Die Informationen Auf Dieser Website Stellen Keine Medizinische Beratung Dar. Wir Verkaufen Nichts. Die Richtigkeit Der Übersetzung Wird Nicht Garantiert. Haftungsausschluss



Trintellix

Drogenzusammenfassung

Was ist Trintellix?

TRINTELLIX (Vorioxetin) -Tabletten sind ein Antidepressivum für die Behandlung von Major Depressive Störung (MDD).

Was sind Nebenwirkungen von Trintellix?

Trintellix kann schwerwiegende Nebenwirkungen verursachen, einschließlich:



  • Agitation
  • Unruhe
  • Verwirrung
  • Schnelle Herzfrequenz
  • Bluthochdruck
  • erweiterte Schüler
  • Verlust der Muskelkoordination
  • Muskelzucken
  • Muskelsteifigkeit (Starrheit)
  • schweres Schwitzen
  • Durchfall
  • Kopfschmerzen
  • Zittern
  • Gänsehaut
  • Blutungen, die nicht aufhören werden
  • Manisches Verhalten
  • verschwommenes Sehen
  • Halos um das Licht
  • Starke Augen- und Kopfschmerzen
  • Brechreiz
  • Erbrechen
  • plötzlicher Sehverlust
  • Verwirrung Und
  • Ermüdung

Holen Sie sich sofort medizinische Hilfe, wenn Sie eines der oben aufgeführten Symptome haben.



Zu den häufigen Nebenwirkungen von Trintellix gehören:

  • Brechreiz
  • Durchfall
  • Trockener Mund
  • Verstopfung
  • Erbrechen
  • Gas
  • Schwindel
  • abnormale Träume
  • Juckreiz und
  • Verringerte sexuelle Verlangen

Antidepressiva wie Trintellix erhöhte das Risiko von Selbstmordgedanken und Verhalten bei Kindern und jungen Erwachsenen in kurzfristigen Studien. Sagen Sie Ihrem Arzt, wenn Sie Gedanken über Selbstmord erleben, während Sie Trintellix nehmen.



Suchen Sie medizinische Versorgung oder rufen Sie auf einmal 911 an, wenn Sie die folgenden schwerwiegenden Nebenwirkungen haben:

Wie viel Hydrocodon ist in Vicodin
  • Schwerwiegende Augensymptome wie plötzlicher Sehverlust verschwommenes Sehen Tunnel Sehschmerzen oder Schwellungen oder Halos in der Umgebung des Lichts;
  • Schwerwiegende Herzsymptome wie schnelle unregelmäßige oder pochende Herzschläge; Flattern in deiner Brust; Kurzatmigkeit; und plötzliche Schwindel -Unbeschwertheit oder ohnmächtig;
  • Starke Kopfschmerzen Verwirrung verwirrt Spracharm oder Bein Schwäche Schwierigkeiten beim Verlust der Koordination unstabil sehr steifes Muskeln hoher Fieber problemlos Schwitzen oder Zittern.

Dieses Dokument enthält nicht alle möglichen Nebenwirkungen und andere können auftreten. Wenden Sie sich an Ihren Arzt nach zusätzlichen Informationen zu Nebenwirkungen.

Dosierung für Trintellix

Die empfohlene Startdosis von Trintellix beträgt 10 mg einmal täglich ohne Rücksicht auf die Mahlzeiten oral. Die Dosierung sollte dann als toleriert auf 20 mg/Tag erhöht werden.

Welche Drogensubstanzen oder Nahrungsergänzungsmittel interagieren mit Trintellix?

Trintellix kann mit Monoaminoxidase -Inhibitoren (MAOIS) selektiv interagieren Serotonin Wiederholungsinhibitoren (SSRIs) Serotonin Norepinephrin -Wiederaufnahmehemmer (SNRIS) Tripans Buspiron Tramadol Tramptophan Produkte NSAIDs Aspirin Warfarin Bupropion Fluoxetin Paroxetin Chinidin Rifampicin Carbamazepin und Phenytoin. Sagen Sie Ihrem Arzt alle Medikamente und Nahrungsergänzungsmittel, die Sie verwenden.

Trintellix während der Schwangerschaft und Stillen

Während der Schwangerschaft sollte Trintellix nur dann verwendet werden, wenn sie verschrieben werden. Es ist nicht bekannt, ob es einen Fötus beeinflussen würde. Es ist nicht bekannt, ob Trintellix in die Muttermilch übergeht. Das Stillen bei der Verwendung von Trintellix wird nicht empfohlen.

Weitere Informationen

Unsere Trintellix (Vorioxetin) -Tabletten -Nebenwirkungen Arzneimittelzentrum bietet einen umfassenden Überblick über die verfügbaren Arzneimittelinformationen über die potenziellen Nebenwirkungen bei der Einnahme dieses Medikaments.

FDA -Drogeninformationen

WARNUNG

Selbstmordgedanken und Verhalten

Antidepressiva erhöhte das Risiko von Selbstmordgedanken und Verhalten bei Kindern und jungen Erwachsenen in kurzfristigen Studien. Diese Studien zeigten keinen Anstieg des Risikos von Selbstmordgedanken und Verhalten bei Patienten mit Antidepressivum bei Patienten über 24; Bei Patienten ab 65 Jahren gab es einen Trend zu einem verringerten Risiko mit Antidepressivum VORSICHTSMASSNAHMEN ].

Bei Patienten jeden Alters, die mit Antidepressiva begonnen werden, überwachen Sie eng zur Verschlechterung und zur Entstehung von Selbstmordgedanken und Verhaltensweisen. Beraten Sie Familien und Betreuer der Notwendigkeit einer engen Beobachtung und Kommunikation mit dem Prescriber [siehe Warnungen und VORSICHTSMASSNAHMEN ].

Trintellix wurde nicht zur Verwendung bei pädiatrischen Patienten bewertet [siehe Verwendung in bestimmten Populationen ].

Beschreibung für Trintellix

Trintellix ist ein Tablet für sofortige Freisetzung für die orale Verabreichung, das das Beta (β) -Polymorph von Wiroxetinhydrobromid (HBR) ein Antidepressivum enthält. Vorioxetin HBR ist chemisch als 1- [2- (24-Dimethylphenylsulfanyl) -Phenyl] -Piperazin-Hydrobromid bekannt. Die empirische Formel ist c 18 H 22 N 2 S HBR mit einem Molekulargewicht von 379,36 g/mol. Die strukturelle Formel lautet:

Wirbelhbrand ist ein weißes bis leichtes Beige -Pulver, das in Wasser leicht löslich ist.

Jedes Trintellix -Tablet enthält 6,355 mg 12,71 mg oder 25,42 mg Vorioxetin -HBR -Äquivalent zu 5 mg 10 mg bzw. 20 mg Vorioxetin. Die inaktiven Inhaltsstoffe in Trintellix -Tabletten umfassen mikrokristalline MANNITOL -Cellulosehydroxypropyl -Cellulose -Natriumstärkglykolat -Magnesium -Stearat und Filmbeschichtung, die aus Himtromellose -Titanium -Dioxid -Polyethylen -Glykol -Glykol 400 Ironid -Rot (5 mg und 20 mg) und 5 mg und 20 mg) besteht.

Verwendung für Trintellix

Trintellix ist für die Behandlung von Migary Depression (MDD) bei Erwachsenen angezeigt.

Dosierung für Trintellix

Empfohlene Dosierung

Die empfohlene Startdosis beträgt 10 mg oral einmal täglich ohne Rücksicht auf die Mahlzeiten. Die Dosierung sollte dann als toleriert auf 20 mg/Tag erhöht werden. Die Wirksamkeit und Sicherheit von Dosen über 20 mg/Tag wurde in kontrollierten klinischen Studien nicht bewertet. Eine Dosisabnahme auf 5 mg/Tag kann bei Patienten in Betracht gezogen werden, die keine höheren Dosen tolerieren [siehe Klinische Studien ].

Bildschirm auf bipolare Störung vor dem Start von Trintellix

Vor der Einleitung einer Behandlung mit Trintellix oder einem anderen Antidepressivum -Screen -Patienten für die persönliche oder familiäre Vorgeschichte von Manie oder Hypomanie bipolarer Störung [siehe WARNUNGS AND VORSICHTSMASSNAHMEN ].

Behandlung abbrechen

Obwohl Trintellix in placebokontrollierten Studien plötzlich abgebrochen werden kann, haben Patienten nach abrupter Abnahme von Trintellix 15 mg/Tag oder 20 mg/Tag vorübergehende Nebenwirkungen wie Kopfschmerzen und Muskelverspannungen. Es wird empfohlen, die Dosis für eine Woche auf 10 mg/Tag zurückzuführen WARNUNGS AND VORSICHTSMASSNAHMEN Und Nebenwirkungen ].

Einen Patienten auf oder von einem Monoaminoxidase -Inhibitor (MAOI) umstellen, das psychiatrische Störungen behandelt

Mindestens 14 Tage müssen zwischen der Absetzung eines Maoi, der zur Behandlung von psychiatrischen Störungen und der Einleitung einer Therapie mit Trintellix beabsichtigt ist, um das Risiko eines Serotonin -Syndroms zu vermeiden [siehe WARNUNGS AND VORSICHTSMASSNAHMEN ]. Conversely at least 21 days must elapse after stopping Trintellix before starting an MAOI intended to treat psychiatric disorders [see Kontraindikationen ].

Verwendung von Trintellix in bekannten CYP2D6 -schlechten Metabolisierern oder bei Patienten, die starke CYP2D6 -Inhibitoren einnehmen

Die maximal empfohlene Dosis von Trintellix beträgt 10 mg/Tag in bekannten CYP2D6 schlechten Stoffwechsel. Reduzieren Sie die Dosis von Trintellix um die Hälfte, wenn Patienten gleichzeitig einen CYP2D6-starken Inhibitor (z. B. Bupropion-Fluoxetin-Paroxetin oder Chinidin) erhalten. Die Dosis sollte auf das ursprüngliche Niveau erhöht werden, wenn der CYP2D6 -Inhibitor abgesetzt wird [siehe Wechselwirkungen mit Arzneimitteln Verwendung in bestimmten Populationen ].

Verwendung von Trintellix bei Patienten, die starke CYP -Induktoren einnehmen

Erwägen Sie, die Dosis von Trintellix zu erhöhen, wenn ein starker CYP -Induktor (z. B. Rifampin -Carbamazepin oder Phenytoin) mehr als 14 Tage lang koadministeriert wird. Die maximal empfohlene Dosis sollte die dreifache ursprüngliche Dosis nicht überschreiten. Die Dosis von Trintellix sollte innerhalb von 14 Tagen auf das ursprüngliche Niveau reduziert werden, wenn der Induktor eingestellt wird [siehe Wechselwirkungen mit Arzneimitteln ].

Wie geliefert

Dosierungsformen und Stärken

Trintellix ist in den folgenden Stärken als sofortige filmbeschichtete Tablets erhältlich:

  • 5 mg: Pink -Mandelform -biconvex -filmbeschichtete Tablette, die mit 5 auf einer Seite und tl auf der anderen Seite gestrichen wurde
  • 10 mg: gelbe mandelförmige, bikonvex filmbeschichtete Tablette, die mit 10 auf einer Seite und Tl auf der anderen Seite gestrichen wurde
  • 20 mg: Red mandelförmige, biconvex -filmbeschichtete Tablette, die mit 20 auf einer Seite und Tl auf der anderen Seite gestrichen wurde

Lagerung und Handhabung

Trintellix Tablets sind wie folgt erhältlich:

Merkmale Stärken
5 mg 10 mg 20 mg
Farbe Rosa Gelb Rot
Auslehnung 5 auf einer Seite des Tablets TL auf der anderen Seite des Tablets 10 auf einer Seite des Tablets TL auf der anderen Seite des Tablets 20 auf einer Seite des Tablets TL auf der anderen Seite des Tablets
Präsentationen und NDC -Codes
Flaschen von 30 64764-720-30 64764-730-30 64764-750-30
Flaschen von 90 64764-720-90 64764-730-90 64764-750-90
Flaschen von 500 64764-720-77 64764-730-77 64764-750-77

Speichern Sie 25 ° C bei 77 ° F; Exkursionen, die zu 15 ° C bis 30 ° C zulässig sind, bis zu 86 ° F [siehe USP -kontrollierte Raumtemperatur ].

Verteilt und vermarktet von: Takeda Pharmaceuticals America Inc. Lexington MA 02421. vermarktet von: Lundbeck Deerfield IL 60015. Überarbeitet: August 2023

Nebenwirkungen for Trintellix

Die folgenden nachteiligen Reaktionen werden in anderen Abschnitten des Etiketts ausführlicher erörtert.

  • Überempfindlichkeit [siehe Kontraindikationen ]
  • Klinische Verschlechterung und Selbstmordrisiko [siehe WARNUNGS AND VORSICHTSMASSNAHMEN ]
  • Serotons Syndrom [siehe WARNUNGS AND VORSICHTSMASSNAHMEN ]
  • Erhöhtes Blutungsrisiko [siehe WARNUNGS AND VORSICHTSMASSNAHMEN ]
  • Aktivierung von Manie/Hypomanie [siehe WARNUNGS AND VORSICHTSMASSNAHMEN ]
  • Absetzen des Syndroms [siehe WARNUNGS AND VORSICHTSMASSNAHMEN ]
  • Winkelverschlussglaukom [siehe WARNUNGS AND VORSICHTSMASSNAHMEN ]
  • Hyponatriämie [siehe WARNUNGS AND VORSICHTSMASSNAHMEN ]

Klinische Studien Experience

Da klinische Studien unter stark unterschiedlichen Bedingungen durchgeführt werden, die in den klinischen Studien eines Arzneimittels beobachtet werden, können nicht direkt mit den Raten in den klinischen Studien eines anderen Arzneimittels verglichen werden und spiegeln möglicherweise nicht die in der klinischen Praxis beobachteten Raten wider.

