Die Informationen Auf Dieser Website Stellen Keine Medizinische Beratung Dar. Wir Verkaufen Nichts. Die Richtigkeit Der Übersetzung Wird Nicht Garantiert. Haftungsausschluss
Interleukin -Inhibitoren
Nucala
Drogenzusammenfassung
Was ist Nucala?
Nucala (Mepolizumab) ist ein Interleukin-5 (IL-5) -Anoklonalantikörper (IgG1 Kappa), der für die Behandlung von Patienten mit schwerem Asthma ab 6 Jahren und mit einem eosinophilen Phänotyp angegeben ist. die Behandlung erwachsener Patienten mit eosinophiler Granulomatose mit Polyangiitis (EGPA); und die Behandlung von erwachsenen und pädiatrischen Patienten ab 12 Jahren mit einem überdauerosinophilen Syndrom (HES) für 6 oder mehr Monate ohne identifizierbare nicht-hämatologische Sekundärursache.
Was sind Nebenwirkungen von Nucala?
Nucala
- Nesselsucht
- Schwierigkeiten beim Atmen
- Schwellung Ihrer Gesichtslippen Zunge oder Hals
- verschwommenes Sehen
- Verwirrung
- Husten
- Schwindel
- Ohnmacht
- Benommenheit
- Schneller Herzschlag
- Juckreiz
- Hautausschlag
- Laute Atmung
- Schmerzhafte Blasen am Kofferraum des Körpers
- Hautrötung
- Schwitzen
- Brustschmerzen
- ungewöhnliche Müdigkeit und
- Schwäche
Holen Sie sich sofort medizinische Hilfe, wenn Sie eines der oben aufgeführten Symptome haben.
Häufige Nebenwirkungen von Nucala sind:
- Kopfschmerzen
- Reaktionen für Injektionsstelle
- Rückenschmerzen
- Ermüdung
- Grippe Symptome
- Harnwegsinfektion (UTI)
- Bauchschmerzen
- Juckreiz
- Systemische allergische Reaktionen
- Ekzem Und
- Muskelkrämpfe
Suchen Sie medizinische Versorgung oder rufen Sie auf einmal 911 an, wenn Sie die folgenden schwerwiegenden Nebenwirkungen haben:
- Schwerwiegende Augensymptome wie plötzlicher Sehverlust verschwommenes Sehen Tunnel Sehschmerzen oder Schwellungen oder Halos in der Umgebung des Lichts;
- Schwerwiegende Herzsymptome wie schnelle unregelmäßige oder pochende Herzschläge; Flattern in deiner Brust; Kurzatmigkeit; und plötzliche Schwindel -Benommenheit oder ohnmächtig;
- Starke Kopfschmerzen Verwirrung verwirrt Spracharm oder Bein Schwäche Schwierigkeiten beim Verlust der Koordination unstabil sehr steifes Muskeln hoher Fieber problemlos Schwitzen oder Zittern.
Dieses Dokument enthält nicht alle möglichen Nebenwirkungen und andere können auftreten. Wenden Sie sich an Ihren Arzt nach zusätzlichen Informationen zu Nebenwirkungen.
Dosierung für Nucala
- Die Dosis von Nucala für schweres Asthma bei Patienten ab 12 Jahren beträgt 100 mg, die alle 4 Wochen subkutan verabreicht werden.
- Die Dosis von Nucala für schweres Asthma bei Patienten im Alter von 6 bis 11 Jahren beträgt 40 mg alle 4 Wochen subkutan.
- Die Dosis von Nucala für EGPA beträgt 300 mg als 3 separate 100-mg-Injektionen, die alle 4 Wochen subkutan verabreicht werden.
- Die Dosis von Nucala für HES beträgt 300 mg, da 3 separate 100-mg-Injektionen alle 4 Wochen subkutan verabreicht wurden.
Nucala bei Kindern
- Die Sicherheit und Wirksamkeit von Nucala für schweres Asthma und mit einem eosinophilen Phänotyp wurde bei pädiatrischen Patienten ab 6 Jahren festgelegt.
- Die Sicherheit und Wirksamkeit von Nucala bei pädiatrischen Patienten im Alter von jünger als 6 Jahren mit schwerem Asthma wurde nicht festgestellt.
- Die Sicherheit und Wirksamkeit von NuCala bei Patienten im Alter von jünger als 18 Jahren mit eosinophiler Granulomatose mit Polyangiitis (EGPA) wurde nicht festgestellt.
- Die Sicherheit und Wirksamkeit von Nucala für das überherosinophile Syndrom (HES) wurde bei jugendlichen Patienten ab 12 Jahren festgelegt.
- Die Sicherheit und Wirksamkeit bei pädiatrischen Patienten im Alter von jünger als 12 Jahren mit HES wurden nicht festgestellt.
Welche Arzneimittelsubstanzen oder Nahrungsergänzungsmittel interagieren mit Nucala?
Nucala kann mit anderen Medikamenten interagieren. Sagen Sie Ihrem Arzt alle Medikamente und Nahrungsergänzungsmittel, die Sie verwenden.
Nucala während der Schwangerschaft und des Stillens
Sagen Sie Ihrem Arzt, wenn Sie schwanger sind oder vorhaben, vor der Verwendung von Nucala schwanger zu werden. Es ist nicht bekannt, wie es einen Fötus beeinflussen würde. Es gibt ein Schwangerschafts -Expositionsregister, das die Schwangerschaftsergebnisse bei Frauen mit Asthma überwacht, die während der Schwangerschaft Nucala ausgesetzt sind.
- Es ist nicht bekannt, ob Nucala in die Muttermilch übergeht.
- Wenden Sie sich vor dem Stillen an Ihren Arzt.
Weitere Informationen
Unsere Nucala (Mepolizumab) zur Injektion zur subkutanen Verwendung von Nebenwirkungen Arzneimittelzentrum bietet eine umfassende Übersicht über verfügbare Arzneimittelinformationen über die potenziellen Nebenwirkungen bei der Einnahme dieses Medikaments.
Dies ist keine vollständige Liste von Nebenwirkungen, und andere können auftreten. Rufen Sie Ihren Arzt an, um medizinische Beratung zu Nebenwirkungen zu erhalten. Sie können die FDA bei 1-800-FDA-1088 Nebenwirkungen melden.
FDA -Drogeninformationen
- Drogenbeschreibung
- Indikationen
- Dosierung
- Nebenwirkungen
- Warnungen
- Überdosis
- Klinische Pharmakologie
- Medikamentenhandbuch
Beschreibung für Nucala
Mepolizumab ist ein humanisierter monoklonaler IL-5-Antagonisten-Antikörper. Mepolizumab wird durch rekombinante DNA -Technologie in chinesischen Eierstockzellen erzeugt. Mepolizumab hat ein Molekulargewicht von ungefähr 149 kDa.
Nucala wird als steriles weißes weißes, konservatives lyophilisiertes Pulver zur SC-Injektion nach der Rekonstitution geliefert. Bei Rekonstitution mit 1,2 ml sterilem Wasser zur Injektion USP [siehe Dosierung und Verwaltung ] Die resultierende Konzentration beträgt 100 mg/ml und liefert 1 ml. Jede eindosierte Fläschchen liefert Mepolizumab 100 mg Polysorbat 80 (NULL,67 mg) Natriumphosphat-Dibasic-Heptahydrat (NULL,14 mg) und Saccharose (160 mg) mit einem pH-Wert von 7,0.
Verwendung für Nucala
Aufrechterhaltung der Behandlung schwerer Asthma
Nucala ist für die Zusatzbehandlung von erwachsenen und pädiatrischen Patienten ab 6 Jahren mit schwerem Asthma und mit einem eosinophilen Phänotyp angezeigt [siehe Verwendung in bestimmten Populationen Klinische Studien ].
Einschränkungen der Nutzung
Nucala ist nicht für die Linderung von akutem Bronchospasmus oder Status ashmaticus angezeigt [siehe Warnungen und Vorsichtsmaßnahmen ].
Aufrechterhaltung der chronischen Rhinosinusitis mit Nasenpolypen
Nucala ist für die Zusatzbehandlung chronischer Rhinosinusitis mit Nasenpolypen (CRSWNP) bei erwachsenen Patienten ab 18 Jahren mit unzureichender Reaktion auf nasale Kortikosteroide angezeigt.
Aufrechterhaltung der chronisch obstruktiven Lungenerkrankung
Nucala ist für die Zusatzbehandlung bei erwachsenen Patienten mit unzureichend kontrollierter chronisch obstruktiver Lungenerkrankung (COPD) und einem eosinophilen Phänotyp angezeigt.
Nebenwirkungen von Lyme -Borreliose -Medikamenten
Einschränkungen der Nutzung
Nucala ist nicht für die Linderung des akuten Bronchospasmus angezeigt [siehe Warnungen und Vorsichtsmaßnahmen ].
Eosinophile Granulomatose mit Polyangiitis
Nucala ist für die Behandlung erwachsener Patienten mit eosinophiler Granulomatose mit Polyangiitis (EGPA) angezeigt.
Überdauerosinophiles Syndrom
Nucala ist für die Behandlung von adulten und pädiatrischen Patienten ab 12 Jahren mit einem überstreckten Syndrom (HE) für mehr als 6 Monate ohne identifizierbare nicht-hämatologische Sekundärursache angezeigt.
Dosierung für Nucala
Empfohlene Dosierung
Nucala dient nur zur subkutanen Verwendung und sollte in den Oberschenkel oder den Bauch in den Oberarm injiziert werden [siehe Präparation und Verabreichung von Nucala zur Injektionsfläschchenpräparation und Verabreichung von vorgefüllten Nuala -Injektionsautoinjektoren und vorgefüllten Spritzen ].
Tabelle 1. Empfohlene Dosierung von Nucala
| Anzeige | Erwachsene | Pädiatrische Patienten |
| Schweres Asthma | 100 mg alle 4 Wochen |
|
| Chronische Rhinosinusitis mit Nasenpolypen | 100 mg alle 4 Wochen | Nicht anwendbar |
| Chronisch obstruktive Lungenerkrankung | 100 mg alle 4 Wochen | Nicht anwendbar |
| Eosinophile Granulomatose mit Polyangiitis | 300 mg a Alle 4 Wochen | Nicht anwendbar |
| Überdauerosinophiles Syndrom | 300 mg a Alle 4 Wochen | 12 bis 17 Jahre alt: 300 mga Alle 4 Wochen |
| a 300 mg dose is administered as 3 separate 100 mg dose injections administered at least 5 cm (approximately 2 inches) apart. |
Herstellung und Verabreichung von Nucala zur Injektionsfläschchen
Nucala zur Injektion sollte von einem medizinischen Fachmann rekonstituiert und verabreicht werden. In Übereinstimmung mit der Überwachung der Patienten der klinischen Praxis nach Verabreichung biologischer Wirkstoffe wird empfohlen [siehe Warnungen und Vorsichtsmaßnahmen ].
Rekonstitutionsanweisungen
Hinweis: Während des Verfahrens können Sie die rekonstituierte Lösung nicht schütteln, da dies zu Produktschaum oder Niederschlägen führen kann. Die Rekonstitution wird in der Regel innerhalb von 5 Minuten nach dem Hinzufügen des sterilen Wassers abgeschlossen, es kann jedoch zusätzliche Zeit dauern.
- Rekonstituieren Sie Nucala zur Injektion in der Fläschchen mit 1,2 ml sterilem Wasser zur Injektion USP, vorzugsweise unter Verwendung einer 2- oder 3-ml-Spritze und einer 21-Gauge-Nadel. Die rekonstituierte Lösung enthält eine Konzentration von 100 mg/ml Mepolizumab. Mischen Sie nicht mit anderen Medikamenten.
- Legen Sie den Strom steriler Wasser für die Injektion vertikal in die Mitte des lyophilisierten Pulvers, das ein kuchenartiges Aussehen haben kann. Die Fläschchen 10 Sekunden lang mit einer kreisförmigen Bewegung in Intervallen von 15 Sekunden vorsichtig schwenken, bis das Pulver gelöst ist.
- Wenn ein mechanisches Rekonstitutionsgerät (Wirbel) verwendet wird, um Nucala für Injektionswirbel bei 450 U / min für nicht länger als 10 Minuten zu rekonstituieren. Alternativ ist es akzeptabel, nicht länger als 5 Minuten mit 1000 U / min zu wirbeln.
- Überprüfen Sie die rekonstituierte Lösung visuell auf Partikel und Klarheit vor der Verwendung. Die Lösung sollte opaleszierend und farblos zu hellgelb oder hellbraun im Wesentlichen partikelfrei sein. Kleine Luftblasen werden jedoch zu erwarten und akzeptabel. Wenn Partikel in der Lösung bleiben oder wenn die Lösung trübe oder milchig erscheint, darf die Lösung nicht verabreicht werden.
- Wenn die rekonstituierte Lösung nicht sofort verwendet wird:
- Speichern Sie unter 30 ° C (86 ° F)
- NICHT einfrieren und
- Verwerfen Sie, wenn Sie nicht innerhalb von 8 Stunden nach der Rekonstitution verwendet werden.
Verabreichung von 100 mg Dosis
- Für die subkutane Verabreichung unter Verwendung einer 1-ml-Polypropylenspritze mit einer Einweg-Nadel von 21 bis 27 Gauge x 0,5 Zoll.
- Kurz vor der Verabreichung entfernen Sie 1 ml rekonstituierter Nucala zur Injektion. Schütteln Sie die rekonstituierte Lösung während des Verfahrens nicht, da dies zu Produktschaum oder Niederschlägen führen kann.
- Verabreichen Sie die 1 ml Injektion (entspricht 100 mg Mepolizumab) subkutan in den Oberschenkel oder der Bauch Oberarm.
Verabreichung von 40 mg Dosis
- Für die subkutane Verabreichung unter Verwendung einer 1-ml-Polypropylenspritze mit einer Einweg-Nadel von 21 bis 27 Gauge x 0,5 Zoll.
- Kurz vor der Verabreichung entfernen Sie 0,4 ml rekonstituierter Nucala zur Injektion. Schütteln Sie die rekonstituierte Lösung während des Verfahrens nicht, da dies zu Produktschaum oder Niederschlägen führen kann.
- Verabreichen Sie die 0,4 -ml -Injektion (entspricht 40 mg Mepolizumab) subkutan in den Oberschenkel oder Bauch Oberarm.
Jedes Nuala -Fläschchen zur Injektion sollte für einen einzelnen Patienten verwendet werden, und jeder Rest des Inhalts sollte verworfen werden.
Präparation und Verabreichung von vorgefüllten Nuala -Injektionsautomaten und vorgefüllten Spritzen
Die Nucala -Injektion ist für die Verwendung eines Gesundheitsdienstleisters vorgesehen.
Die 100 mg/ml vorgefüllte Autoinjektor- und 100 mg/ml vorgefüllte Spritze dienen nur für Erwachsene und Jugendliche ab 12 Jahren. Ein Patient kann sich selbst injizieren, oder die Pflegeperson kann die Nuala-Injektion 100 mg/ml subkutan verabreichen, nachdem der Gesundheitsdienstleister festgestellt hat, dass dies angemessen ist.
Die vorgefüllte Spritze von 40 mg/0,4 ml dient nur zur Verwendung bei Kindern im Alter von 6 bis 11 Jahren und muss vom Gesundheitsdienstleister oder der Patientenbetreuer verabreicht werden. Die Patientenbetreuer kann die Nuala -Injektion 40 mg/0,4 ml subkutan verabreichen, nachdem der Gesundheitsdienstleister festgestellt hat, dass dies angemessen ist.
Bieten Sie ein ordnungsgemäßes Training in der subkutanen Injektionstechnik sowie zur Herstellung und Verabreichung der Nucala -Injektion vor der Verwendung an [siehe Anweisungen zur Verwendung ].
- Entfernen Sie den vorgefüllten Autoinjektor oder die vorgefüllte Spritze aus dem Kühlschrank und lassen Sie ihn vor der Injektion 30 Minuten bei Raumtemperatur sitzen. Wärmen Sie die Nuala -Injektion auf andere Weise nicht.
- Vor der Verabreichung visuell das Fenster des vorgefüllten Autoinjektors oder der vorgefüllten Spritze für Partikel oder Verfärbungen untersuchen. Die Nucala -Injektion sollte opaleszierend farblos bis hellgelb bis hellbraun in der Farbe sein. Verwenden Sie keine Nuala -Injektion, wenn das Produkt eine Verfärbungsentrübung oder Partikel aufweist. Verwenden Sie nicht den vorgefüllten Autoinjektor oder die vorgefüllte Spritze, wenn sie auf einer harten Oberfläche fallen gelassen werden.
- Verabreichen Sie die subkutane Injektion in den Oberschenkel oder den Bauch, der die 5 cm (ungefähr 2 Zoll) um den Nabel um den Nabel vermeidet. Der Oberarm kann auch verwendet werden, wenn eine Pflegekraft die subkutane Injektion verwaltet.
- Für die Verwendung in EGPA und HES sicherstellen die Injektionsstellen für jede subkutane Injektion um mindestens 5 cm (ungefähr 2 Zoll).
- Geben Sie niemals Injektionen in Bereiche, in denen die Haut rot oder hart ist.
- Wenn eine Dosis verpasst wird, verabreichen Sie eine Dosis so schnell wie möglich. Danach kann der Patient die Dosierung am üblichen Tag der Verabreichung wieder aufnehmen. Wenn die nächste Dosis bereits fällig ist, verwalten Sie wie geplant.
Wie geliefert
Dosierung Forms And Strengths
Zur Injektion
- 100 mg weißes bis nicht weißes lyophilisiertes Pulver in einem eindosis-Fläschchen zur Rekonstitution.
Injektion
- 100 mg/ml als klare bis opaleszierende farblose bis hellgelb bis hellbraune Lösung in einem vorgefüllten eindosierten Autoinjektor.
- 100 mg/ml als klare bis opaleszierende farblose bis hellgelb bis hellbraune Lösung in einer vorgefüllten Glasspritze.
- 40 mg/0,4 ml als klar bis opaleszierter bis hellgelb bis hellbrauner Lösung in einer vorgefüllten Glasspritze.
Lagerung und Handhabung
Nucala zur Injektion
Nucala (Mepolizumab) für die Injektion ist ein steriles konservatives weißes, und weißes lyophiles Pulver zur Rekonstitution und subkutaner Injektion in einem eindosierten Glasfläschchen mit einer Flip-Off-Dichtung. Der Fläschchenstopper wird nicht mit Naturkautschuk -Latex hergestellt.
Nucala zur Injektion wird geliefert als:
100 mg eindosierte Fläschchen in Kartons von 1 ( NDC 0173-0881-01).
Speichern Sie Fläschchen unter 25 ° C. NICHT einfrieren. Lagern Sie im Originalkarton, um vor Licht zu schützen.
Nucala -Injektion
Nucala (Mepolizumab) Injektion ist eine sterile konservativ freie bis opaleszierende farblose bis hellgelb bis hellbraune Lösung für den subkutanen Gebrauch. Jeder vorgefüllte eindosierte Autoinjektor liefert 100 mg Mepolizumab in 1 ml Lösung. Jede eindosis vorgefüllte Spritze liefert 100 mg Mepolizumab in 1 ml Lösung oder 40 mg Mepolizumab in 0,4 ml Lösung. Die Autoinjektoren und Spritzen werden nicht aus Naturkautschuk -Latex hergestellt.
Nucala injection is supplied as:
- 100 mg/ml eindosis vorgefülltes Autoinjektor mit angehängter 29-Gauge-Halbz-Zoll-Nadel in Kartons von 1 (( NDC 0173-0892-01).
- 100 mg/ml eindosis vorgefüllte Glasspritze mit angeschlossener 29-Gauge-Halbz-Zoll-Nadel mit einer Nadelwache in Kartons von 1 (1 ( NDC 0173-0892-42).
- 40 mg/0,4 ml eindosis vorgefüllte Glasspritze mit angeschlossener 29-Gauge-Halbz-Zoll-Nadel mit einem Nadelschutz in Kartons von 1 ( NDC 0173-0904-42).
Vor der Abgabe
Vorgefüllte Autoinjektoren und vorgefüllte Spritzen bei 3 ° C bis 8 ° C (36 ° F bis 46 ° F). Halten Sie das Produkt im ursprünglichen Karton, um vor Licht zu schützen. NICHT einfrieren. Nicht schütteln. Vermeiden Sie Wärme ausgesetzt.
Nach der Ausgabe
Vorgefüllte Autoinjektoren und vorgefüllte Spritzen bei 3 ° C bis 8 ° C (36 ° F bis 46 ° F). Halten Sie das Produkt im ursprünglichen Karton, um bis zum Gebrauch vor Licht zu schützen. NICHT einfrieren. Nicht schütteln. Vermeiden Sie Wärme ausgesetzt.
