Die Informationen Auf Dieser Website Stellen Keine Medizinische Beratung Dar. Wir Verkaufen Nichts. Die Richtigkeit Der Übersetzung Wird Nicht Garantiert. Haftungsausschluss
Antidiabetiker, Biguanides
Riomet
Drogenzusammenfassung
Was ist Riomet?
Riomet (Metformin HCl) ist ein orales Diabetes -Medikament, das mit einem richtigen Ernährungs- und Trainingsprogramm und möglicherweise mit anderen Medikamenten zur Kontrolle verwendet wird hoher Blutzucker . Riomet wird bei Patienten mit Typ -2 -Diabetes (Nicht -Insulin -abhängiger Diabetes) verwendet. Riomet dient nicht zur Behandlung von Typ -1 -Diabetes. Riomet ist in erhältlich generisches bilden.
Was sind Nebenwirkungen von Riomet?
Häufige Nebenwirkungen von Riomet sind:
- Brechreiz
- Erbrechen
- Magenverstimmung oder Schmerz
- Durchfall
- Gas
- Schwäche
- Kopfschmerzen
- Muskelschmerzen oder ein metallischer Geschmack im Mund.
Gehen Sie in eine Notaufnahme, wenn Sie schwerwiegende Nebenwirkungen haben, einschließlich Taub oder kalt
Dosierung für Riomet
Die Dosierung von Riomet wird auf der Grundlage von Wirksamkeit und Toleranz individualisiert. Die maximal empfohlene tägliche Dosis beträgt bei Erwachsenen 2550 mg (NULL,5 ml) und 2000 mg (20 ml) bei pädiatrischen Patienten (10-16 Jahre).
Welche Drogensubstanzen oder Nahrungsergänzungsmittel interagieren mit Riomet?
Hyperglykämie (hoher Blutzucker) kann dazu führen, wenn Riomet mit Arzneimitteln eingenommen wird, die Blutzucker anheben, wie z. Hypoglykämie (Niedriger Blutzucker) kann sich ergeben, wenn Riomet mit Medikamenten eingenommen wird, die Blutzucker senken, wie z. B. nichtsteroidale entzündungshemmende Medikamente (NSAIDs) Aspirin oder andere Salicylate-Sulfa-Medikamente Monoaminoxidase-Inhibitoren (Maois) Beta-Blocker oder Probenecid. Riomet kann auch mit Furosemid -Nifedipin -Cimetidin -Ranitidin -Amilorid -Triamteren -Digoxin -Morphin -Procainamid -Quinidin -Trimethoprim oder Vancomycin interagieren. Sagen Sie Ihrem Arzt alle Medikamente und Nahrungsergänzungsmittel, die Sie verwenden.
Riomet während der Schwangerschaft oder des Stillens
Während der Schwangerschaft sollte Riomet nur bei Verschreibungen verwendet werden. Ihr Arzt kann stattdessen während Ihrer Schwangerschaft Insulin verschreiben. Riomet kann fördern Ovulation und erhöhen Sie das Risiko, schwanger zu werden. Wenden Sie sich an Ihren Arzt, während Sie diese Medikamente verwenden. Dieses Medikament greift in kleinen Mengen in die Muttermilch. Wenden Sie sich vor dem Stillen an Ihren Arzt.
Weitere Informationen
Unser RIOMET (Metformin HCL) -Seitwirkung Drug Center bietet einen umfassenden Überblick über die verfügbaren Arzneimittelinformationen über die potenziellen Nebenwirkungen bei der Einnahme dieses Medikaments.
FDA -Drogeninformationen
- Drogenbeschreibung
- Indikationen
- Nebenwirkungen
- Wechselwirkungen mit Arzneimitteln
- Warnungen
- Überdosis
- Klinische Pharmakologie
- Medikamentenhandbuch
WARNUNG
Laktatazidose
Nach dem Stempeln von Metformin-assoziierten Laktatazidose haben zu einer Hypotonie des Todeshypotos und zu resistenten Bradyarrhythmien geführt. Der Beginn der metforminassoziierten Laktikazise -Azidose wird häufig nur subtil nur von unspezifischen Symptomen wie Unwohlsein Myalgien Atemnot Schläfrigkeit und Bauchschmerzen begleitet. Die metforminassoziierte Lacticazidose wurde durch erhöhte Blutlaktatspiegel (> 5 mmol/Liter) Anionenspalt -Azidose (ohne Hinweis auf Ketonurie oder Ketonämie) ein erhöhtes Verhältnis von Laktat/Pyruvat gekennzeichnet; und Metformin -Plasmaspiegel im Allgemeinen> 5 mcg/ml [siehe Warnungen und VORSICHTSMASSNAHMEN ].
Zu den Risikofaktoren für Metformin-assoziierte Laktikazidose gehören Nierenbeeinträchtigungen, die bestimmte Arzneimittel (z. B. carbonische Anhydrase-Inhibitoren wie Topiramat) im Alter von 65 Jahren oder mehr mit einer radiologischen Untersuchung mit Kontrastoperationen und anderen Verfahren für hypoxische Zustände (z. B. akutes konstantes Herzversagen) eingehalten werden (z. B. akutes Herzversagen).
Schritte zur Reduzierung des Risikos von und Managemetformin-assoziiert Dosierung und Verwaltung Kontraindikationen WARNUNGS AND VORSICHTSMASSNAHMEN ].
Wenn die Metformin-assoziierte Laktikazise ausmacht, wird der Verdacht auf das Einsetzen von Riomet und Institut in einem Krankenhausumfeld eingehen. Schnellige Hämodialyse wird empfohlen [siehe Warnungen und VORSICHTSMASSNAHMEN ].
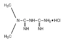
Beschreibung für Riomet
Die orale Riomet -Lösung enthält das Biguanidin -Antihyperglykämie -Wirkstoff Metformin in Form von Monohydrochloridsalz. Metforminhydrochlorid ist nn-dimethylimidicalbonimidisches Diamidhydrochlorid. Die strukturelle Formel wird als:
|
Metforminhydrochlorid ist ein weißes kristallines Pulver mit einer molekularen Formel von C 4 H 11 N 5 • HCl und ein Molekulargewicht von 165,62. Metformin Hydrochlorid USP 2,0 g ist in 20 ml Wasser löslich. Die PKA von Metformin beträgt 12,4. Der pH -Wert einer 1% igen wässrigen Lösung von Metforminhydrochlorid beträgt 6,68. Es ist im Wasser frei löslich; etwas löslich in Alkohol; praktisch unlöslich in Aceton und in Methylenchlorid.
Riomet (Kirschgeschmack) enthält 500 mg Metforminhydrochlorid (das Äquivalent von 389,93 mg Metformin) pro 5 ml und die folgenden inaktiven Inhaltsstoffe: künstliches Kirschgeschmack Hydrochlorsäure -Kaliumbicarbonat gereinigtes Wasser -Saccharin -Calcium und Xylitol.
Riomet (Erdbeergeschmack) enthält 500 mg Metforminhydrochlorid (das Äquivalent von 389,93 mg Metformin) pro 5 ml und die folgenden inaktiven Inhaltsstoffe: Salzsäure N
Verwendung für Riomet
Riomet wird als Ergänzung zu Ernährung und Bewegung angezeigt, um die glykämische Kontrolle bei Erwachsenen und pädiatrischen Patienten ab 10 Jahren mit Typ -2 -Diabetes mellitus zu verbessern.
Dosierung für Riomet
Erwachsene Dosierung
- Messen Sie die Riomet -Dosis im riometspezifischen Dosierbecher.
- Die empfohlene Startdosis Riomet beträgt oral zweimal täglich 500 mg oder 850 mg (850 mg) einmal täglich mit Mahlzeiten.
- Erhöhen Sie die Dosis in Schritten von 500 mg wöchentlich oder 850 mg (850 mg) alle 2 Wochen auf der Grundlage der glykämischen Kontrolle und Verträglichkeit bis zu einer maximalen Dosis von 2550 mg (NULL,5 ml) pro Tag in geteilten Dosen.
- Dosen über 2000 mg (20 ml) können in geteilten Dosen 3 -mal täglich mit den Mahlzeiten besser toleriert werden.
Pädiatrische Dosierung
- Messen Sie die Riomet -Dosis im riometspezifischen Dosierbecher.
- Die empfohlene Startdosis Riomet für pädiatrische Patienten 10 Jahre und älter beträgt oral zweimal täglich 500 mg (500 mg).
- Erhöhen Sie die Dosierung in Schritten von 500 mg (5 ml) wöchentlich auf der Grundlage der glykämischen Kontrolle und der Verträglichkeit bis zu maximal 2000 mg (20 ml) pro Tag in geteilten Dosen zweimal täglich.
Empfehlungen für die Verwendung bei Nierenbeeinträchtigungen
- Bewerten Sie die Nierenfunktion vor Beginn von Riomet und danach regelmäßig.
- Das Riomet ist bei Patienten mit einer geschätzten glomerulären Filtrationsrate (EGFR) unter 30 ml/Minute/1,73 m² kontraindiziert.
- Die Initiierung von Riomet bei Patienten mit einem EGFR zwischen 30 und 45 ml/Minute/1,73 m² wird nicht empfohlen.
