Die Informationen Auf Dieser Website Stellen Keine Medizinische Beratung Dar. Wir Verkaufen Nichts. Die Richtigkeit Der Übersetzung Wird Nicht Garantiert. Haftungsausschluss
Cephalosporine, 3. Generation
Suprax
Drogenzusammenfassung
Was ist Suprax?
Was sind Nebenwirkungen von Suprax?
Zu den häufigen Nebenwirkungen von Suprax gehören:
- Magenverstimmung/Schmerz
- Durchfall
- Brechreiz
- Verstopfung
- Appetitverlust
- Gas
- Kopfschmerzen
- Schwindel
- Angst
- Schläfrigkeit
- Erhöhtes Nachthintern
- laufende Nase
- Halsschmerzen
- Husten oder
- Vaginaler Juckreiz oder Ausfluss.
Sagen Sie Ihrem Arzt, wenn Sie seltene, aber sehr schwerwiegende Nebenwirkungen von Suprax erleben, einschließlich:
- schwerer Magen- oder Bauchschmerzen
- anhaltende Übelkeit oder Erbrechen
- vergilbende Augen oder Haut
- dunkler Urin
- ungewöhnliche Müdigkeit
- Neue Anzeichen einer Infektion (z. B. anhaltendes Halsschmerzensfieber)
- einfache Blutergüsse oder Blutungen
- Änderung der Urinmenge oder
- geistige/stimmungsvolle Veränderungen (z. B. Verwirrung).
Dosierung für Suprax
Die empfohlene erwachsene Dosis der Suprax -Suspension beträgt 400 mg täglich. Für die Behandlung unkomplizierter Gebärmutterhals- /Urethral -Gonokokken -Infektionen wird eine einzelne orale Dosis von 400 mg empfohlen. Die empfohlene pädiatrische Dosis beträgt 8 mg/kg/Tag der Suspension. Dies kann als einzelne tägliche Dosis oder in zwei geteilten Dosen als 4 mg/kg alle 12 Stunden verabreicht werden. Andere Medikamente können mit Suprax interagieren. Sagen Sie Ihrem Arzt alle verschreibungspflichtigen und rezeptfreien Medikamente und Nahrungsergänzungsmittel, die Sie verwenden. Suprax sollte nur bei der Verschreibung während der Schwangerschaft verwendet werden. Dieses Medikament geht in die Muttermilch. Während es keine Berichte über Schäden an Säuglingen in Krankenpflege gab, konsultieren Sie Ihren Arzt vor dem Stillen.
Unser Suprax (Cefixim) -Seitungs -Arzneimittelzentrum bietet einen umfassenden Überblick über die verfügbaren Arzneimittelinformationen über die potenziellen Nebenwirkungen bei der Einnahme dieses Medikaments.
FDA -Drogeninformationen
- Drogenbeschreibung
- Indikationen
- Dosierung
- Nebenwirkungen
- Wechselwirkungen mit Arzneimitteln
- Warnungen
- Überdosis
- Klinische Pharmakologie
- Medikamentenhandbuch
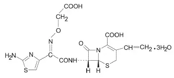
Beschreibung für Suprax
Cefixim ist ein semisynthetisches Cephalosporin -Antibakteriell für die orale Verabreichung. Chemisch ist es ( 6r7r ) -7- [2- (2-Amino-4-Thiazolyl) Glyoxylamido] -8-oxo-3-Vinyl-5-thia-1-Azabicyclo [4.2.0] Okt-2-E-E-2-Carbonsäure 7 2 -(MIT)-[ O -(Carboxy methyl) oxim] trihydrat.
Molekulargewicht = 507,50 als Trihydrat. Chemische Formel ist c 16 H 15 N 5 O 7 S 2 .3h 2 O
Die strukturelle Formel für Cefixim lautet:
Was ist die Dosierung für Gabapentin?
|
- Inaktive Zutaten, die in Suprax enthalten sind ® (Cefixim) 400 mg Tabletten USP sind: Dibasische Calciumphosphat -Hypomellose -Lactose -Monohydrat -Magnesium -Stearat -mikrokristallines Cellulose -Polyethylenglykol -Prägelatin -Titaniumdioxid und Triacetin.
- Inaktive Zutaten, die in Suprax enthalten sind ® (Cefixim) 400 mg Kapseln sind: kolloidales Siliziumdioxid Crospovidon niedrig substituierter Hydroxy -Propylcellulose -Magnesium -Stearat und Mannitol. Die Kapselschale enthält die folgenden inaktiven Inhaltsstoffe: Eisen -Oxid -Black -Eisen -Eisenoxid -Rotgelatin -Kaliumhydroxid -Propylenglykol -Shellac -Natriumlaurylsulfat und Titandioxid.
- Inaktive Zutaten, die in Suprax enthalten sind ® (Cefixim) 100 mg oder 150 mg oder 200 mg kaubare Tabletten sind: Aspartam Colloidal Silicon Dioxid Crospovidon FD
- Inaktive Zutaten, die in Suprax enthalten sind ® (Cefixim) Pulver für die orale Suspension USP sind: kolloidales Siliziumdioxid -Natriumbenzoat -Erdbeergeschmack Suprocralose (nur in 500 mg/5 ml Festigkeit) Saccharose und Xanthan Gum.
Verwendung für Suprax
Unkomplizierte Harnwegsinfektionen
Suprax ist bei der Behandlung von Erwachsenen und pädiatrischen Patienten sechs Monate oder älter mit unkomplizierten Harnwegsinfektionen angezeigt, die durch anfällige Isolate von verursacht werden Sie zeigten Chill Und Proteus wunderbar .
Otitis Media
Suprax ist bei der Behandlung von Erwachsenen und pädiatrischen Patienten sechs Monate oder älter mit Otitis -Medien angezeigt, die durch anfällige Isolate von verursacht werden Haemophilus Influenzae Moraxella catarrhalis Und Streptococcus pyogenes . (Wirksamkeit für Streptococcus pyogenes In diesem Organsystem wurde in weniger als 10 Infektionen untersucht.)
Notiz
Bei Patienten mit Otitis -Medien durch verursacht durch Streptococcus pneumoniae Die Gesamtreaktion war für Cefixim um ungefähr 10% niedriger als für den Komparator [siehe Klinische Studien ].
