Die Informationen Auf Dieser Website Stellen Keine Medizinische Beratung Dar. Wir Verkaufen Nichts. Die Richtigkeit Der Übersetzung Wird Nicht Garantiert. Haftungsausschluss
Medikamente
Morphinentabletten
Drogenzusammenfassung
Was ist Morphium?
Morphinsulfat-Tabletten mit verlängerter Freisetzung sind ein Opioid-Agonisten-Produkt, das für die Behandlung von Schmerzen angegeben ist, die schwerwiegend genug sind, um täglich eine langfristige Opioidbehandlung zu benötigen und für die alternative Behandlungsoptionen unzureichend sind. Morphinsulfat-Tabletten zur Auslöser sind in erhältlich generisches bilden.
Was sind Nebenwirkungen von Morphium?
Zu den häufigen Nebenwirkungen von Morphinsulfat-Tabletten mit verlängerter Freisetzung gehören:
- Verstopfung
- Brechreiz
- Schläfrigkeit
- Schwindel
- Erbrechen
- Schwitzen
- fühle mich unruhig und
- euphorische Stimmung.
Dosierung für Morphium
Bei opioid-naiven und opioid nicht-toleranten Patienten beträgt die anfängliche Dosis von Morphinsulfat verlängerte Freisetzung 15 mg Tabletten alle 8 bis 12 Stunden oral.
Welche Medikamentensubstanzen oder Nahrungsergänzungsmittel interagieren mit Morphin?
Morphinensulfat-Tabletten mit verlängerter Freisetzung können mit anderen Depressiva des Zentralnervensystems (CNS) (wie Sedativen-Anxiolytika-Hypnotika-Tranquilisatoren im Allgemeinen Anästhetika Phenothiazine Neuroleptika andere Opioiden und Alkohol-Skelett-Skelett-Skelett-Relaxants Monoamincin-Monoise-Monoise-Monoise-Monoise-Monoise-Monoise-Monoise-Mono-Skelett-Monoamminphin-Skelpin (monoamminolphan-monosibinisch) -Monoaminorphin (monoaminolphinisch-mylais-monoamminphinisch) ( Cimetidin-Diuretika-Antocholinergika und PGP-Inhibitoren (z. B. Chinidin). Sagen Sie Ihrem Arzt alle Medikamente und Nahrungsergänzungsmittel, die Sie verwenden.
Morphin während der Schwangerschaft und des Stillens
Morphinsulfat wird nicht für den Einsatz während der Schwangerschaft empfohlen. Es kann einem Fötus schaden. Eine längere Verwendung von Morphinsulfat während der Schwangerschaft kann bei Neugeborenen zu Entzugszeichen führen. Morphinsulfat geht in die Muttermilch über und kann nachteilige Auswirkungen auf ein Pflegekind haben. Das Stillen bei der Verwendung von Morphinsulfat wird nicht empfohlen. Entzugssymptome können auftreten, wenn Sie plötzlich aufhören, Morphinsulfat zu nehmen.
Weitere Informationen
Unser Morphinsulfat -Tabletten Das Side Effects Drug Center bietet einen umfassenden Überblick über die verfügbaren Arzneimittelinformationen über die potenziellen Nebenwirkungen bei der Einnahme dieses Medikaments.
FDA -Drogeninformationen
- Drogenbeschreibung
- Indikationen
- Nebenwirkungen
- Wechselwirkungen mit Arzneimitteln
- Warnungen
- Überdosis
- Klinische Pharmakologie
- Medikamentenhandbuch
WARNUNG
Suchtmissbrauch und Missbrauch; Lebensbedrohliche Atemdepression; Zufällige Einnahme; und Neugeborenen -Opioid -Entzugssyndrom
Suchtmissbrauch und Missbrauch
Morphinsulfat-Tabletten mit verlängerter Freisetzung setzen Patienten und andere Benutzer dem Risiko von Opioidsucht Missbrauch und Missbrauch aus, die zu Überdosierung und Tod führen können. Bewerten Sie das Risiko jedes Patienten vor der Verschreibung von Morphinsulfat-Tabletten mit verlängerter Freisetzung und überwachen Sie alle Patienten regelmäßig auf die Entwicklung dieser Verhaltensweisen oder Erkrankungen [siehe WARNUNGS AND VORSICHTSMASSNAHMEN ].
Lebensbedrohliche Atemdepression
Eine schwerwiegende lebensbedrohliche oder tödliche Atemdepression kann bei der Verwendung von Morphinsulfat-Tabletten mit verlängerter Freisetzung auftreten. Überwachung auf Atemdepression, insbesondere während des Einleitungen von Morphinsulfat-Tabletten mit verlängerter Freisetzung oder nach einer Dosisanstieg. Weisen Sie die Patienten an, Morphinsulfat-Tabletten mit verlängerter Freisetzung zu schlucken. Crushing-Kauen oder Lösung von Morphinsulfat-Tabletten mit verlängerter Freisetzung kann eine schnelle Freisetzung und Absorption einer potenziell tödlichen Dosis von Morphin verursachen [siehe WARNUNGS AND VORSICHTSMASSNAHMEN ].
Zufällige Einnahme
Zufällige Einnahme von selbst einer Dosis von Morphinsulfat-Tabletten, insbesondere von Kindern, kann zu einer tödlichen Überdosis von Morphin führen [siehe WARNUNGS AND VORSICHTSMASSNAHMEN ].
Neugeborenen -Opioid -Entzugssyndrom
Eine längere Anwendung von Morphinsulfat-Tabletten mit verlängerter Freisetzung während der Schwangerschaft kann zu einem Opioid-Entzug-Syndrom für Neugeborene führen, das möglicherweise lebensbedrohlich, wenn sie nicht anerkannt und behandelt wird, und erfordert das Management gemäß Protokollen, die von Experten von Neonatologie entwickelt wurden. Wenn eine schwangere Frau für einen längeren Zeitraum von Opioidkonsum erforderlich ist, raten Sie dem Patienten des Risikos eines Opioid -Entzug -Syndroms für Neugeborene und stellen Sie sicher, dass eine angemessene Behandlung verfügbar ist [siehe WARNUNGS AND VORSICHTSMASSNAHMEN ].
Beschreibung für Morphinentafeln
Morphinsulfat-Tabletten zur Auslöser sind für den oralen Gebrauch und enthalten Morphinsulfat, einen Agonisten am Mu-Opioid-Rezeptor.
Jedes Tablet enthält die folgenden inaktiven Inhaltsstoffe, die allen Stärken gemeinsam sind: Cetostarylalkoholhydroxyethylcellulose -Hypromellose -Magnesium -Stearat -Polyethylenglykol -Talk und Titaniumdioxid.
Die Tablettenstärken beschreiben die Menge an Morphin pro Tablette als pentahydratisiertes Sulfatsalz (Morphinsulfat).
Die 15 mg Tabletten enthalten auch: FD
Die 30 mg Tabletten enthalten auch: D.
Die 60 mg Tabletten enthalten auch: D.
Die 100 mg Tabletten enthalten ebenfalls: schwarzes Eisenoxid
Die 200 mg Tabletten enthalten auch: D.
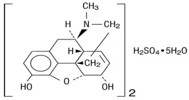
Morphinsulfat ist ein geruchloses weißes kristallines Pulver mit einem bitteren Geschmack. Es hat eine Löslichkeit von 1 in 21 Teilen Wasser und 1 zu 1000 Teilen Alkohol, ist jedoch in Chloroform oder Ether praktisch unlöslich. Der Octanol: Der Wasserpartitionskoeffizient von Morphin beträgt 1,42 bei physiologischem pH und der PK b ist 7,9 für den tertiären Stickstoff (meist ionisiert bei pH 7,4). Seine strukturelle Formel ist:
|
Verwendung für Morphinentafeln
Morphinsulfat verlängerte Tabletten sind für die Behandlung von Schmerzen angezeigt, die schwerwiegend genug sind, um die Langzeit-Opioidbehandlung in der Umgebung täglich zu erfordern und für die alternative Behandlungsoptionen unzureichend sind.
Einschränkungen der Nutzung
- Aufgrund des Risikos von Suchtmissbrauch und Missbrauch mit Opioiden auch bei empfohlenen Dosen und aufgrund des größeren Risikos von Überdosierung und Tod mit Opioidformulierungen mit längerer Freisetzung reservieren Reserven Morphinensulfat mit verlängerter Release, bei denen Tabletten bei Patienten verwendet werden, für die sich bei Patienten, für die Wechselbehandlungsoptionen nicht opioid analgoken sind, nicht zu verkleinern sind, die nicht zu verkleinern sind. Schmerz.
- Morphinsulfat verlängerte Tabletten sind nicht als notiertes (PRN) -Analgetika angegeben.
Dosierung für Morphium Tablets
Anfängliche Dosierung
Morphinsulfat-Tabletten mit verlängerter Freisetzung sollten nur von Angehörigen der Gesundheitsberufe verschrieben werden, die mit der Verwendung starker Opioide zur Behandlung chronischer Schmerzen informiert sind.
Initiieren Sie das Dosierungsschema für jeden Patienten individuell unter Berücksichtigung der früheren analgetischen Behandlungserfahrung des Patienten und den Risikofaktoren für Missbrauch und Missbrauch von Sucht [siehe WARNUNGS AND VORSICHTSMASSNAHMEN ]. Monitor patients closely for respiratory depression especially within the first 24 to 72 hours of initiating therapy with morphine sulfate extended-release tablets [see WARNUNGS AND VORSICHTSMASSNAHMEN ].
Morphinsulfat verlängerte Tabletten müssen ganz genommen werden. Crushing-Kauen oder Auflösen von Morphinsulfat-Tabletten mit verlängerter Freisetzung führt zu einer unkontrollierten Abgabe von Morphin und kann zu Überdosierung oder Tod führen [siehe WARNUNGS AND VORSICHTSMASSNAHMEN ].
Verwendung von Morphinsulfat-Tabletten mit verlängerter Freisetzung als erste Opioidanalgetikerin
Initiieren Sie die Behandlung mit Morphinsulfat-Tabletten mit verlängerter Freisetzung mit 15 mg Tabletten alle 8 oder 12 Stunden oral.
Verwendung von Morphinsulfat-Tabletten mit verlängerter Freisetzung bei Patienten, die nicht opioid tolerant sind
Die Startdosis für nicht opioid-tolerante Patienten ist Morphinsulfat-Tabletten mit verlängerter Freisetzung von 15 mg oral alle 12 Stunden. Patienten, die opioidtolerant sind, erhalten eine Woche oder länger mindestens 60 mg orales Morphin pro Tag 25 mcg transdermaler Fentanyl pro Stunde 30 mg orales Oxycodon pro Tag 8 mg orale Hydromorphone pro Tag 25 mg orales Oxymorphone pro Tag oder eine gleichrangige Dosis einer anderen Opioid.