Patientenbelichtung

Trintellix was evaluated for safety in 5852 patients (18 years to 88 years of age) diagnosed with MDD who participated in pre- Und postmarketing clinical studies; 2616 of those patients were exposed to Trintellix in 6 to 8 week placebo-controlled studies at doses ranging from 5 mg to 20 mg once daily; 204 patients were exposed to Trintellix in a 24 to 64 week placebo-controlled maintenance study at doses of 5 mg to 10 mg once daily; Und 429 patients were exposed to Trintellix in a 32 week placebo-controlled maintenance study in the U.S. at doses of 5 mg 10 mg Und 20 mg once daily. Patients from the 6 to 8 week studies continued into 12-month open-label studies. A total of 2586 patients were exposed to at least one dose of Trintellix in open-label studies 1727 were exposed to Trintellix for 6 months Und 885 were exposed for at least 1 year.

Nebenwirkungen als Gründe für den Absetzen der Behandlung gemeldet

In gepoolten 6- bis 8-wöchigen placebokontrollierten Studien wurde die Inzidenz von Patienten, die Trintellix 5 mg/Tag 10 mg/Tag 15 mg/Tag und 20 mg/Tag erhielten, und die Behandlung aufgrund einer nachteiligen Reaktion betrug 5% 6% 8% bzw. 8% im Vergleich zu 4% der mit Placebo behandelten Patienten. Übelkeit war die häufigste nachteilige Reaktion als Grund für den Absetzen.

Häufige Nebenwirkungen in Placebo-kontrollierten MDD-Studien

Die am häufigsten beobachteten unerwünschten Reaktionen bei MDD-Patienten, die mit Trintellix in 6 bis 8 Wochen mit placebokontrollierten Studien (Inzidenz ≥ 5% und mindestens doppelt so hoch wie die Placebo-Rate) behandelt wurden, waren Übelkeitssteuerung und Erbrechen.

Tabelle 2 zeigt die Inzidenz häufiger Nebenwirkungen, die bei ≥2% der mit einer Trintellix-Dosis behandelten MDD-Patienten und mindestens 2% häufiger als bei mit Placebo behandelten Patienten in den 6- bis 8-wöchigen placebokontrollierten Studien auftraten.

Tabelle 2: Häufige Nebenwirkungen, die bei ≥2% der mit einer Trintellix-Dosis behandelten Patienten und mindestens 2% höher als die Inzidenz bei mit Placebo behandelten Patienten auftreten

Systemorgelklasse bevorzugter Begriff Trintellix 5 mg/day
N = 1013 %
Trintellix 10 mg/day
N = 699 %
Trintellix 15 mg/day
N = 449
%
Trintellix 20 mg/day
N = 455 %
Placebo
N = 1621 %
Magen -Darm -Störungen
Brechreiz 21 26 32 32 9
Durchfall 7 7 10 7 6
Trockener Mund 7 7 6 8 6
Verstopfung 3 5 6 6 3
Erbrechen 3 5 6 6 1
Blähung 1 3 2 1 1
Störungen des Nervensystems
Schwindel 6 6 8 9 6
Psychiatrische Störungen
Abnormale Träume <1 <1 2 3 1
Haut- und subkutane Gewebeerkrankungen
Pruritus* 1 2 3 3 1
* Beinhaltet Pruritus verallgemeinert

Brechreiz

Brechreiz was the most common adverse reaction Und its frequency was dose-related (Table 2). It was usually consideRot mild or moderate in intensity Und the median duration was two weeks. Brechreiz was more common in females than males. Brechreiz most commonly occurRot in the first week of Trintellix treatment with 15 to 20% of patients experiencing Brechreiz after one to two days of treatment. Approximately 10% of patients taking Trintellix 10 mg/day to 20 mg/day had Brechreiz at the end of the 6 to 8 week placebo-controlled studies.

Sexuelle Funktionsstörung

Schwierigkeiten bei sexuellen Verlangen sexuelle Leistung und sexuelle Befriedigung treten häufig als Manifestationen psychiatrischer Störungen oder komorbiden Erkrankungen auf, aber sie können auch Folgen einer pharmakologischen Behandlung einschließlich Trintellix sein. Zusätzlich zu den Daten aus den nachstehend genannten MDD -Studien wurde Trintellix prospektiv auf seine Auswirkungen bei MDD -Patienten mit vorhandenen TESD bewertet, die durch vorherige SSRI -Behandlung und bei gesunden Erwachsenen mit normaler sexueller Funktion zu Studienbeginn induziert wurden [siehe Klinische Studien ].

Freiwillig berichtete über unerwünschte Reaktionen sexueller Dysfunktion

In den MDD -6 bis 8 Wochen kontrollierte Studien mit Trintellix wurden freiwillig unerwünschte Reaktionen im Zusammenhang mit sexuellen Dysfunktion als individuelle Ereignisbegriffe erfasst. Diese Ereignisbedingungen wurden aggregiert und die allgemeine Inzidenz war wie folgt. Bei männlichen Patienten betrug die Gesamtinzidenz 3% 4% 4% 5% in Trintellix 5 mg/Tag 10 mg/Tag 15 mg/Tag 20 mg/Tag gegenüber 2% in Placebo. Bei weiblichen Patienten war die Gesamtinzidenz <1% 1% <1% 2% in Trintellix 5 mg/day 10 mg/day 15 mg/day 20 mg/day respectively compaRot to <1% in placebo.

Nebenwirkungen der sexuellen Funktionsstörung bei Patienten mit normaler sexueller Funktionen zu Studienbeginn

Da freiwillig gemeldete sexuelle Reaktionen bekannt sind, sind bekannt, dass Patienten und Ärzte möglicherweise nur ungern diskutieren, die Skala der sexuellen Erfahrungen in Arizona (ASEX) zu diskutieren, eine validierte Maßnahme zur Identifizierung sexueller Nebenwirkungen wurde prospektiv in sieben placebokontrollierten Studien verwendet. Die ASEX -Skala enthält fünf Fragen, die sich auf die folgenden Aspekte der sexuellen Funktion beziehen: 1) Sexualtrieb 2) Leichtigkeit der Erregung 3) Fähigkeit, Erektion (Männer) oder Schmierung (Frauen) zu erreichen, 4) Leichtigkeit des Orgasmus und 5) Orgasmuszufriedenheit.

Das Vorhandensein oder Fehlen einer sexuellen Funktionsstörung bei Patienten, die in klinische Studien eintreten, beruhte auf ihren selbst berichteten ASEX-Werten. Bei Patienten ohne sexuelle Dysfunktion zu Studienbeginn (ungefähr 1/3 der Bevölkerung in allen Behandlungsgruppen in jeder Studie) zeigt Tabelle 3 die Inzidenz von Patienten, die TESD in einer festen Dosisgruppe mit Trintellix oder Placebo entwickelt haben. Ärzte sollten routinemäßig nach möglichen sexuellen Nebenwirkungen fragen.

Tabelle 3: ASEX -Inzidenz der aufkommenden sexuellen Dysfunktion von Behandlung*

Trintellix 5 mg/day
N = 65: 67 †
Trintellix 10 mg/day
N = 94: 86 †
Trintellix 15 mg/day
N = 57: 67 †
Trintellix 20 mg/day
N = 67: 59 †
Placebo
N = 135: 162 †
Frauen 22% 23% 33% 34% 20%
Männer 16% 20% 19% 29% 14%
* Inzidenz basierend auf der Anzahl der Probanden mit sexueller Dysfunktion während der Studie/Anzahl der Probanden ohne sexuelle Dysfunktion zu Studienbeginn. Die sexuelle Funktionsstörung wurde als Probanden definiert, das bei zwei aufeinanderfolgenden Besuchen während der Studie eine der folgenden Punkte auf der ASEX -Skala bewertete: 1) Gesamtpunktzahl ≥19; 2) jeder einzelne Artikel ≥5; 3) drei oder mehr Elemente mit jeweils einer Punktzahl ≥4
† Die Probengröße für jede Dosisgruppe ist die Anzahl der Patienten (Frauen: Männer) ohne sexuelle Dysfunktion zu Studienbeginn

Nebenwirkungen nach abrupter Abnahme der Trintellix -Behandlung

Die Ablaufsymptome wurden prospektiv bei Patienten untersucht, in denen Trintellix 10 mg/Tag 15 mg/Tag und 20 mg/Tag unter Verwendung der Abbruch-Emergent-Anzeichen und -Symptome (DESS) -Skala in klinischen Studien eingenommen wurden. Einige Patienten hatten Abbruchsymptome wie Kopfschmerz -Muskelverspannungsstimmungsschwankungen in der ersten Woche des abrupten Abbruchs von Trintellix 15 mg/Tag und 20 mg/Tag plötzliche Ausbrüche von Wutschwindigkeit und laufender Nase.

Labortests

Trintellix has not been associated with any clinically important changes in laboratory test parameters in serum chemistry (except sodium) hematology Und urinalysis as measuRot in the 6 to 8 week placebo-controlled studies. Hyponatriämie has been reported with the treatment of Trintellix [see WARNUNGS AND VORSICHTSMASSNAHMEN ]. In the 6-month double-blind placebo-controlled phase of a long-term study in patients who had responded to Trintellix during the initial 12 week open-label phase there were no clinically important changes in lab test parameters between Trintellix Und placebo-treated patients.

Gewicht

Trintellix had no significant effect on body weight as measuRot by the mean change from baseline in the 6 to 8 week placebo-controlled studies. In the six month doubleblind placebo-controlled phase of a long-term study in patients who had responded to Trintellix during the initial 12-week open-label phase there was no significant effect on body weight between Trintellix Und placebo-treated patients.

Vitalzeichen

Trintellix has not been associated with any clinically significant effects on vital signs including systolic Und diastolic blood pressure Und heart rate as measuRot in placebo-controlled studies.

Andere Nebenwirkungen, die in klinischen Studien beobachtet wurden

Die folgende Auflistung enthält keine Reaktionen: 1) Bereits in früheren Tabellen oder an anderer Stelle in der Markierung 2) aufgeführt, für die eine Arzneimittelursache entfernt war.

Ohr- und Labyrinthstörungen - Schwindel

Magen -Darm -Störungen - Dyspepsie

Störungen des Nervensystems - Dysgeusie

Gefäßstörungen - spülen

Nachmarkterfahrung

Die folgenden nachteiligen Reaktionen wurden während der Verwendung von Trintellix nach der Annahme identifiziert. Da diese Reaktionen freiwillig aus einer Population unsicherer Größe berichtet werden, ist es nicht immer möglich, ihre Häufigkeit zuverlässig abzuschätzen oder ein kausales Verhältnis zur Arzneimittelexposition herzustellen.

Endokrine Störungen - Hyperprolaktinämie

Magen -Darm -System - Akute Pankreatitis

Immunsystemstörungen - Überempfindlichkeitsreaktionen (einschließlich Anaphylaxie und Urtikaria)

Nebenwirkungen für Metformin 500 mg

Stoffwechselstörungen - Gewichtszunahme

Störungen des Nervensystems - Kopfschmerz der Beschlagnahme

Psychiatrische Störungen - Aggression Agitation Wut Feindseligkeit Reizbarkeit

Atemstillstand und Mediastinalstörungen - Anosmie -Hyposmie

Haut- und subkutane Gewebeerkrankungen - Ausschlag für eine generalisierte Hautausschlag Hyperhidrose