Pharyngitis und Mandelentzündung
Suprax ist bei der Behandlung von Erwachsenen und pädiatrischen Patienten sechs Monate oder älter angegebenmit Pharyngitis und Mandelentzündung, die durch anfällige Isolate von verursacht werden Streptococcus pyogenes . (Hinweis: Penicillin ist das übliche Medikament der Wahl bei der Behandlung von Streptococcus pyogenes Infektionen. Suprax ist im Allgemeinen wirksam bei der Ausrottung von Streptococcus pyogenes aus dem Nasopharynx; Es ist jedoch nicht verfügbar, dass Daten zur Wirksamkeit von Suprax bei der anschließenden Verhinderung von rheumatischen Fieber verfügbar sind.)
Akute Exazerbationen chronischer Bronchitis
Suprax ist bei der Behandlung von Erwachsenen und pädiatrischen Patienten sechs Monate oder älter angegeben with acute exacerbations of chronic bronchitis caused by susceptible isolates of Streptococcus pneumoniae Und Haemophilus Influenzae .
Unkomplizierte Gonorrhoe (zervikal/urethral)
Suprax ist bei der Behandlung von Erwachsenen und pädiatrischen Patienten sechs Monate oder älter angegeben with uncomplicated gonoderrhea (cervical/urethral) caused by susceptible isolates of Neisseria gonorrhoeae (Penicillinase- und Nicht-Penicillinase-produzierende Isolate).
Verwendung
Um die Entwicklung von medikamentenresistenten Bakterien zu verringern und die Wirksamkeit von Suprax und anderen antibakteriellen Arzneimitteln aufrechtzuerhalten, sollte nur zur Behandlung von Infektionen verwendet werden, die nachgewiesen oder stark vermutet werden, dass sie durch anfällige Bakterien verursacht werden. Wenn Kultur- und Anfälligkeitsinformationen verfügbar sind, sollten sie bei der Auswahl oder Änderung der antimikrobiellen Therapie in Betracht gezogen werden. In Ermangelung solcher Daten können lokale Epidemiologie- und Empfindlichkeitsmuster zur empirischen Auswahl der Therapie beitragen.
Dosierung für Suprax
Erwachsene
Die empfohlene Dosis Cefixim beträgt 400 mg täglich. Dies kann täglich als 400 -mg -Tablette oder Kapsel angegeben werden oder das 400 -mg -Tablet kann alle 12 Stunden als eine halbe Tablette angegeben werden. Für die Behandlung unkomplizierter Gebärmutterhals-/Urethral -Gonokokken -Infektionen wird eine einzelne orale Dosis von 400 mg empfohlen. Die Kapsel und Tablette können ohne Rücksicht auf Lebensmittel verabreicht werden.
Bei der Behandlung von Infektionen aufgrund von Streptococcus pyogenes Eine therapeutische Dosierung von Cefixim sollte mindestens 10 Tage lang verabreicht werden.
Pädiatrische Patienten (6 Monate oder älter)
Die empfohlene Dosis beträgt 8 mg/kg/Tag der Suspension. Dies kann als einzelne tägliche Dosis oder in zwei geteilten Dosen als 4 mg/kg alle 12 Stunden verabreicht werden.
Notiz
Für jeden pädiatrischen Gewichtsbereich wurde eine vorgeschlagene Dosis ermittelt. Siehe Tabelle 1. Stellen Sie sicher, dass alle Bestellungen, die eine Dosis in Millilitern angeben, eine Konzentration enthalten, da Suprax für die orale Suspension in drei verschiedenen Konzentrationen verfügbar ist (100 mg/5 ml 200 mg/5 ml und 500 mg/5 ml).
Tabelle 1. Vorgeschlagene Dosen für pädiatrische Patienten
| Pädiatrische Dosierungstabelle Für jeden Gewichtsbereich werden Dosen vorgeschlagen und zur einfachen Verabreichung abgerundet | |||||
| Suprax (Cefixim) für die orale Suspendierung | Suprax (cefixim) Kautabisch | ||||
| 100 mg/5 ml | 200 mg/5 ml | 500 mg/5 ml | |||
| Geduldig Gewicht (kg) | Dosis/Tag (mg)- | Dosis/Tag (ml) | Dosis/Tag (ml) | Dosis/Tag (ml) | Dosis |
| 5 bis 7,5* | 50 | 2.5 | - | - | - |
| 7.6 bis 10* | 80 | 4 | 2 | - | - |
| 10.1 bis 12,5 | 100 | 5 | 2.5 | 1 | 1 Tablette von 100 mg |
| 12.6 bis 20,5 | 150 | 7.5 | 4 | 1.5 | 1 Tablette von 150 mg |
| 20.6 bis 28 | 200 | 10 | 5 | 2 | 1 Tablette von 200 mg |
| 28.1 bis 33 | 250 | 12.5 | 6 | 2.5 | 1 Tablette von 100 mg Und 1 Tablette von 150 mg |
| 33.1 bis 40 | 300 | 15 | 7.5 | 3 | 2 Tabletten von 150 mg |
| 40.1 bis 45 | 350 | 17.5 | 9 | 3.5 | 1 Tablette von 150 mg Und 1 Tablette von 200 mg |
| 45.1 oder mehr | 400 | 20 | 10 | 4 | 2 Tabletten von 200 mg |
| * Die bevorzugten Konzentrationen der oralen Suspension sind für pädiatrische Patienten in diesen Gewichtsbereichen 100 mg/5 ml oder 200 mg/5 ml. |
Kinder mit einem Gewicht von mehr als 45 kg oder älter als 12 Jahre sollten mit der empfohlenen Erwachsenendosis behandelt werden. Suprax (Cefixim) kaubare Tabletten müssen vor dem Schlucken gekaut oder zerquetscht werden.
Otitis -Medien sollten mit den Kautabletten oder den Kautabletten behandelt werden. Klinische Studien mit Otitis -Medien wurden mit kaubaren Tabletten oder Suspensionen durchgeführt, und die kaubaren Tabletten oder die Suspension führten zu höheren Spitzenblutspiegeln als die Tablette, wenn sie in derselben Dosis verabreicht werden.
Daher sollte die Tablette oder Kapsel bei der Behandlung von Mittelohrentzündung nicht durch die kaubaren Tabletten oder die Aufhängung ersetzt werden [siehe Klinische Pharmakologie ].
Bei der Behandlung von Infektionen aufgrund von Streptococcus pyogenes Eine therapeutische Dosierung von Cefixim sollte mindestens 10 Tage lang verabreicht werden.
Nierenbehinderung
Suprax kann in Gegenwart einer beeinträchtigten Nierenfunktion verabreicht werden. Eine normale Dosis und ein normaler Zeitplan können bei Patienten mit Kreatinin -Clearances von 60 ml/min oder höher eingesetzt werden. Siehe Tabelle 2 für Dosisanpassungen für Erwachsene mit Nierenbeeinträchtigung. Weder Hämodialyse noch Peritonealdialyse entfernt erhebliche Mengen an Arzneimittel aus dem Körper.
