Die Informationen Auf Dieser Website Stellen Keine Medizinische Beratung Dar. Wir Verkaufen Nichts. Die Richtigkeit Der Übersetzung Wird Nicht Garantiert. Haftungsausschluss
Androgene
Oxandrin
Drogenzusammenfassung
Was ist Oxandrin?
Oxandrin (oxandrolone) Tablets is an anabolic steroid and is indicated as adjunctive therapy to promote weight gain after weight loss following extensive surgery chronic infections or severe trauma and in some patients who without definite pathophysiologic reasons fail to gain or to maintain normal weight to offset the protein catabolism associated with prolonged administration of corticosteroids and for the relief of the bone pain frequently accompanying Osteoporose .
Was sind Nebenwirkungen von Oxandrin?
Die Nebenwirkungen von Oxandrin umfassen:
- eine allergische Reaktion
- Schwellung der Arme oder Beine
- Sprachänderungen
- Neue oder verschlechterende Akne
- Schwierigkeiten beim Schlafen
- Kopfschmerzen oder
- Veränderungen im sexuellen Verlangen.
Zu den schwerwiegenden Nebenwirkungen von Oxandrin gehören:
- Leber- und Milzkomplikationen
- Tumorbildung und
- Vermännlichung.
Sagen Sie Ihrem Arzt, ob Sie unwahrscheinlich, aber ernsthafte Nebenwirkungen von Oxandrin haben, einschließlich:
- Veränderungen für geistige/stimmige Veränderungen (z. B. Angstdepression erhöhte Wut)
- Probleme beim Schlafen oder
- Schnarchen.
Dosierung für Oxandrin
Oxandrin ist in 2,5 und 10 mg Tabletten erhältlich. Die tägliche Erwachsenendosis von Oxandrin beträgt 2,5 mg bis 20 mg in 2 bis 4 geteilten Dosen. Bei Kindern beträgt die tägliche tägliche Dosierung von Oxandrin weniger als 0,1 mg pro Kilogramm Körpergewicht oder weniger als 0,045 mg pro Pfund Körpergewicht; Dieses Medikament sollte nur von Spezialisten verabreicht werden.
Welche Medikamentenstoffe oder Nahrungsergänzungsmittel interagieren mit Oxandrin?
Oxandrin kann die Empfindlichkeit gegenüber oralen Antikoagulanzien erhöhen und mit oraler Interaktion interagieren Hypoglykämie Nebennierensteroide oder ACTH.
Oxandrin während der Schwangerschaft oder des Stillens
Dieses Medikament sollte während der Schwangerschaft nicht verabreicht werden. Es ist nicht bekannt, ob Oxandrin in die Muttermilch übergeht. Oxandrin kann die Milchproduktion beeinflussen und einem Pflegekind schädigen. Das Stillen bei der Verwendung von Oxandrin wird nicht empfohlen.
Weitere Informationen
Unsere Nebenwirkungen von Oxandrin (Oxandrolon) bietet einen umfassenden Überblick über die verfügbaren Arzneimittelinformationen über die potenziellen Nebenwirkungen bei der Einnahme dieses Medikaments.
FDA -Drogeninformationen
- Drogenbeschreibung
- Indikationen
- Nebenwirkungen
- Wechselwirkungen mit Arzneimitteln
- Warnungen
- Vorsichtsmaßnahmen
- Überdosis
- Klinische Pharmakologie
- Medikamentenhandbuch
Beschreibung für Oxandrin
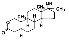
Oxandrin® (Oxandrolon) orale Tabletten enthalten 2,5 mg oder 10 mg des anabolischen Steroids Oxandrolon.
Oxandrolon ist 17β-Hydroxy-17α-methyl-2-oxa-5α-Androstan-3-One mit der folgenden Strukturformel:
|
Inaktive Inhaltsstoffe umfassen Maisstärke -Laktose -Magnesiumstearat und Hydroxypropylmethylcellulose.
Verwendung für Oxandrin
Oxandrin (oxandrolone) is indicated as adjunctive therapy to promote weight gain after weight loss following extensive surgery chronic infections or severe trauma and in some patients who without definite pathophysiologic reasons fail to gain or to maintain normal weight to offset the protein catabolism associated with prolonged administration of corticosteroids and for the relief of the bone pain frequently accompanying osteoporosis (See Dosierung und Verwaltung ).
