Die Informationen Auf Dieser Website Stellen Keine Medizinische Beratung Dar. Wir Verkaufen Nichts. Die Richtigkeit Der Übersetzung Wird Nicht Garantiert. Haftungsausschluss
NMDA -Antagonisten
Name XR
Drogenzusammenfassung
Was ist Namenda XR?
Namenda Die erweiterte Freisetzung von XR (Memantinhydrochlorid) ist ein NMDA -Rezeptor -Antagonist, der zur Behandlung mittelschwerer bis schwerer Behandlung verwendet wird Demenz des Alzheimer -Typs.
Was sind Nebenwirkungen von Namenda XR?
Zu den häufigen Nebenwirkungen von Namenda XR gehören:
Was ist Methocarbamol 500 mg Tablette
- Brechreiz
- Erbrechen
- Durchfall
- Verstopfung
- Appetitverlust
- Schwindel
- müde Gefühl
- Gewichtsverlust oder Gewichtszunahme
- Schwellung in Ihren Händen oder Füßen
- Schnelle Herzfrequenz
- einfache Blutergüsse oder Blutungen
- ungewöhnliche Schwäche
- Gelenkschmerzen
- Angst
- Aggression
- Hautausschlag
- Rötung oder Schwellung von oder um Ihre Augen
- mehr als gewöhnlich urinieren
- Bauchschmerzen
- Grippe
- Rückenschmerzen
- Kopfschmerzen
- Schläfrigkeit
- Angst
- Depression und
- hoch oder Niedriger Blutdruck .
Dorage für uns xr
Die empfohlene Startdosis von Namenda XR beträgt 7 mg einmal täglich. Die Dosis sollte in Schritten von 7 mg auf eine maximale Zieldosis von 28 mg einmal täglich erhöht werden. Das minimal empfohlene Intervall zwischen der Dosiserhöhung beträgt eine Woche und nur, wenn die vorherige Dosis gut toleriert wurde.
Welche Medikamentenstoffe oder Nahrungsergänzungsmittel interagieren mit Namenda XR?
Namenda XR may interact with cimetidine nicotine ranitidine quinidine sodium bicarbonate Virostatikum Medikamente Kalt- oder Hustenmedizin enthalten Dextromethorphan Diuretika -Medikamente zur Behandlung Glaukom oder orale Diabetes -Medikamente, die Metformin enthalten. Sagen Sie Ihrem Arzt alle Medikamente und Nahrungsergänzungsmittel, die Sie verwenden.
Namenda XR During Schwangerschaft oder Breastfeeding
Namenda XR is not expected to be harmful to a fetus. Tell your doctoder if you are pregnant oder plan to become pregnant during treatment. It is unknown if this drug passes into breast milk. Consult your doctoder befodere breastfeeding.
Weitere Informationen
Unsere Namenda XR (Memantinhydrochlorid) erweiterte Kapseln der Nebenwirkungen des Arzneimittels für Kapseln bietet einen umfassenden Überblick über verfügbare Arzneimittelinformationen über die potenziellen Nebenwirkungen bei der Einnahme dieses Medikaments.
FDA -Drogeninformationen
- Drogenbeschreibung
- Indikationen
- Nebenwirkungen
- Warnungen
- Überdosis
- Klinische Pharmakologie
- Medikamentenhandbuch
Beschreibung für XR
Namenda XR ist ein oral aktiver NMDA -Rezeptor -Antagonist. Der chemische Name für Memantinhydrochlorid ist 1-Amino-35-Dimethyladamantanhydrochlorid mit der folgenden Strukturformel:
|
Die molekulare Formel ist c 12 H 21 N • HCl und das Molekulargewicht beträgt 215,76. Memantin HCl tritt als feines weißes bis malweißes Pulver auf und ist in Wasser löslich.
Namenda XR -Kapseln werden zur oralen Verabreichung als 7 14 21 und 28 mg Kapseln geliefert. Jede Kapsel enthält erweiterte Freisetzungsperlen mit der markierten Menge an Memantin -HCl und den folgenden inaktiven Inhaltsstoffen: Zuckerkugeln Polyvinylpyrrolidon Hypromellose Talk Polyethylenglykol -Ethylcellulose -Ammoniumhydroxid -Ooleic -Säure- und mittelkette Triglycoler -Triglycol -Triglycol in harte Gellazkapsulesules.
Verwendet für den Namen XR
Namenda XR® ist für die Behandlung von mittelschwerer bis schwerer Demenz des Alzheimer -Typs angezeigt.
Dorage für uns xr
Empfohlene Dosierung
Die Dosierung von Namenda XR ist in einer kontrollierten klinischen Studie einmal täglich 28 mg.
Die empfohlene Startdosis von Namenda XR beträgt 7 mg einmal täglich. Die Dosis sollte in Schritten von 7 mg in Schritten der empfohlenen Wartungsdosis von 28 mg einmal täglich erhöht werden. Das minimal empfohlene Intervall zwischen der Dosiserhöhung beträgt eine Woche. Die Dosis sollte nur erhöht werden, wenn die vorherige Dosis gut vertragen wurde. Die maximal empfohlene Dosis beträgt 28 mg einmal täglich.
Namenda XR kann mit oder ohne Nahrung eingenommen werden. Namenda XR -Kapseln können intakt genommen werden oder auf Apfelmus geöffnet und dadurch verschluckt werden. Der gesamte Inhalt der einzelnen Namenda XR -Kapsel sollte konsumiert werden. Die Dosis sollte nicht geteilt werden.
Außer wenn er geöffnet und auf Apfelmus bestreut ist, wie oben beschrieben, sollte Namenda XR ganz verschluckt werden. Namenda XR -Kapseln sollten nicht geteilt oder zerquetscht werden.
Wenn ein Patient eine einzige Dosis Namenda XR verpasst, sollte dieser Patient bei der nächsten Dosis nicht verdoppeln. Die nächste Dosis sollte wie geplant eingenommen werden. Wenn ein Patient mehrfache Namenda XR für mehrere Tage nicht einnimmt, muss die Dosierung möglicherweise bei niedrigeren Dosen wieder aufgenommen und wie oben beschrieben wiederholt werden.
Wechsel von Namenda zu Namenda XR -Kapseln
Mit Namenda behandelte Patienten können wie folgt auf Namenda XR -Kapseln umgestellt werden:
Es wird empfohlen, dass ein Patient, der zweimal täglich 10 mg Namenda auf einem Regime von 10 mg befindet, auf Namenda XR 28 mg umgeschaltet wird, einmal täglich am Tag nach der letzten Dosis von 10 mg Namenda die Kapseln. Es gibt keine Studie, die sich mit der vergleichenden Wirksamkeit dieser 2 Regime befasst.
Bei einem Patienten mit schwerer Nierenbeeinträchtigung wird empfohlen, dass ein Patient, der zweimal täglich 5 mg Namenda hat, auf Namenda XR 14 mg an dem Tag nach der letzten Dosis von 5 mg Namenda auf Namenda XR 14 mg umgestellt wird.
