Die Informationen Auf Dieser Website Stellen Keine Medizinische Beratung Dar. Wir Verkaufen Nichts. Die Richtigkeit Der Übersetzung Wird Nicht Garantiert. Haftungsausschluss



Darvocet-n

Drogenzusammenfassung

Was ist Darvocet-n?

Darvocet-n (Propoxyphen und Paracetamol) ist eine Kombination aus einem Betäubungsmittelschmerz und einem weniger starken Schmerzmittel und einem Fieber-Reduzierer zur Behandlung von leichten bis mittelschweren Schmerzen. Der Markenname Darvocet-N ist in den US-amerikanischen Generika nicht mehr verfügbar.

Was sind Nebenwirkungen von Darvocet-n?

Häufige Nebenwirkungen von Darvocet-n (Propoxyphen und Paracetamol) umfassen:



  • Benommenheit
  • Schwindel
  • Kopfschmerzen
  • verschwommenes Sehen
  • Trockener Mund
  • Beruhigung
  • Brechreiz
  • Erbrechen
  • Magenverstimmung
  • Schläfrigkeit und
  • Verstopfung.

Darvocet-n (Propoxyphen und Paracetamol) kann Gewohnheitsformen sein.



Dosierung für Darvocet-n

Die empfohlene erwachsene Dosis beträgt nach Bedarf 1-2 Tabletten alle 4 Stunden. Es ist nicht bekannt, ob diese kleinen Beträge bei Pflegedaten Nebenwirkungen verursachen können.

Welche Medikamentensubstanzen oder Nahrungsergänzungsmittel interagieren mit Darvocet-n?

Darvocet-n kann mit anderen Medikamenten interagieren, die Schläfrigkeit verursachen oder Ihre Atmung verlangsamen können (Kalt- oder Allergie-Medikamente Schlaftabletten Muskelrelaxer Antidepressiva oder Anfallmedikamente) Aspirin Blutverdünner Geburtenpillen Dexamethason Diuretika (Wasserpillen) St. Johns Würze Antibiotika Antimykitures Barbiturate Herz- oder Blutdruckmedikamente und HIV- oder AIDS -Medikamente. Sagen Sie Ihrem Arzt alle Medikamente und Nahrungsergänzungsmittel, die Sie verwenden.



Darvocet-n während der Schwangerschaft und Stillen

Sagen Sie Ihrem Arzt, wenn Sie schwanger sind oder planen, während der Behandlung mit Darvocet-n schwanger zu werden. Es ist nicht bekannt, ob Darvocet-n für einen Fötus schädlich ist, aber es kann bei einem Neugeborenen Atemprobleme oder Sucht-/ Entzugssymptome verursachen. Darvocet-n kann in Muttermilch übergehen und einem Pflegebaby schädigen. Wenden Sie sich vor dem Stillen an Ihren Arzt.

Weitere Informationen

Unser Darvocet-N-Nebenwirkungen Arzneimittelzentrum bietet einen umfassenden Überblick über die verfügbaren Arzneimittelinformationen über die potenziellen Nebenwirkungen bei der Einnahme dieses Medikaments.

FDA -Drogeninformationen

Warnungen

  • Es gab zahlreiche Fälle von zufälliger und absichtlicher Überdosierung mit Propoxyphen -Produkten, entweder allein oder in Kombination mit anderen ZNS -Depressiva, einschließlich Alkohol. Todesfälle innerhalb der ersten Stunde der Überdosierung sind nicht ungewöhnlich. Viele der propoxyphenbezogenen Todesfälle sind bei Patienten mit früheren Anams von emotionalen Störungen oder Suizidgedanken/-versuchen und/oder gleichzeitig verabreicht von Beruhigungsmittel-Muskelrelaxantien-Antidepressiva oder anderen ZNS-DePressiva-Medikamenten aufgetreten. Verschreiben Sie keine Propoxyphen für Patienten, die selbstmörderisch sind oder eine Vorgeschichte von Selbstmordgedanken haben.
  • The metabolism of propoxyphene may be altered by strong CYP3A4 inhibitors (such as ritonavir ketoconazole itraconazole troleandomycin clarithromycin nelfinavir nefazadone amiodarone amprenavir aprepitant diltiazem erythromycin fluconazole fosamprenavir grapefruit juice and Verapamil), was zu verstärkten Propoxyphen -Plasmaspiegeln führt. Patienten, die Propoxyphen erhalten, und jeder CYP3A4 -Inhibitor sollte über einen längeren Zeitraum sorgfältig überwacht werden, und die Dosierungsanpassungen sollten vorgenommen werden, wenn dies gerechtfertigt ist (siehe Klinische Pharmakologie - Wechselwirkungen mit Arzneimitteln Und Warnungen VORSICHTSMASSNAHMEN Und Dosierung und Verwaltung Weitere Informationen).

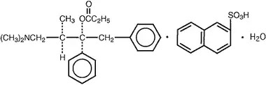
Beschreibung für Darvocet-n

Darvocet-n-n enthält Propoxyphen-Napsylat und Paracetamol.

Propoxyphen -Napsylat USP ist ein geruchloses weißes kristallines Pulver mit einem bitteren Geschmack. Es ist sehr leicht löslich in Wasser und löslich in Methanolethanolchloroform und Aceton. Chemisch ist es (α S 1 R ) -α- [2- (Dimethylamino) -1-methylethyl] -α-Phenylphenethylpropionatverbindung mit 2-Naphthalenesulfonsäure (1: 1) -Monohydrat, das durch die begleitende strukturelle Formel dargestellt werden kann. Sein Molekulargewicht beträgt 565,72.

Propoxyphen -Napsylat unterscheidet sich von Propoxyphenhydrochlorid, da es stabilere flüssige Dosierungsformen und Tablettenformulierungen ermöglicht. Aufgrund der Unterschiede im Molekulargewicht ist eine Dosis von 100 mg (NULL,8 µmol) Propoxyphen -Napsylat erforderlich, um eine Menge Propoxyphen zu liefern, die dem in 65 mg (NULL,9 µmol) Propoxyphenhydrochlorid vorhanden sind.

Acetaminophen 4'-Hydroxyacetanilid ist ein nicht-opiates nicht-salicylatalgetisches und antipyretisch, das als weißes, geruchloses kristallines Pulver auftritt und einen leicht bitteren Geschmack besitzt. Die molekulare Formel für Paracetamol ist c 8 H 9 NEIN 2 Und the molecular weight is 151.17. It may be represented by the following structural formula:

Jedes Tablet von Darvocet-N-N (Propoxyphen-Napsylat und Paracetamol) 50 enthält 50 mg (NULL,4 µmol) Propoxyphen-Napsylat und 325 mg (2150 µmol) Acetaminophen.

Neomycin-Polymyxin-Hydrocortison-Otic

Jedes Tablet von Darvocet-N-N (Propoxyphen-Napsylat und Paracetamol) 100 enthält 100 mg (NULL,8 µmol) Propoxyphen-Napsylat und 650 mg (4300 µmol) Acetaminophen.

Jedes Tablet enthält auch Amberlite Cellulose F D.

Verwendung für Darvocet-n

Darvocet-n (Propoxyphen-Napsylat und Paracetamol) ist zur Linderung von leichten bis mittelschweren Schmerzen angezeigt.

Dosierung für Darvocet-n

Darvocet-N (Propoxyphen-Napsylat und Paracetamol) ist zur Behandlung von leichten bis mittelschweren Schmerzen gedacht. Die Dosis sollte individuell entsprechend der Schwere der Schmerzpatientenreaktion und der Patientengröße eingestellt werden.

Darvocet-n (Propoxyphen-Napsylat und Paracetamol) 100 (100 mg Propoxyphen-Napsylat und 650 mg Paracetamol)

Die übliche Dosierung ist alle 4 Stunden oral nach Bedarf für Schmerzen. Die maximale Dosis von Darvocet-N (Propoxyphen-Napsylat und Paracetamol) 100 beträgt 6 Tabletten pro Tag. Überschreiten Sie die maximale tägliche Dosis nicht.

Darvocet-n (Propoxyphen-Napsylat und Paracetamol) 50 (50 mg Propoxyphen-Napsylat und 325 mg Paracetaminophen)

Die übliche Dosierung besteht aus zwei Tabletten alle 4 Stunden oral, wenn es für Schmerzen erforderlich ist. Die maximale Dosis von Darvocet-N (Propoxyphen-Napsylat und Paracetamol) 50 beträgt 12 Tabletten pro Tag. Überschreiten Sie die maximale tägliche Dosis nicht.

Patienten, die Propoxyphen erhalten, und jeder CYP3A4 -Inhibitor sollten über einen längeren Zeitraum sorgfältig überwacht werden, und die Dosierungsanpassungen sollten vorgenommen werden, wenn dies gerechtfertigt ist.

Bei älteren Patienten und Patienten mit Leber- oder Nierenbeeinträchtigung sollte eine verringerte tägliche Dosierung bei älteren Menschen berücksichtigt werden.

Einstellung der Therapie

For patients who used Darvocet-N (propoxyphene napsylate and acetaminophen) on a regular basis for a period of time when therapy with Darvocet-N (propoxyphene napsylate and acetaminophen) is no longer needed for the treatment of their pain it may be useful to gradually discontinue the Darvocet-N (propoxyphene napsylate and acetaminophen) over time to prevent the development of Ein Opioid -Abstinenz -Syndrom (Narkotikentzug). Im Allgemeinen kann die Therapie mit sorgfältiger Überwachung von Anzeichen und Entzugssymptomen um 25% bis 50% pro Tag verringert werden (siehe Drogenmissbrauch und Abhängigkeit Zur Beschreibung der Anzeichen und Symptome des Entzugs ). Wenn der Patient diese Anzeichen oder Symptome entwickelt, sollte die Dosis auf das vorherige Niveau angehoben und langsamer abgebaut werden, indem entweder das Intervall zwischen Abnahme der Verringerung der Änderung der Dosis oder beides erhöht wird.

