Die Informationen Auf Dieser Website Stellen Keine Medizinische Beratung Dar. Wir Verkaufen Nichts. Die Richtigkeit Der Übersetzung Wird Nicht Garantiert. Haftungsausschluss
Wie funktionieren Antineoplastik -Östrogenrezeptor -Antagonisten?
Fareston
Drogenzusammenfassung
Was ist Fareston?
Fareston (Toremifencitrat) ist ein Östrogen -Agonist / Antagonist, der Östrogen daran hindert, Krebszellen zu erreichen, um das Wachstum von metastasiertem Brustkrebs zu verlangsamen (Krebs, der sich aus dem ursprünglichen Tumor ausbreitet). Im Gegensatz zu Chemotherapie Fareston zerstört keine Krebszellen.
Was sind Nebenwirkungen von Fareston?
Zu den häufigen Nebenwirkungen von Fareston gehören:
- Hitzewallungen
- Schwitzen
- Brechreiz
- Erbrechen
- Verstopfung
- Trockene Augen
- Schwindel
- Spinngefühl
- Depression
- Schwellung in Ihren Händen oder Füßen
- Juckreiz
- Hautverfärbung oder Rötung
- Hautausschlag
- Trockene Haut
- Haarausfall
- Vaginalblutung
- Erhöhte Kalziumspiegel des Blutes
- Knochenschmerzen oder
- Geschwollene Lymphknoten
Suchen Sie medizinische Versorgung oder rufen Sie auf einmal 911 an, wenn Sie die folgenden schwerwiegenden Nebenwirkungen haben:
- Schwerwiegende Augensymptome wie plötzlicher Sehverlust verschwommenes Sehen Tunnel Sehschmerzen oder Schwellungen oder Halos in der Umgebung des Lichts;
- Schwerwiegende Herzsymptome wie schnelle unregelmäßige oder pochende Herzschläge; Flattern in deiner Brust; Kurzatmigkeit; und plötzliche Schwindel -Benommenheit oder ohnmächtig;
- Starke Kopfschmerzen Verwirrung verwirrt Spracharm oder Bein Schwäche Schwierigkeiten beim Verlust der Koordination unstabil sehr steifes Muskeln hoher Fieber problemlos Schwitzen oder Zittern.
Dieses Dokument enthält nicht alle möglichen Nebenwirkungen und andere können auftreten. Wenden Sie sich an Ihren Arzt nach zusätzlichen Informationen zu Nebenwirkungen.
Dosierung für Fareston
Die Dosierung von Fareston beträgt oral 60 mg. Die Behandlung wird im Allgemeinen fortgesetzt, bis das Fortschreiten der Krankheit beobachtet wird.
Welche Drogensubstanzen oder Nahrungsergänzungsmittel interagieren mit Fareston?
Fareston kann mit Antikoagulanzieren Thiaziddiuretika (Wasserpillen) oder Anfallsmedikamente interagieren. Sagen Sie Ihrem Arzt alle Medikamente und Nahrungsergänzungsmittel, die Sie verwenden.
Fareston während der Schwangerschaft und des Stillens
Während der Schwangerschaft sollte Fareston nur dann angewendet werden, wenn sie verschrieben werden. Es kann Fötus schaden. Wenn Sie schwanger werden oder glauben, Sie könnten schwanger sind, informieren Sie Ihren Arzt. Frauen sollten 2 Formen der Geburtenkontrolle verwenden, während sie dieses Medikament verwenden. Besprechen Sie die Verwendung von Geburtenkontrolle und die Risiken und Vorteile dieses Medikaments mit Ihrem Arzt. Es ist nicht bekannt, ob dieses Medikament in die Muttermilch übergeht. Aufgrund des möglichen Risikos für das Säuglingsstillung wird bei der Verwendung dieses Arzneimittels nicht empfohlen.
Weitere Informationen
Unsere Fellon (Toremifen Citrat) Nebenwirkungen Arzneimittelzentrum bietet einen umfassenden Überblick über die verfügbaren Arzneimittelinformationen über die potenziellen Nebenwirkungen bei der Einnahme dieses Medikaments.
FDA -Drogeninformationen
- Drogenbeschreibung
- Indikationen
- Nebenwirkungen
- Wechselwirkungen mit Arzneimitteln
- Warnungen
- Überdosis
- Klinische Pharmakologie
- Medikamentenhandbuch
Warnung: Qt -Verlängerung
Es wurde gezeigt, dass Fareston das QTC Klinische Pharmakologie ]. Eine Verlängerung des QT -Intervalls kann zu einer Art von ventrikulären Tachykardie führen, die als Torsade de Pointes bezeichnet wird, was zu Synkope -Anfällen und/oder zum Tod führen kann. Toremifen sollte Patienten mit angeborener/erworbener QT -Verlängerung nicht korrigiertes Hypokaliämie oder nicht korrigierte Hypomagnesiämie verschrieben werden. Medikamente, von denen bekannt ist, dass sie das QT -Intervall und starke CYP3A4 -Inhibitoren verlängern, sollten vermieden werden [siehe Warnungen und VORSICHTSMASSNAHMEN ].
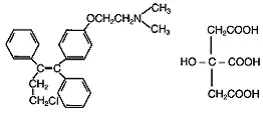
Beschreibung für Fareston
Fareston (Toremifen Citrat) -Tabletten zur oralen Verabreichung enthalten jeweils 88,5 mg Toremifen -Citrat, das zu 60 mg Toremifen entspricht.
Fareston ist ein Östrogenagonist/Antagonist. Der chemische Name von Toremifen ist: 2- {p-[(z) -4-Chlor-12diphenyl-1-butenyl] Phenoxy} -nn-Dimethylethylamincitrat (1: 1). Die strukturelle Formel lautet:
|
und die molekulare Formel ist c 26 H 28 Clno • c 6 H 8 O 7 . Das Molekulargewicht von Toremifen Citrat beträgt 598,10. Die PKA ist 8,0. Die Wasserlöslichkeit bei 37 ° C beträgt 0,63 mg/ml und in 0,02 N HCl bei 37 ° C 0,38 mg/ml.
Fareston ist nur als Tablets für die orale Verwaltung erhältlich. Inaktive Inhaltsstoffe: kolloidales Siliziumdioxid -Lactose -Magnesium -Stearat -mikrokristallines Cellulose -Povidon -Natriumstärkeglykolat und Stärke.