Dosierung für Oxandrin
Die Therapie mit anabolen Steroiden ist zusätzlich zu und kein Ersatz für eine konventionelle Therapie. Die Therapiedauer mit Oxandrin (Oxandrolon) hängt von der Reaktion des Patienten und dem möglichen Auftreten von Nebenwirkungen ab. Die Therapie sollte intermittierend sein.
Erwachsene: Die Reaktion von Individuen auf anabolische Steroide variiert. Die tägliche Dosierung für Erwachsene beträgt 2,5 mg bis 20 mg in 2 bis 4 geteilten Dosen. Die gewünschte Reaktion kann mit nur 2,5 mg oder bis zu 20 mg täglich erreicht werden. Ein Therapiekurs von 2 bis 4 Wochen ist normalerweise ausreichend. Dies kann zeitweise wie angegeben wiederholt werden.
Kinder: Bei Kindern beträgt die tägliche tägliche Dosierung von Oxandrin (Oxandrolon) ≤ 0,1 mg pro Kilogramm Körpergewicht oder ≤ 0,045 mg pro Pfund Körpergewicht. Dies kann zeitweise wie angegeben wiederholt werden.
Geriatrische Verwendung: Die empfohlene Dosis für geriatrische Patienten beträgt 5 mg Angebote.
Wie geliefert
Oxandrin (Oxandrolon) 2,5 mg Tabletten sind oval weiß und mit BTG auf einer Seite und 11 auf jeder Seite der Torlinie auf der anderen Seite erzielt. Flaschen von 100 ( NDC 54396-111-11).
Oxandrin (Oxandrolon) 10 mg Tabletten sind Kapsel geformt mit BTG auf der einen Seite und auf der anderen Seite '10'; 60 -Flaschen (60 ( NDC 54396-110-60).
Hergestellt für: Savient Pharmaceuticals Inc. Hergestellt von: DSM Pharmaceuticals Inc. Greenville NC 27834. Pfizer Co. New York NY 10017. Ansprechen medizinischer Anfragen an: Savient Pharmaceuticals Inc. Ein Tower Center. Vierzehnte Etage East Brunswick NJ 08816. 866-692-6374. Januar 2006 ausgestellt.
Nebenwirkungen for Oxandrin
Patienten mit mittelschwerer bis schwerer COPD- oder COPD -Patienten, die nicht auf Bronchodilatatoren reagieren, sollten genau auf die COPD -Verschlechterung und die Flüssigkeitsretention überwacht werden.
Die folgenden nachteiligen Reaktionen wurden mit der Verwendung anabolischer Steroide in Verbindung gebracht:
Leber: Cholestatisch Gelbsucht mit selten hepatischer Nekrose und Tod. Hepatozelluläre Neoplasmen und Peliose-Hepatis mit Langzeittherapie (siehe Warnungen ). Reversible changes in liver function tests also occur including increased bromsulfophthalein (BSP) retention changes in alkaline phosphatase and increases in serum bilirubin aspartate aminotransferase (AST SGOT) and alanine aminotransferase (ALT SGPT)
Bei Männern
Prepubertal: Phallische Vergrößerung und erhöhte Häufigkeit oder Persistenz von Erektionen.
Postpuberal: Hemmung der Hodenfunktion Hodenatrophie und Oligospermie Impotenz Chronische Priapismus -Epididymitis und Blasenreizbarkeit.
Bei Frauen
Klitorisgrößenmänner -Unregelmäßigkeiten.
ZNS: Gewöhnungsanregung Schlaflosigkeit Depressionen und Veränderungen der Libido.
Hämatologisch: Blutungen bei Patienten mit gleichzeitiger oraler Antikoagulans -Therapie.
Brust: Gynäkomastie.
Larynx: Vertiefung der Stimme bei Frauen.
Haar: Hirsutismus und männliche Musterkahlheit bei Frauen.
Haut: Akne (insbesondere bei Frauen und vorpubertären Männern).
Skelett: Frühgeborene Schließung der Epiphysen bei Kindern (siehe VORSICHTSMASSNAHMEN : Pädiatrische Verwendung ).
Flüssigkeit und Elektrolyte: Ödemretention von Serumelektrolyten (Natriumchlorid -Kaliumphosphat -Calcium).