- Bei Patienten, die RIOMET einnehmen, deren EGFR später unter 45 ml/min/1,73 m² liegt, beurteilen Sie das Nutzen -Risiko einer fortlaufenden Therapie.
- Verbreiten Sie Riomet, wenn der EGFR des Patienten später unter 30 ml/Minute/1,73 m² fällt [siehe WARNUNGS AND VORSICHTSMASSNAHMEN ].
Absetzen bei iodierten Kontrastbildgebungsverfahren
Absetzen von Riomet zum Zeitpunkt oder vor einem iodierten Kontrastbildgebungsverfahren bei Patienten mit einem EGFR zwischen 30 und 60 ml/min/1,73 m²; bei Patienten mit Lebererkrankung Alkoholismus oder Herzinsuffizienz; oder bei Patienten, denen intra-arterielles iodiertem Kontrast verabreicht wird. Bewerten Sie EGFR 48 Stunden nach dem Bildgebungsverfahren neu; Starten Sie das Riomet neu, wenn die Nierenfunktion stabil ist.
Wie geliefert
Dosierungsformen und Stärken
Orale Lösung: 500 mg pro 5 mg (100 mg/ml) klare Lösung im Kirsch- und Erdbeergeschmack
Lagerung und Handhabung
RIOMET 500 mg pro 5 ml (100 mg/ml) orale Lösung wird in Flaschen mit kinderresistenten Kappen und einer Dosierbecher wie folgt geliefert:
| Geschmack | Aussehen | Größe | NDC |
| Kirsche | Klare farblose Lösung | 4 Unze (118 ml) | 10631-206-01 |
| 473 ml) | 10631-206-02 | ||
| Erdbeere | Klare farblos bis hellgelbe Lösung | 4 Unze (118 ml) | 10631-238-01 |
| 473 ml) | 10631-238-02 |
Lagerung
Lagern Sie bei 15 ° - 30 ° C (59 ° - 86 ° F) [siehe USP -kontrollierte Raumtemperatur ].
Hergestellt von: Mikart Inc. Atlanta GA 30318. Verteilt von: Sun Pharmaceutical Industries Inc. Cranbury NJ 08512. Überarbeitet: November 2018
Nebenwirkungen for Riomet
Die folgenden nachteiligen Reaktionen werden auch an anderer Stelle in der Kennzeichnung erörtert:
- Laktatazidose [siehe WARNUNG BOXED Und WARNUNGS AND VORSICHTSMASSNAHMEN ]
- Vitamin B12 -Mangel [siehe WARNUNGS AND VORSICHTSMASSNAHMEN ]
- Hypoglykämie [see WARNUNGS AND VORSICHTSMASSNAHMEN ]
Klinische Studien Erfahrung
Da klinische Studien unter stark unterschiedlichen Bedingungen durchgeführt werden, die in den klinischen Studien eines Arzneimittels beobachtet werden, können in den klinischen Studien eines anderen Arzneimittels nicht direkt mit den Raten verglichen werden und spiegeln möglicherweise nicht die in der Praxis beobachteten Raten wider.
In einer US -amerikanischen klinischen Studie mit Metformin -HCl -Tabletten bei Patienten mit Typ -2 -Diabetes mellitus erhielten insgesamt 141 Patienten Metformin HCL -Tabletten von bis zu 2550 mg pro Tag. Nebenwirkungen bei mehr als 5% der mit Metformin-HCL-Tabletten behandelten Patienten berichteten häufiger als bei mit Placebo behandelten Patienten sind in Tabelle 1 aufgeführt.
Tabelle 1: Nebenwirkungen aus einer klinischen Studie mit Metformin -HCl -Tabletten> 5% und häufiger als Placebo bei Patienten mit Typ -2 -Diabetes mellitus
| Metformin HCl Tablets (n = 141) | Placebo (n = 145) | |
| Durchfall | 53% | 12% |
| Übelkeit/V -Omiting | 26% | 8% |
| Blähung | 12% | 6% |
| Asthenie | 9% | 6% |
| Verdauungsstörungen | 7% | 4% |
| Bauchbeschwerden | 6% | 5% |
| Kopfschmerzen | 6% | 5% |
Durchfall led to discontinuation of Metformin HCl tablets in 6% of patients. Additionally the following adverse reactions were reported in ≥ 1% to ≤ 5% of patients treated with Metformin HCl tablets Und were more commonly reported than placebo: abnormal stools Hypoglykämie myalgia lightheaded dyspnea nail disorder rash Schwitzen increased taste disorder chest discomfort chills flu syndrome flushing palpitation.
Pädiatrische Patienten
In klinischen Studien mit Metformin -HCl -Tabletten bei pädiatrischen Patienten mit Typ -2 -Diabetes mellitus war das Profil von Nebenwirkungen der bei Erwachsenen beobachteten.
Labortests
Vitamin B12 -Konzentrationen
In klinischen Studien über 29-wöchige Dauer mit Metformin-HCl-Tabletten wurde bei ungefähr 7% der Patienten eine Abnahme auf subnormale Spiegel der zuvor normalen Serum-Vitamin-B12-Spiegel beobachtet.
Nachmarkterfahrung
Die folgenden nachteiligen Reaktionen wurden während der Verwendung von Metformin nach der Genehmigung identifiziert. Da diese Reaktionen freiwillig aus einer Population unsicherer Größe berichtet werden, ist es nicht immer möglich, ihre Häufigkeit zuverlässig abzuschätzen oder ein kausales Verhältnis zur Arzneimittelexposition herzustellen.
Cholestatische hepatozelluläre und gemischte hepatozelluläre Leberverletzung wurden durch die Verwendung von Metformin nach dem Stempeln berichtet.
Wechselwirkungen mit Arzneimitteln for Riomet
Tabelle 2 zeigt klinisch signifikante Wechselwirkungen mit dem Arzneimittel mit Riomet.
Tabelle 2: Klinisch signifikante Wechselwirkungen mit dem Medikament mit Riomet
| Carboanhydrase -Inhibitoren | |
| Klinische Wirkung: | Carboanhydrase-Inhibitoren verursachen häufig eine Abnahme des Serumbicarbonat und induzieren hyperchlorämische metabolische Azidose von Nichtanionspulen. Die gleichzeitige Anwendung dieser Arzneimittel mit Riomet kann das Risiko für Laktatazidose erhöhen. |
| Intervention: | Betrachten Sie die häufigere Überwachung dieser Patienten. |
| Beispiele: | Topiramat -Zonisamid -Acetazolamid oder Dichlorphenamid. |
| Medikamente, die die Riomet -Clearance verringern | |
| Klinische Wirkung: | Die gleichzeitige Anwendung von Arzneimitteln, die die an der Niereneladung von Metformin (z. B. organischen kationischen Transporter-2 [OCT2 / Multidrug- und Toxin-Extrusion [Mate] -Hemmer) beteiligten Arzneimitteleingänge stören, können die systemische Exposition zu Metformin erhöhen und das Risiko für lactische Säure erhöhen [siehe [siehe [siehe Hemmer) erhöhen [siehe [siehe [MATE). Klinische Pharmakologie ]. |
| Intervention: | Berücksichtigen Sie die Vorteile und Risiken einer gleichzeitigen Verwendung mit Riomet. |
| Beispiele: | RANOLAZIN VANDETANIB DOLUTEGRAVIR UND CIMIDIN. |
| Alkohol | |
| Klinische Wirkung: | Alkohol is known to potentiate the effect of Metformin on lactate metabolism. |
| Intervention: | Warnen Sie die Patienten vor einer übermäßigen Alkoholkonsum, während Sie Riomet erhalten. |
| Insulinsekretagogen oder Insulin | |
| Klinische Wirkung: | Die gleichzeitige Verabreichung von Riomet mit einem Insulin -Sekretagogen (z. B. Sulfonylharnstoff) oder Insulin kann das Risiko einer Hypoglykämie erhöhen. |
| Intervention: | Patienten, die einen Insulin -Sekretagogen oder Insulin erhalten, benötigen möglicherweise niedrigere Dosen des Insulin -Sekretagogen oder des Insulins. |
| Medikamente, die die glykämische Kontrolle beeinflussen | |
| Klinische Wirkung: | Bestimmte Medikamente produzieren dazu, Hyperglykämie zu erzeugen, und können zu einem Verlust der glykämischen Kontrolle führen. |
| Intervention: | Wenn ein Patienten, der Riomet erhält, solche Medikamente verabreicht werden, beobachten Sie den Patienten eng zum Verlust der Blutzuckerkontrolle. Wenn solche Medikamente von einem Patienten zurückgezogen werden, der Riomet erhält, beobachten Sie den Patienten eng für Hypoglykämie. |
| Beispiele: | Thiazide und andere Diuretik -Corticosteroide Phänothiazine Schilddrüsenprodukte Östrogene orale Kontrazeptiva Phenytoin -Nikotinsäure Sympathomimetika Calcium -Kanalblocker und Isoniazid. |
Warnungen für Riomet
Eingeschlossen als Teil der VORSICHTSMASSNAHMEN Abschnitt.