Die Verwendung höherer Startdosen bei Patienten, die nicht opioid tolerant sind, kann eine tödliche Atemdepression verursachen.
Umwandlung von anderem oralem Morphin in Morphinsulfat-Tabletten mit verlängerter Freisetzung
Patienten, die andere orale Morphinformulierungen erhalten, können in Morphinsulfat-ExtendedRelease-Tabletten umgewandelt werden, indem die 24-Stunden-Anforderung des Patienten als Morphinsulfat-Tabletten mit verlängerter Freisetzung auf einem Zeitplan für jeden 12-Stunden-Zeitplan oder durch die tägliche Anforderung eines Patienten auf einem Tisch von Patienten auf einem beliebigen Schleimschuster auf einem beliebigen Zeitplan auf jeden Fall auf jeden Fall verabreicht wird.
Umwandlung von anderen Opioiden in Morphinsulfat-Tabletten verlängerte Freisetzung
Es gibt keine festgelegten Umwandlungsverhältnisse für die Umwandlung von anderen Opioiden in Morphinsulfat-Extended-Freis-Tabletten, die durch klinische Studien definiert sind. Stellen Sie alle anderen Opioidmedikamente rund um die Uhr ab, wenn Morphinsulfat-Tabletten-Therapie mit verlängerter Freisetzung ausgelöst wird, und initiieren Sie die Dosierung unter Verwendung von Morphinsulfat-Tabletten mit verlängerter Freisetzung von 15 mg alle 8 bis 12 Stunden.
Es ist sicherer, den 24-Stunden-Morphinanforderungen eines Patienten zu unterschätzen und Rettungsmedikamente (z. B. Morphin für die Sofortige Freisetzung) bereitzustellen, als die 24-Stunden-Morphinanforderungen zu überschätzen und eine nachteilige Reaktion zu verwalten. Während nützliche Tabellen von Opioidäquivalenten leicht verfügbar sind, besteht die relative Wirksamkeit verschiedener Opioidmedikamente und -produkte erheblich interpatienten Variabilität.
Umwandlung von parenteralem Morphin oder anderen Opioiden (parenteraler oder oraler) zu Morphinsulfat-Extended-Freisetzungs-Tabletten
Bei der Umwandlung von parenteralem Morphin oder anderen nicht-morphinischen Opioiden (parenteraler oder oraler) in Morphinsulfat-Extended-Freis-Tabletten berücksichtigen Sie die folgenden allgemeinen Punkte:
- Parenteral zu oralem Morphinverhältnis: Zwischen 2 bis 6 mg oralem Morphin können Analgesie erforderlich sein, die 1 mg parenterales Morphin entsprechen. Typischerweise ist eine Dosis Morphin, die ungefähr das Dreifache der vorherigen täglichen parenteralen Morphin -Anforderung ausmacht, ausreichend.
- Andere parenterale oder orale nichtmorphinische Opioide zu oralem Morphinsulfat: Spezifische Empfehlungen sind nicht verfügbar, da für diese Arten von analgetischen Substitutionen systematische Nachweise mangeln. Veröffentlichte relative Potenzdaten sind verfügbar, aber solche Verhältnisse sind Annäherungen. Im Allgemeinen beginnt mit der Hälfte des geschätzten täglichen Morphinbedarfs als anfängliche Dosis, die unzureichende Analgesie durch Ergänzung mit Morphin mit sofortiger Freisetzung verwaltet.
Umwandlung von Methadon in Morphinsulfat-Tabletten mit verlängerter Freisetzung
Eine enge Überwachung ist bei der Umwandlung von Methadon in andere Opioidagonisten von besonderer Bedeutung. Das Verhältnis zwischen Methadon und anderen Opioidagonisten kann in Abhängigkeit von früherer Dosis -Exposition stark variieren. Methadon hat eine lange Halbwertszeit und kann sich im Plasma ansammeln.
Titration und Aufrechterhaltung der Therapie
Individuell titrieren Sie Morphinsulfat-Tabletten mit verlängerter Freisetzung in eine Dosis, die eine angemessene Analgesie liefert, und minimiert unerwünschte Reaktionen. Bewertung von Patienten, die Morphinsulfat -ExtendedRelease -Tabletten erhalten, kontinuierlich neu bewerten, um die Aufrechterhaltung der Schmerzkontrolle und die relative Inzidenz nachteiliger Reaktionen sowie die Überwachung der Entwicklung von Suchtmissbrauch oder Missbrauch zu bewerten. Die häufige Kommunikation ist unter den anderen Mitgliedern des Gesundheitsteams, dem Patienten und der Pflegeperson/der Familie, in Zeiten der sich ändernden analgetischen Anforderungen einschließlich der ersten Titration wichtig. Während der chronischen Therapie bewerten Sie regelmäßig den fortgesetzten Bedarf an Opioidanalgetika.
Patienten, bei denen Schmerzen bei Durchbrüchen auftreten, benötigen möglicherweise eine Dosiszunahme von Morphinsulfat-ExtendedRelease-Tabletten oder Rettungsmedikamente mit einer angemessenen Dosis einer Analgetikerin mit sofortiger Freisetzung. Wenn der Schmerzniveau nach der Dosisstabilisierung zunimmt, um die Quelle erhöhter Schmerzen zu identifizieren, bevor das Morphinsulfat-Tabletten-Dosis verlängert werden. Da die Steadystate-Plasmakonzentrationen in 1-Tage-Morphinsulfat-Tabletten-Einstellungen für Hochfehlungen von Morphinsulfat angenähert werden, können alle 1 bis 2 Tage Dosierungsanpassungen durchgeführt werden.
Wenn nicht akzeptable opioidbedingte Nebenwirkungen beobachtet werden, können die nachfolgenden Dosen verringert werden. Passen Sie die Dosis an, um ein angemessenes Gleichgewicht zwischen der Behandlung von Schmerzen und opioidbedingten Nebenwirkungen zu erhalten.
Abbruch von Morphinsulfat-Tabletten mit verlängerter Freisetzung
Wenn der Patient keine Therapie mit Morphinsulfat-Tabletten mit verlängerter Freisetzung benötigt, verwenden Sie eine allmähliche Abwärts-Titration der Dosis, um Anzeichen und Symptome des Entzugs beim physikalisch abhängigen Patienten zu verhindern. Morphinsulfat nicht abrupt verlängerte Tabletten abrupt.
Verabreichung von Morphinsulfat-Tabletten mit verlängerter Freisetzung
Morphinsulfat verlängerte Tabletten müssen ganz genommen werden. Crushing-Kauen oder Auflösen von Morphinsulfat-Tabletten mit verlängerter Freisetzung führt zu einer unkontrollierten Abgabe von Morphin und kann zu Überdosierung oder Tod führen [siehe WARNUNGS AND VORSICHTSMASSNAHMEN ].
Wie geliefert
Dosierungsformen und Stärken
- Morphinsulfat verlängerte Tabletten 15 mg
Runde blau gefärbte filmbeschichtete Tabletten mit dem Symbol ABG auf der einen Seite und 15 auf der anderen Seite - Morphinsulfat verlängerte Tabletten 30 mg
Runde lavendelfarbene filmbeschichtete Tabletten mit dem Symbol ABG auf der einen Seite und 30 auf der anderen Seite - Morphinsulfat verlängerte Tabletten 60 mg
Runde orangefarbene filmbeschichtete Tabletten mit dem Symbol ABG auf der einen Seite und 60 auf der anderen Seite - Morphinsulfat verlängerte Tabletten 100 mg*
Runde grau gefärbte filmbeschichtete Tabletten mit dem Symbol ABG auf der einen Seite und 100 auf der anderen Seite - Morphinsulfat erweiterte Freisetzungstabletten 200 mg*
Kapselförmige grün gefärbte filmbeschichtete Tabletten mit dem Symbol ABG auf der einen Seite und 200 auf der anderen Seite
*100 mg und 200 mg Tabletten sind nur bei Opioid-toleranten Patienten vorhanden
Lagerung und Handhabung
Morphinsulfat verlängerte Tabletten 15 mg sind runde blau gefärbte filmbeschichtete Tabletten mit dem Symbol ABG auf der einen Seite und 15 auf der anderen Seite. Sie werden wie folgt geliefert:
NDC 42858-801-01: undurchsichtige Plastikflaschen mit 100 Tabletten enthalten
Morphinsulfat verlängerte Tabletten 30 mg sind runde lavendelgesteuerte filmbeschichtete Tabletten mit dem Symbol ABG auf der einen Seite und 30 auf der anderen Seite. Sie werden wie folgt geliefert:
NDC 42858-802-01: undurchsichtige Plastikflaschen mit 100 Tabletten enthalten
Morphinsulfat verlängerte Tabletten 60 mg sind runde orangefarbene, filmbeschichtete Tabletten mit dem Symbol ABG auf der einen Seite und 60 auf der anderen Seite. Sie werden wie folgt geliefert:
NDC 42858-803-01: undurchsichtige Plastikflaschen mit 100 Tabletten enthalten
Morphinsulfat verlängerte Tabletten 100 mg sind runde grau gefärbte filmbeschichtete Tabletten mit dem Symbol ABG auf der einen Seite und 100 auf der anderen Seite. Sie werden wie folgt geliefert:
NDC 42858-804-01: undurchsichtige Plastikflaschen mit 100 Tabletten enthalten
Morphinsulfat verlängerte Tabletten 200 mg sind kapselförmige grün gefärbte filmbeschichtete Tabletten mit dem Symbol ABG auf der einen Seite und 200 auf der anderen Seite. Sie werden wie folgt geliefert:
NDC 42858-805-01: undurchsichtige Plastikflaschen mit 100 Tabletten enthalten
Speichern Sie bei 25 ° C (77 ° F); Exkursionen zwischen 15 ° bis 30 ° C (59 ° bis 86 ° F).
In einem engen, lichtbeständigen Behälter geben.
VORSICHT
DEA -Form erforderlich
Hergestellt von: Purdue Pharmaceuticals L.P. Wilson NC 27893. Überarbeitet: Mai 2015
Nebenwirkungen for Morphine Tablets
Die folgenden schwerwiegenden Nebenwirkungen werden an anderer Stelle in der Kennzeichnung beschrieben:
- Suchtmissbrauch und Missbrauch [see WARNUNGS AND VORSICHTSMASSNAHMEN ]
- Lebensbedrohliche Atemdepression [see WARNUNGS AND VORSICHTSMASSNAHMEN ]
- Neugeborenen -Opioid -Entzugssyndrom [see WARNUNGS AND VORSICHTSMASSNAHMEN ]
- Wechselwirkungen mit anderen ZNS -Depressiva [siehe WARNUNGS AND VORSICHTSMASSNAHMEN ]
- Blutgängige Wirkung [siehe WARNUNGS AND VORSICHTSMASSNAHMEN ]
- Magen -Darm -Effekte [siehe WARNUNGS AND VORSICHTSMASSNAHMEN ]
- Anfälle [siehe WARNUNGS AND VORSICHTSMASSNAHMEN ]
Klinische Versuchserfahrung
Da klinische Studien unter stark unterschiedlichen Bedingungen durchgeführt werden, die in den klinischen Studien eines Arzneimittels beobachtet werden, können in den klinischen Studien eines anderen Arzneimittels nicht direkt mit den Raten verglichen werden und spiegeln möglicherweise nicht die in der Praxis beobachteten Raten wider.