Wie geliefert

Darvocet-N (Propoxyphen-Napsylat und Paracetamol) sind in:

Die 50-mg-Tabletten sind dunkelorange Kapsel geformte filmbeschichtete und mit dem Drehbuch 'Darvocet-N (Propoxyphen-Napsylat und Paracetamol) 50' auf einer Seite des Tablets mit essbarer schwarzer Tinte geprägt. Sie sind wie folgt erhältlich:

Flaschen mit 100 ......................... NDC 66479-514-10

Die 100-mg-Tabletten sind dunkelorange-Kapsel geformt und mit dem Drehbuch 'Darvocet-N (Propoxyphen-Napsylat und Paracetamol) 100' auf einer Seite des Tablets mit essbarer schwarzer Tinte geprägt. Sie sind wie folgt erhältlich:

Flaschen mit 100 ......................... NDC 66479-515-10
Flaschen von 500 ......................... NDC 66479-515-50

Speichern Sie bei 25 ° C (77 ° F); Ausflüge sind auf 15 °- 30 ° C (59 °- 86 ° F) zulässig [siehe USP -kontrollierte Raumtemperatur ].

Informieren Sie die Patienten über die Verfügbarkeit eines Medikamentenhandbuchs für Darvocet-N (Propoxyphen-Napsylat und Paracetamol), das jedes verschreibungspflichtige verteilte begleitet. Weisen Sie die Patienten an, das Darvocet-N-Medikamentenhandbuch (Propoxyphen-Napsylat und Paracetamol) vor der Verwendung von Darvocet-N (Propoxyphen-Napsylat und Paracetamol) zu lesen.

Vermarktet von: Xanodyne Pharmaceuticals Inc. Newport KY 41071. Rev. 09/2009

Nebenwirkungen for Darvocet-N

In klinischen Studien waren die am häufigsten berichteten unerwünschten Reaktionen Schwindel -Sedierungs -Übelkeit und Erbrechen. Andere nachteilige Reaktionen sind Verstopfung Bauchschmerzen Hautausschläge, Benommenheit Kopfschmerz Schwäche Euphorie Dysphorie Halluzinationen und geringfügige Sehstörungen.

Zu den am häufigsten berichteten nach dem Stempeln von unerwünschten Ereignissen gehörten ein versehentliches Selbstmord und eine absichtliche Überdosierungsmedikamentenabhängigkeit Herzstillstand Coma Drug Ineffektive Wirkstofftoxizität Übelkeit der Atemstillung kardio-respiratorischer Festnahme Tod Erbrechen Schwindel-Konvusionszustand und Diarrhea.

Zusätzliche nachteilige Erfahrungen, die durch Überwachung nach dem Stempeln gemeldet wurden, sind:

Herzerkrankungen: Arrhythmus

Augenstörung: Augenschwellungsvision verschwommen

Allgemeine Bedingungen für Störungen und Verwaltungsstandort: Arzneimittel ineffektive Arzneimittelwechselwirkungsmedikamenten -Toleranz Influenza -Krankheitskrankheit Drogenentzugssyndrom

Magen -Darm -Störung: gastrointestinale Blutung akute Pankreatitis

Hepatobiliäre Störung: hepatische Steatose -Hepatomegalie -Hepatozellulationsverletzung

Störung des Immunsystems: Überempfindlichkeit

Verletzungsvergiftung und Verfahrenskomplikationen: Drogentoxizität Hüftfraktur mehrfacher Drogenüberdosis Betäubungsmittelüberdosierung

Untersuchungen: Der Blutdruck verringerte die Herzfrequenz erhöht/abnormal

Stoffwechsel- und Ernährungsstörung: metabolische Azidose

Störung des Nervensystems: Ataxie Koma Schwindel Somnolence Synkope

Psychiatrisch: Abnormale Verhalten Verwirrungstaatliche Halluzinationen Geistes Statusänderung

Atemstörungen für Brust- und Mediastinalerkrankungen: Atemdepression Dyspnoea

Haut und subkutane Gewebeerkrankung: Ausschlag Juckreiz

Die Leberfunktionsstörung wurde in Verbindung mit beiden aktiven Komponenten von Darvocet-n (Propoxyphen-Napsylat und Paracetamol) 50 und Darvocet-n (Propoxyphen-Napsylat und Paracetamol) 100. Die Lebernekrose kann aus einer akuten Überdosis von Paracetamol resultieren (siehe Überdosierung ). Bei chronischen Ethanol-Missbrauchern wurde dies selten mit kurzfristiger Verwendung von Acetamol-Dosierungen von 2,5 bis 10 g/Tag berichtet. Es sind Todesfälle aufgetreten.

Es wurden auch Berichte über die papilläre Nierennekrose im Zusammenhang mit der Verwendung von chronischen Paracetamol -Verwendung nach demmarkten, insbesondere wenn die Dosierung größer als empfohlen ist und in Kombination mit Aspirin. Nach chronischer Propoxyphen -Überdosierung wurde eine subakute schmerzhafte Myopathie berichtet.

Drogenmissbrauch und Abhängigkeit

Kontrollierte Substanz

Darvocet-N (Propoxyphen-Napsylat und Paracetamol) ist nach dem US-amerikanischen kontrollierten Substanzengesetz ein Narkotikum für Schedule IV. Darvocet-n (Propoxyphen-Napsylat und Paracetamol) kann eine Arzneimittelabhängigkeit vom Morphintyp hervorrufen und hat daher das Potenzial, missbraucht zu werden. Die physische Abhängigkeit und Toleranz der psychischen Abhängigkeit kann sich bei wiederholter Verabreichung entwickeln. Darvocet-n (Propoxyphen-Napsylat und Paracetamol) sollte verschrieben und mit dem gleichen Grad an Vorsicht verabreicht werden, der für die Verwendung anderer narkotischhaltiger Medikamente geeignet ist.

Missbrauch

Da Darvocet-n (Propoxyphen-Napsylat und Paracetamol) ein Mu-opioid-Agonist ist, kann es sich um Missbrauch und Sucht ausgesetzt sein. Die Sucht nach Opioiden, die für die Schmerzbehandlung verschrieben wurden, wurde nicht geschätzt. Anträge auf Opioide von opioidabhängigen Patienten treten jedoch auf. Als solche sollten Ärzte bei der Verschreibung von Darvocet-n (Propoxyphen-Napsylat und Paracetamol) angemessen darauf achten.

Abhängigkeit

Opioidanalgetika können zu einer psychischen und physischen Abhängigkeit führen. Die körperliche Abhängigkeit führt zu Entzugssymptomen bei Patienten, die das Arzneimittel nach langfristiger Verabreichung abrupt abbrechen. Auch Entzugssymptome können durch die Verabreichung von Arzneimitteln mit mu-opioidem Antagonistenaktivität, z. Naloxon oder gemischte Agonisten/Antagonisten -Analgetika (Pentazozin -Butorphanol Nalbuphine Dezocin) (siehe Überdosierung ). Die physische Abhängigkeit tritt normalerweise erst nach mehreren Wochen nach mehreren Wochen der anhaltenden Opioidverwendung in einem klinisch signifikanten Maße auf. Die Toleranz, bei der zunehmend größere Dosen erforderlich sind, um den gleichen Analgesiegrad zu erzeugen, zeigt sich zunächst durch eine verkürzte Dauer eines analgetischen Effekts und anschließend durch Abnahme der Intensität der Analgesie.

Bei chronischen Schmerzpatienten und bei Opioid-toleranten Krebspatienten sollte die Verabreichung von Darvocet-n (Propoxyphen-Napsylat und Paracetamol) durch den Grad der Toleranz geleitet werden, das sich manifestiert und die Dosen, die zur angemessenen Linderung von Schmerzen erforderlich sind.

Der Schweregrad des Entstinenzyndroms von Darvocet-N (Propoxyphen-Napsylat und Paracetamol) kann vom Grad der physikalischen Abhängigkeit abhängen. Der Entzug ist gekennzeichnet durch Rhinitis Myalgie -Bauchkrampf und gelegentlich Durchfall. Die meisten beobachtbaren Symptome verschwinden in 5 bis 14 Tagen ohne Behandlung; Es kann jedoch eine Phase der sekundären oder chronischen Abstinenz geben, die 2 bis 6 Monate dauern kann, die durch Schlaflosigkeit und Muskelschmerzen gekennzeichnet sind. Der Patient kann durch allmähliche Reduktion der Dosis entgiftet werden. Magen -Darm -Störungen oder Dehydration sollten mit unterstützender Pflege behandelt werden.

Wechselwirkungen mit Arzneimitteln for Darvocet-N

Wechselwirkungen mit Arzneimitteln with Propoxyphene

Propoxyphen wird hauptsächlich über das humane Cytochrom p450 3A4 -Isoenzymsystem (CYP3A4) metabolisiert. Daher können mögliche Wechselwirkungen auftreten, wenn Propoxyphen gleichzeitig mit Wirkstoffen verabreicht wird, die die CYP3A4 -Aktivität beeinflussen.

The metabolism of propoxyphene may be altered by strong CYP3A4 inhibitors (such as ritonavir ketoconazole itraconazole troleandomycin clarithromycin nelfinavir nefazadone amiodarone amprenavir aprepitant diltiazem erythromycin fluconazole fosamprenavir grapefruit juice and Verapamil), was zu verstärkten Propoxyphen -Plasmaspiegeln führt. Die gleichzeitige Verabreichung mit Wirkstoffen, die die CYP3A4 -Aktivität induzieren, kann die Wirksamkeit von Propoxyphen verringern. Starke CYP3A4 -Induktoren wie Rifampin können zu einem verstärkten Metaboliten (Norpropoxyphen) -Pegeln führen.