Vorsichtsmaßnahmen für Riomet
Laktatazidose
Es wurden Fälle von Metformin-assoziierter Laktatazidose einschließlich tödlicher Fälle nach dem Stempeln durchgeführt. Diese Fälle hatten ein subtiles Beginn und wurden von unspezifischen Symptomen wie Unwohlsein Myalgien -Bauchschmerzen Atemnot oder erhöhte Schläfrigkeit begleitet; Hypotonie und resistente Bradyarrhythmien sind jedoch bei schwerer Azidose aufgetreten. Die metforminassoziierte Lacticazidose wurde durch erhöhte Blutlaktatkonzentrationen (> 5 mmol/l) Anionenspalt -Azidose (ohne Hinweis auf Ketonurie oder Ketonämie) und ein erhöhtes Verhältnis von Laktat: Pyruvat -Verhältnis gekennzeichnet; Die Metformin -Plasmaspiegel betrugen im Allgemeinen> 5 mcg/ml. Metformin verringert die Leberaufnahme von Laktat -Erhöhung des Laktatblutspiegels, was das Risiko einer Laktatazidose insbesondere bei gefährdeten Patienten erhöhen kann.
Wenn die metformin-assoziierte Laktikazidose vermutet wird, sollten allgemeine unterstützende Maßnahmen zusammen mit der sofortigen Abnahme von Riomet in einem Krankenhaus umgehend eingeführt werden. Bei mit Riomet behandelten Patienten mit einer Diagnose oder einem starken Verdacht auf die Laktikazidose wird eine sofortige Hämodialyse empfohlen, um die Azidose zu korrigieren und akkumuliertes Metformin zu entfernen (Metforminhydrochlorid ist unter einem Clearance von bis zu 170 ml/min unter guten hämodynamischen Bedingungen dialyzierbar). Die Hämodialyse hat häufig zur Umkehrung der Symptome und zur Erholung geführt.
Bildung von Patienten und ihren Familien über die Symptome der Laktatazidose und bei diesen Symptomen auftreten, weist sie an, Riomet einzustellen und diese Symptome ihrem Gesundheitsdienstleister zu berichten.
Für jede der bekannten und möglichen Risikofaktoren für Metformin-assoziierte Laktikazise-Empfehlungen zur Verringerung des Risikos und zur Behandlung von Metformin-assoziierten Laktikazidose finden Sie nachstehend:
Nierenbehinderung
Bei Patienten mit signifikanter Nierenbeeinträchtigung trat die nach dem Stempel von Metformin-assoziierten Fällen nach dem Stempeln hauptsächlich bei Patienten mit einer signifikanten Nierenfunktionsstörung auf.
Nebenwirkungen von Augmentin 875 125
Das Risiko einer Metforminakkumulation und der Metformin-assoziierten Lacticazidose nimmt mit dem Schweregrad der Nierenbeeinträchtigung zu, da Metformin durch die Niere wesentlich ausgeschieden wird. Zu den klinischen Empfehlungen, die auf der Nierenfunktion des Patienten basieren, gehören [siehe Dosierung und Verwaltung Klinische Pharmakologie ]:
- Vor dem Initiieren von Riomet erhalten Sie eine geschätzte glomeruläre Filtrationsrate (EGFR).
- Riomet ist bei Patienten mit einem EGFR von weniger als 30 ml/min/1,73 m² kontraindiziert [siehe Kontraindikationen ].
- Die Initiierung von Riomet wird bei Patienten mit EGFR zwischen 30 und 45 ml/min/1,73 m² nicht empfohlen.
- Erhalten Sie mindestens jährlich eine EGFR bei allen Patienten, die Riomet einnehmen. Bei Patienten, die für die Entwicklung einer Nierenbeeinträchtigung (z. B. ältere) Nierenfunktion beigesetzt sind, sollte die Nierenfunktion häufiger bewertet werden.
- Bei Patienten, die RIOMET einnehmen, deren EGFR unter 45 ml/min/1,73 m² fällt, bewerten Sie den Nutzen und das Risiko einer fortgesetzten Therapie.
Wechselwirkungen mit Arzneimitteln
Die gleichzeitige Anwendung von Riomet mit spezifischen Arzneimitteln kann das Risiko einer metforminassoziierten Lactic-Azidose erhöhen: Diejenigen, die die Nierenfunktion beeinträchtigen, führen zu einer signifikanten hämodynamischen Veränderung beeinträchtigen das Säure-Base-Gleichgewicht oder die Erhöhung der Metforminakkumulation. Erwägen Sie eine häufigere Überwachung von Patienten [siehe Wechselwirkungen mit Arzneimitteln ].
Alter 65 oder mehr
Das Risiko einer Metformin-assoziierten Lacticazidose nimmt mit dem Alter des Patienten zu, da ältere Patienten eine höhere Wahrscheinlichkeit haben, dass eine Nieren- oder Herzbeeinträchtigung von Lebern aufweist als jüngere Patienten. Bewerten Sie die Nierenfunktion häufiger bei älteren Patienten.
Radiologische Studien mit Kontrast
Die Verabreichung von intravaskulären iodierten Kontrastmitteln bei mit Metformin behandelten Patienten hat zu einer akuten Abnahme der Nierenfunktion und zum Auftreten von Laktatazidose geführt. Stop Riomet zum Zeitpunkt oder vor einem iodierten Kontrastbildgebungsverfahren bei Patienten mit einem EGFR zwischen 30 und 60 ml/min/1,73 m²; bei Patienten mit einer Vorgeschichte von Leberbeeinträchtigungen Alkoholismus oder Herzinsuffizienz; oder bei Patienten, denen der intraarterielle iodierte Kontrast verabreicht wird. Bewerten Sie EGFR 48 Stunden nach dem Bildgebungsverfahren neu und starten Sie das Riomet neu, wenn die Nierenfunktion stabil ist.
Operation und andere Verfahren
Das Zurückhalten von Lebensmitteln und Flüssigkeiten während chirurgischer oder anderer Verfahren kann das Risiko für die Hypotonie des Volumens und die Nierenbeeinträchtigung erhöhen. Riomet sollte vorübergehend eingestellt werden, während Patienten eine eingeschränkte Nahrungsaufnahme und die Flüssigkeitsaufnahme haben.
Hypoxische Zustände
Einige der Nachmarktierungsfälle von Metformin-assoziiert Herzinsuffizienz (insbesondere in Begleitung von Hypoperfusion und Hypoxämie). Der kardiovaskuläre Kollaps (Schock) Akute Myokardinfarkt -Sepsis und andere mit Hypoxämie verbundene Erkrankungen wurden mit Laktatazidose in Verbindung gebracht und können zu einer vorliegenden Azotämie führen. Wenn ein solches Ereignis auftritt, stellen Sie Riomet ein.
Übermäßige Alkoholkonsum
Alkohol potentiates the effect of Metformin on lactate metabolism. Patients should be warned against excessive alcohol intake while receiving Riomet.
Hepatische Beeinträchtigung
Patienten mit Leberbeeinträchtigungen haben Fälle von metforminassoziierter Laktatazidose entwickelt. Dies ist auf eine beeinträchtigte Laktat -Clearance zurückzuführen, die zu höheren Laktatblutspiegeln führt. Vermeiden Sie daher die Verwendung von Riomet bei Patienten mit klinischen oder Labornachweisen einer Lebererkrankung.
Vitamin B12 -Mangel
In klinischen Studien über 29-wöchige Dauer mit Metforminhydrochlorid (HCL) -Tabletten wurde bei ungefähr 7% der Patienten eine Abnahme auf subnormale Spiegel der zuvor normalen Serum-Vitamin-B12-Spiegel beobachtet. Eine solche Abnahme möglicherweise aufgrund der Störung der B12-Absorption aus dem B12-Intrinsischen Faktor-Komplex kann mit einer Anämie in Verbindung gebracht werden, scheint jedoch durch Absetzen von Metformin oder Vitamin B12-Supplementierung schnell reversibel zu sein. Bestimmte Personen (mit unzureichendem Vitamin B12 oder Calciumaufnahme oder Absorption) scheinen für die Entwicklung subnormaler Vitamin -B12 -Spiegel prädisponiert zu sein. Messen Sie die hämatologischen Parameter jährlich und Vitamin B12 in Intervallen von 2 bis 3 Jahren bei Patienten mit Riomet und behandeln Sie alle Anomalien [siehe Nebenwirkungen ].
Hypoglykämie With Concomitant Use With Insulin And Insulin Secretagogues
Insulin- und Insulin -Sekretagogen (z. B. Sulfonylharnstoff) sind bekanntermaßen verursacht Hypoglykämie . Riomet kann das Risiko einer Hypoglykämie erhöhen, wenn sie mit Insulin und/oder einem Insulin -Sekretagogen kombiniert wird. Daher kann eine niedrigere Dosis von Insulin oder Insulinsekretagogen erforderlich sein, um das Risiko einer Hypoglykämie in Kombination mit Riomet zu minimieren [siehe Wechselwirkungen mit Arzneimitteln ].
Makrovaskuläre Ergebnisse
Es gab keine klinischen Studien, die schlüssige Hinweise auf eine Reduzierung der makrovaskulären Risikos mit Riomet festgelegt haben.
Patientenberatungsinformationen
Raten Sie dem Patienten, die von der FDA zugelassene Patientenkennzeichnung zu lesen ( Patienteninformationen ).