Morphinsulfat-Tabletten mit verlängerter Freisetzung können das Risiko schwerwiegender Nebenwirkungen erhöhen, beispielsweise diejenigen, die mit anderen Opioidanalgetika beobachtet werden, einschließlich der Hypotonie oder des Schocks der Atemstillstand der Atemreparatur-Atemstillstand, die Atemstillstand kreislaufende Depressionen zu respiratorischen Depressionen [siehe ÜBERDOSIS ].
Am häufigsten beobachtete Reaktionen
In klinischen Studien waren die häufigsten unerwünschten Reaktionen mit Morphinsulfat-Tabletten mit verlängerter Freisetzung Verstopfung.
Einige dieser Effekte scheinen bei ambulanten Patienten und bei Patienten, bei denen keine starken Schmerzen auftreten, deutlicher zu sein.
Weniger häufig beobachtete Reaktionen
Herz -Kreislauf -Störungen : Tachykardie Bradykardia -Palpitationen
Augenstörungen : Sehbehinderung Visual Unschurkte Diplopia Miosis
Magen -Darm -Störungen : Trockenmund Durchfall Bauchschmerzen Verstopfung Dyspepsie
Allgemeine Erkrankungen und Verwaltungsortbedingungen : Schüttelfrost spüren abnormale Ödemödeme periphere Schwäche
Lebererkrankungen : Gallenkolik
Stoffwechsel- und Ernährungsstörungen : Anorexie
Muskuloskelett- und Bindegewebestörungen : Muskelsteifigkeitsmuskel zuckten
Störungen des Nervensystems : Presyncope Synkope Kopfschmerz Zittern unkoordinierte Muskelbewegungen Intrakranialdruck erhöhte Geschmacksveränderung Parästhesie Nystagmus
Psychiatrische Störungen : Agitationsstimmung veränderte Angst Depression abnormale Träume Halluzinationsdeholution
Nieren- und Harnstörungen : Harnretention im Urin zögert antidiuretische Wirkungen
Fortpflanzungssystem und Bruststörungen: Reduzierte Libido und/oder Potenz
Atemstillstand und Mediastinalstörungen : Laryngospaspasp
Haut- und subkutane Gewebeerkrankungen : Evolidus Urticaria Ausschlag
Gefäßstörungen : Spülhypotonie Hypertonie
Nachmarkterfahrung
Die folgenden unerwünschten Reaktionen wurden während der Verwendung von Morphinsulfat-Tabletten nach der Ausnahme von Morphinsulfat identifiziert: Amenorrhoe Asthenia Bronchospasmus Verwirrungszustandsmedikamente Überempfindlichkeit Müdigkeit Hyperalgesie Hypertonia ileus Erhöhte hepatische Enzyme, die intimaler Hindernis Lethargy-Pulmonar-Öde-Denk- und Denk- und Verschärde-Edema-Denk- und Verschärchen Söwäle.
Die Anaphylaxie wurde mit Inhaltsstoffen berichtet, die in Morphinsulfat-Tabletten mit verlängerter Freisetzung enthalten sind. Beraten Sie den Patienten, wie sie eine solche Reaktion erkennen und wann sie medizinische Hilfe suchen sollen.
Wechselwirkungen mit Arzneimitteln for Morphine Tablets
ZNS -Depressiva
Die gleichzeitige Verwendung von Morphinsulfat-Tabletten mit verlängerter Freisetzung mit anderen ZNS-Depressiva, einschließlich der hypnotischen Beruhigungsmittel-Hypnotika-Beruhigungsmittel-Vollnarkose Phenothiazine Andere Opioide und Alkohol können das Risiko einer atemberaubenden Depression erhöht. Überwachung von Patienten, die ZNS-Depressiva und Morphinsulfat-Tabletten zur Erleichterung von Hochfehlungen für Anzeichen einer Sedierung und Hypotonie der Atemdepression erhalten.
Wenn die kombinierte Therapie mit einem der oben genannten Medikamente als Dosis eines oder beiden Wirkstoffe angesehen werden sollte [siehe Dosierung und Verwaltung Und WARNUNGS AND VORSICHTSMASSNAHMEN ].
Wechselwirkungen mit gemischtem Agonisten/Antagonisten und partiellem Agonisten -Opioidanalgetika
Der gemischte Agonist/Antagonist (d. H. Pentazocin-Nalbuphin und Butorphanol) und partielle Agonist (Buprenorphin) können die analgetische Wirkung von Morphinsulfat-Tabletten ausgedehnt oder die Entzugssymptome auslösen. Vermeiden Sie den Einsatz von Agonisten/Antagonisten und partiellem Agonistenanalgetika bei Patienten, die Morphinsulfat-Tabletten mit verlängerter Freisetzung erhalten.
Muskelrelaxantien
Morphin kann die neuromuskuläre Blockierungswirkung von Relaxantien des Skelettmuskels verbessern und einen erhöhten Grad an Atemdepression erzeugen. Überwachung von Patienten, die Muskelrelaxantien und Morphinsulfat-Tabletten ausgegeben werden, auf Anzeichen einer Atemdepression, die möglicherweise größer sein als erwartet.
Monoaminoxidase -Inhibitoren (Maois)
Die Auswirkungen von Morphin können durch Maois potenziert werden. Überwachen Sie die Patienten auf eine gleichzeitige Therapie mit einem MAOI- und Morphinsulfat-Tischletten zur Erhöhung der Depression für Atemweg und Zentralnervensystem. Es wurde berichtet, dass Maois die Auswirkungen der Verwirrung von Morphinangst und einer signifikanten Depression der Atmung oder des Komas potenziert. Morphinsulfat-Tabletten mit verlängerter Freisetzung sollten nicht bei Patienten verwendet werden, die Maois einnehmen oder innerhalb von 14 Tagen nach Beendigung einer solchen Behandlung.
Cimetidin
Cimetidin can potentiate morphine-induced respiratory depression. There is a report of confusion Und severe respiratory depression when a patient undergoing hemodialysis was concurrently administered morphine Und cimetidine. Monitor patients for respiratory depression when morphine sulfate extendedrelease tablets Und cimetidine are used concurrently.
Diuretika
Morphin kann die Wirksamkeit der Diuretika verringern, indem sie die Freisetzung von antidiuretisches Hormon induziert. Morphin kann auch zu einer akuten Retention von Urin führen, indem der Schließmuskel der Blase insbesondere bei Männern mit vergrößerten Prostattern verursacht wird.
Anticholinergika
Anticholinergika or other medications with anticholinergic activity when used concurrently with opioid analgesics may result in increased risk of urinary retention Und/or severe Verstopfung which may lead to paralytic ileus. Monitor patients for signs of urinary retention or reduced gastric motility when morphine sulfate extended-release tablets are used concurrently with anticholinergic drugs.
P-Glykoprotein (PGP) -Hemmer
PGP-Inhibitoren (z. B. Chinidin) können die Absorption/Exposition von Morphinsulfat um etwa zweifache erhöhen. Überwachen Sie daher die Patienten auf Anzeichen einer Depression des Atemnervensystems auf Atem- und Zentralnervensysteme, wenn Morphinsulfat-Tabletten mit verlängerter Freisetzung gleichzeitig mit PGP-Inhibitoren verwendet werden.
Drogenmissbrauch und Abhängigkeit
Kontrollierte Substanz
Morphinsulfat-Tabletten mit verlängerter Freisetzung enthalten Morphin A-kontrollierter Substanz mit dem Zeitplan II mit einem hohen Missbrauchspotential wie anderen Opioiden, einschließlich Fentanylhydromorphon-Methadon-Oxycodon und Oxymorphon. Morphinsulfat-Tabletten mit verlängerter Freisetzung können missbraucht werden und unterliegt der Missbrauchsabhängigkeit und kriminellen Ablenkung [siehe WARNUNGS AND VORSICHTSMASSNAHMEN ].
Der hohe Arzneimittelgehalt in Formulierungen mit längerer Freisetzung erhöht das Risiko von negativen Ergebnissen durch Missbrauch und Missbrauch.
Missbrauch
Alle mit Opioiden behandelten Patienten benötigen eine sorgfältige Überwachung auf Anzeichen von Missbrauch und Sucht, da die Verwendung von Opioidanalgetika -Produkten das Risiko einer Sucht selbst unter geeignetem medizinischem Gebrauch darstellt. Drogenmissbrauch ist der absichtliche nicht therapeutische Einsatz einer rezeptfreien oder verschreibungspflichtigen Droge auch einmal für ihre lohnenden psychologischen oder physiologischen Wirkungen. Der Drogenmissbrauch beinhaltet, ohne darauf beschränkt zu sein, die folgenden Beispiele: die Verwendung eines verschreibungspflichtigen oder rezeptfreien Arzneimittels, um hoch zu werden, oder die Verwendung von Steroiden zur Leistungsverstärkung und zum Muskelaufbau.
Arzneimittelabhängigkeit ist eine Gruppe von kognitiven und physiologischen Phänomenen verhaltensbezogener Substanzen, die sich nach wiederholten Substanzkonsum entwickeln und umfassen: Ein starker Wunsch, die Arzneimittelschwierigkeiten bei der Kontrolle des Gebrauchs in ihrer Verwendung zu kontrollieren, trotz schädlicher Konsequenzen, die dem Drogenkonsum eine höhere Priorität haben, als für andere Aktivitäten und Verpflichtungen erhöhte Toleranz und manchmal ein physikalischer Rückzug.
Das Verhalten von Drogen suchen ist für Süchtige und Drogenabhängige sehr häufig. Zu den medikamentensuchenden Taktiken gehören Notrufe oder Besuche gegen Ende der Bürozeit, die sich verweigert, geeignete Prüfungstests oder Überweisungen wiederholte Ansprüche des Verlusts von Rezepten zu unterziehen, die Rezepte und Zurückhaltung bei der Bereitstellung früherer medizinischer Aufzeichnungen oder Kontaktinformationen für andere behandelende Arzt (e). Arzteinkäufe (Besuch mehrerer Verschreiber), um zusätzliche Rezepte zu erhalten, sind bei Drogensauger und Menschen, die unter unbehandelter Sucht leiden, häufig.