Verwendet für Fareston
Fareston® ist ein Östrogen -Agonist/Antagonist, der für die Behandlung von metastasiertem Brustkrebs in â angegeben ist
Reisen in Japan mit kleinem Budget
Dosierung für Fareston
Die Dosierung von Fareston beträgt oral 60 mg. Die Behandlung wird im Allgemeinen bis zum Fortschreiten der Krankheit fortgesetzt.
Wie geliefert
Dosierungsformen und Stärken
Die Tablette ist 60 mg rund konvex, unbeschichtete und weiße oder fast weiße, identifiziert mit 60 geprägt auf.
Lagerung und Handhabung
Fareston -Tabletten mit Toremifen -Citrat in einer Menge, die 60 mg Toremifen entspricht, sind runde konvexe unbekannte unbeschichtete und weiße oder fast weiße.
Fareston Tablets werden auf einer Seite mit 60 geprägt.
Fareston Tablets sind erhältlich als:
NDC 42747-327-30 Flaschen von 30
NDC 42747-327-72 Proben von 7
Speichern Sie bei 25 ° C (77 ° F). Exkursionen, die zu 15-30 ° C zulässig sind (59-86 ° F) [siehe USP -kontrollierte Raumtemperatur .] Vor Hitze und Licht schützen.
Verteilt von: Kyowa Kirin Inc. Princeton NJ 08540 Produkt, das von Orion -Produktpatenten und verwandten Patentnummern bedeckt ist - © 2023 Kyowa Kirin Inc. Alle Rechte vorbehalten. Überarbeitet Dezember 2024
Wie viel Arginin sollten Sie nehmen
Nebenwirkungen for Fareston
Da klinische Studien unter stark unterschiedlichen Bedingungen durchgeführt werden, die in den klinischen Studien eines Arzneimittels beobachtet werden, können in den klinischen Studien eines anderen Arzneimittels nicht direkt mit den Raten verglichen werden und spiegeln möglicherweise nicht die in der klinischen Praxis beobachteten Raten wider.
Klinische Studien Erfahrung
Unerwünschte Arzneimittelreaktionen sind hauptsächlich auf die antiöstrogenen Wirkungen von Fareston zurückzuführen und treten typischerweise zu Beginn der Behandlung auf.
Die Inzidenzen der folgenden acht klinischen Toxizitäten wurden prospektiv in der nordamerikanischen Studie bewertet. Die Inzidenz spiegelt die Toxizitäten wider, die vom Forscher als medikamentenbezogen oder möglicherweise medikamentenbedingt angesehen wurden.
| Nordamerikanisches Studium | ||
| FAR 60 n = 221 | Für 20 n = 215 | |
| Hitzewallungen | 35% | 30% |
| Schwitzen | 20% | 17% |
| Brechreiz | 14% | 15% |
| Vaginalausfluss | 13% | 16% |
| Schwindel | 9% | 7% |
| Ödem | 5% | 5% |
| Erbrechen | 4% | 2% |
| Vaginalblutung | 2% | 4% |
Ungefähr 1% der Patienten, die in den drei kontrollierten Studien Fareston (n = 592) erhielten, ließen die Behandlung infolge unerwünschter Reaktionen ab (Übelkeit und Erbrechen von Müdigkeit Thromblochbitis -Depression Lethargie -Anorexie -Ischämie -Angriff Arthritis Lungenembolismus und Myokardinfarkt).
In der folgenden Tabelle sind schwerwiegende Nebenwirkungen bei mindestens 1% der Patienten, die Fareston in den drei Hauptstudien erhalten, bei mindestens 1% der Patienten auftreten.
Es wurden drei prospektive randomisierte kontrollierte klinische Studien (nordamerikanischer Osteuropäer und Nordik) durchgeführt. Die Patienten wurden in parallelen Gruppen, die in der nordamerikanischen Studie oder Tamoxifen 40 mg (TAM40) in den osteuropäischen und nordischen Studien 60 mg (TAM20) oder Tamoxifen (TAM40) 60 mg (TAM20) erhielten, randomisiert, die FEFON 60 mg (FAR 60) oder Tamoxifen erhielten. Die nordamerikanischen und osteuropäischen Studien umfassten auch hochdosierte Toremifenarme von 200 bzw. 240 mg täglich [siehe Klinische Studien ].
| Nebenwirkungen | Nordamerikaner | Osteropean | nordisch | |||
| n = 221 (%) | n = 215 (%) | n = 157 (%) | Tam40 n = 149 (%) | FAR 60 n = 214 (%) | Tam40 n = 201 (%) | |
| Herz | ||||||
| Herz Failure | 2 (1) | 1 ( <1) | - | 1 ( <1) | 2 (1) | 3 (NULL,5) |
| Myokardinfarkt | 2 (1) | 3 (NULL,5) | 1 ( <1) | 2 (1) | - | 1 ( <1) |
| Arrhythmie | - | - | - | - | 3 (NULL,5) | 1 ( <1) |
| Angina -Brust | - | - | 1 ( <1) | - | 1 ( <1) | 2 (1) |
| Okular* | ||||||
| Katarakte | 22 (10) | 16 (NULL,5) | - | - | - | 5 (3) |
| Trockene Augen | 20 (9) | 16 (NULL,5) | - | - | - | - |
| Abnormale Felder | 8 (4) | 10 (5) | - | - | - | 1 ( <1) |
| Hornhaut Keratopathie | 4 (2) | 2 (1) | - | - | - | - |
| Glaukom | 3 (NULL,5) | 2 (1) | 1 ( <1) | - | - | 1 ( <1) |
| Abnormale Vision/Diplopia | - | - | - | - | 3 (NULL,5) | - |
| Thromboembolisch | ||||||
| Lungenembolie | 4 (2) | 2 (1) | 1 ( <1) | - | - | 1 ( <1) |
| Thrombophlebitis | - | 2 (1) | 1 ( <1) | 1 ( <1) | 4 (2) | 3 (NULL,5) |
| Thrombose | - | 1 ( <1) | 1 ( <1) | - | 3 (NULL,5) | 4 (2) |
| CVA/TIA | 1 ( <1) | - | - | 1 ( <1) | 4 (2) | 4 (2) |
| Erhöhte Lebertests ** | ||||||
| Ast | 11 (5) | 4 (2) | 30 (19) | 22 (15) | 32 (15) | 35 (17) |
| Alkalische Phosphatase | 41 (19) | 24 (11) | 16 (10) | 13 (9) | 18 (8) | 31 (15) |
| Bilirubin | 3 (NULL,5) | 4 (2) | 2 (1) | 1 ( <1) | 2 (1) | 3 (NULL,5) |
| Hyperkalzämie | 6 (3) | 6 (3) | 1 ( <1) | - | - | - |
| * Die meisten Augenanomalien wurden in der nordamerikanischen Studie beobachtet, in der On-Study- und halbjährliche ophthalmische Untersuchungen durchgeführt wurden. In irgendeinem Arm wurden keine Fälle von Retinopathie beobachtet. ** Erhöht wie folgt definiert: Nordamerikanisches Studium: AST> 100 IU/L; alkalische Phosphatase> 200 IE/L; Bilirubin> 2 mg/dl. Osteuropäische und nordische Studien: AST -alkalische Phosphatase und Bilirubin - die Grad 1 (NULL,25 -mal so die Obergrenze der Normalen). |
Andere Nebenwirkungen waren Leukopenie und Thrombozytopenie Hautverfärbungen oder Dermatitis Verstopfung Dyspnoe -Parese Tremor Vertigo Pruritus Anorexia Reversible Hornhaut -Opazität (Hornhaut Verticulata) Asthenia alopecia -Depressionen und -stapfen.