Wechselwirkungen mit Arzneimitteln for Trintellix

Medikamente mit klinisch wichtigen Wechselwirkungen mit Trintellix

Tabelle 4: Klinisch wichtige Wechselwirkungen mit Medikamenten mit Trintellix

Monoaminoxidase -Inhibitoren (Maois)
Klinische Auswirkung Die gleichzeitige Verwendung von SSRIs und SNRIs einschließlich Trintellix mit Maois erhöht das Risiko eines Serotonin -Syndroms.
Intervention Die gleichzeitige Verwendung von Trintellix ist kontraindiziert:
  • Mit einem Maoi, der beabsichtigt war, psychiatrische Störungen oder innerhalb von 21 Tagen nach der Beendigung der Behandlung mit Trintellix zu behandeln.
  • Innerhalb von 14 Tagen nach Stoppen eines Maoi, das zur Behandlung von psychiatrischen Störungen vorgesehen ist.
  • Bei einem Patienten, der mit Linezolid oder intravenösem Methylenblau behandelt wird. [sehen Dosierung und Verwaltung Kontraindikationen WARNUNGS AND VORSICHTSMASSNAHMEN ].
Beispiele Selegilin -Tranylcypromin -Isocarboxazid -Phenelzin -Linezolid -Methylenblau
Andere serotonerge Medikamente
Klinische Auswirkung Die gleichzeitige Verwendung von Trintellix mit anderen Serotonergen Medikamenten erhöht das Risiko eines Serotonin -Syndroms.
Intervention Überwachung auf Symptome des Serotonin -Syndroms Wenn Trintellix gleichzeitig mit anderen Arzneimitteln verwendet wird, die die serotonergen Neurotransmittersysteme beeinflussen können. Wenn ein Serotonin -Syndrom auftritt WARNUNGS AND VORSICHTSMASSNAHMEN ].
Beispiele Andere Snris Ssris Tripans trizyklische Antidepressiva Opioide Lithium Buspiron Amphetamine Tryptophan und St. John's Würze
Starke Inhibitoren von CYP2D6
Klinische Auswirkung Die gleichzeitige Verwendung von Trintellix mit starken CYP2D6 -Inhibitoren erhöht die Plasmakonzentrationen von Vorioxetin.
Intervention Reduzieren Sie die Trintellix -Dosis um die Hälfte, wenn ein starker CYP2D6 -Inhibitor zusammengefasst ist [siehe Dosierung und Verwaltung ].
Beispiele Bupropion -Fluoxetin -Paroxetin -Quinidin
Starke CYP -Induktoren
Klinische Auswirkung Die gleichzeitige Verwendung von Trintellix mit einem starken CYP -Induktor verringert die Plasmakonzentrationen von Vorioxetin.
Intervention Erwägen Sie, die Trintellix -Dosis zu erhöhen, wenn ein starker CYP -Induktor koadministeriert wird. Die maximale Dosis wird nicht empfohlen, die dreifache ursprüngliche Dosis zu überschreiten [siehe Dosierung und Verwaltung ].
Beispiele Rifampin Carbamazepin Phenytoin
Arzneimittel, die die Hämostase stören (Antiplatteletten -Mittel und Antikoagulanzien)
Klinische Auswirkung Die gleichzeitige Verwendung von Trintellix mit einem Treffpunkt oder einem Antikoagulans -Medikament kann das Blutungsrisiko potenzieren.
Intervention Informieren Sie die Patienten über das erhöhte Risiko für Blutungen im Zusammenhang mit der gleichzeitigen Verwendung von Trintellix- und Thrombozytenagenturen und Antikoagulanzien. Bei Patienten, die Warfarin einnehmen, überwachen Sie das internationale normalisierte Verhältnis sorgfältig [siehe WARNUNGS AND VORSICHTSMASSNAHMEN ) Wechselwirkungen mit Arzneimitteln ].
Beispiele Aspirin clopidogrel heparin warfarin
Medikamente, die hoch an Plasmaprotein gebunden sind
Klinische Auswirkung Trintellix is highly bound to plasma protein. The concomitant use of Trintellix with another drug that is highly bound to plasma protein may increase free concentrations of Trintellix or other tightly-bound drugs in plasma.
Intervention Überwachung auf unerwünschte Reaktionen und verringern die Dosierung von Trintellix oder anderen proteingebundenen Arzneimitteln wie gerechtfertigt [siehe Wechselwirkungen mit Arzneimitteln ].
Beispiele Warfarin

Wirkung von Trintellix auf andere Medikamente

Andere ZNS -Wirkstoffe

Nach der gemeinsamen Verabreichung mit mehreren täglichen Dosen von Trintellix wurde kein klinisch relevanter Effekt auf die Lithium-Exposition stationäre Lithium-Exposition beobachtet. Mehrere Dosen von Trintellix hatten keinen Einfluss auf die Pharmakokinetik oder Pharmakodynamik (zusammengesetzte kognitive Score) von Diazepam [siehe Klinische Pharmakologie ].

Eine klinische Studie hat gezeigt, dass Trintellix (einzelne Dosis von 20 oder 40 mg) die durch Alkohol verursachte Beeinträchtigung der mentalen und motorischen Fähigkeiten (Einzeldosis von 0,6 g/kg) nicht erhöhte [siehe Klinische Pharmakologie ].

Medikamente, die die Hämostase beeinträchtigen

Nach der gemeinsamen Verabreichung stabiler Dosen von Warfarin (1 bis 10 mg/Tag) mit mehreren täglichen Dosen von Trintellix wurden keine signifikanten Effekte bei INR-Prothrombinwerten oder in der Pharmakokinetik des Warfarin (Proteingebunden plus freies Arzneimittel) sowohl für R- als auch für S-Warfarin beobachtet. Die gleichzeitige Verabreichung von Aspirin 150 mg/Tag mit mehreren täglichen Dosen Trintellix hatte keine signifikante hemmende Wirkung auf die Thrombozytenaggregation oder die Pharmakokinetik von Aspirin und Salicylsäure [siehe Klinische Pharmakologie ]. Patients receiving other drugs that interfere with hemostasis should be carefully monitoRot when Trintellix is initiated or discontinued [see WARNUNGS AND VORSICHTSMASSNAHMEN Wechselwirkungen mit Arzneimitteln ].

Hochproteingebundene Medikamente

In einer klinischen Studie mit gleichzeitiger Verabreichung von Trintellix (10 mg/Tag) und Warfarin (1 mg/Tag bis 10 mg/Tag) wurde ein hochproteingebundenes Arzneimittel keine signifikante Änderung der INR beobachtet [siehe Wechselwirkungen mit Arzneimitteln Klinische Pharmakologie ].

Störung mit Urinenzym -Immunoassays gegen Methadon

Falsche positive Ergebnisse bei Urinenzym -Immunoassays für Methadon wurden bei Patienten, die Vorioxetin eingenommen haben, berichtet. Eine alternative analytische Technik (z. B. chromatographische Methoden) sollte in Betracht gezogen werden, um positive Ergebnisse der positiven Methadon -Urin -Arzneimittel -Screen -Ergebnisse zu bestätigen.

Warnungen für Trintellix

Eingeschlossen als Teil der VORSICHTSMASSNAHMEN Abschnitt.

Vorsichtsmaßnahmen für Trintellix

Selbstmordgedanken und Verhalten bei Jugendlichen und jungen Erwachsenen

In gepoolten Analysen von placebokontrollierten Studien mit Antidepressiva (SSRIS und anderen Antidepressiva), die ungefähr 77000 erwachsene Patienten und 4500 pädiatrische Patienten umfassten, war die Inzidenz von Selbstmordgedanken und Verhaltensweisen bei mit Antidepressiva behandelten Patienten im Alter von 24 Jahren und jüngerer als jüngerer als bei Placebo-behandelten Patienten. Das Risiko von Selbstmordgedanken und Verhaltensweisen bei Arzneimitteln bestand erheblich, aber bei jungen Patienten, die für die meisten untersuchten Medikamente eingestuft wurden, wurde ein erhöhtes Risiko festgestellt. Es gab Unterschiede im absoluten Risiko für Selbstmordgedanken und Verhaltensweisen in den verschiedenen Indikationen mit der höchsten Inzidenz bei Patienten mit MDD. Die Unterschiede in der Anzahl der Fälle von Selbstmordgedanken und Verhaltensweisen pro 1000 behandelter Patienten sind in Tabelle 1 angegeben.

Tabelle 1: Risikounterschiede der Anzahl der Patienten mit Selbstmordgedanken und Verhaltensweisen in den gepoolten placebokontrollierten Studien mit Antidepressiva bei pädiatrischen und erwachsenen Patienten

Altersgruppe Unterschied in der Anzahl der Patienten mit Selbstmordgedanken und Verhaltensweisen pro 1000 behandelter Patienten
Erhöht im Vergleich zu Placebo
<18 years old 14 zusätzliche Patienten
18-24 Jahre alt 5 zusätzliche Patienten
Abnimmt im Vergleich zu Placebo
25-64 Jahre alt 1 weniger Patient
≥ 65 Jahre alt 6 weniger Patienten

Trintellix is not approved for use in pediatric patients.

Es ist nicht bekannt, ob sich das Risiko von Selbstmordgedanken und Verhaltensweisen bei Jugendlichen und jungen Erwachsenen auf längerfristige Verwendung erstreckt, d. H. Über vier Monate hinaus. Es gibt jedoch wesentliche Belege aus von Placebo-kontrollierten Erhaltungsversuchen bei Erwachsenen mit MDD, dass die Verwendung von Antidepressiva das Wiederauftreten von Depressionen verzögern kann und dass Depressionen selbst ein Risikofaktor für Selbstmordgedanken und Verhaltensweisen sind.

Überwachen Sie alle mit Antidepressiva behandelten Patienten für alle zugelassenen Populationen zur klinischen Verschlechterung und Entstehung von Selbstmordgedanken und Verhaltensweisen, insbesondere in den ersten Monaten der medikamentösen Therapie und in Zeiten von Dosierungsveränderungen. Anwälte Familienmitglieder oder Betreuer von Patienten, um Verhaltensänderungen zu überwachen und den Gesundheitsdienstleister aufmerksam zu machen. Erwägen Sie, das therapeutische Regime zu ändern, einschließlich möglicherweise das Absetzen von Trintellix bei Patienten, deren Depression anhaltend schlechter ist oder die sich mit aufstrebenden Selbstmordgedanken und Verhaltensweisen befinden.

Serotons Syndrom

Serotonerge Antidepressiva einschließlich Trintellix kann das Serotonin-Syndrom zu einem potenziell lebensbedrohlichen Zustand ausführen. Das Risiko wird mit gleichzeitiger Verwendung anderer Serotonergen Medikamente (einschließlich triptaner trizyklischer Antidepressiva Fentanyl -Lithium -Tramadol -Tryptophan -Meperidin -Methadon -Buspiron -Amphetamine und St. Johns WORT) und mit Drogen, die den Stofflack von Serotonin d. H. MAOIS [siehe [siehe MAOIS) beeinträchtigen, erhöht. Kontraindikationen Wechselwirkungen mit Arzneimitteln ]. Serotonin syndrome can also occur when these drugs are used alone.

Serotonin -Syndromzeichen und Symptome können mentale Statusveränderungen (z. B. Agitation Halluzinationen Delirium und Koma) umfassen, autonomische Instabilität (z. B. Tachykardie Labile Blutdruck Schwindel -Diaphoresse -Flushing -Hyperthermie) Neuromuskuläre Symptome (z. Erbrechen Durchfall).

Die gleichzeitige Verwendung von Trintellix mit Maois ist kontraindiziert. Darüber hinaus initiieren Trintellix bei einem Patienten, der mit Maois wie Linezolid oder intravenösem Methylenblau behandelt wird, nicht. Keine Berichte betrafen die Verabreichung von Methylenblau durch andere Routen (wie orale Tabletten oder lokale Gewebeinjektion). Wenn es notwendig ist, die Behandlung mit einem MAOI wie Linezolid oder intravenösem Methylenblau bei einem Patienten einzuschlagen, der Trintellix einnimmt, stellen Sie Trintellix vor, bevor die Behandlung mit dem MAOI initiiert wird [siehe Kontraindikationen Wechselwirkungen mit Arzneimitteln ].

Überwachen Sie alle Patienten, die Trintellix für die Entstehung des Serotonin -Syndroms einnehmen. Die Abnahme der Behandlung mit Trintellix und alle begleitenden serotonergen Wirkstoffe sofort, wenn die oben genannten Symptome auftreten und eine unterstützende symptomatische Behandlung initiieren. Wenn die gleichzeitige Verwendung von Trintellix mit anderen Serotonergen Medikamenten klinisch gerechtfertigt ist, informieren Sie die Patienten über das erhöhte Risiko für das Serotonin -Syndrom und die Überwachung der Symptome.

Erhöhtes Blutungsrisiko

Die Verwendung von Arzneimitteln, die die Serotonin -Wiederaufnahmehemmung einschließlich Trintellix beeinträchtigen, kann das Risiko von Blutungsereignissen erhöhen. Die gleichzeitige Anwendung von Aspirin-nichtsteroidalen entzündungshemmenden Arzneimitteln (NSAIDs) Warfarin und anderen Antikoagulanzien können dieses Risiko erhöhen. Fallberichte und epidemiologische Studien (Fallkontroll- und Kohortendesign) haben einen Zusammenhang zwischen der Verwendung von Arzneimitteln gezeigt, die die Wiederaufnahme der Serotonin beeinträchtigen, und dem Auftreten von Magen-Darm-Blutungen. Blutungsereignisse im Zusammenhang mit Arzneimitteln, die die Wiederaufnahme der Serotonin hemmen Hämatom Epistaxis und Petechiae zu lebensbedrohlichen Blutungen.

Informieren Sie die Patienten über das erhöhte Blutungsrisiko, wenn Trintellix mit NSAIDS -Aspirin oder anderen Medikamenten, die die Gerinnung oder Blutung beeinflussen, zusammengefasst. Bei Patienten, die Warfarin einnehmen, überwachen Sie die Gerinnungsindizes sorgfältig, wenn Sie Trintellix initiieren oder einstellen [siehe Wechselwirkungen mit Arzneimitteln ].

Aktivierung von Manie/Hypomanie

Bei Patienten mit bipolare Störung Die Behandlung einer depressiven Episode mit Trintellix oder einem anderen Antidepressivum kann eine gemischte/manische Episode auslösen. Die Symptome von Manie/Hypomanie wurden in berichtet <0.1% of patients treated with Trintellix in premarketing clinical studies. Prior to initiating treatment with Trintellix screen patients for any personal or family history of bipolare Störung mania or Hypomanie.

Abbruchsyndrom

Überwehrte Reaktionen wurden nach abrupter Abnahme der Behandlung mit Trintellix in Dosen von 15 mg/Tag und 20 mg/Tag berichtet [siehe Nebenwirkungen ]. A gradual Rotuction in dosage rather than abrupt cessation is recommended whenever possible [see Dosierung und Verwaltung ].