Dosierung bei Patienten mit Nierenbehinderung
Bei Patienten mit schwerer Nierenbeeinträchtigung (Kreatinin-Clearance von 5 € 29 ml/min basierend auf der Cockcroft-Gault-Gleichung) beträgt die empfohlene Wartungsdosis (und die maximale empfohlene Dosis) 14 mg/Tag [siehe Klinische Pharmakologie ].
Wie geliefert
Dosierungsformen und Stärken
Jede Kapsel enthält 7 mg 14 mg 21 mg oder 28 mg Memantinhydrochlorid.
- Die 7 mg -Kapseln sind eine gelbe undurchsichtige Kapsel mit Fli 7 mg schwarzem Abdruck.
- Die 14 mg -Kapseln sind eine gelbe Kappe und eine dunkelgrüne undurchsichtige Körperkapsel mit Fli 14 mg schwarzem Abdruck auf der gelben Kappe.
- Die 21 mg-Kapseln sind eine weiße bis nicht weiße Mütze und dunkelgrüne undurchsichtige Körperkapsel mit Fli 21 mg schwarzem Abdruck auf der weißen bis nicht weißen Mütze.
- Die 28 -mg -Kapseln sind eine dunkelgrüne undurchsichtige Kapsel mit FLI 28 mg weißem Abdruck.
Lagerung und Handhabung
7 mg Kapsel
Gelbe undurchsichtige Kapsel mit FLI 7 mg schwarzem Abdruck.
Flasche 30: NDC
14 mg Kapsel
Gelbe Kappe und dunkelgrüne undurchsichtige Kapsel mit Fli 14 mg schwarzer Abdruck auf der gelben Kappe.
Flasche 30: NDC
Flasche von 90: NDC
21 mg Kapsel
Weiß bis nicht weiße Kappe und dunkelgrüne undurchsichtige Kapsel mit Fli 21 mg schwarzer Eindruck auf der weißen bis nicht weißen Mütze.
Flasche 30: NDC
28 mg Kapsel
Dunkelgrüne undurchsichtige Kapsel mit FLI 28 mg weißer Abdruck.
Flasche 30: NDC
Flasche von 90: NDC
Titrationspaket NDC
Enthält 28 Kapseln (7 x 7 mg 7 x 14 mg 7 x 21 mg 7 x 28 mg)
Speichern Sie Namenda XR bei 25 ° C (77 ° F); Exkursionen, die zu 15-30 ° C zulässig sind (59-86 ° F) [siehe USP -kontrollierte Raumtemperatur ].
Verteilt von: Allergan USA Inc. Madison NJ 07940 Lizenziert von Merz Pharmaceuticals GmbH
Nebenwirkungen für XR
Klinische Studien Erfahrung
Namenda XR wurde in einer doppelblinden placebokontrollierten Studie bewertet, in der insgesamt 676 Patienten mit mittelschwerer bis schwerer Demenz des Alzheimer-Typs (341 Patienten auf Namenda XR 28 mg/Tag und 335 Patienten auf Placebo) für bis zu 24 Wochen behandelt wurden.
Da klinische Studien unter stark unterschiedlichen Bedingungen durchgeführt werden, die in den klinischen Studien eines Arzneimittels beobachtet werden, können in den klinischen Studien eines anderen Arzneimittels nicht direkt mit den Raten verglichen werden und spiegeln möglicherweise nicht die in der Praxis beobachteten Raten wider.
Nebenwirkungen, die zum Absetzen führen
In der placebokontrollierten klinischen Studie von Namenda XR betrug der Anteil der Patienten in der Namenda XR-Gruppe und der Placebo-Gruppe, die die Behandlung aufgrund nachteiliger Reaktionen abstellten, 10% bzw. 6%. Die häufigste nachteilige Reaktion, die zum Absetzen der Behandlung in der Namenda XR -Gruppe führte, war schwindelig mit einer Geschwindigkeit von 1,5%.
Die häufigsten Nebenwirkungen
Die am häufigsten beobachteten unerwünschten Reaktionen bei Patienten, die Namenda XR in der kontrollierten klinischen Studie verabreicht wurden, als diejenigen, die mit einer Häufigkeit von mindestens 5% in der Namenda XR -Gruppe auftreten, und bei einer Häufigkeit höher als Placebo -Durchfall und Schwindel.
In Tabelle 1 sind unerwünschte Reaktionen aufgeführt, die bei einer Inzidenz von ≥ 2% in der Namenda XR -Gruppe beobachtet wurden und mit einer Geschwindigkeit, die größer als Placebo ist, auftrat.
Tabelle 1: Nebenwirkungen beobachtet mit einer Häufigkeit von ≥ 2% in der Namenda XR -Gruppe und mit einer Geschwindigkeit, die größer als Placebo ist
| Nebenwirkungen | Placebo (n = 335) % | Name xr 28 mg (n = 341) % |
| Magen -Darm -Störungen | ||
| Durchfall | 4 | 5 |
| Verstopfung | 1 | 3 |
| Bauchschmerzen | 1 | 2 |
| Erbrechen | 1 | 2 |
| Infektionen und Befall | ||
| Grippe | 3 | 4 |
| Untersuchungen | ||
| Gewicht nahm zu | 1 | 3 |
| Muskuloskelett- und Bindegewebestörungen | ||
| Rückenschmerzen | 1 | 3 |
| Störungen des Nervensystems | ||
| Kopfschmerzen | 5 | 6 |
| Schwindel | 1 | 5 |
| Schläfrigkeit | 1 | 3 |
| Psychiatrische Störungen | ||
| Angst | 3 | 4 |
| Depression | 1 | 3 |
| Aggression | 1 | 2 |
| Nieren- und Harnstörungen | ||
| Harninkontinenz | 1 | 2 |
| Gefäßstörungen | ||
| Hypertonie | 2 | 4 |
| Hypotonie | 1 | 2 |
Beschlagnahme
Memantin wurde bei Patienten mit einer Anfallsstörung nicht systematisch bewertet. In klinischen Studien mit Memantinenanfällen traten bei 0,3% der mit Memantin behandelten Patienten und 0,6% der mit Placebo behandelten Patienten auf.
Nachmarkterfahrung
Die folgenden nachteiligen Reaktionen wurden während der Verwendung von Memantin nach der Annahme identifiziert. Da diese Reaktionen freiwillig aus einer Population unsicherer Größe berichtet werden, ist es nicht immer möglich, ihre Häufigkeit zuverlässig abzuschätzen oder ein kausales Verhältnis zur Arzneimittelexposition herzustellen. Diese Reaktionen umfassen:
Blut- und Lymphsystemstörungen: Agranulozytose -Leukopenie (einschließlich Neutropenie) Panzytopenie Thrombozytopenie Thrombotische Thrombozytopenische Purpura.
Herzerkrankungen: Herzversagen kongestiv.
Magen -Darm -Störungen: Pankreatitis.
Lebererkrankungen: Hepatitis.
Psychiatrische Störungen: Selbstmordgedanken.