Es wird auch angenommen, dass Propoxyphen CYP3A4- und CYP2D6 -Enzym -hemmende Eigenschaften besitzt, und gleichzeitig mit Arzneimitteln, die auf einem dieser Enzyme für den Stoffwechsel beruhen, können zu erhöhten pharmakologischen oder nachteiligen Wirkungen dieses Arzneimittels führen. Schwere neurologische Anzeichen, einschließlich Koma, sind mit gleichzeitiger Verwendung von Carbamazepin (metabolisiert durch CYP3A4) aufgetreten.

Ein erhöhtes Blutungsrisiko wurde bei Warfarin-ähnlichen Wirkstoffen beobachtet, wenn sie zusammen mit Propoxyphen verabreicht wurden. Die mechanistische Grundlage dieser Wechselwirkung ist jedoch unbekannt.

ZNS -Depressiva

Patienten, die narkotische Analgetika im Vollnarkose erhalten, Phänothiazine Andere Tranquilisatoren sedative Hypnotika oder andere ZNS-Depressiva (einschließlich Alkohol), gleichzeitig mit Darvocet-n (Propoxyphen-Napsylat und Paracetaminophen) eine additive CNS-Depression aufweisen. Interaktive Effekte, die zu einer tiefen Sedierung oder Koma von Atemdepression führen, kann dazu führen, dass diese Medikamente in Kombination mit der üblichen Dosierung von Darvocet-n (Propoxyphene-Napsylat und Paracetamol) eingenommen werden. Wenn eine solche kombinierte Therapie in Betracht gezogen wird, sollte die Dosis eines oder beide Wirkstoffe reduziert werden.

Gemischte Agonist/Antagonist Opioid -Analgetika

Agonisten/Antagonistenanalgetika (d. H. Pentazozin-Nalbuphine-Butorphanol und Buprenorphin) sollten an Patienten, die eine Therapie mit einem reinen Opioid-Agonist-Analgetika erhalten haben oder eine Therapie erhalten (Propoxyphene-Napsylate und Acetaminophen) erhalten haben oder einen Kurs der Therapie erhalten, Vorsicht verabreicht werden. In dieser Situation kann gemischte Agonisten/Antagonistenanalgetika die analgetische Wirkung von Darvocet-n (Propoxyphen-Napsylat und Paracetamol) verringern und/oder bei diesen Patienten die Entzugssymptome auslösen.

Monoaminoxidase -Inhibitoren (Maois)

Es wurde berichtet, dass Maois die Auswirkungen von mindestens einem Opioid -Arzneimittel intensiviert, das Angstverwirrung und eine signifikante Depression der Atmung oder des Komas verursacht. Die Verwendung von Darvocet-N (Propoxyphen-Napsylat und Paracetamol) wird nicht für Patienten empfohlen, die Maois oder innerhalb von 14 Tagen nach Beendigung einer solchen Behandlung einnehmen.

Wechselwirkungen mit Arzneimitteln with Acetaminophen

Alkohol : Hepatotoxizität ist bei chronischen Alkoholikern nach verschiedenen Dosisspiegeln (mittelschwer bis übermäßig) von Paracetamol aufgetreten.

Anticholinergika : Der Beginn des Paracetamol -Effekts kann leicht verzögert oder verringert werden, aber der ultimative pharmakologische Effekt wird durch Anticholinergika nicht signifikant beeinflusst.

Orale Kontrazeptiva : Erhöhung der Glucuronidation führt zu einer erhöhten Plasmakleanzierung und einer verminderten Halbwertszeit von Paracetamol.

Beta -Blocker (Propranolol) : Propranolol scheint die Enzymsysteme zu hemmen, die für die Glucuronidation und Oxidation von Paracetamol verantwortlich sind. Daher können die pharmakologischen Wirkungen von Paracetamol erhöht werden.

Schleifendiuretika : Die Auswirkungen des Schleifendiuretikums können verringert werden, da das Paracetamol -Ausscheidung die Nierenprostaglandin -Ausscheidung verringern und die Plasma -Reninaktivität verringern kann.

Lamotrigin : Serum -Lamotrigin -Konzentrationen können verringert werden, was zu einer Abnahme der therapeutischen Wirkungen führt.

Probenecid : Probenecid may increase the therapeutic effectiveness of acetaminophen slightly.

Zidovudine : Die pharmakologischen Wirkungen von Zidovudin können aufgrund einer verbesserten nicht hepatischen oder renalen Clearance von Zidovudin verringert werden.

Warnungen for Darvocet-N

Risiko einer Überdosierung

Es gab zahlreiche Fälle von zufälliger und absichtlicher Überdosierung mit Propoxyphen -Produkten, entweder allein oder in Kombination mit anderen ZNS -Depressiva, einschließlich Alkohol. Todesfälle innerhalb der ersten Stunde der Überdosierung sind nicht ungewöhnlich. Viele der Propoxyphen-bezogenen Todesfälle sind bei Patienten mit früheren Vorgeschichte emotionaler Störungen oder Suizidgedanken/-versuche und/oder eine gleichzeitige Verabreichung von Beruhigungsmittel-Tranquilisatoren Muskelrelaxantien Antidepressiva oder andere ZNS-Depressiva-Medikamente aufgetreten. Verschreiben Sie keine Propoxyphen für Patienten, die selbstmörderisch sind oder eine Vorgeschichte von Selbstmordgedanken haben.

Atemdepression

Atemdepression ist die Hauptgefahr aller opioidagonistischen Präparate. Atemdepression tritt bei älteren oder geschwächten Patienten am häufigsten nach großen anfänglichen Dosen bei nicht-toleranten Patienten auf oder wenn Opioide in Verbindung mit anderen Wirkstoffen verabreicht werden, die die Atmung drücken. Darvocet-n (Propoxyphen-Napsylat und Paracetamol) sollte bei Patienten mit signifikanten chronisch obstruktiven Lungenerkrankungen (COPD) oder COR-Pulmonale und bei Patienten mit wesentlich verringerter Atemschutzhypoxie-Hyperkapnie oder bereits existierender Atemdepression mit extremer Vorsicht eingesetzt werden. Bei solchen Patienten können sogar übliche therapeutische Dosen von Darvocet-N (Propoxyphen-Napsylat und Paracetamol) den Atemweg zum Apnoe verringern. Bei diesen Patienten sollte alternative Nicht-Opioid-Analgetika berücksichtigt werden und Opioide sollten nur unter sorgfältiger medizinischer Aufsicht bei der niedrigsten wirksamen Dosis eingesetzt werden.

Blutgängiger Effekt

Darvocet-n (Propoxyphen-Napsylat und Paracetamol) wie alle Opioidanalgetika können bei einer Person zu einer schwerwiegenden Hypotonie führen, deren Fähigkeit, den Blutdruck aufrechtzuerhalten, durch ein abgereichertes Blutvolumen oder nach gleichzeitiger Verabreichung mit Arzneimitteln wie Phänothiazinen oder anderen Agenten, die einen Kompromidenvasomise-Vasomotor-Ton-Ton-Ton-Ton-Ton-Ton-Ton-Ton-Ton-Ton-Ton-Tontor aufrechtzuerhalten, beeinträchtigen. Darvocet-n (Propoxyphen-Napsylat und Paracetamol) kann bei ambulanten Patienten eine orthostatische Hypotonie produzieren. Darvocet-n (Propoxyphen-Napsylat und Paracetamol) wie alle Opioidanalgetika sollten an Patienten mit Kreislaufschock vor Vorsicht verabreicht werden, da durch das Arzneimittel erzeugte Vasodilatation den Herzproduktion und den Blutdruck weiter verringern kann.

Kopfverletzung und erhöhten Intrakranialdruck

Die respiratorischen Depressivumseffekte von Betäubungsmitteln und ihre Fähigkeit zur Erhöhung des Cerebrospinalflüssigkeitsdrucks können in Gegenwart einer Kopfverletzung andere intrakranielle Läsionen oder eine bereits bestehende Erhöhung des Intrakraniellendrucks deutlich übertrieben sein. Darüber hinaus erzeugen Betäubungsmittel unerwünschte Reaktionen, die den klinischen Verlauf von Patienten mit Kopfverletzungen verdecken können.

Vietnam-Reiseblog

Wechselwirkungen mit Arzneimitteln

Die gleichzeitige Verwendung von Propoxyphen- und ZNS -Depressiva einschließlich Alkohol kann zu potenziell schwerwiegenden unerwünschten Ereignissen einschließlich des Todes führen. Aufgrund seiner zusätzlichen Depressionseffekte sollte Propoxyphen mit Vorsicht für Patienten vorgeschrieben werden, deren Krankheit die gleichzeitige Verabreichung von Beruhigungsmittel-Muskelrelaxantien Antidepressiva oder anderen ZNS-Depressivum-Arzneimitteln erfordert.

Verwendung bei ambulanten Patienten

Propoxyphen kann die mentalen und/oder körperlichen Fähigkeiten beeinträchtigen, die für die Ausführung potenziell gefährlicher Aufgaben wie dem Fahren eines Autos oder Betriebsmaschinen erforderlich sind. Der Patient sollte entsprechend gewarnt werden.

Verwendung mit anderen Paracetamol-haltigen Wirkstoffen

Aufgrund des Potentials für eine Paracetamol-Hepatotoxizität bei Dosen, die höher als die empfohlene Dosis-Darvocet-N (Propoxyphen-Napsylat und Paracetamol)) sollte nicht gleichzeitig mit anderen Paracetaminophen-haltigen Produkten verwendet werden.