Verwaltung
Weisen Sie die Patienten oder Pflegekräfte an, den mitgelieferten Dosierbecher zu verwenden, um die verschriebene Menge an Medikamenten zu messen. Informieren Sie Patienten, dass zusätzliche Riomet -Dosierungstassen oder orale Dosierspritzen aus ihrer Apotheke erhalten werden können.
Laktatazidose
Erklären Sie die Risiken der Laktatazidose ihrer Symptome und Erkrankungen, die sich für ihre Entwicklung vorhaben. Raten Sie den Patienten, Riomet sofort abzubrechen und ihren Gesundheitsdienstleister unverzüglich zu benachrichtigen, wenn eine ungeklärte Hyperventilation Myalgien Ungewöhnliche Schläfrigkeit oder andere unspezifische Symptome auftreten. Ratschläge gegen die Patienten gegen übermäßige Alkoholkonsum und informieren die Patienten über die Bedeutung der regelmäßigen Prüfung der Nierenfunktion beim Erhalt von Riomet. Weisen Sie die Patienten an, ihren Arzt darüber zu informieren, dass sie Riomet vor einem chirurgischen oder radiologischen Verfahren einnehmen WARNUNGS AND VORSICHTSMASSNAHMEN ].
Hypoglykämie
Informieren Sie die Patienten, dass eine Hypoglykämie auftreten kann, wenn Riomet mit oralen Sulfonylharnstoff und Insulin zusammengefasst ist. Erklären Sie Patienten, die eine gleichzeitige Therapie erhalten, um die Risiken einer Hypoglykämie der Symptome, der Behandlung und den Erkrankungen, die sich für seine Entwicklung vorhaben [siehe WARNUNGS AND VORSICHTSMASSNAHMEN ].
Vitamin B12 -Mangel
Informieren die Patienten über die Bedeutung regelmäßiger hämatologischer Parameter beim Empfangen von Riomet [siehe WARNUNGS AND VORSICHTSMASSNAHMEN ].
Frauen des Fortpflanzungsalters
Informieren Sie Frauen, dass die Behandlung mit Riomet bei einigen anovulatorischen Frauen vor der Menopause zu einem Eisprung führen kann, was zu einer unbeabsichtigten Schwangerschaft führen kann [siehe Verwendung in bestimmten Populationen ].
Nichtklinische Toxikologie
Karzinogenese -Mutagenese -Beeinträchtigung der Fruchtbarkeit
Langzeitkarzinogenitätsstudien wurden bei Ratten (Dosierungsdauer von 104 Wochen) und Mäusen (Dosierungsdauer von 91 Wochen) in Dosen bis zu 900 mg/kg/Tag bzw. 1500 mg/kg/Tag durchgeführt. Diese Dosen sind beide ungefähr das Dreifache der maximal empfohlenen täglichen Dosis von 2550 mg, basierend auf Vergleiche der Körperoberfläche. Bei männlichen oder weiblichen Mäusen wurden keine Hinweise auf Karzinogenität mit Metformin gefunden. In ähnlicher Weise wurde bei männlichen Ratten kein tumorigenes Potential beobachtet. Bei weiblichen Ratten, die mit 900 mg/kg/Tag behandelt wurden, gab es jedoch eine erhöhte Inzidenz von gutartigen Stroma -Uterus -Polypen.
In den folgenden In -vitro -Tests gab es keine Hinweise auf ein mutagenes Potential von Metformin: AMES -Test (Test ( S. Typhimurium ) Genmutationstest (Maus -Lymphomzellen) oder chromosomale Aberrationen -Test (humane Lymphozyten). Die Ergebnisse des In -vivo -Maus -Mikronukleus -Tests waren ebenfalls negativ.
Die Fertilität männlicher oder weiblicher Ratten wurde von Metformin nicht betroffen, wenn sie in Dosen von bis zu 600 mg/kg/Tag verabreicht wurden, was ungefähr 2 -mal die maximal empfohlene menschliche tägliche Dosis von 2550 mg auf der Grundlage der Vergleiche der Körperoberfläche beträgt.
Verwendung in bestimmten Populationen
Schwangerschaft
Risikozusammenfassung
Begrenzte Daten mit Riomet bei schwangeren Frauen reichen nicht aus, um ein drogenassoziiertes Risiko für schwere Geburtsfehler oder eine Fehlgeburt zu bestimmen. Veröffentlichte Studien mit Metformin -Anwendung während der Schwangerschaft haben keinen klaren Zusammenhang mit Metformin und schwerem Geburtsfehler oder Fehlgeburtenrisiko berichtet [siehe Daten ]. There are risks to the mother Und fetus associated with poorly controlled Diabetes mellitus in der Schwangerschaft [siehe Klinische Überlegungen ].
Es wurden keine unerwünschten Entwicklungseffekte beobachtet, wenn Metformin während der Organogenesezeit in Dosen bis zu 2- bzw. 5 Times eine klinische Dosis von 2550 mg basierend auf der Körperoberfläche [siehe Daten ].
Das geschätzte Hintergrundrisiko für größere Geburtsfehler beträgt 6 bis 10% bei Frauen mit vorkleinernem Diabetes mellitus mit einem Hba1c> 7 und wurde bei Frauen mit Hba1c> 10 bis zu 20 bis 25% berichtet. Das geschätzte Hintergrundrisiko einer Fehlgeburt für die angegebene Bevölkerung ist unbekannt. In der US -allgemeinen Bevölkerung beträgt das geschätzte Hintergrundrisiko für größere Geburtsfehler und eine Fehlgeburt bei klinisch anerkannten Schwangerschaften 2 bis 4% bzw. 15 bis 20%.
Klinische Überlegungen
Krankheitsassoziierte mütterliche und/oder embryo/fetale Risiko
Schlecht kontrollierter Diabetes mellitus in der Schwangerschaft erhöht das mütterliche Risiko für diabetische Ketoazidose vor der Eklampsie spontane Abtreibungen Frühgeborene Stille und Entbindungskomplikationen. Schlecht kontrollierter Diabetes mellitus erhöht das fetale Risiko für schwere Geburtsfehler und Makrosomie im Zusammenhang mit Morbidität.
Daten
Menschliche Daten
Veröffentlichte Daten aus Nachmarktstudien haben keinen klaren Zusammenhang mit Metformin und schwerwiegenden Geburtsfehlern Fehlgeburt oder unerwünschten Ergebnissen für die Mutter oder fetale bei der Verwendung während der Schwangerschaft berichtet. Diese Studien können jedoch nicht definitiv das Fehlen eines metforminassoziierten Risikos aufgrund methodischer Einschränkungen, einschließlich kleiner Stichprobengröße und inkonsistenten Komparatorgruppen, feststellen.
Tierdaten
Metforminhydrochlorid beeinflusste die Entwicklungsergebnisse nicht negativ, wenn sie schwangeren Ratten und Kaninchen mit Dosen von bis zu 600 mg/kg/Tag verabreicht wurden. Dies stellt eine Exposition von etwa 2 und 5 -mal einer 2550 mg klinischen Dosis dar, die auf Körperoberflächenvergleiche für Ratten bzw. Kaninchen basiert. Die Bestimmung der fetalen Konzentrationen zeigte eine teilweise Plazenta -Barriere für Metformin.
Stillzeit
Risikozusammenfassung
Limited veröffentlichte Studien berichten, dass Metformin in Muttermilch vorhanden ist [siehe Daten ]. However there is insufficient information to determine the effects of Metformin on the breastfed infant Und no available information on the effects of Metformin on milk production. Therefore the developmental Und health benefits of breastfeeding should be considered along with the mother's clinical need for Riomet Und any potential adverse effects on the breastfed child from Riomet or from the underlying maternal condition.
Daten
Veröffentlichte klinische Laktationsstudien berichten, dass Metformin in der Muttermilch vorhanden ist, was zu einer Gewichtsdosis von Müttern und einem Milch/Plasma-Verhältnis zwischen 0,13 und 1. 1,13 und 1.13, die bei kleinen Probengröße und begrenzten Adus-Ereignis-Daten, die bei Infants, in Infants festgelegt wurden, und nicht so konzipiert waren, dass sie in INFANTS, in INFANTS-INFANNISELTERGEBEN,, reichen, in einer Gewichtsdosis und einem Milch-Plasma-Verhältnis zwischen 0,13 und 1, die bei der Laktation von Proben und begrenzten ADUSE-Ereignissen aufgewendet wurden.
Frauen und Männer des Fortpflanzungspotentials
Diskutieren Sie das Potenzial für eine unbeabsichtigte Schwangerschaft mit Frauen vor der Menopause, da die Therapie mit Riomet bei einigen anovulatorischen Frauen zu einem Eisprung führen kann.
Pädiatrische Verwendung
Die Sicherheit und Wirksamkeit von Riomet zur Behandlung von Typ -2 -Diabetes mellitus wurde bei pädiatrischen Patienten 10 bis 16 Jahre festgelegt. Sicherheit und Wirksamkeit von Riomet wurde bei pädiatrischen Patienten weniger als 10 Jahre nicht festgelegt.