Nieren- und Harnstörungen: Akutes Nierenversagen (einschließlich erhöhter Kreatinin- und Niereninsuffizienz).
Hautstörungen: Stevens Johnson -Syndrom.
Wechselwirkungen mit Arzneimitteln für Namenda XR
Medikamente, die Urinalkalin machen
Die Clearance von Memantin wurde unter alkalischen Urinbedingungen bei pH 8 um etwa 80% reduziert. Daher können Veränderungen des Urin -pH zum alkalischen Zustand zu einer Akkumulation des Arzneimittels mit einem möglichen Anstieg der Nebenwirkungen führen. Der pH -Wert des Urins wird durch Diätmedikamente (z. B. Carboanhydrase -Inhibitoren Natriumbicarbonat) und klinischer Zustand des Patienten (z. B. Nierenrohrsäure oder schwere Infektionen des Harnwegs) verändert. Daher sollte Memantin unter diesen Bedingungen mit Vorsicht verwendet werden.
Verwendung mit anderen N-Methyl-D-Aspartat-Antagonisten (NMDA)
Die kombinierte Verwendung von Namenda XR mit anderen NMDA -Antagonisten (Amantadin -Ketamin und Dextromethorphan) wurde nicht systematisch bewertet, und eine solche Verwendung sollte mit Vorsicht behandelt werden.
Warnungen für Namenda XR
Eingeschlossen als Teil der VORSICHTSMASSNAHMEN Abschnitt.
Vorsichtsmaßnahmen für Namenda XR
Genitourinarbedingungen
Bedingungen, die den pH -Wert des Urins erhöhen Wechselwirkungen mit Arzneimitteln ].
Patientenberatungsinformationen
Raten Sie dem Patienten, die von der FDA zugelassene Patientenkennzeichnung zu lesen ( Patienteninformationen ).
- Um eine sichere und effektive Verwendung von Namenda XR zu gewährleisten, sollten die Informationen und Anweisungen im Abschnitt Patienteninformationen mit Patienten und Pflegepersonen erörtert werden.
- Weisen Sie die Patienten und Pflegekräfte an, Namenda XR nur einmal pro Tag wie vorgeschrieben zu nehmen.
- Weisen Sie Patienten und Betreuer an, dass Namenda XR -Kapseln ganz verschluckt werden. Alternativ können Namenda XR -Kapseln geöffnet und auf Apfelmus bestreut werden und der gesamte Inhalt sollte verbraucht werden. Die Kapseln sollten nicht geteilt oder zerquetscht werden.
- Warnen Sie die Patienten, keine Kapseln von Namenda XR zu verwenden, die beschädigt sind oder Anzeichen von Manipulationen aufweisen.
- Wenn ein Patient eine einzige Dosis Namenda XR verpasst, sollte dieser Patient bei der nächsten Dosis nicht verdoppeln. Die nächste Dosis sollte wie geplant eingenommen werden. Wenn ein Patient mehrere Tage lang Namenda XR einnimmt, sollte die Dosierung nicht wieder aufgenommen werden, ohne dass der Gesundheitsberufe des Patienten konsultiert wird.
- Beraten Sie Patienten und Betreuer, dass Namenda XR Kopfschmerzdurchfall und Schwindel verursachen kann.
Verwendung in bestimmten Populationen
Schwangerschaft
Risikozusammenfassung
Es gibt keine angemessenen Daten zum Entwicklungsrisiko im Zusammenhang mit der Verwendung von Namenda XR bei schwangeren Frauen.
Bei den Nachkommen von Ratten, die während der Schwangerschaft in Dosen im Zusammenhang mit einer mütterlichen Toxizität im Zusammenhang mit mütterlicher Toxizität im Zusammenhang mit mütterlichem mütterlichen Toxizität im Zusammenhang mit mütterlichem mütterlichen Toxizität im Zusammenhang sind, wurden unerwünschte Entwicklungseffekte (verringerte Körpergewicht und Skelett -Ossifikation) beobachtet. Diese Dosen sind höher als bei Menschen, die bei der maximal empfohlenen täglichen Dosis von Namenda XR verwendet werden [siehe Daten ].
In der US-allgemeinen Bevölkerung beträgt das geschätzte Hintergrundrisiko für größere Geburtsfehler und eine Fehlgeburt bei klinisch anerkannten Schwangerschaften 2-4% bzw. 15 bis 20%. Das Hintergrundrisiko von schweren Geburtsfehlern und Fehlgeburten für die angegebene Bevölkerung ist unbekannt.
Daten
Tierdaten
Die orale Verabreichung von Memantin (0 2 6 oder 18 mg/kg/Tag) gegenüber Ratten während des Organogenesezeitraums führte zu einer verminderten Skelett -Ossifikation bei Feten bei der höchsten getesteten Dosis. Die höhere Dosis ohne Effekt für unerwünschte Entwicklungseffekte (6 mg/kg) beträgt das 2-fache der maximal empfohlenen täglichen Humandosis (MRHD) von Namenda XR (28 mg) auf einer Körperoberfläche (mg/m²).
Die orale Verabreichung von Memantin an Kaninchen (0 3 10 oder 30 mg/kg/Tag) während der Organogenesezeit führte zu keinen nachteiligen Entwicklungseffekten. Die höchste getestete Dosis beträgt ungefähr das 20 -fache der MRHD von Namenda XR mg/m².
Bei Ratten wurde Memantin (0 2 6 oder 18 mg/kg/Tag) vor und während der gesamten Paarung und bei Frauen durch die Organogenese oder während der gesamten Laktation bis zum Absetzen oral verabreicht. Eine verminderte Skelettosionsfindung bei Feten und das verringerte Körpergewicht in Puppen wurden bei der höchsten getesteten Dosis beobachtet. Die höhere Dosis ohne Effekt für unerwünschte Entwicklungseffekte (6 mg/kg/Tag) beträgt das 2-fache der MRHD von Namenda XR mg/m².
Die orale Verabreichung von Memantin (0 2 6 oder 18 mg/kg/Tag) an Ratten von der späten Schwangerschaft während der gesamten Laktation bis zum Entwöhnungsabwehr führte zu verminderten Puppengewichten bei der höchsten getesteten Dosis. Die höhere No-Effect-Dosis (6 mg/kg/Tag) beträgt ungefähr das 2-fache der MRHD von Namenda XR mg/m².
Stillzeit
Risikozusammenfassung
Es gibt keine Daten zum Vorhandensein von Memantin in der Muttermilch die Auswirkungen auf das gestillte Kind oder die Auswirkungen von Namenda XR auf die Milchproduktion.
Die Entwicklungs- und gesundheitlichen Vorteile des Stillens sollten zusammen mit dem klinischen Bedarf der Mutter nach Namenda XR und jeglichen potenziellen nachteiligen Auswirkungen des gestillten Kindes von Namenda XR oder aus dem zugrunde liegenden Müttererkrankung berücksichtigt werden.
Pädiatrische Verwendung
Sicherheit und Wirksamkeit bei pädiatrischen Patienten wurden nicht festgestellt.
