Unterbrechungen aufgrund unerwünschter Ereignisse waren in beiden Gruppen von Probanden ähnlich. In dieser Datenbank war die einzige Ursache für Absetzen von mehr als 1% und häufiger auf Carvedilol auftrat (NULL,5% bei Carvedilol 0,2% auf Placebo).
Hypertonie
Coreg CR wurde aus Sicherheit in einer 8-wöchigen Doppelblindstudie bei 337 Probanden mit wesentlicher Hypertonie bewertet. Das Profil von unerwünschten Ereignissen, die mit Coreg CR beobachtet wurden, war im Allgemeinen ähnlich dem, das mit Carvedilol mit sofortiger Freisetzung beobachtet wurde. Die Gesamtrate von Unterbrechungen aufgrund unerwünschter Ereignisse waren zwischen Coreg CR und Placebo ähnlich.
Tabelle 3: unerwünschte Ereignisse (%), die häufiger mit Coreg CR auftreten als mit Placebo bei Probanden mit Bluthochdruck (Inzidenz ≥ 1% bei Probanden, die unabhängig von der Kausalität mit Carvedilol behandelt wurden)
| Nebeneffekte | Coreg Cr (n = 253) | Placebo (n = 84) |
| Nasopharynngitis | 4 | 0 |
| Schwindel | 2 | 1 |
| Brechreiz | 2 | 0 |
| Ödemperiphere | 2 | 1 |
| Nasenüberlastung | 1 | 0 |
| Parästhesie | 1 | 0 |
| Sinusstau | 1 | 0 |
| Durchfall | 1 | 0 |
| Schlaflosigkeit | 1 | 0 |
Die folgenden Informationen beschreiben die Sicherheitserfahrung in Bluthochdruck mit Carvedilol mit sofortiger Freisetzung.
Carvedilol has been evaluated for safety in hypertension in more than 2193 subjects in US clinical trials and in 2976 subjects in international clinical trials. Approximately 36% of the total treated population received carvedilol for at least 6 months. In general carvedilol was well tolerated at doses up to 50 mg daily. Most adverse events reported during carvedilol therapy were of mild to moderate severity. In US controlled clinical trials directly comparing carvedilol monotherapy in doses up to 50 mg (n = 1142) with placebo (n = 462) 4.9% of carvedilol subjects discontinued for adverse events versus 5.2% of placebo subjects. Although there was no overall difference in discontinuation rates discontinuations were more common in the carvedilol group for postural hypotension (1% versus 0). The overall incidence of adverse events in US placebo-controlled trials was found to increase with increasing dose of carvedilol. For individual adverse events this could only be distinguished for Schwindel which increased in frequency from 2% to 5% as total daily dose increased from 6.25 mg to 50 mg as single or divided doses.
Tabelle 4 zeigt unerwünschte Ereignisse in placebokontrollierten klinischen Studien für Bluthochdruck, die mit einer Inzidenz von mehr als oder gleich 1% auftraten und bei mit Drogen behandelten Probanden häufiger als mit Placebo behandelte Probanden waren.
Tabelle 4: unerwünschte Ereignisse (% Auftreten) in placebokontrollierten Hypertonie-Studien mit sofortiger Freisetzung Carvedilol (Inzidenz ≥ 1% bei Probanden, die unabhängig von der Kausalität mit Carvedilol behandelt wurden)*
| Nebeneffekte | Carvedilol (n = 1142) | Placebo (n = 462) |
| Herz -Kreislauf | ||
| 2 | — | |
| 2 | — | |
| 1 | — | |
| Zentralnervensystem | ||
| 6 | 5 | |
| 2 | 1 | |
| Magen -Darm | ||
| 2 | 1 | |
| Hämatologisch | ||
| 1 | — | |
| Stoffwechsel | ||
| 1 | — | |
| * Die gezeigten Ereignisse mit einer Rate> 1% rund auf die nächste Ganzzahl abgerundet. |
In diesen Studien wurden auch Dyspnoe und Müdigkeit berichtet, aber die Raten waren bei Probanden, die Placebo erhielten, gleich oder höher.
Die folgenden nicht beschriebenen unerwünschten Ereignisse wurden als möglicherweise oder wahrscheinlich mit Carvedilol in weltweiten offenen oder kontrollierten Versuchen mit Carvedilol bei Probanden mit Bluthochdruck oder Herzinsuffizienz bezogen.
Inzidenz von mehr als 0,1% bis weniger als oder gleich 1%
Herz -Kreislauf: Periphere Ischämie Tachykardie.
Zentrales und peripheres Nervensystem: Hypokinesie.
Magen -Darm: Die Bilirubinämie erhöhte die Leberenzyme (NULL,2% der Hypertonie -Patienten und 0,4% der Herzinsuffizienz wurden aufgrund eines Anstiegs der Leberenzyme aus der Therapie abgehauen) [siehe Laboranomalien ].
Psychiatrisch: Nervosität Schlafstörung verschärfte Depression beeinträchtigte die Konzentration abnormales Denken Paronirien emotionale Labilität.
Atemweg System: Asthma [siehe Kontraindikationen ].
Reproduktiver Mann: Verringerte Libido.
Haut und Anhänge: Pruritus -Ausschlag erythematöser Ausschlag makulopapuläres Ausschlag Psoriaform Photoemsitivitätsreaktion.
Besondere Sinne: Tinnitus.
Harnsystem: Die Mikturitionsfrequenz nahm zu.
Autonomes Nervensystem: Der trockene Mundschwitzen nahm zu.
Stoffwechsel and Nutritional: Hypokaliämie Hypertriglyceridämie.
Hämatologisch: Anämie Leukopenie.
Die folgenden Ereignisse wurden bei weniger als oder gleich 0,1% der Probanden berichtet und sind möglicherweise wichtig: Komplette AV -Block -Bündel -Zweig -Block -Myokardis -Ischämie cerebrovaskuläre Störungen Migräne Neuralgie -Pariser -Anaphylaktoidreaktion Reaktion Alopezie Exfoliative Esmatitis Amnesie GI -Hut -Hörmorrhagal -Hör -Braon -Hör -Hör -Braun -Hör -Braon -Hör -Hör -Braun -Hör -Braon -Braon -Braonchospasma -Lungen -Ödemödem Ödem Ödem Ödem Ödemödem, höres ödrisches örthöses höres ökales ödratalose alkalose braonbronchospasma Panzytopenie und atypische Lymphozyten.
Laboranomalien
Während der Behandlung mit Carvedilol wurden reversible Erhöhungen der Serumtransaminasen (ALT oder AST) beobachtet. Die Raten von Transaminase -Erhöhungen (2- bis 3 -mal so hoch wie die Obergrenze der Normalen), die in kontrollierten klinischen Studien beobachtet wurden, waren im Allgemeinen zwischen den mit Carvedilol behandelten Probanden und denjenigen, die mit Placebo behandelt wurden, ähnlich. Transaminase -Erhöhungen, die durch Wiederbelebung bestätigt wurden, wurden jedoch mit Carvedilol beobachtet. In einer langfristigen, placebokontrollierten Studie bei schweren Herzinsuffizienz, die mit Carvedilol behandelt wurden, hatten niedrigere Werte für Lebertransaminasen als mit Placebo behandelte Probanden möglicherweise, da möglicherweise eine durch Carvedilol induzierte Verbesserungen der Herzfunktion zu einer geringeren Lebervernadung und/oder einer verbesserten Leberblutfluss führten.
Carvedilol therapy has not been associated with clinically significant changes in serum potassium total triglycerides total cholesterol HDL cholesterol uric acid blood urea nitrogen or creatinine. No clinically relevant changes were noted in fasting serum glucose in hypertensive subjects; fasting serum glucose was not evaluated in the heart failure clinical trials.
Nachmarkterfahrung
Die folgenden nachteiligen Reaktionen wurden während der Verwendung von CORG® oder CORG CR nach der Annahme identifiziert. Da diese Reaktionen freiwillig aus einer Population unsicherer Größe berichtet werden, ist es nicht immer möglich, ihre Häufigkeit zuverlässig abzuschätzen oder ein kausales Verhältnis zur Arzneimittelexposition herzustellen.
Blut- und Lymphsystemstörungen
Aplastische Anämie.
Immunsystemstörungen
Überempfindlichkeit (z. B. anaphylaktische Reaktionen Angioödem Urticaria).
Nieren- und Harnstörungen
Harninkontinenz.
Atemweg Thoracic and Mediastinal Disorders
Interstitielle Pneumonitis.
Haut- und subkutane Gewebeerkrankungen
Stevens-Johnson-Syndrom Toxic Epidermal Necrolyse Erythema Multiforme.
Wechselwirkungen mit Arzneimitteln for Coreg CR
CYP2D6 -Inhibitoren und schlechte Metabolisierer
Wechselwirkungen von Carvedilol mit starken Inhibitoren von CYP2D6 -Isoenzym (wie Chinidinfluoxetin -Paroxetin und Propafenon) wurden nicht untersucht, aber es wird erwartet Klinische Pharmakologie ]. Retrospective analysis of side effects in clinical trials showed that poor 2D6 metabolizers had a higher rate of Schwindel during up-titration presumably resulting from vasodilating effects of the higher concentrations of the α-blocking R(+) enantiomer.
Hypotensive Agenten
Patienten, die beide Mittel mit β-blockierenden Eigenschaften einnehmen, und ein Medikament, das Katecholamine (z. B. Reserpin- und Monoaminoxidase-Inhibitoren) abbauen kann, sollten genau auf Anzeichen von Hypotonie und/oder schwerer Bradykardie beobachtet werden.
Die gleichzeitige Verabreichung von Klonidin mit Wirkstoffen mit β-blockierenden Eigenschaften kann die Blutdruck- und Herz-Rate-Senkung-Wirkungen potenzieren. Bei gleichzeitiger Behandlung mit Wirkstoffen mit β-blockierenden Eigenschaften und Clonidin sollte das β-Blockierungsmittel zuerst abgesetzt werden. Die Clonidin -Therapie kann dann einige Tage später durch die allmähliche Verringerung der Dosierung abgesetzt werden.
Cyclosporin
Nach Beginn der Carvedilol -Behandlung bei 21 Nierentransplantationspersonen, die an einer chronischen Gefäßabstoßung litten, wurden bescheidene Erhöhungen der mittleren Cyclosporinkonzentrationen von Troughilol beobachtet. Bei etwa 30% der Probanden musste die Dosis von Cyclosporin verringert werden, um die Cyclosporinkonzentrationen innerhalb des therapeutischen Bereichs aufrechtzuerhalten, während im Rest keine Anpassung erforderlich war. Im Durchschnitt für die Gruppe war die Dosis von Cyclosporin bei diesen Probanden um etwa 20% reduziert. Aufgrund der breiten interindividuellen Variabilität der erforderlichen Dosisanpassung wird empfohlen, Cyclosporinkonzentrationen nach Beginn der Carvedilol -Therapie genau zu überwachen und die Dosis von Cyclosporin gegebenenfalls einzustellen.