Verwendung mit Alkohol

Hepatotoxizität und schweres Leberversagen traten bei chronischen Alkoholikern nach therapeutischen Dosen von Paracetamol auf. Die Patienten sollten vor der gleichzeitigen Verwendung von Propoxyphenprodukten und Alkohol davor gewarnt werden, da möglicherweise schwerwiegende ZNS-additive Wirkungen dieser Wirkstoffe zum Tod führen können.

Vorsichtsmaßnahmen for Darvocet-N

Toleranz und körperliche Abhängigkeit

Toleranz ist die Notwendigkeit einer Erhöhung der Dosen von Opioiden, um eine definierte Wirkung wie Analgesie aufrechtzuerhalten (in Abwesenheit eines Fortschreitens von Krankheiten oder anderen externen Faktoren). Die körperliche Abhängigkeit zeigt sich durch Entzugssymptome nach abrupter Abnahme eines Arzneimittels oder bei Verabreichung eines Antagonisten. Körperliche Abhängigkeit und Toleranz sind während der chronischen Opioid -Therapie nicht ungewöhnlich.

Das Opioidabstinenz- oder Entzugssyndrom ist durch einige oder alle folgenden Aussagen gekennzeichnet: Rhinorrhoe Rhinorrhoe Rhinorrhoe Gähnen Schweiß kalt Myalgie und Mydriasis. Andere Symptome können sich auch entwickeln, darunter: Reizbarkeit Angstzustände Rückenschmerzen Gelenkschmerzen Schwäche Bauchkrämpfe Schlaflosigkeit Übelkeit Anorexie erbrechen Durchfall oder erhöhte Blutdruck -Atemfrequenz oder Herzfrequenz. Im Allgemeinen sollten Opioide nicht abrupt abgesetzt werden (siehe Dosierung und Verwaltung : Einstellung der Therapie ).

Wenn Darvocet-n (Propoxyphen-Napsylat und Paracetamol) bei einem physikalisch abhängigen Patienten abrupt abgebrochen wird, kann ein Abstinenz-Syndrom auftreten (siehe Drogenmissbrauch und Abhängigkeit ). If signs Und symptoms of withdrawal occur patients should be treated by reinstitution of opioid therapy followed by gradual tapered dose reduction of Darvocet-N (Propoxyphen -Napsylat und Paracetamol) combined with symptomatic support (see Dosierung und Verwaltung : Einstellung der Therapie ).

Verwendung bei Pankreas-/Gallentrakterkrankungen

Darvocet-n (Propoxyphen-Napsylat und Paracetamol) kann den Sphinkter des ODSI-Schließers verursachen und sollte bei Patienten mit Gallenstrap-Erkrankung einschließlich akuter Pankreatitis mit Vorsicht angewendet werden. Opioide wie Darvocet-N (Propoxyphen-Napsylat und Paracetamol) können zu Erhöhungen des Serumamylasespiegels führen.

Leber- oder Nierenbeeinträchtigung

Es gibt unzureichende Informationen, um geeignete Dosierungsempfehlungen zur Verwendung von Propoxyphen allein oder in Kombination mit Paracetamol bei Patienten mit Leber oder Nierenbeeinträchtigung als Funktion des Grades der Beeinträchtigung abzugeben. Höhere Plasmakonzentrationen und/oder eine verzögerte Eliminierung können bei einer beeinträchtigten Leberfunktion und/oder einer beeinträchtigten Nierenfunktion auftreten (siehe Klinische Pharmakologie ). If the drug is used in these patients it should be used with caution because of the hepatic metabolism of propoxyphene Und acetaminophen Und renal excretion of their metabolites.

Informationen für Patienten/Betreuer

  • Patienten sollten empfohlen werden, Schmerzen und nachteilige Erfahrungen während der Therapie zu berichten. Die Individualisierung der Dosierung ist wichtig, um diese Medikamente optimal zu nutzen.
  • Den Patienten sollte empfohlen werden, die Dosis von Darvocet-N (Propoxyphen-Napsylat und Paracetamol) nicht anzupassen, ohne den Verschreibungsprofi zu konsultieren.
  • Den Patienten sollte darauf hingewiesen werden, dass Darvocet-N (Propoxyphen-Napsylat und Paracetamol) die für die Durchführung potenziell gefährlicher Aufgaben (z. B. fahrenden schwere Maschinerie fahren) die mentale und/oder körperliche Fähigkeit beeinträchtigen können.
  • Patienten sollten Darvocet-N (Propoxyphen-Napsylat und Paracetamol) mit Depressiva des Zentralnervensystems (ZNS) (z. B. Schlafhilfen beruhigende Beruhigungsmittel) mit Ausnahme der Bestellungen des verschreibungspflichtigen Arztes kombinieren, da möglicherweise additive Wirkungen auftreten können.
  • Die Patienten sollten angewiesen werden, keine alkoholischen Getränke zu konsumieren, einschließlich Rezept und rezeptfreie Medikamente, die Alkohol enthalten, während sie Darvocet-N (Propoxyphen-Napsylat und Paracetamols) aufgrund des Risikos schwerwiegender unerwünschter Ereignisse einschließlich des Todes enthalten.
  • Frauen aus gebärfähigen Börsenpotential, die schwanger werden oder planen, sollten empfohlen werden, ihren Arzt über die Auswirkungen von Analgetika und anderen Drogenkonsum während der Schwangerschaft auf sich und ihr ungeborenes Kind zu konsultieren.
  • Den Patienten sollte darauf hingewiesen werden, dass Darvocet-N (Propoxyphen-Napsylat und Paracetamol) ein potenzielles Missbrauchsmedikament ist. Sie sollten es vor Diebstahl schützen und es sollte niemals jemand anderem als der Person gegeben werden, für die es vorgeschrieben wurde.
  • Den Patienten sollte empfohlen werden, dass sie mehr als ein paar Wochen mit Darvocet-n (Propoxyphen-Napsylat und Paracetamol) behandelt werden, und die Einstellung der Therapie ist angezeigt, dass es angemessen sein kann, das Darvocet-n (Propoxyphen-Napsylatus-Blättere) zu verjüngen). Ihr Arzt kann einen Dosisplan bereitstellen, um eine allmähliche Abnahme der Medikamente zu erreichen.
  • Weisen Sie die Patienten an, keine anderen Medikamente zu konsumieren, die Paracetamol enthalten, einschließlich auf der Einnahme von Darvocet-N (Propoxyphen-Napsylat und Paracetamol), einschließlich der Einnahme von Darvocet-N (Propoxyphene-Napsylat und Paracetamol).

Karzinogenese -Mutagenese -Beeinträchtigung der Fruchtbarkeit

Das mutagene und krebserzeugende Potential von Propoxyphen und Paracetamol allein und in Kombination wurden nicht bewertet.

In Tierstudien gab es keine Auswirkung von Propoxyphen auf das Paarungsverhalten Fruchtbarkeitsdauer der Schwangerschaft oder auf die Partuation, wenn Ratten Propoxyphen als Bestandteil ihrer täglichen Ernährung bei geschätzten täglichen Propoxyphen-Einlässe bis zu 8-fach größer als die maximale menschliche Äquivalentdosis (HED) basierend auf dem Vergleich der Körperflächen vorhanden waren. Bei diesem höchsten Dosis Gewicht und Überleben am postnatalen Tag 4 wurde verringert. Paracetamol wurde bei Tieren nicht untersucht, um die Fruchtbarkeit auswirken, und die Auswirkungen auf die menschliche Fruchtbarkeit sind unbekannt.

Schwangerschaft

Risikozusammenfassung

Schwangerschaft category C.

Es gibt keine angemessenen und gut kontrollierten Studien zur Propoxyphen mit Paracetamol bei schwangeren Frauen. Während die veröffentlichte Literatur nur begrenzte Daten gibt, wurden angemessene Tierprovensivitätsstudien nicht mit Propoxyphen oder Paracetamol durchgeführt. Daher ist nicht bekannt, ob Propoxyphen oder Paracetamol die Reproduktion beeinflussen oder einen fetalen Schaden verursachen können, wenn sie einer schwangeren Frau verabreicht wird. Propoxyphen mit Paracetamol sollte einer schwangeren Frau nur dann eindeutig benötigt werden.

Klinische Überlegungen

Paracetamol -Propoxyphen und ihr Hauptmetabolit Norpropoxyphen überqueren die menschliche Plazenta. Neugeborene, deren Mütter chronisch Opiate eingenommen haben, können Atemdepressionen oder Entzugssymptome aufweisen.

Daten

In veröffentlichten Studien zur Reproduktion von Tieren traten bei Nachkommen nicht teratogene Wirkungen auf, die von schwangeren Ratten oder Kaninchen geboren wurden, die während der Organogenese Propoxyphen erhielten. Schwangere Tiere erhielten Propoxyphen-Dosen ungefähr 10-fach (Ratten) und 4-fach (Kaninchen) die maximal empfohlene menschliche Dosis (basierend auf Mg/M 2 Körperoberflächenvergleich).

Pflegemütter

Propoxyphen -Norpropoxyphen (Major Metabolit) und Paracetamol werden in der Muttermilch ausgeschieden. Veröffentlichte Studien an Pflegemüttern, die Propoxyphen unter Verwendung von Säuglingen bei Pflegeheimen unter Verwendung von Propoxyphen feststellten. Basierend auf einer Studie mit sechs Mutter-Fant-Paaren erhält ein ausschließlich gestilltes Säugling ungefähr 2% der mütterlichen Gewichtsdosis. Norpropoxyphen ist renal ausgeschieden und die Nierenfreiheit ist bei Neugeborenen niedriger als bei Erwachsenen. Daher ist es möglich, dass eine längere Anwendung der mütterlichen Propoxyphen zu einer Ansammlung von Norpropoxyphen in einem gestillten Kind führen kann. Beobachten Sie das Stillen von Säuglingen auf Anzeichen einer Sedierung, einschließlich schlechter Fütterungsdomnolenz oder Atemdepression. Vorsicht werden gewarnt, wenn Darvocet-n (Propoxyphen-Napsylat und Paracetamol) einer stillenden Frau verabreicht wird.