Die Inzidenz von AST -Erhöhungen war in den 200- und 240 mg -Dosisarmen größer als in den Tamoxifen -Armen. Höhere Dosen von Fareston waren auch mit einer Erhöhung der Übelkeit verbunden.
Ungefähr 4% der Patienten wurden aus den hochdosierten Fareston-Behandlungsarmen zur Toxizität zurückgezogen. Zu den Gründen für den Entzug gehörten Hyperkalzämie abnormale Leberfunktionstests und jeweils einer toxischen Hepatitis -Depression Schwindel -Inkoordination Ataxie verschwommenes Sehverteilen diffuse Dermatitis und eine Konstellation von Symptomen, die aus Übelkeitschwitzung und Zittern bestehen.
Nachmarkterfahrung
Die folgenden nachteiligen Reaktionen wurden während der Verwendung von Fareston nach der Genehmigung identifiziert. Da diese Reaktionen freiwillig aus einer Population unsicherer Größe berichtet werden, ist es nicht immer möglich, ihre Häufigkeit zuverlässig abzuschätzen oder ein kausales Verhältnis zur Arzneimittelexposition herzustellen.
Nebenwirkungen des Gebrauchs von Fareston nach der Genehmigung stimmten mit Erfahrung in der klinischen Studie überein. Zu den am häufigsten berichteten nachteiligen Reaktionen im Zusammenhang mit der Verwendung von Fareston seit der Markteinführung gehören Halsblasenschwitzen und Vaginalausfluss.
- Hepatototoxizität [siehe Warnungen und Vorsichtsmaßnahmen ]
- Risiko einer Malignität der Gebärmutter [siehe Warnungen und Vorsichtsmaßnahmen ]
Hypertriglyceridämie
Wechselwirkungen mit Arzneimitteln for Fareston
Medikamente, die die Nierenkalciumausscheidung verringern
Medikamente, die die Nieren -Kalziumausscheidung verringern, z. Die Thiazid -Diuretika kann das Risiko einer Hyperkalzämie bei Patienten erhöhen, die Fareston erhalten.
Agenten, die QT verlängern
Die Verabreichung von Fareston mit Wirkstoffen, die die QT -Verlängerung als eine ihrer pharmakodynamischen Wirkungen gezeigt haben, sollte vermieden werden. Sollte eine Behandlung mit einem dieser Wirkstoffe erforderlich sein, wird empfohlen, die Therapie mit Fareston zu unterbrechen. Wenn die Unterbrechung der Behandlung mit Fareston keine mögliche Patienten ist, die eine Behandlung mit einem Medikament benötigen, das die QT verlängert, sollte die Verlängerung des QT -Intervalls eng überwacht werden. Agenten, die allgemein angenommen werden, um das QT -Intervall zu verlängern, umfassen die Klasse 1A (z. B. Quinidin -Procainamid -Disopyramid) und die Klasse III (z. B. Amiodaron -Sotalol Ibutilid Dofetilid) Antiarrhythmie; bestimmte Antipsychotika (z. B. Thioridazin Haloperidol); bestimmte Antidepressiva (z. B. Venlafaxin -Amitriptylin); Bestimmte Antibiotika (z. B. Erythromycin Clarithromycin Levofloxacin Ofloxacin); und bestimmte Antiemetika (z. B. Ondansetron Granisetron). Bei Patienten mit erhöhtem Risiko -Elektrokardiogrammen (EKGs) sollte erhalten werden und Patienten wie klinisch angegeben überwacht [siehe WARNUNG BOXED Und Warnungen und Vorsichtsmaßnahmen ].
Wirkung starker CYP3A4 -Induktoren auf Toremifen
Starke CYP3A4-Enzym-Induktoren wie Dexamethason Phenytoin Carbamazepin Rifampin Rifabutin Phenobarbital St. Johns Würze Die stationäre Konzentration von Toremifen in Serum senken niedriger.
Wirkung starker CYP3A4 -Inhibitoren auf Toremifen
In einer Studie mit 18 gesunden Probanden erhöhte 80 mg Toremifen zweimal täglich zweimal täglich 200 mg Ketoconazol das Toremifen Cmax und AUC um 1,4-und 2,9-fach. N-Demethyltoremifen Cmax und AUC waren um 56% bzw. 20% reduziert.
Die Verabreichung von Fareston mit Agenten, die starke CYP3A4-Inhibitoren sind (z. B. Ketoconazol Itraconazol Clarithromycin Atazanavir Indinavir Nefazodon Nelfinavir Ritonavir Saquinavir Telithromycin und Voriconazol erhöhen die starken Konzentration im Serum. Grapefruitsaft kann auch die Plasmakonzentrationen von Toremifen erhöhen und sollten vermieden werden. Sollte eine Behandlung mit einem dieser Wirkstoffe erforderlich sein, wird empfohlen, die Therapie mit Fareston zu unterbrechen. Wenn die Unterbrechung der Behandlung mit Fareston keine mögliche Patienten ist, die eine Behandlung mit einem Medikament benötigen, das CYP3A4 stark hemmt WARNUNG BOXED Und Warnungen und Vorsichtsmaßnahmen ].