Memantin konnte in zwei 12-wöchigen kontrollierten klinischen Studien von 578 pädiatrischen Patienten im Alter von 6 bis 12 Jahren mit Autismus-Spektrum-Störungen (ASD), einschließlich Autismus-Asperger-Störung und durchdringender Entwicklungsstörung-nicht ansonsten angegeben (PDD-NOS), nicht nachweislich. Memantin wurde bei pädiatrischen Patienten unter 6 Jahren oder über 12 Jahren nicht untersucht. Die Memantinbehandlung wurde bei 3 mg/Tag initiiert und die Dosis wurde in Woche 6 zur Zieldosis (Gewichtsbasi <20 kg 20-39 kg 40-59 kg Und ≥ 60 kg respectively.
In einer randomisierten 12-wöchigen doppelblinden, placebokontrollierten parallelen Studie (Studie A) bei Patienten mit Autismus gab es keinen statistisch signifikanten Unterschied in der sozialen Reaktionsskala (SRS). In einer 12-wöchigen Responder-angereicherten randomisierten Entzugsstudie (Studie B) bei 471 Patienten mit ASD gab es keinen statistisch signifikanten Unterschied im Verlust der therapeutischen Ansprechraten zwischen Patienten, die randomisiert auf Volldosis-Memantin bleiben (n = 153) und diejenigen, die randomisiert zu Placebo wechseln (n = 158).
Das Gesamtsicherheitsprofil von Memantin bei pädiatrischen Patienten stimmte im Allgemeinen mit dem bekannten Sicherheitsprofil bei Erwachsenen überein [siehe Nebenwirkungen ].
In der Studie A sind die Nebenwirkungen in der Memantinengruppe (n = 56), die bei mindestens 5% der Patienten und mindestens doppelt so hoch wie die Häufigkeit der Placebo -Gruppe (n = 58) angegeben wurden.
Tabelle 2: Untersuchen Sie eine allgemein berichtete Nebenwirkungen mit einer Häufigkeit von ≥ 5% und doppelt so hoch wie bei Placebo
| Nebenwirkungen | Memantin N = 56 | Placebo N = 58 |
| Husten | 8,9% | 3,4% |
| Grippe | 7,1% | 3,4% |
| Rhinorrhoe | 5,4% | 0% |
| Agitation | 5,4% | 1,7% |
| Unterbrechungen aufgrund unerwünschter Reaktionen a | ||
| Aggression | 3,6% | 1,7% |
| Reizbarkeit | 1,8% | 3,4% |
| a Berichtete nachteilige Reaktionen, die zum Absetzen von mehr als einem Patienten in beiden Behandlungsgruppen führten. |
Die bei mindestens 5% der Patienten in der Open-Label-Studie von 12 bis 48 Wochen gemeldeten nachteiligen Reaktionen, um die Responner für die Einschreibung in Studie B zu identifizieren, sind in Tabelle 3 aufgeführt.
Tabelle 3: 12-48 Wochen Open Label-Label-Lead-In-Studie zur Untersuchung von Untersuchung B in der Regel über Nebenwirkungen mit einer Häufigkeit von ≥ 5% berichtete
| Nebenwirkungen | Memantin N = 903 |
| Kopfschmerzen | 8,0% |
| Nasopharynngitis | 6,3% |
| Pyrexie | 5,8% |
| Reizbarkeit | 5,4% |
| Unterbrechungen aufgrund unerwünschter Reaktionen a | |
| Reizbarkeit | 1,2% |
| Aggression | 1,0% |
| a Mindestens 1% Inzidenz von nachteiligen Reaktionen, die zu vorzeitiger Abnahme führen. |
In der randomisierten Entzugsstudie (Studie B) war die nachteilige Reaktion bei Patienten auf Placebo (n = 160) und bei mindestens 5% der Patienten und doppelt so hoch wie bei der Volldosis-Memantin-Behandlungsgruppe (n = 157) eine Reizbarkeit (NULL,0% gegenüber 2,5%).
Juvenile Animal Study
In einer jugendlichen Tierstudie wurden männliche und weibliche Jugendratten Memantin (15 30 und 45 mg/kg/Tag) ab dem postnatalen Tag (PND) 14 bis PND 70 verabreicht. Die Körpergewichte wurden bei 45 mg/kg/Tag reduziert. Verzögerungen bei der sexuellen Reifung wurden bei männlichen und weiblichen Ratten bei Dosen von ≥ 30 mg/kg/Tag festgestellt. Memantin induzierte neuronale Läsionen in mehreren Bereichen des Gehirns auf PND 15 und 17 in Dosen ≥ 30 mg/kg/Tag. Die Verhaltenstoxizität (die prozentuale Gewöhnung von auditorischen Schrecken) wurde bei Tieren in der Dosisgruppe von 45 mg/kg/Tag festgestellt. Die 15 mg/kg/Tag-Dosis galt für diese Studie als No-beobachtete Nebenwirkungen (NOAEL).
In einer zweiten jugendlichen Ratten-Toxizitätsstudie wurden männliche und weibliche jugendliche Ratten Memantin (1 3 8 15 30 und 45 mg/kg/Tag) ab dem postnatalen Tag (PND) 7 bis PND 70 verabreicht. Aufgrund der frühen Memantiner-Mortalität wurden 30 und 45 mg/kg/kg/Tag ohne weitere Bewertung beendet. Memantin induzierte Apoptose oder neuronale Degeneration in mehreren Bereichen des Gehirns auf PND 8 10 und 17 bei einer Dosis von 15 mg/kg/Tag. Der NOAEL für Apoptose und neuronale Degeneration betrug 8 mg/kg/Tag. Die Verhaltenstoxizität (Auswirkungen auf die motorische Aktivität Auditory erschrecken Gewöhnung, Lernen und Gedächtnis) wurde bei Dosen von ≥ 3 mg/kg/Tag während der Behandlung festgestellt, wurde jedoch nach Absetzen des Arzneimittels nicht beobachtet. Daher wurde die 1 mg/kg/Tag -Dosis als NOAEL für den neurobehavioralen Effekt in dieser Studie angesehen.
Geriatrische Verwendung
Die Mehrheit der Menschen mit Alzheimer -Krankheit ist 65 Jahre alt und älter. In der klinischen Studie an Memantinhydrochlorid lag das Durchschnittsalter der Patienten etwa 77 Jahre; Über 91% der Patienten waren 65 Jahre und älter, 67% waren 75 Jahre und älter und 14% waren im Alter von oder über 85 Jahren. Die Wirksamkeits- und Sicherheitsdaten, die in den klinischen Studienabschnitten vorgestellt wurden, wurden von diesen Patienten erhalten. Es gab keine klinisch aussagekräftigen Unterschiede in den meisten Nebenwirkungen, die von Patientengruppen ≥ 65 Jahre alt und berichtet wurden und <65 years old.
Nierenbehinderung
Bei Patienten mit leichter oder mittelschwerer Nierenbeeinträchtigung ist keine Dosierungsanpassung erforderlich. Bei Patienten mit schwerer Nierenbeeinträchtigung wird eine Dosierungsreduktion empfohlen [siehe Dosierung und Verwaltung Und Klinische Pharmakologie ].
