Die Informationen Auf Dieser Website Stellen Keine Medizinische Beratung Dar. Wir Verkaufen Nichts. Die Richtigkeit Der Übersetzung Wird Nicht Garantiert. Haftungsausschluss
Monoklonale Antikörper
Aduhelm
Drogenzusammenfassung
Was ist aduhelm?
Aduhelm (Aducanumab-Avwa) ist ein amyloid-Beta-gerichteter Antikörper, der für die Behandlung der Alzheimer-Krankheit angegeben ist.
Was sind Nebenwirkungen von Aduhelm?
Aduhelm
- Nesselsucht
- Schwierigkeiten beim Atmen
- Schwellung Ihrer Gesichtslippen Zunge oder Hals
- vorübergehende Schwellung des Gehirns
- Kleine Blutungen am Gehirn
- Kopfschmerzen
- Schwindel
- Brechreiz
- Verwirrung
- Sehveränderungen
- Ausschlag und
- Juckreiz
Holen Sie sich sofort medizinische Hilfe, wenn Sie eines der oben aufgeführten Symptome haben.
Nebenwirkungen von Aduhelm umfassen:
- Amyloidbezogene Bildgebungsanomalien (ARIA) Fluidretention (Ödem)
- Kopfschmerzen
- Amyloid verwandte Bildgebungsanomalien aufgrund von Hämosiderin-Ablagerung (ARIA-H) Mikrohemorrhage
- ARIA-H oberflächliche Siderose
- Falls
- Durchfall und
- Verwirrung/ delirium /altered mental status/disorientation.
Aduhelm kann schwerwiegende Nebenwirkungen verursachen, einschließlich:
- Siehe oben Was sind die wichtigsten Informationen, die ich über Aduhelm wissen sollte?
- Schwerwiegende allergische Reaktionen. Während einer Aduhelm -Infusion ist eine Schwellung des Gesichtslippens Mund oder Zunge und Nesselsucht stattgefunden. Teilen Sie Ihrem Gesundheitsdienstleister mit, ob Sie während oder nach der Aduhelm -Infusion eines der Symptome einer schwerwiegenden allergischen Reaktion haben.
Suchen Sie medizinische Versorgung oder rufen Sie auf einmal 911 an, wenn Sie die folgenden schwerwiegenden Nebenwirkungen haben:
- Schwerwiegende Augensymptome wie plötzlicher Sehverlust verschwommenes Sehen Tunnel Sehschmerzen oder Schwellungen oder Halos in der Umgebung des Lichts;
- Schwerwiegende Herzsymptome wie schnelle unregelmäßige oder pochende Herzschläge; Flattern in deiner Brust; Kurzatmigkeit; und plötzliche Schwindel -Unbeschwertheit oder ohnmächtig;
- Starke Kopfschmerzen Verwirrung verwirrt Spracharm oder Bein Schwäche Schwierigkeiten beim Verlust der Koordination unstabil sehr steifes Muskeln hoher Fieber problemlos Schwitzen oder Zittern.
Dieses Dokument enthält nicht alle möglichen Nebenwirkungen und andere können auftreten. Wenden Sie sich an Ihren Arzt nach zusätzlichen Informationen zu Nebenwirkungen.
Dosierung für Aduhelm
Titration ist für die Behandlung der Behandlung erforderlich. Die empfohlene Wartungsdosis von Aduhelm beträgt 10 mg/kg, die alle vier Wochen als intravenöse Infusion über ungefähr eine Stunde verabreicht wird.
Aduhelm bei Kindern
Sicherheit und Wirksamkeit von Aduhelm bei pädiatrischen Patienten wurde nicht festgestellt.
Welche Medikamentensubstanzen oder Nahrungsergänzungsmittel interagieren mit Aduhelm?
Aduhelm kann mit anderen Medikamenten interagieren.
Sagen Sie Ihrem Arzt alle Medikamente und Nahrungsergänzungsmittel, die Sie verwenden.
Prednisolon -Augentropfen für rosa Auge
Aduhelm während der Schwangerschaft und Stillen
Sagen Sie Ihrem Arzt, wenn Sie schwanger sind oder vorhaben, schwanger zu werden, bevor Sie Aduhelm verwenden. Es ist nicht bekannt, wie sich dies auf einen Fötus auswirken könnte. Es ist nicht bekannt, ob Aduhelm in die Muttermilch übergeht oder wie sich dies auf ein Pflegekind auswirken kann. Wenden Sie sich vor dem Stillen an Ihren Arzt.
Weitere Informationen
Unsere Injektion von Aduhelm (Aducanumab-Avwa) für die intravenöse Verwendung von Nebenwirkungen Arzneimittelzentrum bietet einen umfassenden Überblick über die verfügbaren Arzneimittelinformationen über die potenziellen Nebenwirkungen bei der Einnahme dieses Medikaments.
Dies ist keine vollständige Liste von Nebenwirkungen, und andere können auftreten. Rufen Sie Ihren Arzt an, um medizinische Beratung zu Nebenwirkungen zu erhalten. Sie können die FDA bei 1-800-FDA-1088 Nebenwirkungen melden.
FDA -Drogeninformationen
- Drogenbeschreibung
- Indikationen
- Nebenwirkungen
- Warnungen
- Überdosis
- Klinische Pharmakologie
- Medikamentenhandbuch
Beschreibung für aduhelm
Aducanumab-Avwa ist ein rekombinanter menschlicher monoklonaler Antikörper, der gegen aggregierte lösliche und unlösliche Formen von Amyloid-Beta gerichtet ist, ein rekombinanter menschlicher Immunglobulin-Gamma 1 (IgG1) und wird in einer chinesischen Hamster-Eierstockzelllinie exprimiert. Aducanumab-Avwa hat ein ungefähres Molekulargewicht von 146 kDa.
Die Injektion von Aduhelm (Aducanumab-Avwa) ist eine konservativ-freie sterile, die opaleszierende und farblose bis gelbe Lösung für die intravenöse Infusion ist, nachdem die in Konzentrationen von 170 mg/1,7 ml (100 mg/ml) oder 300 mg/ml/ml/ml (100 mg/ml) von aduhelm (100 mg/ml) erhältliche sterile sterile sterile sterile sterile ist.
Jede ml Lösung enthält 100 mg Aducanumab-AVWA- und L-Arginine-Hydrochlorid (NULL,60 mg) L-Histidin (NULL,60 mg) L-histidinische Hydrochloridmonohydrat (NULL,39 mg) L-Methionin (NULL,49 mg) -Polysorbate 80 (NULL,50 mg) und Wasser für Injektion bei einem Gehäuse von 80 mg (5).
Verwendung für aduhelm
Aduhelm ist für die Behandlung der Alzheimer -Krankheit angezeigt. Die Behandlung mit ADUHELM sollte bei Patienten mit leichter kognitiver Beeinträchtigung oder einem leichten Demenzstadium der Krankheit eingeleitet werden. Die Bevölkerung, in der die Behandlung in klinischen Studien eingeleitet wurde, wurde. Diese Anzeige wird unter beschleunigter Zulassung auf der Grundlage der Verringerung der Amyloid -Beta -Plaques zugelassen, die bei Patienten mit Aduhelm beobachtet wurden [siehe Klinische Studien ]. Die fortgesetzte Genehmigung für diese Indikation kann von der Überprüfung des klinischen Nutzens in Bestätigungsstudien (en) abhängig sein.
Dosierung für Aduhelm
Patientenauswahl
Bestätigen Sie das Vorhandensein einer Amyloid -Beta -Pathologie vor der Einleitung der Behandlung [siehe Klinische Pharmakologie ].
Dosierungsanweisungen
Nach einer ersten Titration beträgt die empfohlene Dosierung von Aduhelm 10 mg/kg (siehe Tabelle 1).
Aduhelm muss verdünnt werden und wird alle vier Wochen als intravenöse Infusion über ungefähr eine Stunde verabreicht.
Tabelle 1: Dosierungsplan
| Intravenöse Infusion (alle 4 Wochen) | Aduhelm Dosierung (über ungefähr eine Stunde verabreicht) |
| Infusion 1 und 2 | 1 mg/kg |
| Infusion 3 und 4 | 3 mg/kg |
| Infusion 5 und 6 | 6 mg/kg |
| Infusion 7 und darüber hinaus | 10 mg/kg |
Wenn eine Infusion so schnell wie möglich und mindestens 21 Tage voneinander entfernt in derselben Dosis verabreicht wird.
Überwachungs- und Dosierungsunterbrechungen für amyloid verwandte Bildgebungsstörungen
Aduhelm kann amyloidbezogene bildgebende Anomalien -EDEMA (ARIA -E) und -Hämosiderin -Ablagerung (ARIA -H) verursachen [siehe Warnungen und Vorsichtsmaßnahmen ].
Überwachung auf Arie
Erhalten Sie eine kürzlich durchgeführte Hirnmagnetresonanztomographie (MRT), bevor Sie die Behandlung mit aduhelm einleiten. MRIS vor dem 5 erhalten th Infusion (erste Dosis von 6 mg/kg) 7 th Infusion (erste Dosis von 10 mg/kg) 9 th Infusion (dritte Dosis von 10 mg/kg) und 12 th Infusion (sechste Dosis von 10 mg/kg). Wenn ein Patient Symptome erfährt, was auf eine arie klinische Bewertung hinweist, einschließlich einer MRT, falls angegeben.
