Die Informationen Auf Dieser Website Stellen Keine Medizinische Beratung Dar. Wir Verkaufen Nichts. Die Richtigkeit Der Übersetzung Wird Nicht Garantiert. Haftungsausschluss



Apexicon e

Drogenzusammenfassung

Was ist Apexicon E?

Apexicon E (Diflorason-Diacetatcreme USP 0,05%) ist ein topisches Kortikosteroid, das zur Linderung der entzündlichen und pruritischen (Juckreiz-) Manifestationen von kortikosteroidresiveren Dermatosen angezeigt wird. Apexicon E ist in generischer Form als Diflorason -Diacetat verfügbar.

Was sind Nebenwirkungen von Apexicon E?

Apexicon e



  • Nesselsucht
  • Schwierigkeiten beim Atmen
  • Schwellung Ihrer Gesichtslippen Zunge oder Hals
  • Schwellung
  • Gewichtszunahme (besonders in Ihrem Gesicht oder Ihrem oberen Rücken und Oberkörper)
  • unregelmäßige Menstruationsperioden
  • Veränderungen in der sexuellen Funktion
  • Speicherprobleme
  • Reizbarkeit
  • verschwommenes Sehen
  • Tunnelsicht
  • Augenschmerzen
  • Halos um Licht herum sehen
  • schwere Hautreizungen, wo das Medikament angewendet wurde und
  • Anzeichen einer Hautinfektion (Schwellendrötung Wärme oder sickern)

Holen Sie sich sofort medizinische Hilfe, wenn Sie eines der oben aufgeführten Symptome haben.



Nebenwirkungen von Apexicon E umfassen:

  • Verbrennung
  • Juckreiz
  • Reizung
  • Trockenheit
  • Ausdünnung oder Erweichen Ihrer Haut
  • Hautausschlag oder Reizung um Ihren Mund
  • Geschwollene Haarfollikel
  • Veränderungen in der Farbe der behandelten Haut
  • Blasen
  • Pickel
  • Kruste der behandelten Haut oder
  • Dehnungsstreifen

Suchen Sie medizinische Versorgung oder rufen Sie auf einmal 911 an, wenn Sie die folgenden schwerwiegenden Nebenwirkungen haben:



  • Schwerwiegende Augensymptome wie plötzlicher Sehverlust verschwommenes Sehen Tunnel Sehschmerzen oder Schwellungen oder Halos in der Umgebung des Lichts;
  • Schwerwiegende Herzsymptome wie schnelle unregelmäßige oder pochende Herzschläge; Flattern in deiner Brust; Kurzatmigkeit; und plötzliche Schwindel -Benommenheit oder ohnmächtig;
  • Starke Kopfschmerzen Verwirrung verwirrt Spracharm oder Bein Schwäche Schwierigkeiten beim Verlust der Koordination unstabil sehr steifes Muskeln hoher Fieber problemlos Schwitzen oder Zittern.

Dieses Dokument enthält nicht alle möglichen Nebenwirkungen und andere können auftreten. Wenden Sie sich an Ihren Arzt nach zusätzlichen Informationen zu Nebenwirkungen.

Dosierung für Apexicon e

Jedes Gramm von Apexicon E -Creme (Diflorason -Diacetat -Creme USP 0,05%) konzipiert: 0,5 mg Diflorason -Diacetatein 30 oder 60 g Röhrchen. Das Apexicon E sollte je nach Schweregrad oder Widerstand des Zustands auf die betroffenen Bereiche von einem bis dreimal täglich auf die betroffenen Bereiche angewendet werden. Zu den Okklusivverbänden können zur Behandlung von Psoriasis oder widerspenstigen Bedingungen verwendet werden. Wenn eine Infektion die Verwendung von okklusiven Verbänden entwickelt, sollte abgesetzt werden und eine angemessene antimikrobielle Therapie initiiert werden.

Nebenwirkungen von Prilosec 20 mg

Welche Medikamentensubstanzen oder Nahrungsergänzungsmittel interagieren mit Apexicon E?

Apexicon E kann mit anderen Medikamenten interagieren. Sagen Sie Ihrem Arzt alle Medikamente und Nahrungsergänzungsmittel, die Sie verwenden. Spexicon E und andere topische Kortikosteroide sollten während der Schwangerschaft nur dann angewendet werden, wenn der potenzielle Nutzen das potenzielle Risiko für den Fötus rechtfertigt.