Hepatische Beeinträchtigung
Bei Patienten mit leichter oder mittelschwerer Leberbeeinträchtigung ist keine Dosierungsanpassung erforderlich. Namenda XR wurde bei Patienten mit schwerer Leberbeeinträchtigung nicht untersucht [siehe Klinische Pharmakologie ].
Überdosierungsinformationen für Namenda XR
Anzeichen und Symptome, die am häufigsten Überdosierung mit anderen Formulierungen von Memantin in klinischen Studien und aus weltweiten Marketingerfahrungen allein oder in Kombination mit anderen Drogen und/oder Alkohol einhergehen, umfassen die Agitation Asthenia Bradykardie Verwirrung Coma Dizziness Ecg verändert die Blutdruck. Die größte bekannte Aufnahme von Memantin weltweit betrug 2 Gramm bei einem Patienten, der Memantin in Verbindung mit nicht näher bezeichneten Antidiabetikern einnahm. Dieser Patient erlebte Coma -Diplopie und Aufregung, erholte sich jedoch anschließend.
Ein Patient, der an einer klinischen Studie in Namenda XR teilnahm, nahm täglich 112 mg Namenda XR für 31 Tage und erlebte eine erhöhte Serum -Harnsäure -Erhöhte -Serumphosphatase und eine niedrige Thrombozytenzahl.
Das tödliche Ergebnis wurde sehr selten mit Memantiner berichtet und die Beziehung zu Memantin war unklar.
Da Strategien für das Management der Überdosierung ständig weiterentwickeln, ist es ratsam, ein Giftkontrollzentrum zu kontaktieren, um die neuesten Empfehlungen für die Verwaltung einer Überdosis eines Arzneimittels zu ermitteln. Wie in allen Fällen von Überdosierungen sollten allgemeine unterstützende Maßnahmen angewendet und die Behandlung symptomatisch sein. Die Eliminierung von Memantin kann durch Ansäuerung des Urins verstärkt werden.
Kontraindikationen Ich bin XRR
Namenda XR ist bei Patienten mit bekannter Überempfindlichkeit gegenüber Memantinhydrochlorid oder gegen alle in der Formulierung verwendeten Hilfsmittel kontraindiziert.
Klinische Pharmakologie foder Namenda XR
Wirkungsmechanismus
Es wurde angenommen, dass die anhaltende Aktivierung von N-Methyl-D-Aspartat-Rezeptoren (NMDA) des Zentralnervensystems durch das exzitatorische Aminosäureglutamat zur Symptomatik der Alzheimer-Krankheit beiträgt. Memantin wird postuliert, um seine therapeutische Wirkung durch seine Wirkung als niedrig bis mittelschwerer Affinitätsnark-NMDA-Rezeptorantagonist (Open-Channel) auszuüben, der bevorzugt an die NMDA-Rezeptor-betriebenen Kationskanäle bindet. Es gibt keine Hinweise darauf, dass Memantin die Neurodegeneration bei Patienten mit Alzheimer -Krankheit verhindert oder verlangsamt.
Pharmakodynamik
Memantin showed low to negligible affinity foder GABA benzodiazepine dopamine adrenergic histamine Und glycine receptoders Und foder voltage-dependent Ca2+ Na+ oder K+ channels. Memantin also showed antagonistic effects at the 5HT3 receptoder with a potency similar to that foder the NMDA receptoder Und blocked nicotinic acetylcholine receptoders with one-sixth to one-tenth the potency.
In -vitro -Studien haben gezeigt, dass Memantin die reversible Hemmung von Acetylcholinesterase durch Donepezil Galantamin oder Tacrin nicht beeinflusst.
Pharmakokinetik
Memantin is well absoderbed after oderal administration Und has linear pharmacokinetics over the therapeutic dose range. It is excreted predominantly unchanged in urine Und has a terminal elimination half-life of about 60-80 hours. In a study comparing 28 mg once daily NAMENDA XR to 10 mg twice daily NAMENDA the Cmax Und AUC0-24 values were 48% Und 33% higher foder the XR dosage regimen respectively.
Absorption
Nach mehreren Dosisverabreichung von Namenda XR-Memantin-Peakkonzentrationen treten etwa 9-12 Stunden nach der Dosis auf. Es gibt keinen Unterschied in der Absorption von Namenda XR, wenn die Kapsel intakt genommen wird oder wenn der Inhalt auf Apfelmus bestreut ist.
Es gibt keinen Unterschied in der Memantinenexposition, basierend auf Cmax oder AUC für Namenda XR, ob dieses Arzneimittelprodukt mit Nahrung oder leerem Magen verabreicht wird. Die Spitzenplasmakonzentrationen werden jedoch etwa 18 Stunden nach der Verabreichung mit Lebensmitteln gegenüber ca. 25 Stunden nach der Verabreichung auf leerem Magen erreicht.
Verteilung
Das mittlere Volumen der Verteilung von Memantin beträgt 9-11 l/kg und die Plasmaproteinbindung ist gering (45%).
Beseitigung
Stoffwechsel
Memantin undergoes partial hepatic metabolism. The hepatic microsomal CYP450 enzyme system does not play a significant role in the metabolism of memantine.
Ausscheidung
Memantin is excreted predominantly unchanged in the urine Und has a terminal elimination half-life of about 60-80 hours. About 48% of administered drug is excreted unchanged in urine; the remainder is converted primarily to three polar metabolites which possess minimal NMDA receptoder antagonistic activity: the N-glucuronide conjugate 6- hydroxy-memantine Und 1-nitroso-deaminated memantine. A total of 74% of the administered dose is excreted as the sum of the parent drug Und the N-glucuronide conjugate. Renal clearance involves active tubular secretion moderated by pH dependent tubular reabsoderption.
Spezifische Populationen
Ältere Menschen
Die Pharmakokinetik von Memantin bei jungen und älteren Probanden ist ähnlich.
Geschlecht
Nach mehreren Dosisverabreichung von Memantinhydrochlorid20 mg tägliche Weibchen hatte eine etwa 45% höhere Exposition als Männer, aber es gab keinen Unterschied in der Exposition, wenn das Körpergewicht berücksichtigt wurde.
Nierenbehinderung
Die memantinische Pharmakokinetik wurde nach einer einzelnen oralen Verabreichung von 20 mg Memantinhydrochlorid bei 8 Probanden mit leichter Nierenbeeinträchtigung (Kreatinin -Clearance CLCR> 50 € € € €) 8 Probanden mit mittelschwerer Nierenbeeinträchtigung (CLCR 30 € 49 ml/ml). (CLCR> 80 ml/min) stimmte so genau wie möglich mit Altersgewicht und Geschlecht an die Probanden mit Nierenbeeinträchtigung ab. Der mittlere AUC0-∞ stieg bei Probanden mit leichten mittelschweren und schweren Nierenbeeinträchtigungen um 4% 60% und 115% im Vergleich zu gesunden Probanden. Die Halbwertszeit der Terminalelimination stieg im Vergleich zu gesunden Probanden um 18% 41% bzw. 95% bei Probanden mit leichter mittelschwerer und schwerer Nierenbeeinträchtigung.