Metabolisch/endokrin: Verringerte Glukosetoleranz (siehe VORSICHTSMASSNAHMEN : Labortests ) erhöhte Kreatininausscheidung erhöhte die Serumspiegel von Kreatininphosphokinase (CPK). Maskulinisierung des Fötus. Hemmung der Gonadotropinsekretion.
Drogenmissbrauch und Abhängigkeit
Oxandrolon wird als kontrollierter Substanz im Rahmen des anabolischen Steroidenkontrollgesetzes von 1990 eingestuft und wurde dem Anhang III (nicht narzotisch) zugeordnet.
Wechselwirkungen mit Arzneimitteln for Oxandrin
Antikoagulanzien
Anabolische Steroide können die Empfindlichkeit gegenüber oralen Antikoagulanzien erhöhen. Die Dosierung des Antikoagulans muss möglicherweise verringert werden, um die gewünschte Prothrombinzeit aufrechtzuerhalten. Patienten, die orale Antikoagulanzien -Therapie erhalten, müssen eine enge Überwachung erfordern, insbesondere wenn anabolische Steroide gestartet oder gestoppt werden.
Warfarin: Eine Multidose-Studie mit Oxandrolon, die als 5 oder 10 mg BID bei 15 gesunden Probanden verabreicht wurde und gleichzeitig mit Warfarin behandelt wurde, führte zu einer durchschnittlichen Erhöhung der S-Warfarin-Halbwertszeit von 26 bis 48 Stunden und AUC von 4,55 auf 12,08 ng*HR/ml; Ähnliche Erhöhungen der R-Warfarin-Halbwertszeit und AUC wurden ebenfalls festgestellt. Eine mikroskopische Hämaturie (9/15) und Gingivalblutungen (1/15) wurden ebenfalls beobachtet. Eine 5,5-fache Abnahme der mittleren Warfarin-Dosis von 6,13 mg/Tag auf 1,13 mg/Tag (ungefähr 80-85% Reduktion der Warfarin-Dosis) war erforderlich, um ein Ziel-INR von 1,5 aufrechtzuerhalten. Wenn die Oxandrolontherapie bei einem Patienten initiiert wird, der bereits mit Warfarin behandelt wird, sollte die INR- oder Prothrombinzeit (PT) genau überwacht werden und die Dosis von Warfarin nach Bedarf angepasst werden, bis ein stabiles Ziel -INR oder PT erreicht wurde. Darüber hinaus werden bei Patienten, die beide Medikamente erhalten, die sorgfältige Überwachung des INR oder PT und die Anpassung der Warfarin -Dosierung erhalten, wenn die angegebene Oxandrolon -Dosis geändert oder abgesetzt wird. Die Patienten sollten genau auf Anzeichen und Symptome okkulter Blutungen überwacht werden.
Orale hypoglykämische Wirkstoffe
Oxandrolon kann den Metabolismus oraler Hypoglykämika hemmen.
Nebennierensteroide oder ACTH
Bei Patienten mit Ödemen, die eine gleichzeitige Verabreichung mit Nebennieren -kortikalen Steroiden oder ACTH das Ödem erhöhen.
Wechselwirkungen zwischen Arzneimittel und Labor-/Labortest
Anabolische Steroide können die Spiegel der Thyroxin-bindenden Globulin verringern, was zu einer verringerten Gesamt-T-T-T-Tiefe führt 4 Serumspiegel und erhöhte Harzaufnahme von t 3 und t 4 . Der freie Schilddrüsenhormonspiegel bleibt unverändert. Darüber hinaus kann eine Abnahme der PBI und der radioaktiven Jodaufnahme auftreten.
Warnungen for Oxandrin
Peliose hepatis Eine Erkrankung, bei der Leber und manchmal Milzgewebe durch blutgefüllte Zysten ersetzt werden, wurde bei Patienten berichtet, die eine androgene anabolische Steroidtherapie erhalten. Diese Zysten sind manchmal mit minimaler Leberfunktionsstörungen vorhanden, aber zu anderen Zeiten wurden sie mit Leberversagen in Verbindung gebracht. Sie werden oft nicht erkannt, bis sich lebensbedrohliches Leberversagen oder intraabdominale Blutungen entwickelt. Der Entzug von Arzneimitteln führt normalerweise zu einem vollständigen Verschwinden von Läsionen.