Apexicon E während der Schwangerschaft oder Stillen

Systemisch verabreichte Kortikosteroide werden in Mengen in der Muttermilch sekretiert, die wahrscheinlich keine schädliche Wirkung auf das Kind haben. Trotzdem ist Vorsicht geboten, wenn topische Kortikosteroide an eine stillende Frau verabreicht werden. Wirksamkeit und Sicherheit von Diflorason -Diacetat -Creme bei pädiatrischen Patienten wurden nicht festgestellt.

Weitere Informationen

Unsere Abschnitts -Arzneimittelzentrum von Apexicon E bietet einen umfassenden Überblick über die verfügbaren Arzneimittelinformationen über die potenziellen Nebenwirkungen bei der Einnahme dieses Medikaments.

FDA -Drogeninformationen

Beschreibung für Apexicon e

Jedes Gramm von Apexicon® E -Creme (Diflorason -Diacetat -Creme USP 0,05% [Emollient]) enthält 0,5 mg Diflorason -Diacetat in einer Creme -Basis für den topischen Dermatologischen Gebrauch.

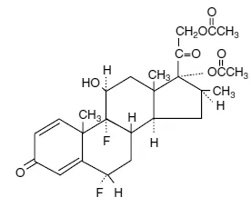
Chemisch Dicetat ist: 6 ± 9-Difluor-111721-Trihydroxy-16-methylprega-14-Dien-320-Dion-1721-Diacetat.

Die strukturelle Formel ist unten dargestellt:

Jedes Gramm von Apexicon® E -Creme (Diflorason -Diacetat -Creme USP 0,05% [Emollient]) enthält: 0,5 mg Diflorason -Diacetat in einer hydrophilen Verschwungungscreme -Basis von Propylenglykol -Stearylalkohol -Cetylalkoholbitan -Monostarat -Polysorbat 60 Mineralöl und purifiziertem Wasser und purifiziertem Wasser.

Verwendung für Apexicon e

Topische Kortikosteroide sind zur Linderung der entzündlichen und pruritischen Manifestationen von kortikosteroid reaktionsschnellen Dermatosen angezeigt.

Dosierung für Apexicon e

Spitze ® E -Creme (Diflorason -Diacetatcreme 0,05% [Emollient]) sollte je nach Schwere oder Widerstand des Zustands auf die betroffenen Bereiche als dünner Film von einem bis dreimal täglich aufgetragen werden.

Nur für den topischen Gebrauch. Vermeiden Sie den Kontakt mit den Augen.

Nach jeder Anwendung die Hände waschen.

Verwenden Sie nicht mit okklusiven Verbänden, es sei denn VORSICHTSMASSNAHMEN ).

Wenn eine Infektion die Verwendung von okklusiven Verbänden entwickelt, sollte abgesetzt werden und eine angemessene antimikrobielle Therapie initiiert werden.

Wie geliefert

Spitze ® E Creme (Diflorason Diacetatcreme USP 0,05% [Emollient]) ist in den folgenden Röhrchen der Größe erhältlich:

NDC 10337-395-30 30 Gramm Rohr
NDC 10337-395-60 60 Gramm Rohr

Lagern Sie bei kontrollierter Raumtemperatur von 20 ° bis 25 ° C (68 ° bis 77 ° F) [siehe USP].

Hergestellt von: Pharmaderm ® Eine Abteilung von Fugerapharmaceuticals Inc. Melville New York 11747 USA. Überarbeitet: Okt. 2020

Nebenwirkungen für Apexicon e

Die folgenden nachteiligen Reaktionen wurden aus klinischen Studien oder der Überwachung nach dem Stempeln identifiziert. Da sie von einer Bevölkerung aus unbekannter Größe gemeldet werden, ist es nicht immer möglich, ihre Häufigkeit zuverlässig abzuschätzen oder eine kausale Beziehung zur topischen Exposition von Kortikosteroiden herzustellen.

Wie funktioniert Blue Emu Creme

Diese unerwünschten Reaktionen können häufiger bei der Verwendung von Okklusivverbänden oder längerer Verwendung topischer Kortikosteroide auftreten.

Haut und subkutane Gewebeerkrankungen: Verbrennung Juckreiz Reizung Trockenheit folliculitis hypertrichosis acneiform eruptions hypopigmentation perioral dermatitis allergic contact dermatitis maceration of the skin secondary infection skin atrophy striae and miliaria

Visionsstörungen: Katarakt Glaukom Zentraler seröser Chorioretinopathie

Arzneimittelwechselwirkungen für Apexicon e

Keine Informationen zur Verfügung gestellt

Warnungen für Apexicon e

Verwendung topischer Kortikosteroide einschließlich Apexicon ® E -Creme (Diflorason -Diacetat 0,05% [Emollient]) kann das Risiko von posterioren subkapsulären Katarakten und Glaukom erhöhen. Katarakte wurden im Nachmarkterlebnis mit der Verwendung topischer Diflorason -Diacetatprodukte berichtet.