Tabelle 2. Dosen für Erwachsene mit Nierenbeeinträchtigung
| Nierenfunktionsstörung | Suprax (Cefixim) für die orale Suspendierung | Tablette | Kaubar Tablette | ||
| Kreatinin -Clearance (ml/min) | 100 mg/5 ml | 200 mg/5 ml | 500 mg/5 ml | 400 mg | 200 mg |
| Dosis/Tag (ml) | Dosis/Tag (ml) | Dosis/Tag (ml) | Dosis/Tag | Dosis/Tag | |
| 60 oder mehr | Normale Dosis | Normale Dosis | Normale Dosis | Normale Dosis | Normale Dosis |
| 21 bis 59 * Oder Nierenhämodialyse* | 13 | 6.5 | 2.6 | Nicht Geeignet | Nicht Geeignet |
| 20 oder weniger Oder kontinuierliches Peritoneal Dialyse | 8.6 | 4.4 | 1.8 | 0,5 Tablet | 1 Tablet |
| * Die bevorzugten Konzentrationen der oralen Suspension sind 200 mg/5 ml oder 500 mg/5 ml für Patienten mit dieser Nierenfunktionsstörung |
Rekonstitutionsanweisungen für die mündliche Suspendierung
| Stärke | Flaschengröße | Rekonstitution Richtungen |
| 100 mg/5 ml Und 200 mg/5 ml | 100 ml | Aufhebung mit Rekonstituierung mit 68 ml Wasser . Methode: Tippen Sie mehrmals auf die Flasche, um die Pulverinhalte vor der Rekonstitution zu lösen. Fügen Sie ungefähr die Hälfte der Gesamtmenge an Wasser für die Rekonstitution hinzu und schütteln Sie gut. Fügen Sie den Rest des Wassers hinzu und schütteln Sie gut. |
| 100 mg/5 ml Und 200 mg/5 ml | 75 ml | Aufhebung mit Rekonstituierung mit 51 ml Wasser . Methode: Tippen Sie mehrmals auf die Flasche, um die Pulverinhalte vor der Rekonstitution zu lösen. Fügen Sie ungefähr die Hälfte der Gesamtmenge an Wasser für die Rekonstitution hinzu und schütteln Sie gut. Fügen Sie den Rest des Wassers hinzu und schütteln Sie gut. |
| 100 mg/5 ml Und 200 mg/5 ml | 50 ml | Aufhebung mit Rekonstituierung mit 34 ml Wasser . Methode: Tippen Sie mehrmals auf die Flasche, um die Pulverinhalte vor der Rekonstitution zu lösen. Fügen Sie ungefähr die Hälfte der Gesamtmenge an Wasser für die Rekonstitution hinzu und schütteln Sie gut. Fügen Sie den Rest des Wassers hinzu und schütteln Sie gut. |
| 200 mg/5 ml | 37,5 ml | Aufhebung mit Rekonstituierung mit 26 ml Wasser . Methode: Tippen Sie mehrmals auf die Flasche, um die Pulverinhalte vor der Rekonstitution zu lösen. Fügen Sie ungefähr die Hälfte der Gesamtmenge an Wasser für die Rekonstitution hinzu und schütteln Sie gut. Fügen Sie den Rest des Wassers hinzu und schütteln Sie gut. |
| 200 mg/5 ml | 25 ml | Aufhebung mit Rekonstituierung mit 17 ml Wasser . Methode: Tippen Sie mehrmals auf die Flasche, um die Pulverinhalte vor der Rekonstitution zu lösen. Fügen Sie ungefähr die Hälfte der Gesamtmenge an Wasser für die Rekonstitution hinzu und schütteln Sie gut. Fügen Sie den Rest des Wassers hinzu und schütteln Sie gut. |
| 500 mg/5 ml | 20 ml | Aufhebung mit Rekonstituierung mit 14 ml Wasser . Methode: Tippen Sie mehrmals auf die Flasche, um die Pulverinhalte vor der Rekonstitution zu lösen. Fügen Sie ungefähr die Hälfte der Gesamtmenge an Wasser für die Rekonstitution hinzu und schütteln Sie gut. Fügen Sie den Rest des Wassers hinzu und schütteln Sie gut. |
| 500 mg/5 ml | 10 ml | Aufhebung mit Rekonstituierung mit 8 ml Wasser . Methode: Tippen Sie mehrmals auf die Flasche, um die Pulverinhalte vor der Rekonstitution zu lösen. Fügen Sie ungefähr die Hälfte der Gesamtmenge an Wasser für die Rekonstitution hinzu und schütteln Sie gut. Fügen Sie den Rest des Wassers hinzu und schütteln Sie gut. |
Nach der Rekonstitution kann die Suspendierung 14 Tage bei Raumtemperatur oder unter Kühlung ohne signifikanten Wirkstoffverlust aufbewahrt werden. Sich dicht geschlossen halten. Vor dem Gebrauch gut schütteln. Unbenutzte Teil nach 14 Tagen verwerfen.
Wie geliefert
Dosierung Foderms And Stärkes
Suprax ist für die orale Verwaltung in den folgenden Dosierungsformen und -stärken verfügbar:
- Filmbeschichtete Tabletten bieten 400 mg Cefixim als Trihydrat. Diese sind weiße bis nicht weiße, filmbeschichtete Kapsel mit abgeschrägten Kanten und einer geteilten Punktzahl auf jeder Seite. Die Tablette wird über eine Seite mit Suprax und Lupin auf der anderen Seite gestrichen.
- Kapseln liefern 400 mg Cefixim als Trihydrat. Dies sind die Größe 00el -Kapseln mit rosa undurchsichtiger Kappe und rosa und undurchsichtigem Körper mit Lu auf der Kappe und U43 am Körper in schwarzer Tinte. Kapseln enthalten weiße bis gelbliche weiße körnige Pulver.
- Kaubar tablets provide either 100 mg oder 150 mg oder 200 mg of cefixime as trihydrate. The 100 mg tablet is pink round tablet debossed with Suprax 100 on one side Und LUPIN on other side. The 150 mg tablet is pink round tablet debossed with Suprax 150 on one side Und LUPIN on other side. The 200 mg tablet is pink round tablet debossed with Suprax 200 on one side Und LUPIN on other side.
- Pulver für die orale Suspension bei rekonstituiertem Pulver liefert entweder 100 mg/5 ml oder 200 mg/5 ml oder 500 mg/5 ml Cefixim als Trihydrat. Für 100 mg/5 ml und 200 mg/5 ml hat das Pulver eine weiße bis hellgelbe Farbe und ist Erdbeergeschmack. Für 500 mg/5 ml hat das Pulver eine weiß -bis -cremefarbene Farbe und ist Erdbeergeschmack.