Empfehlungen für Dosierungsunterbrechungen bei Patienten mit Arie
Wenn die Dosierung nach einer vorübergehenden Suspensionsdosierung wieder aufgenommen wird, kann die Dosierung und Titrationsplan vor der Dosierungsaufhängung wieder aufgenommen werden. Bei der Bewertung einer potenziellen Dosisaufhängung sollten die Vorteile der Erreichung und Aufrechterhaltung der 10 mg/kg -Dosierung berücksichtigt werden.
Air-e
Die Empfehlungen für Dosierungsunterbrechungen für Patienten mit ARIA-E sind in Tabelle 2 angegeben.
Tabelle 2: Dosierungsempfehlungen für Patienten mit ARIA-E
| Schwere klinische Symptome 1 | Air-e Severity on MRI 3 | ||
| Leicht | Mäßig | Schwer | |
| Asymptomatisch | Kann weiterhin in der aktuellen Dosis und des Zeitplans dosieren | Dosierung suspendieren 2 | Dosierung suspendieren 2 |
| Leicht | Kann die Dosierung aufgrund des klinischen Urteils fortsetzen | Dosierung suspendieren 2 | |
| Mäßig or Schwer | Dosierung suspendieren 2 | ||
| 1 Leicht: discomfort noticed but no disruption of normal daily activity. Mäßig: discomfort sufficient to reduce or affect normal daily activity. Schwer: incapacitating with inability to work or to perform normal daily activity. 2 Suspend bis die MRT die radiologische Auflösung und die Symptome der vorliegenden Auflösung zeigt; Betrachten Sie eine Follow-up-MRT, um die Lösung 2 bis 4 Monate nach der ersten Identifizierung zu bewerten. Die Wiederaufnahme der Dosierung sollte durch klinisches Urteilsvermögen geleitet werden. 3 Siehe Tabelle 4. |
ARIA-H
Die Empfehlungen für Dosierungsunterbrechungen für Patienten mit ARIA-H sind in Tabelle 3 enthalten.
Tabelle 3: Dosierungsempfehlungen für Patienten mit ARIA-H
| Schwere klinische Symptome | ARIA-H Severity on MRI 3 | ||
| Leicht | Mäßig | Schwer | |
| Asymptomatisch | Kann weiterhin in der aktuellen Dosis und des Zeitplans dosieren | Dosierung suspendieren 1 | Dosierung suspendieren 2 |
| Symptomatisch | Dosierung suspendieren 1 | Dosierung suspendieren 1 | |
| 1 Suspend bis die MRT die radiologische Stabilisierung und die Symptome der vorliegenden Auflösung zeigt; Die Wiederaufnahme der Dosierung sollte durch klinisches Urteilsvermögen geleitet werden. Betrachten Sie eine Follow-up-MRT, um die Stabilisierung 2 bis 4 Monate nach der ersten Identifizierung zu bewerten. 2 Suspend bis die MRT die radiologische Stabilisierung und die Symptome der vorliegenden Auflösung zeigt; Verwenden Sie klinisches Urteilsvermögen, um zu prüfen, ob die Behandlung fortgesetzt oder aduhelm dauerhaft eingestellt werden soll. 3 Siehe Tabelle 4. |
Bei Patienten, die während der Behandlung mit Aduhelm -Suspenddosierung eine intrazerebrale Blutung mehr als 1 cm Durchmesser entwickeln, bis die MRT eine radiologische Stabilisierung und Symptome zeigt, wenn sie vorliegen. In den Studien 1 und 2 wurde die Dosierung bei Patienten, die eine intrazerebrale Blutung mehr als 1 cm Durchmesser entwickelten, dauerhaft abgesetzt. Verwenden Sie klinisches Urteilsvermögen, um zu prüfen, ob die Behandlung nach radiologischer Stabilisierung und Auflösung von Symptomen fortgesetzt oder aduhelm dauerhaft eingestellt werden soll.
Verdünnung Anweisungen
- Vor der Verabreichung muss Aduhelm in 100 ml 0,9% iger Natriumchlorid -Injektion USP verdünnt werden.
- Verwenden Sie bei der Herstellung der aduhelm verdünnten Lösung für die intravenöse Infusion eine aseptische Technik.
- Berechnen Sie das Gesamtvolumen der Dosis der erforderlichen ADUHELM -Lösung und die Anzahl der benötigten Fläschchen, die auf dem tatsächlichen Körpergewicht des Patienten benötigt werden. Jede Fläschchen enthält eine Aduhelm -Konzentration von 100 mg pro ml.
- Parenterale Arzneimittel sollten vor der Verabreichung visuell auf Partikel und Verfärbungen untersucht werden, wenn Lösung und Behälter dies zulassen. Überprüfen Sie, ob die Aduhelm -Lösung opaleszierend und farblos bis gelbe Lösung ist. Verwenden Sie nicht, wenn eine Verfärbung von undurchsichtigen Partikeln oder andere Fremdpartikel vorhanden sind.
- Entfernen Sie die Flip-Off-Kappe vom Fläschchen. Setzen Sie die Spritzennadel in den Fläschchen durch die Mitte des Gummistopps ein.
- Ziehen Sie das erforderliche Volumen von Aduhelm aus dem Fläschchen (en) ab und geben Sie zu einem Infusionssack von 100 ml 0,9% iger Natriumchlorid -Injektion USP. Verwenden Sie keine anderen intravenösen Verdünnungen, um die aduhelm verdünnte Lösung herzustellen.
- Jede Fläschchen gilt nur für Einzeldosis. Verragen Sie einen ungenutzten Teil.
- Invertieren Sie den Infusionssack vorsichtig, der die aduhelm verdünnte Lösung enthält, um sich vollständig zu mischen.
- Nicht schütteln.
- Nach dem sofortigen Einsatz wird empfohlen. Wenn Sie nicht sofort verabreicht werden, speichern Sie die verdünnte Lösung von Aduhelm in 0,9% iger Natriumchlorid -Injektion USP für bis zu 3 Tage bis zu 3 Tage oder bei Raumtemperatur bis zu 30 ° C (86 ° F) bis zu 12 Stunden lang gekühlt. NICHT einfrieren.
Verwaltungsanweisungen
- Überprüfen Sie die aduhelm verdünnte Lösung für Partikel oder Verfärbungen vor der Verabreichung visuell. Verwenden Sie nicht, wenn es verfärbt ist oder undurchsichtig oder Fremdpartikel sind zu sehen.
- Vor der Infusion ermöglichen die aduhelm verdünnte Lösung auf die Raumtemperatur.
- Intravenös von aduhelm verdünnte Lösung über ungefähr eine Stunde durch eine intravenöse Linie mit einer sterilen niedrig-Protein-Bindung von 0,2 oder 0,22 Mikron-Inline-Filter enthält.
- Die Infusion bei der ersten Beobachtung von Anzeichen oder Symptomen, die mit einer Überempfindlichkeitsreaktion übereinstimmen, umgehend einstellen [siehe Warnungen und Vorsichtsmaßnahmen ].
Wie geliefert
Dosierungsformen und Stärken
Aduhelm ist ein klares bis opaleszierender und farblos bis gelbe Lösung erhältlich als:
- Injektion : 170 mg/1,7 ml (100 mg/ml) in einem Einzeldosis-Fläschchen
- Injektion : 300 mg/3 ml (100 mg/ml) in einem Einzeldosis-Fläschchen
Aduhelm (aducanumab-avwa) Injektion ist eine konservativ-freie sterile Sterile, die opaleszierend und farblos bis gelbe Lösung ist. Aduhelm wird wie folgt eine Fläschchen pro Karton geliefert:
170 mg/1,7 ml (100 mg/ml) Eindosis -Fläschchen (mit roter Flip -Kappe) - NDC 64406-101-01
300 mg/3 ml (100 mg/ml) Eindosis -Fläschchen (mit blauer Flip -Kappe) - NDC 64406-102-02
Lagerung und Handhabung
Ungeöffnetes Fläschchen
- Im Originalkarton bis zum Schutz vor Licht speichern.
- In einem Kühlschrank bei 2 ° C bis 8 ° C (36 ° F bis 46 ° F) aufbewahren.
- Nicht einfrieren oder schütteln.
- Wenn keine Kühlung verfügbar ist, kann Aduhelm in seinem ursprünglichen Karton ungeöffnet gelagert werden, um bis zu 3 Tage bei Raumtemperatur bis zu 25 ° C (77 ° F) vor Licht zu schützen.
- Vor der Verdünnung kann ungeöffnete Fläschchen von aduhelm entfernt und bei Bedarf in den Kühlschrank zurückgegeben werden, wenn es im ursprünglichen Karton aufbewahrt wird. Die Gesamtzeit der kombinierten Zeit vor Kühlung mit dem Schutz vor Licht sollte 24 Stunden bei Raumtemperatur bis zu 25 ° C nicht überschreiten.
Hergestellt von: Biogen Inc. Cambridge MA 02142 USA überarbeitet: August 2023.
Nebenwirkungen für Aduhelm
Die folgenden klinisch signifikanten Nebenwirkungen werden an anderer Stelle in der Markierung beschrieben:
- Amyloid verwandte Bildgebungsanomalien [siehe Warnungen und Vorsichtsmaßnahmen ]
- Überempfindlichkeitsreaktionen [siehe Warnungen und Vorsichtsmaßnahmen ]
Klinische Studien Erfahrung
Da klinische Studien unter stark unterschiedlichen Bedingungen durchgeführt werden, die in klinischen Studien eines Arzneimittels beobachtet werden, können in den klinischen Studien eines anderen Arzneimittels nicht direkt mit den Raten verglichen werden und spiegeln möglicherweise nicht die in der klinischen Praxis beobachteten Raten wider.