Bei Bedarf kann ein ungeöffneter Karton für bis zu 7 Tage lang außerhalb des Kühlschranks mit bis zu 86 ° F gelagert werden. Länger als 7 Tage aus dem Kühlschrank aus dem Kühlschrank weglassen.
Nucala injection must be administered within 8 hours after removal from the carton. Discard if not administered within 8 hours.
Hergestellt von: GlaxoSmithKline LLC Philadelphia PA 19104 USA überarbeitet: Mai 2025
Nebenwirkungen für Nucala
Die folgenden Nebenwirkungen werden in anderen Abschnitten ausführlicher beschrieben:
- Überempfindlichkeitsreaktionen [siehe Warnungen und Vorsichtsmaßnahmen )]
- Opportunistische Infektionen: Herpes Zoster [siehe Warnungen und Vorsichtsmaßnahmen ]
Klinische Studien Erfahrung
Da klinische Studien unter sehr unterschiedlichen Bedingungen durchgeführt werden, die in den klinischen Studien eines Arzneimittels in den klinischen Studien eines anderen Arzneimittels nicht direkt mit den in der Praxis beobachteten Raten nicht direkt mit den Raten in den klinischen Studien eines anderen Arzneimittels beobachtet werden.
Nebenwirkungen bei erwachsenen und jugendlichen Patienten ab 12 Jahren mit schwerem Asthma
Insgesamt 1327 Patienten mit schwerem Asthma wurden in 3 randomisierten, placebokontrollierten multizentrischen Studien mit einer Dauer von 24 bis 52 Wochen (schwere Asthma-Studien Dream MENSA und Sirius) bewertet. Von diesen 1192 hatte im Jahr vor der Einschreibung eine Vorgeschichte von 2 oder mehr Exazerbationen, obwohl regelmäßig hochdosierte ICs plus zusätzliche Controller (schwere Asthma-Studien Dream und MENSA) und 135 Patienten täglich orale Kortikosteroide (OCS) -Regelanwendungen mit regelmäßigem Einsatz hochdosischer ICS und zusätzlicher Asthma-HiriS-Sirius (schwere Asthma-Firius) erforderlich waren. Alle Patienten hatten Marker für eine eosinophile Atemwegserentzündung [siehe Klinische Studien ]. Of the patients enrolled 59% were female 85% were White Und ages ranged from 12 bis 82 years. Mepolizumab was administered subcutaneously or intravenously once Alle 4 Wochen; 263 patients received Nucala (mepolizumab 100 mg subcutaneously) for at least 24 weeks. Serious adverse events that occurred in more than 1 patient Und in a greater percentage of patients receiving Nucala 100 mg (n = 263) than Placebo (n = 257) included 1 event herpes zoster (2 patients vs. 0 patients respectively).
Die Inzidenz von unerwünschten Reaktionen in den ersten 24 Wochen der Behandlung in den 2 Bestätigungswirksamkeits- und Sicherheitsverfahren mensa und Sirius mit Nucala 100 mg ist in Tabelle 2 dargestellt.
Tabelle 2. Nebenwirkungen mit Nucala mit ≥3% Inzidenz und häufiger als Placebo bei Patienten mit schwerem Asthma (MENSA und Sirius)
| Nebenwirkungen | Nucala (Mepullizumb 100 mg Subkutan) (n = 263) % | Placebo (n = 257) % |
| Kopfschmerzen | 19 | 18 |
| Injektion site reaction | 8 | 3 |
| Rückenschmerzen | 5 | 4 |
| Ermüdung | 5 | 4 |
| Grippe | 3 | 2 |
| Harnwegsinfektion | 3 | 2 |
| Bauchschmerzen obere | 3 | 2 |
| Pruritus | 3 | 2 |
| Ekzem | 3 | <1 |
| Muskelkrämpfe | 3 | <1 |
52-wöchiger Versuch
Nebenwirkungen der schweren Asthma -Studien -Traum mit 52 Wochen Behandlung mit Mepolizumab 75 mg intravenös (n = 153) oder Placebo (n = 155) und mit ≥3% Inzidenz und häufiger als Placebo und nicht in Tabelle 2 gezeigt: Bauchschmerzen Allergische Rhinitis astrotitis -Lustern -Launchitis. Muskuloskelettschmerzen Nasenstau Nasopharyngitis Übelkeit Pharyngitis Pyrexia Hautausschlag Zahnschmerzen Viralinfektion Viral Atemwegsinfektion und Erbrechen. Zusätzlich traten 3 Fälle von Herpes -Zoster bei Patienten auf, die im Vergleich zu 2 Patienten in der Placebogruppe eine intravenös mepolizumab 75 mg intravenös erhielten.
Systemische Reaktionen einschließlich Überempfindlichkeitsreaktionen
In den schwerwiegenden Asthma-Studien, die Dream MENSA und Sirius über den Prozentsatz der Patienten mit systemischen (allergischen und nicht allergischen) Reaktionen auftraten, betrug 3% in der Gruppe, die Nucala 100 mg und 5% in der Placebo-Gruppe erhielt. Systemische allergische/überempfindliche Reaktionen wurden von 1% der Patienten in der Gruppe berichtet, die Nucala 100 mg und 2% der Patienten in der Placebo -Gruppe erhielten. Zu den am häufigsten berichteten Manifestationen von systemischen allergischen/überempfindlichen Reaktionen, die in der Gruppe, die Nuala 100 mg erhielte, beschrieben, gehörten Kopfschmerzen und Myalgie. Systemische nichtallergische Reaktionen wurden von 2% der Patienten in der Gruppe berichtet, die Nucala 100 mg und 3% der Patienten in der Placebo-Gruppe erhielten. Die am häufigsten berichteten Manifestationen systemischer nichtallergischer Reaktionen, die in der Gruppe, die Nuala 100 mg erhielte, berichtete, umfassten Hautausschlag und Myalgie. Ein Großteil der systemischen Reaktionen bei Patienten, die Nucala 100 mg (5/7) erhielten, wurde am Tag der Dosierung erlebt.
Injektion Site Reactions
Injektion site reactions (e.g. pain erythema swelling Juckreiz burning sensation) occurred at a rate of 8% in patients receiving Nucala 100 mg compared with 3% in patients receiving Placebo.
Langfristige Sicherheit
Neunhundertundneunzig Patienten erhielten Nuala 100 mg in Open-Label-Erweiterungsstudien, in denen über zusätzliche Fälle von Herpes Zoster berichtet wurden. Das allgemeine unerwünschte Ereignisprofil war den oben beschriebenen schweren Asthma -Studien ähnlich.
Nebenwirkungens In Pädiatrische Patienten Alterd 6 To 11 Years With Schweres Asthma
Die Sicherheitsdaten für Nucala basieren auf einer klinischen Studie mit offener Label, in denen 36 Patienten mit schwerem Asthma im Alter von 6 bis 11 Jahren eingeschlossen wurden. Die Patienten erhielten 40 mg (für diejenigen, die wiegen <40 kg) or 100 mg (for those weighing ≥40 kg) of Nucala administered subcutaneously once Alle 4 Wochen. Patients received Nucala for 12 weeks (initial short phase). After a treatment interruption of 8 weeks 30 patients received Nucala for a further 52 weeks (long phase). The adverse reaction profile for patients aged 6 to 11 years was similar to that observed in patients aged 12 years Und older.
Nebenwirkungens In Adult Patients With Chronische Rhinosinusitis mit Nasenpolypen
Insgesamt 407 Patienten mit CRSWNP wurden in 1 randomisierten placebokontrollierten multizentrischen 52-wöchigen Behandlungsstudie bewertet. Die Patienten erhielten alle 4 Wochen subkutan Nucala 100 mg oder Placebo. Die Patienten hatten eine wiederkehrende CRSWNP mit früherer Operation und waren mindestens 8 Wochen vor dem Screening auf nasalen Kortikosteroiden [siehe Klinische Studien ]. Of the patients enrolled 35% were female 93% were White Und ages ranged from 18 to 82 years.
Tabelle 3 fasst unerwünschte Reaktionen zusammen, die bei ≥3% der mit Nucala behandelten Patienten und häufiger auftraten als bei Patienten, die in der CRSWNP -Studie mit Placebo behandelt wurden.
Tabelle 3. Nebenwirkungen mit Nucala mit ≥3% Inzidenz und häufiger als Placebo bei Patienten mit chronischer Rhinosinusitis mit Nasenpolypen
| Nebenwirkungen | Nucala (Mepullizumb 100 mg Subkutan) (n = 206) % | Placebo (n = 201) % |
| Oropharyngealschmerz | 8 | 5 |
| Arthralgie | 6 | 2 |
| Bauchschmerzen obere | 3 | 2 |
| Durchfall | 3 | 2 |
| Pyrexie | 3 | 2 |
| Nasal Trockenheit | 3 | <1 |
| Ausschlag | 3 | <1 |
Systemische Reaktionen einschließlich Überempfindlichkeitsreaktionen
In der 52-Wochen <1% in the group receiving Nucala 100 mg Und <1% in the Placebo group. Systemic allergic (type I hypersensitivity) reactions were reported by <1% of patients in the group receiving Nucala 100 mg Und no patients in the Placebo group. The manifestations of systemic allergic (type I hypersensitivity) reactions included urticaria erythema Und Ausschlag Und 1 of the 3 reactions occurred on the day of dosing. Other systemic reactions were reported by no patients in the group receiving Nucala 100 mg Und <1% of patients in the Placebo group.
Injektion Site Reactions
Injektion site reactions (e.g. erythema pruritus) occurred at a rate of 2% in patients receiving Nucala 100 mg compared with <1% in patients receiving Placebo.
Nebenwirkungens In Erwachsene With Chronisch obstruktive Lungenerkrankung
Die folgenden Sicherheitsdaten spiegeln die Sicherheit von Nucala bei Erwachsenen mit unzureichend kontrollierter COPD und einem eosinophilen Phänotyp wider. Nucala wurde in einer gepoolten Sicherheitspopulation bewertet, die aus 2089 Patienten mit COPD in 3 randomisierten placebokontrollierten multizentrischen Studien mit einer Dauer von 52 bis 104 Wochen einschließlich Matinee und Metrex bestand [siehe Klinische Studien ] und Versuch 3. Versuch 3 Registrierte COPD -Erwachsene mit einer peripheren Blut -Eosinophil -Anzahl ≥ 150 Zellen/μl beim Screening oder ≥ 300 Zellen/μl im Vorjahr. Die gepoolte Sicherheitspopulation erhielt Nucala 100 mg (n = 1043) oder Placebo (n = 1046), die alle 4 Wochen subkutan verabreicht wurden, zusätzlich zu den Dreifach-Dreifach-inhalierten Therapien im Hintergrund (z. B. ICS Long-Acting Beta-Agonist [LABA] und langwirksames muskarinisches Antagonist [LAMA]).
Tabelle 4 fasst unerwünschte Reaktionen zusammen, die bei ≥3% der mit Nucala behandelten Patienten und häufiger auftraten als bei Patienten, die in COPD -Studien mit Placebo behandelt wurden.
Tabelle 4. Nebenwirkungen mit Nucala mit ≥3% Inzidenz und häufiger als Placebo bei Patienten mit chronisch obstruktiver Lungenerkrankung in einer gepoolten Sicherheitspopulation (Matinee Metrex und Studie 3)
| Nebenwirkungen | Nucala (Mepullizumb 100 mg Subkutan) (n = 1043) % | Placebo (n = 1046) % |
| Rückenschmerzen | 7 | 6 |
| Durchfall | 5 | 4 |
| Husten | 5 | 4 |
| Oropharyngealschmerz | 4 | 2 |
| Harnwegsinfektion | 4 | 3 |
| Schmerzen in der Extremität | 4 | 3 |
Herpes Zoster
In der gepoolten Sicherheitspopulation 14 (1%) Patienten in der Nuala -Gruppe im Vergleich zu 7 (NULL,7%) Patienten in der Placebo -Gruppe hatten Herpes -Zoster.
Nebenwirkungens In Patients With Eosinophile Granulomatose mit Polyangiitis
Insgesamt 136 Patienten mit EGPA wurden in 1 randomisierten placebokontrollierten multizentrischen 52-wöchigen Behandlungsstudie bewertet. Die Patienten erhielten alle 4 Wochen 300 mg Nucala oder Placebo subkutan. Die eingeschriebenen Patienten hatten mindestens 6 Monate vor der Einschreibung mit Rückfall oder refraktärer Erkrankung eine diagnostizierte EGPA -Diagnose und hatten eine stabile Dosierung von oralem Prednisolon oder Prednison von mehr als oder gleich 7,5 mg/Tag (jedoch nicht mehr als 50 mg/Tag). Mindestens 4 Wochen vor Anmelde [siehe Anmelde) [siehe [siehe [siehe [siehe [siehe) [siehe [siehe [siehe [siehe [siehe) [siehe [siehe [siehe [siehe [siehe) [siehe [siehe [siehe [siehe) [siehe [siehe [siehe [siehe [siehe) [siehe [siehe [siehe [siehe [siehe) [siehe [siehe [siehe [siehe) [siehe [siehe [siehe [siehe [siehe) [siehe [siehe [siehe [siehe) [siehe [siehe [siehe [siehe) [siehe [siehe [siehe [siehe) [siehe) [siehe )ufme Klinische Studien ]. Of the patients enrolled 59% were female 92% were White Und ages ranged from 20 to 71 years. No additional adverse reactions were identified to those reported in the severe asthma trials.
Systemische Reaktionen einschließlich Überempfindlichkeitsreaktionen
In der 52-wöchigen Studie lag der Prozentsatz der Patienten mit systemischen (allergischen und nichtallergischen) Reaktionen in der Gruppe, die 300 mg Nucala und 1% in der Placebo-Gruppe erhielt, 6%. Systemische allergische/überempfindliche Reaktionen wurden von 4% der Patienten in der Gruppe berichtet, die 300 mg Nucala und 1% der Patienten in der Placebo -Gruppe erhielten. Die Manifestationen systemischer allergischer/Überempfindlichkeitsreaktionen, die in der Gruppe berichteten, die 300 mg Nucala erhielt, umfassten Hautausschlags -Pruritus -Ermüdungshypertonie warmes Gefühl in Dyspnoe und Stridor von Stamm- und Nackenkälte. Systemische nichtallergische Reaktionen wurden von 1 (1%) Patienten in der Gruppe berichtet, die 300 mg Nucala und keine Patienten in der Placebo-Gruppe erhielten. Die berichtete Manifestation systemischer nichtallergischer Reaktionen in der Gruppe, die 300 mg Nucala erhielt, war Angioödem. Die Hälfte der systemischen Reaktionen bei Patienten, die 300 mg Nucala (2/4) erhielten, wurde am Tag der Dosierung erlebt.
Injektion Site Reactions
Injektion site reactions (e.g. pain erythema swelling) occurred at a rate of 15% in patients receiving 300 mg of Nucala compared with 13% in patients receiving Placebo.
NebenwirkungensIin Adult And Adolescent Patients With Überdauerosinophiles Syndrom
Insgesamt 108 erwachsene und jugendliche Patienten im Alter von 12 Jahren mit HES wurden in einer randomisierten, placebokontrollierten multizentrischen Behandlung mit 32-Wochen-Behandlungen bewertet. Patienten mit nicht-hematologischem Sekundärer HES oder FIP1L1-PDGFRα-Kinase-positivem HE wurden von der Studie ausgeschlossen. Die Patienten erhielten alle 4 Wochen 300 mg Nucala oder Placebo subkutan. Die Patienten müssen für 4 Wochen vor der Randomisierung eine stabile Dosis von Hintergrund -HES -Therapie gehabt haben [siehe Klinische Studien ]. Of the patients enrolled 53% were female 93% were White Und ages ranged from 12 bis 82 years. No additional adverse reactions were identified to those reported in the severe asthma trials.
Systemische Reaktionen einschließlich Überempfindlichkeitsreaktionen
In der Studie wurden keine systemischen allergischen Reaktionen (Typ -I -Überempfindlichkeit) gemeldet. Weitere systemische Reaktionen wurden von 1 (2%) Patienten in der Gruppe berichtet, die 300 mg Nucala und keine Patienten in der Placebo -Gruppe erhielten. Die berichtete Manifestation anderer systemischer Reaktion war eine multifokale Hautreaktion am Tag der Dosierung.
Injektion Site Reactions
Injektion site reactions (e.g. burning Juckreiz) occurred at a rate of 7% in patients receiving 300 mg of Nucala compared with 4% in patients receiving Placebo.
Nachmarkterfahrung
Zusätzlich zu den aus klinischen Studien gemeldeten Nebenwirkungen wurden während der Verwendung von Nucala nach der Anbietung nach der Anbietung die folgenden unerwünschten Reaktionen identifiziert. Da diese Reaktionen freiwillig aus einer Population unsicherer Größe berichtet werden, ist es nicht immer möglich, ihre Häufigkeit zuverlässig abzuschätzen oder ein kausales Verhältnis zur Arzneimittelexposition herzustellen. Diese Ereignisse wurden aufgrund ihrer Ernsthaftigkeit der Berichterstattung oder ihrer kausalen Verbindung zu Nucala oder einer Kombination dieser Faktoren für die Einbeziehung ausgewählt.
Immunsystemstörungen
Überempfindlichkeitsreaktionen einschließlich Anaphylaxie.
Wechselwirkungen zwischen Arzneimitteln für Nucala
Mit Nucala wurden nicht formale Arzneimittelwechselwirkungsstudien durchgeführt.
Warnungen für Nucala
Eingeschlossen als Teil der 'VORSICHTSMASSNAHMEN' Abschnitt
Vorsichtsmaßnahmen für Nucala
Überempfindlichkeitsreaktionen
Überempfindlichkeitsreaktionen (z. B. Anaphylaxie -Angioödem -Bronchospasmus -Hypotonie -Urtikaria -Ausschlag) sind nach Verabreichung von Nucala aufgetreten. Diese Reaktionen treten im Allgemeinen innerhalb weniger Stunden nach der Verabreichung auf, können jedoch in einigen Fällen einen verzögerten Beginn haben (d. H. Tage). Im Falle einer Überempfindlichkeitsreaktion sollte Nucala abgesetzt werden [siehe Kontraindikationen ].
Akute Symptome von Asthma oder chronisch obstruktiver Lungenerkrankung oder einer akuten sich verschlechternden Erkrankung
Nucala should not be used to treat acute symptoms or acute exacerbations of asthma or COPD. Verwenden Sie Nucala nicht to treat acute bronchospasm or status asthmaticus. Patients should seek medical advice if their asthma or COPD remains uncontrolled or worsens after initiation of treatment with Nucala.
Opportunistische Infektionen: Herpes Zoster
Herpes Zoster ist bei Probanden aufgetreten, die Nuala 100 mg in kontrollierten klinischen Studien erhalten [siehe Nebenwirkungen ]. Consider vaccination if medically appropriate.
Verringerung der Kortikosteroiddosis
Schalten Sie systemische oder inhalierte Corticosteroide (ICs) bei Beginn der Therapie mit Nucala nicht abrupt ab. Die Verringerung der Kortikosteroiddosis, falls geeignet ist, sollte allmählich sein und unter der direkten Aufsicht eines Arztes durchgeführt werden. Eine Verringerung der Kortikosteroiddosis kann mit systemischen Entzugssymptomen und/oder Entladungen in Verbindung gebracht werden, die zuvor durch systemische Kortikosteroid -Therapie unterdrückt wurden.
Parasitäre (Helminthen-) Infektion
Eosinophile können an der immunologischen Reaktion auf einige Helmintheninfektionen beteiligt sein. Patienten mit bekannten parasitären Infektionen wurden von der Teilnahme an klinischen Studien ausgeschlossen. Es ist nicht bekannt, ob Nucala die Reaktion eines Patienten auf parasitäre Infektionen beeinflusst. Behandeln Sie Patienten mit bereits bestehenden Helmintheninfektionen, bevor Sie die Therapie mit Nucala initiieren. Wenn Patienten während der Behandlung mit Nucala infiziert werden und nicht auf die Behandlung von Anti-Helminthen reagieren, stellen Sie die Behandlung mit Nucala nicht, bis sich die Infektion auflöst.
Patientenberatungsinformationen
Raten Sie dem Patienten, die von der FDA zugelassene Patientenkennzeichnung zu lesen ( Patienteninformationen und Anweisungen zur Verwendung ).
Überempfindlichkeitsreaktionen
Die Patienten informieren nach Verabreichung von Nucala über Überempfindlichkeitsreaktionen (z. Weisen Sie die Patienten an, ihren Gesundheitsdienstleister zu kontaktieren, wenn solche Reaktionen auftreten.