Digitalis Glycoside
Sowohl Digitalis Glycoside als auch β-Blocker verlangsamen die atrioventrikuläre Leitung und verringern die Herzfrequenz. Die gleichzeitige Verwendung kann das Risiko einer Bradykardie erhöhen. Die Digoxinkonzentrationen werden bei gleichzeitiger Verabreichung von Digoxin und Carvedilol um etwa 15% erhöht. Daher wird eine erhöhte Überwachung von Digoxin empfohlen, wenn Coreg CR angepasst oder abgesetzt wird [siehe Klinische Pharmakologie ].
Induktoren/Inhibitoren des Leberstoffwechsels
Rifampin reduzierte die Plasmakonzentrationen von Carvedilol um etwa 70% [siehe Klinische Pharmakologie ]. Cimetidin increased area under the curve (AUC) by about 30% but caused no change in Cmax [see Klinische Pharmakologie ].
Amiodaron
Amiodaron and its metabolite desethyl amiodareins inhibitors of CYP2C9 and P-glycoprotein increased concentrations of the S(-) enantiomer of carvedilol by at least 2 fold [see Klinische Pharmakologie ]. The concomitant administration of amiodareins or other CYP2C9 inhibitors such as fluconazole with Coreg Cr may enhance the β-blocking properties of carvedilol resulting in further slowing of the heart rate or cardiac conduction. Patients should be observed for signs of bradycardia or heart block particularly when eins agent is added to pre-existing treatment with the other.
Kalziumkanalblocker
Leitungsstörung (selten mit hämodynamischer Kompromiss) wurde beobachtet, wenn Carvedilol mit Diltiazem koadministeriert wird. Wie bei anderen Wirkstoffen mit β-blockierenden Eigenschaften, wenn Coreg CR oral mit Calciumkanalblockern des Typs Verapamil oder Diltiazem verabreicht werden soll, wird empfohlen, EKG und Blutdruck zu überwachen.
Insulin- oder orale Hypoglykemie
Mittel mit β-blockierenden Eigenschaften können die blut-zuckerreduzierende Wirkung von Insulin- und oralen Hypoglykemien verbessern. Daher wird bei Patienten empfohlen Warnungen und VORSICHTSMASSNAHMEN ].
Protonenpumpenhemmer
Es gibt keine klinisch aussagekräftige Zunahme von AUC und Cmax mit einer gleichzeitigen Verabreichung von Carevedilol-Kapseln mit verlängerter Freisetzung mit Pantoprazol.
Anästhesie
Wenn die Behandlung mit Coreg CR perioperativ speziell vorsichtig sein soll, wenn Anästhesieger, die die Myokardfunktion wie Ether Cyclopropan und Trichlorethylen bedrängen, werden verwendet [siehe Überdosierung ].
Warnungen für Coreg CR
Eingeschlossen als Teil der VORSICHTSMASSNAHMEN Abschnitt.
Vorsichtsmaßnahmen für Coreg CR
In klinischen Studien mit Coreg CR bei Probanden mit Hypertonie (338 Probanden) und bei Probanden mit linksventrikulärer Dysfunktion nach einem Myokardinfarkt oder Herzinsuffizienz (187 Probanden) war das Profil unerwünschter Ereignisse, die mit Carvedilol-Phosphat beobachtet wurden, allgemein ähnlich wie die mit der Verabreichung von sofortigem Relasen Carvedilol beobachteten. Daher basieren die in diesem Abschnitt enthaltenen Informationen auf Daten aus kontrollierten klinischen Studien mit CORG CR sowie sofortiger Freisetzung Carvedilol.
Einstellung der Therapie
Patienten mit Koronararterienerkrankungen, die mit Coreg CR behandelt werden, sollten gegen eine abrupte Abnahme der Therapie geraten werden. Bei Angina-Patienten wurde nach dem abrupten Absetzen der Therapie mit β-Blockern über eine schwerwiegende Exazerbation von Angina und das Auftreten von Myokardinfarkt und ventrikulären Arrhythmien berichtet. Die letzten 2 Komplikationen können mit oder ohne vorangegangene Exazerbation der Angina Pectoris auftreten. Wie bei anderen β-Blockern beim Absetzen von Coreg CR sollten die Patienten sorgfältig beobachtet und empfohlen werden, die körperliche Aktivität auf ein Minimum zu begrenzen. Coreg CR sollte nach Möglichkeit über 1 bis 2 Wochen eingestellt werden. Wenn sich die Angina verschlechtert oder eine akute Koronarinsuffizienz entwickelt, wird empfohlen, dass Coreg CR zumindest vorübergehend wieder eingestellt wird. Da die Erkrankung der Koronararterien häufig ist und nicht erkannt werden kann, kann es auch bei Patienten, die nur wegen Bluthochdruck oder Herzinsuffizienz behandelt wurden, nicht abrupt mit Coreg Cr abrupt abrupt sein.
Bradykardie
In klinischen Studien mit sofortiger Freisetzung wurde Carvedilol-Bradykardie bei etwa 2% der hypertensiven Probanden 9% der Herzinsuffizienz und 6,5% der Myokardinfarktpersonen mit linksventrikulärer Dysfunktion gemeldet. Bradykardie wurde bei 0,5% der Probanden berichtet, die Coreg CR in einer Studie mit Herzinsuffizienz und Myokardinfarktpersonen mit linksventrikulären Dysfunktion erhielten. Es gab keine Berichte über Bradykardie in der klinischen Studie mit Coreg CR in Bluthochdruck. Wenn jedoch die Pulsfrequenz unter 55 Schlägen pro Minute sinkt, sollte die Dosierung von Coreg CR verringert werden.
Hypotonie
In klinischen Studien mit hauptsächlich leichter bis mittelschwerer Herzinsuffizienz mit sofortiger Freisetzung von Carvedilol-Hypotonie und Haltungshypotonie traten bei 9,7% und Synkope bei 3,4% der Probanden, die Carvedilol erhielten, im Vergleich zu 3,6% bzw. 2,5% der Placebo-Probanden auf. Das Risiko für diese Ereignisse war in den ersten 30 Tagen der Dosierung am höchsten, was der Upitrationsperiode entsprach, und war eine Ursache für die Absetzung der Therapie bei 0,7% der Carvedilol-Probanden im Vergleich zu 0,4% der Placebo-Probanden. In einer langfristigen placebokontrollierten Studie in schwerer Herzinsuffizienz (Copernicus) traten eine Hypotonie und eine haltende Hypotonie bei 15,1% und bei 2,9% der Probanden mit Herzinsuffizienz, die Carvedilol erhielten, im Vergleich zu 8,7% bzw. 2,3% der Placebo-Probanden. Diese Ereignisse waren eine Ursache für die Absetzung der Therapie bei 1,1% der Carvedilol -Probanden im Vergleich zu 0,8% der Placebo -Probanden.
In einem Versuch, in dem Probanden mit Herzinsuffizienz auf Coreg CR umgestellt wurden oder auf Carvedilol mit sofortiger Freisetzung gehalten wurden, stieg die kombinierte Inzidenz von Hypotonie-Synkope oder Schwindel bei älteren Probanden (älter als 65 Jahre) aus der höchsten Dosis von Carvedilol (25 mg zweimal täglich). Dosierung und Verwaltung Verwendung in bestimmten Populationen ].
In der klinischen Studie mit Coreg CR bei hypertensiven Probanden wurde Synkope bei 0,3% der Probanden berichtet, die Coreg CR erhielten, verglichen mit 0% der Probanden, die Placebo erhielten. In diesem Versuch gab es keine Berichte über Haltungshypotonie. Bei 1,8% und Synkope trat bei 0,1% der hypertensiven Probanden, die Carvedilol nach der anfänglichen Dosis oder zum Zeitpunkt der Dosiserhöhung erhielten, und war eine Ursache für die Absage der Therapie bei 1% der Probanden.
In der Steinbockstudie mit Überlebenden eines akuten Myokardinfarkts mit Hypotonie oder Hypotonie für linksventrikuläre Dysfunktionen trat bei 20,2% der Probanden, die Carvedilol erhielten, im Vergleich zu 12,6% der Placebo -Probanden auf. Synkope wurde in 3,9% bzw. 1,9% der Probanden angegeben. Diese Ereignisse waren eine Ursache für den Absetzen der Therapie bei 2,5% der Probanden, die Carvedilol erhielten, im Vergleich zu 0,2% der Placebo -Probanden.
Beginnend mit einer niedrigen Dosisverabreichung mit Nahrung und allmählicher Titrierung sollte die Wahrscheinlichkeit von Synkope oder übermäßiger Hypotonie verringern [siehe Dosierung und Verwaltung ].
Während der Einleitung einer Therapie sollte der Patient gewarnt werden, um Situationen wie Fahren oder gefährliche Aufgaben zu vermeiden, in denen eine Verletzung ergeben könnte, die eine Synkope ergeben sollte.
Herzinsuffizienz/Fluid Retention
Eine Verschlechterung der Herzinsuffizienz oder der Flüssigkeitsretention kann während der Titrierung von Carvedilol auftreten. Wenn solche Symptome auftreten Dosierung und Verwaltung ]. Occasionally it is necessary to lower the dose of Coreg Cr or temporarily discontinue it. Such episodes do not preclude subsequent successful titration of or a favorable response to Coreg Cr. In a placebo-controlled trial of subjects with severe heart failure worsening heart failure during the first 3 months was reported to a similar degree with immediate-release carvedilol and with placebo. When treatment was maintained beyond 3 months worsening heart failure was reported less frequently in subjects treated with carvedilol than with placebo. Worsening heart failure observed during long-term therapy is more likely to be related to the patients' underlying disease than to treatment with carvedilol.
Nichtallergischer Bronchospasmus
Patienten mit bronchospastischer Erkrankung (z. B. chronischer Bronchitis und Emphysem) sollten im Allgemeinen nicht β-Blocker erhalten. Coreg CR kann jedoch bei Patienten verwendet werden, die andere blutdrucksenkende Wirkstoffe nicht reagieren oder nicht tolerieren können. Es ist klug, ob Coreg CR zur Verwendung der kleinsten wirksamen Dosis verwendet wird, so dass die Hemmung endogener oder exogener β-Agonisten minimiert wird.
In klinischen Studien mit Probanden mit Herzinsuffizienz mit bronchospastischen Erkrankungen wurden eingeschrieben, wenn sie keine oralen oder inhalativen Medikamente benötigten, um ihre bronchospastische Erkrankung zu behandeln. Bei solchen Patienten wird empfohlen, Coreg CR mit Vorsicht zu verwenden. Die Dosierungsempfehlungen sollten genau befolgt werden und die Dosis sollte gesenkt werden, wenn während der Anlaufpunkt nachweisen, dass ein Bronchospasmus beobachtet wird.