Nebenwirkungen nach Absetzen von Serotonergen Antidepressiva, insbesondere nach abrupter Abnahme, umfassten: Übelkeit schwitzen dysphorische Stimmungsverärgerbarkeitsregree Sensorische Störungen (z. B. Parästhesie wie elektrisch Schock Empfindungen) Zittern Angst Verwirrung Kopfschmerzen Lethargie emotionale Labilitätsibilität Hypomanie Tinnitus und Anfälle.

Winkelverschlussglaukom

Die Pupillardilatation, die nach Verwendung vieler Antidepressiva, einschließlich Trintellix, auftritt, kann einen Winkelverschlussangriff bei einem Patienten mit anatomisch engen Winkeln auslösen, die keine Patent -Iridektomie haben.

Hyponatriämie

Hyponatriämie has occurRot as a result of treatment with serotonergic drugs including Trintellix. In many cases hyponatremia appears to be the result of the syndrome of inappropriate antidiuretic hormone secretion (SIADH). One case with serum sodium lower than 110 mmol/L was reported in a subject treated with Trintellix in a premarketing clinical study. Elderly patients may be at greater risk of developing hyponatremia with a serotonergic antidepressant. Also patients taking Diuretika or who are otherwise volume-depleted can be at greater risk. Discontinuation of Trintellix in patients with symptomatic hyponatremia Und appropriate medical intervention should be instituted. Signs Und symptoms of hyponatremia include Kopfschmerzen Schwierigkeiten zu konzentrieren memory impairment Verwirrung weakness Und unsteadiness which can lead to falls. More severe Und/or acute cases have included hallucination syncope seizure Koma respiratory arrest Und death.

Sexuelle Funktionsstörung

Die Verwendung von serotonergen Antidepressiva einschließlich Trintellix kann Symptome einer sexuellen Dysfunktion verursachen [siehe Nebenwirkungen ]. In male patients serotonergic antidepressant use may result in ejaculatory delay or failure decreased libido Und erectile dysfunction. In female patients use may result in decreased libido Und delayed or absent orGasm.

Für Verschreiber ist es wichtig, vor Beginn von Trintellix nach der sexuellen Funktion zu fragen und sich speziell über Veränderungen der sexuellen Funktion während der Behandlung zu erkundigen, da die sexuelle Funktion möglicherweise nicht spontan gemeldet wird. Bei der Bewertung von Veränderungen der sexuellen Funktion, die eine detaillierte Anamnese (einschließlich des Zeitpunkts des Symptombeginns) erhalten, ist wichtig, da sexuelle Symptome andere Ursachen einschließlich der zugrunde liegenden psychiatrischen Störung aufweisen können. Besprechen Sie potenzielle Managementstrategien zur Unterstützung von Patienten bei der Entscheidung über die Behandlung.

Patientenberatungsinformationen

Raten Sie dem Patienten, die von der FDA zugelassene Patientenkennzeichnung zu lesen ( Medikamentenhandbuch ).

Selbstmordgedanken und Verhalten

Beraten Sie Patienten und Betreuer, nach der Entstehung von Suizidgedanken und Verhaltensweisen, insbesondere während der Behandlung und bei der Anpassung der Dosis nach oben oder unten, und weist sie an, dem Gesundheitsdienstleister solche Symptome zu melden [siehe WARNUNG BOXED WARNUNGS AND VORSICHTSMASSNAHMEN ].

Begleitende Medikamente

Raten Sie den Patienten, ihren Gesundheitsdienstleister zu informieren, wenn sie aufgrund eines Interaktionenspotenzials verschreibungspflichtige oder rezeptfreie Medikamente einnehmen oder planen. Weisen Sie die Patienten an, Trintellix nicht mit einem MAOI oder innerhalb von 14 Tagen nach Anhalten eines Maoi zu nehmen und 21 Tage nach dem Anhalten von Trintellix vor dem Start eines Maoi zuzulassen [siehe Dosierung und Verwaltung Kontraindikationen WARNUNGS AND VORSICHTSMASSNAHMEN Wechselwirkungen mit Arzneimitteln ].

Serotons Syndrom

Vorsicht von Patienten vor dem Risiko eines Serotonin -Syndroms, insbesondere mit der gleichzeitigen Verwendung von Trintellix- und Triptans tricyclischen Antidepressiva -Opioiden Lithium -Tryptophan -Supplements Busipiron und St. Johns, und mit Drogen, die die Metabolismus von Serotonin beeinträchtigen (insbesondere von Maois, die Psychiatrikten und andere, die Psychiatrikten aufweisen), und die Psychiatrikum, die Psychiatrikum und andere, die Psychiatrikum und andere, als Psychiatrikum und andere, die Psychiatrikten behandeln, und andere als Psychiatriktionen und andere, in denen die Psychiatrikismus behandelt wurden), und die Psychiatriktionen und andere, die Psychiatrikten behandeln, und nicht zubehalten), wurden beide Psychiatrika und andere Psychiatrikten behandelt. WARNUNGS AND VORSICHTSMASSNAHMEN Wechselwirkungen mit Arzneimitteln ]. Instruct patients to contact their health care provider or report to the emergency room if they experience signs or symptoms of Serotonin syndrome.

Erhöhtes Blutungsrisiko

Informieren Sie die Patienten über die gleichzeitige Verwendung von Trintellix mit NSAIDS Aspirin Warfarin oder anderen Arzneimitteln, die die Koagulation beeinflussen, da die kombinierte Verwendung mit einem erhöhten Blutungsrisiko in Verbindung gebracht wurde. Raten Sie den Patienten, ihren Gesundheitsdienstleister zu informieren, wenn sie einnehmen oder planen, verschreibungspflichtige oder rezeptfreie Medikamente einzugehen, die das Blutungsrisiko erhöhen [siehe WARNUNGS AND VORSICHTSMASSNAHMEN ].

Aktivierung von Manie/Hypomanie

Beraten Sie Patienten und ihre Betreuer, nach Anzeichen einer Aktivierung von Manie/Hypomanie zu suchen [siehe WARNUNGS AND VORSICHTSMASSNAHMEN ].

Einstellung der Behandlung

Raten Sie den Patienten, Trintellix nicht abrupt zu nehmen, ohne zuerst mit ihrem Gesundheitsdienstleister zu sprechen. Die Patienten sollten sich bewusst sein, dass bei der Beendigung von Trintellix die Absetzen von Effekten auftreten können, und sie sollten die Absetzen der Symptome überwachen [siehe WARNUNGS AND VORSICHTSMASSNAHMEN Und Nebenwirkungen ].

Winkelverschlussglaukom

Den Patienten sollte darauf hingewiesen werden, dass die Einnahme von Trintellix eine leichte Pupillardilatation verursachen kann, die bei anfälligen Personen zu einer Episode des Winkelverschlusses führen kann Glaukom . Das bereits vorhandene Glaukom ist fast immer ein offener Winkelglaukom, da das Winkelverschlussglaukom bei der Diagnose definitiv mit Iridektomie behandelt werden kann. Open-Winkel-Glaukom ist kein Risikofaktor für den Winkelverschlussglaukom. Patienten möchten möglicherweise untersucht werden, um festzustellen, ob sie anfällig für Winkelverschlüsse sind und ein prophylaktisches Verfahren (z. B. Iridektomie) haben, wenn sie anfällig sind [siehe WARNUNGS AND VORSICHTSMASSNAHMEN ].

Hyponatriämie

Beraten Sie den Patienten, dass sie, wenn sie mit Diuretika behandelt werden oder ansonsten Volumen abgebaut sind oder älter sind WARNUNGS AND VORSICHTSMASSNAHMEN ].

Sexuelle Funktionsstörung

Beraten Sie die Patienten, dass die Verwendung von Trintellix sowohl bei männlichen als auch bei weiblichen Patienten Symptome einer sexuellen Funktionsstörung verursachen kann. Informieren Sie die Patienten, dass sie Änderungen der sexuellen Funktions- und potenziellen Managementstrategien mit ihrem Gesundheitsdienstleister erörtern sollten [siehe WARNUNGS AND VORSICHTSMASSNAHMEN ].

Brechreiz

Raten Sie den Patienten, dass Übelkeit eine der häufigsten Nebenwirkungen ist und dosisbedingt ist. Übelkeit tritt häufig innerhalb der ersten Behandlungswoche auf und nimmt die Häufigkeit ab, kann jedoch bei einigen Patienten bestehen bleiben [siehe Nebenwirkungen ].

Allergische Reaktionen

Raten Sie den Patienten, ihren Gesundheitsdienstleister zu benachrichtigen, wenn sie eine allergische Reaktion wie Hautschwellungen oder Atembeschwerden entwickeln.

Schwangerschaft

Beraten Sie eine schwangere Frau oder eine Frau, die schwanger wird, dass Trintellix bei Neugeborenen oder anhaltende pulmonale Hypertonie des Neugeborenen (PPHN) Entzugssymptome verursachen kann [siehe Verwendung in bestimmten Populationen ]. Advise the patients that there is a pregnancy exposure registry that monitors pregnancy outcomes in women exposed to Trintellix during pregnancy [see Verwendung in bestimmten Populationen ].

Nichtklinische Toxikologie

Karzinogenese -Mutagenese -Beeinträchtigung der Fruchtbarkeit

Karzinogenese

Es wurden Karzinogenitätsstudien durchgeführt, bei denen CD-1-Mäuse und Wistar-Ratten orale Dosen aus Vorioxetin von bis zu 50 und 100 mg/kg/Tag für männliche und weibliche Mäuse bzw. 40 bzw. 80 und 80 mg/kg/Tag für männliche und weibliche Ratten für zwei Jahre hinweg verabreicht wurden. Die Dosen in den beiden Arten betrugen ungefähr 12 24 20 bzw. 39 -mal die maximal empfohlene menschliche Dosis (MRHD) von 20 mg mg/m².

Bei Ratten war die Inzidenz von gutartigen polypoiden Adenomen des Rektums bei den Dosen bei den Dosen des MRHD jedoch nicht das 15 -fache des MRHD statistisch erhöht. Diese wurden als im Zusammenhang mit Entzündungen und Hyperplasie in Bezug auf eine Wechselwirkung mit einer Fahrzeugkomponente der für die Studie verwendeten Formulierung angesehen. Der Befund trat bei männlichen Ratten nach 20 -mal nicht der MRHD auf.

Bei Mäusen war Vorioxetin bei Männern oder Frauen bei Dosen bis zu 12 bzw. 24 -mal karzinogen.

Mutagenität

Vorioxetin war im In -vitro -Bakterien -Reverse -Mutation -Assay (AMES -Test), einem In -vitro -Chromosomen -Aberrationstest in kultivierten menschlichen Lymphozyten und einem In -vivo -Ratten -Knochenmarkmikronukleus -Assay, nicht genotoxisch.

Beeinträchtigung der Fruchtbarkeit

Die Behandlung von Ratten mit Vorioxetin bei Dosen von bis zu 120 mg/kg/Tag hatte keinen Einfluss auf die männliche oder weibliche Fruchtbarkeit, die 58 -mal die maximal empfohlene menschliche Dosis (MRHD) von 20 mg mg/m² beträgt.

Verwendung in bestimmten Populationen

Schwangerschaft

Schwangerschaft Exposure Registry

Es gibt ein Schwangerschafts -Expositionsregister, das die Schwangerschaftsergebnisse bei Frauen überwacht, die während der Schwangerschaft Antidepressiva ausgesetzt sind. Gesundheitsdienstleister werden ermutigt, Patienten unter der Telefonnummer 1-844-405-6185 zu registrieren oder online unter https://womenmentalhealth.org/clinical-and-forearchprograms/pregnancyRegistry/antidepressants/.

Risikozusammenfassung

Basierend auf Daten aus veröffentlichten Beobachtungsstudien, die SSRIs oder SNRIs ausgesetzt sind, insbesondere im Monat vor der Lieferung wurde mit einer weniger als zweifachen Steigerung des Risikos postpartaler Blutungen in Verbindung gebracht [siehe WARNUNGS AND VORSICHTSMASSNAHMEN Und Klinische Überlegungen ].

Während der Schwangerschaft gibt es nur begrenzte menschliche Daten zum Einsatz von Trintellix, um alle Risiken von Drogen zu informieren. Es gibt jedoch klinische Überlegungen in Bezug Klinische Überlegungen ]. Vortioxetine administeRot to pregnant rats Und rabbits during the period of organogenesis at doses ≥15 times Und 10 times the maximum recommended human dose (MRHD) respectively resulted in decreased fetal body weight Und delayed ossification. No malformations were seen at doses up to 77 times Und 58 times the MRHD respectively. Vortioxetine administeRot to pregnant rats during gestation Und lactation at oral doses ≥20 times the MRHD resulted in a decrease in the number of live-born pups Und an increase in early postnatal pup mortality. Decreased pup weight at birth to weaning occurRot at 58 times the MRHD Und delayed physical development occurRot at ≥20 times the MRHD. These effects were not seen at 5 times the MRHD [see Daten]. Advise a pregnant woman of the potential risk to a fetus.

Das geschätzte Hintergrundrisiko für schwere Geburtsfehler und Fehlgeburt für die angegebene Bevölkerung ist unbekannt. Alle Schwangerschaften haben ein Hintergrundrisiko für einen Verlust von Geburtsfehlern oder andere nachteilige Ergebnisse. In der US-allgemeinen Bevölkerung beträgt das geschätzte Hintergrundrisiko für größere Geburtsfehler und eine Fehlgeburt bei klinisch anerkannten Schwangerschaften 2-4% bzw. 15 bis 20%.