Lagerung und Handhabung
Suprax ® ist für die orale Verabreichung in den folgenden Dosierungsformularen erhältlich, die in der folgenden Tabelle aufgeführt sind:
| Dosierung Foderm | Stärke | Beschreibung | Paketgröße | NDC -Code | Lagerung |
| Suprax ® (Cefixim) Tablets USP | 400 mg | Weiß- bis nicht-weiße filmbeschichtete Kapsel-geformte Tabletten mit abgeschrägten Kanten und eine geteilte Punktzinie auf jeder Seite, die über eine Seite mit Suprax und Lupin auf einer anderen Seite mit 400 mg Cefixim als Trihydrat entblößt. | Flaschen mit 10 Tabletten | 27437-201-10 | Lagern Sie bei 20 bis 25 ° C (68 bis 77 ° F) [siehe USP -kontrollierte Raumtemperatur]. |
| Flasche mit 50 Tabletten | 27437-201-08 | ||||
| Flasche mit 100 Tabletten | 27437-201-01 | ||||
| Suprax ® (Cefixim) Kapseln | 400 mg | Größe 00el -Kapseln mit rosa undurchsichtiger Kappe und rosa undurchsichtiger Körper mit LU auf Kappe und U43 auf dem Körper in schwarzer Tinte mit weißem bis gelblichem weißem körnigem Pulver, das 400 mg Cefixim als Trihydrat enthielt. | Flasche mit 50 Kapseln | 27437-208-08 | Lagern Sie bei 20 bis 25 ° C (68 bis 77 ° F) [siehe USP -kontrollierte Raumtemperatur]. |
| Einheit -Dosis -Paket von 10 (1 Blasen von 10 Kapseln) | 27437-208-11 | ||||
| Suprax ® (Cefixim) Kautabletten | 100 mg | Pink Round Tablet mit Suprax 100 auf einer Seite und Lupin auf der anderen Seite. | Flaschen mit 10 Tabletten | 27437-203-10 | Lagern Sie bei 20 bis 25 ° C (68 bis 77 ° F) [siehe USP -kontrollierte Raumtemperatur]. |
| Flasche mit 50 Tabletten | 27437-203-08 | ||||
| Einheit -Dosis -Paket von 10 (1 Blasen von 10 Tabletten) | 27437-203-11 | ||||
| 150 mg | Pink Round Tablet mit Suprax 150 auf einer Seite und Lupin auf der anderen Seite. | Flaschen mit 10 Tabletten | 27437-204-10 | ||
| Flasche mit 50 Tabletten | 27437-204-08 | ||||
| Einheit -Dosis -Paket von 10 (1 Blasen von 10 Tabletten) | 27437-204-11 | ||||
| 200 mg | Pink Round Tablet mit Suprax 200 auf einer Seite und Lupin auf der anderen Seite. | Flaschen mit 10 Tabletten | 27437-205-10 | ||
| Flasche mit 50 Tabletten | 27437-205-08 | ||||
| Einheit -Dosis -Paket von 10 (1 Blasen von 10 Tabletten) | 27437-205-11 | ||||
| Suprax ® (cefixim) für orale Suspension USP | 100 mg/5 ml | Off-White bis hellgelb gefärbt. Nach rekonstituierter Rekonstituierung enthält jede 5 ml rekonstituierte Suspension 100 mg Cefixim als Trihydrat. | Flasche 50 ml | 68180-202-03 | Vor der Rekonstitution: Lagern Sie Arzneimittelpulver bei 20 bis 25 ° C (68 bis 77 ° F) [Siehe USP -kontrollierte Raumtemperatur]. Nach Rekonstitution: |
| Flasche 75 ml | 68180-202-02 | ||||
| Flasche von 100 ml | 68180-202-01 | ||||
| 200 mg/5 ml | Off-White bis hellgelb gefärbt. Nach rekonstituierter Rekonstituierung enthält jede 5 ml rekonstituierte Suspension 200 mg Cefixim als Trihydrat. | Flasche von 25 ml | 27437-206-05 | ||
| Flasche von 37,5 ml | 27437-206-06 | ||||
| Flasche 50 ml | 27437-206-03 | ||||
| Flasche 75 ml | 27437-206-02 | ||||
| Flasche von 100 ml | 27437-206-01 | ||||
| 500 mg/5 ml | Aus weißem bis cremefarbenem Pulver, das sich aggressiv bildet, bis hin zu hellgelben Suspension mit charakteristischem fruchtigem Geruch bei der Konstitution. Nach rekonstituierter Rekonstituierung enthält jede ml rekonstituierte Suspension 100 mg Zefixim als Trihydrat. | Flasche von 10 ml | 27437-207-02 | ||
| Flasche 20 ml | 27437-207-03 |
Hergestellt von: Lupine Limited Mandideep 462 046 Indien. Überarbeitet: März 2018.
Nebenwirkungen foder Suprax
Klinische Studien Erfahrung
Da klinische Studien unter sehr unterschiedlichen Bedingungen durchgeführt werden, die in den klinischen Studien eines Arzneimittels beobachtet werden, können in den klinischen Studien eines anderen Arzneimittels nicht direkt mit den Raten verglichen werden und spiegeln möglicherweise nicht die in der Praxis beobachteten Raten wider.
Die am häufigsten beobachteten unerwünschten Reaktionen in US -amerikanischen Studien mit der Tablettenformulierung waren gastrointestinale Ereignisse, die bei 30% der erwachsenen Patienten entweder zweimal täglich oder ein einst tägliches Regime berichtet wurden. Fünf Prozent (5%) der Patienten in den US-amerikanischen klinischen Studien stellten die Therapie wegen medikamentenbedingter Nebenwirkungen ab. Individuelle unerwünschte Reaktionen umfassten Durchfall 16% loser oder häufiges Stuhl 6% Bauchschmerzen 3% Übelkeit 7% Dyspepsie 3% und Blähungen 4%. Die Inzidenz von gastrointestinalen unerwünschten Reaktionen, einschließlich Durchfall und losen Stühlen bei pädiatrischen Patienten, die die Suspension erhielten, war vergleichbar mit der Inzidenz, die bei erwachsenen Patienten beobachtet wurde, die Tabletten erhielten.
Nachmarkterfahrung
Die folgenden nachteiligen Reaktionen wurden nach der Verwendung von Cefixim nach der Anbietung gemeldet. Die Inzidenzraten betrugen weniger als 1 zu 50 (weniger als 2%).