Wirkung von Toremifen auf CYP3A4 -Substrate
In einer Studie mit 20 gesunden Probanden wurde ein einmal täglich 2 mg Midazolam (Tage 6 und 18) als 480 mg Ladendosis mit Toremifen als 16 Tage lang 80 mg täglich mit 80 mg. Nach der gemeinsamen Verabreichung an den Tagen 6 und 18 relevante Erhöhungen in Midazolam und α-Hydroxymidazolam Cmax und AUC wurden nicht beobachtet. Nachdem die gleichzeitige Verabreichung am 18. Tag 18 Midazolam und α-Hydroxymidazolam Cmax und AUC um weniger als 20%reduziert wurden.
Klinisch relevante Expositionsänderungen in empfindlichen Substraten aufgrund der Hemmung oder Induktion von CYP3A4 durch Toremifen scheinen unwahrscheinlich.
Verapamil Verstopfung
Wirkung von Toremifen auf CYP2C9 -Substrate
In einer Studie mit 20 gesunden Probanden, die einmal täglich 500 mg Tolbutamid (Tage 7 und 19) mit Toremifen als 480 -mg -Ladendosis gefolgt von Toremifen, gefolgt von 16 Tagen mit 80 mg täglich zusammengestellt wurden. Nachdem die gemeinsame Verabreichung an den Tagen 7 und 19 Plasma Tolbutamid Cmax und AUC um weniger als 30%erhöht wurde. Eine Verringerung der ähnlichen Größe wurde für Hydroxytolbutamid und Carboxytolbutamid Cmax und AUC beobachtet.
Toremifen ist ein schwacher Inhibitor von CYP2C9. Die gleichzeitige Verwendung von CYP2C9 -Substraten mit einem engen therapeutischen Index wie Warfarin oder Phenytoin mit Fareston sollte mit Vorsicht durchgeführt werden und erfordert eine sorgfältige Überwachung (z. B. Substratkonzentrationen (wenn möglich) geeignete Labormarker und Anzeichen und Symptome einer erhöhten Exposition).
Warnungen für Fareston
Eingeschlossen als Teil der VORSICHTSMASSNAHMEN Abschnitt.
Vorsichtsmaßnahmen für Fareston
Verlängerung des QT -Intervalls
Es wurde gezeigt, dass Toremifen das QTC Klinisch ]. Prolongation of the QT interval can result in a type of ventricular tachycardia called Torsade  de pointes which may result in syncope seizure Und/or death.
Toremifen sollte bei Patienten mit langem QT -Syndrom vermieden werden. Vorsicht sollte bei Patienten mit â â geworfen werden Wechselwirkungen mit Arzneimitteln Und Klinische Pharmakologie ].
Hepatotoxizität
Hepatotoxizität both increases in the serum concentration for grade 3 Und 4 transaminitis Und hyperbilirubinemia including jaundice hepatitis Und non-alcoholic fatty liver disease have also been reported in clinical trials Und postmarketing with Fareston. Liver function tests should be performed periodically. [see Nebenwirkungen Nachmarkterfahrung ] A
Hyperkalzämie And Tumor Flare
Wie bei anderen Antiöstrogenen -Hyperkalzämie und Tumorflackern wurden bei einigen Brustkrebspatienten mit â berichtet
Risiko für Malignität der Gebärmutter
Endometriumkrebs Endometriumhypertrophie -Hyperplasie und Uteruspolypen wurden bei einigen mit Fareston behandelten Patienten berichtet. Die Endometriumhyperplasie der Gebärmutter wurde bei mit Toremifen behandelten Tieren beobachtet [siehe Nichtklinische Toxikologie ]. Long-term use of Fareston has not been established in patients with pre-existing endometrial hyperplasia. All patients should have baseline Und annual gynecological examinations. In particular patients at high risk of endometrial cancer should be closely monitored.
Allgemein
Patienten mit thromboembolischen Erkrankungen sollten im Allgemeinen nicht mit Fareston behandelt werden. Patienten mit Knochenmetastasen sollten in den ersten Behandlungwochen in den ersten Wochen der Behandlung genau auf Hyperkalzämie überwacht werden [siehe Warnungen und Vorsichtsmaßnahmen ].
Leukopenie und Thrombozytopenie wurden selten gemeldet; Leukozyten- und Thrombozytenzahlen sollten überwacht werden.
Labortests
Periodische vollständige Blutkalziumspiegel und Leberfunktionstests sollten durchgeführt werden.
Verwendung in der Schwangerschaft
Basierend auf seinem Wirkungsmechanismus beim Menschen und den Befunden eines erhöhten Schwangerschaftsverlusts und der fetalen Fehlbildung bei Tierstudien kann Fareston bei Verabreichung einer schwangeren Frau fetale Schäden verursachen. Toremifen verursachte Embryo-Fetal-Toxizitäten bei mütterlichen Dosen, die niedriger als die 60 mg täglich empfohlene menschliche Dosis mg/m² waren. Es gibt keine angemessenen und gut kontrollierten Studien bei schwangeren Frauen, die Fareston verwenden. Wenn dieses Medikament während der Schwangerschaft angewendet wird oder wenn der Patient während der Einnahme dieses Medikaments schwanger wird, sollte der Patient der potenziellen Gefahr für den Fötus anerkannt werden [siehe Verwendung in bestimmten Populationen ].
Frauen mit Geburtspotential
Fareston is indicated only in postmenopausal women. However premenopausal women prescribed Fareston should use effective non-hormonal contraception Und should be apprised of the potential hazard to the fetus should pregnancy occur.