Klinische Überlegungen

Krankheitsassoziierte mütterliche und/oder embryo/fetale Risiko

Eine prospektive Längsschnittstudie folgte den 201 schwangeren Frauen mit einer Vorgeschichte von Depression, die zu Beginn der Schwangerschaft euthymisch waren und Antidepressiva einnahmen. Die Frauen, die während der Schwangerschaft Antidepressiva abbrachen, hatten eher einen Rückfall der schwerwiegenden Depression als Frauen, die Antidepressiva fortsetzten. Berücksichtigen Sie die Risiken einer unbehandelten Depression, wenn Sie die Behandlung mit Antidepressiva während der Schwangerschaft und nach der Geburt absetzen oder verändern.

Nebenwirkungen von fetalen/Neugeborenen

Die Exposition gegenüber serotonergen Antidepressiva, einschließlich Trintellix in der Spätschwangerschaft, kann zu einem erhöhten Risiko für Neugeborenenkomplikationen führen, die eine längere Respirationsunterstützung und/oder anhaltende Lungenhypertonie des Neugeborenen (PPHN) erfordern. Überwachen Sie Neugeborene, die Trintellix im dritten Schwangerschaftstrom für PPHN- und Arzneimittelabbruchsyndrom ausgesetzt waren [siehe Daten ].

Mütterliche Nebenwirkungen

Die Verwendung von Trintellix im Monat vor der Lieferung kann mit einem erhöhten Risiko einer postpartalen Blutung verbunden sein [siehe WARNUNGS AND VORSICHTSMASSNAHMEN ].

Daten

Menschliche Daten

Exposition des dritten Trimesters

Neugeborene, die SSRIs oder SNRIs ausgesetzt sind, haben spät im dritten Trimester Komplikationen entwickelt, bei denen eine längere Unterstützung der Atemwegsunterstützung und der Röhrchen -Fütterung erforderlich ist. Diese Ergebnisse basieren auf Berichten nach dem Stempel. Solche Komplikationen können sofort nach Lieferung auftreten. Die angegebenen klinischen Befunde umfassten Atemnotszyanose -Apnoe -Anfälle Temperaturinstabilitätsfresserschwierigkeiten Erbrechen Hypoglykämie Hypotonie Hypertonia Hyperreflexie Zittern der Jitteriness Reizbarkeit und ständiges Weinen. Diese Merkmale stimmen entweder mit einer direkten toxischen Wirkung von SSRIs und SNRIs oder möglicherweise einem Drogenabbruch -Syndrom überein. In einigen Fällen stimmte das klinische Bild mit dem Serotonin -Syndrom überein [siehe WARNUNGS AND VORSICHTSMASSNAHMEN ].

Die Exposition während der späten Schwangerschaft gegenüber SSRIs kann ein erhöhtes Risiko für anhaltende pulmonale Hypertonie des Neugeborenen (PPHN) haben. PPHN tritt in ein bis zwei pro 1000 Lebendgeburten in der Allgemeinbevölkerung auf und ist mit einer erheblichen Morbidität und Mortalität in der Neugeborenen verbunden. In einer retrospektiven Fallkontrollstudie an 377 Frauen, deren Säuglinge mit PPHN und 836 Frauen geboren wurden, deren Säuglinge gesund geboren wurden, war das Risiko für die Entwicklung von PPHN bei Säuglingen, die nach der 20. Schwangerschaftswoche, die während der Schwangerschaft nicht gegen Antidepressionen gegen Antidenpresslinge ausgesetzt waren, etwa sechsfach höher war. A study of 831324 infants born in Sweden in 1997 - 2005 found a PPHN risk ratio of 2.4 (95% CI 1.2-4.3) associated with patient-reported maternal use of SSRIs in early pregnancy and a PPHN risk ratio of 3.6 (95% CI 1.2- 8.3) associated with a combination of patient-reported maternal use of SSRIs in early pregnancy and an antenatal SSRI -Rezept in späterer Schwangerschaft.

Tierdaten

Bei schwangeren Ratten und Kaninchen wurden bei oraler Dosen von bis zu 160 bzw. 60 mg/kg/Tag keine Missbildungen beobachtet, wenn Vorioxetin während der Organogenese verabreicht wurde. Diese Dosen betragen 77 und 58 -mal die maximal empfohlene menschliche Dosis (MRHD) von 20 mg mg/m² bei Ratten bzw. Kaninchen. Entwicklungsverzögerung, die als vermindertes Körpergewicht des fetalen Körpers und verzögerter Ossifikation bei Ratten und Kaninchen in Dosen gleich und mehr als 30 und 10 mg/kg (15 bzw. 10 -fache der MRHD) in Gegenwart einer mütterlichen Toxizität (verringerter Nahrungsmittelkonsum und verringerter Körpergewichtsgewinn) auftraten. Wenn schwangere Ratten in oralen Dosen von 40 bzw. 120 mg/kg (20 bzw. 58-fach das MRHD) während der Schwangerschaft und der Laktation an die MRHD verabreicht wurde, wurde die Zahl der lebenden Welpen verringert und die Sterblichkeit der postnatalen Puppen wurde erhöht. Zusätzlich wurden die Welpengewichte bei der Geburt bei 120 mg/kg verringert und die Entwicklung (insbesondere die Augenöffnung) bei 40 und 120 mg/kg leicht verzögert. Diese Effekte wurden bei 10 mg/kg nicht beobachtet (5 -mal der MRHD).

Stillzeit

Risikozusammenfassung

Es gibt keine Informationen über das Vorhandensein von Wiroxetin in der Muttermilch die Auswirkungen auf das gestillte Kind oder die Auswirkungen auf die Milchproduktion. Vorioxetin ist in Rattenmilch vorhanden [siehe Daten ]. The developmental Und health benefits of breastfeeding should be consideRot along with the mother's clinical need for Trintellix Und any potential adverse effects on the breastfed child from Trintellix or from the underlying maternal condition.

Daten

Tierdaten

Verabreichung von [ 14 C] -Vortioxetin an laktierende Ratten in einer oralen Dosis von 20-mal so empfohlener menschlicher Dosis (MRHD) von 20 mg auf mg/m²-Basis führte zu medikamentenbedingten Materialien in der Milchsekretion. Das Verhältnis von Milch zu Plasma bei stillenden Ratten betrug 1 1,2 0,5 und 0,5 bei 2 6 24 und 72 Stunden nach der Dosis.

Pädiatrische Verwendung

Die Sicherheit und Wirksamkeit von Trintellix wurde bei pädiatrischen Patienten zur Behandlung von MDD nicht festgestellt.

Die Wirksamkeit wurde in einer 8-wöchigen randomisierten, doppelblinden, placebokontrollierten Active-Referenz-Studie bei 615 pädiatrischen Patienten mit MDD im Alter von 12 bis 17 Jahren nicht festgelegt. Der primäre Wirksamkeitsendpunkt war die Veränderung von der Doppelblind-Grundlinie bis zur 8. Woche der Depressions-Bewertungsskala der Kinder. Der Effekt der Behandlung mit Vorioxetin unterscheidete sich nicht signifikant von Placebo (placebo -subtrahierter Differenz von 0,21 (95% CI: -2,41 2,82; p = 0,88). In dieser Altersgruppe waren unerwünschte Reaktionen auf Trintellix im Allgemeinen ähnlich denen, die bei Erwachsenen gemeldet wurden.

Antidepressiva wie Trintellix erhöht das Risiko von Selbstmordgedanken und -verhalten bei pädiatrischen Patienten [siehe die WARNUNG BOXED Und WARNUNGS AND VORSICHTSMASSNAHMEN ].

Juvenile Animal Toxizity Data

Die Verabreichung von Vorioxetin an jugendliche Ratten (orale Dosen von 10 20 und 40 mg/kg/Tag zweimal täglich vom postnatalen Tag 21 bis 91) führte zu einem neurobehavioralen Effekt bei der höchsten Dosis von 40 mg/kg zweimal täglich (erhöhte Peak -Auditory -Buncle -Amplitude) während des Behandlungszeitraums. Der Effekt wurde am Ende der Erholungsperiode nicht beobachtet. Wenn die Tiere nach der 4-wöchigen Erholungsperiode in den Nachkommen von Paarungen, die zweimal täglich mit 40 mg/kg behandelt wurden, verringert wurden. Die Dosis ohne beobachtete nachteilige Wirkung betrug zweimal täglich 20 mg/kg, basierend auf den neurobehavioralen und reproduktiven Effekten. Diese Dosis war mit Plasma -Vorioxetin -Exposition (AUC) ungefähr zweifache bei pädiatrischen Patienten assoziiert.

Geriatrische Verwendung

Auf der Grundlage des Alters wird keine Dosisanpassung empfohlen (Abbildung 1). Die Ergebnisse einer pharmakokinetischen eindosis-Studie an älteren Menschen (> 65 Jahre) gegenüber jungen (24 bis 45 Jahren) Probanden zeigten, dass die Pharmakokinetik zwischen den beiden Altersgruppen im Allgemeinen ähnlich war.

Von den 2616 Probanden in klinischen Studien von Trintellix 11% (286) waren 65 und über die Probanden aus einer placebokontrollierten Studie speziell bei älteren Patienten [siehe Klinische Studien ]. No overall differences in safety or effectiveness were observed between these subjects Und younger subjects Und other reported clinical experience has not identified differences in responses between the elderly Und younger patients.

Serotonerge Antidepressiva wurde mit Fällen einer klinisch signifikanten Hyponatriämie bei älteren Patienten in Verbindung gebracht, bei denen möglicherweise ein höheres Risiko für dieses unerwünschte Ereignis besteht [siehe WARNUNGS AND VORSICHTSMASSNAHMEN ].

CYP2D6 Arme Stoffwechsel

Die Dosierungsreduktion wird bei Patienten empfohlen, die bekanntermaßen schlechte CYP2D6 Dosierung und Verwaltung Und Klinische Pharmakologie ].

Überdosierungsinformationen für Trintellix

Menschliche Erfahrung

Es gibt nur begrenzte Erfahrung in der klinischen Studie in Bezug auf die Überdosierung des Menschen mit Trintellix. Bei der Voraussetzung der klinischen Studien waren Fälle von Überdosierung auf Patienten beschränkt, die versehentlich oder absichtlich bis zu einer maximalen Dosis von 40 mg Trintellix konsumierten. Die maximale getestete einzelne Dosis betrug 75 mg bei Männern. Die Einnahme von Trintellix im Dosisbereich von 40 bis 75 mg war mit erhöhten Raten von Übelkeitsschwindigkeit durch Durchfall abdominaler Verallgemeinerungen der allgemeinen Pruritus -Somnolence und -spülung verbunden.

Es wurden Berichte über Überdosierungen von Trintellix nach dem Stempeln vorhanden. Die am häufigsten berichteten Symptome mit Überdosierungen von bis zu 80 mg (viermal so groß wie die maximal empfohlene tägliche Dosis) waren Übelkeit und Erbrechen. Bei Überdosierungen von mehr als 80 mg wurde ein Fall des Serotonin -Syndroms in Kombination mit einem anderen serotonergen Arzneimittel und über Anfälle berichtet.

Management der Überdosis

Es sind keine spezifischen Gegenmittel für Trintellix bekannt. Bei der Behandlung von Überdosierung die Möglichkeit einer multiplen Arzneimittelbeteiligung berücksichtigen. Im Falle eines Überdosierungsgiftkontrollzentrums unter 1-800-222-1222 für die neuesten Empfehlungen.

Kontraindikationen für Trintellix

  • Überempfindlichkeit gegen Vorioxetin oder eine beliebige Komponente der Formulierung. Überempfindlichkeitsreaktionen einschließlich Anaphylaxie -Angioödeme und Urtikaria wurden bei Patienten berichtet, die mit Trintellix behandelt wurden [siehe Nebenwirkungen ].
  • Die Verwendung von Maois, die zur Behandlung von psychiatrischen Störungen mit Trintellix oder innerhalb von 21 Tagen nach Beendigung der Behandlung mit Trintellix kontraindiziert sind, ist aufgrund des erhöhten Risikos für das Serotonin -Syndrom kontraindiziert. Die Verwendung von Trintellix innerhalb von 14 Tagen nach Beendigung eines Maoi zur Behandlung von psychiatrischen Störungen ist ebenfalls kontraindiziert [siehe Dosierung und Verwaltung WARNUNGS AND VORSICHTSMASSNAHMEN ].

Das Starten von Trintellix bei einem Patienten, der mit Maois wie Linezolid oder intravenösem Methylenblau behandelt wird WARNUNGS AND VORSICHTSMASSNAHMEN ].

Klinische Pharmakologie for Trintellix

Wirkungsmechanismus

Der Mechanismus der antidepressiven Wirkung von Vorioxetin ist nicht vollständig verstanden, es wird jedoch angenommen, dass sie mit der Verbesserung der serotonergen Aktivität im ZNS durch Hemmung der Wiederaufnahme von Serotonin (5-HT) zusammenhängt. Es gibt auch mehrere andere Aktivitäten, darunter 5-HT3-Rezeptorantagonismus und 5-HT1A-Rezeptor-Agonismus. Der Beitrag dieser Aktivitäten zur antidepressiven Wirkung von Vorioxetin wurde nicht festgestellt.