Nicht für akute Symptome oder eine sich verschlechternde Krankheit
Informieren Sie die Patienten, dass Nucala keine akuten Asthma -Symptome oder akute Exazerbationen von Asthma oder COPD behandelt. Informieren Sie die Patienten, medizinische Ratschläge zu suchen, wenn ihr Asthma unkontrolliert bleibt oder die Symptome der COPD nach Beginn der Behandlung mit Nucala verschlechtern.
Opportunistische Infektionen: Herpes Zoster
Informieren Sie Patienten, dass Herpes -Zoster -Infektionen bei Patienten aufgetreten sind, die Nucala erhalten, und wenn medizinisch geeignete Patienten darüber informiert werden, dass die Impfung berücksichtigt werden sollte.
Verringerung der Kortikosteroiddosis
Informieren Sie die Patienten, systemische oder inhalierte Kortikosteroide außerhalb der direkten Überwachung eines Arztes nicht einzustellen. Die Patienten darüber informieren, dass die Verringerung der Kortikosteroiddosis mit systemischen Entzugssymptomen und/oder Entladungserkrankungen in Verbindung gebracht werden kann, die zuvor durch systemische Kortikosteroid -Therapie unterdrückt wurden.
Nichtklinische Toxikologie
Karzinogenese -Mutagenese -Beeinträchtigung der Fruchtbarkeit
Langzeitstudien wurden nicht durchgeführt, um das krebserzeugende Potenzial von Mepolizumab zu bewerten. Die veröffentlichte Literatur unter Verwendung von Tiermodellen legt nahe, dass IL-5 und Eosinophile Teil einer frühen Entzündungsreaktion an der Stelle der Tumorentstehung sind und die Tumorabstoßung fördern können. Andere Berichte deuten jedoch darauf hin, dass die Infiltration von Eosinophilen in Tumoren das Tumorwachstum fördern kann. Daher ist das Malignitätsrisiko bei Menschen von einem Antikörper gegen IL-5 wie Mepolizumab unbekannt.
Die männliche und weibliche Fruchtbarkeit wurde aufgrund von keinen nachteiligen histopathologischen Befunden in den Fortpflanzungsorganen von Cynomolgus -Monkeys, die 6 Monate lang monpolizumab erhielten, für 6 Monate bei intravenösen Dosierungen bis zu 100 mg/kg einmal alle 4 Wochen (ungefähr 20 Mal die MRHD von 300 mg) erhielten. Die Paarungs- und Fortpflanzungsleistung war bei männlichen und weiblichen CD-1-Mäusen, die einen analogen Antikörper erhielten, der die Aktivität von Murine IL-5 bei einer intravenösen Dosierung von 50 mg/kg einmal pro Woche hemmte.
Verwendung in bestimmten Populationen
Schwangerschaft
Risikozusammenfassung
Die Daten zur Schwangerschaftsexposition reichen nicht aus, um über das drogenassoziierte Risiko zu informieren. Monoklonale Antikörper wie Mepolizumab werden im Verlauf der Schwangerschaft linear durch die Plazenta transportiert. Daher dürften potenzielle Auswirkungen auf einen Fötus während des zweiten und dritten Schwangerschaftstrimesters wahrscheinlich höher sein. In einer vorgeburtlichen und postnatalen Entwicklungsstudie, die in Cynomolgus -Affen durchgeführt wurde, gab es keinen Hinweis auf fetale Schäden durch die intravenöse Verabreichung von Mepolizumab während der Schwangerschaft bei Dosen, die bis zu ungefähr 9 -mal die Exposition bei der maximal empfohlenen menschlichen Dosis (MRHD) von 300 mg Subcutan (MRHD) von 300 mg Subcutan (anhand der maximaler Empfehlung) erzeugten (MRHD) von 300 mg Subcutan (anhand der maximalen Daten ).
In der US -allgemeinen Bevölkerung beträgt das geschätzte Hintergrundrisiko für größere Geburtsfehler und eine Fehlgeburt bei klinisch anerkannten Schwangerschaften 2% bis 4% bzw. 15% bis 20%.
Klinische Überlegungen
Krankheitsassoziiertes mütterliches und/oder embryofetales Risiko
Bei Frauen mit schlecht oder mäßig kontrollierten Asthma -Beweisen zeigt, dass ein erhöhtes Risiko für Präeklampsie bei Mutter und Frühgeburtswahrnehmung für das Schwangerschaftsalter im Neugeborenen gering ist. Das Ausmaß der Asthmakontrolle sollte bei schwangeren Frauen eng überwacht werden und die Behandlung nach Bedarf angepasst werden, um eine optimale Kontrolle aufrechtzuerhalten.
Daten
Tierdaten
In einer vorgeburtlichen und postnatalen Entwicklung erhielten schwangere Cynomolgus -Affen von Schwangerschaftstagen 20 bis 140 Mepolizumab bei Dosen, die Expositionen bis zu ungefähr 9 Mal produzierten, die mit dem MRHD mit der AUC -Basis erreicht wurden (auf AUC). Mepolizumab hat bis zu 9 Monate nach der Geburt keine negativen Auswirkungen auf das fetale oder neonatale Wachstum (einschließlich Immunfunktion) hervorgerufen. Es wurden keine Untersuchungen auf interne oder Skelettfehlbildungen durchgeführt. Mepolizumab überquerte die Plazenta in Cynomolgus -Affen. Die Konzentrationen von Mepolizumab waren bei Säuglingen bei Säuglingen bis zum Tag 178 nach der Geburt ungefähr 2,4 -mal höher. Die Mepolizumab -Werte in Milch betrugen ≤ 0,5% der mütterlichen Serumkonzentration.
In einer Fruchtbarkeit erhielten schwangere Cd-1-Mäuse für embryonale und embryofetale Entwicklung schwangere Cd-1-Mäuse einen analogen Antikörper, der die Aktivität von Mausinterleukin-5 (IL-5) bei einer intravenösen Dosis von 50 mg/kg einmal pro Woche während der gesamten Schwangerschaft hemmt. Der analoge Antikörper war bei Mäusen nicht teratogen. Es wurde berichtet, dass die embryofetale Entwicklung von IL-5-defizienten Mäusen im Vergleich zu Wildtyp-Mäusen im Allgemeinen nicht betroffen ist.
Stillzeit
Risikozusammenfassung
Es gibt keine Informationen über das Vorhandensein von Mepolizumab in der Muttermilch die Auswirkungen auf das gestillte Kind oder die Auswirkungen auf die Milchproduktion. Mepolizumab ist jedoch ein humanisierter monoklonaler Antikörper (IgG1 Kappa) und Immunglobulin (IgG) ist in kleinen Mengen in der Muttermilch vorhanden. Mepolizumab war nach der Dosierung während der Schwangerschaft in der Milch von Cynomolgus Monkeys nach der Geburt vorhanden [siehe Schwangerschaft ]. The developmental Und health benefits of breastfeeding should be considered along with the mother’s clinical need for Nucala Und any potential adverse effects on the breastfed infant from mepolizumab or from the underlying maternal condition.
Pädiatrische Verwendung
Schweres Asthma
Die Sicherheit und Wirksamkeit von Nucala für schweres Asthma und mit einem eosinophilen Phänotyp wurde bei pädiatrischen Patienten ab 6 Jahren festgelegt.
Die Verwendung von Nucala bei Jugendlichen im Alter von 12 bis 17 Jahren wird durch Beweise aus angemessenen und gut kontrollierten Studien bei Erwachsenen und Jugendlichen gestützt. Insgesamt 28 Jugendliche im Alter von 12 bis 17 Jahren mit schwerem Asthma wurden in die Asthma -Studien der Phase 3 eingeschrieben. Von diesen wurden 25 in den 32-wöchigen Exazerbationsstudium (MENSA) eingeschrieben und hatten ein Durchschnittsalter von 14,8 Jahren. Die Patienten hatten im Vorjahr eine Anamnese von 2 oder mehr Exazerbationen, obwohl sie regelmäßig mittel- oder hochdosiertem ICs plus zusätzlichen Controller (en) mit oder ohne OCS verwendet wurden, und hatten bei Screening oder ≥ 300 Zellen/mcl innerhalb von 12 Monaten die Einschreibung von ≥ 150 Zellen/mcl oder ≥ 300 Zellen/mcl. [Sehen Klinische Studien .] Die Patienten hatten eine Verringerung der Rate der Exazerbationen, die zugunsten von Nucala tendierten. Von den 19 Jugendlichen, die Nucala 9 erhielten, erhielten 100 mg und die mittlere offensichtliche Clearance bei diesen Patienten war 35% weniger als die von Erwachsenen. Das bei Jugendlichen beobachtete Sicherheitsprofil war im Allgemeinen dem der Gesamtpopulation in den Phase 3 -Studien ähnlich [siehe Nebenwirkungen ].
Die Verwendung von Nucala bei pädiatrischen Patienten im Alter von 6 bis 11 Jahren mit schwerem Asthma und mit einem eosinophilen Phänotyp wird durch Beweise aus angemessenen und gut kontrollierten Studien bei Erwachsenen und Jugendlichen mit zusätzlichen pharmakokinetischen pharmakodynamischen und Sicherheitsdaten bei Kindern von 6 bis 11 Jahren gestützt. Eine einzige klinische Open-Label-Studie wurde bei 36 Kindern im Alter von 6 bis 11 Jahren (Durchschnittsalter: 8,6 Jahre 31% weiblich) mit schwerem Asthma durchgeführt. Die Registrierungskriterien waren dieselben wie bei Jugendlichen in der 32-wöchigen Exazerbationsstudie (MENSA). Basierend auf den pharmakokinetischen Daten aus dieser Studie wurde festgestellt, dass eine subkutane Dosis von 40 mg alle 4 Wochen eine ähnliche Exposition gegenüber Erwachsenen und Jugendlichen hat Klinische Pharmakologie ].
Die Wirksamkeit von Nucala bei pädiatrischen Patienten im Alter von 6 bis 11 Jahren wird von der Wirksamkeit bei Erwachsenen und Jugendlichen mit Unterstützung durch pharmakokinetische Analysen mit ähnlichen Arzneimittelexpositionsniveaus für 40 mg verabreichtes subkutanes Unterkutan bei Kindern im Alter von 6 bis 11 Jahren extrapoliert. Klinische Pharmakologie ]. The safety profile Und pharmacodynamic response observed in this trial for children aged 6 to 11 years were similar to that seen in adults Und adolescents [see Nebenwirkungen Klinische Pharmakologie ].
Die Sicherheit und Wirksamkeit bei pädiatrischen Patienten im Alter von jünger als 6 Jahren mit schwerem Asthma wurde nicht festgestellt.
Chronische Rhinosinusitis mit Nasenpolypen
Die Sicherheit und Wirksamkeit bei Patienten im Alter von jünger als 18 Jahren mit CRSWNP wurde nicht festgestellt.
Chronisch obstruktive Lungenerkrankung
Die Sicherheit und Wirksamkeit bei pädiatrischen Patienten im Alter von jünger als 18 Jahren mit COPD wurde nicht festgestellt. COPD ist größtenteils eine Krankheit bei erwachsenen Patienten.
Eosinophile Granulomatose mit Polyangiitis
Die Sicherheit und Wirksamkeit bei Patienten im Alter von jünger als 18 Jahren mit EGPA wurde nicht festgestellt.
Überdauerosinophiles Syndrom
Die Sicherheit und Wirksamkeit von Nucala für HES wurde bei jugendlichen Patienten ab 12 Jahren eingerichtet. Die Sicherheit und Wirksamkeit bei pädiatrischen Patienten im Alter von jünger als 12 Jahren mit HES wurden nicht festgestellt.
Die Verwendung von Nucala für diese Indikation wird durch Beweise aus einer angemessenen und gut kontrollierten Studie (NCT02836496) bei Erwachsenen und Jugendlichen und einer Open-Label-Erweiterungsstudie (NCT03306043) gestützt. Ein Jugendlicher erhielt Nucala während der kontrollierten Studie, und dieser Patient und weitere 3 Jugendliche erhielten während der Open-Label-Verlängerungsstudie Nucala [siehe Klinische Studien ]. The 1 adolescent treated with Nucala in the 32-week trial did not have a HES flare or an adverse event reported. All adolescents received 300 mg of Nucala for 20 weeks in the open-label extension.
Geriatrische Verwendung
Von der Gesamtzahl der mit Nucala (n = 4106) behandelten Patienten für schwere Asthma -Hes -EGPA -CRSWNP und COPD 1073 (26%) waren 65 Jahre alt und älter und 241 (6%) waren 75 Jahre alt und älter [siehe Klinische Studien ]. No overall differences in safety Und effectiveness were observed between these patients Und younger patients. Other reported clinical experience has not identified differences in responses between the elderly Und younger patients but greater sensitivity in some older individuals cannot be ruled out.
Überdosierungsinformationen für Nucala
Es gibt keine spezifische Behandlung für eine Überdosis mit Mepolizumab. Wenn eine Überdosierung auftritt, sollte der Patient bei Bedarf mit der geeigneten Überwachung unterstützt werden. Erwägen Sie, sich mit der Gifthelp-Linie (1-800-222-1222) oder einem medizinischen Toxikologen zu wenden, um zusätzliche Empfehlungen zur Überdosierungsmanagement zu erhalten.
Kontraindikationen für Nucala
Nucala is contraindicated in patients with a history of hypersensitivity to mepolizumab or excipients in the formulation [see Warnungen und Vorsichtsmaßnahmen BESCHREIBUNG ].
Klinische Pharmakologie for Nucala
Wirkungsmechanismus
Mepolizumab ist ein IL-5-Antagonist (IgG1 Kappa). IL-5 ist das Hauptzytokin, das für die Aktivierung des Wachstums und die Differenzierungsrekrutierung und das Überleben von Eosinophilen verantwortlich ist. Mepolizumab bindet an IL-5 mit einer Dissoziationskonstante von 100 pm, die die Bioaktivität von IL-5 hemmt, indem er die Bindung an die Alpha-Kette des IL-5-Rezeptorkomplexes blockiert, das auf der Eosinophil-Zelloberfläche exprimiert wird. Entzündung ist eine wichtige Komponente bei der Pathogenese von Asthma CRSWNP COPD EGPA und HES. Mehrere Zelltypen (z. B. Mastzellen Eosinophile Neutrophile Makrophagen -Lymphozyten) und Mediatoren (z. B. Histamin -Eicosanoide Leukotrien -Zytokine) sind an Entzündungen beteiligt. Mepolizumab durch Hemmung des IL-5-Signals verringert die Produktion und das Überleben von Eosinophilen; Der Mechanismus der MEPOPOLIZUMAB -Wirkung bei Asthma CRSWNP COPD EGPA und HES wurde jedoch nicht endgültig festgelegt.
Pharmakodynamik
Die pharmakodynamische Reaktion (Blut -Eosinophil -Reduktion) nach wiederholten Dosen von mepolizumab, die subkutan oder intravenös verabreicht wurde, wurde bei erwachsenen Probanden mit Asthma- und Blut -Eosinophil -Spiegeln> 200 Zellen/mcl bewertet. Die Probanden erhielten 1 von 4 Mepolizumab -Behandlungen (alle 28 Tage für insgesamt 3 Dosen verabreicht): 12,5 mg subkutanes 125 mg subkutanes 250 mg subkutaner oder 75 mg intravenös. Sechsundsechzig der 70 randomisierten Probanden haben die Studie abgeschlossen. Im Vergleich zu den Grundlinienspiegeln nahmen Blut-Eosinophile in dosisabhängiger Weise ab. Eine Verringerung des Blut-Eosinophilen-Spiegels wurde in allen Behandlungsgruppen bis zum 3-jährigen Tag (48 Stunden nach der Dosis) beobachtet. Am Tag 84 (4 Wochen nach der Lastdosis) betrug die beobachtete geometrische mittlere Reduktion von Blut-Eosinophilen 64% 78% 84% und 90% in den 12,5-mg-subkutanen subkutanen Subkutanbehandlungsgruppen mit einer intravenen 125 mg subkutanen Behandlungsgruppen. Die modellbedingten subkutanen Dosen, die 50% und 90% der maximalen Reduktion von Blut-Eosinophilen am Tag 84 lieferten, wurden auf 11 bzw. 99 mg geschätzt. Diese Ergebnisse zusammen mit den Daten der klinischen Wirksamkeit aus der Dosis-Ranging-Exazerbations-Traumstudie bei erwachsenen und jugendlichen Probanden mit schwerem Asthma stützten die Bewertung von Mepolizumab 75 mg intravenös und 100 mg subkutan in den bestätigenden schwerwiegenden Asthma-Studien [siehe [siehe Klinische Studien ]. Following subcutaneous administration of mepolizumab 100 mg alle 4 Wochen for 32 weeks in adult Und adolescent subjects with severe asthma (Mensa Versuch) blood eosinophils were reduced to a geometric mean count of 40 cells/mcL which corresponds to a geometric mean reduction of 84% compared with Placebo.
Die pharmakodynamische Reaktion (Blut -Eosinophil -Reduktion) wurde auch bei Kindern im Alter von 6 bis 11 Jahren mit schwerem Asthma untersucht. Nach der subkutanen Verabreichung von Mepolizumab 40 mg alle 4 Wochen für 52 Wochen wurden Blut -Eosinophile auf eine geometrische mittlere Anzahl von 48 Zellen/mcl reduziert. Dies entspricht einer geometrischen mittleren Reduktion von 85%.
Das Ausmaß der Verringerung der Jugendlichen und Kinder mit schwerem Asthma wurde innerhalb von 4 Wochen nach der Behandlung beobachtet und während der gesamten Behandlungszeiten gehalten.
Nach der subkutanen Verabreichung von Nucala 100 mg alle 4 Wochen (für CRSWNP oder COPD) oder 300 mg alle 4 Wochen (für EGPA oder HES) wurden Blut -Eosinophile im Vergleich zu Placebo auf eine ähnliche Größe wie bei Patienten mit schwerem Asthma reduziert.
Für Erwachsene mit CRSWNP nach subkutaner Verabreichung von Mepolizumab 100 mg alle 4 Wochen wurden 52 Wochen Blut -Eosinophile auf eine geometrische mittlere Anzahl von 60 Zellen/mcl reduziert. Im Vergleich zu Placebo gab es eine geometrische durchschnittliche Reduzierung von 83%. Diese Größe der Reduktion wurde innerhalb von 4 Wochen nach der Behandlung beobachtet und während des gesamten Behandlungszeitraums gehalten [siehe Klinische Studien ].
Wofür ist Lysin -Ergänzung gut?
Für Erwachsene mit COPD nach subkutaner Verabreichung von Mepolizumab 100 mg alle 4 Wochen für 52 bis 104 Wochen wurden Blut-Eosinophile auf eine geometrische mittlere Anzahl von 50-60 Zellen/mcl reduziert. Im Vergleich zu Placebo gab Klinische Studien ].
Für Erwachsene mit EGPA nach subkutaner Verabreichung von Mepolizumab 300 mg alle 4 Wochen wurden 52 Wochen Blut -Eosinophile auf eine geometrische mittlere Anzahl von 38 Zellen/mcl reduziert. Es gab eine geometrische mittlere Reduktion von 83% im Vergleich zu Placebo, und diese Größe der Reduktion wurde innerhalb von 4 Wochen nach der Behandlung beobachtet [siehe Klinische Studien ].
Für Erwachsene und pädiatrische Patienten ab 12 Jahren mit HES nach subkutaner Verabreichung von Mepolizumab 300 mg alle 4 Wochen für 32 Wochen wurden Blut -Eosinophile auf eine geometrische mittlere Anzahl von 70 Zellen/mcl auf eine geometrische mittlere Anzahl von 70 Zellen reduziert. Es gab eine geometrische mittlere Reduktion von 92% gegenüber Placebo [siehe Klinische Studien ].
Pharmakokinetik
Nach der subkutanen Dosierung bei erwachsenen Probanden mit Asthma-Mepolizumab zeigte sich eine ungefähre Pharmakokinetik von Dosis proportional über einen Dosisbereich von 12,5 bis 250 mg. Die pharmakokinetischen Eigenschaften von Mepolizumab, die bei Probanden mit CRSWNP (Erwachsenen) COPD (Erwachsene) EGPA (Erwachsene) oder HES (Erwachsene und Jugendliche) beobachtet wurden, waren ähnlich wie bei den pharmakokinetischen Eigenschaften (Erwachsene und Jugendliche).
Die subkutane Verabreichung von Mepolizumab 300 mg hatte ungefähr das Dreifache der systemischen Exposition von Mepolizumab 100 mg.