Pädiatrische Patienten

Sicherheit und Wirksamkeit bei pädiatrischen Patienten wurden nicht festgestellt.

Ältere Patienten

Klinische Studien mit Darvocet-N (Propoxyphen-Napsylat und Paracetamol) umfassten nicht eine ausreichende Anzahl von Probanden im Alter von 65 Jahren und mehr, um festzustellen, ob sie anders als jüngere Probanden reagieren. Nach dem Stempeln werden jedoch Berichte deuten, dass Patienten über 65 Jahren möglicherweise anfälliger für Nebenwirkungen von ZNS sind. Daher sollte die Dosisauswahl für einen älteren Patienten vorsichtig sein, normalerweise beginnend am unteren Ende des Dosierungsbereichs, der die größere Häufigkeit einer verminderten Nieren- oder Herzfunktion von Lebern und einer gleichzeitigen Erkrankung oder einer anderen medikamentösen Therapie widerspiegelt. Eine verringerte Gesamtdosis der täglichen Dosierung sollte berücksichtigt werden (siehe Dosierung und Verwaltung ).

Überdosierungsinformationen für Darvocet-n

Darvocet-N (Propoxyphen-Napsylat und Paracetamol) ist ein Kombinationsprodukt, das Propoxyphen und Paracetamol enthält. Überdosis von Darvocet-n (Propoxyphen-Napsylat und Paracetamol) kann die Anzeichen und Symptome einer Überdosierung von Propoxyphen-Überdosis-Paracetaminophen oder beides aufweisen. Todesfälle innerhalb der ersten Stunde der Überdosierung sind nicht ungewöhnlich.

In allen Fällen von Verdacht auf Überdosierung rufen Sie Ihr regionales Giftkontrollzentrum an, um die aktuellsten Informationen über die Behandlung von Überdosierung zu erhalten. Diese Empfehlung erfolgt, da im Allgemeinen Informationen zur Behandlung von Überdosierung schneller ändern können als Paketbeilungen.

Die Behandlung der ZNS -Effekte von Propoxyphen -Überdosierung sollte anfängliche Überlegungen berücksichtigt werden. Wiederbelebte Maßnahmen sollten unverzüglich eingeleitet werden.

Propoxyphen -Überdosierung

Symptome der Propoxyphen -Überdosierung

Die Manifestationen akuter Überdosierung mit Propoxyphen sind die von Opioid -Überdosierung. Der Patient ist normalerweise schläfrig, kann aber staunös oder komatös und krampfend sein. Atemdepression ist charakteristisch. Die Beatmungsrate und/oder das Gezeitenvolumen werden verringert, was zu Cyanose und Hypoxie führt. Die Schüler können zunächst mit zunehmender Hypoxie erweitert werden. Die Atmung und Apnoe von Cheyne-Stokes kann auftreten. Der Blutdruck und die Herzfrequenz sind in der Regel anfangs normal, aber der Blutdruck fällt und die Herzleistung verschlechtert sich letztendlich zu einem Lungenödem und Kreislaufkollaps, es sei denn, die Atemdepression wird korrigiert und eine angemessene Beatmung wird sofort wiederhergestellt. Herzrhythmien und Leitungsverzögerung können vorhanden sein. Eine kombinierte respiratorische metabolische Azidose erfolgt aufgrund des Rückstands CO 2 (Hyperkapnie) und Milchsäure, die während der anaeroben Glykolyse gebildet wurden. Die Azidose kann schwerwiegend sein, wenn auch große Mengen an Salicylaten aufgenommen wurden. Der Tod kann auftreten.

Behandlung von Propoxyphen -Überdosierung

Die Aufmerksamkeit sollte zunächst darauf gerichtet werden, einen Patentländerweg aufzubauen und die Belüftung wiederherzustellen. Es kann eine mechanisch unterstützte Belüftung mit oder ohne Sauerstoff erforderlich sein und die Atmung der Überdruck kann wünschenswert sein, wenn Lungenödeme vorhanden sind. Der Opioidantagonist Naloxon verringert den Grad der Atemdepression deutlich und sollte umgehend intravenös verabreicht werden. Die Wirkungsdauer des Antagonisten kann kurz sein. Wenn keine Antwort beobachtet wird, nachdem 10 mg Naloxon verabreicht wurden, sollte die Diagnose der Propoxyphen -Toxizität in Frage gestellt werden.

Zusätzlich zur Verwendung eines Opioidantagonisten benötigt der Patient möglicherweise eine sorgfältige Titration mit einem Antikonvulsivum, um Krämpfe zu kontrollieren. Aktivkohle kann eine erhebliche Menge an aufgenommener Propoxyphen adsorbieren. Die Dialyse ist aufgrund von Propoxyphen von geringem Wert bei der Vergiftung. Es sollten Anstrengungen unternommen werden, um festzustellen, ob andere Wirkstoffe wie Alkohol Barbiturate ruhige Beruhigungsmittel oder andere ZNS -Depressiva aufgenommen wurden, da diese ZNS -Depressionen erhöht und spezifische toxische Wirkungen oder Todesfälle verursachen.

Acetaminophen -Überdosierung

Symptome einer Paracetamol -Überdosierung

Überdosis von Paracetamol kann eine dosisabhängige potenziell tödliche Lebertoxizität verursachen. Frühe Symptome innerhalb von 24 Stunden nach der Überdosierung können Anorexie -Übelkeit umfassen, die sich über Erbrechen von Diaphorese allgemeines Unwohlsein und Bauchschmerzen erbricht. Der Patient kann dann keine Symptome aufweisen, aber der Hinweis auf eine Leberfunktionsstörung kann bis zu 72 Stunden nach Einnahme mit erhöhter Serumtransaminase und laktischer Dehydrogenasespiegel und einer Erhöhung der Serum -Bilirubin -Konzentrationen und einer verlängerten Probbintzeit erkennen. Der Tod durch Leberversagen kann 3 bis 7 Tage nach der Überdosierung führen.

Da klinische und Labornachweise auf Lebertoxizität möglicherweise erst 48 bis 72 Stunden nach der Invertion-Leberfunktionsstudien erscheint und in Intervallen von 24 Stunden wiederholt werden sollten.

Ein akutes Nierenversagen kann die Leberfunktionsstörung begleiten und bei Patienten, die keine Anzeichen eines fulminanten Leberversagens aufweisen, festgestellt. In der Regel ist 6 bis 9 Tage nach der Einnahme der Überdosierung scheinbarer.

Behandlung von Paracetamol -Überdosierung

In allen Fällen von mutmaßlicher Überdosierung rufen Sie sofort die gebührenfreie Nummer (800-525-6115) für die Diagnose und den Weg bei der Verwendung von N-Acetylcystein als Gegenmittel an die gebührenfreie Anzahl der Rocky Mountain Mountain.

Die Schätzungen der Patienten über die Menge eines aufgenommenen Arzneimittels sind notorisch unzuverlässig. Wenn daher eine Überdosierung von Paracetamol vermutet wird, sollte ein Serum -Paracetamol -Assay so früh wie möglich, jedoch nicht früher als 4 Stunden nach Einnahme erhalten werden. Das Antidot-N-Acetylcystein sollte so früh wie möglich und innerhalb von 16 Stunden nach der Überdosierung für optimale Ergebnisse verabreicht werden.

Kontraindikationen für Darvocet-n

Darvocet-n (Propoxyphen-Napsylat und Paracetamol) ist bei Patienten mit bekannter Überempfindlichkeit gegenüber Propoxyphen oder Paracetamol kontraindiziert.

Darvocet-n (Propoxyphen-Napsylat und Paracetamol) ist bei Patienten mit einer signifikanten Atemdepression (in nicht überwachten Umgebungen oder der Abwesenheit von Wiederbelebungsgeräten) und Patienten mit akutem oder schwerem Asthma oder Hyperkarbia kontraindiziert.

Darvocet-n (Propoxyphen-Napsylat und Paracetamol) wird bei jedem Patienten kontraindiziert, der einen lähmenden Ileus hat oder vermutet wird.

Klinische Pharmakologie for Darvocet-N

Pharmakologie

Propoxyphen ist ein zentral wirkendes Opiatanalgetikum. In vitro Studien zeigten, dass Propoxyphen und das Metabolith-Norpropoxyphen die Natriumkanäle (Lokalanästhesieffekt) hemmen, wobei Norpropoxyphen ungefähr 2-fach stärker ist als Propoxyphen und Propoxyphen, ungefähr 10-fach stärker als Lidocain. Propoxyphen und Norpropoxyphen hemmen den spannungsgesteuerten Kaliumstrom, der durch kardiale schnell aktivierende Verspätungsrichter (Herg) -Kanäle mit ungefähr gleicher Wirksamkeit getragen wird. Es ist unklar, ob die Auswirkungen auf Ionenkanäle im therapeutischen Dosisbereich auftreten.

Acetamol ist ein nicht opiates nicht-salicylatanalgetisch und antipyretisch. Die Stelle und der Mechanismus für die analgetische Wirkung von Paracetamol wurden nicht bestimmt. Die antipyretische Wirkung von Paracetamol wird durch Aktivität in den hypothalamischen Hitzeregulierungszentren vermittelt. Paracetamol hemmt die Prostaglandin -Synthetase. Therapeutische Dosen von Paracetamol haben vernachlässigbare Auswirkungen auf die Herz -Kreislauf- oder Atmungssysteme; Giftige Dosen können jedoch zu Kreislaufversagen und einer schnellen flachen Atmung führen.