Nichtklinische Toxikologie
Karzinogenese -Mutagenese und Beeinträchtigung der Fruchtbarkeit
Herkömmliche Karzinogenesestudien an Ratten in Dosen von 0,12 bis 12 mg/kg/Tag (ungefähr 1/50 bis 2 -mal so empfohlene maximal empfohlene menschliche Dosis von 60 mg mg/m²) zeigten bis zu 2 Jahre keine Hinweise auf eine Karzinogenität. Studien an Mäusen mit Dosen von 1,0 bis 30,0 mg/kg/Tag (ungefähr 1/15 bis 2 -fache der täglichen maximal empfohlenen menschlichen Dosis von 60 mg auf mg/m² -Basis für bis zu 2 Jahre zeigten eine erhöhte Inzidenz von Ovarien- und Hodenstumoren und eine erhöhte Inzidenz von Osteom und Osteosarcoma. Die Bedeutung der Mausbefunde ist aufgrund der unterschiedlichen Rolle von Östrogenen bei Mäusen und der östrogenen Wirkung von Toremifen bei Mäusen ungewiss. Eine erhöhte Inzidenz von Ovarial- und Hodentumoren bei Mäusen wurde auch bei anderen menschlichen Östrogenagonisten/Antagonisten beobachtet, die hauptsächlich bei Mäusen eine östrogene Aktivität aufweisen. Die Endometriumhyperplasie der Gebärmutter wurde in Affen nach 52 Wochen Behandlung bei ≥ 1 mg/kg und bei Hunden nach 16 Wochen Behandlung bei ≥ 3 mg/kg mit Toremifen (ungefähr 1/3 bzw. 1,4 -fache der täglichen maximalen, maximalen empfohlenen menschlichen Dosis von 60 mg auf einer mg/m² -Basis) beobachtet.
Es wurde nicht gezeigt, dass Toremifen in In -vitro -Tests (AMES- und E. coli -Bakterientests) mutagener ist. Toremifen ist in vitro klastogen (chromosomale Aberrationen und Mikronukl-Bildung in menschlichen Lymphoblastoid-MCL-5-Zellen) und in vivo (chromosomale Aberrationen in Rattenhepatozyten).
Toremifen erzeugte eine Beeinträchtigung der Fruchtbarkeit und Empfängnis bei männlichen und weiblichen Ratten bei Dosen von ≥ 25,0 bzw. 0,14 mg/kg/Tag (ungefähr 4 -mal bzw. 1/50 die tägliche maximale empfohlene menschliche Dosis von 60 mg auf mg/m²). Bei diesen Dosen wurden die Spermienzahlen der Fertilitätsindex und die Empfängnisrate bei Männern mit Atrophie von Samenbläschen und Prostata reduziert. Bei Frauen wurden Fruchtbarkeits- und Fortpflanzungsindizes mit erhöhtem Verlust vor und nach der Implantation deutlich verringert. Zusätzlich zeigten die Nachkommen mit behandelten Ratten depressive Fortpflanzungsindizes. Toremifen erzeugte Ovarialatrophie bei Hunden verabreichte Dosen ≥ 3 mg/kg/Tag (ungefähr das 1,5 -fache der täglichen maximalen empfohlenen menschlichen Dosis von 60 mg mg/m²) 16 Wochen lang. Zystische Eierstöcke und Verringerung der endometriellen Stromazellularität wurden in Affen in Dosen von ≥ 1 mg/kg/Tag (etwa 1/3 die tägliche maximale empfohlene menschliche Dosis von 60 mg mg/m²) für 52 Wochen beobachtet.
Verwendung in bestimmten Populationen
Schwangerschaft
Schwangerschaft Category D [see Warnungen und Vorsichtsmaßnahmen ]
Basierend auf seinem Wirkungsmechanismus beim Menschen und den Befunden eines erhöhten Schwangerschaftsverlusts und der fetalen Fehlbildung bei Tierstudien kann Fareston bei Verabreichung einer schwangeren Frau fetale Schäden verursachen. Toremifen verursachte Embryo-Fetal-Toxizitäten bei mütterlichen Dosen, die niedriger als die 60 mg täglich empfohlene menschliche Dosis mg/m² waren. Es gibt keine angemessenen und gut kontrollierten Studien bei schwangeren Frauen, die Fareston verwenden. Wenn dieses Medikament während der Schwangerschaft angewendet wird oder wenn der Patient während der Einnahme dieses Medikaments schwanger wird, sollte der Patient über die potenzielle Gefahr für den Fötus informiert werden.
In Tierstudien überquerte Toremifen die Plazenta und sammelte sich im Nagetierfötus. Die Verabreichung von Toremifen an schwangere Ratten während der Organogenese in Dosen von ungefähr 6% der täglichen maximal empfohlenen menschlichen Dosis von 60 mg (mg/m²) führte zu Anzeichen einer mütterlichen Toxizität und erhöhte Vorverlustverlust verringerte die Fetalgewicht und fetale Anomalien. Zu den fetalen Anomalien gehören die Fehlbildung von Gliedmaßen unvollständiger Ossifikation Misshapen -Knochen Rippen/Wirbelsäulenanomalien Hydroonephrose Hoden -Verschiebung und subkutanes Ödem. Die mütterliche Toxizität kann zu diesen unerwünschten embryo-fetalen Wirkungen beigetragen haben. Ähnliche Embryo-Fetal-Toxizitäten traten bei Kaninchen auf, die Toremifen in Dosen erhielten, ungefähr 40% der täglichen empfohlenen menschlichen Dosis von 60 mg (mg/m²). Die Ergebnisse bei Kaninchen umfassten einen erhöhten Vorimplantationsverlust erhöhte Resorptionen und fetale Anomalien, einschließlich unvollständiger Ossifikation und Anezephalie.
Tierdosen, die zu Embryo-Fetal-Toxizitäten führten, betrugen bei Ratten ≥ 1,0 mg/kg/Tag und bei Kaninchen ≥ 1,25 mg/kg/Tag.
In rodent models of fetal reproductive tract development toremifene produced inhibition of uterine development in female pups similar to effects seen with diethylstilbestrol (DES) and tamoxifen. The clinical relevance of these changes is not known. Neonatal rodent studies have not been conducted to assess the potential for toremifene to cause other DES-like effects in offspring (i.e. vaginal adenosis). Vaginal adenosis in animals occurred following treatment with other drugs of this class and has been observed in women exposed to diethylstilbestrol inutero.
Pflegemütter
Es ist nicht bekannt, ob Toremifen in Muttermilch ausgeschieden wird. Toremifen wird in der Milch von stillenden Ratten ausgeschieden. Da viele Medikamente in Muttermilch ausgeschieden werden und aufgrund des Potenzials für schwerwiegende Nebenwirkungen bei Säuglingen aus Fareston eine Entscheidung getroffen werden sollte, um die Krankenpflege entweder zu beenden oder die Medikamente zu beenden, unter Berücksichtigung der Bedeutung des Arzneimittels für die Mutter.