Magen -Darm
In klinischen Studien wurden mehrere Fälle dokumentierter pseudomembranischer Kolitis identifiziert. Der Beginn der Symptome von Pseudomembran -Kolitis kann während oder nach der Therapie auftreten.
Überempfindlichkeitsreaktionen
Anaphylaktische/anaphylaktoid -Reaktionen (einschließlich Schock und Todesfälle) Hautausschläge Urtikaria -Arzneimittelfieber Pruritus Angioödeme und Gesichtsödem. Es wurde berichtet, dass erythema multiforme Stevens-Johnson-Syndrom und serumkrankheitsartige Reaktionen berichtet haben.
Hepatisch
Ransiente Erhöhungen in SGPT -SGOT -Alkal -Phosphatase -Hepatitis -Gelbsucht.
Nieren
Vorübergehende Erhöhungen in Brötchen oder kreatinin akutem Nierenversagen.
Zentralnervensystem
Kopfschmerzen Schwindelanfälle.
Hemik- und Lymphsystem
Transiente Thrombozytopenie -Leukopenie -Neutropenie -Verlängerung bei der Prothrombinzeit erhöhte LDH -Pancytopenia -Agranulozytose und Eosinophilie.
Abnormale Labortests
Hyperbilirubinämie.
Andere Nebenwirkungen
Genitaler Pruritus -Vaginitis candidiasis toxische epidermale Nekrolyse.
Unerwünschte Reaktionen für Medikamente der Cephalosporinklasse
Allergische Reaktionen Superinfektion Nierenfunktionsstörung toxische Nephropathie -Leberfunktionsstörung einschließlich Cholestase Aplastische Anämie Hämolytische Anämie -Blutung und Kolitis.
Mehrere Cephalosporine wurden an Anfällen beteiligt, insbesondere bei Patienten mit Nierenbeeinträchtigung, wenn die Dosierung nicht verringert wurde [siehe Dosierung und Verwaltung sehen ÜBERDOSIS ]. If seizures associated with drug therapy occur the drug should be discontinued. Anticonvulsant therapy can be given if clinically indicated.
Wechselwirkungen mit Arzneimitteln foder Suprax
Carbamazepin
Erhöhte Carbamazepin -Spiegel wurden im Nachmarkterlebnis berichtet, wenn Cefixim gleichzeitig verabreicht wird. Die Arzneimittelüberwachung kann bei der Erkennung von Veränderungen der Carbamazepin -Plasmakonzentrationen hilfreich sein.
Warfarin und Antikoagulanzien
Eine erhöhte Prothrombinzeit mit oder ohne klinische Blutung wurde berichtet, wenn Cefixim gleichzeitig verabreicht wird.
Wechselwirkungen zwischen Arzneimittel und Labor-/Labortest
Eine falsch positive Reaktion für Ketone im Urin kann mit Tests mit Nitroprussid, nicht jedoch mit denen, die Nitroferricyanid verwenden, auftreten.
Die Verabreichung von Cefixim kann zu einer falsch positiven Reaktion für Glucose im Urin unter Verwendung von Clinitest führen ® Benedicts Lösung oder Fehling -Lösung. Es wird empfohlen, dass Glukosetests auf enzymatischen Glucoseoxidase -Reaktionen (wie Clinistix basieren ® oder Testape ® ) verwendet werden. Während der Behandlung mit anderen Cephalosporinen wurde ein falsch positiver direkter Coombs-Test berichtet. Daher sollte anerkannt werden, dass ein positiver Coombs -Test auf das Arzneimittel zurückzuführen sein kann.
Warnungen für Suprax
Eingeschlossen als Teil der VORSICHTSMASSNAHMEN Abschnitt.
Vorsichtsmaßnahmen für Suprax
Überempfindlichkeitsreaktionen
Anaphylaktische/anaphylaktoide Reaktionen (einschließlich Schock und Todesfälle) wurden unter Verwendung von Cefixim berichtet.
Bevor die Therapie mit Suprax eingerichtet wird, sollte eine sorgfältige Untersuchung durchgeführt werden, um festzustellen, ob der Patient frühere Überempfindlichkeitsreaktionen auf Cephalosporine Penicillins oder andere Medikamente hatte. Wenn dieses Produkt penicillin-sensitiven Patienten verabreicht werden soll, sollte Vorsicht geboten werden, da die Überempfindlichkeit zwischen Beta-Lactam-Antibakterienmedikamenten deutlich dokumentiert wurde und bei bis zu 10% der Patienten mit Penicillin-Allergie auftreten kann. Wenn eine allergische Reaktion auf Suprax auftritt, stellt das Medikament ein.
Clostridium difficile-assoziiertes Durchfall
Clostridium difficile Assoziiertes Durchfall (CDAD) wurde unter Verwendung von nahezu allen antibakteriellen Wirkstoffen, einschließlich Suprax, berichtet und kann von leichten Durchfall bis zu tödlicher Kolitis im Schweregrad reichen. Die Behandlung mit antibakteriellen Wirkstoffen verändert die normale Flora des Dickdarms C. schwierig .
C. schwierig Produziert Toxine A und B, die zur Entwicklung von CDAD beitragen. Hypertoxin produzieren Isolate von C. schwierig verursachen erhöhte Morbidität und Mortalität, da diese Infektionen gegenüber der antimikrobiellen Therapie refraktär sein können und möglicherweise eine Kolektomie erfordern. CDAD muss bei allen Patienten berücksichtigt werden, die nach antibakteriellem Drogenkonsum mit Durchfall auftreten. Eine sorgfältige Anamnese ist erforderlich, da CDAD über zwei Monate nach der Verabreichung von Antibakterienmeistern berichtet wurde.
Wenn CDAD vermutet oder bestätigt wird C. schwierig Möglicherweise muss eingestellt werden. Geeignete Antibakterienmedikamentenbehandlung von Flüssigkeits- und Elektrolytmanagement -Protein Supplementation C. schwierig Und surgical evaluation should be instituted as clinically indicated.
Dosis Adjustment In Nierenbehinderung
Die Dosis von Suprax sollte bei Patienten mit Nierenbeeinträchtigung sowie Patienten, die sich einer kontinuierlichen ambulanten Peritonealdialyse (CAPD) und Hämodialyse (HD) befinden, angepasst werden. Patienten mit Dialyse sollten sorgfältig überwacht werden [siehe Dosierung und Verwaltung ].