Pharmakokinetik

Absorption

Peak -Plasmakonzentrationen von Propoxyphen werden in 2 bis 2,5 h erreicht. Nach einer 65-mg-oralen Dosis von Propoxyphenhydrochlorid-Peak-Plasma-Spiegel von 0,05 bis 0,1 µg/ml für Propoxyphen und 0,1 bis 0,2 µg/ml für Norpropoxyphen (Hauptmetaboliten) sind erreicht. Wiederholte Propoxyphen -Dosen in 6 -stündigen Intervallen führen zu einer Erhöhung der Plasmakonzentrationen mit einem Plateau nach der neunten Dosis bei 48 Stunden. Propoxyphen hat eine Halbwertszeit von 6 bis 12 Stunden, während die von Norpropoxyphen 30 bis 36 Stunden beträgt.

Acetaminophen wird aus dem Magen-Darm-Trakt absorbiert und hat eine Plasma-Halbwertszeit von 1,25 bis 3 Stunden, die durch Leberschäden und nach Überdosierung erhöht werden kann.

Verteilung

Propoxyphen ist zu etwa 80% an Proteine ​​gebunden und hat ein großes Volumen von 16 l/kg.

Das Paracetamol ist in den meisten Körperflüssigkeiten relativ einheitlich verteilt. Die Bindung des Arzneimittels an Plasmaproteine ​​ist variabel; Nur 20% bis 50% können bei den Konzentrationen gebunden sein, die während der akuten Vergiftung auftreten.

Stoffwechsel

Propoxyphen wird durch intestinale und hepatische Enzyme umfangreicher Erstpassstoffwechsel erfährt. Der Hauptweg des Stoffwechsels ist Cytochrom CYP3A4-vermittelte N-Demethylierung zu Norpropoxyphen, das von den Nieren ausgeschieden wird. Ringhydroxylierung und Glucuronidbildung sind geringfügige Stoffwechselwege.

Acetamol wird in der Leber ausführlich metabolisiert. Weniger als 5% der Acetamol -Dosis werden in der Niere unverändert ausgeschieden. Etwa 85% einer Paracetamol-Dosis werden durch Konjugation hauptsächlich Glucuronidation über UDP-Glucuronosyltransferase (hauptsächlich UGT1A6) und in geringerem Ausmaß über Sulfotransferase (hauptsächlich SLT1A1 und SLT1A3) metabolisiert. Die Glucuronid- und Sulfatkonjugate sind ungiftig und sind im Urin und in der Galle weitgehend ausgeschieden. Etwa 8-10% einer Paracetamol-Dosis werden durch Cytochrom CYP2E1 oxidiert, um das toxische reaktive intermediäre N-Acetyl-P-Benzoquinon-Imin (NAPQI) zu bilden. NAPQI wird über Glutathion (GSH) -Konjugation weiter metabolisiert, das ungiftige Thiol-Metaboliten liefert, einschließlich Cystein-Mercapturate Methylthioacetaminophen und Methanesulfinylacetamol, die im Urin ausgeschieden werden. Acetaminophen wird auch von Cytochrom CYP2A6 mit einem niedrigen Prozentsatz oxidiert, um inerte Katechole (z. B. Methoxyacetamol) zu bilden.

Ausscheidung

In 48 h wird ungefähr 20 bis 25% der verabreichten Propoxyphendosis über den Urin ausgeschieden, von denen die meisten frei oder konjugiert sind, Norpropoxyphen. Die Nieren -Clearance -Rate von Propoxyphen beträgt 2,6 l/min.

Die Beseitigung von Paracetamol erfolgt hauptsächlich durch den Leberstoffwechsel (Konjugation) und die anschließende Nierenausscheidung von Metaboliten. Ungefähr 85% einer oralen Dosis treten innerhalb von 24 Stunden nach der Verabreichung am meisten im Urin auf, da das Glucuronid mit geringen Mengen anderer Konjugate und unveränderter Arzneimittel konjugiert ist.

Besondere Populationen

Geriatrische Patienten

Nach oraler Verabreichung von Propoxyphen bei älteren Patienten (70-78 Jahre) wurden viel längere Halbwerts von Propoxyphen und Norpropoxyphen über viel längere Halbwertszeiten von 13 bis 35 h Norpropoxyphen 22 bis 41 H) berichtet. Darüber hinaus war der AUC durchschnittlich 3-fach höher und der Cmax bei älteren Menschen im Vergleich zu einer jüngeren (20-28-jährigen) Bevölkerung durchschnittlich 2,5-fach. Bei älteren Menschen können längere Dosierungsintervalle berücksichtigt werden, da der Stoffwechsel von Propoxyphen in dieser Patientenpopulation verringert werden kann. Nach mehreren oralen Dosen Propoxyphen bei älteren Patienten (70-78 Jahre) war der Cmax des Metaboliten (Norpropoxyphen) um das 5-fache erhöht.

Pädiatrische Patienten

Bei pädiatrischen Patienten wurde weder Propoxyphen allein noch in Kombination mit Paracetamol untersucht.

Hepatische Beeinträchtigung

Bei Patienten mit leichter mittelschwerer oder schwerer Leberbeeinträchtigung wurde keine formale pharmakokinetische Studie an Propoxyphen allein oder in Kombination mit Paracetamol durchgeführt.

Nach oraler Verabreichung von Propoxyphen bei Patienten mit Zirrhose -Plasmakonzentrationen von Propoxyphen waren erheblich höher und die Norpropoxyphen -Konzentrationen waren viel niedriger als bei Kontrollpatienten. Dies ist vermutlich auf einen verringerten Erstpassstoffwechsel von oral verabreichtem Propoxyphen bei diesen Patienten zurückzuführen. Das AUC -Verhältnis von Norpropoxyphen: Propoxyphen war bei Patienten mit Zirrhose (NULL,5 bis 0,9) signifikant niedriger als bei Kontrollpersonen (NULL,5 bis 4).

Im Vergleich zu gesunden Probanden hatte Paracetamol eine geringere Gesamtdlearung und eine längere Halbwertszeit bei Patienten mit Lebererkrankungen. Bei Probanden mit Lebererkrankungen wurde im Vergleich zu gesunden Probanden nach einzelnen und mehreren Dosen (im stationären Zustand) eine verminderte Metabolitenbildung (8-42 %) beobachtet. Darüber hinaus steigt die Menge an Paracetamol, die im Urin unverändert (NULL,7% gegenüber 2,5%) bei Patienten mit Lebererkrankungen im Vergleich zu gesunden Probanden ausgeschieden wurde, im Vergleich zu gesunden Probanden, was darauf hindeutet, dass mehr Paracetamol durch Nierenimination im Zustand der Lebererkrankung ausgeschieden wurde.

Nierenbehinderung

Bei Patienten mit leichter mittelschwerer oder schwerer Nierenbeeinträchtigung wurde keine formale pharmakokinetische Studie an Propoxyphen allein oder in Kombination mit Paracetamol durchgeführt.

Nach oraler Verabreichung von Propoxyphen bei aneprischen Patienten waren die AUC- und Cmax -Werte durchschnittlich 76% bzw. 88% höher. Die Dialyse beseitigt nur unbedeutende Mengen (8%) der verabreichten Propoxyphen -Dosis.

Wechselwirkungen mit Arzneimitteln

The metabolism of propoxyphene may be altered by strong CYP3A4 inhibitors (such as ritonavir ketoconazole itraconazole troleandomycin clarithromycin nelfinavir nefazadone amiodarone amprenavir aprepitant diltiazem erythromycin fluconazole fosamprenavir grapefruit juice and Verapamil), was zu verstärkten Propoxyphen -Plasmaspiegeln führt. Andererseits können starke CYP3A4 -Induktoren wie Rifampin zu einem verstärkten Metaboliten (Norpropoxyphen) -Enspiegel führen.

Es wird auch angenommen, dass Propoxyphen CYP3A4- und CYP2D6 -Enzym -hemmende Eigenschaften besitzt. Die gleichzeitige Verabreichung mit einem Arzneimittel, das ein Substrat von CYP3A4 oder CYP2D6 ist, kann zu höheren Plasmakonzentrationen und erhöhten pharmakologischen oder nachteiligen Wirkungen dieses Arzneimittels führen.

Klinische Studien

Die Wirksamkeit von Propoxyphen in Kombination mit Paracetamol wurde in sieben randomisierten, doppelblind-placebokontrollierten, eindosierten Studien mit leichten bis schweren postpartalen Schmerzen untersucht. Eine der Studien zeigte, dass sowohl Propoxyphen als auch Paracetamol in der Kombination zu einer stärkeren Verringerung der Schmerzen beitrugen als Paracetamol und Propoxyphen allein und dass Propoxyphen dem Placebo überlegen war.

Es stehen nicht genügend Informationen zur Verfügung, um die Wirksamkeit von Propoxyphen in Kombination mit Paracetamol bei Patienten mit chronischen Schmerzen zu bewerten.

Patienteninformationen für Darvocet-n

Medikamentenhandbuch

Darvocet-N® 50 [Dar-Vo-CET-N]
(Propoxyphen -Napsylat und Paracetamol) Tabletten

Darvocet-N® 100 [Dar-Vo-CET-N]
(Propoxyphen -Napsylat und Paracetamol) Tabletten

Lesen Sie diesen Medikamentenhandbuch, bevor Sie mit der Einnahme von Darvocet-N (Propoxyphen-Napsylat und Paracetamol) und jedes Mal, wenn Sie eine Nachfüllung erhalten, einnehmen. Es kann neue Informationen geben. Diese Informationen treten nicht mit Ihrem Arzt über Ihre Krankheit oder Ihre Behandlung ein.

Was sind die wichtigsten Informationen, die ich über Darvocet-N (Propoxyphen-Napsylat und Paracetamol) wissen sollte?