Pädiatrische Verwendung
Es gibt keinen Hinweis auf die Verwendung von Fareston bei pädiatrischen Patienten.
Geriatrische Verwendung
Die Pharmakokinetik von Toremifen wurde bei 10 gesunden jungen Männern und 10 älteren Frauen nach einer einzigen 120 -mg -Dosis unter Fastenbedingungen untersucht. Anstiegungen der Eliminierungs Halbwertszeit (NULL,2 gegenüber 7,2 Tagen) und das Verteilungsvolumen (457 gegenüber 627 l) Toremifen wurden bei älteren Weibchen ohne Änderung der Clearance oder AUC zu sehen.
Das mittlere Alter in den drei kontrollierten Studien lag zwischen 60 und 66 Jahren. Es wurden keine signifikanten altersbedingten Unterschiede in der Effektivität oder Sicherheit der Fareston festgestellt.
Nierenbehinderung
Die Pharmakokinetik von Toremifen und N-Demethyltoremifen war in Normalen und bei Patienten mit beeinträchtigter Nierenfunktion ähnlich.
Hepatische Beeinträchtigung
Die mittlere Eliminierungshälfte von Toremifen wurde bei 10 Patienten mit Leberbeeinträchtigung (Zirrhose oder Fibrose) im Vergleich zu Probanden mit normaler Leberfunktion um weniger als zweifache erhöht. Die Pharmakokinetik von Nâdemethyltoremifen blieb bei diesen Patienten unverändert. Zehn Patienten mit Antikonvulsiva (Phenobarbital-Clonazepam-Phenytoin und Carbamazepin) zeigten eine zweifache Erhöhung der Clearance und eine Abnahme der Eliminierungs Halbwertszeit von Toremifen.
Wettrennen
Die Pharmakokinetik von Toremifen bei Patienten unterschiedlicher Rassen wurde nicht untersucht.
Vierzehn Prozent der Patienten in der nordamerikanischen Studie waren nicht kaukasisch. Es wurden keine signifikanten rassenbedingten Unterschiede in der Effektivität oder Sicherheit färerlich festgestellt.
Überdosierungsinformationen für Fareston
Die Letalität wurde bei Ratten nach einzelnen oralen Dosen beobachtet, die ≥ 1000 mg/kg waren (etwa das 150 -fache der empfohlenen menschlichen Dosis auf einem mg/m 2 Basis) und war mit einer Magen -Atony/-Dilatation verbunden, die zu Störungen mit Verdauung und Nebennierenvergrößerung führte.
Schwindel Kopfschmerzen und Schwindel wurden in gesunden Freiwilligenstudien in einer täglichen Dosis von 680 mg für 5 Tage beobachtet. Die Symptome traten bei zwei der fünf Probanden am dritten Tag der Behandlung auf und verschwanden innerhalb von 2 Tagen nach Absetzen des Arzneimittels. Es wurden keine sofortigen gleichzeitigen Veränderungen in gemessenen klinischen Chemieparametern gefunden. In einer Studie an postmenopausalen Brustkrebspatienten ist Toremifen 400 mg/m 2 /Tag verursachte dosisbegrenzende Übelkeits Erbrechen und Schwindel sowie reversible Halluzinationen und Ataxie bei einem Patienten.
Hawthornextrakt für Bluthochdruck
Die theoretisch Überdosierung kann sich als Erhöhung der antiöstrogenen Wirkungen wie Hitzewallungen manifestieren. Östrogene Wirkungen wie Vaginalblutungen; oder Nervensystemstörungen wie Schwindel Schwindelataxie und Übelkeit. Es gibt kein spezifisches Gegenmittel und die Behandlung ist symptomatisch.
Kontraindikationen für Fareston
Überempfindlichkeit gegen das Medikament
Fareston is contraindicated in patients with known hypersensitivity to the drug.
QT -Verlängerung Hypokaliämie Hypomagnesiämie
Toremifen sollte Patienten mit angeborener/erworbener QT -Verlängerung (Long QT -Syndrom) nicht korrigiertes Hypokaliämie oder nicht korrigierte Hypomagneämie verschrieben werden.
Klinische Pharmakologie for Fareston
Wirkungsmechanismus
Toremifen ist ein nichtsteroidales Triphenylethylen -Derivat. Toremifen bindet an Östrogenrezeptoren und kann in Abhängigkeit von der Dauer der Behandlung von Tierspezies das Geschlechtszielorgan oder den ausgewählten Endpunkt östrogene anteiöstrogene oder beide Aktivitäten ausüben. Im Allgemeinen sind jedoch nichtsteroidale Triphenylethylenderivate bei Ratten und Menschen überwiegend anteistrogen und bei Mäusen östrogen. Bei Ratten verursacht Toremifen eine Regression von etablierten Dimethylbenzanthracen (DMBA) -induzierten Brusttumoren. Es wird angenommen, dass die Antitumorwirkung von Toremifen bei Brustkrebs hauptsächlich auf seine antiöstrogenen Wirkungen zurückzuführen ist, d. H. Seine Fähigkeit, mit Östrogen um Bindungsstellen bei der Krebs zu konkurrieren, die die Wachstumsstimulationseffekte von Östrogen im Tumor blockiert.
Pharmakodynamik
Toremifen führt zu einer Abnahme des Östradiol-induzierten Vaginalausfallindex in einigen postmenopausalen Frauen, die auf seine antiöstrogene Aktivität hinweisen. Toremifen hat auch eine östrogene Aktivität, wie durch Abnahmen der Serum -Gonadotropin -Konzentrationen (FSH und LH) gezeigt.
Auswirkungen auf die Herzelektrophysiologie
Der Effekt von 20 mg 80 mg und 300 mg Toremifen auf das QT-Intervall wurde in einer doppelblinden randomisierten Studie an gesunden männlichen Probanden im Alter von 18 bis 45 Jahren bewertet. Das QT -Intervall wurde im stationären Zustand von Toremifen (Tag 5 der Dosierung) einschließlich der Zeit der Spitzenplasmakonzentration (TMAX) zu 13 Zeitpunkten (4 EKGs/Zeitpunkt) über 24 Stunden nach der Dosis in einer Zeitpunktanalyse gemessen. Die 300 -mg -Dosis Toremifen (ungefähr das Fünffache der höchsten empfohlenen Dosis 60 mg) wurde ausgewählt, da diese Dosis eine Exposition gegenüber Toremifen erzeugt, die die erwarteten Expositionen abdeckt Wechselwirkungen mit Arzneimitteln ].