Glykämische Kontrolle bei Typ -2 -Diabetes
Im Allgemeinen können β-Blocker einige der Manifestationen der Hypoglykämie, insbesondere Tachykardie, maskieren. Nichtselektive β-Blocker können die Insulin-induzierte Hypoglykämie potenzieren und die Wiederherstellung der Serumglukosespiegel verzögern. Patienten, die spontane Hypoglykämie oder diabetische Patienten unterliegen, die Insulin oder orale Hypoglykämika erhalten, sollten vor diesen Möglichkeiten gewarnt werden.
Bei Herzinsuffizienz können Patienten mit Diabetes Carvedilol -Therapie zu einer Verschlechterung einer Hyperglykämie führen, die auf die Intensivierung der hypoglykämischen Therapie reagiert. Es wird empfohlen, Blutzucker zu überwachen, wenn die Dosierung mit CORG CR eingestellt oder abgebrochen wird. Studien zur Untersuchung der Auswirkungen von Carvedilol auf die glykämische Kontrolle bei Patienten mit Diabetes und Herzinsuffizienz wurden nicht durchgeführt.
In einer Studie, die die Auswirkungen von Carvedilol mit sofortiger Freisetzung auf die glykämische Kontrolle in einer Population mit leichter bis mittelschwerer Hypertonie und gut kontrollierter Typ-2-Diabetes mellitus carvedilol untersuchte Klinische Studien ].
Periphere Gefäßerkrankung
β-Blocker können bei Patienten mit peripheren Gefäßerkrankungen die Symptome einer arteriellen Insuffizienz ausfallen oder verschlimmern. Bei solchen Personen ist Vorsicht geboten.
Verschlechterung der Nierenfunktion
Selten hat die Verwendung von Carvedilol bei Patienten mit Herzinsuffizienz zu einer Verschlechterung der Nierenfunktion geführt. Es scheinen Patienten mit niedrigem Blutdruck (systolischer Blutdruck von weniger als 100 mm Hg) ischämische Herzerkrankungen und diffuse Gefäßerkrankungen und/oder zugrunde liegende Niereninsuffizienz zu sein. Die Nierenfunktion ist zu Grundlinie zurückgekehrt, als Carvedilol gestoppt wurde. Bei Patienten mit diesen Risikofaktoren wird empfohlen, die Nierenfunktion während der Titrierung von Coreg CR zu überwachen, und das Arzneimittel wurde abgesetzt oder dosiert, wenn sich eine Verschlechterung der Nierenfunktion auftritt.
Hauptoperation
Eine chronisch verabreichte Beta-Blocking-Therapie sollte vor einer größeren Operation nicht routinemäßig zurückgezogen werden. Die beeinträchtigte Fähigkeit des Herzens, auf reflex adrenerge Stimuli zu reagieren, kann jedoch die Risiken einer Vollnarkose und chirurgischen Eingriffe erhöhen.
Thyrotoxikose
Die β-adrenerge Blockade kann klinische Anzeichen von Hyperthyreose wie Tachykardie maskieren. Auf einen abrupten Entzug von β-Blockade kann eine Verschlimmerung der Symptome der Hyperthyreose oder die Schilddrüsenstürme ausgehen.
Phäochromozytom
Bei Patienten mit Phäochromozytom sollte ein α-blockierendes Mittel vor der Verwendung eines β-Blockierungsmittels initiiert werden. Obwohl Carvedilol sowohl α- als auch β-blockierende pharmakologische Aktivitäten aufweist, hat es in diesem Zustand keine Erfahrung mit seiner Verwendung gemacht. Daher sollte bei der Verabreichung von Carvedilol an Patienten Vorsicht genommen werden, bei denen vermutet wurde, dass sie ein Phäochromozytom haben.
Prinzmetals Variante Angina
Wirkstoffe mit nicht selektiver β-blockierender Aktivität können bei Patienten mit Prinzmetal-Varianten-Angina Schmerzen in Brustschmerzen hervorrufen. Bei diesen Patienten gab es keine klinische Erfahrung mit Carvedilol, obwohl die α-blockierende Aktivität solche Symptome verhindern kann. Bei der Verabreichung von Coreg CR an Patienten, bei denen der Verdacht auf die Variante von Prinzmetaler vermutet wird, ist jedoch Vorsicht geboten.
Risiko einer anaphylaktischen Reaktion
Bei der Einnahme von β-Blockern-Patienten mit schwerer anaphylaktischer Reaktion auf eine Vielzahl von Allergenen kann es zu einer wiederholten Herausforderung diagnostisch oder therapeutisch reagierter sein. Solche Patienten reagieren möglicherweise nicht auf die üblichen Dosen von Adrenalin, die zur Behandlung allergischer Reaktion verwendet werden.
Intraoperatives Disketten -Iris -Syndrom
Intraoperatives Disketten -Iris -Syndrom (IFIS) has been observed during cataract surgery in some patients treated with alpha-1 blockers (Coreg Cr is an alpha/beta blocker). This variant of small pupil syndrome is characterized by the combination of a flaccid iris that billows in response to intraoperative irrigation currents progressive intraoperative miosis despite preoperative dilation with standard mydriatic drugs and potential prolapse of the iris toward the phacoemulsification incisions. The patient's ophthalmologist should be prepared for possible modifications to the surgical technique such as utilization of iris hooks iris dilator rings or viscoelastic substances. There does not appear to be a benefit of stopping alpha-1 blocker therapy prior to cataract surgery.
Patientenberatungsinformationen
Raten Sie dem Patienten, die von der FDA zugelassene Patientenkennzeichnung zu lesen ( Patienteninformationen ).
Patienten, die Coreg CR einnehmen, sollten Folgendes beraten:
- Patienten sollten nicht ohne Anmeldung eines Arztes unterbrochen oder eingestellt werden.
- Patienten mit Herzinsuffizienz sollten ihren Arzt konsultieren, wenn sie Anzeichen oder Symptome einer sich verschlechternden Herzinsuffizienz wie Gewichtszunahme oder zunehmender Atemnot haben.
- Patienten können einen Blutdruckabfall erleben, wenn es zu Schwindel und selten ohnmächtig wird. Patienten sollten sitzen oder sich hinlegen, wenn diese Symptome eines verringerten Blutdrucks auftreten.
- Wenn Sie Schwindel oder Ermüdung haben, sollten Patienten das Fahren oder gefährliche Aufgaben vermeiden.
- Patienten sollten einen Arzt konsultieren, wenn sie Schwindel oder Ohnmacht haben, falls die Dosierung angepasst werden sollte.
- Patienten sollten nicht Coreg -CR -Kapseln zerquetschen oder kauen.
- Patienten sollten Coreg CR mit Nahrung einnehmen.
- Diabetische Patienten sollten ihrem Arzt Veränderungen des Blutzuckerspiegels angeben.
- Kontaktlinsensträger können eine verminderte Trauerförderung erleben.
Nichtklinische Toxikologie
Karzinogenese -Mutagenese -Beeinträchtigung der Fruchtbarkeit
In 2-Jahres-Studien, die an Ratten durchgeführt wurden, verabreichten Sie Carvedilol in Dosen von bis zu 75 mg pro kg pro Tag (12-fach das MRHD im Vergleich zu mg pro m²) oder bei Mäusen, die bis zu 200 mg pro kg pro Tag (16-mal der MRHD auf mg per m²) Carvedilol-Basis vergeben wurden.
Carvedilol was negative when tested in a battery of genotoxicity assays including the Ames and the CHO/HGPRT assays for mutagenicity and the in vitro Hamster Mikronukleus und vergeblich menschliche Lymphozytenzelltests auf Klastogenität.
Bei Dosen größer oder gleich 200 mg pro kg pro Tag (größer oder gleich 32 -mal der MRHD als mg pro m²) war Carvedilol für erwachsene Ratten toxisch (Sedierung reduzierte Gewichtszunahme) und war mit einer verringerten Anzahl erfolgreicher Fällen verlängerte Paarungszeit in Verbindung mit einer längeren Paarungszeit und dem vollständigen Resorption von 18% der Litter. Der Dosisniveau ohne beobachtete Effekt für offene Toxizität und Beeinträchtigung der Fruchtbarkeit betrug 60 mg pro kg pro Tag (10-fache der MRHD als mg pro m²).
Verwendung in bestimmten Populationen
Schwangerschaft
Schwangerschaft Category C
Studien, die an schwangeren Ratten und Kaninchen mit Carvedilol durchgeführt wurden, zeigten einen erhöhten Verlust nach der Implantation bei Ratten bei Dosen von 300 mg pro kg pro Tag (50-mal die maximal empfohlene menschliche Dosis [MRHD] als Mg pro m²) und bei Kaninchen mit Mio.). Bei den Ratten gab es auch eine Abnahme des fetalen Körpergewichts bei der maternal toxischen Dosis von 300 mg pro kg pro Tag (50 -mal der MRHD als mg pro m²), der von einer Erhöhung der Frequenz von Feten mit verzögerter Skelettentwicklung (fehlende oder verkümmerte 13. Rib) begleitet wurde. Bei Ratten betrug das No-beobachtete Effektniveau für die Entwicklungstoxizität 60 mg pro kg pro Tag (10-fach das MRHD als mg pro m²); Bei Kaninchen betrug es 15 mg pro kg pro Tag (5 -mal der MRHD als mg pro m²). Es gibt keine angemessenen und gut kontrollierten Studien bei schwangeren Frauen. Coreg CR sollte während der Schwangerschaft nur angewendet werden, wenn der potenzielle Nutzen das potenzielle Risiko für den Fötus rechtfertigt.
Pflegemütter
Es ist nicht bekannt, ob dieses Medikament in Muttermilch ausgeschieden ist. Studien an Ratten haben gezeigt, dass Carvedilol und/oder seine Metaboliten (sowie andere β-Blocker) die Plazentasperre überschreiten und in Muttermilch ausgeschieden werden. 1 Woche nach dem Partum von Neugeborenen von Ratten, die mit 60 mg pro kg pro Tag (10 -fache der MRHD als mg pro m²) und während des letzten Trimesters bis zum 22. Tag der Laktation behandelt wurden, gab es eine erhöhte Mortalität. Da viele Medikamente in Muttermilch und aufgrund des Potenzials für schwerwiegende Nebenwirkungen bei Säuglingen von β-Blockern, insbesondere bei Bradykardie, übertragen werden sollten, sollte eine Entscheidung getroffen werden, ob die Pflege eingestellt oder die Droge unter Berücksichtigung der Bedeutung des Arzneimittels für die Mutter eingestellt werden soll. Die Auswirkungen anderer α- und β-Blockierungsmittel umfassten perinatale und neonatale Belastungen.
Pädiatrische Verwendung
Die Wirksamkeit von Carvedilol bei Patienten unter 18 Jahren wurde nicht festgestellt.