Pharmakodynamik

Vorioxetin bindet mit hoher Affinität zum menschlichen Serotonintransporter (Ki = 1,6 nm), aber nicht zum Noradrenalin (Ki = 113 nm) oder Dopamin (Ki> 1000 nm) Transporter. Vorioxetin hemmt die Wiederaufnahme von Serotonin (IC50 = 5,4 nm) potent und selektiv. Vortioxetine binds to 5-HT3 (Ki=3.7 nM) 5-HT1A (Ki=15 nM) 5-HT7 (Ki=19 nM) 5- HT1D (Ki=54 nM) and 5-HT1B (Ki=33 nM) receptors and is a 5-HT3 5-HT1D and 5- HT7 receptor antagonist 5-HT1B receptor partial agonist and 5-HT1A-Rezeptoragonist.

Beim Menschen basiert die mittlere 5-HT-Transporterbelegung auf den Ergebnissen von zwei klinischen PET-Studien mit 5-HTT-Liganden ([[[ 11 C] -madam oder [ 11 C] -DASB) betrug ungefähr 50% bei 5 mg/Tag 65% bei 10 mg/Tag und ungefähr 80% bei 20 mg/Tag in den Zinsenregionen.

Auswirkung auf die Herzrepolarisation

Der Effekt von Vorioxetin 10 mg und 40 mg, die einmal täglich auf das QTC-Intervall verabreicht wurden, wurde in einem randomisierten doppelblinden Placebo- und aktiv kontrollierten (Moxifloxacin 400 mg) 400 mg-400-mg-Studien mit vier Behandlungen bei 340 männlichen Probanden bewertet. In der Studie lag die Obergrenze des einseitigen 95% -Konfidenzintervalls für das QTC unter 10 ms der Schwellenwert für regulatorische Anliegen. Die orale Dosis von 40 mg reicht aus, um die Wirkung der metabolischen Hemmung zu bewerten.

Auswirkung auf die Fahrleistung

In einer klinischen Studie an gesunden Probanden beeinträchtigte Trintellix die Fahrleistung nicht oder hatte nach einzelnen und mehreren Dosen von 10 mg/Tag widrige psychomotorische oder kognitive Wirkungen.

Pharmakokinetik

Die pharmakologische Wirbelaktivität der Vorhöfe ist auf das Elternmedikament zurückzuführen. Die Pharmakokinetik von Vorioxetin (NULL,5 mg bis 60 mg) ist linear und dosisproportional, wenn Einstufe einmal täglich verabreicht wird. Die mittlere terminale Halbwertszeit beträgt ungefähr 66 Stunden und die Plasmakonzentrationen im stationären Zustand werden typischerweise innerhalb von zwei Wochen nach der Dosierung erreicht.

Absorption

Die maximale Plasma -Vorioxetinkonzentration (CMAX) nach der Dosierung wird innerhalb von 7 bis 11 Stunden nach der Dose (TMAX) erreicht. Die mittleren Cmax-Werte des stationären Zustands betrugen 9 18 und 33 ng/ml nach Dosen von 5 10 und 20 mg/Tag. Die absolute Bioverfügbarkeit beträgt 75%.

Wirkung von Nahrung

Es wurde keine Auswirkung von Lebensmitteln auf die Pharmakokinetik beobachtet.

Verteilung

Das scheinbare Verteilungsvolumen von Vorioxetin beträgt ungefähr 2600 l, was eine umfassende extravaskuläre Verteilung anzeigt. Die Plasmaproteinbindung von Vorioxetin beim Menschen ist zu 98% unabhängig von Plasmakonzentrationen. Es wird kein offensichtlicher Unterschied in der Plasmaproteinbindung zwischen gesunden Probanden und Probanden mit Leber (leichter mittelschwerer oder schwerer) oder Nieren (leichter mittelschwerer schwerer ESRD) beobachtet.

Beseitigung

Stoffwechsel

Vorioxetin wird hauptsächlich durch Oxidation über Cytochrom p450 -Isozyme CYP2D6 CYP3A4/5 CYP2C19 CYP2C9 CYP2A6 CYP2C8 und CYP2B6 und nachfolgende Glucuronsäure -Konjugation ausgiebig metabolisiert. CYP2D6 ist das primäre Enzym, der den Metabolismus von Vorioxetin zu seinen wichtigsten pharmakologisch inaktiven Carboxylsäure -Metaboliten katalysiert, und schlechte Metabolisierer von CYP2D6 haben ungefähr doppelt so doppelt so Dosierung und Verwaltung ].

Ausscheidung

Nach einer einzelnen oralen Dosis von [ 14 C]-gemeldete Wiroxetin, ungefähr 59% und 26% der verabreichten Radioaktivität wurden im Urin und im Kot als Metaboliten gewonnen. Vernachlässigbare Mengen unveränderter Vorioxetin wurden im Urin bis zu 48 Stunden ausgeschieden. Das Vorhandensein von Leber (leichter mittelschwerer oder schwerer) oder Nierenbeeinträchtigungen (leichter mittelschwerer schwerer und ESRD) hatte keinen Einfluss auf die offensichtliche Clearance von Vorioxetin.

Spezifische Populationen

Es wurden keine klinisch signifikanten Unterschiede in den Expositionen von Vorioxetin beobachtet, die auf der Nierenfunktion des Alters geschlechtsspezifisch oder auf der Leberfunktion beruhen.

Die Auswirkungen von intrinsischen Patientenfaktoren auf die Pharmakokinetik von Vorioxetin sind in Abbildung 1 dargestellt.

Abbildung 1: Einfluss von intrinsischen Faktoren auf das Vorioxetin -PK

Arzneimittelinteraktionsstudien

Klinische Studien

Andere Drogen auf Trintellix

Die Auswirkungen anderer Arzneimittel auf die Wirbelexposition sind in Abbildung 2 zusammengefasst.

Abbildung 2: Einfluss anderer Arzneimittel auf die Vor -Wirbelpk -PK

Trintellix On Other Drugs

Die Auswirkungen von Vorioxetin auf die Expositionen anderer Arzneimittel sind in Abbildung 3 zusammengefasst.

Abbildung 3: Einfluss von Vorioxetin auf PK anderer Arzneimittel

In vitro

Es ist unwahrscheinlich, dass Vorioxetin und seine Metaboliten (en) die folgenden CYP-Enzyme und -transporter basierend auf In-vitro-Daten hemmen: CYP1A2 CYP2A6 CYP2B6 CYP2C8 CYP2C9 CYP2C19 CYP2D6 CYP2E1 CYP3A4/5 P-GP BSP BSP BSEP BSE12-KOT1 OAT1 OAT1 OAT1 OAT1 OT3/5 P-GP BSP BSEP BSEP BSE112-KOG1 OAT1 OAT1 OAT3/5 P. OATP1B3 Okt1 und 2. Oktober. Als solche wären keine klinisch relevanten Wechselwirkungen mit Arzneimitteln, die von diesen CYP -Enzymen oder Transportern metabolisiert/transportiert wurden.

Darüber hinaus induzierte Vorioxetin CYP1A2 CYP2A6 CYP2B6 CYP2C8 CYP2C9 CYP2C19 und CYP3A4/5 in einer In -vitro -Studie an kultivierten menschlichen Hepatozyten. Es ist unwahrscheinlich, dass die chronische Verabreichung von Trintellix den Metabolismus von Arzneimitteln induziert, der durch diese CYP -Isoformen metabolisiert wurde. Darüber hinaus hatten in einer Reihe von Studien zur Interaktion mit klinischen Arzneimitteln von Trintellix mit Substraten für CYP2B6 (z. B. Bupropion) CYP2C9 (z. B. Warfarin) und CYP2C19 (z. B. Diazepam) keine klinische bedeutungsvolle Wirkung auf die Pharmakokinetika dieser Substrate.

Wofür wird Cascara Sagrada verwendet?

Klinische Studien

Die Wirksamkeit von Trintellix bei der Behandlung von MDD wurde in sechs 6 bis 8 Wochen randomisierten, doppelblind-placebokontrollierten festgelegten Studien (einschließlich einer Studie bei älteren Menschen) und einer Erhaltungsstudie an stationären Patienten bei Erwachsenen und ambulanten Patienten, die die diagnostischen und statistischen Handbuch für mentale Störungen (DSM-EV-TR) -kriterien erfüllten, randomisierte.

Erwachsene (18 Jahre bis 75 Jahre)

Die Wirksamkeit von Trintellix bei Patienten im Alter von 18 Jahren bis 75 Jahren wurde in fünf 6 bis 8-wöchigen placebokontrollierten Studien nachgewiesen (Studien 1 bis 5 in Tabelle 5). In diesen Studien wurden die Patienten einmal täglich auf Trintellix 5 mg 10 mg 15 mg oder 20 mg oder Placebo randomisiert. Bei Patienten, die zu Trintellix 15 mg/Tag oder 20 mg/Tag randomisiert wurden, wurden die letzten Dosen von 10 mg/Tag nach der ersten Woche titriert.

Die primären Wirksamkeitsmaßnahmen waren die Gesamtpunktzahl von Hamilton Depression Scale (HAMD-24) in Studie 2 und die Gesamtbewertung von Montgomery-asberg Depressions Scale (MADRS) in allen anderen Studien. In jeder dieser Studien war mindestens eine Dosisgruppe von Trintellix dem Placebo bei der Verbesserung der depressiven Symptome überlegen, gemessen mit mittlerer Änderung von der Grundlinie zum Endpunktbesuch der primären Wirksamkeitsmessung (siehe Tabelle 5). Die Untergruppenanalyse nach Altersgeschlecht oder Rasse deutete keine klaren Hinweise auf eine unterschiedliche Reaktionsfähigkeit vor. Zwei Studien der 5 -mg -Dosis in den USA (nicht in Tabelle 5 dargestellt) zeigten keine Wirksamkeit.

Ältere Studie (64 Jahre bis 88 Jahre)

Die Wirksamkeit von Trintellix zur Behandlung von MDD wurde auch in einer randomisierten doppelblinden placebokontrollierten Fixed-Dosis-Studie mit Trintellix bei älteren Patienten (64 Jahre bis 88 Jahre) mit MDD nachgewiesen (Studie 6 in Tabelle 5). Patienten, die die diagnostischen Kriterien für eine wiederkehrende MDD mit mindestens einer früheren Major Depression vor dem 60 -jährigen und ohne komorbiden kognitive Beeinträchtigung treffen (Mini Mental State Examination Score <24) received Trintellix 5 mg or placebo.

Tabelle 5: Primäre Wirksamkeitsergebnisse von 6 Wochen bis 8 Wochen Klinische Studien

Studie Nr. [Primärmaß] Behandlungsgruppe Anzahl der Patienten Mittlere Basisbewertung
(SD)
LS Mittlere Änderung gegenüber dem Ausgangswert
(Se)
Placebo-subtracted Difference†
(95% dort)
Studie 1 Trintellix
(5 mg/Tag) ‡
108 34.1
(2.6)
-20.4
(1.0)
-5.9
(-8.6 -3.2)
[Madrs] Nicht-USA Trintellix
(10 mg/Tag) ‡
100 34.0
(2.8)
-20.2
(1.0)
-5.7
(-8,5 -2.9)
Studie Placebo 105 33.9
(2.7)
-14.5
(1.0)
- -
Studie 2 Trintellix
(5 mg/Tag)
139 32.2
(5.0)
-15.4
(NULL,7)
-4.1
(-6.2 -2.1)
[Hamd-24] Nicht-USA Trintellix
(10 mg/Tag) ‡
139 33.1
(4.8)
-16.2
(NULL,8)
-4.9
(-7.0 -2.9)
Studie Placebo 139 32.7
(4.4)
-11.3
(NULL,7)
- -
Studie 3 Trintellix
(15 mg/Tag) ‡
149 31.8
(3.4)
-17.2
(NULL,8)
-5.5
(-7,7 -3.4)
[Madrs] Nicht-USA Trintellix
(20 mg/Tag) ‡
151 31.2
(3.4)
-18.8
(NULL,8)
-7.1
(-9.2 -5.0)
Studie Placebo 158 31.5
(3.6)
-11.7
(NULL,8)
- -
Studie 4 Trintellix
(15 mg/Tag)
145 31.9
(4.1)
-14.3
(NULL,9)
-1.5
(-3,9 0,9)
[Madrs] US -Studie Trintellix
(20 mg/Tag) ‡
147 32.0
(4.4)
-15.6
(NULL,9)
-2.8
(-5.1 -0.4)
Placebo 153 31.5
(4.2)
-12.8
(NULL,8)
- -
Studie 5 Trintellix
(10 mg/Tag)
154 32.2
(4.5)
-13.0
(NULL,8)
-2.2
(-4,5 0,1)
[Madrs] Trintellix
(20 mg/Tag) ‡
148 32.5
(4.3)
-14.4
(NULL,9)
-3.6
(-5.9 -1.4)
US -Studium Placebo 155 32.0
(4.0)
-10.8
(NULL,8)
- -
Studie 6
Ältere Menschen) [Hamd-24]
Trintellix
(5 mg/Tag) ‡
155 29.2
(5.0)
-13.7
(NULL,7)
-3.3
(-5.3 -1.3)
USA und Nicht-US-amerikanischen Placebo 145 29.4
(5.1)
-10.3
(NULL,8)
- --
SD: Standardabweichung; SE: Standardfehler; Ls Mittelwert: kleinste Quadrate Mittelwert; CI: Unbereinigtes Konfidenzintervall.
â €
(Medikament minus Placebo) In der durchschnittlichen Quadratmeterwechsel gegenüber dem Ausgangswert.
â € ¡Dosen, die Placebo statistisch signifikant überlegen sind, nachdem sie die Multiplizität angepasst haben.