Die Verwendung von Riomet bei pädiatrischen Patienten, die 10 bis 16 Jahre alt sind [sehen Klinische Studien ]. In this study adverse reactions were similar to those described in adults. A maximum daily dose of 2000 mg of Riomet is recommended. [Sehen Dosierung und Verwaltung ]
Geriatrische Verwendung
Controllierte klinische Studien mit Metformin -HCl -Tabletten umfassten nicht eine ausreichende Anzahl von älteren Patienten, um festzustellen, ob sie anders als jüngere Patienten reagieren. Im Allgemeinen sollte die Selektion der Dosis für einen älteren Patienten vorsichtig sein, normalerweise am unteren Ende des Dosierungsbereichs, der die größere Häufigkeit einer verringerten Nieren- oder Herzfunktion des Lebers und einer gleichzeitigen Erkrankung oder einer anderen medikamentösen Therapie und dem höheren Risiko für Laktik -Azidose widerspiegelt. Bewerten Sie die Nierenfunktion häufiger bei älteren Patienten [siehe WARNUNGS AND VORSICHTSMASSNAHMEN ].
Nierenbehinderung
Metformin wird von der Niere wesentlich ausgeschieden, und das Risiko einer Metforminakkumulation und die Laktatazidose nimmt mit dem Grad der Nierenbeeinträchtigung zu. Riomet ist bei schweren Nierenbeeinträchtigungspatienten mit einer geschätzten glomerulären Filtrationsrate (EGFR) unter 30 ml/min/1,73 m² kontraindiziert [siehe Dosierung und Verwaltung Kontraindikationen WARNUNGS AND VORSICHTSMASSNAHMEN Und Klinische Pharmakologie ].
Hepatische Beeinträchtigung
Die Verwendung von Metformin bei Patienten mit Leberbeeinträchtigungen wurde mit einigen Fällen von Laktatazidose in Verbindung gebracht. Riomet wird bei Patienten mit Leberbeeinträchtigung nicht empfohlen. [sehen WARNUNGS AND VORSICHTSMASSNAHMEN ].
Überdosierungsinformationen für Riomet
Überdosis von Metforminhydrochlorid ist aufgetreten, einschließlich der Aufnahme von Mengen von mehr als 50 Gramm. In ungefähr 10% der Fälle wurde eine Hypoglykämie berichtet, es wurde jedoch keine kausale Assoziation mit Metformin festgelegt. Laktatazidose wurde in ungefähr 32% der Fälle von Metformin -Überdosierungen berichtet [siehe WARNUNGS AND VORSICHTSMASSNAHMEN ]. Metformin is dialyzable with a clearance of up to 170mL/min under good hemodynamic conditions. Therefore hemodialysismay be useful for removal of accumulated drug from patients in whom Metformin overdosage is suspected.
Kontraindikationen für Riomet
Riomet ist bei Patienten mit:
- Schwere Nierenbeeinträchtigungen (EGFR unter 30 ml/min/1,73 m²) [siehe WARNUNGS AND VORSICHTSMASSNAHMEN ].
- Überempfindlichkeit gegen Metformin.
- Akute oder chronische metabolische Azidose einschließlich diabetischer Ketoacidose mit oder ohne Koma.
Klinische Pharmakologie for Riomet
Wirkungsmechanismus
Metformin ist ein antihyperglykämisches Mittel, das die Glukosetoleranz bei Patienten mit Typ -2 -Diabetes -Mellitus verbessert, die sowohl die basale als auch postprandiale Plasma -Glukose senkt. Metformin verringert die hepatische Glukoseproduktion, die die Darmabsorption von Glucose und die INSULIN -Empfindungsempfindung durch die Aufpackung und die Verwendung der peripheren Glucosa und die Usexualisierung verbessert. Mit der Metformin-Therapie bleibt die Insulinsekretion unverändert, während das Fasten der Insulinspiegel und die tägliche Plasma-Insulinreaktion abnehmen können.
Pharmakokinetik
Absorption
Zwei pharmakokinetische Studien, die bei gesunden Freiwilligen durchgeführt wurden, um die Bioverfügbarkeit von Riomet im Vergleich zu Metformin -HCl -Tabletten unter Fasten- und Fed -Bedingungen zu bewerten, zeigten, dass die Rate und das Ausmaß der Absorption von Riomet als vergleichbar mit der von Metformin -HCL -Tablets unter Fasten- oder Fed -Bedingungen vergleichbar sind (siehe Tabelle 3).
Tabelle 3: Auswählen von Mittelwert (± S.D.) Pharmakokinetische Parameter nach einzelnen oralen Dosen von 1000 mg Riomet- und Metformin -HCL
| Formulierung | Cmax (ng/ml) | AUC0-∞ (ng • h/ml) | Tmax (h) |
| Studie 1-Fastenzustand | |||
| Riomet | 1540,1 ± 451.1 | 9069,6 ± 2593,6 | 2,2 ± 0,5 |
| Metformin HCl Tablets | 1885.1 ± 498,5 | 11100,1 ± 2733,1 | 2,5 ± 0,6 |
| T/R -Verhältnis x 100 (90% -Konfidenzintervall) | 81,2 (NULL,3 bis 86,4) | 81,2 (NULL,9 bis 85,6) | - |
| Studie 2- Staat | |||
| Riomet | 1235,3 ± 177,7 | 8950,1 ± 1381,2 | 4,1 ± 0,8 |
| Metformin HCl Tablets | 1361 ± 298,8 | 9307,7 ± 1839,8 | 3,7 ± 0,8 |
| T/R -Verhältnis x 100 (90% -Konfidenzintervall) | 91,8 (NULL,4 bis 96,5) | 97.0 (NULL,9 bis 101.2) | - |
| T-Test-Produkt (Riomet) R-Reference-Produkt (Sofortige Freisetzung Metformin HCl Tablets) |
Studien mit einzelnen oralen Dosen von Metformin -HCl -Tabletten von 500 mg bis 1500 mg und 850 mg bis 2550 mg zeigen, dass es an einer Dosis -Verhältnismäßigkeit mit zunehmenden Dosen fehlt, was eher auf eine verminderte Absorption als auf eine Veränderung der Elimination zurückzuführen ist. Bei üblichen klinischen Dosen und Dosierungspläne der Metformin -Steady -State -Plasmakonzentrationen von Metformin werden innerhalb von 24 bis 48 Stunden erreicht und sind im Allgemeinen <1 mcg/mL.
Wirkung von Nahrung
In der Lebensmitteleffektstudie wurden die Auswirkungen einer hohen Fett-/Hochkalorienmahlzeit und einer kalorienarmen Mahlzeit mit niedrigem Fett/kalorienarmen Bioverfügbarkeit von Riomet im Vergleich zur Verabreichung im schnellen Zustand bei gesunden Freiwilligen bewertet. Das Ausmaß der Absorption wurde mit der kalorienarmen Mahlzeit mit niedrigem Fett/niedrigem Kalorien und dem hohen Fett-/Kalorienmehl im Vergleich zur Verabreichung im schnellen Zustand um ungefähr 16% und 13% erhöht. Die Geschwindigkeit und das Ausmaß der Absorption mit hohem Fett-/ hoher Kalorien- und niedriger Fett-/ niedriger Kalorienmahlzeit waren ähnlich. Der mittlere TMAX betrug 2,5 Stunden unter Fastenbedingungen im Vergleich zu 3,9 Stunden mit niedrigem Fett-/ kalorienarmer Mahlzeit und hohem Fett-/ hoher Kalorienmahlzeit (siehe Tabelle 4).
Tabelle 4: Auswählen von Mittelwert (± S.D.) Metformin Pharmakokinetische Parameter nach einzelnen oralen Dosen von 1000 mg Riomet bei gesunden Nichtdiabetikern (n = 33) unter FED (hohe Fett-/Hochkalorienmahlzeit und niedriges Fett-/niedriger Kalorienmahlzeit) und Fastenbedingungen (Studie 3) (Studie 3) (Studie 3) (Studie 3) (Studie 3)
| Mahlzeittyp | Cmax (ng/ml) | AUC0-∞ (ng • h/ml) | tmax (h) |
| Fasten (f) | 1641,5 ± 551,8 | 9982,9 ± 2544,5 | 2,5 ± 0,9 |
| Mahlzeit mit niedrigem Fett/ kalorienarmer (L) (L) | 1525,8 ± 396,7 | 11542,0 ± 2947,5 | 3,9 ± 0,6 |
| Fett-/hohe Kalorienmahlzeit (H) | 1432,5 ± 346,8 | 11184,5 ± 2446.1 | 3,9 ± 0,8 |
| L/F -Verhältnis x 100 (90% -Konfidenzintervall) | 94,6 (NULL,0 bis 106,5) | 115.6 (NULL,6 bis 128,9) | - |
| H/F -Verhältnis x 100 (90% -Konfidenzintervall) | 89,4 (NULL,4 bis 100,6) | 112.6 (NULL,9 bis 125,6) | - |
| L/H -Verhältnis x 100 (90% -Konfidenzintervall) | 105,8 (NULL,0 bis 119,2) | 102,7 (92.0 bis 114,6) | - |
Verteilung
Das scheinbare Verteilungsvolumen (v/f) von Metformin nach einzelnen oralen Dosen von Metformin HCl 850 mg betrug 654 ± 358 L. Metformin ist vernachlässigbar an Plasmaproteine gebunden. Metformin -Partitionen in Erythrozyten höchstwahrscheinlich in Abhängigkeit von der Zeit.