Hepatische Beeinträchtigung
Memantin pharmacokinetics were evaluated following the administration of single oderal doses of 20 mg in 8 subjects with moderate hepatic impairment (Child-Pugh Class B scodere 7-9) Und 8 subjects who were age- gender- Und weight-matched to the hepaticallyimpaired subjects. There was no change in memantine exposure (based on Cmax Und AUC) in subjects with moderate hepatic impairment as compared with healthy subjects. However terminal elimination half-life increased by about 16% in subjects with moderate hepatic impairment as compared with healthy subjects.
Wechselwirkungen mit Drogenmedikamenten
Verwendung bei Cholinesterase -Inhibitoren
Die gleichzeitige Verabreichung von Memantin mit dem AChE -Inhibitor Donepezil hatte keinen Einfluss auf die Pharmakokinetik beider Verbindung. Darüber hinaus hatte Memantin keine ACHE -Hemmung durch Donepezil. In einer 24-wöchigen kontrollierten klinischen Studie bei Patienten mit mittelschwerer bis schwerer Alzheimer-Krankheit war das nachteilige Reaktionsprofil, das mit einer Kombination von Memantin-Sofortigungsfreisetzung und Donepezil beobachtet wurde, ähnlich wie bei Donepezil.
Wirkung von Memantin auf den Stoffwechsel anderer Medikamente
In -vitro -Studien mit Markersubstraten von CYP450 -Enzymen (CYP1A2 -2A6 -2C9 -2D6 -2E1 -3A4) zeigten eine minimale Hemmung dieser Enzyme durch Memantin. Darüber hinaus zeigen In -vitro -Studien, dass bei Konzentrationen, die die mit Wirksamkeitsmemantin assoziierten, die Cytochrom -P450 -Isozyme CYP1A2 -2C9 -2E1 und -3A4/5 nicht induzieren. Es werden keine pharmakokinetischen Wechselwirkungen mit Arzneimitteln erwartet, die durch diese Enzyme metabolisiert wurden.
Pharmakokinetische Studien bewerteten das Potenzial von Memantin für die Wechselwirkung mit Warfarin und Bupropion. Memantin hatte keinen Einfluss auf die Pharmakokinetik des CYP2B6 -Substrats Bupropion oder seiner Metabolithydroxybupropion. Darüber hinaus beeinflusste Memantin die Pharmakokinetik oder Pharmakodynamik von Warfarin nicht, wie das Prothrombin inr bewertet wurde.
Auswirkung anderer Medikamente auf Memantine
Memantin is predominantly renally eliminated Und drugs that are substrates Und/oder inhibitoders of the CYP450 system are not expected to alter the metabolism of memantine.
Medikamente über Nierenmechanismen beseitigt
Da Memantin teilweise durch die koadminische Verabreichung von Arzneimitteln der tubulären Sekretion von Arzneimitteln beseitigt wird, die dasselbe nierenkationische System verwenden, einschließlich Hydrochlorothiazid (HCTZ) -Triamteren (TA) -Metformin -Cimetidin -Ranitidin -Quinidin und Nikotin, könnten möglicherweise zu einer veränderten Plasmaspiegel beider Agenten führen. Die gleichzeitige Verabreichung von Memantin und HCTZ/TA beeinflusste die Bioverfügbarkeit von Memantin oder TA jedoch nicht und die Bioverfügbarkeit von HCTZ nahm um 20%ab. Darüber hinaus hatte die gleichzeitige Verabreichung von Memantin mit dem Antihyperglykämie -Arzneimittel Glukovance® (Glyburid und Metforminhydrochlorid) die Pharmakokinetik von Memantin Metformin und Glyburid nicht beeinflusst. Darüber hinaus modifizierte Memantin die Serumglukoseabsenkung von Glucovance® nicht, was auf das Fehlen einer pharmakodynamischen Wechselwirkung hinweist.
Medikamente, die hoch an Plasmaproteine gebunden sind
Da die Plasmaproteinbindung von Memantin niedrig ist (45%), ist eine Wechselwirkung mit Arzneimitteln, die sehr an Plasmakroteine wie Warfarin und Digoxin gebunden sind, unwahrscheinlich.
Nichtklinische Toxikologie
Karzinogenese -Mutagenese -Beeinträchtigung der Fruchtbarkeit
Karzinogenese
Es gab keine Hinweise auf eine Karzinogenität in einer 113-wöchigen oralen Studie bei Mäusen mit Dosen von bis zu 40 mg/kg/Tag (7-mal so empfohlene menschliche Dosis [MRHD] mg/m²). Es gab auch keine Hinweise auf eine Karzinogenität bei Ratten, die 71 Wochen lang mit bis zu 40 mg/kg/Tag dosierten, gefolgt von 20 mg/kg/Tag (14 und 7 -fache der MRHD auf mg/m²) bis 128 Wochen.
Mutagenese
Memantin produced no evidence of genotoxic potential when evaluated in the in vitro S. Typhimurium oder E. coli Reverse -Mutation -Assay Ein In -vitro -Chromosomal -Aberrationstest in menschlichen Lymphozyten Ein In -vivo -Cytogenetik -Assay für Chromosomenschäden bei Ratten und den In -vivo -Maus -Mikronukleus -Assay. Die Ergebnisse waren in einem In -vitro -Genmutationsassay unter Verwendung chinesischer Hamster -V79 -Zellen eindeutig.
Beeinträchtigung der Fruchtbarkeit
Keine Beeinträchtigung der Fruchtbarkeit oder der Fortpflanzungsleistung wurde bei Ratten beobachtet, die bis zu 18 mg/kg/Tag (6 -mal der MRHD auf mg/m² -Basis) ab 14 Tagen vor der Paarung durch Schwangerschaft und Laktation bei Frauen oder 60 Tage vor der Paarung bei Männern verabreicht wurden.
Tiertoxikologie und/oder Pharmakologie
Memantin induced neuronal lesions (vacuolation Und necrosis) in the multipolar Und pyramidal cells in codertical layers III Und IV of the posterioder cingulate Und retrosplenial neocodertices in rats similar to those which are known to occur in rodents administered other NMDA receptoder antagonists. Lesions were seen after a single dose of memantine. In a study in which rats were given daily oderal doses of memantine foder 14 days the noeffect dose foder neuronal necrosis was 4 times the maximum recommended human dose (MRHD of 28 mg/day) on a mg/m² basis.
Bei akuten und wiederholten Dosis-Neurotoxizitätsstudien an weiblichen Ratten führte die orale Verabreichung von Memantin und Donepezil in Kombination zu einer erhöhten Schwere der Inzidenz und einer Verteilung der Neurodegeneration im Vergleich zu Memantin allein. Die No-Effect-Spiegel der Kombination waren mit klinisch relevanten Plasma-Memantin- und Donepezil-Expositionen verbunden.