Leberzelltumoren werden ebenfalls berichtet. In den meisten Fällen sind diese Tumoren gutartig und androgenabhängig, aber tödliche maligne Tumoren wurden berichtet. Der Entzug des Arzneimittels führt häufig zur Regression oder Beendigung des Progression des Tumors. Lebertumoren, die mit Androgenen oder anabolischen Steroiden verbunden sind, sind jedoch viel vaskulärer als andere Lebentumoren und können schweigen, bis sich lebensbedrohliche intraabdominale Blutungen entwickelt. Bei Patienten, die mit Androgenen oder anabolischen Steroiden behandelt werden, sind Blutfettveränderungen mit einem erhöhten Risiko für Atherosklerose beobachtet. Diese Veränderungen umfassen verringerte Lipoproteine mit hoher Dichte und manchmal erhöhte Lipoproteine mit niedriger Dichte. Die Veränderungen können sehr ausgeprägt sein und einen schwerwiegenden Einfluss auf das Risiko einer Atherosklerose und der Erkrankung der Herzkranzgefäße haben.
Cholestatisch hepatitis and Gelbsucht may occur with 17-alpha-alkylated androgens at a relatively low dose. If cholestatic hepatitis with Gelbsucht appears or if liver function tests become abnormal oxandrolone should be discontinued and the etiology should be determined. Drug-induced Gelbsucht is reversible when the medication is discontinued.
Bei Patienten mit Brustkrebs kann eine anabolische Steroidtherapie durch Stimulierung der Osteolyse Hyperkalzämie verursachen. Die Oxandrolontherapie sollte abgesetzt werden, wenn eine Hyperkalzämie auftritt.
Ödem mit oder ohne Herzinsuffizienz kann eine schwerwiegende Komplikation bei Patienten mit bereits bestehender Herzrenal- oder Lebererkrankung sein. Die gleichzeitige Verabreichung von Nebennieren kortikaler Steroid oder ACTH kann das Ödem erhöhen.
Bei Kindern kann die Androgentherapie die Knochenreifung beschleunigen, ohne den kompensatorischen Gewinn des linearen Wachstums zu erzeugen. Dieser nachteilige Effekt führt zu einer gefährdeten Höhe der Erwachsenen. Je jünger das Kind ist, desto größer ist das Risiko, die endgültige reife Höhe zu beeinträchtigen. Die Auswirkung auf die Knochenreifung sollte überwacht werden, indem alle 6 Monate das Knochenalter des linken Handgelenks und die Hand bewertet werden (siehe VORSICHTSMASSNAHMEN: Laboratory Tests ).
Geriatrische Patienten, die mit androgenen anabolischen Steroiden behandelt werden, können ein erhöhtes Risiko für die Entwicklung von Prostata -Hypertrophie und Prostatakarzinom ausmachen.
Es wurde nicht gezeigt, dass anabolische Steroide die sportlichen Fähigkeiten verbessern .
Vorsichtsmaßnahmen for Oxandrin
Die gleichzeitige Dosierung von Oxandrolon mit Warfarin kann zu unerwartet hohen Zunahme der INR- oder Prothrombinzeit (PT) führen. Wenn Oxandrolon für Patienten verschrieben wird, die mit Warfarin -Dosen von Warfarin behandelt werden, müssen möglicherweise signifikant verringert werden, um den wünschenswerten INR -Niveau aufrechtzuerhalten und das Risiko für potenziell schwerwiegende Blutungen zu verringern (siehe Vorsichtsmaßnahmen: Wechselwirkungen mit Arzneimitteln ).
Allgemein
Frauen sollten auf Anzeichen einer Virilisierung beobachtet werden (Vertiefung der Sprachhirsutismus -Akne -Klitoromegalie). Das Absetzen der medikamentösen Therapie zum Zeitpunkt des Nachweises eines leichten Virilismus ist notwendig, um eine irreversible Virilisierung zu verhindern. Einige virilisierende Veränderungen bei Frauen sind auch nach einer sofortigen Abnahme der Therapie irreversibel und werden durch die gleichzeitige Verwendung von Östrogenen nicht verhindert. Es können auch Menstruationsunregelmäßigkeiten auftreten.
rezeptfreie Herpesbehandlung Genital
Anabolische Steroide können die Unterdrückung der Gerinnungsfaktoren II V VII und X und zu einer Zunahme der Prothrombinzeit verursachen.