Die Sicherheit von aduhelm wurde bei 3078 Patienten bewertet, die mindestens eine Dosis Aduhelm erhielten. In zwei placebokontrollierten Studien (Studien 1 und 2) bei Patienten mit Alzheimer-Krankheit erhielten insgesamt 1105 Patienten aduhelm 10 mg/kg [siehe Klinische Studien ]. Of these 1105 patients approximately 52% were female 76% were White 10% were Asian Und 3% were of Hispanic or Latino ethnicity. The mean age at study entry was 70 years (range from 50 to 85).
In den kombinierten placebokontrollierten und langfristigen Verlängerungsperioden der Studien 1 und 2 834 Patienten erhielten die Patienten mindestens monatlich mindestens eine Dosis ADUHELM 10 mg/kg für mindestens 6 Monate 551 Patienten für mindestens 12 Monate und 309 Patienten mindestens 18 Monate. In den kombinierten placebokontrollierten und langfristigen Verlängerungsperioden zog sich 5% (66 von 1386) der Patienten in der 10 mg/kg-Dosisgruppe aufgrund einer Nebenwirkung aus. Die häufigste nachteilige Reaktion, die zu einem Studienentzug in den kombinierten placebokontrollierten und langfristigen Verlängerungsperioden führte, war die oberflächliche Siderose von ARIA-H. Tabelle 5 zeigt unerwünschte Reaktionen, die bei mindestens 2% der mit Aduhelm behandelten Patienten und mindestens 2% häufiger als bei Patienten auf Placebo behandelt wurden.
Tabelle 5: Nebenwirkungen bei mindestens 2% der mit ADUHELM 10 mg/kg behandelten Patienten und mindestens 2% höher als Placebo in den Studien 1 und 2
| Nebenwirkungen | Aduhelm 10 mg/kg N = 1105 % | Placebo N = 1087 % |
| Air-e | 35 | 3 |
| Kopfschmerzen a | 21 | 16 |
| ARIA-H microhemorrhage | 19 | 7 |
| ARIA-H superficial siderosis | 15 | 2 |
| Fallen | 15 | 12 |
| Durchfall b | 9 | 7 |
| Verwirrung/Delirium/veränderter psychischer Status/Desorientierung c | 8 | 4 |
| a Kopfschmerzen includes the adverse reaction related terms Kopfschmerzen head discomfort migraine migraine with aura Und occipital neuralgia. b Durchfall includes the adverse reaction related terms Durchfall und infectious diarrhea. c Verwirrung/Delirium/veränderter psychischer Status/Desorientierung includes the adverse reaction related terms Verwirrungal state delirium altered state of consciousness disorientation depressed level of consciousness disturbance in attention mental impairment mental status changes postoperative Verwirrung Und somnolence. |
Wechselwirkungen mit Arzneimitteln für Aduhelm
Keine Informationen zur Verfügung gestellt
Warnungen für Aduhelm
Eingeschlossen als Teil der 'VORSICHTSMASSNAHMEN' Abschnitt
Vorsichtsmaßnahmen für aduhelm
Amyloid verwandte Bildgebungsstörungen
Monoklonale Antikörper gegen aggregierte Formen von Beta-Amyloid einschließlich Aduhelm können amyloidbezogene Abnormalitäten (ARIA) verursachen, die als Arie mit Ödemen (ARIA-E) charakterisiert werden, die bei MRT als Hirnödem oder Sulcal Effusionen und Aria mit Hemosiderin-Ablagerung (Aria-H) und Suposidin (Aria-H) (Aria-H) (Aria-H) (Aria-H) beobachtet werden können. Arie kann bei Patienten mit Alzheimer -Krankheit spontan auftreten. ARIA-H assoziiert mit monoklonalen Antikörpern, die gegen aggregierte Formen von Beta-Amyloid gerichtet sind, tritt im Allgemeinen in Verbindung mit einem Auftreten von ARIA-E auf. ARIA-H aus jeder Sache und Ariae kann zusammen auftreten.
Die Arie tritt normalerweise früh in der Behandlung auf und ist normalerweise asymptomatisch, obwohl schwerwiegende und lebenslange Ereignisse, einschließlich Anfalls und Status epilepticus, nur auftreten können. Wenn die vorliegenden mit ARIA im Zusammenhang mit Aria gemeldeten gegenwärtigen Verwirrung von Kopfschmerzen beinhalten, sind visuelle Veränderungen Schwindel Übelkeit und Gangschwierigkeiten. Es können auch fokale neurologische Defizite auftreten. Die mit ARIA verbundenen Symptome lösen sich normalerweise im Laufe der Zeit auf. Das Risiko einer Arie einschließlich symptomatischer und schwerer Arie ist in Apolipoprotein E ε4 (ApoE ε4) Homozygoten erhöht. Zusätzlich zu Aria -intrazerebralen Blutungen sind bei Patienten, die mit Aduhelm behandelt wurden, mehr als 1 cm Durchmesser aufgetreten.
Betrachten Sie den Vorteil von Aduhelm für die Behandlung der Alzheimer -Krankheit und das potenzielle Risiko für schwerwiegende unerwünschte Ereignisse im Zusammenhang mit ARIA, wenn sie sich entscheiden, die Behandlung mit aduhelm zu initiieren.
Inzidenz von Arie
Symptomatisch ARIA occurred in 10% (110/1105) of patients treated with Aduhelm in Studies 1 Und 2. Serious symptoms associated with ARIA were reported in 0.3% of patients treated with Aduhelm. Clinical symptoms associated with ARIA resolved in 88% of patients during the period of observation. Overall recurrent episodes of Air-e were less frequently symptomatic (12%) compared with initial episodes of Air-e (25%).
Einschließlich asymptomatischer radiologischer Ereignisse wurde bei 41% (454/1105) von Patienten beobachtet, die mit ADUHELM 10 mg/kg behandelt wurden, verglichen mit 10% (111/1087) von Patienten auf Placebo in den Studien 1 und 2.
Air-e was observed in 35% (387/1105) of patients treated with Aduhelm 10 mg/kg compared with 3% (29/1087) of patients on placebo. ARIA-H was observed in 28% (312/1105) of patients treated with Aduhelm compared to 9% (94/1087) of patients on placebo. There was no increase in isolated ARIA-H (i.e. ARIA-H in patients who did not also experience Air-e) for Aduhelm compared to placebo.
Die Gesamtinzidenz von Anfällen unabhängig von ARIA betrug in der Placebogruppe in den Studien 1 und 2. bei Patienten mit ARIA in der 10 mg/kg aduhelm -Gruppe, dass die Inzidenz von Anfällen 0,7% betrug. Status epilepticus wurde in den placebokontrollierten und langfristigen Erweiterungsstudien bei Patienten mit Aduhelm berichtet.
Wofür sind Cranberry -Vitamine gut?
APOE ε4 -Trägerstatus und Aria -Risiko
Ungefähr 15% der Alzheimer -Krankheitspatienten sind ApoE ε4 -Homozygoten. In den Studien 1 und 2 bei Patienten mit einem bekannten ApoE ε4 -Genotyp 17% (182/1103) von Patienten in der Aduhelm -Gruppe waren ApoE ε4 Homozygoten 51% (564/1103) Heterochygoten und 32% (357/1103) waren Unbekannten. Die Inzidenz der symptomatischen Arie war bei ApoE ε4 -Homozygoten (16%) höher als bei Heterozygoten (11%) und Nicht -Träger (5%) bei Patienten, die mit Aduhelm behandelt wurden. Die Inzidenz schwerwiegender Nebenwirkungen mit ARIA-E, einschließlich des Todesrisikos für anhaltende oder signifikante Behinderung oder Krankenhausaufenthalt oder anderer medizinisch wichtiger Ereignisse, die möglicherweise Intervention zur Verhinderung schwerwiegender Ergebnisse für ApoE-ε4-Träger und Nichtträger erfordern (2% in Homyzygoten 1% bei Heterötzozten 2% bei Nicht-Barrierern). Die Empfehlungen zum Management von ARIA unterscheiden sich nicht zwischen ApoE ε4 -Trägern und Nichtträgern [siehe Dosierung und Verwaltung ]. Testing for ApoE ε4 status should be performed prior to initiation of treatment to inform the risk of developing ARIA. Prior to testing prescribers should discuss with patients the risk of ARIA across genotypes Und the implications of genetic testing results. Prescribers should inform patients that if genotype testing is not performed they can still be treated with Aduhelm; however it cannot be determined if they are ApoE ε4 homozygotes Und at a higher risk for ARIA. An FDA-authorized test for detection of ApoE ε4 alleles to identify patients at risk of ARIA if treated with Aduhelm is not currently available. Currently available tests used to identify ApoE ε4 alleles may vary in accurary Und design.
Röntgenbefunde
Die mit ADUHELM verbundene radiologische Schwere der Arie wurde durch die in Tabelle 4 gezeigten Kriterien klassifiziert.