Koagulationseffekte
Cephalosporine einschließlich Suprax können mit einem Sturz der Prothrombinaktivität in Verbindung gebracht werden. Zu den gefährdeten Personen gehören Patienten mit Nieren- oder Leberbeeinträchtigung oder schlechter Ernährungszustand sowie Patienten, die einen langwierigen Verlauf der antimikrobiellen Therapie erhalten, und Patienten, die zuvor bei der Antikoagulans -Therapie stabilisiert wurden. Die Prothrombinzeit sollte bei gefährdeten Patienten und exogenem Vitamin K wie angegeben überwacht werden.
Entwicklung von drogenresistenten Bakterien
Die Verschreibung von Suprax (Cefixim) in Ermangelung einer nachgewiesenen oder stark vermuteten bakteriellen Infektion ist unwahrscheinlich, dass es dem Patienten einen Nutzen bringt, und erhöht das Risiko für die Entwicklung von medikamentenresistenten Bakterien.
Risiko bei Patienten mit Phenylketonurie
Phenylalanin kann für Patienten mit Phenylketonurie (PKU) schädlich sein. Suprax -Kautabletten enthalten Aspartam eine Quelle von Phenylalanin. Jede 100 mg 150 mg und 200 mg Stärke enthält 3,3 mg 5 mg bzw. 6,7 mg Phenylalanin. Vor der Verschreibung von Suprax -Kautabletten bei einem Patienten mit PKU die kombinierte tägliche Menge an Phenylalanin aus allen Quellen, einschließlich suprax -Kau -Tabletten.
Nichtklinische Toxikologie
Karzinogenese -Mutagenese -Beeinträchtigung der Fruchtbarkeit
Es wurden keine Lebenszeitstudien an Tieren zur Bewertung des karzinogenen Potentials durchgeführt. Cefixim verursachte keine Punktmutationen in Bakterien- oder Säugetierzellen -DNA -Schäden oder Chromosomenschäden in vitro und zeigte in vivo im Maus -Mikronukleus -Test kein klastogenes Potential. Bei Ratten wurden die Fruchtbarkeit und die Fortpflanzungsleistung nicht durch eine Cefixim in Dosen bis zum 25 -fachen der adulten therapeutischen Dosis beeinflusst.
Verwendung in bestimmten Populationen
Schwangerschaft
Schwangerschaft Categodery B
Fortpflanzungsstudien wurden bei Mäusen und Ratten in Dosen bis zum 40 -fachen der menschlichen Dosis durchgeführt und haben keinen Hinweis auf den Fötus aufgrund einer Lebensmittelgeschäfte ergeben. Es gibt keine angemessenen und gut kontrollierten Studien bei schwangeren Frauen. Da Studien zur Reproduktion von Tieren nicht immer der menschlichen Reaktion vorhersagen, sollte dieses Medikament nur dann während der Schwangerschaft angewendet werden, wenn sie eindeutig benötigt werden.
Arbeit und Entbindung
Cefixim wurde nicht zur Verwendung während der Arbeit und Lieferung untersucht. Die Behandlung sollte nur bei Bedarf erteilt werden.
Pflegemütter
Es ist nicht bekannt, ob Cefixim in der Muttermilch ausgeschieden ist. Bei der Behandlung mit diesem Arzneimittel sollte die Berücksichtigung der Vorüberstellung der Pflege vorübergehend eingestellt werden.
Pädiatrische Verwendung
Sicherheit und Effektivität von Cefixim bei Kindern im Alter von weniger als sechs Monaten wurden nicht festgestellt. Die Inzidenz von gastrointestinalen Nebenwirkungen, einschließlich Durchfall und losen Stühlen bei den pädiatrischen Patienten, die die Suspension erhielten, war vergleichbar mit der Inzidenz, die bei erwachsenen Patienten beobachtet wurde, die Tabletten erhielten.
Geriatrische Verwendung
Klinische Studien umfassten nicht eine ausreichende Anzahl von Probanden ab 65 Jahren und älter, um festzustellen, ob sie anders reagieren als jüngere Probanden. Andere gemeldete klinische Erfahrung haben keine Unterschiede in den Antworten zwischen älteren und jüngeren Patienten identifiziert. Eine pharmakokinetische Studie an älteren Menschen erkannte Unterschiede in den pharmakokinetischen Parametern [siehe Klinische Pharmakologie ]. These differences were small Und do not indicate a need foder dosage adjustment of the drug in the elderly.
Nierenbehinderung
Die Dosis von Cefixim sollte bei Patienten mit Nierenbeeinträchtigung sowie bei Patienten, die sich einer kontinuierlichen ambulanten Peritonealdialyse (CAPD) und Hämodialyse (HD) unterziehen, angepasst werden. Patienten mit Dialyse sollten sorgfältig überwacht werden [siehe Dosierung und Verwaltung ].
Überdosierungsinformationen für Suprax
Magenspülung kann angegeben werden; Ansonsten gibt es kein spezifisches Gegenmittel. Cefixim wird nicht in signifikanten Mengen aus der Kreislauf durch Hämodialyse oder Peritonealdialyse entfernt. Nebenwirkungen der geringen Anzahl gesunder erwachsener Freiwilliger, die einzelne Dosen bis zu 2 g Cefixim erhielten, unterschieden sich nicht vom Profil, das bei Patienten mit den empfohlenen Dosen behandelt wurde.
Kontraindikationen für Suprax
Suprax (Cefixim) ist bei Patienten mit bekannter Allergie gegen Cefixim oder andere Cephalosporine kontraindiziert.
Klinische Pharmakologie foder Suprax
Wirkungsmechanismus
Cefixim ist ein semisynthetisches antibakterielles Arzneimittel mit Cephalosporin [siehe Mikrobiologie ].
Pharmakokinetik
Suprax Kautabischts are bioequivalent to oderal suspension.
Suprax tablets Und suspension given oderally are about 40% to 50% absoderbed whether administered with oder without food; however time to maximal absoderption is increased approximately 0.8 hours when administered with food. A single 200 mg tablet of cefixime produces an average peak serum concentration of approximately 2 mcg/mL (range 1 to 4 mcg/mL); a single 400 mg tablet produces an average peak concentration of approximately 3.7 mcg/mL (range 1.3 to 7.7 mcg/mL). The oderal suspension produces average peak concentrations approximately 25% to 50% higher than the tablets when tested in nodermal Erwachsene Freiwillige. Zweihundert- und 400 mg Dosen oraler Suspension produzieren durchschnittliche Spitzenkonzentrationen von 3 mcg/ml (Bereich 1 bis 4,5 mcg/ml) bzw. 4,6 mcg/ml (Bereich 1,9 bis 7,7 mcg/ml), wenn sie in normal getestet werden Erwachsene Freiwillige. Die Fläche im Rahmen der Zeit- und Konzentrationskurve (AUC) ist bei der oralen Suspension um ungefähr 10% bis 25% höher Erwachsene Freiwillige. Diese erhöhte Absorption sollte berücksichtigt werden, wenn die Tafel durch die orale Suspension ersetzt werden soll. Aufgrund des Mangels an Bioäquivalenz -Tabletten sollte bei der Behandlung von Otitis -Medien nicht durch die orale Suspension ersetzt werden [siehe Dosierung und Verwaltung ]. Cross-over studies of tablet versus suspension have not been perfodermed in children.