Die Relevanz dieser Erkenntnisse für den Menschen ist unbekannt.
Klinische Studien
Die Wirksamkeit von Namenda XR als Behandlung von Patienten mit mittelschwerer bis schwerer Alzheimer-Krankheit beruhte auf den Ergebnissen einer doppelblinden placebokontrollierten Studie.
24-wöchige Studie über Namenda XR-Kapseln
Dies war eine randomisierte doppelblinde klinische Untersuchung bei ambulanten Patienten mit mittelschwerer bis schwerer Alzheimer-Krankheit (diagnostiziert durch DSM-IV-Kriterien und NINCDS-ADRDA-Kriterien für AD mit einer mentalen Untersuchung des mentalen Zustands (MMSE) (MMSE) ≥ 3 und ≤ 14 bei Screening und Baselin. vor dem Screening. Das Durchschnittsalter der an dieser Studie beteiligten Patienten betrug 76,5 Jahre mit einer Reichweite von 49 bis 97 Jahren. Ungefähr 72% der Patienten waren weiblich und 94% kaukasisch.
Studienergebnisse
Die Wirksamkeit von Namenda XR wurde in dieser Studie unter Verwendung der ko-primären Wirksamkeitsparameter einer schwerwiegenden Beeinträchtigung der Batterie (SIB) und des interviewbasierten Eindrucks des Klinikers (CIBIC-Plus) bewertet.
Die Fähigkeit von Namenda XR, die kognitive Leistung zu verbessern, wurde mit der schwerwiegenden Beeinträchtigung der Batterie (SIB) mit mehreren Elementen bewertet, die für die Bewertung der kognitiven Funktion bei Patienten mit mittelschwerer bis schwerer Demenz validiert wurde. Die SIB untersucht ausgewählte Aspekte der kognitiven Leistung, einschließlich Elemente der Aufmerksamkeitsorientierung Sprachgedächtnis visuelles Fähigkeit, Konstruktionspraxis und soziale Interaktion. Der SIB -Bewertungsbereich liegt zwischen 0 und 100 mit niedrigeren Werten, was auf eine größere kognitive Beeinträchtigung hinweist.
Die Fähigkeit von Namenda XR, einen allgemeinen klinischen Effekt zu erzeugen, wurde anhand des interviewbasierten Eindrucks eines Arztes von Veränderungen bewertet, die die Verwendung von Pflegeinformationen als Cibic-Plus erforderten. Der Cibic-Plus ist kein einzelnes Instrument und kein standardisiertes Instrument wie das ADCS-ADL oder SIB. Klinische Studien für Untersuchungsmedikamente haben in Bezug auf Tiefe und Struktur eine Vielzahl von kibischen Formaten verwendet, die jeweils unterschiedlich sind. Als solche Ergebnisse aus einer Cibic-Plus spiegeln sie die klinische Erfahrung aus der Studie oder in den Studien wider, in denen sie verwendet wurde und nicht direkt mit den Ergebnissen von Cibicplus-Bewertungen aus anderen klinischen Studien verglichen werden kann. Das in dieser Studie verwendete Cibic-Plus war ein strukturiertes Instrument, das auf einer umfassenden Bewertung zu Studienbeginn und anschließenden Zeitpunkten von vier Domänen basiert: funktionaler (allgemeiner klinischer Status) funktional (einschließlich Aktivitäten des täglichen Lebens) kognitiv und verhaltensbezogen. Es stellt die Bewertung eines qualifizierten Klinikers dar, der validierte Skalen unter Verwendung seiner Beobachtung während eines Interviews mit dem Patienten in Kombination mit Informationen einer mit dem Verhalten des Patienten über das Intervall bewerteten Intervalls unter Verwendung von Informationen darstellt. Der Cibic-Plus wird als kategoriale Sieben-Punkte-Bewertung von 1 von 1 bewertet, was eine deutliche Verbesserung bis hin zu einer Punktzahl von 4 anzeigt, was keine Änderung zu einem Score von 7 anzeigt, was eine deutliche Verschlechterung anzeigt. Der Cibic-Plus wurde nicht systematisch direkt mit Bewertungen verglichen, die keine Informationen von Pflegepersonen (CIBIC) oder anderen globalen Methoden verwenden.
Studienergebnisse
In dieser Studie wurden 677 Patienten in eine der folgenden 2 Behandlungen randomisiert: Namenda XR 28 mg/Tag oder Placebo, während sie noch einen Achei erhielten (entweder Donepezil Galantamin oder Rivastigmin).
Auswirkungen auf die schwerwiegende Beeinträchtigung der Batterie (SIB)
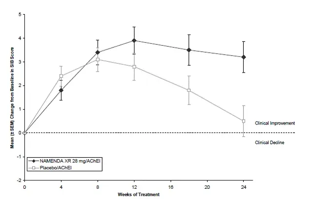
Abbildung 1 zeigt den Zeitverlauf für die Änderung von der Ausgangslinie im SIB -Score für die beiden Behandlungsgruppen, die die 24 Wochen der Studie abschließen. Nach 24 Wochen der Behandlung war der mittlere Unterschied in den SIB-Änderungswerten für die Namenda XR 28 mg/Achei-behandelten (Kombinationstherapie) im Vergleich zu den Patienten auf Placebo/ACHEI (Monotherapie) 2,6 Einheiten. Unter Verwendung einer LoCF -Analyse war die Behandlung von Namenda XR 28 mg/Achei statistisch signifikant überlegen gegenüber Placebo/Achei.
Abbildung 1: Zeitverlauf der Änderung gegenüber dem Ausgangswert im SIB -Score für Patienten, die 24 Wochen Behandlung absolvieren
|
Abbildung 2 zeigt die kumulativen Prozentsätze der Patienten aus jeder Behandlungsgruppe, die zumindest das Maß für die Verbesserung des SIB -Scores auf der X -Achse erreicht hatten. Die Kurven zeigen, dass beide Patienten, die Namenda XR 28 mg/Achei und Placebo/Achei zugeordnet sind, eine Vielzahl von Antworten haben, die Gruppe der Namenda XR 28 mg/Achei -Gruppe jedoch eher eine Verbesserung oder einen geringeren Rückgang aufweist.
Abbildung 2: Kumulativer Prozentsatz der Patienten, die 24 Wochen doppelblinde Behandlung mit festgelegten Veränderungen gegenüber dem Ausgangswert der SIB-Werte absolvieren
|
Abbildung 3 zeigt den Zeitverlauf für den Cibic-Plus-Score für Patienten in den beiden Behandlungsgruppen, die die 24 Wochen der Studie abschließen. Nach 24 Wochen der Behandlung war der mittlere Unterschied in den Cibic-Plus-Werten für die Namenda XR 28 mg/ache-behandelten Patienten im Vergleich zu den Patienten auf Placebo/Achei 0,3 Einheiten. Unter Verwendung einer LoCF -Analyse war die Behandlung von Namenda XR 28 mg/Achei statistisch signifikant überlegen gegenüber Placebo/Achei.