In a double-blind trial 161 children (mean age: 6 years; range: 2 months to 17 years; 45% younger than 2 years) with chronic heart failure [NYHA class II-IV left ventricular ejection fraction less than 40% for children with a systemic left ventricle (LV) and moderate-severe ventricular dysfunction qualitatively by echo for those with a systemic ventricle that was not an LV] who were receiving standard background treatment were randomized to placebo or to 2 dose levels of carvedilol. These dose levels produced placebo-corrected heart rate reduction of 4 to 6 heart beats per minute indicative of β-blockade activity. Exposure appeared to be lower in pediatric subjects than adults. After 8 months of follow-up there was no significant effect of treatment on clinical outcomes. Adverse reactions in this trial that occurred in greater than 10% of subjects treated with immediate-release carvedilol and at twice the rate of placebo-treated subjects included chest pain (17% versus 6%) dizziness (13% versus 2%) and dyspnea (11% versus 0%).
Geriatrische Verwendung
Die anfänglichen klinischen Studien mit Coreg CR bei Probanden mit Hypertonie -Herzinsuffizienz und linksventrikulärer Dysfunktion nach Myokardinfarkt umfassten nicht eine ausreichende Anzahl von Probanden ab 65 Jahren oder älter, um festzustellen, ob sie unterschiedlich von jüngeren Patienten reagieren.
Eine randomisierte Studie (N = 405), in der Probanden mit mild mit schwerer Herzinsuffizienz vergleicht wurden, wechselte auf Coreg CR oder gehalten bei Carvedilol mit sofortiger Freisetzung 220 Probanden, die ab 65 Jahren oder älter waren. In dieser älteren Untergruppe betrug die kombinierte Inzidenz von Schwindelhypotonie oder Synkope 24% (18/75) bei Probanden von der höchsten Dosis von Carvedilol mit sofortiger Freisetzung (25 mg zweimal täglich) auf die höchste Dosis von CEREG-CR (80 mg) im Vergleich zu 11% (4/36). Beim Umschalten von den höheren Dosen von Carvedilol mit sofortiger Freisetzung zu Coreg CR wird für ältere Patienten eine niedrigere Startdosis empfohlen [siehe Dosierung und Verwaltung ].
Die folgenden Informationen sind für Versuche mit Carvedilol mit sofortiger Freisetzung verfügbar. Von den 765 Probanden mit Herzinsuffizienz waren in den US -klinischen Studien, die 31% (235) nach Carvedilol randomisiert wurden, ab 65 Jahren oder älter und 7,3% (56) im Alter von 75 Jahren oder älter. Von den 1156 Probanden, die in einer langfristigen, placebokontrollierten Studie in schwerer Herzinsuffizienz in schweren Herzinsuffizienz randomisiert wurden, waren 47% (547) ab 65 Jahren und 15% (174) im Alter von 75 Jahren oder älter. Von 3025 Probanden, die Carvedilol in Herzinsuffizienzversuche weltweit erhielten, waren 42% ab 65 Jahren oder älter. Von den 975 Probanden mit Myokardinfarkt, die in der Capricorn -Studie nach Carvedilol randomisiert wurden, waren 48% (468) im Alter von 65 Jahren oder älter und 11% (111) im Alter von 75 Jahren oder älter. Von den 2065 hypertensiven Probanden in US -amerikanischen klinischen Studien zur Wirksamkeit oder Sicherheit, die mit Carvedilol behandelt wurden, waren 21% (436) ab 65 Jahren oder älter. Von 3722 Probanden, die in Hypertonie-klinischen Studien, die weltweit durchgeführt wurden, sofort ab 65 Jahren mit einer sofortigen Freisetzung von Carvedilol erhielten.
Mit Ausnahme von Schwindel bei hypertensiven Probanden (Inzidenz 8,8% bei älteren Menschen gegenüber 6% bei jüngeren Probanden) wurden zwischen den älteren und jüngeren Probanden in jeder dieser Populationen keine Gesamtunterschiede in der Sicherheit oder Wirksamkeit (siehe Abbildungen 2 und 4) beobachtet. In ähnlicher Weise haben andere berichtete klinische Erfahrung keine Unterschiede in den Antworten zwischen älteren und jüngeren Probanden ermittelt, aber eine größere Empfindlichkeit einiger älterer Personen kann nicht ausgeschlossen werden.
Überdosierungsinformationen für Coreg Cr
Überdosierung kann zu schweren Hypotonie -Bradykardie -Herzinsuffizienz kardiogenen Schock und Herzstillstand führen. Atemprobleme, die Bronchospasmen erbrechen, können auch Bewusstseinsfälle und generalisierte Anfälle ergeben.
Der Patient sollte in Rückenlage gelegt werden und unter Beobachtung unter Beobachtung gehalten und unter Intensivstation behandelt werden. Die folgenden Agenten können verabreicht werden:
Für übermäßige Bradykardie: Atropin 2 mg iv.
Unterstützung der kardiovaskulären Funktion: Glucagon 5 bis 10 mg IV schnell über 30 Sekunden, gefolgt von einer kontinuierlichen Infusion von 5 mg pro Stunde; Sympathomimetika (Dobutamin -Isoprenalin -Adrenalin) bei Dosen nach Körpergewicht und Wirkung.
Wenn die periphere Vasodilatation dominiert, kann es erforderlich sein, Adrenalin oder Noradrenalin mit kontinuierlicher Überwachung der Kreislaufbedingungen zu verabreichen. Für eine therapieresistente Bradykardie-Schrittmacher-Therapie sollte durchgeführt werden. Für Bronchospasmus sollte β-Sympathomimetika (als Aerosol oder IV) oder Aminophyllin IV verabreicht werden. Bei Anfällen wird eine langsame IV -Injektion von Diazepam oder Clonazepam empfohlen.
NOTIZ: Im Falle einer schweren Vergiftung müssen Symptome einer Schockbehandlung mit Gegenmitteln über einen ausreichend langen Zeitraum fortgesetzt werden, der mit der 7- bis 10-stündigen Halbwertszeit von Carvedilol übereinstimmt.
Es gibt keine Erfahrung mit Überdosierung mit Coreg CR. Es wurden Fälle von Überdosierung mit Carvedilol allein oder in Kombination mit anderen Medikamenten berichtet. Die in einigen Fällen aufgenommenen Mengen überstieg 1000 Milligramm. Zu den auftretenden Symptomen gehörten niedriger Blutdruck und Herzfrequenz. Die standardmäßige unterstützende Behandlung wurde zur Verfügung gestellt und Einzelpersonen erholt.
Kontraindikationen für Coreg CR
Coreg Cr is contraindicated in the following conditions:
- Bronchiale Asthma oder verwandte bronchospastische Bedingungen. Todesfälle durch den Status Asthmaticus wurden nach einzelnen Dosen von Carvedilol mit sofortiger Freisetzung berichtet.
- AV-Block zweiten oder dritten Grades.
- Krankes Sinus -Syndrom.
- Schwere Bradykardie (es sei denn, ein ständiger Schrittmacher ist vorhanden).
- Patienten mit kardiogenem Schock oder die eine dekompensierte Herzinsuffizienz haben, die die Verwendung einer intravenösen inotropen Therapie benötigen. Solche Patienten sollten zunächst aus der intravenösen Therapie entwöhnt werden, bevor Coreg CR eingeleitet wird.
- Patienten mit schwerer Leberbeeinträchtigung.
- Patienten mit einer schwerwiegenden Überempfindlichkeitsreaktion (z. B. Stevens-Johnson-Syndrom anaphylaktischem Angioödem) auf Carvedilol oder eine der Komponenten von Coreg CR.
Klinische Pharmakologie for Coreg CR
Wirkungsmechanismus
Carvedilol is a racemic mixture in which nonselective β-adrenoreceptor blocking activity is present in the S(-) enantiomer and α1-adrenergic blocking activity is present in both R(+) and S(-) enantiomers at equal potency. Carvedilol has no intrinsic sympathomimetic activity.
Pharmakodynamik
Herzinsuffizienz and Linksventrikuläre Dysfunktion nach Myokardinfarkt
Die Grundlage für die vorteilhaften Wirkungen von Carvedilol bei Patienten mit Herzinsuffizienz und bei Patienten mit linksventrikulärer Dysfunktion nach einem akuten Myokardinfarkt ist nicht bekannt. Die Konzentrationsreaktionsbeziehung für β1-Blockade nach Verabreichung von CORG CR ist äquivalent (± 20%) zu Carvedilol-Tabletten mit sofortiger Freisetzung.
Hypertonie
Der Mechanismus, durch den β-Blockade eine blutdrucksenkende Wirkung erzeugt, wurde nicht festgestellt.
In tierischen und menschlichen Studien wurde gezeigt, dass β-Adrenorezeptor-Blockierungsaktivitäten zeigen, dass Carvedilol (1) bei normalen Probanden das Herzzeitvolumen reduziert; (2) reduziert das Training- und/oder Isoproterenol-induzierte Tachykardie; und (3) reduziert die orthostatische Tachykardie von Reflex. Innerhalb von 1 Stunde der Arzneimittelverabreichung wird ein signifikanter β-Adrenorezeptor-Blockierungseffekt beobachtet.
Die α1-Adrenorezeptor-Blockierungsaktivität wurde in menschlichen und tierischen Studien nachgewiesen, die zeigen, dass Carvedilol (1) die Presseffekte von Phenylephrin abschwächt; (2) verursacht Vasodilatation; und (3) reduziert die periphere Gefäßresistenz. Diese Effekte tragen zur Verringerung des Blutdrucks bei und werden normalerweise innerhalb von 30 Minuten nach der Verabreichung von Arzneimitteln beobachtet.
Aufgrund der α1-Rezeptor-Blockierungsaktivität des Carvedilol-Blutdrucks wird im Stehen stärker gesenkt als in der Rückenlage, und die Symptome der Haltungshypotonie (NULL,8%), einschließlich seltener Synkop-Fälle, kann auftreten. Nach oraler Verabreichung, wenn eine Hypotonie auf der Haltung aufgetreten ist, war sie vorübergehend und ist ungewöhnlich, wenn die sofortige Freisetzung Carvedilol mit Lebensmitteln bei der empfohlenen Startdosis verabreicht wird und die Titrationsinkremente eng befolgt werden [siehe Dosierung und Verwaltung ].
In einer randomisierten doppelblinden, placebokontrollierten Studie wurde gezeigt, dass β1-Blocking-Effekt von Coreg CR, die mit Herzfrequenz-Reaktion auf submaximale Fahrrad-Ergometrie gemessen wurde, der mit der sofortigen Freisetzung von Carvedilol beobachteten Carvedilol bei erwachsenen Probanden mit wesentlicher Hypertension entspricht.
Bei hypertensiven Probanden mit normalen therapeutischen Nierenfunktionsdosen von Carvedilol verringerte sich die Nierengefäßresistenz ohne Änderung der glomerulären Filtrationsrate oder des Nierenplasmasflusss. Änderungen der Ausscheidung von Natriumkalium -Harnsäure und Phosphor bei hypertensiven Patienten mit normaler Nierenfunktion waren nach Carvedilol und Placebo ähnlich.