Absorption
Nach 100-mg-subkutaner Verabreichung im Oberarm von erwachsenen und jugendlichen Probanden mit Asthma wurde die Bioverfügbarkeit von Mepolizumab auf etwa 80%geschätzt.
Nach der wiederholten subkutanen Verabreichung alle 4 Wochen gab es ungefähr eine 2-fache Akkumulation im stationären Zustand.
Verteilung
Das zentrale Volksvolumen der Verteilung von Mepolizumab bei erwachsenen Probanden mit Asthma wird für eine 70-kg-Person auf 3,6 l geschätzt.
Beseitigung
Nach subkutaner Verabreichung von Mepolizumab bei erwachsenen Probanden mit Asthma die mittlere terminale Halbwertszeit (T 1/2 ) lag zwischen 16 und 22 Tagen. Die Bevölkerung, die eine systemische Clearance von Mepolizumab bei erwachsenen und jugendlichen Probanden mit Asthma für eine 70-kg-Person auf 0,28 l/Tag beträgt.
Stoffwechsel
Mepolizumab ist ein monoklonaler IgG1 -Antikörper, der von den proteolytischen Enzymen abgebaut wird, die im Körper weit verbreitet sind und nicht auf Lebergewebe beschränkt sind.
Spezifische Populationen
Rassengruppen und männliche und weibliche Patienten
Analysen der Bevölkerungspharmakokinetik zeigten, dass es keinen signifikanten Einfluss auf die Rasse und das Geschlecht auf die Clearance von Mepolizumab gab.
Alter
Analysen der Bevölkerungspharmakokinetik zeigten, dass es keinen signifikanten Effekt des Alters auf die Clearance von Mepolizumab gab.
Pädiatrische Patienten
Die Pharmakokinetik von Mepolizumab nach subkutaner Verabreichung bei Probanden im Alter von 6 bis 11 Jahren mit schwerem Asthma wurde in der ersten 12-wöchigen Behandlungsphase einer klinischen Studie mit offenem Label untersucht. Expositionen (AUC) nach subkutaner Verabreichung entweder 40 mg (für Kinder wie Kinder <40 kg) or 100 mg (for children weighing ≥40 kg) were 1.32 Und 1.97 times higher respectively compared with that observed in adults Und adolescents receiving 100 mg. Based on these results simulation of a 40-mg subcutaneous dose Alle 4 Wochen in children aged 6 to 11 years irrespective of body weight resulted in predicted exposures similar to that observed in adults Und adolescents.
Patienten mit Nierenbehinderung
Es wurden keine klinischen Studien durchgeführt, um die Auswirkung von Nierenbeeinträchtigungen auf die Pharmakokinetik von Mepolizumab zu untersuchen. Basierend auf populations pharmakokinetischen Analysen war die MEPOPOLIZUMAB -Clearance zwischen Probanden mit Kreatinin -Clearance -Werten zwischen 50 und 80 ml/min und Patienten mit normaler Nierenfunktion vergleichbar. In Probanden mit Kreatinin -Clearance -Werten stehen nur begrenzte Daten zur Verfügung <50 mL/min; however mepolizumab is not cleared renally.
Patienten mit Leberbehinderung
Es wurden keine klinischen Studien durchgeführt, um die Auswirkungen einer Leberbeeinträchtigung auf die Pharmakokinetik von Mepolizumab zu untersuchen. Da Mepolizumab durch weit verbreitete proteolytische Enzyme abgebaut wird, die nicht auf Veränderungen des Lebergewebes in der Leberfunktion beschränkt sind, haben es unwahrscheinlich, dass sie sich auf die Eliminierung von Mepolizumab auswirken.
Arzneimittelinteraktionsstudien
Mit Mepolizumab wurden keine formalen Studien zur Wechselwirkung von Arzneimitteln durchgeführt. In der Population Pharmakokinetikanalysen von Phase -3 -Studien gab es keine Hinweise auf eine Wirkung von häufig koadministerierten kleinen Molekülenmedikamenten auf die Exposition von Mepolizumab.
Immunogenität
Die beobachtete Inzidenz von Anti-Drogen-Antikörpern hängt stark von der Empfindlichkeit und Spezifität des Assays ab. Unterschiede in den Assay-Methoden schließen aussagekräftige Vergleiche der Inzidenz von Anti-Drogen-Antikörpern in den nachstehend beschriebenen Studien aus, die mit der Inzidenz von Anti-Drogen-Antikörpern in anderen Studien einschließlich derjenigen von Nucala oder anderer Mepolizumab-Produkte beschrieben wurden.
Bei erwachsenen und jugendlichen Patienten mit schwerem Asthma, das Nucala 100 mg 15/260 (6%) erhielt, hatten nachweisbare Anti-Mepolizumab-Antikörper. Neutralisierende Antikörper wurden bei 1 Patienten mit Asthma nachgewiesen, das Nucala 100 mg erhielt. Anti-Mepolizumab-Antikörper nahmen die Clearance von Mepolizumab leicht zu (ungefähr 20%). Es gab keine Hinweise auf eine Korrelation zwischen Anti-Mepolizumab-Antikörpertitern und Veränderung des Eosinophilenspiegels. Die klinische Relevanz des Vorhandenseins von Anti-Mepolizumab-Antikörpern ist nicht bekannt. In der klinischen Studie mit Kindern im Alter von 6 bis 11 Jahren, wobei schwerwiegendes Asthma Nucala 40 oder 100 mg 2/35 (6%) erhielt, hatten in der ersten kurzen Phase der Studie eine nachweisbare Anti-Mepolizumab-Antikörper nachweisbaren Anti-Mepolizumab-Antikörpern. In der langen Phase des Versuchs hatten keine Kinder nachweisbare Anti-Mepolizumab-Antikörper.
Bei Patienten, die Nucala 100 mg über 52 Wochen für CRSWNP oder über 52 bis 104 Wochen für COPD 6/196 (3%) und 35/999 (4%) erhielten, hatten nachweisbare Anti-Mepolizumab-Antikörper. Bei Patienten, die Nucala 300 mg über 52 Wochen für EGPA oder über 32 Wochen für HES 1/68 erhalten ( <2%) Und 1/53 (2%) had detectable anti-mepolizumab antibodies respectively. No neutralizing antibodies were detected in any of these patients. Because of the low occurrence of anti-drug antibodies the effect of these antibodies on the pharmacokinetics pharmacodynamics safety Und/or effectiveness of Nucala is unknown.
Die gemeldete Häufigkeit von Anti-Mepolizumab-Antikörpern kann die tatsächliche Häufigkeit aufgrund einer geringeren Assayempfindlichkeit in Gegenwart einer hohen Arzneimittelkonzentration unterschätzen. Die Daten spiegeln den Prozentsatz der Patienten wider, deren Testergebnisse in bestimmten Tests für Antikörper gegen Mepolizumab positiv waren.
Klinische Studien
Schweres Asthma
Das Asthma-Entwicklungsprogramm für Nucala bei Patienten ab 12 Jahren umfasste 3 doppelblinde randomisierte, placebokontrollierte Studien: 1 Dosis-Ranging- und Exazerbationsstudie (Dream NCT01000506) und 2 Bestätigungsversuche (MENSA NCT01691521 und SIRIUS NCT01691508). Mepolizumab wurde alle 4 Wochen in allen drei Studien zur Hintergrundbehandlung verabreicht. Alle Patienten setzten ihre Hintergrund -Asthma -Therapie während der gesamten Dauer der Studien fort.
Dosis-Bereitschafts- und Verschlechterungsversuch
Dream war eine 52-wöchige Dosis-Bereitschafts- und Exazerbations-Reduktions-Studie bei Patienten mit schwerem Asthma mit einer Vorgeschichte von 2 oder mehr Exazerbationen im Vorjahr trotz regelmäßiger Verwendung von hochdosierten ICs plus zusätzlichen Controller (en) mit oder ohne OCS. Patienten, die in diese Studie aufgenommen wurden, mussten in den letzten 12 Monaten mindestens 1 der folgenden 4 vorgegebenen Kriterien aufweisen: Blut-Eosinophil-Anzahl von ≥ 300 Zellen/mcl Sputum Eosinophile Anzahl ≥ 3% ausgeatmter Stickoxidkonzentration ≥ 50 ppb oder Zerstörung der Asthma-Kontrollkontrolle nach ≤ 25% Reduktion der regelmäßigen IT/Ocs. Einmal alle 4 Wochen verabreichte Mietsgräber (75 250 und 750 mg) wurden im Vergleich zu Placebo bewertet. Die Ergebnisse dieser Studie und der pharmakodynamischen Studie stützten die Bewertung von Mepolizumab 75 mg intravenös und 100 mg subkutan in den nachfolgenden Studien [siehe Klinische Pharmakologie ]. Nucala is not indicated for intravenous use Und should only be administered by the subcutaneous route.
Bestätigungsversuche
In den beiden Bestätigungsstudien (Mensa und Sirius) wurden insgesamt 711 Patienten mit schwerem Asthma untersucht. In diesen 2 Studien mussten Patienten beim Screening (innerhalb von 6 Wochen nach Dosierung) oder Blut -Eosinophilen von ≥300 Zellen/mcl innerhalb von 12 Monaten nach der Aufnahme Blut -Eosinophile von ≥ 150 Zellen/mcl (innerhalb von 6 Wochen nach der Dosierung) oder im Blut -Eosinophilen aufweisen. Das Screening -Blut -Eosinophilen von ≥150 Zellen/MCL -Kriterien wurde aus explorativen Datenanalysen aus der Traumversuch abgeleitet. MENSA war eine 32-wöchige placebo- und aktiv gesteuerte Studie bei Patienten mit schwerem Asthma mit einer Vorgeschichte von 2 oder mehr Verschlechterungen im Vorjahr, obwohl regelmäßig hochdosierte ICs plus zusätzliche Controller (en) mit oder ohne OCS verwendet wurden. Die Patienten erhielten Mepolizumab 75 mg intravenös (n = 191) Nucala 100 mg (n = 194) oder Placebo (n = 191) einmal alle 4 Wochen für 32 Wochen.
Sirius war eine 24-wöchige OCS-Reduktions-Studie bei Patienten mit schwerem Asthma, die täglich OCS benötigten, zusätzlich zur regelmäßigen Verwendung von hochdosierten ICs plus zusätzliche Controller (en), um die Asthmakontrolle aufrechtzuerhalten. Die Patienten in der Sirius -Studie mussten im Vorjahr keine Verschärfung in der Vorgeschichte haben. Die Patienten erhielten 24 Wochen lang alle 4 Wochen 100 mg (n = 69) oder Placebo (n = 66). Die Verwendung der Basis -Mittelwert -OCS war in den 2 Behandlungsgruppen ähnlich: 13,2 mg in der Placebo -Gruppe und 12,4 mg in der Gruppe, die Nucala 100 mg erhält.
Die demografischen Merkmale und Basismerkmale dieser 3 Versuche sind in Tabelle 5 bereitgestellt.
Tabelle 5. Demografie und Basismerkmale schwerer Asthmaversuche
| TRAUM (N = 616) | Mensa (N = 576) | SIRIUS (N = 135) | |
| Durchschnittsalter Jahre | 49 | 50 | 50 |
| Weibliche N (%) | 387 (63) | 328 (57) | 74 (55) |
| Weiß N (%) | 554 (90) | 450 (78) | 128 (95) |
| Dauer der Asthmajahre Mittelwert | 19 | 20 | 19 |
| Nie geräuchert N (%) | 483 (78) | 417 (72) | 82 (61) |
| Grundlinie FEV 1 L | 1.88 | 1.82 | 1.95 |
| Baseline % prognostizierte FEV 1 | 60 | 61 | 59 |
| Baseline % Reversibility | 25 | 27 | 26 |
| Basis nach der Saba Fev 1 /Fvc | 0.67 | 0.66 | 0.66 |
| Geometrische mittlere Eosinophil -Anzahl bei Basiszellen/mcl | 250 | 290 | 240 |
| Durchschnittliche Anzahl von Exazerbationen im Vorjahr | 3.6 | 3.6 | 3.1 |
| Fev 1 = Zwangsvolumen in 1 Sekunde SABA = kurzwirksames Beta2-Agonist FVC = erzwungene Vitalkapazität |
Exazerbationen
Die Wirksamkeit wurde im Traum und in MENSA unter Verwendung eines Endpunkts der Häufigkeit von Exazerbationen bewertet, die als Verschlechterung des Asthma definiert sind, bei dem orale/systemische Kortikosteroide und/oder Krankenhausaufenthalte und/oder Notfallbesuche verwendet werden müssen. Für Patienten mit Wartung OCS wurde eine Verschlechterung, die OCS erfordert, als Verwendung von oralen/systemischen Kortikosteroiden mindestens die vorhandene Dosis mindestens 3 Tage lang definiert. Im Vergleich zu Placebo -Patienten, die Nucala 100 mg oder Mepolizumab erhielten, erlebten 75 mg intravenös signifikant weniger Exazerbationen. Zusätzlich im Vergleich zu Placebo gab es weniger Verschlechterungen, die Krankenhausaufenthalts- und/oder Notaufnahmenbesuche und Verschlechterungen erfordern, die nur stationäres Krankenhausaufenthalt mit Nucala 100 mg erforderlich waren (Tabelle 6).
Tabelle 6. Rate der Verschärfung in schweren Asthma-Studien Traum und Mensa (Intent-to-Treat-Bevölkerung)
| Versuch | Behandlung | Exazerbationen per Year | ||
| Rate | Unterschied | Rate Ratio (95% dort) | ||
| Alle Verschlechterungen | ||||
| TRAUM | Placebo (n = 155) | 2.40 | ||
| Mepolyzumab 75 mg IV (n = 153) | 1.24 | 1.16 | 0.52 (NULL,39 0,69) | |
| Mensa | Placebo (n = 191) | 1.74 | ||
| Mepolyzumab 75 mg IV (n = 191) | 0.93 | 0.81 | 0.53 (NULL,40 0,72) | |
| Nucala 100 mg SC (n = 194) | 0.83 | 0.91 | 0.47 (NULL,35 0,64) | |
| Exazerbationen requiring hospitalization/emergency room visit | ||||
| TRAUM | Placebo (n = 155) | 0.43 | ||
| Mepolyzumab 75 mg IV (n = 153) | 0.17 | 0.26 | 0.40 (NULL,19 0,81) | |
| Mensa | Placebo (n = 191) | 0.20 | ||
| Mepolyzumab 75 mg IV (n = 191) | 0.14 | 0.06 | 0.68 (NULL,33 1,41) | |
| Nucala 100 mg SC (n = 194) | 0.08 | 0.12 | 0.39 (NULL,18 0,83) | |
| Exazerbationen requiring hospitalization | ||||
| TRAUM | Placebo (n = 155) | 0.18 | ||
| Mepolyzumab 75 mg IV (n = 153) | 0.11 | 0.07 | 0.61 (NULL,28 1,33) | |
| Mensa | Placebo (n = 191) | 0.10 | ||
| Mepolyzumab 75 mg IV (n = 191) | 0.06 | 0.04 | 0.61 (NULL,23 1,66) | |
| Nucala 100 mg SC (n = 194) | 0.03 | 0.07 | 0.31 (NULL,11 0,91) | |
| CI = Konfidenzintervall iv = intravenöser SC = subkutan. |
Die Zeit bis zur ersten Exazerbation war länger für die Gruppen, die Nucala 100 mg und Mepolizumab 75 mg intravenös im Vergleich zu Placebo in MENSA erhielten (Abbildung 1).
Abbildung 1. Kaplan-Meier Cumulative Inzidenzkurve für die Zeit bis zur ersten Exazerbation (MENSA)
|
| Iv = intravenöser SC = subkutan |
TRAUM data were explored to determine criteria that could identify patients likely to benefit from treatment with Nucala. The exploratory analysis suggested that baseline blood eosinophil count of ≥150 cells/mcL was a potential predictor of treatment benefit. Exploratory analysis of Mensa data also suggested that baseline blood eosinophil count (obtained within 6 weeks of initiation of dosing) of ≥150 cells/mcL was a potential predictor of efficacy Und showed a trend of greater exacerbation benefit with increasing blood eosinophil count. In Mensa patients enrolled solely on the basis of the historical blood eosinophil count of ≥300 cells/mcL in the previous 12 months but who had a baseline blood eosinophil count <150 cells/mcL had virtually no exacerbation benefit following treatment with Nucala 100 mg compared with Placebo.
The Asthma Control Questionnaire-5 (ACQ-5) was assessed in Trials DREAM and SIRIUS and the St. George’s Respiratory Questionnaire (SGRQ) was assessed in Trial 2. In Trial 1 the ACQ-5 responder rate (defined as a decrease in score of 0.5 or more as threshold) for the 75-mg intravenous mepolizumab arm was 47% compared with 50% for placebo with an odds ratio (Oder) von 1,1 (95% Konfidenzintervall [CI]: 0,7 1,7). In MENSA betrug die ACQ-5-Responderrate für den Behandlungsarm für Nucala 100 mg 57% gegenüber 45% für Placebo mit einem oder von 1,8 (95% CI: 1,2 2,8). In MENSA betrug die SGRQ -Responderrate (definiert als eine Abnahme der Punktzahl von 4 oder mehr als Schwellenwert) für den Behandlungsarm für Nucala 100 mg 71% gegenüber 55% für Placebo mit oder von 2,1 (95% CI: 1,3 3,2).
Orale Kortikosteroidreduktion
Schweres Asthma Versuch SIRIUS evaluated the effect of Nucala 100 mg on reducing the use of maintenance OCS. Efficacy was assessed using an endpoint of the percent reduction of OCS dose during Weeks 20 to 24 compared with baseline dose while maintaining asthma control. Patients were classified according to their change in OCS use during the trial with the following categories: 90% bis 100% decrease 75% to <90% decrease 50% bis <75% decrease> 0% bis <50% decrease Und no improvement (i.e. no change or any increase or lack of asthma control or withdrawal of treatment). Compared with Placebo patients receiving Nucala 100 mg achieved greater reductions in daily maintenance OCS dose while maintaining asthma control. Sixteen (23%) patients in the group receiving Nucala 100 mg versus 7 (11%) in the Placebo group had a 90% bis 100% reduction in their OCS dose. Twenty-five (36%) patients in the group receiving Nucala 100 mg versus 37 (56%) in the Placebo group were classified as having no improvement for OCS dose. Additionally 54% of patients receiving Nucala 100 mg achieved at least a 50% reduction in the daily prednisone dose compared with 33% of patients receiving Placebo (95% dort for difference: 4% 37%). An exploratory analysis was also performed on the subgroup of 29 patients in Versuch 3 who had an average baseline Und screening blood eosinophil count <150 cells/mcL. Five (29%) patients in the group receiving Nucala 100 mg versus 0 (0%) in the Placebo group had a 90% bis 100% reduction in their dose. Four (24%) patients in the group receiving Nucala 100 mg versus 8 (67%) in the Placebo group were classified as having no improvement for OCS dose. The ACQ Und SGRQ were also assessed in SIRIUS Und showed results similar to those in Mensa.
Lungenfunktion
Wechseln Sie in 1 Sekunde (FEV 1 ) wurde in allen 3 Versuchen gemessen und ist in Tabelle 7 dargestellt. Im Vergleich zu Placebo Nucala 100 mg hat sich die mittlere Änderung gegenüber dem Ausgangswert in FEV nicht konsistent verbessert 1 .
Tabelle 7. Änderung von der Ausgangswert in FEV 1 (ml) in schweren Asthmaversuchen
| Versuch | Unterschied from Placebo in Bedeuten Ändern from Grundlinie FEV 1 (ML) (95% CI) | ||
| Woche 12 | Woche 24 | Wochen 32/52 | |
| TRAUM a | 10 (-87 108) | 5 (-98 108) | 61 (-39 161) b |
| Mensa c | 52 (-30 134) | 76 (-6 159) | 98 (11 184) d |
| SIRIUS c | 56 (-91 203) | 114 (-42 271) | N / A |
| Fev 1 = Zwangsvolumen in 1 Sekunde CI = Konfidenzintervall. a Dosis = 75 mg intravenös. b Fev 1 in Woche 52. c Dosis = 100 mg subkutan. d Fev 1 in Woche 32. |
Die Wirkung von Mepolizumab auf die Lungenfunktion wurde auch in einer 12-wöchigen, placebokontrollierten Studie untersucht, in der Patienten mit Asthma auf einer moderaten ICS-Dosis mit Anzeichen von Symptomen und Lungenfunktionsstörungen einbezogen wurden. Die Registrierung hing nicht von einer Vorgeschichte von Verschlechterungen oder einer vorgegebenen Eosinophil-Anzahl ab. Wechseln Sie von der Grundlinie in FEV 1 In Woche 12 war in den MEPOPOPOLIZUMAB -Behandlungsgruppen numerisch niedriger als in der Placebo -Gruppe.