Glaukom mit möglichen Schäden am Sehnerv und erhöhtem intraokularem Druck wurde im Nachmarkterlebnis mit der Verwendung topischer dermaler Kortikosteroide berichtet.

Vermeiden Sie den Kontakt von Apexicon ® E -Creme (Diflorason -Diacetat 0,05% [Emollient]) mit Augen. Raten Sie den Patienten, visuelle Symptome zu melden.

Vorsichtsmaßnahmen für Apexicon e

Allgemein

Die systemische Absorption topischer Kortikosteroide hat bei einigen Patienten eine reversible Hypothalamic-Hypophysen-Nebennieren-Achse-Unterdrückungsmanifestationen der Cushing-Syndrom-Hyperglykämie und Glukosurie erzeugt.

Zu den Bedingungen, die die systemische Absorption erweitern, gehören die Anwendung der stärkeren Steroide, die über große Oberflächen verwendet werden, und die Zugabe von Okklusivverbänden.

Daher sollten Patienten, die eine große Dosis eines wirksamen topischen Steroids erhalten, das auf eine große Oberfläche oder unter einem okklusiven Verband angewendet wird, regelmäßig unter Verwendung der freien Stimulationstests im Urin -Cortisol und der ACTH -Stimulation nach Anzeichen einer HPA -Achsenunterdrückung bewertet werden. Wenn die Unterdrückung der HPA -Achse festgestellt wird, sollte ein Versuch unternommen werden, das Arzneimittel zurückzuziehen, um die Anwendungshäufigkeit zu verringern oder ein weniger starkes Steroid zu ersetzen.

Die Wiederherstellung der HPA -Achsenfunktion ist im Allgemeinen schnell und abgeschlossen, wenn das Arzneimittel abgesetzt wird. Es können selten Anzeichen und Symptome des Steroidentzugs auftreten, die zusätzliche systemische Kortikosteroide erfordern.

Nebenwirkungen von Levodopa und Carbidopa

Pädiatrische Patienten können proportional größere Mengen an topischen Kortikosteroiden absorbieren und somit anfälliger für systemische Toxizität sein (siehe VORSICHTSMASSNAHMEN : Pädiatrische Verwendung ).

Wenn die Reizung topische Kortikosteroide entwickelt, sollte abgesetzt und eine angemessene Therapie eingeleitet werden.

In Gegenwart dermatologischer Infektionen sollte die Verwendung eines geeigneten antimykotischen oder antibakteriellen Mittel eingeleitet werden. Wenn eine günstige Reaktion nicht sofort auftritt, sollte das Kortikosteroid abgesetzt werden, bis die Infektion ausreichend kontrolliert wurde.

Labortests

Die folgenden Tests können hilfreich sein, um die Unterdrückung der HPA -Achse zu bewerten:

Urin-Free-Cortisol-Test

ACTH -Stimulationstest

Karzinogenese -Mutagenese und Beeinträchtigung der Fruchtbarkeit

Langzeitstudien wurden nicht durchgeführt, um das krebserzeugende Potential oder die Auswirkung auf die Fruchtbarkeit topischer Kortikosteroide zu bewerten.

Diflorasondiacetat war in einem Mikronukleus -Test bei Ratten bei intraperitonealen Dosen von bis zu 2400 mg/kg nicht mutagenisch.

Schwangerschaft

Corticosteroids are generally teratogenic in laboratory animals when administered systemically at relatively low dosage levels. The more potent corticosteroids have been shown to be teratogenic after dermal application in laboratory animals. There are no adequate and well-controlled studies in pregnant women on teratogenic effects from topically applied corticosteroids. Therefore topical corticosteroids should be used during pregnancy only if the potential benefit justifies the potential risk to the fetus. Drugs of this class should not be used extensively on pregnant patients in large amounts or for prolonged periods of time.

Pflegemütter

Es ist nicht bekannt, ob die topische Verabreichung von Kortikosteroiden zu einer ausreichenden systemischen Absorption führen könnte, um nachweisbare Mengen in der Muttermilch zu erzeugen. Da viele Medikamente in Muttermilch ausgeschieden werden, sollte eine Pflegefrau ausgelöst werden, wenn eine Sahne (Diflorason -Diacetat 0,05% [Emollient]) verabreicht wird.