Die Beschäftigung mit einer angemessenen Schmerzlinderung kann bei einem Patienten mit schlechter Schmerzkontrolle ein angemessenes Verhalten sein.
Missbrauch Und addiction are separate Und distinct from physical dependence Und tolerance. Physicians should be aware that addiction may not be accompanied by concurrent tolerance Und symptoms of physical dependence in all addicts. In addition abuse of opioids can occur in the absence of true addiction.
Morphinsulfat-Tabletten mit verlängerter Freisetzung wie andere Opioide können für den nicht medizinischen Einsatz in illegale Verteilungskanäle umgeleitet werden. Eine sorgfältige Aufzeichnung von Verschreibungsinformationen einschließlich der gesetzlichen Quantitätsfrequenz und Erneuerungsanfragen wird nachdrücklich empfohlen.
Eine ordnungsgemäße Bewertung des Patienten ordnungsgemäße Verschreibungspraktiken regelmäßige Neubewertung der Therapie und ordnungsgemäße Abgabe und Lagerung sind geeignete Maßnahmen, die dazu beitragen, den Missbrauch von Opioidmedikamenten zu verringern.
Risiken spezifisch für den Missbrauch von Morphinsulfat-Tabletten mit verlängerter Freisetzung
Morphinsulfat-Tabletten zur Auslöser sind nur für den oralen Gebrauch bestimmt. Der Missbrauch von Morphinsulfat -ExtendedRelease -Tabletten birgt ein Risiko für Überdosierung und Tod. Dieses Risiko wird mit gleichzeitiger Missbrauch von Morphinsulfat-Tabletten mit verlängerter Freisetzung mit Alkohol und anderen Substanzen erhöht. Das Einnehmen von geschnittenem, zerkleinertem oder gelöstem Morphinsulfat-Tabletten mit verlängerter Freisetzung erhöht die Arzneimittelfreisetzung und erhöht das Risiko von Überdosierung und Tod.
Aufgrund des Vorhandenseins von Talken als Hilfsstoffe in Morphinsulfat-Tabletten mit verlängerter Freisetzung kann ein parenteraler Missbrauch von Parentern zu einer lokalen Lungengranulome der Gewebe-Nekrose-Infektion und einem erhöhten Risiko für Endokarditis und Valvulärherzverletzungen erwartet werden. Parenteraler Drogenmissbrauch ist häufig mit der Übertragung von Infektionskrankheiten wie Hepatitis und HIV verbunden.
Abhängigkeit
Während der chronischen Opioid -Therapie können sich sowohl Toleranz als auch körperliche Abhängigkeit entwickeln. Toleranz ist die Notwendigkeit einer Erhöhung der Dosen von Opioiden, um eine definierte Wirkung wie Analgesie aufrechtzuerhalten (in Abwesenheit eines Fortschreitens von Krankheiten oder anderen externen Faktoren). Toleranz kann sowohl gegenüber den gewünschten als auch gegenüber unerwünschten Wirkungen von Arzneimitteln auftreten und sich bei unterschiedlichen Raten für unterschiedliche Wirkungen entwickeln.
Die physikalische Abhängigkeit führt zu Entzugssymptomen nach abrupten Absetzen oder einer signifikanten Dosisreduktion eines Arzneimittels. Der Entzug kann auch durch die Verabreichung von Arzneimitteln mit Opioidantagonistenaktivität, z. Naloxon Nalmefen gemischte Agonist/Antagonisten -Analgetika (Pentazozin -Butorphanol Nalbuphine) oder partielle Agonisten (Buprenorphin). Die physische Abhängigkeit kann bis nach mehreren Tagen bis Wochen der anhaltenden Opioidversorgung nicht in signifikantem Maße auftreten.
Morphinsulfat-Tabletten mit verlängerter Freisetzung sollten nicht abrupt abgesetzt werden [siehe Dosierung und Verwaltung ]. If morphine sulfate extended-release tablets are abruptly discontinued in a physically-dependent patient an abstinence syndrome may occur. Some or all of the following can characterize this syndrome: restlessness lacrimation rhinorrhea yawning perspiration chills myalgia Und mydriasis. Other signs Und symptoms also may develop including: irritability anxiety backache joint pain weakness abdominal cramps insomnia Brechreiz anorexia Erbrechen diarrhea or increased blood pressure respiratory rate or heart rate.
Säuglinge, die von Müttern körperlich von Opioiden geboren wurden Verwendung in bestimmten Populationen ].
Warnungen für Morphinentabletten
Eingeschlossen als Teil der 'VORSICHTSMASSNAHMEN' Abschnitt
Vorsichtsmaßnahmen für Morphinentafeln
Suchtmissbrauch und Missbrauch
Morphinsulfat-Tabletten mit verlängerter Freisetzung enthalten Morphin, eine kontrollierte Substanz von Zeitplan II. Als Opioid-Morphinsulfat wird seine Benutzer die Risiken von Suchtmissbrauch und Missbrauch ausgesetzt. Als modifizierte Freisetzungsprodukte wie Morphinsulfat-Tabletten liefern das Opioid über einen längeren Zeitraum ein höheres Risiko für Überdosierung und Tod aufgrund der größeren Menge an vorhandenem Morphin [siehe Drogenmissbrauch und Abhängigkeit ].
Obwohl das Risiko einer Sucht in einer Person nicht bekannt ist, kann es bei Patienten auftreten, die Morphinsulfat erweiterte Freisetzungstabletten angemessen verschrieben haben, und bei Patienten, die das Medikament illegal erhalten. Sucht kann bei empfohlenen Dosen auftreten und wenn das Medikament missbraucht oder missbraucht wird.
Bewerten Sie das Risiko jedes Patienten für Opioidabhängigkeitsmissbrauch oder -missbrauch, bevor Morphinsulfat-Tabletten erweitert werden und alle Patienten überwachen, die Opioide für die Entwicklung dieser Verhaltensweisen oder Erkrankungen erhalten. Die Risiken sind bei Patienten mit einer persönlichen oder familiären Vorgeschichte von Drogenmissbrauch (einschließlich Drogen- oder Alkoholmissbrauch oder Sucht) oder psychischen Erkrankungen (z. B. Major Depression) erhöht. Das Potenzial für diese Risiken sollte jedoch nicht die ordnungsgemäße Behandlung von Schmerzen bei einem bestimmten Patienten verhindern. Patienten mit erhöhtem Risiko können modifizierte Opioidformulierungen wie Morphinsulfat-Tabletten mit verlängerter Freisetzung verschrieben werden, aber bei solchen Patienten die intensive Beratung über das Risiko für die ordnungsgemäße Verwendung von Morphinsulfat-Tabletten sowie eine intensive Überwachung auf Anzeichen von Missbrauch und Missbrauch von Morphinsulfat erforderlich.
Missbrauch or misuse of morphine sulfate extended-release tablets by crushing chewing snorting or injecting the dissolved product will result in the uncontrolled delivery of morphine Und can result in overdose Und death [see ÜBERDOSIS ].
Opioidagonisten wie Morphinsulfat-Tabletten mit verlängerter Freisetzung werden von Drogensauger und Menschen mit Suchtstörungen gesucht und unterliegen krimineller Ablenkung. Berücksichtigen Sie diese Risiken bei der Verschreibung oder Abgabe von Morphinsulfat-Tabletten verlängert. Zu den Strategien zur Verringerung dieser Risiken gehört die Verschreibung des Arzneimittels in die kleinste angemessene Menge und die Beratung des Patienten über die ordnungsgemäße Entsorgung von ungenutzten Arzneimitteln [siehe Patientenberatungsinformationen ]. Contact local state professional licensing board or state controlled substances authority for information on how to prevent Und detect abuse or diversion of this product.
Lebensbedrohliche Atemdepression
Eine schwerwiegende lebensbedrohliche oder tödliche Atemdepression wurde unter Verwendung von ModifiedRelease-Opioiden berichtet, selbst wenn sie wie empfohlen verwendet werden. Atemdepressionen durch Opioidkonsum, wenn sie nicht sofort erkannt und behandelt werden, kann zu einer Verhaftung und dem Tod der Atemwege führen. Das Management von Atemdepressionen kann in Abhängigkeit vom klinischen Status des Patienten eine enge beobachtete unterstützende Maßnahmen und die Verwendung von Opioidantagonisten umfassen [siehe ÜBERDOSIS ]. Carbon dioxide (CO 2 ) Die Retention durch opioidinduzierte Atemdepression kann die sedierenden Wirkungen von Opioiden verschlimmern.
Während eine schwerwiegende lebensbedrohliche oder tödliche Atemdepression zu jeder Zeit während der Verwendung von Morphinsulfat-Tabletten ausgedehnt wird, ist das Risiko während der Einleitung der Therapie oder nach einer Dosiszunahme am größten. Überwachen Sie die Patienten bei der Initiierung der Therapie mit Morphinsulfat-Extended-Release-Tabletten und nach der Dosis zunehmend.
Um das Risiko einer respiratorischen Depression zu verringern, sind die ordnungsgemäße Dosierung und die Titration von Morphinsulfat -ExtendedRelease -Tabletten von wesentlicher Bedeutung [siehe Dosierung und Verwaltung ]. Overestimating the morphine sulfate extended-release tablets dose when converting patients from another opioid product can result in a fatal overdose with the first dose.
Zufällige Einnahme von selbst einer Dosis von Morphinsulfat-Tabletten, insbesondere durch Kinder, kann zu einer Atemdepression und zum Tod aufgrund einer Überdosis von Morphin führen.
Neugeborenen -Opioid -Entzugssyndrom
Eine längere Verwendung von Morphinsulfat-Tabletten mit verlängerter Freisetzung während der Schwangerschaft kann zu Entzugszeichen im Neugeborenen führen. Das Neugeborenen-Opioid-Entzug-Syndrom im Gegensatz zum Opioid-Entzugssyndrom bei Erwachsenen kann lebensbedrohlich, wenn sie nicht anerkannt und behandelt werden, und erfordert das Management gemäß Protokollen, die von Experten von Neonatologie entwickelt wurden. Wenn Opioidkonsum für einen längeren Zeitraum bei einer schwangeren Frau erforderlich ist, raten Sie dem Patienten des Risikos eines Opioid -Entzug -Syndroms für Neugeborene und stellen Sie sicher, dass eine angemessene Behandlung verfügbar ist.
Das Neugeborenen -Opioid -Entzug -Syndrom ist als Reizbarkeit Hyperaktivität und abnormales Schlafmuster hoher Pitched -Crem -Tremor -Erbrechen durch Durchfall und Versagen, Gewicht zu nutzen. Die Beginndauer und der Schweregrad des Neugeborenen -Opioid -Entzugssyndroms variieren je nach dem spezifischen Opioid verwendeten Gebrauchszeitpunkt und der Menge der letzten Mütterkonsum und der Eliminierungsrate des Arzneimittels durch das Neugeborene.