Die 400 -mg -Kapsel ist unter Fastenbedingungen zum 400 -mg -Tablet bioäquivalent. Die Lebensmittel reduziert jedoch die Absorption nach Verabreichung der Kapsel um ca. 15% basierend auf AUC und 25% basierend auf Cmax.
Peak -Serumkonzentrationen treten zwischen 2 und 6 Stunden nach oraler Verabreichung eines einzelnen 200 -mg -Tablets mit einer einzelnen 400 -mg -Tablette oder 400 mg Cefixim -Suspension auf. Peakserumkonzentrationen treten zwischen 2 und 5 Stunden nach einer einzigen Verabreichung von 200 mg Suspension auf. Peak -Serumkonzentrationen treten zwischen 3 und 8 Stunden nach oraler Verabreichung einer einzelnen 400 mg -Kapsel auf.
Verteilung
Die Serumproteinbindung ist konzentrationsunabhängig mit einem gebundenen Anteil von ungefähr 65%. In einer mehrfach dosierten Studie mit einer Forschungsformulierung, die weniger bioverfügbar ist als die Tablette oder die Suspension, gab es nach 14 Tagen kaum eine Arzneimittelansammlung in Serum oder Urin. Angemessene Daten zu CSF -Cefixim -Ebenen sind nicht verfügbar.
Stoffwechsel und Ausscheidung
Es gibt keine Hinweise auf den Stoffwechsel von Cefixim vergeblich . Ungefähr 50% der absorbierten Dosis werden in 24 Stunden unverändert im Urin ausgeschieden. In Tierstudien wurde festgestellt, dass Cefixim auch in der Galle von mehr als 10% der verabreichten Dosis ausgeschieden wird. Die Serum-Halbwertszeit von Cefixim bei gesunden Probanden ist unabhängig von der Dosierungsform und durchschnittlich 3 bis 4 Stunden, kann bei einigen normalen Freiwilligen bis zu 9 Stunden dauern.
Besondere Populationen
Geriatrie
Die durchschnittlichen AUCs im stationären Zustand bei älteren Patienten sind bei anderen gesunden Erwachsenen um etwa 40% höher als die durchschnittlichen AUCs. Unterschiede in den pharmakokinetischen Parametern zwischen 12 jungen und 12 älteren Probanden, die einmal täglich 400 mg Cefixim erhalten, werden wie folgt zusammengefasst:
| Pharmakokinetische Parameter (Mittelwert ± SD) für Cefixim in beiden Jungen | ||
| Pharmakokinetischer Parameter | Jung | Ältere Menschen |
| Cmax (mg/l) | 4,74 ± 1,43 | 5,68 ± 1,83 |
| Tmax (h)* | 3,9 ± 0,3 | 4,3 ± 0,6` |
| AUC (mg.h/l)* | 34,9 ± 12,2 | 49,5 ± 19,1 |
| T ½ (H)* | 3,5 ± 0,6 | 4,2 ± 0,4 |
| Höhle (mg/l)* | 1,42 ± 0,50 | 1,99 ± 0,75 |
| *Der Unterschied zwischen Altersgruppen war signifikant. (P <0.05) |
Diese Erhöhungen waren jedoch klinisch nicht signifikant [siehe Dosierung und Verwaltung ].
Nierenbehinderung
Bei Probanden mit einer mäßigen Beeinträchtigung der Nierenfunktion (20 bis 40 ml/min Kreatinin-Clearance) wird die durchschnittliche Cefixim-Hälfte der Serumreste auf 6,4 Stunden verlängert. Bei schwerer Nierenbeeinträchtigung (5 bis 20 ml/min Kreatinin-Clearance) stieg die Halbwertszeit auf durchschnittlich 11,5 Stunden. Das Medikament wird durch Hämodialyse oder Peritonealdialyse nicht signifikant aus dem Blut geräumt. Eine Studie ergab jedoch, dass bei Dosen von 400 mg Patienten, die sich einer Hämodialyse unterziehen, ähnliche Blutprofile wie Probanden mit Kreatinin -Clearances von 21 bis 60 ml/min haben.
Mikrobiologie
Wirkungsmechanismus
Wie bei anderen Cephalosporinen resultiert die bakterizide Wirkung von Cefixim aus der Hemmung der Zellwandsynthese. Cefixim ist in Gegenwart bestimmter Beta-Lactamase-Enzyme stabil. Infolgedessen können bestimmte Organismen gegen Penicilline und einige Cephalosporine aufgrund des Vorhandenseins von Betalactamasen anfällig für Lebensmittel sein.
Widerstand
Widerstand to cefixime in isolates of Haemophilus Influenzae Und Neisseria gonorrhoeae ist am häufigsten mit Veränderungen in Penicillin-bindenden Proteinen (PBPS) verbunden. Cefixim kann eine begrenzte Aktivität gegen Enterobacteriaceae haben, die erweiterte Spektrum-Beta-Lactamasen (ESBLS) produzieren. Pseudomonas Spezies Enterococcus Spezies strains of Group D streptococci Listeria monocytogenes Die meisten Staphylococci-Stämme (einschließlich methicillin-resistenter Stämme) Die meisten Stämme von Enterobacter Spezies most strains of Bacteroides fragilis Und most strains of Clostridium Spezies are resistant to cefixime.
Kaliumcitrat ER 10 MEQ Tab
Antimikrobielle Aktivität
Es wurde gezeigt, dass Cefixim gegen die meisten Isolate der folgenden Mikroorganismen aktiv ist in vitro Und in clinical infections [sehen Indikationen ].
Grampositive Bakterien
Streptococcus pneumoniae
Streptococcus pyogenes
Gramnegative Bakterien
Sie zeigten Chill
Haemophilus Influenzae
Moraxella catarrhalis
Neisseria gonorrhoeae
Proteus wunderbar
Die folgende in vitro Daten sind verfügbar, aber ihre klinische Bedeutung ist unbekannt. Mindestens 90 Prozent der folgenden Bakterien zeigen eine in vitro Minimale inhibitorische Konzentration (MIC) weniger oder gleich dem anfälligen Haltepunkt für die Zefixim gegen Isolate einer ähnlichen Gattung oder Organismusgruppe. Die Wirksamkeit der Cefixim bei der Behandlung klinischer Infektionen, die durch diese Bakterien verursacht werden, wurde jedoch nicht in angemessenen und gut kontrollierten klinischen Studien festgelegt.