Chronische Rhinosinusitis mit Nasenpolypen
Insgesamt 407 erwachsene Patienten mit CRSWNP wurden in einer randomisierten doppelblinden, placebokontrollierten multizentrischen 52-Wochen-Studie (NCT03085797) bewertet. Die Patienten erhielten alle 4 Wochen subkutan und placebo, während sie die nasale Kortikosteroid -Therapie subkutan verabreicht hatten. Die Patienten müssen für ≥8 Wochen Vorabschärfe im Hintergrund nasales Kortikosteroid erhalten haben. Die Patienten hatten rezidivierende und symptomatische CRSWNP und mindestens 1 Operation zur Entfernung von Nasenpolypen in den letzten 10 Jahren. Die Patienten mussten nasale Obstruktionssymptome mit einem visuellen Analogskala (VAS) von> 5 von einem maximalen Score von 10 aufweisen. Die Patienten mussten auch einen endoskopischen bilateralen Nasenpolypen -Score (NPS) von ≥ 5 von 8 mit NPs ≥2 in jeder Nasenhöhle aufweisen. Die Patienten berichteten, dass VAS -Werte von Nasenverstopfungen täglich erzielt wurden, indem sie eine einzelne Marke auf eine kontinuierliche Linie, die von 0 (keine) auf 100 markiert wurde (so schlimm, wie Sie sich vorstellen können) markiert wurden. Die Entfernung entlang der Linie wurde zur Bewertung in eine Skala von 0 bis 10 Punkten umgewandelt. Für NPS -Polypen auf jeder Seite der Nase wurden auf einer kategorialen Skala bewertet (0 = keine Polypen 1 = kleine Polypen im mittleren Fleisch, die nicht unterhalb des unteren Randes der mittleren Concha 2 = Polypen erreichten, die unterhalb der unteren Grenze des unteren Randes des mittleren Turbinens 3 = große Polypen der unteren Grenze des Mitte des Middienkegyps, das die Mitte des Middienkonkers erreicht, nach dem Mitte des Middle -Middien -Konks 4 = Grenze des Mitte des Mitte des Mittelkonsches, 4 = Mayer -Grenze/Large -Polypen, der medielles Polypen erreicht. Minderwertiges Meatus) für eine Gesamtbewertung von 0 bis 8. Sinus -CT -Scans wurden weder zu Studienbeginn noch während der Behandlung durchgeführt, um die Sinusabzugung zu bewerten.
Die ko-primären Endpunkte wurden von Grundlinie zu Woche 52 in den gesamten endoskopischen NPs (0 bis 8 Skala) verändert, wie von unabhängigen geblendeten Assessoren abgestimmt und in der Wochen 49 bis 52 von der Ausgangslinie in der Nasenverstopfung VAS-Wert (0 bis 10). Der wöchentliche Sekundärendpunkt war an der Zeit bis zur ersten Naser (Nasal-Polypectomy) bis zur Woche 52 in dieser Trials. Andere sekundäre Endpunkte wurden in den Wochen 49 zu 52 von dem Ausgangsbeginn des VAS -Werts von VAS verändert und der Anteil der Patienten, die systemische Steroide für Nasenpolypen bis in Woche 52 benötigten. Alle VAS -Werte wurden täglich von den Patienten gesammelt und auf einer Skala von 0 bis 10 (0 = keine 10 = so schlecht wie Sie sich vorstellen).
Die demografischen Merkmale und Basismerkmale von Patienten in dieser Studie sind in Tabelle 8 bereitgestellt.
Tabelle 8. Demografie und Grundlinieneigenschaften bei chronischer Rhinosinusitis mit Nasenpolypen
| N = 407 | |
| Durchschnittsalter Jahre | 49 |
| Weibliche N (%) | 143 (35) |
| Weiß N (%) | 379 (93) |
| Mittlere CRSWNP -Dauer in Jahren (SD) | 11.4 (8.4) |
| Patienten mit einer ≥1 Operation in den letzten 10 Jahren (%) | 407 (100) |
| Patienten mit ≥3 Operationen in den letzten 10 Jahren (%) | 124 (30) |
| OCS -Verwendung (≥1 Verlauf) in den letzten 12 Monaten N (%) | 197 (48) |
| Mittlere bilaterale endoskopische NPs a (SD) Bereich 0-8 | 5,5 (NULL,29) |
| Mittlerer Nasenverstopfung Vas Score (SD) Reichweite 0-10 | 9,0 (NULL,83) |
| Geometrische mittlere Blut -Eosinophil -Zellen/mcl (95% CI) | 390 (360 420) |
| Asthma n (%) | 289 (71) |
| Aerd N (%) | 108 (27) |
| CRSWNP = chronische Rhinosinusitis mit Nasenpolypen SD = Standardabweichung OCS = orales Kortikosteroid NPS = Nasenpolyp-Score Vas = visuelle analoge Skala CI = Konfidenzintervall aerd = Aspirin-exacerisierte Atemwegserkrankung. a Wie von unabhängigen verblindeten Gutachtern bewertet. |
Endoskopischer Nasenpolyp -Score und Nasenverstopfung visuelle Analogskala -Scores
Patienten, die Nucala 100 mg erhielten, hatten in Woche 52 eine statistisch signifikante Verbesserung (Abnahme) in bilateralen NPs und die VAS -Bewertung der Nasenverstopfung von Wochen 49 bis 52 am Ende der 52 -Wochen -Behandlungszeit (Tabelle 9).
Tabelle 9. Analysen von Endpunkten bei chronischer Rhinosinusitis mit Nasenpolypen
| Punktzahlen a (Reichweite) | Placebo n = 201 | Nucala 100 mg n = 206 | Mittlerer Unterschied vs. Placebo (95% dort) | ||
| Grundlinie Bedeuten (SD) | Bedeuten Ändern b (Se) | Grundlinie Bedeuten (SD) | Bedeuten Ändern b (Se) | ||
| NPS | 5.6 | 0.06 | 5.4 | -0.87 | -0.93 |
| (0-8) | (1.41) | (NULL,14) | (1.17) | (NULL,14) | (-1.31 -0.55) |
| Nasal | 9.02 | -2.54 | 8.92 | -4.40 | -1.86 |
| Obstruktion (0-10) | (NULL,83) | (NULL,25) | (NULL,83) | (NULL,25) | (-2.53 -1.19) |
| SD = Standardabweichung SE = Standardfehler CI = Konfidenzintervall NPS = Nasal -Polyp -Score in Woche 52. a Patienten mit Nasenoperation wurden für den Zeitraum nach der Nasenoperation den schlimmsten möglichen Wert zugeordnet. Fehlende Daten wurden basierend auf den verfügbaren Off-Behandlungsdaten über die Behandlungsarme hinweg unterstellt. Die Imputationen wurden durch Besuch schrittweise vorgenommen und auf Daten aus früheren Besuchen mit denselben Kovariaten konditioniert, die im Analysemodell verwendet wurden. b Die am wenigsten quadratischen Mittelwerte aus der Analyse unter Verwendung gemischter Modell wiederholte Messungen mit Kovariaten des Basiswerts der Behandlungsgruppe und der Basisbewertung der Basisblut -Eosinophil -Anzahl der Interaktionsbegriffe für den Besuch nach Basislinie und Besuch durch die Behandlung. |
Nasal Polypectomy
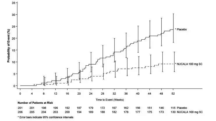
Der wichtigste sekundäre Endpunkt war der Zeitpunkt der ersten Nasenchirurgie (Nasenpolypektomie) bis in Woche 52. Der Anteil der Patienten mit einer Operation war signifikant um 57% (Hazard -Verhältnis [HR]: 0,43 95% CI: 0,25 0,76) in der mit Nucala 100 mg im Vergleich zu einer Placebo -Gruppe behandelten Gruppe (Abbildung 2). In Woche 52 18 (9%) Patienten, die Nucala 100 mg erhielten, wurden im Vergleich zu 46 (23%) Patienten in der Placebo -Gruppe operiert.
Abbildung 2. Kaplan-Meier-Zeitplan für die erste Nasenoperation bei chronischer Rhinosinusitis mit Nasenpolypen
|
| Sc = subkutan. |
Zusätzliche chronische Rhinosinusitis mit Nasenpolypen -Symptomenwerten
Bei Patienten, die Nucala 100 mg statistisch signifikante Verbesserungen erhielten, wurde im Vergleich zu Placebo im Vergleich zu Placebo auch in den einzelnen VAS-Symptomwerten im Vergleich zu Patienten in der Placebo-Gruppe in den 4 Wochen vor dem Ende der Behandlungszeit von 52 Wochen beobachtet (Tabelle 10).
Tabelle 10: Zusätzliche Symptom-Scores der visuellen Analogskala in den Wochen 49-52 bewertet
| VAS -Werte a (Reichweite) | Placebo n = 201 | Nucala 100 mg n = 206 | Bedeuten Unterschied vs. Placebo (95% dort) | ||
| Grundlinie Bedeuten (SD) | Bedeuten Ändern b (Se) | Grundlinie Bedeuten (SD) | Bedeuten Ändern b (Se) | ||
| Geruchsverlust | 9,68 (NULL,60) | -1,46 (NULL,24) | 9,63 (NULL,83) | -2.92 (NULL,24) | -1.46 |
| (0-10) | (-2.11 -0.81) | ||||
| Nasal discharge c | 8.78 (NULL,25) | -2.49 (NULL,26) | 8.78 (NULL,07) | -4.38 (NULL,25) | -1.89 |
| (0-10) | -(-2,58 -1.20) | ||||
| Schleim im Hals c | 8.58 (NULL,63) | -2.37 (NULL,26) | 8.51 (NULL,61) | -4.07 (NULL,26) | -1.70 |
| (0-10) | (-2.41 -0.99) | ||||
| Gesichtsschmerzen c | 7.77 (NULL,72) | -2.04 (NULL,28) | 7.76 (NULL,51) | -3.73 (NULL,27) | -1.69 |
| (0-10) | (-2.43 -0,95) | ||||
| Vas = visuelle analoge Skala SD = Standardabweichung SE = Standardfehler CI = Konfidenzintervall. a Patienten mit Nasenoperation wurden für den Zeitraum nach der Nasenoperation die schlechteste Punktzahl zugeordnet. Fehlende Daten wurden basierend auf den verfügbaren Off-Behandlungsdaten über die Behandlungsarme hinweg unterstellt. Die Imputationen wurden durch Besuch schrittweise vorgenommen und auf Daten aus früheren Besuchen mit denselben Kovariaten konditioniert, die im Analysemodell verwendet wurden. b Das am wenigsten quadratische Mittelwerte aus einer Analyse unter Verwendung von gemischten Modell wiederholten Maßnahmen mit Kovariaten des Basiswerts der Behandlungsgruppe und der Basis -Basis -Blut -Eosinophil -Anzahl der Interaktionsbegriffe für den Besuch durch Basislinie und Besuch durch Behandlung. c Dieser Endpunkt wurde im Analyseplan nicht vorgegeben, um die Multiplizität anzupassen |
Kortikosteroidreduktion
Behandlung with Nucala 100 mg significantly reduced the need for systemic steroids for nasal polyps vs. Placebo up to Week 52 (OR: 0.58 95% dort: 0.36 0.92). In patients who received Nucala 100 mg 52 (25%) required ≥1 course of systemic steroids compared with 74 (37%) in the Placebo group throughout the 52-week treatment period.
Führt bei Patienten mit komorbiden Asthma
Bei 289 (71%) Patienten mit ko-morbiden Asthma-vorgegebenen Analysen zeigten Verbesserungen in den koprimären Endpunkten, die mit denen in der Gesamtpopulation bei den Patienten, die Nuala 100 mg erhalten haben, im Vergleich zu Placebo in Einklang gebracht wurden. Darüber hinaus gab es auf einer Post-hoc-Analyse bei diesen Patienten eine stärkere Reaktion von Ausgangswert in Woche 52 bei der Asthmakontrolle, gemessen mit dem ACQ-5 für Nucala 100 mg im Vergleich zu Placebo (57% der Nucala-Patienten trafen die Responder-Schwellenreduktion von ≥ 0,5 im Vergleich zu 35% in der Placebo-Gruppe mit einer OR-OR-oder von 2,42 [95% CI 1.43 4.11].
Chronisch obstruktive Lungenerkrankung
Die Wirksamkeit von Nucala als Erhaltungsbehandlung bei erwachsenen Patienten mit unzureichend kontrollierten chronisch obstruktiven Lungenerkrankungen (COPD) und einem eosinophilen Phänotyp wurde in zwei randomisierten doppelblinden placebokontrollierten Multicentrum-Studien (Matinee [NCT04133909] und METREX [NCT0205948] bewertet. In den beiden Studien wurden insgesamt 1640 Erwachsene eingeschrieben, die alle 4 Wochen subkutan subkutan für eine Behandlungsdauer von 52 bis 104 Wochen in Matinee oder 52 Wochen in Metrex subkutan verabreicht wurden. Während 1640 Erwachsene in die beiden klinischen Studien (Matinee und Metrex) eingeschlossen waren, bestand die Wirksamkeitspopulation aus 1266 Erwachsenen.
Beide Studien haben Patienten mit einer COPD-Diagnose mit mittelschwerer bis sehr schwerer Luftstrombeschränkung (Post-Bronchodilatator FEV) eingeschlossen 1 /Fvc ratio <0.7 Und post-bronchodilator Fev 1 von 20% bis 80% vorhergesagt) und mindestens 2 mittelschwere oder 1 schwere COPD -Exazerbation im Vorjahr, obwohl er eine dreifache inhalative Therapie erhielt.
Bei Matinee mussten Patienten beim Screening eine minimale Blut -Eosinophil -Anzahl von 300 Zellen/mcl aufweisen. In metrex gab es keine minimale Blut -Eosinophil -Anzahl erforderlich, aber die Randomisierung wurde durch Basisblut -Eosinophil -Anzahl geschichtet: ≥ 150 Zelle/mcl beim Screening oder ≥ 300 Zell/MCl in den letzten 12 Monaten oder Blut -Eosinophilenzahl <150 cells/mcL at screening with no evidence of blood eosinophil count ≥300 cell/mcL in the previous 12 months. There was insufficient data from Metrex to support the efficacy of Nucala in patients with COPD with blood eosinophil count <150 cells/mcL at screening with no evidence of blood eosinophil count ≥300 cell/mcL in the previous 12 months. Thus the efficacy population (N = 1266) included patients from MATINEE (n = 804) Und patients from Metrex who had a blood eosinophil count ≥150 cell/mcL at screening or ≥300 cell/mcL in the previous 12 months (n = 462). The data from this efficacy population is described below.
Die demografischen und Grundlinieneigenschaften der Effizienzpopulation von Matinee und Metrex sind in Tabelle 11 unten angegeben.
Tabelle 11: Demografie und Basismerkmale von Patienten mit chronisch obstruktiver Lungenerkrankung in Matinee- und Metrexa -Studien
| MATINEE | Metrex a | |
| N = 804 | N = 462 | |
| Bedeuten age (y) (SD) | 66 (NULL,0) | 65 (NULL,4) |
| Weibliche N (%) | 253 (31) | 163 (35) |
| Weiß N (%) | 673 (84) | 391 (85) |
| Asiatischer N (%) | 112 (14) | 5 (1) |
| Schwarz oder Afroamerikaner N (%) | 10 (1) | 6 (1) |
| Andere/mehrere n (%) | 9 (1) | 60 (13) |
| Hispanic/Latino N (%) | 189 (24) | 75 (16) |
| Aktuelle Raucher N (%) | 222 (28) | 134 (29) |
| Durchschnittliche Rauchergeschichte (Packjahre) (SD) | 43 (NULL,9) | 44 (NULL,8) |
| Post-bronchodilator % prognostiziert FEV 1 Mittelwert (SD) | 48 (NULL,8) | 44 (NULL,8) |
| Post-Bronchodilator Fev 1 /Fvc Mittelwert (SD) | 0,5 (NULL,12) | 0,5 (NULL,12) |
| Bedeuten number of moderate b oder schwerwiegend c Verschlechterungen im Vorjahr (SD) | 2,3 (NULL,94) | 2,5 (NULL,29) |
| Hintergrund -COPD -Medikamente bei Randomisierung: ICS/LAMA/LABA N (%) | 794 (99) | 454 (98) |
| SGRQ Score Mean (SD) | 55 (NULL,8) | 55 (NULL,7) |
| Geometrische mittlere Eosinophil -Anzahl bei Screening -Zellen/mcl (95% CI) | 480 (470 490) | 260 (250 280) |
| SD = Standardabweichung FEV 1 = erzwungenes expiratorisches Volumen in 1 Sekunde FVC = erzwungene Vitalkapazität COPD = chronisch obstruktive Lungenerkrankung ICs = inhalierte Kortikosteroide Lama = langwirksames muskarinisches Antagonist Laba = langwirksames Beta-Agonist SGRQ = St. George's Respiratory Fragestaire CI = CONFEHLE INTERVAL. a Patienten mit Blut -Eosinophil -Anzahl ≥ 150 Zelle/mcl bei Screening oder ≥ 300 Zell/mcl nur in den letzten 12 Monaten. b Exazerbationen treated with either systemic corticosteroids with or without antibiotics. c Exazerbationen requiring hospitalization. |
Annualisierte Rate mit moderaten oder schweren Exazerbationen bei erwachsenen Patienten mit chronisch obstruktiver Lungenerkrankung
Der primäre Endpunkt für die Matine- und Metrex-Studien war die annualisierte Rate mit moderaten oder schweren Exazerbationen während der Behandlungszeiträume von 52 bis 104 Wochen bzw. 52 Wochen. Mäßige Exazerbationen werden pro Protokoll als klinisch signifikante Exazerbationen definiert, die eine Behandlung mit oralen/systemischen Kortikosteroiden und/oder Antibiotika erfordern. Schwere Exazerbationen werden pro Protokoll als klinisch signifikante Exazerbationen definiert, die stationäres Krankenhausaufenthalt (d. H. ≥24 Stunden) erfordern oder zum Tod führen.
In beiden Studien zeigte NuCala eine statistisch signifikante Verringerung der annualisierten Rate mit moderaten oder schweren Exazerbationen im Vergleich zu Placebo, wenn sie zu einer dreifachen inhalierten Therapie zugesetzt wurde (siehe Tabelle 12).
Tabelle 12. annualisierte Rate von moderat a oder schwerwiegend b Exazerbationen in MATINEE Und Metrex Versuchs
| MATINEE | Metrex c | |||
| Nucala N = 403 | Placebo N = 401 | Nucala N = 233 | Placebo N = 229 | |
| Verschlimmerung Zinssatz pro Jahr | 0.80 | 1.01 | 1.40 | 1.71 |
| Rate ratio vs. | 0.79 | 0.82 | ||
| Placebo (95% dort) | (NULL,66 0,94) | (NULL,68 0,98) | ||
| CI = Konfidenzintervall. a Exazerbationen treated with either systemic corticosteroids/antibiotics. b Exazerbationen requiring hospitalization or resulting in death. c Patienten mit Basis -Eosinophilen> 150 Zelle/mcl bei Screening oder ≥ 300 Zell/mcl in den letzten 12 Monaten. |
Die Zeit bis zur ersten Ereignisanalyse zeigte eine statistisch signifikante Verringerung des Risikos einer moderaten oder schweren Exazerbation bei Patienten, die Nucala im Vergleich zu Placebo (HR: 0,77; 95% CI: 0,64 0,93) bis 104 Wochen in Matinee erhielten.
Nucala reduced the annualized rate of COPD exacerbations requiring emergency department visits Und/or hospitalization when compared with Placebo (rate ratio [RR] of 0.65; 95% dort: 0.43 0.96 [not statistically significant due to failure of an endpoint higher in the pre-defined testing hierarchy]) in MATINEE.
Gesundheitsbezogene Lebensqualität
In Matinee und Metrex wurde in Woche 52 der St. George's Atem Respiratory Fragebogen (SGRQ) Total Score Respononder -Rate (definiert als Anteil der Probanden mit SGRQ -Verbesserung gegenüber mindestens 4 Punkten) bewertet. In der Matinee betrug die Responderrate in der Nuala -Gruppe 50% gegenüber 46% in der Placebo -Gruppe (n = 783 Odds Ratio [OR]: 1,17; 95% CI: 0,87 1,57). In der Metrex -Wirksamkeitspopulation betrug die Responder -Rate in der Nuala -Gruppe 42%, verglichen mit 40% in der Placebo -Gruppe (n = 451 Odds Ratio [OR]: 1,08; 95% CI: 0,74 1,59).