Es wurden Dosis und konzentrationsbedingte Erhöhungen des QTC-Intervall- und T-Wellenveränderungen beobachtet (siehe Tabelle 1). Es wird angenommen, dass diese Effekte durch Toremifen und N-Demethyltoremifen verursacht werden. Toremifen hatte keine Auswirkungen auf die Intervalldauer der Herzfrequenz- und QRS [siehe WARNUNG BOXED Und Warnungen und Vorsichtsmaßnahmen ].
Tabelle 1: QTC -Verlängerung bei gesunden männlichen Freiwilligen
| Behandlungsarm | Mittelwert (90% CI) DDQTC MS | Δqtc> 60 ms (n %) | Qtc> 500 ms (n %) |
| Bieten 20 mg (n = 47) | 7 (NULL,9 13,6) | 0 | 0 |
| Bieten Sie 80 mg an (n = 47) | 26 (NULL,1 31,2) | 2 (NULL,3%) | 0 |
| Bieten 300 mg (n = 48) | 65 (NULL,1 69,2) | 43 (NULL,6%) | 5 (NULL,4%) |
Pharmakokinetik
Absorption
Toremifen wird nach oraler Verabreichung gut absorbiert und die Absorption wird nicht durch Lebensmittel beeinflusst. Peak -Plasmakonzentrationen werden innerhalb von 3 Stunden erhalten. Toremifen zeigt eine lineare Pharmakokinetik nach einzelnen oralen Dosen von 10 bis 680 mg. Nach mehreren Dosis wurde eine Dosis Proportionalität für Dosen von 10 bis 400 mg beobachtet. Die Konzentrationen des stationären Bundesstaates wurden in etwa 4-6 Wochen erreicht.
Verteilung
Toremifen hat ein scheinbares Verteilungsvolumen von 580 l und bindet ausgiebig (> 99,5%) an Serumproteine hauptsächlich Albumin.
Stoffwechsel
Toremifen wird hauptsächlich durch CYP3A4 bis n-Demethyltoremifen metabolisiert, was ebenfalls antiöstrogen ist, aber mit schwachem In-vivo-Antitumor-Potenz. Die Serumkonzentrationen von N-Demethyltoremifen sind im stationären Zustand 2- bis 4-mal höher als Toremifen.
Nach mehreren Dosierung mit Toremifen in 20 gesunden Freiwilligen war die Plasma -Toremifen -Exposition am 17. Tag um etwa 14%niedriger. Die N-Demethyltoremifen-Exposition war am 17. Tag um etwa 80%höher als an Tag 5. Basierend auf diesen Daten und einer In-vitro-Induktionsstudie in menschlichen Hepatozyten ist die Auto-Induktion von CYP3A4 durch Toremifen wahrscheinlich wahrscheinlich. Die Auswirkung der Auto-Induktion auf die Wirksamkeit wurde wahrscheinlich nach längerer Dosierung in den klinischen Studien erfasst.
Beseitigung
Das Plasma-Konzentrationszeitprofil von Toremifen nimmt nach Absorption mit einer mittleren Verteilungshälfte von etwa 4 Stunden und einer Eliminierungs-Halbwertszeit von etwa 5 Tagen biexponentiell ab. Die Eliminierungs Halbwertszeiten der Hauptmetaboliten N-Demethyltoremifen und (Deaminohydroxy) Toremifen betrugen 6 bzw. 4 Tage. Die durchschnittliche Gesamtfreigabe von Toremifen betrug ungefähr 5 l/h. Toremifen wird als Metaboliten hauptsächlich in den Kot mit etwa 10% im Urin während eines Zeitraums von 1 Wochen beseitigt. Die Eliminierung von Toremifen ist teilweise aufgrund der enterohepatischen Kreislauf langsam.
Niereninsuffizienz
Die Pharmakokinetik von Toremifen und N-Demethyltoremifen war in Normalen und Patienten mit beeinträchtigter Nierenfunktion ähnlich.
Leberinsuffizienz
Die mittlere Eliminierungshälfte von Toremifen wurde bei 10 Patienten mit Leberbeeinträchtigung (Zirrhose oder Fibrose) im Vergleich zu Probanden mit normaler Leberfunktion um weniger als zweifache erhöht. Die Pharmakokinetik von N-Demethyltoremifen blieb bei diesen Patienten unverändert. Zehn Patienten mit Antikonvulsiva (Phenobarbital-Clonazepam-Phenytoin und Carbamazepin) zeigten eine zweifache Erhöhung der Clearance und eine Abnahme der Eliminierungs Halbwertszeit von Toremifen.
Geriatrische Patienten
Die Pharmakokinetik von Toremifen wurde bei 10 gesunden jungen Männern und 10 älteren Frauen nach einer einzigen 120 -mg -Dosis unter Fastenbedingungen untersucht. Anstiegungen der Eliminierungs Halbwertszeit (NULL,2 gegenüber 7,2 Tagen) und das Verteilungsvolumen (457 gegenüber 627 l) Toremifen wurden bei älteren Weibchen ohne Änderung der Clearance oder AUC zu sehen. Das mittlere Alter in den drei kontrollierten Studien lag zwischen 60 und 66 Jahren. Es wurden keine signifikanten altersbedingten Unterschiede in der Effektivität oder Sicherheit der Fareston festgestellt.
Essen
Die Rate und das Ausmaß der Absorption von Fareston werden nicht durch Lebensmittel beeinflusst. So kann Fareston mit oder ohne Nahrung eingenommen werden.
Wettrennen
Die Pharmakokinetik von Toremifen bei Patienten unterschiedlicher Rassen wurde nicht untersucht. Vierzehn Prozent der Patienten in der nordamerikanischen Studie waren nicht kaukasisch. Es wurden keine signifikanten rassenbedingten Unterschiede in der Effektivität oder Sicherheit färerlich festgestellt.