Grampositive Bakterien
Streptococcus agalactiae
Gramnegative Bakterien
Citrobacter Amalonaticus
Citrobacter anders
Haemophilus parainfluenzae
Klebsiella oxytoca
Klebsiella pneumoniae
Pasteurella multocida
Proteus vulgaris
Spezies Vorsehung
Salmonellenspezies
Serratia marcescens
Shigella -Arten
Empfindlichkeitstest
Für spezifische Informationen zu Suszeptibilitätstest -Interpretationskriterien und zugehörigen Testmethoden und Qualitätskontrollstandards, die von der FDA für dieses Medikament erkannt wurden, siehe: https://www.fda.gov/stic.
Klinische Studien
Vergleichende klinische Studien mit Otitis -Medien wurden in fast 400 Kindern zwischen 6 Monaten und 10 Jahren durchgeführt. Streptococcus pneumoniae wurde von 47% der Patienten isoliert Haemophilus Influenzae von 34% Moraxella catarrhalis von 15% und S. pyogenes von 4%.
Die Gesamtantwortrate von Streptococcus pneumoniae zu cefixim war ungefähr 10% niedriger und die von Haemophilus Influenzae oder Moraxella catarrhalis ca. 7% höher (12%, wenn Beta-Lactamase-positive Isolate von H. Influenzae sind enthalten) als die Rücklaufquoten dieser Organismen auf die aktiven Kontrollmedikamente.
In diesen Studien wurden die Patienten randomisiert und entweder mit einer Cefixim bei Dosisregimen von 4 mg/kg zweimal täglich oder einmal täglich oder mit einem Komparator behandelt. Neunundsechzig bis 70% der Patienten in jeder Gruppe hatten eine Auflösung von Anzeichen und Symptomen von Otitis-Medien, wenn sie 2 bis 4 Wochen nach der Behandlung untersucht wurden, aber bei 15% der Patienten wurde anhaltender Ergüsse festgestellt. Nach dem Abschluss der Therapie untersucht 17% der Patienten, die Cefixim erhalten, und 14% der Patienten, die wirksame Vergleichsmedikamente erhielten (18%, einschließlich der Patienten, die hatten Haemophilus Influenzae Resistent gegen das Kontrollmedikament und der, der das antibakterielle Arzneimittel erhielt, wurden als Behandlungsfehler angesehen. In der 2 bis 4-wöchigen Nachuntersuchung hatten insgesamt 30% -31% der Patienten Hinweise auf ein Behandlungsversagen oder eine wiederkehrende Erkrankung.
| Bakteriologisches Ergebnis von Otitis-Medien zwei bis vier Wochen nach der Therapie basierend auf der wiederholten Mittelohrflüssigkeitskultur oder der Extrapolation aus klinischem Ergebnis | |||
| Organismus | Cefixim (a) 4 mg/kg Angebot | Cefixim (a) 8 mg/kg qd | Kontrolle (a) Drogen |
| Streptococcus pneumoniae | 48/70 (69%) | 18/22 (82%) | 82/100 (82%) |
| Haemophilus Influenzae Beta-Lactamase negativ | 24/34 (71%) | 13/17 (76%) | 23/34 (68%) |
| Haemophilus Influenzae Beta-Lactamase-positiv | 17/22 (77%) | 9/12 (75%) | 1/1 (b) |
| Moraxella catarrhalis | 26/31 (84%) | 5/5 | 18/24 (75%) |
| S. Pyogenes | 5/5 | 3/3 | 6/7 |
| Alle Isolate | 120/162 (74%) | 48/59 (81%) | 130/166 (78%) |
| (a) Zahl ausgerottet/Zahl isoliert. (b) zusätzliche 20 Beta-Lactamase-positive Isolate von Haemophilus Influenzae wurden isoliert, aber von dieser Analyse ausgeschlossen, weil sie gegen das Kontrollantibakterielledikat resistent waren. In neunzehn davon konnte der klinische Verlauf bewertet und in 10 ein günstiges Ergebnis aufgetreten werden. Wenn diese Fälle in die gesamte bakteriologische Bewertung der Therapie mit den Kontrollmedikamenten einbezogen werden. |
Bakteriologisches Ergebnis von Otitis-Medien zwei bis vier Wochen nach der Therapie basierend auf wiederholten Mittelohr
Geduldig Infodermation foder Suprax
Anwält Patienten, dass antibakterielle Medikamente einschließlich Cefixim nur zur Behandlung von bakteriellen Infektionen eingesetzt werden sollten. Sie behandeln keine Virusinfektionen (z. B. die Erkältung). Wenn eine Cefixim zur Behandlung einer bakteriellen Infektion verschrieben wird, sollte Patienten mitgeteilt werden, dass es zwar üblich ist, sich im Verlauf der Therapie besser zu fühlen, sollten die Medikamente genau wie angewiesen eingenommen werden. Das Überspringen von Dosen oder Nichtabschließung des vollständigen Therapieverlaufs kann: (1) die Wirksamkeit der sofortigen Behandlung verringern und (2) die Wahrscheinlichkeit erhöhen, dass Bakterien Resistenz entwickeln und in Zukunft nicht durch eine Verbrauchsmesser für orale Suspension oder Cefixim -Kau -Tabletten oder andere Antibakterienmedikamente behandelt werden können.
Anwälte Patienten mit Phenylketonurie, dass suprax -kaubare Tabletten Aspartam eine Quelle von Phenylalanin enthalten: Jedes suprax -kaubare Tablette enthält 3,3 mg 5 mg bzw. 6,7 mg Phenylalanin pro 100 mg 150 mg bzw. 200 mg Stärke.
Beraten Sie den Patienten, dass Durchfall ein häufiges Problem ist, das durch antibakterielle Arzneimittel verursacht wird, die normalerweise endet, wenn das antibakterielle Arzneimittel abgesetzt wird. Manchmal können Patienten nach Beginn der Behandlung mit antibakteriellen Arzneimitteln wässrige und blutige Stühle (mit oder ohne Magenkrämpfe und Fieber) entwickeln, auch bis nach zwei oder mehr Monaten nach der letzten Dosis des antibakteriellen Arzneimittels. Wenn dies auftritt, sollten Patienten so bald wie möglich ihren Arzt kontaktieren.