Eosinophile Granulomatose mit Polyangiitis
Insgesamt 136 erwachsene Patienten mit EGPA wurden in einer randomisierten placebokontrollierten multizentrischen 52-Wochen-Studie (NCT02020889) bewertet. Die Patienten erhielten alle 4 Wochen 300 mg Nucala oder Placebo verabreicht, während sie ihre stabile OCS -Therapie fortsetzten. Ab Woche 4 wurde OCS während der Behandlungszeit nach Ermessen des Ermittlers verjüngt. Die Wirksamkeit wurde in dieser Studie unter Verwendung von Co-Endpunkten der gesamten Remissionsdauer über den 52-wöchigen Behandlungszeitraum bewertet, der als Birmingham-Vaskulitis-Aktivitäts-Score (BVAs) definiert ist (keine aktive Vaskulitis) plus Prednisolon oder Prednison-Dosis weniger als 4 mg/Tag, und der Anteil der Patienten in der Remission bei der Remission bei der Remission von Woche 48 und Woche 48 der Woche 48 der Behandlung von 48 der Behandlung 48 der Behandlung 48 der Behandlung 48 der Behandlung 48 der Behandlung 48 der Behandlung 48 der Behandlung 48 der Behandlung 48 der Behandlung 48 der Behandlung 48 der Behandlung 48 der Behandlung. Die BVAs ist ein in Kliniker abgeschlossener Instrument zur Beurteilung einer klinisch aktiven Vaskulitis, die nach Ausschluss anderer Ursachen wahrscheinlich behandelt werden muss.
Die demografischen Merkmale und Basismerkmale von Patienten in dieser Studie sind in Tabelle 13 bereitgestellt.
Tabelle 13. Demografie und Grundlinieneigenschaften bei eosinophiler Granulomatose mit Polyangiitis
| N = 136 | |
| Durchschnittsalter Jahre | 48.5 |
| Weibliche N (%) | 80 (59) |
| Weiß N (%) | 125 (92) |
| Dauer der EGPA -Jahre Mittelwert (SD) | 5.5 (NULL,63) |
| Geschichte von> 1 bestätigte Rückfall in den letzten 2 Jahren N (%) | 100 (74) |
| Feuerfeste Erkrankung N (%) | 74 (54) |
| 68 (50) | |
| 6 (4) | |
| Grundlinie oral corticosteroid a Tägliche Dosis Mg Median (Bereich) | 12 (NULL,5-50) |
| Erhalt einer immunsuppressiven Therapie b N (%) | 72 (53) |
| EGPA = eosinophile Granulomatose mit Polyangiitis SD = Standardabweichung. a Prednison oder Prednisolonäquivalent. b z.B. Azathioprin -Methotrexat -Mycophenolsäure |
Remission
Patienten, die 300 mg Nucala erhielten, erreichten im Vergleich zu Placebo eine signifikant höhere Zeit in der Remission. Ein signifikant höherer Anteil der Patienten, die 300 mg Nucala erhielten, erreichte sowohl in Woche 36 als auch in Woche 48 im Vergleich zu Placebo eine Remission (Tabelle 14). Die Ergebnisse der Remissionskomponenten sind auch in Tabelle 14 gezeigt. Darüber hinaus wurden signifikant mehr Patienten, die 300 mg Nucala erhalten, innerhalb der ersten 24 Wochen eine Remission erreicht und für den Rest der 52-wöchigen Versuchsbehandlungsperiode im Vergleich zu Placebo (19% für 300 mg Nucala versus 1% für Placebo; OR: 19.7; 95% CI: 2.3 167.9).
Tabelle 14. Remission und Remissionskomponenten bei eosinophiler Granulomatose mit Polyangiitis
| Remission (OCS ≤ 4 mg/Tag Bvas = 0) | OCs ≤ 4 mg/Tag | Bvas = 0 | ||||
| Placebo n = 68 | Nucala 300 mg n = 68 | Placebo n = 68 | Nucala 300 mg n = 68 | Placebo n = 68 | Nucala 300 mg n = 68 | |
| Aufgelaufene Dauer über 52 Wochen N (%) | ||||||
| 0 | 55 (81) | 32 (47) | 46 (68) | 27 (40) | 6 (9) | 3 (4) |
| > 0 bis <12 weeks | 8 (12) | 8 (12) | 12 (18) | 5 (7) | 15 (22) | 13 (19) |
| 12 bis <24 weeks | 3 (4) | 9 (13) | 6 (9) | 12 (18) | 11 (16) | 5 (7) |
| 24 bis <36 weeks | 0 | 10 (15) | 2 (3) | 10 (15) | 17 (25) | 2 (3) |
| ≥36 Wochen | 2 (3) | 9 (13) | 2 (3) | 14 (21) | 19 (28) | 45 (66) |
| Odds Ratio (Nucala/Placebo) a | 5.9 | 5.1 | 3.7 | |||
| (95% dort) | (2.7 13.0) | (2.5 10.4) | (1.8 7,6) | |||
| Anteil der Patienten in beiden Wochen 36 und 48 | ||||||
| Patienten N (%) | 2 (3) | 22 (32) | 7 (10) | 28 (41) | 23 (34) | 34 (50) |
| Odds Ratio (Nucala/Placebo) a | 16.7 | 6.6 | 1.9 | |||
| (95% dort) | (3.6 77,6) | (2.6 17.1) | (NULL,9 4,2) | |||
| OCS = oraler Kortikosteroid BVAs = Birmingham Vaskulitis Aktivitätswert CI = Konfidenzintervall. a Ein Quotenverhältnis> 1 bevorzugt Nucala. |
Zusätzlich wurde ein statistisch signifikanter Nutzen für diese Endpunkte unter Verwendung von Remission als BVAS = 0 plus Prednisolon/Prednison ≤ 7,5 mg/Tag nachgewiesen.
Rückfall
Die Zeit bis zum ersten Rückfall (definiert als eine Verschlechterung der Vaskulitis-Asthma- oder chinesisch-nasalen Symptome, die eine Erhöhung der Dosis von Kortikosteroiden oder immunsuppressiven Therapie oder Krankenhausaufenthalt erfordern) war bei Patienten, die 300 mg Nucala erhielten, signifikant länger im Vergleich zu Placebo mit einem HR von 0,32 (95% CI: 0,21,5). Zusätzlich hatten Patienten, die 300 mg Nucala erhielten, eine Rückfallrate im Vergleich zu Patienten, die Placebo erhielten (RR: 0,50; 95% CI: 0,36 0,70 für 300 mg Nucala im Vergleich zu Placebo). Die Inzidenz und die Anzahl der Rückfalltypen (Vaskulitis Asthma Sino-Nasal) waren mit Nucala im Vergleich zu Placebo numerisch niedriger.
Abbildung 3. Kaplan-Meier-Zeitplan für den ersten Rückfall bei eosinophiler Granulomatose mit Polyangiitis
|
| Sc = subkutan. |
Kortikosteroidreduktion
Patienten, die 300 mg Nucala erhielten, hatten eine signifikant höhere Verringerung der durchschnittlichen täglichen OCS -Dosis im Vergleich zu Patienten, die während der Wochen 48 bis 52 Placebo erhielten (Tabelle 15).
Tabelle 15. Durchschnittliche tägliche orale Kortikosteroiddosis in den Wochen 48 bis 52 bei eosinophiler Granulomatose mit Polyangiitis
| Zahl (%) der Patienten | ||
| Placebo n = 68 | Nucala 300 mg n = 68 | |
| 0 | 2 (3) | 12 (18) |
| > 0 bis ≤4.0 mg | 3 (4) | 18 (26) |
| > 4,0 bis ≤ 7,5 mg | 18 (26) | 10 (15) |
| > 7,5 mg | 45 (66) | 28 (41) |
| Vergleich: Nucala/Placebo a | ||
| Odds Ratio b | 0.20 | |
| 95% dort | 0,09 0,41 | |
| CI = Konfidenzintervall. a Analysierte unter Verwendung eines proportionalen Quotenmodells mit Kovariaten der Basis der Behandlungsgruppe orale Kortikosteroid Daily Dosis Grundlinie Birmingham Vaskulitis Aktivitätsbewertung und Region. b Ein Quotenverhältnis <1 favors Nucala. |
Asthma Control Fragebogen-6 (ACQ-6)
Der vom Patienten ausgefüllte ACQ-6 A 6-Element-Fragebogen wurde entwickelt, um die Angemessenheit der Asthmakontrolle und die Änderung der Asthmakontrolle zu messen. Die ACQ-6-Responderrate für die Behandlung in den Wochen 48 bis 52 (definiert als Abnahme des Punktzahl von 0,5 oder mehr im Vergleich zu Grundlinie) betrug 22% für 300 mg Nucala und 16% für Placebo (OR: 1,56; 95% CI: 0,63 3,88 für 300 mg Nucala im Vergleich zu Placebo).
Überdauerosinophiles Syndrom
In einer randomisierten zweiblinden placebokontrollierten multizentrischen 32-wöchigen Studie (NCT02836496) wurden in einer 32-wöchigen Studie (NCT02836496) insgesamt 108 erwachsene und jugendliche Patienten im Alter von 12 Jahren mit HES bewertet. Patienten mit nicht-hematologischem Sekundärer (z. B. Überempfindlichkeit der Arzneimittelhypersensitivität parasitärer Helminthen-Infektion HIV-Infektion Nicht-hematologische Malignität) oder FIP1L1-PDGFRα-Kinase-positives HE wurden aus der Studie ausgeschlossen. Die Patienten erhielten alle 4 Wochen 300 mg Nucala oder Placebo -subkutan, während sie ihre stabile HES -Therapie fortsetzten. Patienten, die in die Studie eintraten, hatten in den letzten 12 Monaten mindestens 2 Hes -Fackeln und eine Blut -Eosinophil -Anzahl von 1000 Zellen/mcl oder höher während des Screenings. Historische HES-Fackeln für die Kriterien für die Versuchseintritt wurden als HES-bedingte Verschlechterung der klinischen Symptome oder Blut-Eosinophil-Zahlen definiert, die eine Eskalation in der Therapie erfordern. Die Patienten müssen für 4 Wochen vor der Randomisierung eine stabile HES -Therapie gewesen sein. Die HES -Therapie könnte eine chronische oder episodische OCS -immunsuppressive oder zytotoxische Therapie umfassen.
Die Wirksamkeit von Nucala bei HES wurde auf der Grundlage des Anteils der Patienten festgelegt, die während der 32-wöchigen Behandlungszeit einen HES-Flackern erlebten. Eine Erschreibung wurde als verschlechterte klinische Anzeichen und Symptome von HES oder zunehmendem Eosinophilen (mindestens 2 Gelegenheiten), was dazu führte, dass die OCs erhöht oder zytotoxische oder immunsuppressive HES -Therapie erhöht oder hinzufügen.
Die demografischen Merkmale und Basismerkmale von Patienten in dieser Studie sind in Tabelle 16 bereitgestellt.
Tabelle 16. Demografie und Grundlinieneigenschaften beim hydreosinophilen Syndrom
auf Ortho TRs Rycles lo entdecken
| N = 108 | |
| Durchschnittsalter Jahre (SD) | 46,0 (15.78) |
| Weibliche N (%) | 57 (53) |
| Weiß N (%) | 100 (93) |
| Bedeuten duration of HES years | 5.55 |
| SD = Standardabweichung Hes = überstrecktisches Syndrom |
Fackeln
Die Studie verglich den Anteil der Patienten, die eine Flare erlebten oder sich aus der Studie in den Nucala- und Placebo -Behandlungsgruppen zurückziehen (Tabelle 17). Während der 32-wöchigen Behandlungszeit betrug die Inzidenz von Hes-Flare über die Behandlungszeit 56% für die Placebo-Gruppe und 28% für die mit Nucala behandelte Gruppe (50% Reduktion).
Tabelle 17. Übersicht über das überstreckende Syndrom -Fackeln
| Zahl (%) der Patienten | ||
| Placebo n = 54 | Nucala 300 mg n = 54 | |
| Patienten mit ≥1 Hes Flare oder die sich von der Versuch zurückgezogen haben | 30 (56) | 15 (28) |
| 28 (52) | 14 (26) | |
| 2 (4) | 1 (2) | |
| Vergleich: Nucala/Placebo a | ||
| CMH P Wert | 0.002 | |
| Odds Ratio b | 0.28 | |
| 95% dort | (NULL,12 0,64) | |
| Hes = überherosinophiles Syndrom CMH = Cochran-Mantel-Haenszel CI = Konfidenzintervall. a Die Analyse verglichen die Anzahl der Patienten, die ≥1 Hes Flare auftraten und/oder vorzeitig aus der Studie zurückgezogen wurden. b Ein Quotenverhältnis <1 favors Nucala. |
Zeit zum ersten Flackern
Unterschied was observed between Nucala Und Placebo arms in the time to first HES flare (Figure 4). The risk of first HES flare over the treatment period was 66% lower for patients treated with Nucala compared with Placebo (HR: 0.34; 95% dort 0.18 0.67 P = 0,002).
Abbildung 4. Kaplan-Meier-Kurve für die Zeit bis zum ersten über das hypereosinophile Syndrom-Fackel
|
| Sc = subkutan. |
Anteil der Patienten mit Fackeln in Woche 20 bis Woche 32
Von Woche 20 bis Woche 32 erlebten weniger Patienten eine signifikante Patienten oder zogen sich aus der Studie zurück, wenn sie mit 300 mg Nucala im Vergleich zu Placebo behandelt wurden (17% gegenüber 35% P = 0,020; OR: 0,33; 95% CI: 0,13 0,85).
Rate Of Fackeln
Patienten, die Nucala erhielten, hatten während der 32-wöchigen Behandlungszeit signifikant weniger Hes-Fackeln im Vergleich zur Placebo-Gruppe (Tabelle 18). Die Behandlung mit Nucala führte zu einer statistisch signifikanten Reduzierung der annualisierten HES -Fackeln um 66% im Vergleich zu Placebo.
Tabelle 18. Frequenz der Fackeln
| Zahl (%) der Patienten | ||
| Placebo n = 54 | Nucala 300 mg n = 54 | |
| 0 | 26 (48) | 40 (74) |
| 1 | 15 (28) | 11 (20) |
| 2 | 7 (13) | 3 (6) |
| 3 | 5 (9) | 0 |
| 4 | 1 (2) | 0 |
| ≥5 | 0 | 0 |
| Vergleich: Nucala/Placebo | ||
| Wilcoxon P Wert (unadjusted/adjusted) a | 0,002/0,02 | |
| Rate/year | 1.46 | 0.50 |
| Rate ratio b | 0.34 | |
| 95% dort | (NULL,19 0,63) | |
| CI = Konfidenzintervall. a Angepasst P Werts based on pre-specified hierarchy of endpoints. b Ein Ratenverhältnis <1 favors Nucala |
Kurzer Ermüdungsinventar
Kurzer Ermüdungsinventar (BFI) Item 3 asks patients to record their worst level of weariness/tiredness severity during the past 24 hours (scale: 0 = no Ermüdung to 10 = as bad as you can imagine). At baseline median BFI Item 3 scores were similar between treatment groups (4.46 for Nucala 300 mg Und 4.69 for Placebo). At Week 32 BFI Item 3 scores improved with Nucala compared with Placebo (P = 0.036). The median change from baseline score for BFI Item 3 at Week 32 was -0.66 in the group treated with Nucala Und 0.32 in the Placebo group.
Patienteninformationen für Nucala
Nucala
(New Kah La)
(Mepolizumab) zur Injektion für subkutane Verwendung
Nucala
(New Kah La)
(Mepolizumab) Injektion für subkutane Verwendung
Was ist Nucala?
- Nucala is a prescription medicine:
- Für die Zusatzbehandlung mit schwerem Asthma bei Menschen ab 6 Jahren, deren Asthma nicht mit ihren derzeitigen Asthma-Medikamenten kontrolliert wird. Nucala hilft, schwere Asthmaangriffe (Verschlechterungen) zu verhindern.
Nucala is not used to treat sudden Atemprobleme that occur with asthma. - Zur Add-On-Erhaltungsbehandlung einer chronischen Nashornusitis mit Nasenpolypen (CRSWNP) bei Erwachsenen, deren Krankheit nicht mit nasalen Kortikosteroiden kontrolliert wird. Nucala hilft bei der Reduzierung der Symptome (z. B. Nasenstau -Nasen -Entladungsschleim beim Geruchsverlust des Hals). Nucala reduziert die Größe Ihrer Nasenpolypen und die Verwendung oraler Kortikosteroid -Medikamente. Nucala verhindert eine Operation für Ihre Nasenpolypen.
- Für die Zusatzbehandlung von chronisch obstruktiven Lungenerkrankungen (COPD) bei Erwachsenen, deren Krankheit nicht kontrolliert ist und das Risiko für Flare-ups und erhöhte Symptome ausgesetzt ist. Nucala hilft, Fackeln von COPD-Symptomen (Exazerbationen) zu verhindern.
Nucala is not used to treat sudden Atemprobleme that can occur with COPD. - zur Behandlung von Erwachsenen mit eosinophiler Granulomatose mit Polyangiitis (EGPA). Nucala hilft bei der Reduzierung von Symptomen und Fackeln und kann es Ihrem Gesundheitsdienstleister ermöglichen, Ihre orale Kortikosteroidmedizin zu verringern.
- Für die Behandlung von Menschen ab 12 Jahren und älter mit einem überstreckten Syndrom (HES) für 6 Monate oder länger. Nucala hilft, die Symptome zu reduzieren und Fackeln zu verhindern.
- Für die Zusatzbehandlung mit schwerem Asthma bei Menschen ab 6 Jahren, deren Asthma nicht mit ihren derzeitigen Asthma-Medikamenten kontrolliert wird. Nucala hilft, schwere Asthmaangriffe (Verschlechterungen) zu verhindern.
- Nucala works by targeting inflammation that plays a major role in severe asthma CRSwNP COPD EGPA Und HES. Nucala reduces blood eosinophils. Eosinophils are a type of white blood cells that may contribute to your disease.
Es ist nicht bekannt, ob Nucala sicher und wirksam ist in:
- Kinder mit schwerem Asthma unter 6 Jahren.
- Kinder und Jugendliche mit CRSWNP COPD oder EGPA unter 18 Jahren; oder
- Kinder mit His unter 12 Jahren.
Verwenden Sie Nucala nicht Wenn Sie gegen Mepolizumab oder einen der Inhaltsstoffe in Nucala allergisch sind. Eine vollständige Liste von Zutaten in Nucala finden Sie im Ende dieser Flugblatt.
Bevor Sie Nucala erhalten, teilen Sie Ihrem Gesundheitsdienstleister alle Ihre medizinischen Erkrankungen mit, einschließlich, wenn Sie:
- eine parasitäre (Helminthen-) Infektion haben.
- nehmen orale oder inhalierte Kortikosteroid -Medikamente ein. Nicht Hören Sie auf, Ihre Kortikosteroid -Medikamente einzunehmen, es sei denn, Sie werden von Ihrem Gesundheitsdienstleister angewiesen. Dies kann zu anderen Symptomen führen, die von der Kortikosteroidmedizin kontrolliert wurden, um zurück zu kommen.
- sind schwanger oder planen, schwanger zu werden. Es ist nicht bekannt, ob Nucala Ihrem ungeborenen Baby schädigen kann.
- stillen oder planen zu stillen. Sie und Ihr Gesundheitsdienstleister sollten entscheiden, ob Sie Nucala und Stillfeed verwenden. Sie sollten nicht beides tun, ohne zuerst mit Ihrem Gesundheitsdienstleister zu sprechen.
- Teilen Sie Ihrem Gesundheitsdienstleister von allen Medikamenten mit, die Sie einnehmen, einschließlich verschreibungspflichtiger und rezeptfreier Arzneimittel-Vitamine und Kräuterpräparate.
- Nicht stop taking your other medicines unless instructed to do so by your healthcare provider.
Wie werde ich Nucala empfangen?
Ihr Gesundheitsdienstleister wird die für Sie geeignete Dosis verschreiben, je nachdem, wofür Sie behandelt werden.
Wenn die Injektion von einem Gesundheitsdienstleister gegeben wird:
- Ein Gesundheitsdienstleister injiziert Nucala alle 4 Wochen (subkutan) unter Ihre Haut.
Wenn die Injektion von einem Patienten oder einer Patientenbetreuer mit einer vorgefüllten Spritze oder einem vorgefüllten Autoinjector verabreicht wird:
- Nucala may be prescribed as a single-dose prefilled autoinjector for people 12 years of age Und older or as a single-dose prefilled syringe for people 6 years of age Und older.
- Verwenden Sie Nucala alle 4 Wochen genau so, wie Ihr Gesundheitsdienstleister es Ihnen sagt.