Geriatrische Verwendung
Oxandrin (Oxandrolon) in täglichen Dosen von 5 mg BID und 10 mg BID wurde in vier klinischen Studien mit insgesamt 339 Patienten mit unterschiedlichen Erkrankungen bewertet. Die maximale Behandlungsdauer betrug 4 Monate mit der durchschnittlichen Behandlungsdauer von 68,5 Tagen bis 94,7 Tagen in den Studien. Insgesamt 172 ältere Patienten (≥ 65 Jahre) erhielten eine Behandlung mit Oxandrin (Oxandrolon). Die mittlere Gewichtszunahme war bei denen ≥ 65 und denen ähnlich <65 years of age. No significant differences in efficacy were detected between the 5 mg bid and 10 mg bid daily doses. The adverse event profiles were similar between the two age groups although the elderly particularly in women had a greater sensitivity to fluid retention and increases in hepatic transaminases. A single dose pharmacokinetic study in elderly volunteers revealed an increased half-life when compared to younger volunteers. (see Klinische Pharmakologie ) Basierend auf einer größeren Empfindlichkeit gegenüber medikamenteninduzierten Flüssigkeitsretention und Transaminase-Erhöhungen wird bei älteren Menschen eine niedrigere Dosis empfohlen (siehe Dosierung und Verwaltung ).
Labortests:
Frauen mit dissemininiertem Brustkarzinom sollten während des Therapieverlaufs eine häufige Bestimmung des Calciumspiegels im Urin und des Serums aufweisen. (Sehen Warnungen ).
Aufgrund der Hepatotoxizität, die mit der Verwendung von 17-alpha-alkylierten Androgenen-Leberfunktionstests verbunden ist, sollte regelmäßig erhalten werden.
Während der Behandlung von Kindern sollten periodische (alle 6 Monate) Röntgenuntersuchungen des Knochenalters durchgeführt werden, um die Rate der Knochenreifung und die Auswirkungen der Androg-Therapie auf die Epiphysealzentren zu bestimmen.
Es wurde berichtet, dass androgene anabolische Steroide Lipoproteine mit geringer Dichte erhöhen und Lipoproteine mit hoher Dichte verringern. Daher ist bei Patienten mit Herz -Kreislauf -Erkrankungen Vorsicht vorzugehen, wenn diese Wirkstoffe an Patienten mit Herz -Kreislauf -Erkrankungen in der Vorgeschichte verabreicht werden oder die einem Risiko für Herz -Kreislauf -Erkrankungen ausgesetzt sind. Die Serumbestimmung der Lipidspiegel sollte regelmäßig durchgeführt und die Therapie entsprechend angepasst werden.
Hämoglobin und Hämatokrit sollte regelmäßig auf Polyzythämie bei Patienten überprüft werden, die hohe Dosen anabolischer Steroide erhalten.
Karzinogenese -Mutagenese -Beeinträchtigung der Fruchtbarkeit
Tierdaten
Oxandrolon wurde bei Labortieren nicht auf krebserzeugende oder mutagene Wirkungen getestet. In 2-jährigen chronischen oralen Rattenstudien wurden eine dosisbedingte Reduktion der Spermatogenese und verringerte Organgewichte (testet Prostata-Vesikel-Eierstöcke Uterus-Nebennieren und Hypophyse) gezeigt.
Menschliche Daten
Bei Patienten, die eine Langzeittherapie mit androgenen anabolen Steroiden in hohen Dosen erhalten, wurden Leberzelltumoren berichtet (siehe Warnungen ). Withdrawal of the drugs did not lead to regression of the tumors in all cases.
Geriatrische Patienten, die mit androgenen anabolischen Steroiden behandelt werden, können ein erhöhtes Risiko für die Entwicklung von Prostata -Hypertrophie und Prostatakarzinom ausmachen.
Schwangerschaft
Teratogene Wirkungen - Schwangerschaft Category X (Sehen Kontraindikationen ).
Pflegemütter
Es ist nicht bekannt, ob anabolische Steroide in Muttermilch ausgeschieden werden. Aufgrund des Potenzials schwerwiegender unerwünschter Reaktionen bei Säuglingen von Oxandrolon sollte eine Entscheidung getroffen werden, ob die Pflege eingestellt oder die Droge eingestellt werden soll, um die Bedeutung des Arzneimittels für die Mutter zu berücksichtigen.