Trintellix was superior to placebo on the Clinical Global Impression of Improvement (CGI-I) scale which is a clinician’s impression of how much the patient's clinical condition has improved or worsened relative to baseline on a scale of 1 (very much improved) to 7 (very much worse).

Zeitverlauf des Behandlungsangebots

In den 6- bis 8-wöchigen Studien wurden placebokontrollierte Studien eine Auswirkung von Trintellix auf der Grundlage der primären Wirksamkeitsmaßnahme ab Woche 2 im Allgemeinen beobachtet und in den folgenden Wochen mit dem vollständigen Antidepressivum von Trintellix im Allgemeinen erst in der Studie 4 oder später erhöht. Abbildung 4 zeigt den Zeitverlauf der Reaktion in den USA auf der Grundlage der primären Wirksamkeitsmaßnahme (MADRS) in Studie 5.

Abbildung 4: Wechseln Sie von der Ausgangswerterin in MADRS Total Score nach Studienbesuch (Woche) in Studie 5

Abbildung 5: Unterschied zu Placebo in der mittleren Änderung gegenüber dem Ausgangswert in MADRS Total Score in Woche 6 oder Woche 8

â €

Ziffernsymbol Substitutionstest bei schwerer depressiver Störung

Zwei achtwöchige randomisierte, doppelblinde, placebokontrollierte Studien wurden durchgeführt, um die Wirkung von Trintellix auf den Ziffernsymbol Substitutionstest (DSST) während der Behandlung von akutem MDD zu bewerten. Der DSST ist ein neuropsychologischer Test, der die Verarbeitungsgeschwindigkeit am spezifischsten einen Aspekt der kognitiven Funktion misst, der bei MDD beeinträchtigt sein kann. Die Patienten werden gebeten, neun Symbole mit ihrer entsprechenden Zahl (1 bis 9) gemäß einem Schlüssel zu erreichen; Die Punktzahl ist die korrekte Anzahl von Spielen, die in 90 Sekunden erreicht werden. Als Referenz beträgt der Mittelwert für gesunde 45 bis 54-jährige Probanden 50 (SD = 15).

Studie 7 rUndomized adult patients meeting the diagnostic criteria for recurrent MDD to receive Trintellix 10 mg Trintellix 20 mg or placebo once daily. Studie 8 rUndomized adult patients meeting the diagnostic criteria for recurrent MDD Und reporting subjective Schwierigkeiten zu konzentrieren or slow thinking to receive a flexible dose of Trintellix (10 or 20 mg) or placebo once daily. Neither study included patients whose MDD was in remission yet who continued to experience Schwierigkeiten zu konzentrieren or slow thinking. Patients’ mean age was 46 (SD=12) Und 45 (SD=12) in Studie 7 Und 8 respectively. In both studies patients in the Trintellix group had a statistically significantly greater improvement in number of correct responses on the DSST (Table 6); depressed mood as assessed by change from baseline in MADRS total score also improved in both studies.

Tabelle 6: Auswirkung von Trintellix auf den Ziffernsymbol -Substitutionstest (DSST)

Studie No. Behandlungsgruppe Anzahl der Patienten Mittlere Basisbewertung
(SD)
LS Mittlere Änderung gegenüber dem Ausgangswert
(Se)
Placebo-subtracted Difference§
(95% dort)
Studie 7 Trintellix
(10 mg/Tag) ‡
193 42.0
(NULL,6)
9.0
(NULL,6)
4.2
(2.5 5,9)
Trintellix
(20 mg/Tag) ‡
204 41.6
(12.7)
9.1
(NULL,6)
4.3
(2.6 5,9)
Placebo 194 42.4
(13.8)
4.8
(NULL,6)
- -
Studie 8 Trintellix
(10/20 mg/Tag) ‡
175 42.1
(11.9)
4.6
(NULL,5)
1.8
(NULL,3 3,2)
Placebo 167 43.0
(12.3)
2.9
(NULL,5)
- -
SD: Standardabweichung; SE: Standardfehler; Ls Mittelwert: kleinste Quadrate Mittelwert; CI: Unbereinigtes Konfidenzintervall.
§Unterschied
(Medikament minus Placebo) In der durchschnittlichen Quadratmeterwechsel gegenüber dem Ausgangswert.
‡ Dosen sind dem Placebo statistisch signifikant überlegen.

Die auf DSST beobachteten Effekte können die Verbesserung der Depression widerspiegeln. Es wurden keine Vergleichsstudien durchgeführt, um einen therapeutischen Vorteil gegenüber anderen Antidepressiva auf der DSST nachzuweisen.

Wartungsstudien

In einer nicht-US-Erhaltungsstudie (Studie 9 in Abbildung 6) erhielt 639 Patienten, die die DSM-IV-TR-Kriterien für MDD erfüllen, flexible Dosen von Trintellix (5 mg oder 10 mg) einmal täglich während einer ersten 12-wöchigen Open-Label-Behandlungsphase; Die Dosis von Trintellix wurde in den Wochen 8 bis 12 fixiert. Dreihundert neunundneunzig (396) Patienten, die in Remission waren (MADRS-Gesamtpunktzahl ≤ 10 in beiden Wochen 10 und 12), nachdem die Behandlung mit offener Label zufällig der Fortsetzung einer festen Dosis einer festen Dosis von Trintellix bei der endgültigen Dosis zugeordnet wurde (etwa 75% der Patienten, auf 10 mg/Tag). Ungefähr 61% der randomisierten Patienten erfüllten das Remissionskriterium (MADRS -Gesamtwert ≤ 10) für mindestens vier Wochen (seit Woche 8) und 15% für mindestens acht Wochen (seit Woche 4). Patienten auf Trintellix hatten eine statistisch signifikant längere Zeit, um depressive Episoden wieder aufzunehmen als Patienten auf Placebo. Das Wiederauftreten einer depressiven Episode wurde als MADRS -Gesamtpunktzahl von ≥22 oder mangelnde Wirksamkeit definiert, wie vom Ermittler beurteilt.

Abbildung 6: Kaplan-Meier-Schätzungen des Anteils von Patienten mit Rezidiv (Studie 9)

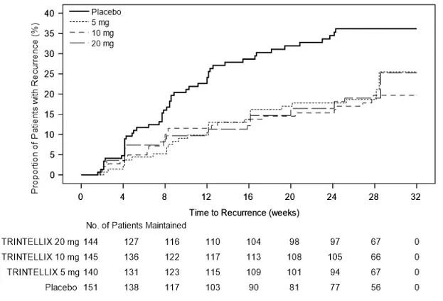
In einer in den USA ansässigen Erhaltungsstudie (Studie 10 in Abbildung 7) wurden 1106 Patienten, die die DSMIV-TR-Kriterien für MDD erfüllen, mit einer festen Dosis von Trintellix 10 mg einmal täglich während einer ersten 16-wöchigen Behandlungsphase von 16 Wochen behandelt. Fünfhundertachtzig (580) Patienten, die in Remission waren (MADRS-Gesamtpunktzahl ≤ 12 in den Wochen 14 und 16) nach einer Open-Label-Behandlung wurden in einem Verhältnis von 1: 1: 1: 1 zu Trintellix 5 mg/Tag 10 mg/Tag 20 mg/Tag oder Placebo täglich für 32 Wochen randomisiert. Die Definition des Rezidivs depressiver Episoden war dieselbe wie in Studie 9. Bei allen drei mit Trintellix behandelten Patienten mit Trintellix bewertete Patienten eine statistisch signifikant längere Zeit für das Wiederauftreten depressiver Episoden als mit Placebo behandelte Patienten.

Abbildung 7: Kaplan-Meier-Schätzungen des Anteils von Patienten mit Rezidiv (Studie 10)

Prospektive Bewertung der Behandlung aufkommende sexuelle Dysfunktion (TESD)

Zwei randomisierte doppelblinde aktive kontrollierte Studien wurden durchgeführt, um die Inzidenz von TESD zwischen Trintellix und SSRIs über ein validiertes selbstbewertetes Maß für die sexuelle Funktion zu vergleichen. Das CSFQ-14 ist so konzipiert, dass die sexuellen Funktionen im Zusammenhang mit Krankheiten und Medikamenten im Zusammenhang mit Krankheiten gemessen werden, die aus 14 Elementen bestehen, die die sexuelle Funktionen als Gesamtpunktzahl messen. Das CSFQ-14 besteht aus Subskalen, die die drei Phasen des sexuellen Reaktionszyklus bewerten (Wunsch Erregung und Orgasmus). Höhere Werte auf dem CSFQ-14 zeigen eine größere sexuelle Funktion und als Referenz wird eine 2-3-Punkte-Änderung als klinisch aussagekräftig angesehen.

Auswirkung des Wechsels von SSRI nach Trintellix auf TESD

Die Auswirkung von Trintellix auf TESD, die durch vorherige SSRI-Behandlung bei MDD-Patienten induziert wurden, deren depressive Symptome angemessen behandelt wurden, wurde in einer achtwöchigen randomisierten, doppelblinden aktiv kontrollierten (Escitalopram) flexiblen Dosierungsstudie bewertet (Studie 11). Patienten, die mindestens acht Wochen lang Citalopram -Sertralin oder Paroxetin einnahmen und auf sexuelle Dysfunktionen auf ihrer SSRI -Behandlung zurückzuführen waren, wurden auf Trintellix (n = 217) oder Escitalopram (n = 207) umgestellt. Für Trintellix und Escitalopram wurden die Patienten mit 10 mg in Woche 1 auf 20 mg gestiegen, gefolgt von einer flexiblen Dosierung. Die Mehrheit der Probanden erhielt während der Studie die 20 mg Dosis von Trintellix (NULL,6%) oder die 20 mg -Dosis Escitalopram (NULL,9%).

Die durch frühere SSRI-Behandlung bei den Probanden induzierte Verbesserung der TESD-TESD war der Verbesserung, die bei den Probanden beobachtet wurde, die auf Escitalopram umgestellt wurden, überlegen (NULL,2-Punkte-Verbesserung gegenüber Escitalopram für die Veränderung von der Ausgangsgrenze bei CSFQ-14-Gesamtwert mit 95% -Konfidenz-Intervall. Für die Änderung von der Basis in CSFQ-14 siehe Abbildung 8.

Abbildung 8: Änderung gegenüber dem Ausgangswert in der CSFQ-14 Gesamtpunktzahl durch Studienbesuch (Woche) in Studie 11

Auswirkungen von gesunden Freiwilligen mit normalem sexuellen Funktionieren zu Studienbeginn

In einer randomisierten gesunden Freiwilligenstudie (Studie 12) mit 348 Probanden im Alter von 18 Jahren bis 40 Jahren mit normalem sexuellen Funktionieren ohne störende Wirkung von Depressionen mit Trintellix 10 mg (n = 85), jedoch nicht mit Trintellix 20 mg (n = 91), war statistisch signifikant weniger als mit Paroxetin 20 mg (n = 83) [zweifellos) [zwei Nebenwirkungen ]. Paroxetine 20 mg was statistically significantly worse than placebo (n=89) confirming assay sensitivity in this study. For change from Baseline in CSFQ-14 see Figure 9.

Abbildung 9: Änderung von Ausgangswert in der CSFQ-14 Gesamtpunktzahl durch Studienbesuch (Woche) bei gesunden Freiwilligen (Studie 12)

Patienteninformationen für Trintellix

Trintellix
(Trintell-IX)
(Vorioxetin) Tabletten

Was sind die wichtigsten Informationen, die ich über Trintellix wissen sollte?

Trintellix can cause serious side effects including:

  • Erhöhtes Risiko für Selbstmordgedanken und Handlungen. Trintellix Und other antidepressant medicines may increase suicidal thoughts Und actions in some people 24 years of age Und younger especially within the first few months of treatment or when the dose is changed. Trintellix is not for use in children.
    • Depressionen oder andere psychische Erkrankungen sind die wichtigsten Ursachen für Selbstmordgedanken oder Handlungen.

Wie kann ich nachsehen und versuchen, Selbstmordgedanken und Handlungen zu verhindern?

  • Achten Sie genau auf Veränderungen, insbesondere auf plötzliche Veränderungen der Gedanken oder Gefühle des Stimmungsverhaltens. Dies ist sehr wichtig, wenn ein Antidepressivum begonnen wird oder wenn die Dosis geändert wird.
  • Rufen Sie Ihren Gesundheitsdienstleister sofort an, um neue oder plötzliche Veränderungen der Gedankenverhaltens oder Gefühle für das Stimmungsverhalten zu melden, oder wenn Sie Selbstmordgedanken oder Handlungen entwickeln.
  • Führen Sie alle Follow-up-Besuche bei Ihrem Gesundheitsdienstleister wie geplant. Rufen Sie Ihren Gesundheitsdienstleister zwischen den Besuchen nach Bedarf an, insbesondere wenn Sie Bedenken hinsichtlich der Symptome haben.