Tabelle 4: ARIA MRT -Klassifizierungskriterien
| ARIA -Typ | Radiologische Schwere | ||
| Leicht | Mäßig | Schwer | |
| Air-e | Flair -Hyperintensität, die an Sulcus und/oder Kortex/subkortikaler weißer Substanz an einem Ort beschränkt sind <5 cm | Flair Hyperintensity 5 bis 10 cm oder mehr als 1 Ort der Beteiligung pro Messung <10 cm | Flair -Hyperintensität Messung von> 10 cm häufig mit signifikanter subkortikaler weißer Substanz und/oder sulkaler Beteiligung. Ein oder mehrere getrennte Beteiligungsstellen können Benoteteile benachrichtigen. |
| ARIA-H microhemorrhage | ≤ 4 neue vorfallende Mikrohemorrhages | 5 bis 9 neue Vorfälle Mikrohemorrhages | 10 oder mehr neue Vorfälle Mikrohemorrhages |
| ARIA-H superficial siderosis | 1 Schwerpunkt der oberflächlichen Siderose | 2 fokale Bereiche der oberflächlichen Siderose | > 2 fokale Bereiche der oberflächlichen Siderose |
Die Mehrheit der ARIA-E-Röntgenereignisse trat früh in der Behandlung auf (innerhalb der ersten 8 Dosen), obwohl ARIA jederzeit auftreten kann und Patienten mehr als 1 Episode haben können. Der maximale radiologische Schweregrad von ARIA-E bei Patienten, die mit Aduhelm behandelt wurden, war bei 10% (115/1105) der Patienten mäßig bei 20% (223/1105) von Patienten und bei 4% (49/1105) der Patienten mittelschwer. Bei 68% der ARIA-E-Patienten trat die MRT-Auflösung um 12 Wochen 91% um 20 Wochen und insgesamt 98% nach der Erkennung auf. Der maximale radiologische Schweregrad der ARIA-H-Mikrohämorrhage bei Patienten, die mit ADUHELM behandelt wurden, war bei 14% (154/1105) von Patienten mäßig bei 3% (29/1105) von Patienten und schwerwiegend bei 3% (29/1105) Patienten. Der maximale radiologische Schweregrad der mit Aduhelm behandelten Patienten der ARIA-H-oberflächlichen Siderose war bei 7% (79/1105) der Patienten mit mittelschwerer Patienten bei 4% (47/1105) der Patienten und schwerer bei 3% (36/1105) der Patienten mittelschwer. Bei Patienten, die mit aduhelm behandelt wurden, war die Inzidenz von schweren radiologischen ARIA-E in ApoE ε4 Homozygoten 11% (20/182) im Vergleich zu heterozygoten 4% (21/564) oder Nichtträgern 2% (8/357). Bei Patienten, die mit aduhelm behandelt wurden, war die Inzidenz von schwerem Röntgen-ARIA-H (Mikrohemorrhage oder oberflächliche Siderose) in ApoE ε4 Homozygoten 20% (36/182) im Vergleich zu Heterochygoten 4% (21/564) oder Nicht-Carriers 2% (6/357).
Intrazerebrale Blutung
In der Studie 1 und 2 wurde bei 0,5% (6/1105) der Patienten in den Studien 1 und 2 nach der Behandlung mit ADUHelm im Vergleich zu 0,4% (4/1087) von Patienten vor Placebo eine intrazerebrale Blutung von mehr als 1 cm Durchmesser berichtet. Es wurden tödliche Ereignisse der intrazerebralen Blutung bei Patienten, die Aduhelm einnehmen, beobachtet.
Begleitende antithrombotische Medikamente
Die Patienten wurden von der Einschreibung in die Studien 1 und 2 ausgeschlossen, um andere Antikoagulans -Medikamente als 325 mg oder weniger täglich Aspirin zu verwenden. Obwohl Patienten in täglichen Dosen von 325 mg oder weniger Patienten Aspirin erhalten durften, erhielten einige Patienten aufgrund von medizinischen Ereignissen, die nach der Einschreibung auftraten und die erforderliche Behandlung in Dosen von mehr als 325 mg anderen Treffpunkten erhielt ARIA-H oder intrazerebrale Blutung im Vergleich zu Patienten, die Placebo und ein antithrombotisches Medikament erhielten. Die Mehrheit der Expositionen gegenüber Antithrombotikern war zu Aspirin; Nur wenige Patienten wurden anderen Treffpunkten oder Antikoagulanzien ausgesetzt, die sinnvolle Schlussfolgerungen über das Risiko einer Arie oder intrazerebraler Blutung bei Patienten einnahmen, die andere TetAbilet -Medikamente oder Antikoagulanzien einnehmen.
Da bei Patienten, die eine Aduhelm einnehmen, intrazerebralen Blutungen mehr als 1 cm Durchmesser beobachtet wurden, sollte bei der Berücksichtigung der Verabreichung von Antikoagulanzien oder einem thrombolytischen Mittel (z. B. Gewebeplasminogenaktivator) an einen bereits mit Aduhelmedise behandelten Patienten ausgeübt werden.
Andere Risikofaktoren für intrazerebrale Blutungen
Die Patienten wurden von der Einschreibung in die Studien 1 und 2 ausgeschlossen, um Befunde zur Neuroimaging zu finden, die ein erhöhtes Risiko für eine intrazerebrale Blutung zeigten. Dazu gehörten Befunde, die auf eine zerebrale Amyloid -Angiopathie deuten (frühere intrazerebrale Blutung von mehr als 1 cm Durchmesser mehr als 4 Mikrohämorrhagen, die oberflächliche Siderose und die Vorgeschichte diffuser Krankheit der weißen Substanz). Vasogenes Ödem könnte auch auf eine zerebrale Amyloid -Angiopathie hinweisen. Diese und andere Läsionen (Aneurysmengefäßfehlbildung) könnten möglicherweise das Risiko einer intrazerebralen Blutung erhöhen.
Das Vorhandensein eines ApoE ε4 -Allels ist auch mit einer zerebralen Amyloid -Angiopathie verbunden, die ein erhöhtes Risiko für intrazerebrale Blutungen aufweist.
Bei der Betrachtung der Verwendung von Aduhelm bei Patienten mit Faktoren, die auf ein erhöhtes Risiko für eine intrazerebrale Blutung hinweisen, sollte bei der Betrachtung von ADUHELM und insbesondere bei Patienten, bei denen eine Antikoagulans -Therapie eingesetzt werden, aufgenommen werden.
Hilft Lysin bei Herpes?
Überwachungs- und Dosismanagementrichtlinien
Empfehlungen für die Dosierung bei Patienten mit ARIA-E hängen von klinischen Symptomen und radiologischen Schweregrad ab [siehe Dosierung und Verwaltung ]. Recommendations for dosing in patients with ARIA-H depend on the type of ARIA-H Und radiographic severity [see Dosierung und Verwaltung ]. Use clinical judgment in considering whether to continue dosing in patients with recurrent Air-e.
Es werden empfohlen Dosierung und Verwaltung ]. Enhanced clinical vigilance for ARIA is recommended during the first 8 doses of treatment with Aduhelm particularly during titration. If a patient experiences symptoms suggestive of ARIA clinical evaluation should be performed including MRI if indicated. If ARIA is observed on MRI careful clinical evaluation should be performed prior to continuing treatment.
Es gibt nur begrenzte Erfahrung bei Patienten, die durch symptomatische ARIA-E oder durch asymptomatisch mittelschwere oder schwere ARIA-E dosierten. Es gibt nur begrenzte Daten bei Dosierung von Patienten, bei denen ein rezidivierendes Aria-e auftrat.
Das Alzheimer-Netzwerk für Behandlung und Diagnostik (ALZ-NET) ist ein freiwilliges Anbieter von Patienten, das Informationen über Behandlungen für die Alzheimer-Krankheit einschließlich Aduhelm sammelt. Anbieter können Informationen über die Registrierung unter www.alz-net.org oder Kontakt erhalten [E-Mail .
Überempfindlichkeitsreaktionen
Angioödeme und Urtikaria wurden bei einem Patienten in der placebokontrollierten Periode der Studien 1 und 2 berichtet und traten während der Aduhelm-Infusion auf. Die Infusion bei der ersten Beobachtung von Anzeichen oder Symptomen, die mit einer Überempfindlichkeitsreaktion übereinstimmen, umgehend beobachten und eine geeignete Therapie initiieren.
Patientenberatungsinformationen
Beraten Sie den Patienten und/oder die Pflegekraft, die von der von der FDA zugelassene Patientenkennzeichnung zu lesen ( Medikamentenhandbuch ).
Amyloid verwandte Bildgebungsstörungen
Informieren Sie die Patienten, dass Aduhelm amyloidbezogene Bildgebungsanomalien oder Arien verursachen kann. Aria ist am häufigsten als vorübergehende Schwellung in Bereichen des Gehirns, die sich normalerweise im Laufe der Zeit auflösen. Einige Menschen haben möglicherweise auch kleine Blutungen in oder auf der Oberfläche des Gehirns. Informieren Sie Patienten, dass die meisten Menschen mit Schwellungen in Bereichen des Gehirns keine Symptome haben. Einige Menschen können jedoch Symptome wie Kopfschmerzverwirrung auftreten. Weisen Sie die Patienten an, ihren Gesundheitsdienstleister zu benachrichtigen, wenn diese Symptome auftreten. Die Patienten darüber informieren, dass Ereignisse einer intrazerebralen Blutung über 1 cm Durchmesser von mehr als 1 cm selten bei Patienten berichtet wurden, die Aduhelm einnehmen, und dass die Verwendung von Antikoagulanzien oder thrombolytischen Medikamenten während der Einnahme von Aduhelm das Risiko einer Blutung im Gehirn erhöhen kann. Benachrichtigen Sie die Patienten, dass ihr Gesundheitsdienstleister MRT -Scans für die ARIA -Überwachung durchführen wird [siehe Warnungen und Vorsichtsmaßnahmen ].