Carvedilol has little effect on plasma catecholamines plasma aldostereins or electrolyte levels but it does significantly reduce plasma renin activity when given for at least 4 weeks. It also increases levels of atrial natriuretic peptide.
Pharmakokinetik
Absorption
Carvedilol is rapidly and extensively absorbed following oral administration of immediate-release carvedilol tablets with an absolute bioavailability of approximately 25% to 35% due to a significant degree of first-pass metabolism. Coreg Cr extended-release capsules have approximately 85% of the bioavailability of immediate-release carvedilol tablets. For corresponding dosages [see Dosierung und Verwaltung ] Die Exposition (AUC-Cmax-Trog-Konzentration) von Carvedilol als Coreg CR Extended-Freisetzungskapseln entspricht denen von Carvedilol-Tabletten mit sofortiger Freisetzung, wenn beide mit Lebensmitteln verabreicht werden. Die Absorption von Carvedilol von Coreg CR ist langsamer und länger im Vergleich zu der Carvedilol-Tablette mit sofortiger Freisetzung mit Spitzenkonzentrationen, die ungefähr 5 Stunden nach der Verabreichung erreicht werden. Plasmakonzentrationen von Carvedilol erhöhen dosis-proportionale Weise über den Dosierungsbereich von Coreg CR 10 bis 80 mg. Die Variabilität innerhalb des Subjekts und zwischen den Subjekten für AUC und CMAX ist für Coreg CR und die sofortige Freisetzung von Carvedilol ähnlich.
Wirkung von Nahrung : Die Verabreichung von CORG CR mit einem fettreichen Mahlzeit führte zu Anstieg (~ 20%) bei AUC und Cmax im Vergleich zu Coreg CR, das mit einer Standardmahlzeit verabreicht wurde. Eine Abnahme von AUC (27%) und Cmax (43%) wurden beobachtet, wenn Coreg CR im Vergleich zur Verabreichung nach einer Standardmahlzeit im nüchternen Zustand verabreicht wurde. Coreg CR sollte mit Nahrung eingenommen werden.
In einer Studie mit erwachsenen Probanden, die den Inhalt der Coreg -CR -Kapsel auf Apfelmus besprühten, schien dies im Vergleich zur Verabreichung der intakten Kapsel nach einer Standardmahlzeit jedoch keinen signifikanten Einfluss auf die Gesamtbelichtung (AUC) zu haben, führten jedoch zu einer Verringerung der CMAX (18%).
Verteilung
Carvedilol is more than 98% bound to plasma proteins primarily with albumin. The plasma-protein binding is independent of concentration over the therapeutic range. Carvedilol is a basic lipophilic compound with a steady-state volume of distribution of approximately 115 L indicating substantial distribution into extravascular tissues.
Stoffwechsel und Ausscheidung
Carvedilol is extensively metabolized. Following oral administration of radiolabelled carvedilol to healthy volunteers carvedilol accounted for only about 7% of the total radioactivity in plasma as measured by AUC. Less than 2% of the dose was excreted unchanged in the urine. Carvedilol is metabolized primarily by aromatic ring oxidation and glucuronidation. The oxidative metabolites are further metabolized by conjugation via glucuronidation and sulfation. The metabolites of carvedilol are excreted primarily via the sogar in die Kot. Demethylierung und Hydroxylierung am Phenolring produzieren 3 aktive Metaboliten mit β-Rezeptor-Blockierungsaktivität. Basierend auf präklinischen Studien ist der 4'-Hydroxyphenylmetaboliten ungefähr 13-mal wirksamer als Carvedilol für β-Blockade.
Im Vergleich zu Carvedilol weisen die 3 aktiven Metaboliten eine schwache vasodilatierende Aktivität auf. Die Plasmakonzentrationen der aktiven Metaboliten sind etwa ein Zehntel derjenigen, die für Carvedilol beobachtet wurden, und weisen eine Pharmakokinetik auf, die dem Elternteil ähnelt.
Carvedilol undergoes stereoselective first-pass metabolism with plasma levels of R(+)-carvedilol approximately 2 to 3 times higher than S(-)-carvedilol following oral administration of Coreg Cr in healthy subjects. Apparent clearance is 90 L per h and 213 L per h for R(+)- and S(-)-carvedilol respectively.
Die primären P450-Enzyme, die für den Metabolismus von R () und S (-)-Carvedilol in menschlichen Lebermikrosomen verantwortlich sind, waren CYP2D6 und CYP2C9 und in geringerem Maße CYP3A4 2C19 1A2 und 2E1. CYP2D6 wird als das Hauptenzym in der 4'- und 5'-Hydroxylierung von Carvedilol mit einem potenziellen Beitrag von 3A4 angenommen. CYP2C9 wird im O-Methylierungsweg von S (-)-Carvedilol als primärer Bedeutung angesehen.
Carvedilol is subject to the effects of genetic polymorphism with poor metabolizers of debrisoquin (a marker for cytochrome P450 2D6) exhibiting 2- to 3-fold higher plasma concentrations of R(+)-carvedilol compared with extensive metabolizers. In contrast plasma levels of S(-)-carvedilol are increased only about 20% to 25% in poor metabolizers indicating this enantiomer is metabolized to a lesser extent by cytochrome P450 2D6 than R(+)-carvedilol. The pharmacokinetics of carvedilol do not appear to be different in poor metabolizers of S-mephenytoin (patients deficient in cytochrome P450 2C19).
Spezifische Populationen
Herzinsuffizienz
Following administration of immediate-release carvedilol tablets steady-state plasma concentrations of carvedilol and its enantiomers increased proportionally over the dose range in subjects with heart failure. Compared with healthy subjects subjects with heart failure had increased mean AUC and Cmax values for carvedilol and its enantiomers with up to 50% to 100% higher values observed in 6 subjects with NYHA class IV heart failure. The mean apparent terminal elimination half-life for carvedilol was similar to that observed in healthy subjects.
Für die entsprechenden Dosis [siehe Dosierung und Verwaltung ] Die stationäre Pharmakokinetik von Carvedilol (AUC-Cmax-Trog-Konzentrationen), die nach Verabreichung von Coreg CR an Probanden mit chronischer Herzinsuffizienz (leicht mittelschwer und schwer) beobachtet wurden, waren ähnlich wie bei der Verabreichung von Carvedilol-Tabletten mit sofortiger Freisetzung.
Hypertonie
Für die entsprechenden Dosis [siehe Dosierung und Verwaltung ] Die mit Verabreichung von Coreg CR beobachtete Pharmakokinetik (AUC CMAX und Trogkonzentrationen) waren äquivalent (± 20%) zu denen, die mit Carvedilol-Tabletten mit sofortiger Freisetzung nach Wiederholungsdosierung bei Probanden mit wesentlicher Hypertonie beobachtet wurden.
Geriatrisch
Die Plasmaspiegel von Carvedilol sind bei älteren Menschen im Vergleich zu jungen Probanden nach Verabreichung von Carvedilol mit sofortiger Freisetzung um etwa 50% höher.
Hepatische Beeinträchtigung
Es wurden keine Versuche mit Coreg CR bei Probanden mit hepatischer Beeinträchtigung durchgeführt. Im Vergleich zu gesunden Probanden weisen Probanden mit schwerer Leberbeeinträchtigung (Zirrhose) einen 4- bis 7-fachen Anstieg des Carvedilol-Spiegels auf. Carvedilol ist bei Patienten mit schwerer Leberbeeinträchtigung kontraindiziert.
Nierenbehinderung
Es wurden keine Versuche mit Coreg CR bei Probanden mit Nierenbeeinträchtigung durchgeführt. Obwohl Carvedilol hauptsächlich durch die Leberplasmakonzentrationen von Carvedilol metabolisiert wird, wurde bei Patienten mit Nierenbeeinträchtigung nach der Dosierung mit Carvedilol mit einer sofortigen Freisetzung erhöht. Basierend auf den mittleren AUC -Daten wurden bei hypertensiven Probanden mit mittelschwerer bis schwerer Nierenbeeinträchtigung im Vergleich zu einer Kontrollgruppe hypertensive Probanden mit normaler Nierenfunktion um etwa 40% bis 50% höhere Plasmakonzentrationen von Carvedilol beobachtet. Die Bereiche der AUC -Werte waren jedoch für beide Gruppen ähnlich. Die Änderungen der mittleren Spitzenplasmaspiegel waren bei Probanden mit beeinträchtigter Nierenfunktion bei Probanden mit gestörter Nierenfunktion weniger ausgeprägt.
In Übereinstimmung mit dem hohen Grad an Plasmaproteinbindung Carvedilol scheint durch Hämodialyse nicht signifikant geräumt zu werden.
Wechselwirkungen mit Drogenmedikamenten
Da Carvedilol einen wesentlichen oxidativen Metabolismus unterliegt, können der Metabolismus und die Pharmakokinetik von Carvedilol durch Induktion oder Hemmung von Cytochrom -P450 -Enzymen beeinflusst werden.
Die folgenden Studien mit Arzneimittelinteraktion wurden mit Carvedilol-Tabletten mit sofortiger Freisetzung durchgeführt.
Amiodaron
In einer pharmakokinetischen Studie, die bei 106 japanischen Probanden mit Herzinsuffizienz durchgeführt wurde, führte zu einer kleinen Verabreichung kleiner Beladungs- und Wartungsdosen von Amiodaron mit Carvedilol zu mindestens eine zweifache Zunahme der konstantenstaatlichen Trogkonzentrationen von S (-)-Carvedilol [siehe Wechselwirkungen mit Arzneimitteln ].
Cimetidin
In einer pharmakokinetischen Studie, die bei 10 gesunden männlichen Probanden durchgeführt wurde, erhöhte Cimetidin (1000 mg pro Tag) das stationäre AUC von Carvedilol um 30% ohne Änderung der Cmax [siehe Wechselwirkungen mit Arzneimitteln ].
Digoxin
Nach gleichzeitiger Verabreichung von Carvedilol (25 mg einmal täglich) und Digoxin (NULL,25 mg einmal täglich) waren 14 Tage stationäre AUC- und Trogkonzentrationen von Digoxin bei 12 hypertensiven Probanden um 14% bzw. 16% erhöht [siehe [siehe Wechselwirkungen mit Arzneimitteln ].
Glyburide
Bei 12 gesunden Probanden kombinierte die kombinierte Verabreichung von Carvedilol (25 mg einmal täglich) und eine einzige Glyburiddosis nicht zu einer klinisch relevanten pharmakokinetischen Wechselwirkung für jede Verbindung.
Hydrochlorothiazid
Eine einzelne orale Dosis von Carvedilol 25 mg veränderte die Pharmakokinetik einer einzelnen oralen Dosis von Hydrochlorothiazid 25 mg bei 12 Probanden mit Bluthochdruck nicht. Ebenso hatte Hydrochlorothiazid keinen Einfluss auf die Pharmakokinetik von Carvedilol.