Stoffwechsel
Intravenöse Einzeldosis-Studien bei normalen Probanden zeigen, dass Metformin im Urin unverändert ausgeschieden ist und weder beim Menschen einen Leberstoffwechsel unterliegt (keine Metaboliten wurden beim Menschen identifiziert) noch biliäre Ausscheidung.
Beseitigung
Die Nieren -Clearance (siehe Tabelle 5) ist ungefähr 3,5 -mal höher als die Kreatinin -Clearance, was darauf hinweist, dass die tubuläre Sekretion der Hauptweg der Metformin -Eliminierung ist. Nach oraler Verabreichung wird ungefähr 90% des absorbierten Arzneimittels innerhalb der ersten 24 Stunden über die Nierenroute mit einer Halbwertszeit von Plasma von ungefähr 6,2 Stunden beseitigt. Im Blut dauert die Eliminierungs-Halbwertszeit ungefähr 17,6 Stunden, was darauf hindeutet, dass die Erythrozytenmasse ein Verteilungskompartiment sein kann.
Spezifische Populationen
Nierenbehinderung
Bei Patienten mit verringerter Nierenfunktion ist Plasma und Blut Halbwertszeit von Metformin verlängert und die Nieren-Clearance verringert (siehe Tabelle 5) [siehe Dosierung und Verwaltung Kontraindikationen WARNUNGS AND VORSICHTSMASSNAHMEN Und Verwendung in bestimmten Populationen ].
Hepatische Beeinträchtigung
Bei Patienten mit Leberfunktionsstörungen wurden keine pharmakokinetischen Studien von Metformin durchgeführt [siehe WARNUNGS AND VORSICHTSMASSNAHMEN Und Verwendung in bestimmten Populationen ].
Geriatrie
Begrenzte Daten aus kontrollierten pharmakokinetischen Studien von Metformin-HCl-Tabletten bei gesunden älteren Probanden legen nahe, dass die Gesamtplasmabelle von Metformin verringert wird. Die Halbwertszeit wird verlängert und Cmax ist im Vergleich zu gesunden jungen Probanden erhöht. Es scheint, dass die Änderung der Metformin -Pharmakokinetik mit dem Altern hauptsächlich durch eine Änderung der Nierenfunktion berücksichtigt wird (siehe Tabelle 5). [Sehen WARNUNGS AND VORSICHTSMASSNAHMEN Und Verwendung in bestimmten Populationen ].
Tabelle 5: Wählen Sie den Mittelwert (± S.D.) Metformin pharmakokinetische Parameter nach einzelnen oder mehreren oralen Dosen von Metformin -HCl -Tabletten
| Betreffgruppen: Metformin HCl -Dosis a (Anzahl der Themen) | Cmax b (MCG/ml) | Tmax c (HRS) | Nierenfreiheit (ml/min) |
| Gesunde Nichtdiabetische Erwachsene: | |||
| 500 mg Einzeldosis (24) | 1,03 (± 0,33) | 2,75 (± 0,81) | 600 (± 132) |
| 850 mg Einzeldosis (74) d | 1,60 (± 0,38) | 2,64 (± 0,82) | 552 (± 139) |
| 850 mg dreimal täglich für 19 Dosen (9) e | 2,01 (± 0,42) | 1,79 (± 0,94) | 642 (± 173) |
| Erwachsene mit Typ -2 -Diabetes mellitus: | |||
| 850 mg Einzeldosis (23) | 1,48 (± 0,5) | 3,32 (± 1,08) | 491 (± 138) |
| 850 mg dreimal täglich für 19 Dosen e (9) | 1,90 (± 0,62) | 2,01 (± 1,22) | 550 (± 160) |
| Ältere Menschen f gesunde Nichtdiabetische Erwachsene: | |||
| 850 mg Einzeldosis (12) | 2,45 (± 0,70) | 2,71 (± 1,05) | 412 (± 98) |
| Erwachsene in Nierenbetreuung: | |||
| 850 mg Einzeldosis | |||
| Leicht (CLCR G 61 bis 90 ml/min) (5) | 1,86 (± 0,52) | 3,20 (± 0,45) | 384 (± 122) |
| Mäßig (CLCR 31 bis 60 ml/min) (4) | 4,12 (± 1,83) | 3,75 (± 0,50) | 108 (± 57) |
| Schwer (CLCR 10 bis 30 ml/min) (6) | 3,93 (± 0,92) | 4,01 (± 1,10) | 130 (± 90) |
| a Alle Dosen, die Fasten mit Ausnahme der ersten 18 Dosen der Mehrfachdosisstudien gegeben haben b Peak -Plasma -Konzentration c Zeit bis zur Spitze der Plasmakonzentration d Kombinierte Ergebnisse (durchschnittliche Mittelwerte) von fünf Studien: Durchschnittsalter 32 Jahre (Bereich 23 bis 59 Jahre) e Kinetische Studie, die nach der Dosis 19 bei Fasten durchgeführt wurde f Ältere Menschen subjects mean age 71 years (range 65 to 81 years) g CLCR = Kreatinin -Clearance normalisiert auf die Körperoberfläche von 1,73 m² |
Pädiatrie
Nach der Verabreichung eines einzelnen oralen Metformin-HCl-500-mg-Tablets mit geometrischer Nahrungsmittel-mittlerer Metformin-Cmax und AUC unterschieden sich zwischen pädiatrischen Typ-2-Diabetikern (12 bis 16 Jahre alt) weniger als 5% und geschlechtsspezifische und gewichtsbeeignete gesunde Erwachsene (20 bis 45 Jahre alt) mit normaler Nierenfunktion.
Geschlecht
Die metformin -pharmakokinetischen Parameter unterschieden sich nicht signifikant zwischen normalen Probanden und Patienten mit Typ -2 -Diabetes mellitus, wenn sie nach Geschlecht analysiert wurden (Männer = 19 Frauen = 16).
Wettrennen
Es wurden keine Studien zu Metformin Pharmacokinetic -Parametern gemäß der Rasse durchgeführt.
Wechselwirkungen mit Arzneimitteln
In -vivo -Bewertung von Wechselwirkungen mit Arzneimitteln
Tabelle 6: Auswirkung des koadministierten Arzneimittels auf die systemische Exposition von Plasma Metformin
| Koadministeriertes Medikament | Dosis von Coadministered Drug* | Dosis von Metformin HCl* | Geometrisches mittleres Verhältnis (Verhältnis mit/ohne koadministeriertes Medikament) keine Wirkung = 1,00 | ||
| AUC † | Cmax | ||||
| Für Folgendes sind keine Dosieranpassungen erforderlich: | |||||
| Glyburide | 5 mg | 850 mg | Metformin | 0,91 ‡ | 0,93 ‡ |
| Furosemid | 40 mg | 850 mg | Metformin | 1.09 ‡ | 1.22 ‡ |
| Nifedipin | 10 mg | 850 mg | Metformin | 1.16 | 1.21 |
| Propranolol | 40 mg | 850 mg | Metformin | 0.90 | 0.94 |
| Ibuprofen | 400 mg | 850 mg | Metformin | 1.05 ‡ | 1.07 ‡ |
| Kationische Arzneimittel, die durch die tubuläre Nierensekretion eliminiert wurden, können die Metformin -Eliminierung verringern [siehe WARNUNGS AND VORSICHTSMASSNAHMEN Und Wechselwirkungen mit Arzneimitteln .] | |||||
| Cimetidin | 400 mg | 850 mg | Metformin | 1.40 | 1.61 |
| Carboanhydrase -Inhibitoren können eine metabolische Azidose verursachen [siehe WARNUNGS AND VORSICHTSMASSNAHMEN Und Wechselwirkungen mit Arzneimitteln .] | |||||
| Topiramat | 100 mg § | 500 mg § | Metformin | 1.25 § | 1.17 |
| * Alle Metformin HCl- und Coadministered -Medikamente wurden als Einzeldosen verabreicht † AUC = AUC (INF) ‡ Verhältnis von arithmetischen Mitteln § im stationären Zustand mit Topiramat 100 mg alle 12 Stunden und Metformin 500 mg alle 12 Stunden; AUC = AUC0-12H |
Tabelle 7: Auswirkung von Metformin auf die systemische Exposition des konstruktiven Arzneimittels
| Koadministeriertes Medikament | Dosis von Coadministered Drug* | Dosis von Metformin HCl* | Geometrisches mittleres Verhältnis (Verhältnis mit/ohne Metformin) kein Effekt = 1,00 | ||
| AUC † | Cmax | ||||
| Für Folgendes sind keine Dosieranpassungen erforderlich: | |||||
| Glyburide | 5 mg | 850 mg | Glyburide | 0,78 ‡ | 0,63 ‡ |
| Furosemid | 40 mg | 850 mg | Furosemid | 0,87 ‡ | 0,69 ‡ |
| Nifedipin | 10 mg | 850 mg | Nifedipin | 1.10 § | 1.08 |
| Propranolol | 40 mg | 850 mg | Propranolol | 1.01 | 1.02 |
| Ibuprofen | 400 mg | 850 mg | Ibuprofen | 0,97 ¶ | 1.01 ¶ |
| Cimetidin | 400 mg | 850 mg | Cimetidin | 0,95 § | 1.01 |
| * Alle Metformin HCl- und Coadministered -Medikamente wurden als Einzeldosen verabreicht † Auc = aucinf, sofern nicht anders angegeben ‡ Verhältnis von arithmetischen Mitteln p-Wert des Unterschieds <0.05 § AUC0-24 HR gemeldet ¶ Verhältnis von arithmetischen Mitteln |
Klinische Studien
Klinische Studien für Erwachsene
Eine doppelblinde, placebokontrollierte US-amerikanische klinische Studie mit adipösen Patienten mit Typ-2-Diabetes mellitus, deren Hyperglykämie mit dem Nahrungsmanagement allein nicht angemessen kontrolliert wurde (wurde nicht angemessen (Basisfasten-Plasma-Glukose [FPG] von ungefähr 240 mg/dl). Die Patienten wurden 29 Wochen lang mit Metformin -HCL -Tabletten (bis zu 2550 mg/Tag) oder Placebo behandelt. Die Ergebnisse sind in Tabelle 8 dargestellt.