Wechselwirkungen mit Depressiva des Zentralnervensystems
Hypotonie und tiefgreifende Sedierungskoma oder Atemdepression können sich ergeben, wenn Morphinsulfat-Tabletten mit verlängerter Freisetzung gleichzeitig mit anderen Depressiva des Zentralnervensystems (ZNS) verwendet werden (z.
Bei der Betrachtung der Verwendung von Morphinsulfat-Tabletten mit verlängerter Freisetzung bei einem Patienten, der ein ZNS-Depressant nimmt, beurteilen Sie die Dauer der Verwendung des ZNS-Depressivums und die Reaktion des Patienten einschließlich des Grads der Toleranz, der sich gegenüber CNS-Depression entwickelt hat. Bewerten Sie zusätzlich den Einsatz von Alkohol und/oder illegalen Drogen durch den Patienten, die ZNS -Depression verursachen. Wenn die Entscheidung, Morphinsulfat-Tabletten mit verlängerter Freisetzung zu beginnen Wechselwirkungen mit Arzneimitteln ].
Verwendung bei älteren kachektischen und geschwächten Patienten
Es ist wahrscheinlicher, dass lebensbedrohliche Atemdepression bei älteren kachektischen oder geschwächten Patienten auftritt, da sie im Vergleich zu jüngeren gesünderen Patienten möglicherweise die Pharmakokinetik oder eine Veränderung der Clearance verändert haben. Überwachen Sie solche Patienten genau, insbesondere beim Initiieren und Titrieren von Morphinsulfat-Tabletten mit verlängerter Freisetzung und bei gleichzeitigen Morphinsulfat-Tabletten mit verlängerter Freisetzung mit anderen Arzneimitteln, die die Atmung beeinträchtigen [siehe Lebensbedrohliche Atemdepression ].
Verwendung bei Patienten mit chronischer Lungenerkrankung
Überwachen Sie Patienten mit signifikanten chronisch obstruktiven Lungenerkrankungen oder Cor Pulmonale und Patienten mit einer wesentlich verringerten Atemschutzhypoxie-Hyperkapnie oder der bereits bestehenden Atemdepression für Atemdepression, insbesondere bei der Initiierung von Therapie und titrierenden Titrieren mit Morphinsulfat-Erweiterungs-Relase-Tabletten. Apnoe [siehe Lebensbedrohliche Atemdepression ]. Consider the use of alternative non-opioid analgesics in these patients if possible.
Blutdrucksenkende Effekte
Morphinsulfat-Tabletten mit verlängerter Freisetzung können zu einer schwerwiegenden Hypotonie führen, einschließlich orthostatischer Hypotonie und Synkope bei ambulanten Patienten. Bei Patienten, deren Fähigkeit zur Aufrechterhaltung des Blutdrucks bereits durch ein verringertes Blutvolumen oder eine gleichzeitige Verabreichung bestimmter ZNS -Depressiva (z. B. Phänothiazine oder allgemeine Anästhetika) beeinträchtigt wurden, besteht ein erhöhtes Risiko. Wechselwirkungen mit Arzneimitteln ]. Monitor these patients for signs of hypotension after initiating or titrating the dose of morphine sulfate extended-release tablets. In patients with circulatory shock morphine sulfate extended-release tablets may cause vasodilation that can further reduce cardiac output Und blood pressure. Avoid the use of morphine sulfate extended-release tablets in patients with circulatory shock.
Anwendung bei Patienten mit Kopfverletzung oder erhöhtem Intrakranialdruck
Überwachungspatienten, die Morphinsulfat-Tabletten mit verlängerter Freisetzung einnehmen, die möglicherweise für die intrakraniellen Wirkungen von CO anfällig sind 2 Retention (z. B. diejenigen mit Anzeichen eines erhöhten Intrakraniellendrucks oder Hirntumoren) für Anzeichen von Sedierung und Atemdepression, insbesondere wenn Therapie mit Morphinsulfat-Tabletten ausgedehnt wurden. Morphinsulfat-Tabletten verlängert die Respirationsantrieb und den daraus resultierenden CO 2 Die Retention kann den Intrakranialdruck weiter erhöhen. Opioide können den klinischen Verlauf eines Patienten mit Kopfverletzung auch verdecken.
Vermeiden Sie die Verwendung von Morphinsulfat-Tabletten mit verlängerter Freisetzung bei Patienten mit beeinträchtigten Bewusstsein oder Koma.
Verwendung bei Patienten mit Magen -Darm -Erkrankungen
Morphinsulfat-Tabletten mit verlängerter Freisetzung sind bei Patienten mit paralytischem Ileus kontraindiziert. Vermeiden Sie die Verwendung von Morphinsulfat-Tabletten mit verlängerter Freisetzung bei Patienten mit anderer GI-Obstruktion.
Das Morphin in Morphinsulfat-Tabletten mit verlängerter Freisetzung kann einen Krampf des Sphinkters von Oddi verursachen. Überwachen Sie Patienten mit Gallentrakterkrankungen, einschließlich einer akuten Pankreatitis zur Verschlechterung der Symptome. Opioide können zu Erhöhungen der Serumamylase führen.
Verwendung bei Patienten mit krampfhaften oder Anfallsstörungen
Das Morphin in Morphinsulfat-Tabletten mit verlängerter Freisetzung kann Krämpfe bei Patienten mit krampfhaften Störungen verschlimmern und in einigen klinischen Umgebungen Anfälle induzieren oder verschlimmern. Überwachen Sie Patienten mit Anfall von Anfallserkrankungen auf eine verschlechterte Beschlagnahmekontrolle während der Morphinsulfat -ExtendedRelease -Tabletten -Therapie.
Vermeidung des Rückzugs
Vermeiden Sie die Verwendung von gemischtem Agonisten/Antagonisten (d. H. Pentazocin-Nalbuphin und Butorphanol) oder partieller Agonist (Buprenorphin) bei Patienten, die eine Therapie mit vollem Opioid-Agonisten-Analgetika-Morphinsulfat-Sulfat-Therapie-Tischlase-Kurs erhalten haben. Bei diesen Patienten können gemischte Agonisten/Antagonisten und partielle Agonistenanalgetika die analgetische Wirkung verringern und/oder Entzugssymptome auslösen.
Nebenwirkungen von Clonazepam 5 mg
Wenn Morphinsulfat-Tabletten abgeschlossen werden, verjüngen Sie sich allmählich die Dosis [siehe Dosierung und Verwaltung ]. Do not abruptly discontinue morphine sulfate extended-release tablets.
Fahr- und Betriebsmaschinen
Morphinsulfat-Tabletten verlängerte Freisetzung können die mentalen oder körperlichen Fähigkeiten beeinträchtigen, die für potenziell gefährliche Aktivitäten wie das Fahren eines Autos oder die Betriebsmaschinen erforderlich sind. Warnen Sie die Patienten, gefährliche Maschinen nicht zu fahren oder zu betreiben, es sei denn, sie sind tolerant gegenüber den Auswirkungen von Morphinsulfat -ExtendedRelease -Tabletten und wissen, wie sie auf das Medikament reagieren.
Patientenberatungsinformationen
Raten Sie dem Patienten, die von der FDA zugelassene Patientenkennzeichnung zu lesen ( Medikamentenhandbuch ).
Suchtmissbrauch und Missbrauch
Informieren Sie die Patienten, dass die Verwendung von Morphinsulfat-Tabletten mit verlängerter Freisetzung auch dann zu einem Missbrauch und Missbrauch von Sucht führen kann, was zu Überdosierung oder Tod führen kann [siehe WARNUNGS AND VORSICHTSMASSNAHMEN ]. Instruct patients not to share morphine sulfate extended-release tablets with others Und to take steps to protect morphine sulfate extended-release tablets from theft or misuse.
Lebensbedrohliche Atemdepression
Informieren Sie die Patienten über das Risiko einer lebensbedrohlichen Atemdepression, einschließlich Informationen, dass das Risiko am größten beim Starten von Morphinsulfat-Tabletten mit verlängerter Freisetzung ist oder wenn die Dosis erhöht wird und dass es auch bei empfohlenen Dosen auftreten kann [siehe WARNUNGS AND VORSICHTSMASSNAHMEN ]. Advise patients how to recognize respiratory depression Und to seek medical attention if breathing difficulties develop.
Zufällige Einnahme
Die Patienten darüber informieren, dass eine zufällige Einnahme, insbesondere bei Kindern, zu Atemdepressionen oder zum Tod führen kann [siehe WARNUNGS AND VORSICHTSMASSNAHMEN ]. Instruct patients to take steps to store morphine sulfate extended-release tablets securely Und to dispose of unused morphine sulfate extended-release tablets by flushing the tablets down the toilet.
Neugeborenen -Opioid -Entzugssyndrom
Informieren Sie weibliche Patienten über das Fortpflanzungspotential, dass eine längere Verwendung von Morphinsulfat -ExtendedRelease -Tabletten während der Schwangerschaft zu einem Opioidentzugs -Syndrom für Neugeborene führen kann, das möglicherweise lebenslange, wenn nicht erkannt und behandelt wird [siehe WARNUNGS AND VORSICHTSMASSNAHMEN ].
Wechselwirkungen mit Alkohol und anderen ZNS -Depressiva
Informieren Sie die Patienten, dass möglicherweise schwerwiegende additive Wirkungen auftreten können, wenn Morphinsulfat-Tabletten mit verlängerter Freisetzung mit Alkohol oder anderen ZNS-Depressiva verwendet werden und solche Medikamente nicht verwendet werden, es sei denn, es wird von einem Gesundheitsdienstleister beaufsichtigt.
Wichtige Verwaltungsanweisungen
Weisen Sie die Patienten an, wie man Morphinsulfat-Extended-Freis-Tabletten richtig einnimmt, einschließlich der folgenden:
- Schlucken von Morphinensulfat verlängerte Tafel Ganze
- Nicht zerquetschend Kauen oder Auflösen der Tabletten
- Unter Verwendung von Morphinsulfat-Tabletten mit verlängerter Freisetzung genau wie verschrieben, um das Risiko von lebenslange Nebenwirkungen (z. B. Atemdepression) zu verringern
- Morphinsulfat-Tabletten nicht abgeschlossen werden, ohne zuerst die Notwendigkeit eines sich verjüngenden Regimes mit dem Prescriber zu besprechen
Hypotonie
Informieren die Patienten, dass Morphinsulfat-Tabletten mit verlängerter Freisetzung orthostatische Hypotonie und Synkope verursachen können. Weisen Sie die Patienten an, Symptome von zu erkennen Niedriger Blutdruck Und how to reduce the risk of serious consequences should hypotension occur (e.g. sit or lie down carefully rise from a sitting or lying position).