Rifampin
In einer pharmakokinetischen Studie, die bei 8 gesunden männlichen Probanden Rifampin (600 mg täglich für 12 Tage) durchgeführt wurde, verringerte die AUC und Cmax von Carvedilol um etwa 70% [siehe Wechselwirkungen mit Arzneimitteln ].
Torsemid
In einer Studie mit 12 gesunden Probanden kombinierte eine orale Verabreichung von Carvedilol 25 mg einmal täglich und Torsemid 5 mg einmal täglich 5 Tage lang keine signifikanten Unterschiede in ihrer Pharmakokinetik im Vergleich zur Verabreichung der Arzneimittel allein.
Warfarin
Carvedilol (12.5 mg twice daily) did not have an effect on the steady-state prothrombin time ratios and did not alter the pharmacokinetics of R(+)- and S(-)-warfarin following concomitant administration with warfarin in 9 healthy volunteers.
Klinische Studien
Unterstützung für die Verwendung von CORG CR-Kapseln erweiterte Freisetzung zur Behandlung von Herz- bis schwerer Herzinsuffizienz und für Patienten mit linksventrikulärer Dysfunktion nach Myokardinfarkt basiert auf der Äquivalenz von pharmakokinetischen und pharmakodynamischen (β1-Blockade) -Parametern zwischen Corg-CR- und unmittelbarem Überschreiten von Carvedilol [siehe Carvedilol [fand. Klinische Pharmakologie ].
Die klinischen Studien mit Carvedilol mit sofortiger Freisetzung bei Herzinsuffizienz und linksventrikulären Dysfunktionen nach dem Myokardinfarkt sind nachstehend dargestellt.
Herzinsuffizienz
Insgesamt 6975 Probanden mit mild bis schwerer Herzinsuffizienz wurden in placebokontrollierten und aktiv kontrollierten Versuchen mit Carvedilol mit sofortiger Freisetzung bewertet.
Leichte bis mittelschwere Herzinsuffizienz
Carvedilol was studied in 5 multicenter placebo-controlled trials and in 1 active-controlled trial (COMET trial) involving subjects with mild-to-moderate heart failure.
Four US multicenter double-blind placebo-controlled trials enrolled 1094 subjects (696 randomized to carvedilol) with NYHA class II-III heart failure and ejection fraction less than or equal to 0.35. The vast majority were on digitalis diuretics and an ACE inhibitor at trial entry. Subjects were assigned to the trials based upon exercise ability. An Australia-New Zealand double-blind placebo-controlled trial enrolled 415 subjects (half randomized to immediate-release carvedilol) with less severe heart failure. All protocols excluded subjects expected to undergo cardiac transplantation during the 7.5 to 15 months of double-blind follow-up. All randomized subjects had tolerated a 2-week course on immediate-release carvedilol 6.25 mg twice daily.
In jedem Versuch gab es einen primären Endpunkt, entweder eine Herzinsuffizienz (1 US-Versuch) oder Übungstoleranz (2 US-Versuche, die die Einschreibungsziele und den Australien-New Zealand-Prozess treffen). In diesen Studien wurden viele sekundäre Endpunkte angegeben, darunter die globalen Bewertungen von Patienten und Arztpatienten in NYHA und kardiovaskulärer Krankenhausaufenthalt. Andere nicht geplante Analysen waren die Summe der Todesfälle und die gesamten kardiovaskulären Krankenhausaufenthalte. In Situationen, in denen die primären Endpunkte einer Studie keinen signifikanten Nutzen der Behandlungszuweisung von Signifikanzwerten für die anderen Ergebnisse zeigen, ist komplex und solche Werte müssen vorsichtig interpretiert werden.
Die Ergebnisse der US- und Australien-New Zealand-Versuche waren wie folgt:
Verlangsamung des Fortschreitens der Herzinsuffizienz : Eine US -amerikanische multizentrische Studie (366 Probanden) hatte als primärer Endpunkt die Summe der kardiovaskulären Mortalität kardiovaskulären Krankenhausaufenthalts und eine anhaltende Zunahme von Herzinsuffizienzmedikamenten. Das Fortschreiten des Herzinsuffizienzes wurde während einer durchschnittlichen Nachbeobachtung von 7 Monaten um 48% verringert (P = 0,008).
Im Australien-New Zealand Trial Death und die Gesamtkrankenhausaufenthalte wurden über 18 bis 24 Monate um etwa 25% reduziert. In den drei größten US -Prüfungen wurden in den letzten 2 Studien der Tod und die Gesamtkrankenhausaufenthalts -Krankenhausaufenthalte um 19% 39% und 49% statistisch signifikant reduziert. Die Ergebnisse von Australien-New Zealand waren statistisch grenzüberschreitend.
Funktionsmaßnahmen : None of the multicenter trials had NYHA classification as a primary end point but all such trials had it as a secondary end point. There was at least a trend toward improvement in NYHA class in all trials. Exercise tolerance was the primary end point in 3 trials; in none was a statistically significant effect found.
Subjektive Maßnahmen : Die gesundheitsbezogene Lebensqualität gemessen mit einem Standardfragebogen (ein primärer Endpunkt in 1 Versuch) wurde von Carvedilol nicht betroffen. Die globalen Bewertungen der Patienten und Forscher zeigten jedoch in den meisten Studien eine signifikante Verbesserung.
Mortalität : Der Tod war in keiner Studie ein vorgegebener Endpunkt, sondern wurde in allen Versuchen analysiert. Insgesamt in diesen 4 US -Versuchen wurde die Mortalität nominell signifikant reduziert, in 2 Versuchen.
Der Komet Versuch
In this double-blind trial 3029 subjects with NYHA class II-IV heart failure (left ventricular ejection fraction less than or equal to 35%) were randomized to receive either carvedilol (target dose: 25 mg twice daily) or immediate-release metoprolol tartrate (target dose: 50 mg twice daily). The mean age of the subjects was approximately 62 years 80% were males and the mean left ventricular ejection fraction at baseline was 26%. Approximately 96% of the subjects had NYHA class II or III heart failure. Concomitant treatment included diuretics (99%) ACE inhibitors (91%) digitalis (59%) aldosterone antagonists (11%) and statin lipid-lowering agents (21%). The mean duration of follow-up was 4.8 years. The mean dose of carvedilol was 42 mg per day.
Die Studie hatte zwei primäre Endpunkte: die Gesamtmortalität und die Verbundheit des Todes und Krankenhausaufenthalts aus irgendeinem Grund. Die Ergebnisse des Kometen sind in Tabelle 5 unten dargestellt. Die Gesamtmortalität hatte den größten Teil des statistischen Gewichts und war die Hauptdeterminante der Versuchsgröße. Die Gesamtmortalität betrug 34% bei den mit Carvedilol behandelten Probanden und betrug 40% in der Metoprolol-Gruppe mit sofortiger Freisetzung (P = 0,0017; Hazard Ratio = 0,83 95% CI: 0,74 bis 0,93). Die Auswirkung auf die Sterblichkeit war in erster Linie auf eine Verringerung des kardiovaskulären Todes zurückzuführen. Der Unterschied zwischen den beiden Gruppen in Bezug auf den zusammengesetzten Endpunkt war nicht signifikant (p = 0,122). Das geschätzte mittlere Überleben betrug 8,0 Jahre mit Carvedilol und 6,6 Jahren mit Metopolol mit sofortiger Freisetzung.
Tabelle 5: Ergebnisse des Kometen
| Endpunkt | Carvedilol N = 1511 | Metoprolol N = 1518 | Gefahrenverhältnis | (95% dort) |
| Gesamtmortalität | 34% | 40% | 0.83 | 0,74 - 0,93 |
| Mortalität + all hospitalization | 74% | 76% | 0.94 | 0,86 - 1,02 |
| Herz -Kreislauf death | 30% | 35% | 0.80 | 0,70 - 0,90 |
| 14% | 17% | 0.81 | 0,68 - 0,97 | |
| 11% | 13% | 0.83 | 0,67 - 1,02 | |
| 0,9% | 2,5% | 0.33 | 0,18 - 0,62 |
Es ist nicht bekannt, ob diese Formulierung von Metoprolol in einer Dosis oder dieser geringen Dosis Metoprolol in irgendeiner Formulierung einen Einfluss auf das Überleben oder Krankenhausaufenthalt bei Patienten mit Herzinsuffizienz hat. Daher erweitert dieser Studie die Zeit, in der Carvedilol Vorteile für das Überleben der Herzinsuffizienz zeigt, aber es ist kein Beweis dafür, dass Carvedilol das Ergebnis bei der Formulierung von Metoprolol (Toprol-XL®) mit Vorteilen bei Herzinsuffizienz verbessert.
Schwere Herzinsuffizienz (Copernicus)
In einer Doppelblindstudie 2289 Probanden mit Herzinsuffizienz in Ruhe oder mit minimaler Anstrengung und linksventrikulärer Ejektionsfraktion weniger als 25%(mittlere 20%) wurden trotz digitalis (66%) Diuretika (99%) und ACE-Inhibitoren (89%) auf Placebo oder Carvedilol randomisiert. Carvedilol wurde von einer Startdosis von 3,125 mg zweimal täglich bis zur maximal tolerierten Dosis oder bis zu 25 mg zweimal täglich über mindestens 6 Wochen titriert. Die meisten Probanden erreichten die Zieldosis von 25 mg. Der Prozess wurde in Ost- und Westeuropa im US -amerikanischen Israel und Kanada durchgeführt. Eine ähnliche Anzahl von Probanden pro Gruppe (ca. 100) zog während der Titrationsperiode zurück.
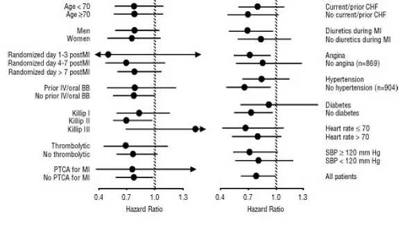
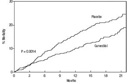
Der primäre Endpunkt der Studie war die Gesamtmortalität, aber die Ursache-spezifische Mortalität und das Risiko eines Todes oder des Krankenhausaufenthaltes (insgesamt kardiovaskuläre [CV] oder Herzinsuffizienz [HF]) ebenfalls untersucht. Auf die Entwicklungsversuchsdaten folgten ein Datenüberwachungsausschuss und die Mortalitätsanalysen wurden für diese mehrfachen Aussehen angepasst. Die Studie wurde nach einer durchschnittlichen Nachuntersuchung von 10 Monaten wegen einer beobachteten Verringerung der Mortalität um 35% gestoppt (von 19,7% pro Patientenjahr im Placebo auf 12,8% im Gefahrenverhältnis von Carvedilol 0,65 95% CI: 0,52 bis 0,81 p = 0,0014 angepasst) (siehe Abbildung 1). Die Ergebnisse von Copernicus sind in Tabelle 6 gezeigt.