Informieren Sie die Patienten, dass bei Patienten, die mit Aduhelm behandelt wurden, bei Patienten mit ap4 -Homozygoten ein erhöhtes Risiko besteht, und dass vor Beginn der Behandlung das Risiko der Entwicklung von ARIAs durchgeführt werden sollte. Vor dem Test diskutieren mit Patienten das Risiko einer Arie über Genotypen hinweg und die Auswirkungen von Gentest -Ergebnissen. Informieren Sie die Patienten, dass wenn Tests nicht durchgeführt werden können, kann nicht bestimmt werden, wenn sie ApoE ε4 -Homozygoten und ein höheres Risiko für ARIA sind.
Patientenregister
Beraten Sie den Patienten, dass das Alzheimer-Netzwerk zur Behandlung und Diagnostik (ALZ-NET) ein freiwilliges Anbieter-gestalteter Patientenregister ist, das Informationen über Behandlungen für die Alzheimer-Krankheit einschließlich Aduhelm sammelt. Ermutigen Sie die Patienten, am ALZ-Net-Register teilzunehmen [siehe Warnungen und Vorsichtsmaßnahmen ].
Überempfindlichkeitsreaktionen
Informieren Sie die Patienten, dass Aduhelm Überempfindlichkeitsreaktionen wie Angioödem und Urtikaria verursachen und ihren Gesundheitsdienstleister in Verbindung setzen können, wenn Überempfindlichkeitsreaktionen auftreten [siehe Warnungen und Vorsichtsmaßnahmen ].
Nichtklinische Toxikologie
Karzinogenese -Mutagenese -Beeinträchtigung der Fruchtbarkeit
Karzinogenese
Karzinogenitätsstudien wurden nicht durchgeführt.
Mutagenese
Genotoxizitätsstudien wurden nicht durchgeführt.
Beeinträchtigung der Fruchtbarkeit
Die intravenöse Verabreichung von Aducanumab-Avwa (0 100 300 oder 1000 mg/kg/Woche) an männliche und weibliche Ratten vor und während der Paarung und die Fortsetzung von Frauen am Schwangerschaftstag 7 führte zu keinen nachteiligen Auswirkungen auf die Fruchtbarkeit oder Fortpflanzungsleistung.
Die Relevanz dieser Daten für den Menschen ist begrenzt, da aggregierte Amyloid-Beta das pharmakologische Ziel von Aducanumab-Avwa bei Ratte nicht vorhanden ist.
Verwendung in bestimmten Populationen
Schwangerschaft
Risikozusammenfassung
Es gibt keine angemessenen Daten zum Einsatz von Aduhelm bei schwangeren Frauen, um ein drogenabhängiges Risiko für schwerwiegende Geburtsfehler oder andere nachteilige Ergebnisse der mütterlichen oder fetalen Ergebnisse zu bewerten.
In der US -allgemeinen Bevölkerung beträgt das geschätzte Hintergrundrisiko für größere Geburtsfehler und eine Fehlgeburt bei klinisch anerkannten Schwangerschaften 2 bis 4% bzw. 15 bis 20%. Das Hintergrundrisiko von schweren Geburtsfehlern und Fehlgeburten für die angegebene Bevölkerung ist unbekannt.
Daten
Tierdaten
Die intravenöse Verabreichung von Aducanumab-Avwa (0 100 300 oder 1000 mg/kg/Woche) an weibliche Ratten durch Organogenese hatte keinen nachteiligen Einfluss auf die Embryofetalentwicklung.
Die intravenöse Verabreichung von Aducanumab-Avwa (0 100 300 oder 1000 mg/kg/Woche) an weibliche Ratten während der Schwangerschaft und der Laktation hatte keine nachteiligen Auswirkungen auf die Entwicklung vor oder postnatal.
Die Relevanz dieser Daten für den Menschen ist begrenzt, da aggregierte Amyloid-Beta das pharmakologische Ziel von Aducanumab-Avwa bei Ratte nicht vorhanden ist.
Stillzeit
Risikozusammenfassung
Es gibt keine Daten über das Vorhandensein von Aducanumab-Avwa in der Muttermilch die Auswirkungen auf das gestillte Kind oder die Auswirkungen des Arzneimittels auf die Milchproduktion. Veröffentlichte Daten von anderen monoklonalen Antikörpern weisen im Allgemeinen auf eine geringe Durchführung monoklonaler Antikörper in die Muttermilch und eine begrenzte systemische Exposition im gestillten Kind hin. Die Auswirkungen dieser begrenzten Exposition sind unbekannt. Die Entwicklungs- und gesundheitlichen Vorteile des Stillens sollten zusammen mit dem klinischen Bedarf der Mutter nach Aduhelm und potenziellen nachteiligen Auswirkungen des gestillten Kindes aus Aduhelm oder aus dem zugrunde liegenden mütterlichen Zustand berücksichtigt werden.
Pädiatrische Verwendung
Sicherheit und Wirksamkeit von Aduhelm bei pädiatrischen Patienten wurde nicht festgestellt.
Geriatrische Verwendung
In den Studien 1 und 2 lag das Alter der Patienten zwischen 50 und 85 Jahren mit einem Durchschnittsalter von 70 Jahren; 79% waren 65 und älter und 32% waren 75 und älter. Es gab keine bemerkenswerten Unterschiede in der Inzidenz von Nebenwirkungen zwischen diesen Altersgruppen und keine zusätzlichen Sicherheitsbedenken bei Patienten im Alter von 65 Jahren im Vergleich zu jüngeren Patienten.
Überdosierungsinformationen für Aduhelm
Keine Informationen zur Verfügung gestellt
Kontraindikationen für aduhelm
Keiner.
Klinische Pharmakologie for Aduhelm
Wirkungsmechanismus
Aducanumab-avwa ist ein menschlicher monoklonaler Antikörper-Antikörper, der gegen aggregierte lösliche und unlösliche Formen von Amyloid beta gerichtet ist, ein monoklonaler Antikörper des menschlichen Immunglobulin Gamma 1 (IgG1). Die Akkumulation von Amyloid -Beta -Plaques im Gehirn ist ein definierendes pathophysiologisches Merkmal der Alzheimer -Krankheit.
Aduhelm reduces amyloid beta plaques as evaluated in Studies 1 2 Und 3 [see Klinische Studien ].
Pharmakodynamik
Wirkung von aduhelm auf die Amyloid -Beta -Pathologie
Aduhelm reduced amyloid beta plaque in a dose- Und time-dependent manner in Studie 1 Studie 2 Und Studie 3 compared with placebo [see Dosierung und Verwaltung Und Klinische Studien ].
Die Wirkung von aduhelm auf Amyloid -Beta -Plaque -Spiegel im Gehirn wurde unter Verwendung der PET -Bildgebung (PET -Bildgebung ( 18 F-Florbetapir-Tracer). Das PET -Signal wurde unter Verwendung der SUVR -Methode (Standard -Aufnahmewertverhältnis) quantifiziert, um die Gehirnspiegel von Amyloid -Beta -Plaque in Verbundwerkstoffen von Gehirnbereichen abzuschätzen, die von Alzheimer -Krankheitspathologie (frontaler parietaler lateraler lateraler lateraler zeitlicher Sensomotor -Sensomotor- und anteriorer und posteriorer Cingulation) im Vergleich zu einer der Hirnregion, von der erwartet wurde, dass ein Hirnregion, weit von der von der Hirnregion betroffen ist, weit verbreitet ist. Der SUVR wurde auch auf der Zentiloidskala ausgedrückt.
In den Substudien von Studie 1 und Studie 2 reduzierte Aduhelm die Amyloid -Beta -Plaque -Spiegel im Gehirn und produzieren Reduktionen bei aduhelm niedrigen Dosis und hohen Dosisspiegeln sowie in beiden Wochen 26 und 78 (P. <0.0001) compared to placebo. The magnitude of reduction was time- Und dose-dependent. In the long-term extension of Studie 1 Und Studie 2 a continued decrease in brain amyloid beta plaque levels was observed at Week 132 in patients initially rUndomized to Aduhelm.
In Studie 3 reduzierte Aduhelm die Amyloid-Beta-Plaque-Spiegel im Gehirn und produzierte statistisch signifikante Dosis- und zeitabhängige Reduktionen im Vergleich zu Placebo in den 3 mg/kg 6 mg/kg und 10 mg/kg Aduhelm-Behandlungsgruppen in Woche 26 und in Woche 26 und in Woche 54. In den Studien wurde in den Studienhilque-Doda-ADUHELM-DOID-ADUHELM. Die Werte im Gehirn nahmen in der langfristigen Verlängerungszeit bis in Woche 222 weiterhin zeit- und dosierte Weise ab.
Wirkung von aduhelm auf die Tau -Pathophysiologie
Aduhelm reduced markers of tau pathophysiology (CSF p-Tau 181 plasma p-Tau 181 Und Tau PET) Und neurodegeneration (CSF t-Tau) in Studie 1 Und Studie 2 [see Klinische Studien ].