- Bevor Sie Nucala verwenden, zeigt Ihr Gesundheitsdienstleister Ihnen oder Ihrer Pflegekraft, wie Sie die Injektionen angeben.
- Lesen Sie die Anweisungen für die Verwendung, die mit Nucala geliefert werden, um Anweisungen zum richtigen Weg, um Ihre Injektionen zu Hause zu geben.
- Sie sollten Nucala unter Ihre Haut (subkutan) in Ihren Oberschenkel oder Magen (Bauch) injizieren. Auch eine Pflegekraft kann die Injektion im Oberarm geben.
- Wenn Sie eine Dosis verpassen, injizieren Sie eine Dosis so schnell wie möglich. Dann setzen Sie Ihre Injektion in Ihrem regulären Dosierungsplan fort. Wenn Sie nicht bemerken, dass Sie eine Dosis bis zu Ihrer nächsten geplanten Dosis verpasst haben, injizieren Sie die nächste geplante Dosis wie geplant. Wenn Sie nicht sicher sind, wann Nucala injiziert werden soll, rufen Sie Ihren Gesundheitsdienstleister an.
Was sind die möglichen Nebenwirkungen von Nucala?
Nucala can cause serious side effects including:
- Allergische (Überempfindlichkeit) Reaktionen einschließlich Anaphylaxie . Es können schwerwiegende allergische Reaktionen auftreten, nachdem Sie Ihre Nucala -Injektion erhalten haben. Allergische Reaktionen können manchmal Stunden oder Tage nach dem Erhalten einer Dosis Nucala auftreten. Teilen Sie Ihrem Gesundheitsdienstleister mit oder erhalten Sie sofort Notfallhilfe, wenn Sie die folgenden Symptome einer allergischen Reaktion haben:
- Schwellung Ihres Gesichts Mund und Zunge
- Atemprobleme
- Ohnmacht Schwindel feeling lightheaded (low blood pressure)
- Ausschlag
- Nesselsucht
- Herpes -Zoster -Infektionen. Herpes -Zoster -Infektionen, die zu Schindeln führen können, sind bei Menschen aufgetreten, die Nucala erhalten haben.
Die häufigsten Nebenwirkungen von Nucala sind : Kopfschmerzinjektionsstelle Reaktionen (Schmerzrötungen Schwellungen Juckreiz oder ein brennendes Gefühl an der Injektionsstelle) Rückenschmerzen und Müdigkeit (Müdigkeit). Mund-/Rachenschmerzen und Gelenkschmerzen wurden mit CRSWNP berichtet. Durchfall und Husten wurden mit COPD gemeldet.
Dies sind nicht alle möglichen Nebenwirkungen von Nucala.
Rufen Sie Ihren Arzt an, um medizinische Beratung zu Nebenwirkungen zu erhalten. Sie können die FDA bei 1-800-FDA-1088 Nebenwirkungen melden.
Wie soll ich Nucala aufbewahren?
- Vorgefüllte Autoinjektoren und vorgefüllte Spritzen im Kühlschrank zwischen 2 ° C bis 8 ° C (2 ° C).
- Halten Sie vorgefüllte Autoinjektoren und vorgefüllte Spritzen im ursprünglichen Karton bis zum Schutz vor Licht.
- Nicht einfrieren. Nicht Shake. Sich von der Hitze fernhalten.
- Bei Bedarf kann ein ungeöffneter Karton für bis zu 7 Tage lang außerhalb des Kühlschranks mit bis zu 86 ° F gelagert werden.
- Werfen Sie sicher vorgefüllte Autoinjektoren und vorgefüllte Spritzen weg, wenn der ungeöffnete Karton länger als 7 Tage aus dem Kühlschrank weggelassen wird.
- Vorgefüllte Autoinjektoren und vorgefüllte Spritzen müssen innerhalb von 8 Stunden nach dem Entnehmen aus dem Karton verwendet werden. Sicher wegwerfen, wenn sie nicht innerhalb von 8 Stunden verwendet werden.
- Werfen Sie sicher die Medizin, das veraltet ist oder nicht mehr benötigt wird.
Halten Sie Nucala und alle Medikamente außerhalb der Reichweite der Kinder.
Allgemeine Informationen über den sicheren und effektiven Einsatz von Nucala.
Medikamente werden manchmal für andere Zwecke als die in einem Patienteninformationsblatt aufgeführten Zwecke verschrieben. Geben Sie Nucala anderen Menschen nicht, auch wenn sie die gleichen Symptome haben, die Sie haben. Es kann ihnen schaden. Sie können Ihren Apotheker oder Gesundheitsdienstleister um Informationen über Nucala bitten, die für Angehörige der Gesundheitsberufe geschrieben sind.
Was sind die Zutaten in Nucala?
Wirkstoff: Mepolizumab.
Inaktive Zutaten (Fläschchen) : Polysorbat 80 Natriciumphosphat Dibasic Heptahydrat und Saccharose.
Inaktive Zutaten (vorgefüllte Autoinjektoren und vorgefüllte Spritzen): Zitronensäure -Monohydrat -EDTA -Disodium -Dihydrat -Polysorbat 80 Natriumphosphat Dibasic Heptahydrat und Saccharose. Weitere Informationen zu Nucala erhalten Sie unter 1-888-825-5249 oder besuchen Sie unsere Website unter www.nucala.com.
Diese Patienteninformationen wurden von der US -amerikanischen Food and Drug Administration zugelassen.
Anweisungen zur Verwendung
Nucala
(Mepolizumab) Injektion für subkutane Verwendung 100 mg/mL
Vorgefülltes Autoinjector
Wichtige Informationen
Nucala is a prescription medicine that is injected under the skin (subcutaneous) from a single-dose prefilled autoinjector. You Und your caregiver should be trained on how to prepare Und perform your injection before trying to do it yourself.
Die folgenden Anweisungen geben die Informationen an, die Sie benötigen, um den vorgefüllten AutoInjector korrekt mit gelber Nadelschutz zu verwenden.
Vor Beginn Ihrer Injektion ist es wichtig, dass Sie diese Anweisungen lesen und verstehen und diese dann sorgfältig befolgen, damit Sie jeden Schritt erfolgreich abschließen.
Speicherinformationen
- Lagern Sie im Kühlschrank zwischen 2 ° C bis 8 ° C.
- Halten Sie im ursprünglichen Karton bis zum Schutz vor Licht.
- Nicht einfrieren. Nicht Shake. Sich von der Hitze fernhalten.
- Bei Bedarf kann ein ungeöffneter Karton für bis zu 7 Tage lang außerhalb des Kühlschranks mit bis zu 86 ° F gelagert werden.
- Werfen Sie den vorgefüllten Autoinjector sicher weg, wenn er mehr als 7 Tage aus dem Kühlschrank im ungeöffneten Karton ausgelassen wird.
- Der vorgefüllte AutoInjector muss innerhalb von 8 Stunden nach dem Entnehmen aus dem Karton verwendet werden. Werfen Sie es sicher weg, wenn es nicht innerhalb von 8 Stunden verwendet wird.
- Werfen Sie sicher die Medizin, das veraltet ist oder nicht mehr benötigt wird.
Halten Sie Nucala und alle Medikamente außerhalb der Reichweite der Kinder.
Warnungen
- Nicht Verwenden Sie den vorgefüllten Autoinjector mehr als 1 Mal. Werfen Sie den Autoinjector in einem von der FDA geschlossenen Scharfen nach Ihrer Injektion weg.
- Nicht Teilen Sie den vorgefüllten Autoinjector mit anderen Personen. Sie können anderen Menschen eine ernsthafte Infektion geben oder eine ernsthafte Infektion von ihnen erhalten.
- Nicht Verwenden Sie den vorgefüllten Autoinjector, wenn er fallen gelassen wurde oder beschädigt aussieht.
Kennen Sie Ihren vorgefüllten Autoinjector
|
Lieferungen in Karton
1 vorgefülltes Autoinjector
Lieferungen nicht im Karton
- Alkoholabstrich
- Wattekugel oder Gaze
- Klebeband
- Sharps -Entsorgungsbehälter (Siehe Schritt 8 Werfen Sie Ihren gebrauchten Autoinjector am Ende dieser Anweisungen zur Verwendung für ordnungsgemäße Entsorgungsanweisungen weg.)
Vorbereiten
1. Nehmen Sie den vorgefüllten Autoinjector heraus
|
- Nehmen Sie den Karton aus dem Kühlschrank und stellen Sie sicher, dass die Sicherheitsdichtungen nicht gebrochen sind.
- Entfernen Sie das Tablett aus dem Karton.
- Schälen Sie die klare Plastikabdeckung aus der Ecke des Tabletts.
- Halten Sie die Mitte des vorgefüllten Autoinjektors (in der Nähe des Inspektionsfensters) vorsichtig den vorgefüllten Autoinjector aus dem Tablett.
- Legen Sie den vorgefüllten Autoinjektor bei Raumtemperatur von direktem Sonnenlicht und außerhalb der Reichweite der Kinder auf eine saubere flache Oberfläche.
- Nicht Verwenden Sie den vorgefüllten Autoinjector, wenn das Sicherheitssiegel am Karton unterbrochen ist. Wenden Sie sich an GSK, um weitere Informationen unter 1-888-825-5249 zu erhalten.
- Nicht Entfernen Sie die Klare Nadelkappe bei diesem Schritt.
2. Überprüfen Sie und warten Sie 30 Minuten vor dem Gebrauch
|
- Überprüfen Sie, ob das Ablaufdatum auf dem Etikett des vorgefüllten AutoInjectors nicht bestanden wurde.
- Schauen Sie sich das Medikament im Inspektionsfenster an. Es sollte klar sein, hellgelb bis hellbraun in Farbe und ohne Trübung oder Partikel zu sein.
- Es ist normal, 1 oder mehr Luftblasen zu sehen.
- Warten Sie 30 Minuten (und nicht länger als 8 Stunden), bevor Sie sie verwenden.
- Nicht Verwenden Sie, wenn das Ablaufdatum verabschiedet ist.
- Nicht Wärmen Sie Ihren vorgefüllten Autoinjektor in einem mikrowellen heißen Wasser oder direktem Sonnenlicht.
- Nicht Verwenden Sie, wenn das Medikament bewölkt oder verfärbt ist oder Partikel aufweist. Wenden Sie sich an GSK, um weitere Informationen unter 1-888-825-5249 zu erhalten.
- Nicht Verwenden Sie den vorgefüllten Autoinjector, wenn er länger als 8 Stunden aus dem Karton ausgeschlossen wurde.
3. Wählen Sie Ihre Injektionsstelle aus
|
- Sie können Ihre Oberschenkel oder Bauch injizieren.
- Wenn Sie die Injektion an eine andere Person als Pflegekraft oder Gesundheitsdienstleister geben, können Sie auch in den Oberarm einfließen.
- Wenn Sie mehr als 1 Injektion benötigen, um Ihre Dosis zu vervollständigen, lassen Sie zwischen jeder Injektionsstelle mindestens 2 Zoll.
- Nicht Injizieren Sie, wo Ihre Haut zart rot oder hart verletzt ist.
- Nicht Innerhalb von 2 Zoll von Ihrem Bauchnabel injizieren.
4. Reinigen Sie Ihre Injektionsstelle
|
- Waschen Sie Ihre Hände mit Seife und Wasser.
- Reinigen Sie Ihre Injektionsstelle, indem Sie Ihre Haut mit einem Alkoholabstrich wischen und Ihre Haut lufttrocknen lassen.
- Nicht Berühren Sie Ihre gereinigte Injektionsstelle erneut, bis Sie Ihre Injektion beendet haben.
Injizieren
5. Entfernen Sie die klare Nadelkappe
|
- Entfernen Sie die klare Nadelkappe vom vorgefüllten Autoinjector, indem Sie sie direkt vom gelben Nadelschutz wegziehen (wie gezeigt). Es kann eine Kraft erfordern, die klare Nadelkappe zu entfernen.
- Möglicherweise sehen Sie am Ende der Nadel einen Tropfen Medizin. Das ist normal.
- Stellen Sie sicher, dass Sie innerhalb von 5 Minuten nach dem Entfernen der klaren Nadelkappe injiziert werden.
- Tun Drücken Sie die gelbe Nadelwache nicht mit Ihren Fingern. Dies könnte den vorgefüllten Autoinjector zu früh aktivieren und eine Nadelverletzung verursachen.
- Nicht Legen Sie die klare Nadelkappe wieder auf den vorgefüllten Autoinjector. Dies könnte versehentlich die Injektion beginnen.
6. Starten Sie Ihre Injektion
|
- Halten Sie den vorgefüllten AutoInjector mit seinem Inspektionsfenster zu Ihnen.
- Legen Sie den vorgefüllten Autoinjektor direkt auf Ihre Injektionsstelle, wobei der gelbe Nadelschutz wie gezeigt auf der Hautoberfläche flach ist.
- Um Ihre Injektion zu starten, drücken Sie den Autoinjector ganz nach unten und halten Sie den Autoinjector an Ihrer Haut. Dadurch rutscht der gelbe Nadelschutz in den Autoinjector.
- Sie sollten das erste Klick hören, um Sie mitzuteilen, dass Ihre Injektion begonnen hat.
- Der gelbe Indikator bewegt sich durch das Inspektionsfenster, wenn Sie Ihre Dosis erhalten.
- Nicht Heben Sie den Autoinjector bei diesem Schritt an, da dies zu einer unvollständigen Injektion führen kann.
- Nicht Verwenden Sie den AutoInjector, wenn der gelbe Nadelschutz nicht in den AutoInjector gleitet. Werfen Sie es in einen Fdacleared Sharps -Behälter weg.
- Nicht Versuchen Sie, den AutoInjector auf den Kopf zu stellen, wobei die gelbe Nadelwache gegen Ihren Daumen nach oben gerichtet ist.
7. Vervollständigen Sie Ihre Injektion
|
- Ihre Injektion kann bis zu 15 Sekunden dauern.
- Halten Sie den Autoinjector weiter unten, bis Sie die 2 hören nd Klicken Sie auf den Stopper haben sich nicht mehr bewegen und das Inspektionsfenster ist mit dem gelben Indikator gefüllt.
- Nachdem Sie den 2. Klick hören, halten Sie weiter und zählen Sie sie bis 5, bevor Sie den AutoInjector von Ihrer Haut abheben.
- Wenn Sie den 2. Klick nicht hören:
- Überprüfen Sie, ob das Inspektionsfenster mit dem gelben Indikator gefüllt ist oder
- Halten Sie den Autoinjector 15 Sekunden lang unten, um sicherzustellen, dass die Injektion abgeschlossen ist.
- An der Injektionsstelle kann es einen kleinen Blutabfall geben. Das ist normal. Drücken Sie einen Baumwollkugel oder Gaze auf den Bereich und tragen Sie einen Klebstoffband auf, wenn Sie ihn benötigen.
- Nicht Heben Sie den Autoinjector an, bis Sie die 2 gehört haben nd Klicken Sie auf das Fenster wurden mit dem gelben Indikator gefüllt und Sie haben auf 5 gezählt.
- Nicht Reiben Sie Ihre Injektionsstelle.
- Nicht Legen Sie die klare Nadelkappe wieder auf den Autoinjector.
Entsorgen
8. Werfen Sie Ihren gebrauchten Autoinjector weg
|
Legen Sie Ihren gebrauchten AutoInjector und die Löschen von Nadelkappen sofort nach der Verwendung in einen von der FDA geschlossenen Sharps-Entsorgungsbehälter ein.
Wenn Sie keinen von der FDA geschlossenen Sharps-Entsorgungsbehälter haben, können Sie einen Haushaltsbehälter verwenden, der lautet:
- aus hochkarätigem Plastik;
- in der Lage, mit einem eng anliegenden pünktlichen resistenten Deckel zu schließen, ohne dass Scharfe herauskommen können;
- während des Gebrauchs aufrecht und stabil;
- leckebeständig; Und
- ordnungsgemäß markiert, um vor gefährlichen Abfällen im Behälter zu warnen.
Wenn Ihr Sharps -Entsorgungsbehälter nahezu voll ist, müssen Sie Ihren Community -Richtlinien für den richtigen Weg befolgen, um dies zu entsorgen. Es kann Staat oder lokale Gesetze darüber geben, wie Sie gebrauchte Autoinjektoren wegwerfen sollten.
Weitere Informationen zur Entsorgung sicherer Sharps und spezifische Informationen über die Entsorgung von Sharps in dem Staat, in dem Sie in der FDA -Website unter: www.fda.gov/SafesharpsDisposal leben.
- Nicht Werfen Sie Ihren gebrauchten Sharps -Entsorgungsbehälter in Ihren Haushaltsmüll weg, es sei denn, Ihre Gemeinschaftsrichtlinien erlauben dies.
- Nicht Recyceln Sie Ihren gebrauchten Sharps -Entsorgungsbehälter.
Halten Sie Ihren Sharps -Entsorgungsbehälter außerhalb der Reichweite der Kinder.
Häufig gestellte Fragen
1. Was passiert, wenn das Medikament bewölkt aussieht, dass das Ablaufdatum vergangen ist oder der vorgefüllte AutoInjector beschädigt ist?
Wenden Sie sich an GSK, um weitere Informationen unter 1-888-825-5249 zu erhalten.
2. Kann ich die Injektionsstelle für den vorgefüllten Autoinjector ändern (drehen)?
Sie können die Stelle (Oberschenkelbauch oder Oberarm) ändern oder den Autoinjector bewegen, solange Sie nicht nach unten angefangen haben. Wenn der gelbe Nadelschutz gedrückt wird, beginnt Ihre Injektion sofort.
3. Warum muss ich innerhalb von 5 Minuten nach Entfernen der klaren Nadelkappe injizieren?
Dies verhindert, dass das Medikament in der Nadel trocknet. Es könnte beeinflussen, wie viel Medizin Sie bekommen.
4. Was passiert, wenn ich den Autoinjector vor dem 2 entferne nd Klicken Sie auf den Stopper, der sich nicht mehr bewegt, oder das Inspektionsfenster ist nicht mit dem gelben Indikator gefüllt?
In diesem Fall haben Sie möglicherweise keine vollständige Dosis erhalten. Wenden Sie sich an GSK, um weitere Informationen unter 1-888-825-5249 zu erhalten.
5. An wen kontaktiere ich, wenn ich Hilfe bei meiner Injektion brauche?
Ihr Gesundheitsdienstleister kann Ihnen bei weiteren Fragen helfen, die Sie möglicherweise haben.
Anweisungen zur Verwendung
Nucala
(Mepolizumab) Injektion für subkutane Verwendung 100 mg/mL
Vorgefüllte Spritze
Wichtige Informationen
Nucala is a prescription medicine that is injected under the skin (subcutaneous) from a single-dose prefilled syringe. You Und your caregiver should be trained on how to prepare Und perform your injection before trying to do it yourself.
Die folgenden Anweisungen geben die Informationen an, die Sie benötigen, um die vorgefüllte Spritze korrekt mit automatischer Nadelwache zu verwenden.
Vor Beginn Ihrer Injektion ist es wichtig, dass Sie diese Anweisungen lesen und verstehen und diese dann sorgfältig befolgen, damit Sie jeden Schritt erfolgreich abschließen.
Speicherinformationen
- Lagern Sie im Kühlschrank zwischen 2 ° C bis 8 ° C.
- Halten Sie im ursprünglichen Karton bis zum Schutz vor Licht.
- Nicht einfrieren. Nicht Shake. Sich von der Hitze fernhalten.
- Bei Bedarf kann ein ungeöffneter Karton für bis zu 7 Tage lang außerhalb des Kühlschranks mit bis zu 86 ° F gelagert werden.
- Werfen Sie die vorgefüllte Spritze sicher weg, wenn sie länger als 7 Tage aus dem Kühlschrank im ungeöffneten Karton ausgelassen wird.
Die vorgefüllte Spritze muss innerhalb von 8 Stunden nach dem Entnehmen aus dem Karton verwendet werden. Werfen Sie es sicher weg, wenn es nicht innerhalb von 8 Stunden verwendet wird.
Werfen Sie sicher die Medizin, das veraltet ist oder nicht mehr benötigt wird.
Halten Sie Nucala und alle Medikamente außerhalb der Reichweite der Kinder.
Warnungen
- Nicht Verwenden Sie die vorgefüllte Spritze mehr als 1 Mal. Werfen Sie die Spritze nach Ihrer Injektion in einem von der FDA geschlossenen Scharfen mit Sharps-Entsorgungsbehälter weg.
- Nicht Teilen Sie die vorgefüllte Spritze mit anderen Personen. Sie können anderen Menschen eine ernsthafte Infektion geben oder eine ernsthafte Infektion von ihnen erhalten.