Tabelle 6: Ergebnisse der Copernicus -Studie bei Probanden mit schwerer Herzinsuffizienz
| Endpunkt | Placebo (N = 1133) | Carvedilol (N = 1156) | Gefahrenverhältnis (95% dort) | % Reduktion | Nenner P -Wert |
| Mortalität | 190 | 130 | 0.65 (NULL,52 - 0,81) | 35 | 0.00013 |
| Mortalität + all hospitalization | 507 | 425 | 0.76 (NULL,67 - 0,87) | 24 | 0.00004 |
| Mortalität + CV hospitalization | 395 | 314 | 0.73 (NULL,63 - 0,84) | 27 | 0.00002 |
| Mortalität + HF hospitalization | 357 | 271 | 0.69 (NULL,59 - 0,81) | 31 | 0.000004 |
| Herz -Kreislauf = CV; Heart failure = HF. |
Abbildung 1: Überlebensanalyse für Copernicus (Intent-to-Treat)
|
Die Auswirkung auf die Sterblichkeit war hauptsächlich auf eine Verringerung der plötzlichen Todesrate bei Probanden zurückzuführen, ohne die Herzinsuffizienz zu verschlechtern.
Die globalen Bewertungen der Patienten, bei denen mit Carvedilol behandelte Probanden mit Placebo verglichen wurden, basierten auf vorgegebenen periodischen Selbsteinschätzungen des Patienten, ob der klinische Status nach der Behandlung eine Verbesserung oder keine Veränderung im Vergleich zu Ausgangswert zeigte. Mit Carvedilol behandelte Probanden zeigten signifikante Verbesserungen der globalen Bewertungen im Vergleich zu denjenigen, die mit Placebo in Copernicus behandelt wurden.
Das Protokoll spezifizierte auch, dass Krankenhausaufenthalte bewertet würden. Weniger Probanden für Carvedilol mit sofortiger Freisetzung als auf Placebo wurden aus irgendeinem Grund (372 gegenüber 432 p = 0,0029) aus kardiovaskulären Gründen (246 gegenüber 314 p = 0,0003) oder zur Verschlechterung einer Herzversagen (198 gegenüber 268 p = 0,0001) ins Krankenhaus eingeliefert.
Carvedilol mit sofortiger Freisetzung hatte eine konsequente und vorteilhafte Auswirkung auf die Gesamtmortalität sowie die kombinierten Endpunkte der Gesamtmortalität sowie die Krankenhausaufenthalt (Gesamt-Lebenslauf oder für Herzinsuffizienz) in der Gesamtversuchsbevölkerung sowie in allen Untergruppen untersucht, einschließlich Männer und Frauen ältere und nicht abhängige Schwarze sowie Diabetik sowie Diabetiker sowie Nicht-Diabetiker (Abbildung 2).
Abbildung 2: Auswirkungen auf die Mortalität für Untergruppen in Copernicus
|
Obwohl die klinischen Studien zweimal täglich die dosierte klinische pharmakologische und pharmakokinetische Daten verwendeten, bieten Daten eine angemessene Grundlage für die Schlussfolgerung, dass eine einmal tägliche Dosierung mit Coreg CR bei der Behandlung von Herzinsuffizienz angemessen sein sollte.
Linksventrikuläre Dysfunktion nach Myokardinfarkt
Capricorn war eine doppelblinde Studie, in der Carvedilol und Placebo bei 1959 Probanden mit einem kürzlich durchgeführten Myokardinfarkt (innerhalb von 21 Tagen) und einem linken ventrikulären Ejektionsfraktion von weniger als oder gleich 40% mit (47%) oder ohne Symptome einer Herzinsuffizienz verglichen wurden. Die Probanden, die Carvedilol verabreicht wurden, erhielten zweimal täglich 6,25 mg täglich täglich, wie es zweimal täglich bis 25 mg toleriert wurde. Die Probanden mussten einen systolischen Blutdruck von mehr als 90 mm hg eine sitzende Herzfrequenz von mehr als 60 Schlägen pro Minute und keine Kontraindikation gegen β-Blocker-Anwendung haben. Die Behandlung des Indexinfarkts umfasste Aspirin (85%) IV oder orale β-Blocker (37%) Nitrate (73%) Heparin (64%) Thrombolytik (40%) und akute Angioplastik (12%). Die Hintergrundbehandlung umfasste ACE-Inhibitoren oder Angiotensin-Rezeptorblocker (97%) Antikoagulanzien (20%) lipidsenkende Mittel (23%) und Diuretika (34%). Die Grundbevölkerungseigenschaften umfassten ein Durchschnittsalter von 63 Jahren. Die mittlere Dosierung von Carvedilol betrug zweimal täglich 20 mg; Die mittlere Dauer der Nachuntersuchung betrug 15 Monate.
Gesamtmortalität was 15% in the placebo group and 12% in the carvedilol group indicating a 23% risk reduction in subjects treated with carvedilol (95% CI: 2% to 40% P = 0.03) as shown in Figure 3. The effects on mortality in various subgroups are shown in Figure 4. Nearly all deaths were cardiovascular (which were reduced by 25% by carvedilol) and most of these deaths were sudden or related to pump failure (both types of death were reduced by carvedilol). Another trial end point total mortality and all-cause hospitalization did not show a significant improvement.
Es gab auch eine signifikante Verringerung des tödlichen oder nicht tödlichen Myokardinfarkts um 40%, der in der mit Carvedilol behandelten Gruppe beobachtet wurde (95% CI: 11% bis 60% p = 0,01). Eine ähnliche Verringerung des Risikos eines Myokardinfarkts wurde auch bei einer Metaanalyse von placebokontrollierten Studien mit Carvedilol bei Herzinsuffizienz beobachtet.
Abbildung 3: Überlebensanalyse für Steinbock (Intent-to-Treat)
|
Abbildung 4: Auswirkungen auf die Mortalität für Untergruppen im Steinbock
|
Obwohl die klinischen Studien zweimal täglich die dosierte klinische pharmakologische und pharmakokinetische Daten verwendeten, bieten Daten eine angemessene Grundlage für die Schlussfolgerung, dass eine einmal tägliche Dosierung mit Coreg CR bei der Behandlung von linksventrikulärer Dysfunktion nach Myokardinfarkt angemessen sein sollte.
Hypertonie
Eine doppelblinde randomisierte, placebokontrollierte 8-Wochen-Studie untersuchte die blutdrucksenkenden Wirkungen von Coreg CR 20 mg 40 mg und 80 mg einmal täglich bei 338 Probanden mit essentieller Hypertonie (sitzender diastolischer Blutdruck [DBP] größer oder gleich 90 und weniger als 109 mm Hg). Von 337 bewertbaren Probanden haben insgesamt 273 Probanden (81%) den Versuch abgeschlossen. Von den 64 (19%) Probanden waren 10 (3%) zurückgezogen. 10 (3%) waren auf mangelnde Wirksamkeit zurückzuführen; Die verbleibenden 44 (13%) zogen sich aus anderen Gründen zurück. Das Durchschnittsalter der Probanden betrug ungefähr 53 Jahre 66% männlich und der mittlere sitzende systolische Blutdruck (SBP) und DBP zu Studienbeginn betrug 150 mm Hg bzw. 99 mm Hg. Die Dosis-Titration trat in 2-wöchigen Abständen auf.
Statistisch signifikante Verringerung des Blutdrucks, gemessen durch 24-Stunden-ambulante Blutdrucküberwachung (ABPM), wurden mit jeder Dosis von CORG CR im Vergleich zu Placebo beobachtet. Placebo-subtrahierte mittlere Änderungen aus dem Ausgangswert im mittleren SBP/DBP betrugen -6,1/-4,0 mm Hg -9,4/-7,6 mm Hg und -11,8/-9.2 mm Hg für Coreg CR 20 mg 40 mg und 80 mg. Placebo-subtrahierte mittlere Änderungen aus dem Ausgangswert in der mittleren Trog (Durchschnitt von Stunden 20 bis 24) SBP/DBP betrugen -3,3/-2,8 mm Hg -4,9/-5,2 mm Hg und -8,4/-7,4 mm Hg für Coreg CR 20 mg 40 mg bzw. 80 mg. Das placebokorreierte Trog zu Peak (3 bis 7 h) betrug für Coreg CR 80 mg ungefähr 0,6. In diesem Versuch zeigten die Bewertungen der 24-Stunden-ABPM-Überwachung während des gesamten Dosierungszeitraums statistisch signifikante Blutdruckreduzierungen bei Coreg CR (Abbildung 5).
Abbildung 5: Veränderungen vom Ausgangswert des systolischen Blutdrucks und des diastolischen Blutdrucks gemessen durch 24-Stunden-ABPM
|
Carvedilol mit sofortiger Freisetzung wurde in 2 placebokontrollierten Versuchen untersucht, bei denen zweimal tägliche Dosierung bei Gesamtdosen von 12,5 bis 50 mg verwendet wurde. In diesen und anderen Versuchen überschritt die Startdosis 12,5 mg nicht. Bei 50 mg pro Tag reduzierte Koreg den sitzenden Trog (12-Stunden) Blutdruck um etwa 9/5,5 mm Hg; Bei 25 mg pro Tag betrug der Effekt bei 7,5/3,5 mm Hg. Vergleiche des Blutdrucks von Trog-zu-Speak zeigten ein Verhältnis von Trog zu Speak für die Blutdruckreaktion von etwa 65%. Die Herzfrequenz sank bei 50 mg pro Tag um etwa 7,5 Schläge pro Minute. Im Allgemeinen waren die Antworten anderer β-Blocker bei Schwarz kleiner als bei nicht schwarzen Probanden. Es gab keine Alters- oder geschlechtsbezogenen Unterschiede in der Reaktion. Die dosisbedingte Blutdruckreaktion ging mit einem dosisbedingten Anstieg der nachteiligen Auswirkungen einher [siehe Nebenwirkungen ].
Hypertonie With Type 2 Diabetes Mellitus
In einem Doppelblindstudienversuch (Gemini) wurde Carvedilol zu einem ACE-Inhibitor oder Angiotensinrezeptorblocker in einer Population mit leichter bis mittelschwerer Hypertonie und gut kontrollierter Typ-2-Diabetes mellitus bewertet. Der mittlere HbA1c zu Studienbeginn betrug 7,2%. Coreg wurde zweimal täglich auf eine mittlere Dosis von 17,5 mg titriert und 5 Monate lang gehalten. Coreg hatte keinen nachteiligen Einfluss auf die Glykämiekontrolle basierend auf Hba1c Warnungen und VORSICHTSMASSNAHMEN ].
Patienteninformationen für Coreg CR
Coreg Cr®
(Co-Reg) (Carvedilol-Phosphat) Kapseln verlängerte Freisetzung
Lesen Sie die Patienteninformationen, die mit Coreg CR geliefert werden, bevor Sie anfangen, und jedes Mal, wenn Sie eine Nachfüllung erhalten. Es kann neue Informationen geben. Diese Informationen treten nicht mit Ihrem Arzt über Ihre Krankheit oder Ihre Behandlung an. Wenn Sie Fragen zu Coreg CR haben, fragen Sie Ihren Arzt oder Apotheker.