Tabelle 8: Mittlere Änderung des Fastenplasma -Glukose und Hba1c in Woche 29 Vergleich von Metformin HCl -Tabletten mit Placebo bei Patienten mit Typ -2 -Diabetes mellitus
| Metformin HCl Tablets (n = 141) | Placebo (n = 145) | p-Wert | |
| FPG (mg/dl) | |||
| Grundlinie | 241.5 | 237.7 | Ns* |
| Änderung beim letzten Besuch | -53.0 | 6.3 | 0.001 |
| Hämoglobin A1C (%) | |||
| Grundlinie | 8.4 | 8.2 | Ns* |
| Änderung beim letzten Besuch | -1.4 | 0.4 | 0.001 |
| * Nicht statistisch signifikant |
Das mittlere Basiskörpergewicht betrug 201 Pfund und 206 Pfund im Metformin -HCL -Tablet und in Placebo -Armen. Die mittlere Änderung des Körpergewichts von Grundlinie zu Woche 29 betrug -1,4 lbs und -2,4 lbs im Metformin -HCl -Tablet bzw. Placebo -Arme.
Eine 29-wöchige doppelblinde, placebokontrollierte Studie mit Metformin-HCl-Tablette und Glyburid allein und in Kombination wurde bei adipösen Patienten mit Typ-2-Diabetes mellitus durchgeführt, die bei maximaler Glyburid-Dosen nicht angemessene Glykämiekontrolle erreicht hatten (Basis-FPG von ungefähr 250 mg/DL/DL/DL/DL/DL/DL/DL/DL). Patienten, die randomisiert zum Kombinationsarm, begannen mit der Therapie mit Metformin HCl Tablet 500 mg und Glyburid 20 mg. Am Ende jeder Woche der ersten 4 Wochen der Studie stiegen diese Patienten ihre Dosierungen von Metformin HCl um 500 mg, wenn sie nicht erreicht hatten, dass das Plasma -Glukose des Zielfastens erreicht war. Nach Woche 4 wurden solche Dosierungsanpassungen monatlich vorgenommen, obwohl kein Patient Metformin HCl 2500 mg überschreiten durfte. Patienten im Metformin Nur Arm (Metformin HCl Placebo) haben Glyburid unterbrochen und dem gleichen Titrationsplan folgten. Patienten im Glyburidarm setzten die gleiche Dosis Glyburid fort. Am Ende der Studie nahmen ungefähr 70% der Patienten in der Kombinationsgruppe Metformin HCl 2000 mg/Glyburid 20 mg oder Metformin HCl 2500 mg/Glyburid 20 mg ein. Die Ergebnisse sind in Tabelle 9 angezeigt.
Tabelle 9: Mittlere Änderung des Nüchternplasmasglukose und Hba1c in Woche 29 Vergleich von Metformin HCl -Tabletten/Glyburid (COMM) gegen Glyburid (GlyB) gegen Metformin HCl -Tabletten (Glu): bei Patienten mit Typ -2
| Kamm (n = 213) | Glyb (n = 209) | Glu (n = 210) | p-Werts | |||
| Glyb vs Kamm | Glu vs Kamm | Glu vs Glyb | ||||
| Fastenplasma -Glukose (Mg/DL) | ||||||
| Grundlinie | 250.5 | 247.5 | 253.9 | Ns* | Ns* | Ns* |
| Änderung beim letzten Besuch | -63.5 | 13.7 | -0.9 | 0.001 | 0.001 | 0.025 |
| Hämoglobin A1C (%) | ||||||
| Grundlinie | 8.8 | 8.5 | 8.9 | Ns* | Ns* | 0.007 |
| Änderung beim letzten Besuch | -1.7 | 0.2 | -0.4 | 0.001 | 0.001 | 0.001 |
| * Nicht statistisch signifikant |
Das mittlere Baseline -Körpergewicht betrug 202 lbs 203 lbs und 204 lbs im Metformin -HCl -Tablet/Glyburid -Glyburid- und Metformin -HCl -Tablettenarme. Die mittlere Änderung des Körpergewichts von Ausgangswert zu Woche 29 betrug 0,9 lbs -0,7 lbs und -8,4 lbs im Metformin -HCl -Tablet/Glyburid -Glyburid- bzw. Metformin -HCl -Tablettenarme.
Pädiatrische klinische Studien
Eine doppelblinde, placebokontrollierte Studie wurde bei pädiatrischen Patienten im Alter von 10 bis 16 Jahren mit Diabetes mellitus vom Typ 2 (mittlerer FPG 182,2 mg/dl) durchgeführt, bei dem Patienten bis zu 16 Wochen mit Metformin-HCl-Tabletten (bis zu 2000 mg/Tag) behandelt wurden (mittlere Dauer der Behandlung 11 Wochen). Die Ergebnisse sind in Tabelle 10 angezeigt.
Tabelle 10: Mittlere Änderung des Nüchternplasmaklukose in Woche 16, um Metformin -HCl -Tabletten mit Placebo bei pädiatrischen Patienten zu vergleichen a mit Typ -2 -Diabetes mellitus
| Metformin HCl Tablets | Placebo | p-Wert | |
| FPG (mg/dl) | (n = 37) | (n = 36) | |
| Grundlinie | 162.4 | 192.3 | |
| Änderung beim letzten Besuch | -42.9 | 21.4 | <0.001 |
| a Kinder im Alter von pädiatrischen Patienten im Alter von 13,8 Jahren (Bereich 10 bis 16 Jahre) |
Das mittlere Baseline -Körpergewicht betrug 205 lbs und 189 lbs in der Metformin -HCl -Tablette bzw. Placebo -Arme. Die mittlere Änderung des Körpergewichts von Grundlinie zu Woche 16 betrug im Metformin -HCl -Tablet und Placebo -Arme -3,3 lbs und -2,0 lbs.
Patienteninformationen für Riomet
Riomet
(Ree oh met)
(Metforminhydrochlorid) orale Lösung
Was sind die wichtigsten Informationen, die ich über Riomet wissen sollte?
Riomet can cause serious side effects including:
Laktatazidose. Metformin hydrochloride the medicine in Riomet can cause a rare but serious side effect called lactic acidosis (a build-up of lactic acid in the blood) that can cause death. Lactic acidosis is a medical emergency Und must be treated in a hospital.
Hören Sie auf, Riomet einzunehmen, und rufen Sie Ihren Gesundheitsdienstleister sofort an, wenn Sie die folgenden Symptome einer Laktatazidose erhalten:
- Fühlen Sie sich sehr schwach und müde
- ungewöhnliche Schläfrigkeit haben oder länger als gewöhnlich schlafen
- haben ungewöhnliche (nicht normale) Muskelschmerzen
- Fühlen Sie sich vor allem in Ihren Armen und Beinen kalt
- Schwierigkeiten beim Atmen haben
- fühle mich schwindelig oder benommen
- haben unerklärliche Magen- oder Darmprobleme mit Übelkeit und Erbrechen oder Durchfall
- einen langsamen oder unregelmäßigen Herzschlag haben
Sie haben eine höhere Chance, eine Laktatazidose zu bekommen, wenn Sie:
- haben mittelschwere bis schwere Nierenprobleme. Siehe NICHT RIOMET, wenn Sie
- Leberprobleme haben.
- eine Herzinsuffizienz haben, die eine Behandlung mit Medikamenten erfordert.
- Trinken Sie viel Alkohol (sehr oft oder kurzfristig Alkoholexzesse).
- dehydriert werden (verlieren Sie eine große Menge an Körperflüssigkeiten). Dies kann passieren, wenn Sie mit einem Fieber oder Durchfall krank sind. Dehydration kann auch auftreten, wenn Sie viel mit Aktivität oder Bewegung schwitzen und nicht genügend Flüssigkeiten trinken.
- haben bestimmte Röntgentests mit injizierbaren Farbstoffen oder Kontrastmitteln.
- operiert werden.
- habe a Herzinfarkt Schwere Infektion oder Schlaganfall.
- sind 65 Jahre oder älter.