Aduhelm reduced CSF levels of p-Tau 181 in substudies conducted in Studie 1 Und Studie 2. The adjusted mean change from baseline in CSF p-Tau 181 levels relative to placebo was in favor of the Aduhelm low (p <0.01) Und high (p <0.001) dose groups at Week 78 in Studie 1. Results in Studie 2 numerically favored Aduhelm but were not statistically significant.
In Studie 1 und Studie 2 reduzierte Aduhelm Plasma p-tau 181-Werte, die mit Placebo vergleichbar waren. In der Langzeitverlängerung von Studie 1 und Studie 2 wurde bei den Patienten, die ursprünglich auf Aduhelm randomisiert wurden, eine fortgesetzte Abnahme der Plasma-P-Tau-181-Spiegel in der hohen Dosis bis Woche 128 beobachtet.
Aduhelm reduced CSF levels of t-Tau in substudies conducted in Studie 1 Und Studie 2. The adjusted mean change from baseline in CSF t-Tau levels relative to placebo was in favor of the Aduhelm low (p <0.05) Und high (p <0.01) dose groups at Week 78 in Studie 1. Results in Studie 2 numerically favored Aduhelm but were not statistically significant.
Substudien wurden sowohl in Studie 1 als auch in Studie 2 durchgeführt, um die Wirkung von Aduhelm auf neurofibrilläre Verwicklungen zu bewerten, die aus Tau -Protein unter Verwendung von PET -Bildgebung (PET -Bildgebung ( 18 F-MK6240 Tracer). Das PET -Signal wurde unter Verwendung der SUVR -Methode quantifiziert, um die Hirnspiegel von Tau in Gehirnregionen abzuschätzen, die von der Alzheimer -Krankheitspathologie (medialer temporaler temporaler frontaler Cingulat) in der Studienpopulation im Vergleich zu einer Gehirnregion, die von einer solchen Pathologie erwartet wird, beeinflusst wird (Kleinhirn). Daten aus den Substudien wurden zusammengefasst, die 37 Patienten mit Längsschnittuntersuchungen umfassten. Die angepasste mittlere Änderung gegenüber dem Ausgangswert in Tau Pet SUVR im Vergleich zum Placebo bei der Nachuntersuchung war für die Hochdosi <0.001) temporal (p <0.05) Und frontal (p <0.05) brain regions. No statistically significant differences were observed for the cingulate parietal or occipital cortices.
Expositionsbesprechungsbeziehungen
Modellbasierte Expositionsreaktionsanalysen für Studien 1 und 2 zeigten, dass höhere Expositionen gegenüber ADUHELM mit einer höheren Verringerung des klinischen Rückgangs des CDR-SB ADASCOG13 und des ADCS-ADL-MCI verbunden waren. Zusätzlich waren höhere Expositionen gegenüber ADUHELM in den Studien 1 und 2 mit einer stärkeren Verringerung der Amyloid-Beta-Plaque verbunden. Eine Assoziation zwischen einer Verringerung der Amyloid-Beta-Plaque und dem klinischen Rückgang des CDR-SB wurde ebenfalls beobachtet.
Höhere Expositionen gegenüber Aduhelm waren mit einer höheren Verringerung des Plasma p-tau 181 verbunden.
Es wurde eine Assoziation zwischen einer Verringerung des Plasma-P-TAU 181 und einer Verringerung des Amyloid-PET-SUVR beobachtet. Es wurde ebenfalls auch beobachtet, dass ein Zusammenhang zwischen der Verringerung des Plasma-P-TAU 181 und dem verringerten klinischen Rückgang des CDR-SB ADAS-COG 13 und des ADCS-ADL-MCI reduziert wurde.
Pharmakokinetik
Die Pharmakokinetik (PK) von Aduhelm wurde unter Verwendung einer Populations -PK -Analyse mit Konzentrationsdaten charakterisiert, die von 2961 Probanden mit Alzheimer -Krankheit gesammelt wurden, die Aduhelm in einzelnen oder mehreren Dosen erhielten.
Die stationären Konzentrationen von Aduhelm wurden durch 16 Wochen wiederholte Dosierung mit einem alle 4-wöchigen Regime erreicht, und die systemische Akkumulation betrug 1,7-fach. Die Peakkonzentration (CMAX) Trogkonzentration (Cmin) und Fläche unter der Plasmakonzentration gegenüber der Zeitkurve im stationären Zustand (AUCSS) von aduhelm erhöhte die Dosis alle 4 Wochen proportional im Dosisbereich von 1 bis 10 mg/kg.
Verteilung
Der Mittelwert (95% CI) für das Verteilungsvolumen im stationären Zustand beträgt 9,63 l (NULL,48 9,79).
Beseitigung
Aduhelm is expected to be degraded into small peptides Und amino acids via catabolic pathways in the same manner as endogenous IgG. Aduhelm clearance (95% CI) is 0.0159 (0.0156 0.0161) L/hr. The terminal half-life is 24.8 (14.8 37.9) days.
Spezifische Populationen
Das Körpergewicht des Körpergewichts und Rasse wirkt sich auf die Exposition gegenüber Aduhelm aus. Keiner dieser Kovariaten war jedoch klinisch signifikant.
Patienten mit Nieren- oder Leberbeeinträchtigung
Es wurden keine Studien durchgeführt, um die Pharmakokinetik von Aduhelm bei Patienten mit Nieren- oder Leberfunktionsstörung zu bewerten. Es wird nicht erwartet, dass Aduhelm durch hepatische Enzyme Niereneliminierung oder Stoffwechsel durchläuft.
Immunogenität
Die beobachtete Inzidenz von Anti-Drogen-Antikörpern hängt stark von der Empfindlichkeit und Spezifität des Assays ab. Unterschiede in den Assay-Methoden schließen aussagekräftige Vergleiche der Inzidenz von Anti-Drogen-Antikörpern in anderen Studien aus, einschließlich der von Aducanumab-AVWA oder anderer Aducanumab-Produkte.
Die Immunogenität von aduhelm wurde unter Verwendung eines bewertet in vitro Assay zum Nachweis von Anti-Aducanumab-Avwa-Antikörpern.
In bis zu 41 Monaten der Behandlung in den kombinierten placebokontrollierten und langfristigen Verlängerungsperioden der Studien 1 und 2 bis zu 0,6% (15/2689) von Patienten, die einst monatlich mit Antiucanumab-AVWA-Antikörpern aduhelm wurden.
Basierend auf der begrenzten Anzahl von Patienten, die positiv auf Anti-Aducanumab-AVWA-Antikörper getestet wurden, wurden keine Beobachtungen in Bezug auf eine mögliche Wirkung der neutralisierenden Aktivität von Anti-Aducanumab-AVWA-Antikörpern auf die Exposition oder Wirksamkeit gemacht. Die verfügbaren Daten sind jedoch zu begrenzt, um endgültige Schlussfolgerungen hinsichtlich einer Auswirkung auf die Sicherheit der Pharmakokinetik oder die Wirksamkeit von Aduhelm zu ziehen. Die Quantifizierung neutralisierender Anti-Aducanumab-Avwa-Antikörper wurde nicht bewertet.
Klinische Studien
Die Wirksamkeit von aduhelm wurde in zwei doppelblind randomisierten, placebokontrollierten Parallelgruppenstudien (Studie 1 NCT 02484547 und Studie 2 NCT 02477800) untersucht 80% Patienten im Stadium 3 und 20% 4 Patienten im Stadium 4). The effects of ADUHELM were also supported by a double-blind randomized placebo-controlled doseranging study (Study 3 NCT 01677572) in patients with Alzheimer’s disease (patients with confirmed presence of amyloid pathology and prodromal or mild dementia stage of disease consistent with Stage 3 and Stage 4 Alzheimer’s disease with an enrolled distribution of 43% Stage 3 patients and 57% Stage 4 Patienten) gefolgt von einer optionalen dosisblinden Langzeitverlängerungszeit.
In den Studien 1 und 2 wurden die Patienten randomisiert, um eine niedrige Dosis (3 oder 6 mg/kg für ApoE ε4-Träger bzw. Nichtträger) zu erhalten, alle 4 Wochen für 18 Monate, gefolgt von einer optionalen Dosis-Blind-Langzeitverlängerungsperiode.
Nebenwirkungen des Blutdruckmedikaments Lisinopril
Beide Studien umfassten eine anfängliche Titrationsperiode von bis zu 6 Monaten bis zur maximalen Zieldosis. Zu Beginn der Studie wurden APOE ε4 -Träger in der Hochdosisgruppe, die später auf 10 mg/kg eingestellt wurde, zunächst auf maximal 6 mg/kg titriert.
In den Studien 1 und 2 wurden die Patienten mit einem globalen Score von 0,5 eine wiederholbare Batterie zur Bewertung des neuropsychologischen Status (RBAN) mit einem globalen Wert von 0,5 eingeschaltet, der den Speicher-Index-Score ≤ 85 und einen MMSE-Score (Mini-Mental State Examination) von 24-30 verzögert hat. In Studie 3 wurden die Patienten mit einem globalen CDR-Score von 0,5 oder 1,0 und einem MMSE-Score von 20 bis 30 angemeldet. Die Patienten wurden mit oder ohne gleichzeitig zugelassene Therapien (Cholinesterase-Inhibitoren und die N-Methyl-D-Aspartat-Antagonisten-Memantiner) für Alzheimer-Krankheit eingeschlossen.