- Nicht Verwenden Sie die vorgefüllte Spritze, wenn sie fallen gelassen wurde oder beschädigt aussieht.
Kennen Sie Ihre vorgefüllte Spritze
|
Lieferungen in Karton
1 vorgefüllte Spritze
Lieferungen nicht im Karton
- Alkoholabstrich
- Wattekugel oder Gaze
- Klebeband
- Sharps -Entsorgungsbehälter (Siehe Schritt 8 Werfen Sie Ihre gebrauchte Spritze am Ende dieser Anweisungen zur Verwendung für ordnungsgemäße Entsorgungsanweisungen weg.)
Vorbereiten
1. Nehmen Sie die vorgefüllte Spritze heraus
|
- Nehmen Sie den Karton aus dem Kühlschrank und stellen Sie sicher, dass die Sicherheitsdichtungen nicht gebrochen sind.
- Entfernen Sie das Tablett aus dem Karton.
- Schälen Sie die klare Plastikabdeckung aus der Ecke des Tabletts.
- Halten Sie die Mitte der vorgefüllten Spritze (in der Nähe des Inspektionsfensters) vorsichtig die vorgefüllte Spritze aus dem Tablett.
- Legen Sie die vorgefüllte Spritze auf eine saubere flache Oberfläche bei Raumtemperatur von direktem Sonnenlicht und außerhalb der Reichweite der Kinder.
- Nicht Verwenden Sie die vorgefüllte Spritze, wenn das Sicherheitssiegel am Karton unterbrochen ist. Wenden Sie sich an GSK, um weitere Informationen unter 1-888-825-5249 zu erhalten.
- Nicht Entfernen Sie die graue Nadelkappe bei diesem Schritt.
2. Überprüfen Sie und warten Sie 30 Minuten vor dem Gebrauch
|
- Überprüfen Sie, ob das Ablaufdatum auf dem Etikett der vorgefüllten Spritze nicht bestanden wurde.
- Schauen Sie sich das Medikament im Inspektionsfenster an. Es sollte klar sein, hellgelb bis hellbraun in Farbe und ohne Trübung oder Partikel zu sein.
- Es ist normal, 1 oder mehr Luftblasen zu sehen.
- Warten Sie 30 Minuten (und nicht länger als 8 Stunden), bevor Sie sie verwenden.
- Nicht Verwenden Sie, wenn das Ablaufdatum verabschiedet ist.
- Nicht Wärmen Sie Ihre vorgefüllte Spritze in einem mikrowellen heißen Wasser oder direktem Sonnenlicht.
- Nicht Verwenden Sie, wenn das Medikament bewölkt oder verfärbt ist oder Partikel aufweist. Wenden Sie sich an GSK, um weitere Informationen unter 1-888-825-5249 zu erhalten.
- Nicht Verwenden Sie die vorgefüllte Spritze, wenn sie länger als 8 Stunden aus dem Karton ausgeschlossen wurde.
3. Wählen Sie Ihre Injektionsstelle aus
|
- Sie können Ihre Oberschenkel oder Bauch injizieren.
- Wenn Sie die Injektion an eine andere Person als Pflegekraft oder Gesundheitsdienstleister geben, können Sie auch in den Oberarm einfließen.
- Wenn Sie mehr als 1 Injektion benötigen, um Ihre Dosis zu vervollständigen, lassen Sie zwischen jeder Injektionsstelle mindestens 2 Zoll.
- Nicht Injizieren Sie, wo Ihre Haut zart rot oder hart verletzt ist.
- Nicht Innerhalb von 2 Zoll von Ihrem Bauchnabel injizieren.
4. Reinigen Sie Ihre Injektionsstelle
|
- Waschen Sie Ihre Hände mit Seife und Wasser.
- Reinigen Sie Ihre Injektionsstelle, indem Sie Ihre Haut mit einem Alkoholabstrich wischen und Ihre Haut lufttrocknen lassen.
- Nicht Berühren Sie Ihre gereinigte Injektionsstelle erneut, bis Sie Ihre Injektion beendet haben.
Injizieren
5. Entfernen Sie die graue Nadelkappe
|
- Entfernen Sie die graue Nadelkappe von der vorgefüllten Spritze, indem Sie sie direkt von der Nadel wegziehen (wie gezeigt). Es kann eine Kraft erfordern, die graue Nadelkappe zu entfernen.
- Möglicherweise sehen Sie am Ende der Nadel einen Tropfen Medizin. Das ist normal.
- Stellen Sie sicher, dass Sie innerhalb von 5 Minuten nach dem Entfernen der grauen Nadelkappe injiziert werden.
- Nicht Lassen Sie die Nadel jede Oberfläche berühren.
- Nicht Berühren Sie die Nadel.
- Nicht Berühren Sie den weißen Kolben bei diesem Schritt. Dies könnte versehentlich die Medizin herausschieben und Sie werden Ihre volle Dosis nicht bekommen.
- Nicht Versuchen Sie, Luftblasen aus der vorgefüllten Spritze zu entfernen.
- Nicht Legen Sie die graue Nadelkappe wieder auf die vorgefüllte Spritze. Dies könnte zu einer Nadelverletzung führen.
6. Starten Sie Ihre Injektion
|
- Verwenden Sie Ihre freie Hand, um die Haut um Ihre Injektionsstelle zu kneifen. Klingen Sie die Haut während Ihrer Injektion weiter.
- Setzen Sie die gesamte Nadel in die eingeklemmte Haut in einem Winkel von 45 ° wie gezeigt ein.
- Bewegen Sie Ihren Daumen in den weißen Kolben und halten Sie Ihre anderen Finger am weißen Fingergriff fest.
- Drücken Sie langsam auf den weißen Kolben nach unten, um Ihre volle Dosis zu injizieren.
7. Vervollständigen Sie Ihre Injektion
|
- Stellen Sie sicher, dass der weiße Kolben ganz nach unten gedrückt wird, bis der Stopper den Boden Ihrer Spritze erreicht und das gesamte Medikament injiziert wird.
- Heben Sie Ihren Daumen langsam hoch. Auf diese Weise kann der weiße Kolben auftauchen und die Nadel automatisch in den Körper Ihrer Spritze zurückziehen (zu ziehen).
- Nach der vollständigen Freisetzung Ihrer Injektion die eingeklemmte Haut.
- An der Injektionsstelle kann es einen kleinen Blutabfall geben. Das ist normal. Drücken Sie einen Baumwollkugel oder Gaze auf den Bereich und tragen Sie einen Klebstoffband auf, wenn Sie ihn benötigen.
- Nicht Reiben Sie Ihre Injektionsstelle.
- Nicht Legen Sie die graue Nadelkappe wieder auf die Spritze.
Entsorgen
8. Wirf deine gebrauchte Spritze weg
|
Wenn Sie keinen von der FDA geschlossenen Sharps-Entsorgungsbehälter haben, können Sie einen Haushaltsbehälter verwenden, der lautet:
- aus hochkarätigem Plastik;
- in der Lage, mit einem eng anliegenden pünktlichen resistenten Deckel zu schließen, ohne dass Scharfe herauskommen können;
- während des Gebrauchs aufrecht und stabil;
- leckebeständig; Und
- ordnungsgemäß markiert, um vor gefährlichen Abfällen im Behälter zu warnen.
Wenn Ihr Sharps -Entsorgungsbehälter nahezu voll ist, müssen Sie Ihren Community -Richtlinien für den richtigen Weg befolgen, um dies zu entsorgen. Es kann Staat oder lokale Gesetze darüber geben, wie Sie gebrauchte Spritzen wegwerfen sollten.
Weitere Informationen zur Entsorgung sicherer Sharps und spezifische Informationen über die Entsorgung von Sharps in dem Staat, in dem Sie in der FDA -Website unter: www.fda.gov/SafesharpsDisposal leben.
- Nicht Werfen Sie Ihren gebrauchten Sharps -Entsorgungsbehälter in Ihren Haushaltsmüll weg, es sei denn, Ihre Gemeinschaftsrichtlinien erlauben dies.
- Nicht Recyceln Sie Ihren gebrauchten Sharps -Entsorgungsbehälter.
Halten Sie Ihren Sharps -Entsorgungsbehälter außerhalb der Reichweite der Kinder.
Häufig gestellte Fragen
1. Was passiert, wenn das Medikament bewölkt aussieht, dass das Ablaufdatum vergangen ist oder die vorgefüllte Spritze beschädigt aussieht?
Wenden Sie sich an GSK, um weitere Informationen unter 1-888-825-5249 zu erhalten.
2. Kann ich die Injektionsstelle für die vorgefüllte Spritze ändern (drehen)?
Sie können den Ort (Oberschenkelbauch oder Oberarm) ändern (drehen), solange Sie das Medikament nicht injizieren.
3. Warum muss ich innerhalb von 5 Minuten nach Entfernen der grauen Nadelkappe injizieren?
Dies verhindert, dass das Medikament in der Nadel trocknet. Es könnte beeinflussen, wie viel Medizin Sie bekommen.
4. Was passiert, wenn die Nadel nicht in die Nadelwache zurückzieht?
Stellen Sie die Spritze und die Nadelkappe sofort in den von der FDA geschlossenen Sharps-Entsorgungsbehälter ein und wenden Sie sich an GSK, um weitere Informationen unter 1-888-825-5249 zu erhalten.
5. An wen kontaktiere ich, wenn ich Hilfe bei meiner Injektion brauche?
Ihr Gesundheitsdienstleister kann Ihnen bei weiteren Fragen helfen, die Sie möglicherweise haben.
Anweisungen zur Verwendung
Nucala
(Mepolizumab) Injektion für subkutane Verwendung 40 mg/0.4 mL
Vorgefüllte Spritze
Wichtige Informationen
Nucala is a prescription medicine that is injected under the skin (subcutaneous) from a single-dose prefilled syringe. You should be trained on how to prepare Und perform the injection before trying to do it yourself.
Die besten Roadtrips durch Neuengland
Die folgenden Anweisungen geben die Informationen an, die Sie benötigen, um die vorgefüllte Spritze korrekt mit automatischer Nadelwache zu verwenden.
Vor Beginn der Injektion ist es wichtig, dass Sie diese Anweisungen lesen und verstehen und diese dann sorgfältig befolgen, damit Sie jeden Schritt erfolgreich abschließen.
Speicherinformationen
- Lagern Sie im Kühlschrank zwischen 2 ° C bis 8 ° C.
- Halten Sie im ursprünglichen Karton bis zum Schutz vor Licht.
- Nicht einfrieren. Nicht Shake. Sich von der Hitze fernhalten.
- Bei Bedarf kann ein ungeöffneter Karton für bis zu 7 Tage lang außerhalb des Kühlschranks mit bis zu 86 ° F gelagert werden.
- Werfen Sie die vorgefüllte Spritze sicher weg, wenn sie länger als 7 Tage aus dem Kühlschrank im ungeöffneten Karton ausgelassen wird.
Die vorgefüllte Spritze muss innerhalb von 8 Stunden nach dem Entnehmen aus dem Karton verwendet werden. Werfen Sie es sicher weg, wenn es nicht innerhalb von 8 Stunden verwendet wird.
Werfen Sie sicher die Medizin, das veraltet ist oder nicht mehr benötigt wird.
Halten Sie Nucala und alle Medikamente außerhalb der Reichweite der Kinder.
Warnungen
- Nicht Verwenden Sie die vorgefüllte Spritze mehr als 1 Mal. Werfen Sie die Spritze nach der Injektion in einem von der FDA geschlossenen Scharfen mit Sharps-Entsorgungsbehälter weg.
- Nicht Teilen Sie die vorgefüllte Spritze mit anderen Personen. Sie können anderen Menschen eine ernsthafte Infektion geben oder eine ernsthafte Infektion von ihnen erhalten.
- Nicht Verwenden Sie die vorgefüllte Spritze, wenn sie fallen gelassen wurde oder beschädigt aussieht.
Kennen Sie die vorgefüllte Spritze
|
Lieferungen in Karton
1 vorgefüllte Spritze
Lieferungen nicht im Karton
- Alkoholabstrich
- Wattekugel oder Gaze
- Klebeband
- Sharps -Entsorgungsbehälter (siehe Schritt 8 werfen die gebrauchte Spritze am Ende dieser Anweisungen zur Verwendung für ordnungsgemäße Entsorgungsanweisungen weg.)
Vorbereiten
1. Nehmen Sie die vorgefüllte Spritze heraus
|
- Nehmen Sie den Karton aus dem Kühlschrank und stellen Sie sicher, dass die Sicherheitsdichtungen nicht gebrochen sind.
- Entfernen Sie das Tablett aus dem Karton.
- Schälen Sie die klare Plastikabdeckung aus der Ecke des Tabletts.
- Halten Sie die Mitte der vorgefüllten Spritze (in der Nähe des Inspektionsfensters) vorsichtig die vorgefüllte Spritze aus dem Tablett.
- Legen Sie die vorgefüllte Spritze auf eine saubere flache Oberfläche bei Raumtemperatur von direktem Sonnenlicht und außerhalb der Reichweite der Kinder.
- Nicht Verwenden Sie die vorgefüllte Spritze, wenn das Sicherheitssiegel am Karton unterbrochen ist. Wenden Sie sich an GSK, um weitere Informationen unter 1-888-825-5249 zu erhalten.
- Nicht Entfernen Sie die graue Nadelkappe bei diesem Schritt.
2. Überprüfen Sie und warten Sie 30 Minuten vor dem Gebrauch
|
- Überprüfen Sie, ob das Ablaufdatum auf dem Etikett der vorgefüllten Spritze nicht bestanden wurde.
- Schauen Sie sich das Medikament im Inspektionsfenster an. Es sollte klar sein, hellgelb bis hellbraun in Farbe und ohne
- Trübung oder Partikel.
- Es ist normal, 1 oder mehr Luftblasen zu sehen.
- Warten Sie 30 Minuten (und nicht länger als 8 Stunden), bevor Sie sie verwenden.
- Nicht Verwenden Sie, wenn das Ablaufdatum verabschiedet ist.
- Nicht Die vorgefüllte Spritze in einem mikrowellen heißen Wasser oder direktem Sonnenlicht erwärmen.
- Nicht Verwenden Sie, wenn das Medikament bewölkt oder verfärbt ist oder Partikel aufweist. Wenden Sie sich an GSK, um weitere Informationen unter 1-888-825-5249 zu erhalten.
- Nicht Verwenden Sie die vorgefüllte Spritze, wenn sie länger als 8 Stunden aus dem Karton ausgeschlossen wurde.
3. Wählen Sie die Injektionsstelle aus
|
- Sie können den Oberschenkelbauch oder den Oberarm injizieren.
- Nicht Injizieren, wo die Haut zart rot oder hart verletzt ist.
- Nicht Innerhalb von 2 Zoll vom Bauchnabel injizieren.
4. Reinigen Sie die Injektionsstelle
|
- Waschen Sie Ihre Hände mit Seife und Wasser.
- Reinigen Sie die Injektionsstelle, indem Sie die Haut mit einem Alkoholabstrich wischen und die Haut lufttrocknen lassen.
- Nicht Berühren Sie die gereinigte Injektionsstelle erneut, bis Sie die Injektion beendet haben.
Injizieren
5. Entfernen Sie die graue Nadelkappe
|
- Entfernen Sie die graue Nadelkappe von der vorgefüllten Spritze, indem Sie sie direkt von der Nadel wegziehen (wie gezeigt). Es kann eine Kraft erfordern, die graue Nadelkappe zu entfernen.
- Möglicherweise sehen Sie am Ende der Nadel einen Tropfen Medizin. Das ist normal.
- Stellen Sie sicher, dass Sie innerhalb von 5 Minuten nach dem Entfernen der grauen Nadelkappe injiziert werden.
- Nicht Lassen Sie die Nadel jede Oberfläche berühren.
- Nicht Berühren Sie die Nadel.
- Nicht Berühren Sie den weißen Kolben bei diesem Schritt. Dies könnte versehentlich die Medizin herausschieben und die volle Dosis wird nicht gegeben.
- Nicht Versuchen Sie, Luftblasen aus der vorgefüllten Spritze zu entfernen.
- Nicht Legen Sie die graue Nadelkappe wieder auf die vorgefüllte Spritze. Dies könnte zu einer Nadelverletzung führen.
6. Starten Sie die Injektion
|
- Verwenden Sie Ihre freie Hand, um die Haut um die Injektionsstelle zu kneifen. Klemmen Sie die Haut während der gesamten Injektion weiter.
- Setzen Sie die gesamte Nadel in die eingeklemmte Haut in einem Winkel von 45 ° wie gezeigt ein.
- Bewegen Sie Ihren Daumen in den weißen Kolben und halten Sie Ihre anderen Finger am weißen Fingergriff fest.
- Schieben Sie langsam auf den weißen Kolben, um die volle Dosis zu injizieren.
7. Vervollständigen Sie die Injektion
|
- Stellen Sie sicher, dass der weiße Kolben ganz nach unten gedrückt wird, bis der Stopper den Boden der Spritze erreicht und das gesamte Medikament injiziert wird.
- Heben Sie Ihren Daumen langsam hoch. Auf diese Weise kann der weiße Kolben aufkommen und die Nadel automatisch in den Körper der Spritze zurückziehen (zu ziehen).
- Nach der vollständigen Freisetzung der Einspritzung die eingeklemmte Haut.
- An der Injektionsstelle kann es einen kleinen Blutabfall geben. Das ist normal. Drücken Sie einen Baumwollkugel oder Gaze auf den Bereich und tragen Sie einen Klebstoffband auf, wenn Sie ihn benötigen.
- Nicht Reiben Sie die Injektionsstelle.
- Nicht Legen Sie die graue Nadelkappe wieder auf die Spritze.
Entsorgen
8. Werfen Sie die gebrauchte Spritze weg
|
Legen Sie die gebrauchte Spritze und die graue Nadelkappe sofort nach der Verwendung in einen FDA-Clearedsharps-Entsorgungsbehälter ein.
Wenn Sie keinen von der FDA geschlossenen Sharps-Entsorgungsbehälter haben, können Sie einen Haushaltsbehälter verwenden, der lautet:
- aus hochkarätigem Plastik;
- in der Lage, mit einem eng anliegenden pünktlichen resistenten Deckel zu schließen, ohne dass Scharfe herauskommen können;
- während des Gebrauchs aufrecht und stabil;
- leckebeständig; Und
- ordnungsgemäß markiert, um vor gefährlichen Abfällen im Behälter zu warnen.
Wenn der Sharps Disposal Container nahezu voll ist, müssen Sie Ihren Community -Richtlinien befolgen, um den richtigen Weg zu entsorgen. Es kann Staat oder lokale Gesetze darüber geben, wie Sie gebrauchte Spritzen wegwerfen sollten.
Weitere Informationen zur Entsorgung sicherer Sharps und spezifische Informationen über die Entsorgung von Sharps in dem Staat, in dem Sie in der FDA -Website unter: www.fda.gov/SafesharpsDisposal leben.
- Nicht Werfen Sie den gebrauchten Sharps -Entsorgungsbehälter in Ihren Haushaltsmüll weg, es sei denn, Ihre Gemeinschaftsrichtlinien erlauben dies.
- Nicht Recyceln Sie den gebrauchten Sharps -Entsorgungsbehälter.
Halten Sie den Sharps -Entsorgungsbehälter außerhalb der Reichweite der Kinder.
Häufig gestellte Fragen
1. Was passiert, wenn das Medikament bewölkt aussieht, dass das Ablaufdatum vergangen ist oder die vorgefüllte Spritze beschädigt aussieht?
Wenden Sie sich an GSK, um weitere Informationen unter 1-888-825-5249 zu erhalten.
2. Kann ich die Injektionsstelle für die vorgefüllte Spritze ändern (drehen)?
Sie können den Ort (Oberschenkelbauch oder Oberarm) ändern (drehen), solange Sie das Medikament nicht injizieren.
3. Warum muss ich innerhalb von 5 Minuten nach Entfernen der grauen Nadelkappe injizieren?
Dies verhindert, dass das Medikament in der Nadel trocknet. Es könnte beeinflussen, wie viel Medizin Sie bekommen.
4. Was passiert, wenn die Nadel nicht in die Nadelwache zurückzieht?
Stellen Sie die Spritze und die Nadelkappe sofort in den von der FDA geschlossenen Sharps-Entsorgungsbehälter ein und wenden Sie sich an GSK, um weitere Informationen unter 1-888-825-5249 zu erhalten.
5. An wen kontaktiere ich, wenn ich Hilfe bei der Injektion brauche?
Der Gesundheitsdienstleister kann Ihnen bei weiteren Fragen helfen, die Sie möglicherweise haben.
Diese Verwendung wurden von der US -amerikanischen Food and Drug Administration genehmigt.