Darvocet-n (Propoxyphen-Napsylat und Paracetamol) und andere Medikamente, die Propoxyphen enthalten, können schwerwiegende Nebenwirkungen verursachen, einschließlich:

Überdosis durch Zufall oder Absicht (absichtliche Überdosis). Überdosierungen mit Darvocet-n (Propoxyphen-Napsylat und Paracetamol) können auftreten, wenn es von sich selbst oder mit Alkohol oder anderen Medikamenten eingenommen wird, die auch Ihre Atmung verringern und Sie sehr schläfrig machen können.

  • Der Tod kann innerhalb von 1 Stunde nach einer Überdosis Darvocet-n (Propoxyphen-Napsylat und Paracetamol) erfolgen. Viele der Todesfälle, die bei Menschen geschehen, die Darvocet-N (Propoxyphen-Napsylat und Paracetamol) einnehmen, passieren bei denen, die:
    • emotionale Probleme haben
    • Gedanken an Selbstmord haben oder Selbstmord versuchten oder
    • Nehmen Sie auch Antidepressiva Beruhigungsmittel Muskelrelaxantien oder andere Medikamente, die Ihre Atmung beeinflussen, und machen Sie sehr schläfrig. Sie sollten keine dieser Medikamente mit Darvocet-N (Propoxyphen-Napsylat und Paracetamol) verwenden, ohne mit Ihrem Arzt zu sprechen.
  • Bevor Sie Darvocet-N (Propoxyphen-Napsylat und Paracetamol) einnehmen, sagen Sie Ihrem Arzt, wenn Sie:
    • haben ein Lungenproblem wie COPD oder Cor Pulmonale
    • haben Leber- oder Nierenprobleme
    • Probleme mit Ihrer Bauchspeicheldrüse oder Gallenblase haben
    • eine Vorgeschichte von Kopfverletzung haben
    • sind über 65 Jahre alt
    • eine Vorgeschichte von Drogen- oder Alkoholmissbrauch oder Sucht haben

Nehmen Sie Darvocet-N (Propoxyphen-Napsylat und Paracetamol) genau wie vorgeschrieben. Ändern Sie Ihre Dosis nicht oder hören Sie nicht auf, Darvocet-N (Propoxyphen-Napsylat und Paracetamol) einzunehmen, ohne zuerst mit Ihrem Arzt zu sprechen.

  • Wenn Sie Darvocet-n (Propoxyphen-Napsylat und Paracetamol) 100 nehmen 6 Tablets an einem Tag.
  • Wenn Sie Darvocet-n (Propoxyphen-Napsylat und Paracetamol) 50 nehmen 12 Tablets an einem Tag.
  • Bevor Sie Darvocet-N (Propoxyphen-Napsylat und Paracetamol) einnehmen, teilen Sie Ihrem Arzt alle Medikamente, die Sie einnehmen, mit. Darvocet-n (Propoxyphen-Napsylat und Paracetamol) und viele andere Medikamente können miteinander interagieren und schwerwiegende Nebenwirkungen verursachen. Bestimmte Arzneimittel können sich auswirken, wie Ihre Leber andere Medikamente abschließt. Sehen Sie, was soll ich meinem Arzt sagen, bevor ich darvocet-n (Propoxyphen-Napsylat und Paracetamol) einnehme?
  • Trinken Sie keinen Grapefruitsaft und essen Sie keinen Grapefruit, während Sie Darvocet-N (Propoxyphen-Napsylat und Paracetamol) einnehmen. Grapefruitsaft kann mit Darvocet-n (Propoxyphen-Napsylat und Paracetamol) interagieren.
  • Trinken Sie keinen Alkohol, während Sie Darvocet-n (Propoxyphen-Napsylat und Paracetamol) verwenden. Die Verwendung von Alkohol mit Darvocet-N (Propoxyphen-Napsylat und Paracetamol) kann Ihr Risiko für gefährliche Nebenwirkungen erhöhen.

Was ist Darvocet-N (Propoxyphen-Napsylat und Paracetamol)?

  • Darvocet-n (Propoxyphen-Napsylat und Paracetamol) ist ein verschreibungspflichtiges Medizin, das zwei Medikamente enthält: Propoxyphen und Paracetamol. Darvocet-N (Propoxyphen-Napsylat und Paracetamol) wird verwendet, um leichte bis mittelschwere Schmerzen zu lindern.
  • Darvocet-n (Propoxyphen-Napsylat und Paracetamol) ist eine bundesweit kontrollierte Substanz (C-IV), da es sich um ein starkes Opioidschmerzmedizin handelt, das von Menschen missbraucht werden kann, die verschreibungspflichtige Medikamente oder Straßenmedikamente missbrauchen.
  • Verhindern Sie den Missbrauch oder Missbrauch von Diebstahl. Halten Sie Darvocet-N (Propoxyphen-Napsylat und Paracetamol) an einem sicheren Ort, um es vor gestohlenem zu schützen. Darvocet-n (Propoxyphen-Napsylat und Paracetamol) kann ein Ziel für Menschen sein, die verschreibungspflichtige Medikamente oder Straßenmedikamente missbrauchen oder missbrauchen.
  • Geben Sie niemals Darvocet-n (Propoxyphen-Napsylat und Paracetamol) jemand anderem, auch wenn sie die gleichen Symptome haben, die Sie haben. Es kann ihnen schaden oder sogar den Tod verursachen. Der Verkauf oder Verschenken dieses Arzneimittels ist gegen das Gesetz.

Es ist nicht bekannt, ob Darvocet-n (Propoxyphen-Napsylat und Paracetamol) bei Kindern unter 18 Jahren sicher und wirksam ist.

Wer sollte Darvocet-n (Propoxyphen-Napsylat und Paracetamol) nicht einnehmen?

Nehmen Sie Darvocet-N (Propoxyphen-Napsylat und Paracetamol) nicht, wenn Sie:

  • sind allergisch gegen Propoxyphen oder Paracetamol. Fragen Sie Ihren Arzt, ob Sie nicht sicher sind. Siehe das Ende dieses Medikamentenleitfadens für eine Liste der Inhaltsstoffe in Darvocet-n (Propoxyphen-Napsylat und Paracetamol).
  • haben einen Asthmaangriff oder schwere Asthma -Schwierigkeiten Atem- oder Lungenprobleme
  • Haben Sie eine Darmblockade namens Paralytic Ileus.

Was soll ich meinem Arzt sagen, bevor ich darvocet-n (Propoxyphen-Napsylat und Paracetamol) einnehme?

Bevor Sie Darvocet-N (Propoxyphen-Napsylat und Paracetamol) einnehmen, sagen Sie Ihrem Arzt:

  • Wenn Sie eine der Bedingungen in dem Abschnitt aufgeführt haben, was sind die wichtigsten Informationen, die ich über Darvocet-N (Propoxyphen-Napsylat und Paracetamol) wissen sollte?
  • Wenn Sie allergisch gegen Propoxyphen oder Paracetamol sind
  • Wenn Sie vorhaben, mit Vollnarkose operiert zu werden
  • Wenn Sie schwanger sind oder planen, schwanger zu werden.
  • Wenn Sie Darvocet-N (Propoxyphen-Napsylat und Paracetamol) regelmäßig einnehmen, bevor Ihr Baby geboren wird, kann Ihr Neugeborenes möglicherweise Entzugssymptome haben, weil sich ihr Körper an das Medikament gewöhnt hat. Die Symptome des Entzuges bei einem Neugeborenen können umfassen:
    • Reizbarkeit
    • Schütteln (Zittern)
    • Jitteriness
    • schneller als normal atmen
    • mehr als gewöhnlich weinen
    • Durchfall oder mehr Stühle als normal
    • Erbrechen
    • Fieber
  • Wenn Sie Darvocet-N (Propoxyphen-Napsylat und Paracetamol) einnehmen, bevor Ihr Baby geboren wird, könnte Ihr Baby Atemprobleme haben.
  • Wenn Sie stillen oder zum Stillen planen. Einige Darvocet-N (Propoxyphen-Napsylat und Paracetamol) gehen in die Muttermilch.

Erzählen Sie Ihrem Arzt von allen Medikamenten, die Sie einnehmen, einschließlich verschreibungspflichtiger und nicht verschreibungspflichtiger Medikamente Vitamine und Kräuterpräparate. Darvocet-N (Propoxyphen-Napsylat und Paracetamol) interagieren mit vielen Medikamenten und können zu schwerwiegenden Nebenwirkungen führen. Die Dosen bestimmter Medikamente müssen möglicherweise geändert werden.

Sagen Sie Ihrem Arzt besonders, wenn Sie nehmen:

Sehen Sie, was die wichtigsten Informationen sind, die ich über Darvocet-n (Propoxyphen-Napsylat und Paracetamol) wissen sollte?

  • Bestimmte Arzneimittel, die sich auswirken können, wie Ihre Leber andere Medikamente abbricht.
  • Ein Monoaminoxidase -Inhibitor (MAOI) -Medizin
  • Andere Medikamente, die Sie schläfrig machen, wie z.
  • Eine anticholinerge Medizin
  • eine Wasserpille (Diuretikum)
  • Ein Medikament gegen Bluthochdruck oder unregelmäßiger Herzschlag
  • Antibabypillen vom Mund erobert
  • Lamotrigin (Lamictal Lamictal CD Lamictal XR Lamictal ODT)
  • Probenecid (Probalan)
  • Eine Blutdünnermedizin. Möglicherweise haben Sie ein erhöhtes Blutungsrisiko, während Sie gleichzeitig Darvocet-N (Propoxyphen-Napsylat und Paracetamol) einnehmen.
  • Zidovudin (Trizivir Combivir Retrovir)

Nehmen Sie keine anderen Medikamente ein, die Paracetamol enthalten, während Sie Darvocet-N (Propoxyphen-Napsylat und Paracetamol) einnehmen. Sehen Sie, was die möglichen Nebenwirkungen von Darvocet-n (Propoxyphen-Napsylat und Paracetamol) sind?