Rufen Sie Ihren Gesundheitsdienstleister an oder erhalten Sie sofort Notfallhilfe, wenn Sie eines der folgenden Symptome haben, insbesondere wenn sie neu sind, schlechter sind oder Sie besorgen:

  • Versuche, Selbstmord zu begehen
  • auf gefährliche Impulse wirken
  • aggressiv oder gewalttätig handeln
  • Gedanken über Selbstmord oder Sterben
  • Neue oder schlechtere Depression
  • Neue oder schlechtere Angst- oder Panikattacke
  • Unruhellos wütend oder gereizt fühlen
  • Probleme beim Schlafen
  • eine Zunahme der Aktivität oder das Sprechen mehr als das, was für Sie normal ist
  • Andere ungewöhnliche Verhaltensänderungen in Verhalten oder Stimmung

Was ist Trintellix?

Trintellix is a prescription medicine used in adults to treat a certain type of depression called Major Depressive Disorder (MDD).

Nehmen Sie Trintellix nicht, wenn Sie:

  • sind allergisch gegen Wiroxetin oder einen der Zutaten in Trintellix. Eine vollständige Liste von Zutaten in Trintellix finden Sie im Ende dieses Medikamentenleitfadens
  • Nehmen Sie einen Monoaminoxidase -Inhibitor (MAOI)
  • habe in den letzten 14 Tagen aufgehört, einen Maoi zu nehmen
  • werden mit dem Antibiotika -Linezolid oder dem intravenösen Methylenblau behandelt

Fragen Sie Ihren Gesundheitsdienstleister oder Apotheker, ob Sie sich nicht sicher sind, ob Sie ein MAOI oder eines dieser Medikamente einnehmen, einschließlich des Antibiotikum -Linezolids oder des intravenösen Methylenblau.

Starten Sie Trintellix nicht, wenn Sie in den letzten 14 Tagen aufgehört haben, einen Maoi zu nehmen.

Nehmen Sie nicht mindestens 21 Tage nach der Beendigung der Behandlung mit Trintellix mit einem Maoi.

Bevor Sie Trintellix nehmen, teilen Sie Ihrem Gesundheitsdienstleister alle Ihre medizinischen Erkrankungen mit, einschließlich, wenn Sie:

  • Anfälle oder Krämpfe haben oder hatte
  • Blutungsprobleme haben oder hatte
  • eine Familiengeschichte von bipolaren Störungen Manie oder Hypomanie haben oder haben
  • hohen Druck im Auge haben (Glaukom)
  • haben niedrige Natriumspiegel im Blut
  • sind schwanger oder planen, schwanger zu werden. Trintellix kann Ihrem ungeborenen Baby schaden. Wenn Sie Trintellix während Ihres dritten Schwangerschaftstrimesters einnehmen, kann Ihr Baby nach der Geburt Entzugssymptome haben oder dass Ihr Baby bei der Geburt ein erhöhtes Risiko für ein schwerwiegendes Lungenproblem hat. Sprechen Sie mit Ihrem Gesundheitsdienstleister über die Risiken für Sie und Ihr ungeborenes oder neugeborenes Baby, wenn Sie während der Schwangerschaft Trintellix einnehmen.
    • Teilen Sie Ihrem Gesundheitsdienstleister sofort mit, wenn Sie schwanger werden oder denken, dass Sie während der Behandlung mit Trintellix schwanger sind.
    • Es gibt ein Schwangerschaftsregister für Frauen, die während der Schwangerschaft Trintellix ausgesetzt sind. Ziel des Registers ist es, Informationen über die Gesundheit von Frauen zu sammeln, die Trintellix und ihrem Baby ausgesetzt sind. Wenn Sie während der Behandlung mit Trintellix schwanger werden, sprechen Sie mit Ihrem Gesundheitsdienstleister über die Registrierung im Nationalen Schwangerschaftsregister für Antidepressiva unter 1-844-405-6185 oder besuchen Sie online unter https://womenmentalhealth.org/clinical-and-researchprograms/pregnancyRegistry/antidepressants/.
  • stillen oder planen zu stillen. Es ist nicht bekannt, ob Trintellix in Ihre Muttermilch übergeht. Sprechen Sie mit Ihrem Gesundheitsdienstleister darüber, wie Sie Ihr Baby während der Behandlung mit Trintellix am besten füttern können.

Teilen Sie Ihrem Gesundheitsdienstleister über alle Medikamente, die Sie einnehmen einschließlich verschreibungspflichtiger und rezeptfreier Medikamente Vitamine und Kräuterpräparate.

Trintellix Und some other medicines may affect each other causing possible serious side effects. Trintellix may affect the way other medicines work Und other medicines may affect the way Trintellix works.

Sagen Sie Ihrem Gesundheitsdienstleister vor allem, wenn Sie einnehmen:

  • Medikamente zur Behandlung von Migränekopfschmerzen namens Triptans
  • trizyklische Antidepressiva
  • Lithium
  • Tramadol Fentanyl -Meperidin -Methadon oder andere Opioide
  • Tryptophan
  • Buspiron
  • St. Johns Würze
  • Arzneimittel, die die Blutgerinnung wie Aspirin-nichtsteroidale entzündungshemmende Medikamente (NSAIDS) beeinflussen können
  • Diuretika

Fragen Sie Ihren Gesundheitsdienstleister, ob Sie nicht sicher sind, ob Sie diese Medikamente einnehmen. Ihr Gesundheitsdienstleister kann Ihnen sagen, ob es sicher ist, Trintellix mit Ihren anderen Medikamenten einzunehmen.

Beginnen oder stoppen Sie keine anderen Medikamente während der Behandlung mit Trintellix, ohne zuerst mit Ihrem Gesundheitsdienstleister zu sprechen. Wenn Sie Trintellix plötzlich stoppen, können Sie schwerwiegende Nebenwirkungen haben. Sehen â € žWas sind die möglichen Nebenwirkungen von Trintellix?

Kennen Sie die Medikamente, die Sie einnehmen. Halten Sie eine Liste von ihnen, um Ihrem Gesundheitsdienstleister und Apotheker zu zeigen, wenn Sie ein neues Medikament erhalten.

Wie soll ich Trintellix nehmen?

  • Nehmen Sie Trintellix genau so, wie Ihr Gesundheitsdienstleister Ihnen sagt, dass Sie es nehmen sollen. Ihr Gesundheitsdienstleister muss möglicherweise die Dosis von Trintellix ändern, bis es die richtige Dosis für Sie ist.
  • Nehmen Sie Trintellix täglich 1 Mal.
  • Trintellix may be taken with or without food.
  • Wenn Sie zu viel Trintellix nehmen, rufen Sie Ihr Poison Control Center unter 1-800-222-1222 an oder gehen Sie sofort in die nächste Notaufnahme des Krankenhauses.

Was sind die möglichen Nebenwirkungen von Trintellix?

Trintellix may cause serious side effects including:

  • Sehen  »Was sind die wichtigsten Informationen, die ich über Trintellix wissen sollte?
  • Serotons Syndrom. Ein potenziell lebensbedrohliches Problem namens Serotonin-Syndrom kann auftreten, wenn Sie Trintellix mit bestimmten anderen Medikamenten einnehmen. Siehe Wer sollte Trintellix nicht nehmen? Rufen Sie Ihren Gesundheitsdienstleister an oder gehen Sie sofort in die nächste Notaufnahme des Krankenhauses Wenn Sie die folgenden Anzeichen und Symptome des Serotonin -Syndroms haben:
    • Agitation
    • Schwitzen
    • Dinge sehen oder hören, die nicht real sind (Halluzinationen)
    • spülen
    • Verwirrung
    • hohe Körpertemperatur (Hyperthermie)
    • Koma
    • Schütteln (Zittern) Steife Muskeln oder Muskelzucken
    • Schneller Herzschlag
    • Koordinierungsverlust
    • Blutdruckänderungen
    • Anfälle
    • Schwindel
    • Brechreiz Erbrechen Durchfall
  • Erhöhtes Blutungsrisiko. Das Einnehmen von Trintellix mit nicht stertoidalen entzündungshemmenden Arzneimitteln (NSAIDS), Warfarin oder Blutverdünnern (NSAIDs), kann dieses Risiko erhöhen. Teilen Sie Ihrem Gesundheitsdienstleister sofort über ungewöhnliche Blutungen oder Blutergüsse mit.
  • Manische Episoden. Manische Episoden können bei Menschen mit bipolarer Störung auftreten, die Trintellix einnehmen. Symptome können ein sein:
    • stark erhöhte Energie
    • schwere Probleme schlafen
    • Renngedanken
    • rücksichtsloses Verhalten
    • ungewöhnlich große Ideen
    • übermäßiges Glück oder Reizbarkeit
    • mehr oder schneller sprechen als gewöhnlich
  • Abbruchsyndrom. Plötzlich kann das Anhalten von Trintellix dazu führen, dass Sie schwerwiegende Nebenwirkungen haben. Ihr Gesundheitsdienstleister möchte Ihre Dosis möglicherweise langsam verringern. Symptome können ein sein:
    • Brechreiz
    • Elektroschockgefühl (Parästhesie)
    • Müdigkeit
    • Schwitzen
    • Tremor
    • Probleme beim Schlafen
    • Veränderungen in Ihrer Stimmung
    • Angst
    • Hypomanie
    • Reizbarkeit und Aufregung
    • Verwirrung
    • in den Ohren klingeln (Tinnitus)
    • Schwindel
    • Kopfschmerzen
    • Anfälle
  • Augenprobleme (Glaukom für Winkelverschluss). Trintellix may cause a type of eye problem called angle-closure Glaukom in people with certain other eye conditions. You may want to undergo an eye examination to see if you are at risk Und receive preventative treatment if you are. Call your healthcare provider if you have eye pain changes in your vision or swelling or Rotness in or around the eye.
  • Niedrige Natriumspiegel in Ihrem Blut (Hyponatriämie). Niedrige Natriumspiegel in Ihrem Blut, die schwerwiegend sein können und den Tod verursachen können, kann während der Behandlung mit Trintellix auftreten. Ältere Menschen und Menschen, die bestimmte Medikamente einnehmen, haben möglicherweise ein höheres Risiko für die Entwicklung niedriger Natriumspiegel in Ihrem Blut. Anzeichen und Symptome können umfassen:
    • Kopfschmerzen
    • Schwierigkeiten zu konzentrieren
    • Speicheränderungen
    • Verwirrung
    • Schwäche und Unstetigkeit an Ihren Füßen, die zu Stürzen führen kann

In schwereren oder plötzlicheren Fällen umfassen Anzeichen und Symptome:

    • Dinge sehen oder hören, die nicht real sind (Halluzinationen)
    • Ohnmacht
    • Anfälle
    • Koma
    • Atem stoppen (Atemstillstand)
  • Sexuelle Probleme (Dysfunktion). Die Einnahme von Trintellix kann sexuelle Probleme verursachen. Die Symptome bei Männern können umfassen:
    • Verzögerte Ejakulation oder Unfähigkeit, eine Ejakulation zu haben
    • Verringerter Sexualtrieb
    • Probleme, eine Erektion zu bekommen oder beizubehalten
  • Die Symptome bei Frauen können umfassen:
    • Verringerter Sexualtrieb
    • Verzögerter Orgasmus oder Unfähigkeit, einen Orgasmus zu haben

Sprechen Sie mit Ihrem Gesundheitsdienstleister, wenn Sie Änderungen in Ihrer sexuellen Funktion entwickeln oder Fragen oder Bedenken zu sexuellen Problemen während der Behandlung mit Trintellix haben. Es kann Behandlungen geben, die Ihr Gesundheitsdienstleister vorschlagen kann.

Die häufigsten Nebenwirkungen von Trintellix sind Brechreiz Verstopfung Erbrechen.

Dies sind nicht alle möglichen Nebenwirkungen von Trintellix.

Rufen Sie Ihren Arzt an, um medizinische Beratung zu Nebenwirkungen zu erhalten. Sie können die FDA bei 1-800-FDA-1088 Nebenwirkungen melden.

Wie soll ich Trintellix aufbewahren?

  • Lagern Sie Trintellix bei Raumtemperatur zwischen 20 ° C bis 25 ° C.
  • Halten Sie Trintellix und alle Medikamente außerhalb der Reichweite der Kinder.

Allgemeine Informationen über den sicheren und effektiven Einsatz von Trintellix.

Medikamente werden manchmal für andere Zwecke als die in einem Medikamentenhandbuch aufgeführten Zwecke verschrieben. Nehmen Sie Trintellix nicht für einen Zustand, für den es nicht vorgeschrieben war. Geben Sie Trintellix anderen Menschen nicht, auch wenn sie die gleichen Symptome haben, die Sie haben. Es kann ihnen schaden. Sie können Ihren Apotheker oder Gesundheitsdienstleister um Informationen zu Trintellix fragen, die für medizinische Fachkräfte geschrieben wurden.

Was sind die Zutaten in Trintellix?

Venlafaxin HCl ist 75 mg Kappe

Wirkstoff: Wirbelhydrobromid

Inaktive Zutaten: MANNITOL MIKRILYSTALLINE Cellulosehydroxypropylcellulose -Natriumstärkglykolat -Magnesium -Stearat und Filmbeschichtung, bestehend aus Hypromellose -Titaniumdioxid -Polyethylenglykol 400 Eisenoxidrötung (5 mg und 20 mg) und Eisenoxid (10 mg), (10 mg) (10 mg) (10 mg) (10 mg) (10 mg) (10 mg) (10 mg) (10 mg)

Dieser Medikamentenführer wurde von der US -amerikanischen Food and Drug Administration zugelassen.