Fahren oder Betreiben schwerer Maschinen
Informieren Sie Patienten, dass Morphinsulfat-Tabletten mit verlängerter Freisetzung die Fähigkeit beeinträchtigen können, potenziell gefährliche Aktivitäten wie das Fahren eines Autos oder den Betrieb schwerer Maschinen auszuführen. Raten Sie den Patienten, solche Aufgaben erst auszuführen, bis sie wissen, wie sie auf die Medikamente reagieren.
Verstopfung
Beraten Sie den Patienten über das Potenzial für schwere Verstopfung, einschließlich Managementanweisungen und wann Sie medizinische Hilfe suchen.
Anaphylaxie
Informieren Sie die Patienten, dass eine Anaphylaxie mit Inhaltsstoffen, die in Morphinsulfat-Tabletten mit erweiterter Freisetzung enthalten sind, berichtet wurden. Beraten Sie den Patienten, wie sie eine solche Reaktion erkennen und wann sie medizinische Hilfe suchen sollen.
Schwangerschaft
Beraten Sie weibliche Patienten, dass Morphinsulfat-Tabletten mit verlängerter Freisetzung fetaler Schäden verursachen und den Prescriber informieren können, wenn sie schwanger sind oder schwanger werden möchten.
Angehörige der Gesundheitsberufe können Rhodes Pharmaceuticals L.P. (1-888-827-0616) telefonieren, um Informationen zu diesem Produkt zu erhalten.
Entsorgung von nicht verwendeten Morphinsulfat-Tabletten mit verlängerter Freisetzung
Raten Sie den Patienten, die nicht verwendeten Tabletten auf der Toilette zu spülen, wenn Morphinsulfat-Tabletten mit verlängerter Freisetzung nicht mehr benötigt werden.
Nichtklinische Toxikologie
Karzinogenese -Mutagenese -Beeinträchtigung der Fruchtbarkeit
Karzinogenese
Studien an Tieren zur Bewertung des krebserzeugenden Potentials von Morphin wurden nicht durchgeführt.
Mutagenese
Es wurden keine formalen Studien zur Beurteilung des mutagenen Potentials von Morphin durchgeführt. In der veröffentlichten Literatur wurde festgestellt, dass Morphin mutagen ist in vitro Erhöhte DNA-Fragmentierung bei menschlichen T-Zellen. Es wurde berichtet, dass Morphin mutagen in der ist vergeblich Maus -Mikronukleus -Assay und positiv für die Induktion von chromosomalen Aberrationen in Mausspermatiden und Murinenlymphozyten. Mechanistische Studien legen nahe, dass die vergeblich Mit Morphin bei Mäusen berichtete klastogene Wirkungen können mit Erhöhungen der Glukokortikoidspiegel zusammenhängen, die durch Morphin in dieser Spezies produziert werden. Im Gegensatz zu den oben genannten positiven Befunden in vitro Studien in der Literatur haben auch gezeigt, dass Morphin keine chromosomalen Aberrationen in menschlichen Leukozyten oder Translokationen oder letalen Mutationen in Drosophila induzierte.
Beeinträchtigung der Fruchtbarkeit
Es wurden keine formalen nichtklinischen Studien zur Bewertung des Potenzials von Morphin zur Beeinträchtigung der Fruchtbarkeit durchgeführt. Mehrere nichtklinische Studien aus der Literatur haben nachteilige Auswirkungen auf die männliche Fruchtbarkeit der Ratte durch Morphin -Exposition gezeigt. Eine Studie, in der männliche Ratten vor der Paarung (bis zu 30 mg/kg zweimal täglich) subkutan (bis zu 30 mg/kg) und während der Paarung (20 mg/kg zweimal täglich) verabreicht wurden, wobei unbehandelte Frauen eine Reihe von unerwünschten Fortpflanzungseffekten, einschließlich einer Verringerung der Gesamtschwangerschaft, zu einer höheren Inzidenz von Pseudopregnern und einer Reduzierung der Verkleinerungsstellen wurden, wurden festgestellt. Studien aus der Literatur haben auch Veränderungen der hormonellen Spiegel (d. H. Testosteron -Luteinisierungshormon -Serum -Corticosteron) nach der Behandlung mit Morphin berichtet. Diese Veränderungen können mit den berichteten Auswirkungen auf die Fruchtbarkeit der Ratte verbunden sein.
Verwendung in bestimmten Populationen
Schwangerschaft
Klinische Überlegungen
Nebenwirkungen von fetalen/Neugeborenen
Eine längere Verwendung von Opioidanalgetika während der Schwangerschaft für medizinische oder nicht medizinische Zwecke kann kurz nach der Geburt zu einer physischen Abhängigkeit des Neugeborenen- und Neugeborenen -Opioid -Entzug -Syndroms führen. Beobachten Sie Neugeborene nach Symptomen des Opioid -Entzug -Syndroms für Neugeborene wie schlechter Fütterungsdurchlässigkeit Reizbarkeit Starrheit und Anfälle und verwalten entsprechend [siehe WARNUNGS AND VORSICHTSMASSNAHMEN ].
Teratogene Wirkungen
Schwangerschaft Category C
Es gibt keine angemessenen und gut kontrollierten Studien bei schwangeren Frauen. Morphinsulfat ExtendedRelease -Tabletten sollten während der Schwangerschaft nur dann verwendet werden, wenn der potenzielle Nutzen das potenzielle Risiko für den Fötus rechtfertigt.
Beim Menschen wurde berichtet, dass die Häufigkeit angeborener Anomalien bei Kindern von 70 Frauen, die während der ersten vier Monate der Schwangerschaft oder bei 448 Frauen, die jederzeit während der Schwangerschaft behandelt wurden, mit Morphin behandelt wurden, nicht größer als erwartet. Darüber hinaus wurden beim Kind einer Frau, die versuchte, durch eine Überdosis Morphin und andere Medikamente während des ersten Schwangerschaftstrimesters Selbstmord zu nehmen, keine Missbildungen beobachtet.
Mehrere Literaturberichte deuten darauf hin, dass Morphin während der frühen Schwangerschaftszeit bei Mäusen und Hamstern subkutan verabreicht wurde, die neurologische Weichgewebe und Skelettanomalien erzeugen. Mit einer Ausnahme waren die gemeldeten Wirkungen nach Dosen, die maternal toxisch waren, und die angegebenen Anomalien waren für diejenigen charakteristisch, die beobachtet wurden, wenn mütterliche Toxizität vorliegt. In einer Studie nach subkutaner Infusion von Dosen größer oder gleich 0,15 mg/kg zu Mäusen exencephaly hydonephrose darmblutung aufgeteilt wurden supraoccipital missgebildete sternebrae und fehlgeformte Xiphoid in Abwesenheit von mütterlicher Toxizität festgestellt. Im Hamster -Morphinsulfat erzeugte am Schwangerschaftstag, am Tag 8, exencephaly und cranioschisis. Bei Ratten, die während des Zeitraums der Organogenese mit subkutanen Morphininfusionen behandelt wurden, wurde keine Teratogenität beobachtet. In dieser Studie wurde keine mütterliche Toxizität beobachtet; In den Nachkommen wurden jedoch erhöhte Mortalität und Wachstumsverzögerung beobachtet. In zwei im Kaninchen durchgeführten Studien wurde in subkutanen Dosen von bis zu 100 mg/kg keine Hinweise auf Teratogenität berichtet.
Nichtteratogene Wirkungen
Säuglinge, die von Müttern geboren wurden, die Opioide chronisch eingenommen haben, können ein Neugeborenen -Entzugssyndrom aufweisen [siehe WARNUNGS AND VORSICHTSMASSNAHMEN ] reversible Verringerung des Gehirnvolumens kleine Größe verringerte die Beatmungsreaktion auf CO 2 Und increased risk of sudden infant death syndrome. Morphine sulfate should be used by a pregnant woman only if the need for opioid analgesia clearly outweighs the potential risks to the fetus.
Kontrollierte Studien von Chronik in der Gebärmutter Morphinexposition bei schwangeren Frauen wurde nicht durchgeführt. Die veröffentlichte Literatur hat berichtet, dass die Exposition gegenüber Morphin während der Schwangerschaft bei Tieren mit einer Verringerung des Wachstums und einer Vielzahl von Verhaltensanomalien in den Nachkommen verbunden ist. Die Morphinbehandlung während der Schwangerschaftszeiträume der Organogenese bei Ratten-Hamstern-Meerschweinchen und Kaninchen führte in einer oder mehreren Studien zu den folgenden behandlungsbedingten Embryotoxizität und einer Neugeborenen-Toxizität. Eine verminderte Fertilität bei weiblichen Nachkommen und verringerte Plasma und die Hodenspiegel von Luteinisierungshormon und Testosteron verringerten die Gewichts -Gewichts -Keimzell -Aplasie und verringerte die Spermatogenese bei männlichen Nachkommen. Eine verminderte Wurfgröße und Lebensfähigkeit wurde bei den Nachkommen männlicher Ratten, die Morphin (25 mg/kg IP) für 1 Tag vor der Paarung verabreicht wurden, beobachtet. Verhaltensanomalien, die sich aus einer chronischen Morphin -Exposition von fetalen Tieren ergeben, umfassten veränderte Reflexe und motorische Fähigkeitenentwicklung und veränderte Reaktionsfähigkeit auf das Morphin, das bis in das Erwachsenenalter anhält.
Arbeit und Entbindung
Opioide überqueren die Plazenta und können bei Neugeborenen eine Atemdepression erzeugen. Morphinsulfat-Tabletten mit verlängerter Freisetzung können bei Frauen während und unmittelbar vor der Wehen nicht verwendet werden, wenn kürzere analgetische Analgetika oder andere analgetische Techniken angemessener sind. Opioidanalgetika können Arbeit durch Maßnahmen verlängern, die die Festigkeitsdauer und Häufigkeit von Uteruskontraktionen vorübergehend verringern. Dieser Effekt ist jedoch nicht konsistent und kann durch eine erhöhte Zervixverdauerung ausgeglichen werden, die dazu neigt, die Arbeit zu verkürzen.
Pflegemütter
Morphin wird in Muttermilch mit einer Milch zum Plasma -Morphin -AUC -Verhältnis von ungefähr 2,5: 1 ausgeschieden. Die Menge an Morphin, die durch den Kind erhalten wurde, variiert je nach der Mütterplasmakonzentration der vom Kind aufgenommenen Milch und dem Ausmaß des Erstpassstoffwechsels.
Entzugszeichen können bei stillenden Säuglingen auftreten, wenn die mütterliche Verabreichung von Morphin gestoppt wird.