Fragen Sie Ihren Arzt oder Apotheker, ob Sie nicht sicher sind, ob Ihr Medikament oben aufgeführt ist.

Kennen Sie die Medikamente, die Sie einnehmen. Halten Sie eine Liste von ihnen, um Ihrem Arzt und Apotheker zu zeigen, wenn Sie ein neues Medikament erhalten.

Wie soll ich Darvocet-n (Propoxyphen-Napsylat und Paracetamol) einnehmen?

Sehen Sie, was die wichtigsten Informationen sind, die ich über Darvocet-n (Propoxyphen-Napsylat und Paracetamol) wissen sollte?

  • Nehmen Sie Darvocet-N (Propoxyphen-Napsylat und Paracetamol) genau wie vorgeschrieben.
  • Wenn Sie zu viel Darvocet-n (Propoxyphen-Napsylat und Paracetamol) einnehmen oder es mit Alkohol oder anderen Medikamenten nehmen, können Sie überdosieren. Sehen Sie, was die wichtigsten Informationen über Darvocet-n (Propoxyphen-Napsylat und Paracetamol) wissen? Sie benötigen sofort medizinische Hilfe, wenn Sie der Meinung sind, dass Sie eine Überdosis Darvocet-N (Propoxyphen-Napsylat und Paracetamol) genommen haben. Eine große Überdosis kann dazu führen, dass Sie bewusstlos werden und sterben.

Zu den Anzeichen und Symptomen einer Überdosierung von Darvocet-N (Propoxyphen-Napsylat und Paracetamol) gehören:

Nebenwirkungen von Eliquis 5 mg
  • Sie sind sehr müde oder reagieren nicht auf andere
  • Verwirrung
  • Schwierigkeiten beim Atmen haben oder aufhören zu atmen
  • Änderungen des Blutdrucks und der Herzfrequenz
  • Brechreiz
  • Erbrechen
  • Appetitverlust
  • Magenbereich (Bauchschmerzen)

Was sind die möglichen Nebenwirkungen von Darvocet-n (Propoxyphen-Napsylat und Paracetamol)?

Darvocet-n (Propoxyphen-Napsylat und Paracetamol) kann schwerwiegende Nebenwirkungen verursachen, einschließlich:

Sehen Sie, was die wichtigsten Informationen sind, die ich über Darvocet-n (Propoxyphen-Napsylat und Paracetamol) wissen sollte?

  • Ernsthafte Atemprobleme, die lebensbedrohlich werden können. Dies gilt insbesondere dann, wenn Sie bereits ein schwerwiegendes Lungen- oder Atemproblem haben oder Ihr Körper nicht an Opioidschmerzmittel gewöhnt ist. Dies kann auch dann passieren, wenn Sie Darvocet-N (Propoxyphen-Napsylat und Paracetamol) genau wie von Ihrem Arzt verschriebenen. Rufen Sie Ihren Arzt an oder erhalten Sie sofort medizinische Hilfe, wenn:
    • Ihre Atmung verlangsamt sich
    • Sie haben eine flache Atmung (kleine Brustbewegung mit Atmen)
    • Sie fühlen sich schwindelig, schwindelig oder verwirrt oder
    • Sie haben andere ungewöhnliche Symptome
  • Darvocet-N (Propoxyphen-Napsylat und Paracetamol) kann dazu führen, dass Ihr Blutdruck sinkt. Auf diese Weise fühlen Sie sich schwindelig und schwach, wenn Sie zu schnell aufstehen, wenn Sie sitzen oder sich hinlegen. Es ist auch wahrscheinlicher, dass ein niedriger Blutdruck auftritt, wenn Sie andere Medikamente einnehmen, die auch Ihren Blutdruck senken können. Ein schwerer niedriger Blutdruck kann auftreten, wenn Sie Blut verlieren oder bestimmte andere Medikamente einnehmen.
  • Leberprobleme. Darvocet-N (Propoxyphen-Napsylat und Paracetamol) enthält Paracetamol. Acetamol kann schwerwiegende Leberprobleme verursachen, wenn Sie mehr als die empfohlene Dosis einnehmen. Nehmen Sie nicht mehr Darvocet-N (Propoxyphen-Napsylat und Paracetamol) als vorgeschrieben. Sehen Sie, wie soll ich Darvocet-N (Propoxyphen-Napsylat und Paracetamol) einnehmen? Nehmen Sie keine anderen Medikamente ein, die Paracetamol enthalten und gleichzeitig Darvocet-N (Propoxyphen-Napsylat und Paracetamol) einnehmen. Viele Produkte enthalten Paracetamol. Fragen Sie Ihren Arzt oder Apotheker, ob Sie nicht sicher sind. Leberschäden können auch nach dem Verschwinden der Symptome auftreten. Sie können Tage später an Leberversagen sterben. Sagen Sie Ihrem Arzt, wenn Sie diese Symptome eines Leberproblems bei der Einnahme von Darvocet-N (Propoxyphen-Napsylat und Paracetamol) haben:
    • Brechreiz
    • Erbrechen
    • Appetitverlust
    • Magenbereich (Bauchschmerzen)
  • Schläfrigkeit. Darvocet-n (Propoxyphen-Napsylat und Paracetamol) kann Schläfrigkeit verursachen und Ihre Fähigkeit beeinflussen, Entscheidungen klar zu denken oder schnell zu reagieren. Fahren Sie nicht mit schweren Maschinen oder führen Sie andere gefährliche Aktivitäten aus, bis Sie wissen, wie Darvocet-N (Propoxyphen-Napsylat und Paracetamol) Sie beeinflusst.
  • Darvocet-n (Propoxyphen-Napsylat und Paracetamol) kann eine physikalische Abhängigkeit verursachen, wenn Sie sie länger als ein paar Wochen einnehmen. Hören Sie plötzlich nicht auf, Darvocet-N (Propoxyphen-Napsylat und Paracetamol) einzunehmen. Sie könnten mit unangenehmen Entzugssymptomen krank werden (z. B. Übelkeit erbrechen Durchfall Angst und Zittern), weil sich Ihr Körper an das Arzneimittel gewöhnt hat. Sprechen Sie mit Ihrem Arzt darüber, dass Sie Darvocet-N (Propoxyphen-Napsylat und Paracetamol) langsam anhalten, um nicht mit Entzugssymptomen krank zu werden. Die körperliche Abhängigkeit ist nicht die gleiche wie die Drogenabhängigkeit. Ihr Arzt kann Ihnen mehr über die Unterschiede zwischen körperlicher Abhängigkeit und Drogenabhängigkeit erzählen.

Sagen Sie Ihrem Arzt, wenn Sie eines dieser Entzugssymptome haben, während Sie langsam aufhören, Darvocet-N (Propoxyphen-Napsylat und Paracetamol) zu nehmen. Möglicherweise müssen Sie Darvocet-N (Propoxyphen-Napsylat und Paracetamol) langsamer stoppen.

Häufige Nebenwirkungen von Darvocet-N (Propoxyphen-Napsylat und Paracetamol) umfassen:

  • Schwindel
  • sich schläfrig fühlen
  • Brechreiz Und Erbrechen
  • Verstopfung
  • Magenbereich (Bauch-) Schmerz
  • Hautausschläge
  • Benommenheit
  • Kopfschmerzen
  • Schwäche
  • Gefühl der Aufregung (Begeisterung) oder Beschwerden
  • Hören oder Erkennen von Dingen, die nicht wirklich da sind (Halluzinationen)
  • verschwommenes Sehen

Rufen Sie Ihren Arzt an, um medizinische Beratung zu Nebenwirkungen zu erhalten. Sie können die FDA bei 1-800-FDA-1088 Nebenwirkungen melden.

Sie können auch Nebenwirkungen von Xanodyne Pharmaceuticals Inc. unter 1-877-773-7793 berichten.

Wie soll ich Darvocet-n (Propoxyphen-Napsylat und Paracetamol) speichern?

  • Speichern Sie Darvocet-N (Propoxyphen-Napsylat und Paracetamol) bei 59of bis 86of (15oc-30oc).

Halten Sie Darvocet-N (Propoxyphen-Napsylat und Paracetamol) und alle Medikamente außerhalb der Reichweite von Kindern.

Allgemeine Informationen zu Darvocet-N (Propoxyphen-Napsylat und Paracetamol)

Medikamente werden manchmal für andere Zwecke als die in einem Medikamentenhandbuch aufgeführten Zwecke verschrieben. Verwenden Sie nicht Darvocet-N (Propoxyphen-Napsylat und Paracetamol) für einen Zweck, für den es nicht verschrieben wurde. Geben Sie anderen nicht Darvocet-N (Propoxyphen-Napsylat und Paracetamol) an andere, auch wenn sie die gleichen Symptome haben, die Sie haben. Es kann ihnen schaden und ist gegen das Gesetz. Diese Medikamentenhandbuch fasst die wichtigsten Informationen über Darvocet-n (Propoxyphen-Napsylat und Paracetamol) zusammen. Wenn Sie weitere Informationen wünschen, sprechen Sie mit Ihrem Arzt. Sie können Ihren Apotheker oder Arzt um Informationen zu Darvocet-N (Propoxyphen-Napsylat und Paracetamol) bitten, die für Angehörige der Gesundheitsberufe geschrieben wurden. Weitere Informationen Gehen Sie zu www.xanodyne.com oder rufen Sie 1-877-773-7793 an.

Was sind die Zutaten in Darvocet-n?

Wirkstoffe: Propoxyphen -Napsylat und Paracetamol

Inaktive Zutaten: Amberlite Cellulose FD

Dieser Medikamentenführer wurde von der US -amerikanischen Food and Drug Administration zugelassen.