Was sind die wichtigsten Informationen, die ich über Coreg CR wissen sollte?
Es ist wichtig, dass Sie Ihre Medikamente jeden Tag wie Ihr Arzt einnehmen. Wenn Sie aufhören, Coreg CR zu nehmen, können Sie plötzlich Brustschmerzen und einen Herzinfarkt haben. Wenn Ihr Arzt entscheidet, dass Sie aufhören sollten, Coreg CR zu nehmen, kann Ihr Arzt Ihre Dosis im Laufe der Zeit langsam senken, bevor Sie sie vollständig anhalten.
Was ist Coreg Cr?
Coreg Cr is a prescription medicine that belongs to a group of medicines called beta-blockers. Coreg Cr is used often with other medicines for the following conditions:
- Patienten mit bestimmten Arten von Herzinsuffizienz zu behandeln
- Behandlung von Patienten, die einen Herzinfarkt hatten, der sich verschlechterte, wie gut das Herz pumpt
- Um Patienten mit Bluthochdruck (Bluthochdruck) zu behandeln
Coreg Cr is not approved for use in children under 18 years of age.
Wer sollte Coreg Cr nicht nehmen?
Nehmen Sie Coreg CR nicht, wenn Sie:
- eine schwere Herzinsuffizienz haben und bestimmte intravenöse Medikamente erfordern, die zur Unterstützung der Durchblutung beitragen.
- Asthma oder andere Atemprobleme haben.
- Haben Sie einen langsamen Herzschlag oder bestimmte Bedingungen, die dazu führen, dass Ihr Herz einen Takt überspringt (unregelmäßiger Herzschlag).
- Leberprobleme haben.
- sind allergisch gegen die Zutaten in Coreg Cr. Sehen Was sind die Zutaten in Coreg CR?
Was soll ich meinem Arzt sagen, bevor ich Coreg Cr nehme?
Erzählen Sie Ihrem Arzt von all Ihren Erkrankungen, einschließlich der, wenn Sie:
- haben Asthma oder andere Lungenprobleme (wie Bronchitis oder Emphysem).
- Probleme mit dem Blutfluss in Ihren Füßen und Beinen (periphere Gefäßerkrankungen). Coreg CR kann einige Ihrer Symptome verschlimmern.
- Diabetes haben.
- Schilddrüsenprobleme haben.
- einen Zustand haben, der als Phäochromozytom bezeichnet wird.
- haben schwere allergische Reaktionen.
- sind für eine Operation geplant und erhalten Anästhesieger.
- sind für eine Kataraktoperation geplant und haben COREG CR genommen oder werden derzeit eingenommen.
- sind schwanger oder versuchen, schwanger zu werden. Es ist nicht bekannt, ob Coreg CR für Ihr ungeborenes Baby sicher ist. Sie und Ihr Arzt sollten über den besten Weg sprechen, Ihren Bluthochdruck während der Schwangerschaft zu kontrollieren.
- stillen. Es ist nicht bekannt, ob Coreg CR in Ihre Muttermilch übergeht. Sie sollten nicht stillen, während Sie Coreg CR verwenden.
Erzählen Sie Ihrem Arzt von all den Medikamenten, die Sie einnehmen einschließlich verschreibungspflichtiger und nicht verschreibungspflichtiger Medikamente Vitamine und Kräuterpräparate. Coreg CR und bestimmte andere Medikamente können sich gegenseitig beeinflussen und schwerwiegende Nebenwirkungen verursachen. Coreg CR kann die Funktionsweise anderer Medikamente beeinflussen. Auch andere Medikamente können sich auswirken, wie gut Coreg CR funktioniert.
Kennen Sie die Medikamente, die Sie einnehmen. Halten Sie eine Liste Ihrer Medikamente und zeigen Sie sie Ihrem Arzt und Apotheker, bevor Sie ein neues Medikament gründen.
Wie soll ich Coreg CR nehmen?
- Nehmen Sie Coreg CR genau wie vorgeschrieben. Nehmen Sie Coreg Cr eins Zeit jeden Tag mit Essen. Es ist wichtig, dass Sie jeden Tag nur einmal Coreg Cr einnehmen. Um mögliche Nebenwirkungen zu verringern, kann Ihr Arzt mit einer niedrigen Dosis beginnen und dann die Dosis langsam erhöhen.
- Schlucken Sie Coreg Cr Capsules Ganz. Kauen oder zerquetschen Sie keine CR -Kapseln.
- Wenn Sie Probleme haben, Coreg Cr Ganz zu schlucken:
- Die Kapsel kann sorgfältig geöffnet und die Perlen über einen Löffel Apfelmus bestreut werden, der sofort gegessen werden sollte. Der Apfelmus sollte nicht warm sein.
- Streuen Sie keine Perlen auf andere Lebensmittel als Apfelmus.
- Hören Sie nicht auf, Coreg CR zu nehmen, und ändern Sie nicht die Menge an Coreg CR, die Sie nehmen, ohne mit Ihrem Arzt zu sprechen.
- Wenn Sie eine Dosis Coreg CR verpassen, nehmen Sie Ihre Dosis, sobald Sie sich erinnern, es sei denn, es ist Zeit, Ihre nächste Dosis zu nehmen. Nehmen Sie Ihre nächste Dosis zur üblichen Zeit. Nehmen Sie keine 2 Dosen gleichzeitig.
- Wenn Sie zu viel Coreg CR nehmen, rufen Sie sofort Ihren Arzt oder Ihr Giftkontrollzentrum an.
Was soll ich vermeiden, während ich Coreg CR einnehme?
Coreg Cr can cause you to feel dizzy tired or faint. Do not drive a car use machinery or do anything that needs you to be alert if you have these symptoms.
Was sind mögliche Nebenwirkungen von Coreg CR?
Zu den schwerwiegenden Nebenwirkungen von Coreg CR gehören:
- Brustschmerzen und Herzinfarkt, wenn Sie plötzlich aufhören, Coreg Cr zu nehmen. Sehen Sie, was die wichtigsten Informationen sind, die ich über Coreg CR wissen sollte?
- Langsamer Herzschlag.
- Niedriger Blutdruck (was beim Aufstehen schwindelerregend oder ohnmächtig werden kann). Wenn diese passieren, sitzen oder legen Sie sich hin und sagen Sie Ihrem Arzt sofort.
- sich Herzinsuffizienz verschlimmern. Sagen Sie Ihrem Arzt sofort, wenn Sie Anzeichen und Symptome haben, dass Ihre Herzinsuffizienz schlechter sein kann, z. B. Gewichtszunahme oder erhöhte Atemnot.
- Veränderungen in Ihrem Blutzucker. Wenn Sie Diabetes haben, sagen Sie Ihrem Arzt, wenn Sie Änderungen in Ihrem Blutzuckerspiegel haben.
- Maskieren (verstecken) die Symptome eines niedrigen Blutzuckers, insbesondere eines schnellen Herzschlags.
- Neue oder verschlechterende Symptome einer peripheren Gefäßerkrankung.
- Beinschmerzen, das passiert, wenn Sie gehen, gehen aber weg, wenn Sie sich ausruhen
- Kein Gefühl (Taubheit) in Ihren Beinen oder Füßen, während Sie sich ausruhen
- kalte Beine oder Füße
- Maskierung der Symptome der Hyperthyreose (überaktive Schilddrüse) wie schneller Herzschlag.
- Verschlechterung schwerer allergischer Reaktionen. Medikamente zur Behandlung einer schweren allergischen Reaktion funktionieren möglicherweise nicht auch, während Sie Coreg CR einnehmen.
- seltene, aber schwerwiegende allergische Reaktionen (einschließlich Nesselsucht oder Schwellung der Gesichtslippenzunge und/oder der Hals, die zu Atem- oder Schlucken zu Schwierigkeiten führen können. Diese Reaktionen können lebensbedrohlich sein. In einigen Fällen ereigneten sich diese Reaktionen bei Patienten, die vor der Einnahme von Coreg CR auf Coreg waren.
Zu den häufigen Nebenwirkungen von Coreg CR gehört die Kürze bei der Gewichtszunahme durch Durchfall und Müdigkeit. Wenn Sie Kontaktlinsen tragen, haben Sie möglicherweise weniger Tränen oder trockene Augen, die störend werden können.
Rufen Sie Ihren Arzt an, wenn Sie Nebenwirkungen haben, die Sie stören oder nicht verschwinden.
Rufen Sie Ihren Arzt an, um medizinische Beratung zu Nebenwirkungen zu erhalten. Sie können die FDA bei 1-800-FDA-1088 Nebenwirkungen melden.
Wie soll ich Coreg CR aufbewahren?
Speichern Sie Coreg CR bei weniger als 30 ° C.
Werfen Sie sicher Coreg CR weg, das veraltet ist oder nicht mehr benötigt wird.
Halten Sie Coreg CR und alle Medikamente außerhalb der Reichweite von Kindern.
Allgemeine Informationen zu Coreg Cr
Medikamente werden manchmal für andere als in Patienteninformationsblättern beschriebene Erkrankungen verschrieben. Verwenden Sie Coreg CR nicht für eine Erkrankung, für die es nicht vorgeschrieben wurde. Geben Sie andere Personen nicht Coreg CR, auch wenn sie die gleichen Symptome haben, die Sie haben. Es kann ihnen schaden.
Diese Broschüre fasst die wichtigsten Informationen über Coreg CR zusammen. Wenn Sie weitere Informationen wünschen, sprechen Sie mit Ihrem Arzt. Sie können Ihren Arzt oder Apotheker um Informationen zu Coreg CR bitten, die für medizinische Fachkräfte geschrieben wurden. Sie können auch mehr über Coreg CR erfahren, indem Sie die Website www.coregcr.com besuchen oder unter 1-888-825-5249 telefonieren. Dieser Anruf ist kostenlos.
Was sind die Zutaten in Coreg CR?
Wirkstoff: Carvedilol -Phosphat
Inaktive Inhaltsstoffe: Crospovidon hydriertes Rizinusöl hydriertes Pflanzenöl Magnesium Stearat Methacrylsäure -Copolymere Mikrokristalline Cellulose und Povidon
Coreg Cr capsules come in the following strengths: 10 mg 20 mg 40 mg 80 mg.
Was ist Bluthochdruck (Bluthochdruck)?
Blutdruck ist die Blutkraft in Ihren Blutgefäßen, wenn Ihr Herz schlägt und wenn Ihr Herz ruht. Sie haben hohen Blutdruck, wenn die Kraft zu viel ist. Bluthochdruck macht das Herz schwieriger, Blut durch den Körper zu pumpen, und verursacht Schäden an Blutgefäßen. Coreg CR kann Ihren Blutgefäßen helfen, sich zu entspannen, damit Ihr Blutdruck niedriger ist. Medikamente, die einen niedrigeren Blutdruck haben, können Ihre Wahrscheinlichkeit senken, einen Schlaganfall oder einen Herzinfarkt zu haben.