Aufgrund des Potenzials für unerwünschte Reaktionen bei Säuglingen von Morphinsulfat ExtendedRelease -Tabletten sollte eine Entscheidung getroffen werden, ob die Pflege eingestellt oder das Medikament unter Berücksichtigung der Bedeutung des Arzneimittels für die Mutter eingestellt werden soll.
Pädiatrische Verwendung
Die Sicherheit und Wirksamkeit bei pädiatrischen Patienten unter dem Alter von 18 Jahren wurde nicht festgestellt.
Geriatrische Verwendung
Die Pharmakokinetik von Morphinsulfat-Tabletten mit verlängerter Freisetzung wurde bei älteren Patienten nicht untersucht. Klinische Studien mit Morphinsulfat-Tabletten mit verlängerter Freisetzung umfassten nicht eine ausreichende Anzahl von Probanden ab 65 Jahren und mehr, um festzustellen, ob sie unterschiedlich von jüngeren Probanden reagieren. Im Allgemeinen sollte die Dosisauswahl für einen älteren Patienten vorsichtig sein, normalerweise am unteren Ende des Dosierungsbereichs, der die größere Häufigkeit einer verringerten Nieren- oder Herzfunktion von Lebern und einer gleichzeitigen Erkrankung oder einer anderen medikamentösen Therapie widerspiegelt.
Überdosierungsinformationen für Morphinentabletten
Klinische Präsentation
Eine akute Überdosierung mit Morphin manifestiert sich durch die Schläfrigkeit der Atemdepression, die zu Stupor- oder Koma -Skelettmuskulatur, die kalte und klammige Haut verengt wird, und in einigen Fällen Lungenödeme Bradykardie -Hypotonie und -tod. Eine ausgeprägte Mydriasis anstelle von Miose kann aufgrund schwerer Hypoxie in Überdosierungssituationen beobachtet werden.
Behandlung von Überdosis
Bei Überdosierung sind Prioritäten die Wiederherstellung eines Patent- und geschützten Atemwegs und einer Institution der assistierten oder kontrollierten Belüftung bei Bedarf. Verwenden Sie andere unterstützende Maßnahmen (einschließlich Sauerstoffvasopressoren) bei der Behandlung von Kreislaufschock und Lungenödemen wie angegeben. Herzstillstand oder Arrhythmien erfordern fortgeschrittene Lebenserhaltungstechniken.
Die Opioidantagonisten Naloxon oder Nalmefen sind spezifische Gegenmittel gegen Atemdepression, die sich aus einer Opioidüberdosis ergeben. Opioidantagonisten sollten nicht in Abwesenheit einer klinisch signifikanten respiratorischen oder zirkulatorischen Depression verabreicht werden. Solche Wirkstoffe sollten vorsichtig an Personen verabreicht werden, die bekannt sind oder vermutet werden, dass sie physisch von Morphinsulfat-Tabletten ausgegeben werden. In solchen Fällen kann eine abrupte oder vollständige Umkehrung der Opioid -Effekte ein akutes Entzugssyndrom auslösen.
Da erwartet wird, dass die Dauer der Umkehrung weniger als die Wirkungsdauer von Morphin in Morphinsulfat verlängerte Tabletten über die Erlebnis der Lösung des Patienten sorgfältig überwacht, bis die spontane Atmung zuverlässig wiederhergestellt ist. Morphinsulfat-Tabletten mit verlängerter Freisetzung werden weiterhin Morphin freisetzen und die Morphinbelastung 24 bis 48 Stunden oder länger nach Einnahme erhöhen, was eine längere Überwachung erfordert. Wenn die Reaktion auf Opioidantagonisten suboptimal oder nicht anhaltend ist, sollte der zusätzliche Antagonist wie in den Verschreibungsinformationen des Produkts verabreicht werden.
In einer individuellen Person, die physisch von der Verabreichung der üblichen Dosis des Antagonisten abhängig ist, wird ein akutes Entzugssyndrom ausfallen. Die Schwere der auf erlebten Entzugssymptome hängt vom Grad der körperlichen Abhängigkeit und der Dosis des verabreichten Antagonisten ab. Wenn eine Entscheidung getroffen wird, um schwerwiegende Atemdepressionen in der körperlich abhängigen Patientenverabreichung des Antagonisten mit der Pflege und einer Titration mit kleineren Dosen des Antagonisten zu behandeln.
Kontraindikationen für Morphinentabletten
Morphinsulfat-Tabletten mit verlängerter Freisetzung sind bei Patienten mit:
- Signifikante Atemdepression
- Akutes oder schweres Bronchialasthma in einer nicht überwachten Umgebung oder in Ermangelung einer wiederbelebten Ausrüstung
- Bekannte oder vermutete paralytische Ileus
- Überempfindlichkeit (z. B. Anaphylaxie) gegen Morphin [siehe Nebenwirkungen ]
Klinische Pharmakologie for Morphine Tablets
Wirkungsmechanismus
Morphinsulfat Ein Opioidagonist ist für den MU -Rezeptor relativ selektiv, obwohl er in höheren Dosen mit anderen Opioidrezeptoren interagieren kann. Zusätzlich zur Analgesie umfassen die weit verbreiteten Wirkungen von Morphinsulfat die Atemdepression der Atemdepression der Atemwegsdepression von analgesie Dysphorie. Veränderte die kreislaufende Dynamik Histamin Freisetzung physikalische Abhängigkeit und Veränderungen des endokrinen und autonomischen Nervensystems.
Morphin erzeugt sowohl seine therapeutischen als auch seine nachteiligen Auswirkungen durch Wechselwirkung mit einem oder mehreren Klassen spezifischer Opioidrezeptoren im gesamten Körper. Morphin wirkt als vollständige Agonistenbindung an und aktivierende Opioidrezeptoren an Stellen in der peri-äquäduktalen und periventrikulären grauen Substanz, die Ventro-Medulla und das Rückenmark zur Erzeugung von Analgesie.
Pharmakodynamik
Plasma-Stufe-Analgesie-Beziehungen
Während Plasma-Morphin-Wirksamkeitsbeziehungen bei nicht toleranten Personen nachgewiesen werden können, werden sie von einer Vielzahl von Faktoren beeinflusst und sind als Leitfaden für den klinischen Einsatz von Morphin nicht nützlich. Dosierungen von Morphin sollten ausgewählt und auf der Grundlage der klinischen Bewertung des Patienten und des Gleichgewichts zwischen therapeutischen und nachteiligen Wirkungen titriert werden.
ZNS -Depressivum/Alkohol -Interaktion
Additive pharmakodynamische Effekte sind zu erwarten, wenn Morphinsulfat-Tabletten in Verbindung mit Alkohol verwendet werden, andere Opioide oder illegale Medikamente, die Depressionen des Zentralnervensystems verursachen.
Auswirkungen auf das Zentralnervensystem
Die Hauptaktionen des therapeutischen Wertes von Morphin sind Analgesie und Sedierung. Spezifische ZNS-Opiatrezeptoren für endogene Verbindungen mit opioidähnlicher Aktivität wurden im gesamten Gehirn und im Rückenmark identifiziert und spielen wahrscheinlich eine Rolle bei der Expression analgetischer Effekte.
Morphin produziert Atemdepression durch direkte Wirkung auf Hirnstamm -Atmungszentren. Der Mechanismus der Atemdepression beinhaltet eine Verringerung der Reaktionsfähigkeit der Hirnstamm -Atmungszentren auf Zunahme der Kohlendioxidspannung und zur elektrischen Stimulation.
Morphin drückt den Hustenreflex durch direkte Wirkung auf das Hustenzentrum in der Medulla. Morphin verursacht Miose auch bei totaler Dunkelheit. Pinpoint -Pupillen sind ein Vorzeichen für eine Überdosierung der Betäubungsmittel, aber nicht pathognomonisch (z. B. Pontinläsionen hämorrhagischer oder ischämischer Herkunft können ähnliche Befunde erzeugen). Eine ausgeprägte Mydriasis anstelle von Miose kann bei einer verschlechterenden Hypoxie beobachtet werden.
Auswirkungen auf den Magen -Darm -Trakt und andere glatte Muskeln
Morphin führt zu einer Verringerung der Motilität im Zusammenhang mit einer Zunahme des glatten Muskeltonus im Antrum des Magens und im Duodenum. Die Verdauung von Nahrungsmitteln wird im Dünndarm verzögert und die treibenden Kontraktionen werden verringert. Die treibenden peristaltischen Wellen im Dickdarm werden verringert, während der Ton auf den Punkt des Krampfes erhöht werden kann. Das Endergebnis ist Verstopfung. Morphin kann zu einer deutlichen Verringerung des Magen -Gallen- und Pankreassekretionskrampfes des Schließmuskels von Oddi und transienten Erhöhungen in der Serumamylase führen.
Auswirkungen auf das kardiovaskuläre System
Morphin erzeugt eine periphere Vasodilatation, die zu orthostatischer Hypotonie führen kann. Die Freisetzung von Histamin kann auftreten und zu opioidinduzierter Hypotonie beitragen. Manifestationen der Histaminfreisetzung und/oder der peripheren Vasodilatation können Pruritus -spülende rote Augen und Schwitzen umfassen.
Auswirkungen auf das endokrine System
Opioide hemmen die Sekretion von ACTH Cortisol Testosteron und Luteinisierungshormon (LH) beim Menschen. Sie stimulieren auch die Sekretion des Prolaktin -Wachstumshormons (GH) und die Pankreassekretion von Insulin und Glucagon.
Auswirkungen auf das Immunsystem
Es wurde gezeigt, dass Opioide eine Vielzahl von Auswirkungen auf Komponenten des Immunsystems in haben in vitro Und animal models. The clinical significance of these findings is unknown. Overall the effects of opioids appear to be modestly immunosuppressive.
Pharmakokinetik
Morphinsulfat-Tabletten mit verlängerter Freisetzung sind ein Tafel mit längerer Freisetzung, das Morphinsulfat enthält. Morphin wird aus Morphinsulfat-Tabletten mit verlängerter Freisetzung etwas langsamer als aus oralen Präparaten mit sofortiger Freisetzung freigesetzt. Nach oraler Verabreichung einer bestimmten Morphindosis ist die Menge letztendlich absorbiert, ob die Quelle Morphinsulfat ExtendedRelease-Tabletten oder eine Formulierung mit sofortiger Freisetzung ist. Aufgrund der vorsystemen Eliminierung (d. H. Der Metabolismus in Darmwand und Leber) erreicht nur etwa 40% der verabreichten Dosis das zentrale Kompartiment.
Absorption
Die orale Bioverfügbarkeit von Morphin beträgt ungefähr 20 bis 40%. Wenn Morphinsulfat-ExtendedRelease-Tabletten auf einem festen Dosierungsregime verabreicht werden, wird in etwa einem Tag Steady-State erreicht.