Pädiatrische Verwendung
Anabolische Wirkstoffe können die epiphyseale Reifung schneller beschleunigen als das lineare Wachstum bei Kindern, und die Wirkung kann 6 Monate lang anhalten, nachdem das Medikament gestoppt wurde. Daher sollte die Therapie durch Röntgenstudien in Intervallen von 6 Monaten überwacht werden, um das Risiko einer gefährdeten Höhe der Erwachsenen zu vermeiden. Die androgene anabolische Steroidtherapie sollte bei Kindern und nur von Spezialisten, die sich der Auswirkungen auf die Knochenreifung bewusst sind, sehr vorsichtig angewendet werden (siehe Warnungen ).
Überdosierungsinformationen für Oxandrin
Es wurden keine Symptome oder Anzeichen im Zusammenhang mit Überdosierung gemeldet. Es ist möglich, dass Natrium- und Wasserretention auftreten kann.
Die orale Ld 50 von Oxandrolon bei Mäusen und Hunden ist mehr als 5000 mg/kg. Es ist kein spezifisches Gegenmittel bekannt, aber Magenspuren können verwendet werden.
Kontraindikationen für Oxandrin
- Bekannt oder vermutetes Karzinom der Prostata oder der männlichen Brust.
- Karzinom der Brust bei Frauen mit Hyperkalzämie (androgene anabolische Steroide können die osteolytische Knochenresorption stimulieren).
- Schwangerschaft because of possible masculinization of the fetus. Oxandrin (oxandrolone) has been shown to cause embryotoxicity fetotoxicity infertility and masculinization of female animal offspring when given in doses 9 times the human dose.
- Nephrose Die nephrotische Phase der Nephritis.
- Hyperkalzämie.
Klinische Pharmakologie for Oxandrin
Anabolic steroids are synthetic derivatives of testosterone . Certain clinical effects and adverse reactions demonstrate the androgenic properties of this class of drugs. Complete dissociation of anabolic and androgenic effects has not been achieved. The actions of anabolic steroids are therefore similar to those of male sex hormones with the possibility of causing serious disturbances of growth and sexual development if given to young children. Anabolic steroids suppress the gonadotropic functions of the pituitary and may exert a direct effect upon the testes.
Während der exogenen Verabreichung von anabolischen Androgenen wird die endogene Testosteronfreisetzung durch Hemmung des hypophysen luteinisierenden Hormons (LH) inhibiert. Bei großen Dosen können die Spermatogenese durch Rückkopplungshemmung des Hypophysen-Follikel-stimulierenden Hormons (FSH) unterdrückt werden.
Es wurde berichtet, dass anabolische Steroide Lipoproteine mit niedriger Dichte erhöhen und Lipoproteine mit hoher Dichte verringern. Diese Werte sind beim Absetzen der Behandlung zu normal.
In einer einzigen dosis pharmakokinetischen Untersuchung von Oxandrin (Oxandrolon) bei älteren Probanden betrug die mittlere Eliminierungs Halbwertszeit 13,3 Stunden. In einer früheren Pharmakokinetik-Studie einer einzelnen Dosis bei jüngeren Freiwilligen betrug die durchschnittliche Eliminierungs Halbwertszeit 10,4 Stunden. Es wurden keine signifikanten Unterschiede zwischen jüngeren und älteren Freiwilligen für die Zeit für die Spitzenplasmakonzentration oder AUC nach einer einzelnen Dosis Oxandrin (Oxandrolon) gefunden. Die Korrelation zwischen Plasmaspiegel und therapeutischer Wirkung wurde nicht definiert.
Patienteninformationen für Oxandrin
Der Arzt sollte die Patienten anweisen, die Verwendung von Warfarin und Blutungen sofort zu melden.
Der Arzt sollte die Patienten anweisen, eine der folgenden Nebenwirkungen von Androgenen zu melden:
Männer: Zu häufige oder anhaltende Erektionen des Penis -Aussehens oder der Verschlechterung von Akne.
Frauen: Heiserkeit Akne Veränderungen in Menstruationsperioden oder mehr Gesichtsbehaarung.
Alle Patienten: Übelkeit Erbrechen Veränderungen in der Hautfarbe oder der Knöchelschwellung.