Teilen Sie Ihrem Gesundheitsdienstleister mit, ob Sie eines der Probleme in der obigen Liste haben.
Sagen Sie Ihrem Gesundheitsdienstleister, dass Sie Riomet einnehmen, bevor Sie Operationen oder Röntgentests durchführen. Ihr Gesundheitsdienstleister muss möglicherweise für eine Weile Riomet stoppen, wenn Sie eine Operation oder bestimmte Röntgentests durchführen.
Riomet can have other serious side effects. Sehen Was sind die möglichen Nebenwirkungen von Riomet?
Was ist Riomet?
- Riomet is a prescription medicine that contains Metformin hydrochloride. Riomet is used with diet Und exercise to help control hoher Blutzucker (hyperglycemia) in adults Und children 10 years of age Und older with type 2 diabetes.
- Es ist nicht bekannt, ob Riomet bei Kindern unter 10 Jahren sicher und wirksam ist.
Nehmen Sie Riomet nicht, wenn Sie:
- schwerwiegende Nierenprobleme haben.
- sind allergisch gegen das Metforminhydrochlorid oder einen der Zutaten im Riomet. In dem Ende dieser Patientenblätterblättere finden Sie eine vollständige Liste von Zutaten in Riomet.
- habe a condition called metabolic acidosis including diabetic ketoacidosis (high levels of certain acids called ketones in your blood or urine).
Bevor Sie mit Riomet mitnehmen, teilen Sie Ihrem Gesundheitsdienstleister alle Ihre medizinischen Erkrankungen mit, auch wenn Sie:
- habe a history or risk for diabetic ketoacidosis. Sehen Nehmen Sie Riomet nicht, wenn Sie?
- Nierenprobleme haben.
- Leberprobleme haben.
- haben Herzprobleme, einschließlich einer Herzinsuffizienz.
- sind 65 Jahre oder älter.
- Trinken Sie sehr oft Alkohol oder trinken Sie viel Alkohol beim kurzfristigen Alkoholkonsum.
- nehmen Insulin oder eine Sulfonylharnstoffmedizin ein.
- sind schwanger oder planen, schwanger zu werden. Es ist nicht bekannt, ob Riomet Ihrem ungeborenen Baby schädigen wird. Wenn Sie schwanger sind, sprechen Sie mit Ihrem Gesundheitsdienstleister über die beste Möglichkeit, Ihren Blutzucker während der Schwangerschaft zu kontrollieren.
- sind eine prämenopausale Frau, die nicht regelmäßig oder überhaupt keine Perioden hat. Riomet kann die Freisetzung eines Eies aus einem Eierstock in einer Frau (Eisprung) verursachen. Dies kann Ihre Wahrscheinlichkeit erhöhen, schwanger zu werden.
- stillen oder planen zu stillen. Riomet kann in Ihre Muttermilch übergehen. Sprechen Sie mit Ihrem Gesundheitsdienstleister darüber, wie Sie Ihr Baby am besten füttern können, während Sie Riomet nehmen.
Teilen Sie Ihrem Gesundheitsdienstleister über alle Medikamente, die Sie einnehmen einschließlich verschreibungspflichtiger und rezeptfreier Medikamente Vitamine und Kräuterpräparate. Kennen Sie die Medikamente, die Sie einnehmen. Halten Sie eine Liste von ihnen, um Ihren Gesundheitsdienstleister und Apotheker zu zeigen, wenn Sie ein neues Medikament erhalten.
Riomet may affect the way other medicines work Und other medicines may affect how Riomet works.
Wie soll ich Riomet nehmen?
- Nehmen Sie Riomet genau so, wie Ihr Gesundheitsdienstleister es Ihnen sagt.
- Verwenden Sie die RIOMET -Dosierungsbecher, um Ihre Dosis zu messen. Fragen Sie Ihren Apotheker nach einer Dosierung, ob Sie keine haben.
- Riomet should be taken with meals to help decrease an upset stomach.
- Wenn Ihr Körper unter einigen Arten von Stress wie Fiebertrauma (wie einem Autounfall) steht, kann sich die Menge an Diabetes -Medikamenten, die Sie benötigen, möglicherweise ändern. Teilen Sie Ihrem Gesundheitsdienstleister sofort mit, wenn Sie eines dieser Probleme haben.
- Ihr Gesundheitsdienstleister sollte Blutuntersuchungen durchführen, um zu überprüfen, wie gut Ihre Nieren vor und während Ihrer Behandlung mit Riomet funktionieren.
- Ihr Gesundheitsdienstleister überprüft Ihren Diabetes mit regelmäßigen Blutuntersuchungen, einschließlich Ihres Blutzuckerspiegels und Ihrer Hämoglobin A1c.
- Niedriger Blutzucker (Hypoglykämie) kann häufiger auftreten, wenn Riomet mit bestimmten anderen Diabetes -Medikamenten eingenommen wird. Sprechen Sie mit Ihrem Gesundheitsdienstleister darüber, wie Sie einen niedrigen Blutzucker erkennen und verwalten können. Sehen Was sind die möglichen Nebenwirkungen von Riomet?
- Überprüfen Sie Ihren Blutzucker, während Ihr Gesundheitsdienstleister es Ihnen sagt.
- Bleiben Sie in Ihrem vorgeschriebenen Ernährungs- und Trainingsprogramm, während Sie Riomet einnehmen.
- Wenn Sie zu viel Riomet nehmen, rufen Sie Ihren Gesundheitsdienstleister an oder gehen Sie sofort in die nächste Notaufnahme des Krankenhauses.
Was soll ich bei der Einnahme von Riomet vermeiden?
Trinken Sie nicht viel alkoholische Getränke, während Sie Riomet einnehmen. Dies bedeutet, dass Sie für kurze Zeit nicht trinken sollten und nicht regelmäßig viel Alkohol trinken sollten. Alkohol kann die Wahrscheinlichkeit erhöhen, eine Laktatazidose zu erhalten.
Was sind die möglichen Nebenwirkungen von Riomet?
Riomet may cause serious side effects including:
- Sehen Was sind die wichtigsten Informationen, die ich über Riomet wissen sollte?
- Niedriger Vitamin B12 (Vitamin B12 -Mangel). Die Verwendung von Riomet kann zu einer Abnahme der Menge an Vitamin B12 in Ihrem Blut führen, insbesondere wenn Sie zuvor einen niedrigen Vitamin -B12 -Spiegel hatten. Ihr Gesundheitsdienstleister kann Blutuntersuchungen durchführen, um Ihren Vitamin B12 -Spiegel zu überprüfen.
- Niedriger Blutzucker (Hypoglykämie). Wenn Sie Riomet mit einem anderen Arzneimittel einnehmen, das einen geringeren Blutzucker wie eine Sulfonylharnstoff oder Insulin verursachen kann, ist Ihr Risiko, niedrig Blutzucker zu bekommen, höher. Die Dosis Ihrer Sulfonylharnstoffmedizin oder Ihr Insulin muss möglicherweise abgesenkt werden, während Sie Riomet einnehmen. Anzeichen und Symptome von niedrigem Blutzucker können umfassen:
- Kopfschmerzen
- Hunger
- Schwindel
- Schläfrigkeit
- Schneller Herzschlag
- Schwitzen
- Schwäche
- Verwirrung
- Reizbarkeit
- zittern oder sich nervös fühlen
Häufige Nebenwirkungen von Riomet sind:
- Durchfall
- Verdauungsstörungen
- Brechreiz Und Erbrechen
- Bauchfläche (abdominal) Beschwerden
- Gassiness (flatulence)
- Kopfschmerzen
- Schwäche or lack of energy (asthenia)
Dies sind nicht alle möglichen Nebenwirkungen von Riomet.
Rufen Sie Ihren Arzt an, um medizinische Beratung zu Nebenwirkungen zu erhalten. Sie können die FDA bei 1-800-FDA-1088 Nebenwirkungen melden.
Wie soll ich Riomet aufbewahren?
- Lagern Sie bei Raumtemperatur zwischen 59 ° F und 86 ° F (15 ° C bis 30 ° C). Siehe Einsatz.
- Halten Sie Riomet und alle Medikamente außerhalb der Reichweite der Kinder.
Allgemeine Informationen über den sicheren und effektiven Gebrauch von Riomet.
Medikamente werden manchmal für andere Zwecke als die in einem Patienteninformationsblatt aufgeführten Zwecke verschrieben. Verwenden Sie Riomet nicht für eine Erkrankung, für die es nicht verschrieben wurde. Geben Sie anderen Menschen Riomet nicht, auch wenn sie die gleichen Symptome haben, die Sie haben. Es kann ihnen schaden.
Sie können Ihren Apotheker oder Gesundheitsdienstleister um Informationen über Riomet bitten, die für Angehörige der Gesundheitsberufe geschrieben wurden.
Was sind die Zutaten von Riomet?
Wirkstoffe: Metformin hydrochloride.
Inaktive Zutaten (Kirschgeschmack): Künstliches Kirschgeschmack Salzsäure Kaliumbicarbonat gereinigtes Wasser Saccharin Calcium und Xylitol.
Inaktive Zutaten (Erdbeergeschmack): Salzsäure n
Diese Patienteninformationen haben von der US -amerikanischen Food and Drug Administration zugelassen