Lebensmitteleffekt
Die Auswirkung von Lebensmitteln auf die systemische Bioverfügbarkeit von Morphinsulfat-Tabletten wurde nicht systematisch für alle Stärken bewertet. Eine Studie mit den 30-mg-Morphinsulfat-Tabletten mit erweiterter Freisetzung zeigte keine signifikanten Unterschiede in den Cmax- und AUC-Werten (0-24H), unabhängig davon, ob das Tablet beim Fasten oder mit einem fettarmen Frühstück eingenommen wurde.
Verteilung
Sobald Morphin absorbiert ist, ist der Skelettmuskelkieren Leberdarmtrakt Lungen Milz und Gehirn. Morphin überquert auch Plazenta -Membranen und wurde in der Muttermilch gefunden. Das Verteilungsvolumen (VD) für Morphin beträgt ungefähr 3 bis 4 Liter pro Kilogramm und Morphin beträgt 30 bis 35% reversibel an Plasmaproteine.
Stoffwechsel
Zu den Hauptwegen des Morphinstoffwechsels gehören Glucuronidation zur Herstellung von Metaboliten wie Morphin-3-Glucuronid M3G (etwa 50%) und Morphin-6-Glucuronid M6G (etwa 5 bis 15%) und Sulfatierung in der Leber, um Morphin-3-3-Sulfat zu produzieren. Eine kleine Fraktion (weniger als 5%) Morphin ist demethyliert. Es wurde gezeigt, dass M6G eine analgetische Aktivität aufweist, aber die Blut-Hirn-Schranke schlecht überschreitet, während M3G keine signifikante analgetische Aktivität aufweist.
Ausscheidung
Die Eliminierung von Morphin erfolgt hauptsächlich als Nierenausscheidung von M3G und ihre wirksame Halbwertszeit nach intravenöser Verabreichung beträgt normalerweise 2 bis 4 Stunden. Ungefähr 10% der Dosis werden im Urin unverändert ausgeschieden. In einigen Studien, in denen längere Plasma -Probenahme eine längere terminale Halbebene von etwa 15 Stunden umfasste, wurde berichtet. Eine kleine Menge des Glucuronid -Konjugats wird in der ausgeschieden sogar Und there is some minor enterohepatic recycling.
Spezifische Populationen
Geriatrische Patienten
Die Pharmakokinetik von Morphinsulfat-Tabletten mit verlängerter Freisetzung wurde bei älteren Patienten nicht untersucht.
Pädiatrische Patienten
Die Pharmakokinetik von Morphinsulfat-Tabletten mit verlängerter Freisetzung wurde bei pädiatrischen Patienten unter 18 Jahren nicht untersucht.
Geschlecht
Eine geschlechtsspezifische Analyse pharmakokinetischer Daten von gesunden Probanden, die Morphinsulfat -ExtendedRelease -Tabletten einnahmen, zeigte, dass Morphinkonzentrationen bei Männern und Frauen ähnlich waren.
Wettrennen
Chinesische Probanden, die intravenöser Morphin verabreichten, hatten im Vergleich zu kaukasischen Probanden (1852 /- 116 ml /min im Vergleich zu 1495 /- 80 ml /min).
Hepatische Beeinträchtigung
Die Morphin -Pharmakokinetik wird bei Personen mit Zirrhose verändert. Es wurde festgestellt, dass die Clearance mit einem entsprechenden Anstieg der Halbwertszeit abnimmt. Die M3G und M6G zu Morphinplasma -AUC -Verhältnissen nahmen auch bei diesen Probanden ab, was auf eine verminderte Stoffwechselaktivität hinweist. Angemessene Studien zur Pharmakokinetik von Morphin bei Patienten mit schwerer Leberbeeinträchtigung wurden nicht durchgeführt.
Nierenbehinderung
Die Morphin -Pharmakokinetik wird bei Patienten mit Nierenversagen verändert. Die AUC ist erhöht und die Clearance wird verringert und die Metaboliten M3G und M6G können bei Patienten mit Nierenversagen im Vergleich zu Patienten mit normaler Nierenfunktion zu viel höheren Plasmaspiegeln ansammeln. Angemessene Studien zur Pharmakokinetik von Morphin bei Patienten mit schwerer Nierenbeeinträchtigung wurden nicht durchgeführt.
Patienteninformationen für Morphinentabletten
Morphinsulfat (ER) -Tabletten (ER-Freisetzung)
Morphinsulfat ist Tabletten sind:
- Ein starkes verschreibungspflichtiges Schmerzmittel, das ein Opioid (Betäubungsmittel) enthält, mit dem Schmerz, das schwerwiegend genug ist, um die Langzeitbehandlung mit einem Opioid täglich zu erfordern, wenn andere Schmerzbehandlungen wie Nicht-Opioid-Schmerzmittel oder Opioidmedikamente mit sofortiger Freisetzung Ihre Schmerzen nicht so gut wie möglich behandeln, oder Sie nicht tolerieren können.
- Eine langwirksame Opioidschmerzmedizin (Extended-Freisetzung), mit der Sie eine Überdosierung und den Tod gefährden können. Auch wenn Sie Ihre Dosis wie vorgeschrieben richtig einnehmen, besteht ein Risiko für Missbrauch und Missbrauch von Opioidabhängigkeit, die zum Tod führen können.
- Nicht zur Behandlung von Schmerzen, die nicht rund um die Uhr sind.
Wichtige Informationen zu Morphinsulfat -ER -Tabletten:
- Holen Sie sich sofort Nothilfe, wenn Sie zu viel Morphinsulfat -ER -Tabletten (Überdosis) einnehmen. Wenn Sie zum ersten Mal Morphinsulfat-ER-Tabletten einnehmen, wenn sich Ihre Dosis verändert, oder wenn Sie zu viel (Überdosierung) ernsthafte oder lebensbedrohliche Atemprobleme einnehmen, die zum Tod führen können.
- Geben Sie niemals jemandem Ihre Morphinsulfat -ER -Tabletten. Sie könnten daran sterben. Lagern Sie Morphinsulfatentabletten von Kindern und an einem sicheren Ort, um Diebstahl oder Missbrauch zu verhindern. Der Verkauf oder Verschenken von Morphinsulfat -ER -Tabletten ist gesetzlich vorhanden.
Nehmen Sie keine Morphinsulfat -ER -Tabletten ein, wenn Sie:
- Schwere Asthma -Schwierigkeiten Atmen oder andere Lungenprobleme.
- eine Darmblockade oder eine Verengung des Magens oder des Darms.
Bevor Sie Morphinsulfat -Tabletten einnehmen, teilen Sie Ihrem Gesundheitsdienstleister mit, wenn Sie eine Geschichte haben:
- Anfälle von Kopfverletzungen
- Leber Nieren -Schilddrüsenprobleme
- Probleme urinieren
- Pankreas oder Gallenblasenprobleme
- Missbrauch von Straßen- oder verschreibungspflichtigen Drogenalkoholabhängigkeit oder psychischen Gesundheitsproblemen.
Sagen Sie Ihrem Gesundheitsdienstleister, wenn Sie:
- schwanger oder planen, schwanger zu werden. Eine längere Anwendung von Morphinsulfat-Tabletten während der Schwangerschaft kann bei Ihrem neugeborenen Baby entschiedene Symptome verursachen, die lebensbedrohlich sein könnten, wenn sie nicht erkannt und behandelt werden.
- Stillen. Morphinsulfat -ER -Tabletten passieren in Muttermilch und können Ihrem Baby schaden.
- Verschreibungspflichtige oder rezeptfreie Medikamente Vitamine oder Kräuterpräparate. Die Einnahme von Morphinsulfat -ER -Tabletten mit bestimmten anderen Medikamenten kann schwerwiegende Nebenwirkungen verursachen.
Bei der Einnahme von Morphinsulfat -ER -Tabletten:
- Ändern Sie Ihre Dosis nicht. Nehmen Sie Morphinsulfat -ER -Tabletten genau wie von Ihrem Gesundheitsdienstleister verschrieben.
- Nehmen Sie Ihre vorgeschriebene Dosis alle 8 bis 12 Stunden, wie Sie von Ihrem Gesundheitsdienstleister angeführt werden. Nehmen Sie nicht mehr als Ihre vorgeschriebene Dosis. Wenn Sie eine Dosis verpassen, nehmen Sie Ihre nächste Dosis zur üblichen Zeit.
- Morphinsulfat -ER -Tabletten Ganze schlucken. Schneiden Sie die Break Chew Crush -Lösen nicht schnaubend oder injizieren Sie Morphinsulfat -ER -Tabletten, da dies dazu führen kann, dass Sie überdosieren und sterben.
- Rufen Sie Ihren Gesundheitsdienstleister an, wenn die Dosis, die Sie einnehmen, Ihre Schmerzen nicht kontrolliert.
- Hören Sie nicht auf, Morphinsulfat -ER -Tabletten einzunehmen, ohne mit Ihrem Gesundheitsdienstleister zu sprechen.
- Nachdem Sie aufhören, Morphinsulfat -ER -Tabletten einzunehmen, spülen ungenutzten Tabletten auf der Toilette.
Während der Einnahme von Morphinsulfat -Tabletten nicht:
- Fahren oder betreiben Sie schwere Maschinen, bis Sie wissen, wie sich Morphinsulfat -ER -Tabletten auf Sie auswirken. Morphinsulfat -ER -Tabletten können Sie schläfrig schwindelig oder benommen machen.
- Trinken Sie Alkohol oder verwenden Sie verschreibungspflichtige oder rezeptfreie Medikamente, die Alkohol enthalten. Die Verwendung von Produkten, die Alkohol während der Behandlung mit Morphinsulfat -ER -Tabletten enthalten, kann dazu führen, dass Sie überdosieren und sterben.
Die möglichen Nebenwirkungen von Morphinsulfat -ER -Tabletten sind:
- Verstopfung Brechreiz sleepiness Erbrechen tiredness headache Schwindel abdominal pain. Call your healthcare provider if you have any of these symptoms Und they are severe.
Holen Sie sich eine medizinische Notfallhilfe, wenn Sie: - Probleme beim Atmen von Atemnot schnell Herzschlag Brustschmerzen Schwellung Ihrer Gesichtszunge oder Hals extreme Schläfrigkeit Leuchten beim Wechseln der Positionen oder Sie fühlen sich schwach.
Dies sind nicht alle möglichen Nebenwirkungen von Morphinsulfat -ER -Tabletten. Rufen Sie Ihren Arzt an, um medizinische Beratung zu Nebenwirkungen zu erhalten. Sie können die FDA bei 1-800-FDA-1088 Nebenwirkungen melden. Weitere Informationen finden Sie unter dailymed.nlm.nih.gov