Klinische Studien
Drei prospektive randomisierte kontrollierte klinische Studien (nordamerikanische Osteuropäische und nordische) wurden durchgeführt, um die Wirksamkeit von Fareston zur Behandlung von Brustkrebs bei Frauen nach der Menopause zu bewerten. Die Patienten wurden in parallelen Gruppen, die in der nordamerikanischen Studie oder Tamoxifen 40 mg (TAM40) in den osteuropäischen und nordischen Studien 60 mg (TAM20) oder Tamoxifen (TAM40) 60 mg (TAM20) erhielten, randomisiert, die FEFON 60 mg (FAR 60) oder Tamoxifen erhielten. Die nordamerikanischen und osteuropäischen Studien umfassten auch hochdosierte Toremifenarme von 200 bzw. 240 mg täglich. Die Studien umfassten postmenopausale Patienten mit Östrogenrezeptor (ER) positiv oder östrogenrezeptor (ER) unbekannter metastatischer Brustkrebs. Die Patienten hatten mindestens eine messbare oder evaluierbare Läsion. Die primären Wirksamkeitsvariablen waren Ansprechrate (RR) und Zeit bis zum Fortschreiten (TTP). Das Überleben (en) wurde ebenfalls bestimmt. Fünfundneunzig prozentuale Konfidenzintervalle (95% CI) wurden für den Unterschied in RR zwischen FAR 60- und TAM-Gruppen und das Gefährdungsverhältnis (relatives Risiko für ein ungünstiges Ereignis wie das Fortschreiten oder der Tod) zwischen TAM und FAR 60 für TTP und S.
Zwei der 3 Studien zeigten ähnliche Ergebnisse für alle Effektivitätsendpunkte. Die nordische Studie zeigte jedoch eine längere Zeit bis zum Fortschreiten von Tamoxifen (siehe Tabelle).
Klinische Studien
| Studie | Nordamerikaner | Ost Eur Pean | Noidic | |||
| Behandlungsgruppe | FAR 60 | TAM20 | FAR 60 | Tam40 | FAR 60 | Tam40 |
| Nr. Patienten | 221 | 215 | 157 | 149 | 214 | 201 |
| Antworten | ||||||
| Cr 1 Pr 2 | 14 33 | 11 30 | 7 25 | 3 28 | 19 48 | 19 56 |
| Rr 3 (Cr pr)% | 21.3 | 19.1 | 20.4 | 20.8 | 31.3 | 37.3 |
| Unterschied in RR | 2.2 | -0.4 | -6.0 | |||
| 95% dort 4 für Unterschied in RR | -5.8 bis 10.2 | -9.5 bis 8,6 | -15.1 bis 3.1 | |||
| Zeit zum Fortschreiten (TTP) | ||||||
| Median TTP (MO.) | 5.6 | 5.8 | 4.9 | 5.0 | 7.3 | 10.2 |
| Gefahrenverhältnis (TAM/FAR) | 1.01 | 1.02 | 0.80 | |||
| 95% dort 4 Für die Gefahrenquote (%) | 0,81 bis 1,26 | 0,79 bis 1,31 | 0,64 bis 1,00 | |||
| Überleben (en) | ||||||
| Median S (MO.) | 33.6 | 34.0 | 25.4 | 23.4 | 33.0 | 38.7 |
| Gefahrenverhältnis (TAM/FAR) | 0.94 | 0.96 | 0.94 | |||
| 95% dort 4 Für die Gefahrenquote (%) | 0,74 bis 1,24 | 0,72 bis 1,28 | 0,73 bis 1,22 | |||
| 1 Cr = complete response; 2 PR = teilweise Antwort; 3 Rr = response rate; 4 CI = Konfidenzintervall Die hochdosierten Gruppen Toremifen 200 mg täglich in der nordamerikanischen Studie und 240 mg täglich in der osteuropäischen Studie waren den niedrigeren Toremifen-Dosisgruppen mit Reaktionsraten von 22,6% und 28,7% den mittleren Zeiten von 5,6 und 6,1 Monaten nicht überlegen. Die mittlere Behandlungsdauer in den drei zentralen Studien betrug 5 Monate (Bereich 4,2-6,3 Monate). |
Patienteninformationen für Fareston
Bei Patienten, die Fareston verwenden, wurden Vaginalblutungen berichtet. Die Patienten sollten darüber informiert und angewiesen werden, ihren Arzt zu kontaktieren, wenn solche Blutungen oder andere gynäkologische Symptome (Veränderungen der Vaginalausflussbeckenschmerzen oder Druck) auftreten. Patienten sollten vor Beginn der Therapie und in regelmäßigen Abständen während der Therapie eine gynäkologische Untersuchung untersuchen.
Bei Patienten, die Fareston verwenden, wurden Lebererkrankungen wie Transaminits mit Gelbsucht gemeldet. Patienten sollten bei der Therapie regelmäßig Leberfunktionstests durchführen lassen.
Fareston may harm the fetus Und increase the risk for pregnancy loss [see Warnungen und Vorsichtsmaßnahmen Und Verwendung in bestimmten Populationen ].
Prämenopausale Frauen, die Fareston nutzen Warnungen und Vorsichtsmaßnahmen ].
Patienten mit Knochenmetastasen sollten über die typischen Anzeichen und Symptome einer Hyperkalzämie informiert und angewiesen werden, ihren Arzt zur weiteren Beurteilung zu kontaktieren, wenn solche Anzeichen oder Symptome auftreten.
Omeprazol DR 20 mg Kapsel Nebenwirkungen
Patienten, die Medikamente einnehmen müssen, von denen bekannt ist, dass sie das QT -Intervall oder die starken CYP3A4 -Inhibitoren verlängern, sollten über die Wirkung von Toremifen auf das QT -Intervall informiert werden. Es wurde gezeigt, dass Toremifen das QTC-Intervall dosisbedingt verlängert [siehe WARNUNG BOXED Warnungen und Vorsichtsmaßnahmen Und Klinische Pharmakologie ].
Spezifische Wechselwirkungen mit Lebensmitteln, die CYP3A4 einschließlich Grapefruitsaft hemmen, wurden nicht untersucht, können jedoch die Toremifenkonzentrationen erhöhen. Patienten sollten Grapefruitprodukte und andere Lebensmittel vermeiden, von denen bekannt ist, dass sie CYP3A4 während der Fareston -Behandlung hemmen.
Bestimmte andere Medikamente, einschließlich rezeptfreier Medikamente oder Kräuterzusätze (wie St. Johns Würze) und Toremifen, können die Konzentrationen von gemeinsam verabreichten Arzneimitteln verringern [siehe Wechselwirkungen mit Arzneimitteln ].