Die Studien 1 und 2 wurden vor ihrem geplanten Abschluss beendet. Die Studienendpunkte wurden anhand des vorgegebenen statistischen Analyseplans analysiert.
Studie 1
In Studie 1 1638 wurden die Patienten randomisiert 1: 1: 1, um eine hohe Dosis oder Placebo mit niedriger Dosis mit niedriger Dosis zu erhalten. Zu Studienbeginn betrug das Durchschnittsalter der Patienten 71 Jahre mit einer Reichweite von 50 bis 85 Jahren.
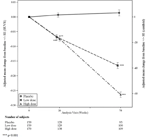
Eine Untergruppe von 488 Patienten wurde in die Amyloid -PET -Substudie aufgenommen; Von diesen wurden in Woche 78 bewertet. Die Ergebnisse der Amyloid -Beta -PET -Substudie sind in Abbildung 1 und Tabelle 6 beschrieben. CSF- und Plasma -Biomarker sind in Tabelle 6 beschrieben.
Abbildung 1: Verringerung der Amyloid -Beta -Plaque des Gehirns (Veränderung von Ausgangswert in Amyloid Beta PET -Verbund -SUVR und Zentiloiden) in Studie 1
|
| *** P <0.001 |
Tabelle 6: Biomarker -Ergebnisse von aduhelm in Studie 1
| Biomarker -Endpunkt in Woche 78 1 | Aduhelm Hohe Dosis | Placebo |
| Amyloid Beta -PET -Verbund -SUVR | N = 170 | N = 159 |
| Mean baseline | 1.383 | 1.375 |
| Change from baseline Difference from placebo | -0.264 -0.278 p <0.0001 | 0.014 |
| Amyloid -Beta -Haustierzentiloid | N = 170 | N = 159 |
| Mean baseline | 85.3 | 83.5 |
| Change from baseline (%) Difference from placebo | -60,8 (-71%) -64.2 p <0.0001 | 3.4 |
| CSF P-Number 181 (pg / ml) | N = 17 | N = 28 |
| Mean baseline | 100.11 | 72.55 |
| Change from baseline Difference from placebo | -22.93 -22,44 p = 0,0005 | -0.49 |
| Plasma p-tau 181 (pg/ml) 2 | N = 294 | N = 294 |
| Mean baseline | 3.342 | 3.181 |
| Change from baseline Difference from placebo | -0.424 -0.669 p <0.0001 | 0.245 |
| CSF T-Number (Pg / ml) | N = 17 | N = 28 |
| Mean baseline | 686.65 | 484.00 |
| Change from baseline Difference from placebo | -112.44 -112.05 p = 0,0088 | -0.39 |
| 1 P-Werte wurden für mehrere Vergleiche nicht statistisch kontrolliert. 2 Die Analyseergebnisse zu Plasma p-tau 181 sollten aufgrund von Unsicherheiten im Zusammenhang mit der Stabilität gespeicherter Proben mit Vorsicht interpretiert werden. |
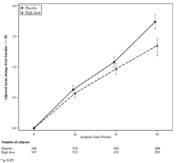
Der primäre Wirksamkeitsendpunkt war die Änderung gegenüber dem Ausgangswert auf dem CDR-Sum von Kästchen (CDRSB) in Woche 78. In Studie 1 wurde mit einer hohen Dosis von aduhelm einen verringerten klinischen Rückgang nachgewiesen, wie durch einen statistisch signifikanten Behandlungseffekt auf die Veränderung aus dem Ausgangswert in CDR-SB in Bezug auf Placebo (-0,39) (-0,39) (-22%] -Gegf. Aduhelm über alle vorgegebenen Teilgruppen von Interesse.
Abbildung 2: Liniendiagramm des primären Wirksamkeitsendpunkt
|
| * P <0.05 |
Die sekundären Wirksamkeitsendpunkte umfassten die Änderung gegenüber dem Ausgangswert im MMSE-Score in Woche 78. Statistisch signifikante Unterschiede zum Placebo wurden in der aduhelm hohen Dosisgruppe zu allen bewerteten sekundären Wirksamkeitsendpunkten beobachtet. Die Schätzung des Behandlungseffekts begünstigte Aduhelm in den meisten vorgegebenen Subgruppen, die für die sekundären Wirksamkeitsendpunkte interessiert sind. Der neuropsychiatrische Inventar-10-Artikel (NPI-10) war der einzige tertiäre Endpunkt, der die Wirksamkeit bewertete. Die Ergebnisse der Hochdosisgruppe im Vergleich zu Placebo sind in Tabelle 7 dargestellt.
Unterschiede zu Placebo wurden in der aduhelm niedrigen Dosisgruppe beobachtet, die aduhelm numerisch bevorzugt, waren jedoch statistisch nicht signifikant.
Tabelle 7: Klinische Ergebnisse von aduhelm in Studie 1
| Klinischer Endpunkt in Woche 78 | Aduhelm Hohe Dosis (N = 547) | Placebo (N = 548) |
| CDR-sb | ||
| Mean baseline | 2.51 | 2.47 |
| Change from baseline Difference from placebo (%) | 1.35 -0,39 (-22%) p = 0,0120 | 1.74 |
| MMSE | ||
| Mean baseline | 26.3 | 26.4 |
| Change from baseline Difference from placebo (%) | -2.7 0,6 (-18%) p = 0,0493 | -3.3 |
| Adas-Cog 13 | ||
| Mean baseline | 22.246 | 21.867 |
| Change from baseline Difference from placebo (%) | 3.763 -1.400 (-27%) p = 0,0097 | 5.162 |
| ADCS-ADL-MCI | ||
| Mean baseline | 42.5 | 42.6 |
| Change from baseline Difference from placebo (%) | -2.5 1,7 (-40%) p = 0,0006 | -4.3 |
| NPI-10 1 | ||
| Mean baseline | 4.5 | 4.3 |
| Change from baseline Difference from placebo (%) | 0.2 -1,3 (-87%) p = 0,0215 | 1.5 |
| 1 Der p-Wert wurde für mehrere Vergleiche statistisch nicht kontrolliert. |
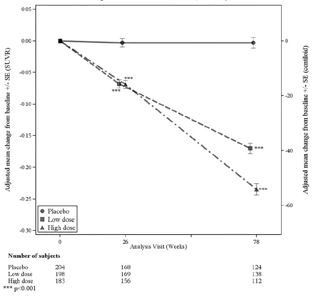
Studie 2
In Studie 2 1647 wurden die Patienten randomisiert 1: 1: 1, um eine hohe Dosis oder Placebo mit niedriger Dosis mit niedriger Dosis zu erhalten. Zu Studienbeginn betrug das Durchschnittsalter der Patienten 71 Jahre mit einer Reichweite von 50 bis 85 Jahren.
Eine Untergruppe von 585 Patienten wurde in die Amyloid -PET -Untergruppe eingeschlossen; Von diesen wurden 374 in Woche 78 bewertet. Die Ergebnisse der Amyloid -Beta -PET -Substudie sind in Abbildung 3 und Tabelle 8 beschrieben. CSF- und Plasmakiomarker sind in Tabelle 8 beschrieben.
Abbildung 3: Verringerung der Amyloid -Beta -Plaque des Gehirns (Veränderung von Ausgangswert in Amyloid Beta PET -Verbund -SUVR und Zentiloiden) in Studie 2
|
| *** P <0.001 |
Tabelle 8: Biomarker -Ergebnisse von aduhelm in Studie 2
| Biomarker -Endpunkt in Woche 78 1 | Aduhelm Hohe Dosis | Placebo |
| Amyloid Beta -PET -Verbund -SUVR | N = 183 | N = 204 |
| Mean baseline | 1.407 | 1.376 |
| Change from baseline Difference from placebo | -0.235 -0.232 p <0.0001 | -0.003 |
| Amyloid -Beta -Haustierzentiloid | N = 183 | N = 204 |
| Mean baseline | 90.8 | 83.8 |
| Change from baseline (%) Difference from placebo | -54.0 (-59%) -53,5 p <0.0001 | -0.5 |
| CSF P-Number 181 (pg / ml) | N = 18 | N = 15 |
| Mean baseline | 121.81 | 94.53 |
| Change from baseline Difference from placebo | -13.19 -10,95 p = 0,3019 | -2.24 |
| Plasma p-tau 181 (pg/ml) 2 | N = 285 | N = 334 |
| Mean baseline | 3.131 | 3.180 |
| Change from baseline Difference from placebo | -0.484 -.0769 p <0.0001 | 0.286 |
| CSF T-Number (Pg / ml) | N = 16 | N = 14 |
| Mean baseline | 618.50 | 592.57 |
| Change from baseline Difference from placebo | -102.51 -69,25 p = 0,3098 | -33.26 |
| 1 P-Werte wurden für mehrere Vergleiche nicht statistisch kontrolliert. 2 Die Analyseergebnisse zu Plasma p-tau 181 sollten aufgrund von Unsicherheiten im Zusammenhang mit der Stabilität gespeicherter Proben mit Vorsicht interpretiert werden. |
Es wurden keine statistisch signifikanten Unterschiede zwischen den mit Aduhelm behandelten und placebo behandelten Patienten über den primären Wirksamkeitsendpunkt der Änderung gegenüber dem Ausgangswert des CDR-SB-Scores nach 78 Wochen beobachtet.