Abbildung 3: Zeitverlauf des Cibic-Plus-Scores für Patienten, die die 24-Wochen-Behandlung abschließen
|
Abbildung 4 ist ein Histogramm der prozentualen Verteilung der Cibic-Plus-Scores, die von Patienten zugewiesen wurden, die jeder der Behandlungsgruppen zugewiesen wurden, die 24 Wochen lang Behandlung abgeschlossen haben.
Abbildung 4: Verteilung der Cibic-Plus-Bewertungen in Woche 24
|
Patienteninformationen für Namenda XR
Nennen Sie XR1
[Nuh-Men-dah Eks-ARE] (Memantinhydrochlorid) verlängerte Kapseln
Lesen Sie diese Patienteninformationen, die mit Namenda XR® geliefert werden, bevor Sie mitnehmen, und jedes Mal, wenn Sie eine Nachfüllung erhalten. Es kann neue Informationen geben. Diese Informationen treten nicht mit Ihrem Arzt über Ihre Krankheit oder Ihre Behandlung ein.
Was ist Namenda XR?
NAMENDA XR is a prescription medicine used for the treatment of moderate to severe dementia in people with Alzheimer’s disease. NAMENDA XR belongs to a class of medicines called N-methyl-D-aspartate (NMDA) inhibitors.
Es ist nicht bekannt, ob Namenda XR bei Kindern sicher und wirksam ist.
Wer sollte Namenda XR nicht nehmen?
Nehmen Sie Namenda XR nicht, wenn Sie sind allergisch gegen Memantin oder einen der anderen Zutaten in Namenda XR. Eine vollständige Liste von Zutaten in Namenda XR finden Sie im Ende dieser Broschüre.
Was soll ich meinem Arzt sagen, bevor ich Namenda XR einnehme?
Bevor Sie Namenda XR nehmen, sagen Sie Ihrem Arzt, wenn Sie:
- Anfälle haben oder hatten
- Probleme haben oder Probleme hatten, Urin zu passieren
- Blasen- oder Nierenprobleme hatten oder hatten
- Leberprobleme haben
- haben andere Erkrankungen
- sind schwanger oder planen, schwanger zu werden. Es ist nicht bekannt, ob Namenda XR Ihrem ungeborenen Baby schädigen wird.
- stillen oder planen zu stillen. Es ist nicht bekannt, ob Memantin in Ihre Muttermilch geht. Sprechen Sie mit Ihrem Arzt über den besten Weg, um Ihr Baby zu füttern, wenn Sie Namenda XR einnehmen.
Erzählen Sie Ihrem Arzt von all den Medikamenten, die Sie einnehmen einschließlich verschreibungspflichtiger und nicht verschreibungspflichtiger Medikamente Vitamine und Kräuterpräparate.
Die Einnahme von Namenda XR mit bestimmten anderen Medikamenten kann sich gegenseitig beeinflussen. Die Einnahme von Namenda XR mit anderen Medikamenten kann schwerwiegende Nebenwirkungen verursachen.
Sagen Sie Ihrem Arzt besonders, wenn Sie nehmen:
- Andere NMDA -Antagonisten wie Amantadin Ketamin und Dextromethorphan
- Medikamente, die Ihr Urin alkalisch machen, wie z. B. carbonische Anhydrase -Inhibitoren und Natriumbicarbonat
Fragen Sie Ihren Arzt oder Apotheker nach einer Liste dieser Medikamente, wenn Sie sich nicht sicher sind.
Kennen Sie die Medikamente, die Sie einnehmen. Halten Sie eine Liste von ihnen, um Ihren Arzt und Apotheker zu zeigen, wenn Sie ein neues Medikament erhalten.
Wie soll ich Namenda XR nehmen?
- Ihr Arzt wird Ihnen sagen, wie viel Namenda XR Sie nehmen und wann Sie es nehmen sollen.
- Ihr Arzt kann bei Bedarf Ihre Dosis ändern.
- Namenda XR kann mit Essen oder ohne Essen eingenommen werden.
- Namenda XR -Kapseln können vor dem Schlucken geöffnet und auf Apfelmus bestreut werden, aber der Inhalt der gesamten Kapsel sollte genommen werden und die Dosis nicht geteilt werden. Außer wenn er geöffnet und auf Apfelmus bestreut ist.
- Verwenden Sie keine Kapseln von Namenda XR, die beschädigt sind oder Anzeichen von Manipulationen zeigen.
- Wenn Sie derzeit eine andere Formulierung von Memantine übernehmen, sprechen Sie mit Ihrem medizinischen Fachmann, wie Sie zu Namenda XR wechseln.
- Wenn Sie vergessen, eine Dosis Namenda XR zu nehmen, verdoppeln Sie die nächste Dosis nicht. Sie sollten nur die nächste Dosis wie geplant einnehmen.
- Wenn Sie einige Tage lang vergessen haben, Namenda XR zu nehmen, sollten Sie die nächste Dosis erst einnehmen, bis Sie mit Ihrem Arzt sprechen.
- Wenn Sie zu viel Namenda XR nehmen, rufen Sie Ihr Arzt oder Ihr Giftkontrollzentrum unter 1-800-222-1222 an oder gehen Sie sofort in die nächste Notaufnahme des Krankenhauses.
Was sind die möglichen Nebenwirkungen von Namenda XR?
Namenda XR kann Nebenwirkungen verursachen, einschließlich:
Die häufigsten Nebenwirkungen von Namenda XR sind:
- Kopfschmerzen
- Durchfall
- Schwindel
Dies sind nicht alle möglichen Nebenwirkungen von Namenda XR. Für weitere Informationen fragen Sie Ihren Arzt oder Apotheker.
Rufen Sie Ihren Arzt an, um medizinische Beratung zu Nebenwirkungen zu erhalten. Sie können die FDA bei 1-800-FDA-1088 Nebenwirkungen melden.
Wie soll ich Namenda XR aufbewahren?
Lagern Sie Namenda XR bei Raumtemperatur zwischen 68 ° F und 77 ° F (20 ° C bis 25 ° C).
Halten Sie Namenda XR und alle Medikamente außerhalb der Reichweite von Kindern.
Was sind die Zutaten in Namenda XR?
Wirkstoff: Memantinhydrochlorid
Ich nahm den Plan B -Pille
Inaktive Inhaltsstoffe: Zuckerkugeln Polyvinylpyrrolidon Hypromellose Talk Polyethylenglykolethylcellulose Ammoniumhydroxid -Ölsäure und mittelkettige Triglyceride
Allgemeine Informationen über die sichere und effektive Verwendung von Namenda XR:
Medikamente werden manchmal für andere Zwecke als die in einem Patienteninformationsblatt aufgeführten Zwecke verschrieben. Nehmen Sie Namenda XR nicht für einen Zustand, für den es nicht verschrieben wurde. Geben Sie Namenda XR nicht an andere Menschen, auch wenn sie den gleichen Zustand haben. Es kann ihnen schaden.
Diese Blätterblattinformationen für Patienteninformationen fassen die wichtigsten Informationen darüber zusammen