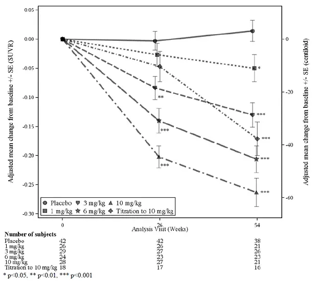
Studie 3
In Studie 3 197 wurden Patienten randomisiert, um eine feste Dosis von aduhelm 1 mg/kg (n = 31) 3 mg/kg (n = 32) 6 mg/kg (n = 30) 10 mg/kg (n = 32) Titration von Aduhelm bis 10 mg/kg über 44 Wochen (n = 23) (n = 23) (n = 23) (n = 48) für 12 Monate. Zu Studienbeginn betrug das Durchschnittsalter der Patienten 73 Jahre mit einer Reichweite von 51 bis 91 Jahren.
Die Ergebnisse der Amyloid -Beta -PET -Substudie sind in 4 und Tabelle 9 beschrieben.
Abbildung 4: Verringerung der Amyloid -Beta -Plaque des Gehirns (Veränderung von Ausgangswert in Amyloid Beta PET -Verbund -SUVR und Zentiloiden) in Studie 3
|
| * P <0.05 ** P <0.01 *** P <0.001 |
Tabelle 9: Biomarker -Ergebnisse von aduhelm in Studie 3
| Biomarker -Endpunkt in Woche 54 1 | Aduhelm 10 mg/kg | Placebo |
| Amyloid Beta -PET -Verbund -SUVR | N = 28 | N = 42 |
| Mean baseline | 1.432 | 1.441 |
| Change from baseline Difference from placebo | -0.263 -0.277 p <0.0001 | 0.014 |
| Amyloid -Beta -Haustierzentiloid | N = 28 | N = 42 |
| Mean baseline | 94.5 | 96.5 |
| Change from baseline (%) Difference from placebo | -58,0 (-61%) -61.1 p <0.0001 | 3.1 |
| 1 P-Werte wurden für mehrere Vergleiche nicht statistisch kontrolliert. |
Die klinischen Bewertungen in Studie 3 waren explorativ. Die Ergebnisse für klinische Bewertungen wurden mit den Ergebnissen von Studie 1 in der CDR-SB- und MMSE-Werte nach 1 Jahr in der Gruppe mit Fixierdosis von 10 mg/kg in der Fixierdosis-Gruppe von 10 mg/kg richtig ausgerichtet als bei Patienten vor Placebo (CDR-SB: -1,26 95% CI [-2,356-0,163];
Patienteninformationen für aduhelm
Aduhelm ®
(Ad-Mew-Helm)
(Aducanumab-Avwa) Injektion für den intravenösen Gebrauch
Was sind die wichtigsten Informationen, die ich über Aduhelm wissen sollte?
Aduhelm can cause serious side effects including:
- Amyloid verwandte Bildgebungsstörungen or ARIA. ARIA is a common side effect that does not usually cause any symptoms but can be serious. Es wird am häufigsten als vorübergehende Schwellung in Bereichen des Gehirns angesehen, die sich normalerweise im Laufe der Zeit auflösen. Einige Menschen können auch kleine Blutungen in oder auf der Oberfläche des Gehirns haben und es kann selten größere Blutungsbereiche im Gehirn auftreten. Die meisten Menschen mit dieser Art von Schwellung im Gehirn erhalten keine Symptome, aber einige Menschen können Symptome wie:
- Kopfschmerzen
- Brechreiz
- Verwirrung
- Schwierigkeiten beim Gehen
- Schwindel
- Sehveränderungen
- Anfälle
Einige Menschen haben einen genetischen Risikofaktor (homozygote Apolipoprotein -Gen -Gen -Träger), das ein erhöhtes Risiko für ARIA verursachen kann. Sprechen Sie mit Ihrem Gesundheitsdienstleister über Tests, um festzustellen, ob Sie diesen Risikofaktor haben.
Einige Medikamente können das Risiko für größere Blutungsbereiche im Gehirn erhöhen, wenn Patienten Aduhelm einnehmen. Sprechen Sie mit Ihrem Gesundheitsdienstleister, um festzustellen, ob Sie sich in Medikamenten befinden, die dieses Risiko erhöhen.
Ihr Gesundheitsdienstleister führt die Magnetresonanztomoting (MRT) vor und während Ihrer Behandlung mit Aduhelm durch, um Sie auf Aria zu überprüfen.
Rufen Sie Ihren Gesundheitsdienstleister an oder gehen Sie sofort in die nächstgelegene Notaufnahme des Krankenhauses, wenn Sie eines der oben aufgeführten Symptome aufweisen.
Was ist aduhelm?
Aduhelm is a prescription medicine used to treat people with Alzheimer’s disease.
Es ist nicht bekannt, ob Aduhelm bei Kindern sicher und wirksam ist.
Bevor Sie Aduhelm erhalten, teilen Sie Ihrem Gesundheitsdienstleister alle Ihre medizinischen Erkrankungen mit, einschließlich, wenn Sie:
- sind schwanger oder planen, schwanger zu werden. Es ist nicht bekannt, ob Aduhelm Ihrem ungeborenen Baby schädigen wird. Sagen Sie Ihrem Gesundheitsdienstleister, wenn Sie während Ihrer Behandlung mit aduhelm schwanger werden.
- stillen oder planen zu stillen. Es ist nicht bekannt, ob Aducanumab-Avwa (der Wirkstoff in Aduhelm) in Ihre Muttermilch übergeht. Sprechen Sie mit Ihrem Gesundheitsdienstleister darüber, wie Sie Ihr Baby am besten füttern können, während Sie ADUHELM erhalten.
Teilen Sie Ihrem Gesundheitsdienstleister über alle Medikamente, die Sie einnehmen einschließlich verschreibungspflichtiger und über-the-entdeckung Medikamente Vitamine und pflanzliche Nahrungsergänzungsmittel.
Sagen Sie Ihrem Gesundheitsdienstleister insbesondere mit, wenn Sie Medikamente einnehmen, um Blutgerinnsel aus der Bildung (Antithrombotikmedikamente einschließlich Aspirin) zu reduzieren. Fragen Sie Ihren Gesundheitsdienstleister nach einer Liste dieser Medikamente, wenn Sie sich nicht sicher sind.
Kennen Sie die Medikamente, die Sie einnehmen. Halten Sie eine Liste von ihnen, um Ihren Gesundheitsdienstleister und Ihre Apotheker zu zeigen, wenn Sie ein neues Medikament erhalten.
Wie erhalte ich Aduhelm?
- Aduhelm is given through a needle placed in your vein (intravenous (IV) infusion) in your arm.
- Aduhelm is given every 4 weeks. Each infusion will last about 1 hour.
Was sind die möglichen Nebenwirkungen von Aduhelm?
Aduhelm can cause serious side effects including:
- Siehe oben Was sind die wichtigsten Informationen, die ich über Aduhelm wissen sollte?
- Schwerwiegende allergische Reaktionen. Während einer Aduhelm -Infusion ist eine Schwellung des Gesichtslippens Mund oder Zunge und Nesselsucht stattgefunden. Teilen Sie Ihrem Gesundheitsdienstleister mit, ob Sie während oder nach der Aduhelm -Infusion eines der Symptome einer schwerwiegenden allergischen Reaktion haben.
Die häufigsten Nebenwirkungen von Aduhelm sind:
- Schwellung in Bereichen des Gehirns mit oder ohne kleine Blutungen in oder auf der Oberfläche des Gehirns (Aria)
- Kopfschmerzen
- fallen
Dies sind nicht alle möglichen Nebenwirkungen von Aduhelm. Weitere Informationen finden Sie in Ihrem Gesundheitsdienstleister oder Apotheker.
Rufen Sie Ihren Arzt an, um medizinische Beratung zu Nebenwirkungen zu erhalten. Sie können die FDA bei 1-800-FDA-1088 Nebenwirkungen melden.
Allgemeine Informationen über die sichere und effektive Verwendung von Aduhelm.
Nebenwirkungen des Arzneimittels Lyrica
Medikamente werden manchmal für andere Zwecke als die in diesem Medikamentenleitfaden aufgeführten Zwecke verschrieben. Sie können Ihren Apotheker oder Gesundheitsdienstleister um weitere Informationen zu Aduhelm bitten, die für Angehörige der Gesundheitsberufe geschrieben wurden.
Es gibt ein Register, das Informationen über Behandlungen für Alzheimer -Krankheit sammelt. Die Registrierung wird als Alz-NET (Alzheimer-Netzwerk für Behandlung und Diagnostik) ausgezeichnet. Ihr Gesundheitsdienstleister kann Ihnen dabei helfen, sich für dieses Register einzuschreiben.
Weitere Informationen finden Sie unter www.aduhelm.com oder unter 1-833-425-9360.
Was sind die Zutaten in Aduhelm?
Wirkstoff: bringanumab-avwa
Inaktive Zutaten: L-Argininhydrochlorid L-Histidin L-Histidinhydrochlorid-Monohydrat-Lmethionin-Polysorbat 80 und Wasser zur Injektion
Dieser Medikamentenführer wurde von der US -amerikanischen Food and Drug Administration zugelassen.