Pädiatrische Verwendung

Sicherheit und Wirksamkeit von Apexicon ® E -Creme (Diflorason -Diacetatcreme) bei pädiatrischen Patienten wurde nicht festgestellt. Aufgrund eines höheren Verhältnisses der Hautoberfläche zur Körpermasse sind pädiatrische Patienten ein höheres Risiko als Erwachsene der HPA-Achse-Unterdrückung, wenn sie mit topischen Kortikosteroiden behandelt werden. Sie sind daher auch ein höheres Risiko einer Glukokortikosteroidinsuffizienz nach dem Entzug der Behandlung und des Cushing -Syndroms während der Behandlung ausgesetzt. Nebenwirkungen einschließlich Striae wurden mit unangemessener Verwendung topischer Kortikosteroide bei pädiatrischen Patienten berichtet.

Bei pädiatrischen Patienten, die topische Kortikosteroide erhalten, wurden HPA -Achsenunterdrückungs -Cushing -Syndrom und intrakranielle Hypertonie berichtet. Manifestationen der Nebennierenunterdrückung bei pädiatrischen Patienten umfassen lineare Verzögerungsverzögerungsverzögerungen mit geringer Plasma -Cortisolspiegel und das Fehlen einer Reaktion auf ACTH -Stimulation. Manifestationen der intrakraniellen Hypertonie umfassen prall gefüllte Kopfschmerzen in Fontanellen und bilaterales Papillen.

Geriatrische Verwendung

Klinische Studien mit topischen Formulierungen von Diflorason -Diacetat umfassten nicht eine ausreichende Anzahl von Probanden ab 65 Jahren, um festzustellen, ob sie unterschiedlich von jüngeren Probanden reagieren.

Überdosierungsinformationen für Apexicon e

Topisch angewandte Kortikosteroide können in ausreichenden Mengen absorbiert werden, um systemische Effekte zu erzeugen (siehe VORSICHTSMASSNAHMEN ).

Kontraindikationen für Apexicon e

Topische Steroide sind bei Patienten mit Überempfindlichkeit gegenüber einer der Bestandteile der Herstellung kontraindiziert.

Klinische Pharmakologie for Spitze E

Topische Kortikosteroide teilen entzündungshemmende antipruritische und vasokonstriktive Wirkungen.

Der Mechanismus der entzündungshemmenden Aktivität der topischen Kortikosteroide ist unklar. Verschiedene Labormethoden, einschließlich Vasokonstriktor -Assays, werden verwendet, um Potenzen und/oder klinische Wirksamkeit der topischen Kortikosteroide zu vergleichen und vorherzusagen. Es gibt einige Hinweise darauf, dass eine erkennbare Korrelation zwischen vasokonstriktorischer Wirksamkeit und therapeutischer Wirksamkeit beim Menschen besteht.

Pharmakokinetik

Das Ausmaß der perkutanen Absorption topischer Kortikosteroide wird durch viele Faktoren bestimmt, einschließlich des Fahrzeugs, die Integrität der epidermalen Barriere und die Verwendung von okklusiven Verbänden.

Topische Kortikosteroide können von einer normalen intakten Haut absorbiert werden. Entzündung und/oder andere Krankheitsprozesse in der Haut erhöhen die perkutane Absorption. Okklusive Verbände erhöhen die perkutane Absorption topischer Kortikosteroide erheblich. Daher können okklusive Verbände eine wertvolle therapeutische Ergänzung zur Behandlung resistenter Dermatosen sein (siehe Dosierung und Verwaltung ).

Einmal durch die Haut absorbiert werden topische Kortikosteroide durch pharmakokinetische Wege behandelt, ähnlich wie systemisch verabreichte Kortikosteroide. Kortikosteroide sind in unterschiedlichem Maße an Plasmaproteine ​​gebunden. Sie werden hauptsächlich in der Leber metabolisiert und dann von den Nieren ausgeschieden. Einige der topischen Kortikosteroide und ihre Metaboliten sind ebenfalls in die Galle ausgeschieden.

Wofür wird Insulinglargine verwendet?

Patienteninformationen für Apexicon e

Patienten, die topische Kortikosteroide verwenden, sollten die folgenden Informationen und Anweisungen erhalten:

  1. Dieses Medikament soll wie vom Arzt angewiesen werden. Es ist nur für den externen Gebrauch. Vermeiden Sie den Kontakt mit den Augen.
  2. Den Patienten sollte empfohlen werden, dieses Medikament nicht für eine andere Störung zu verwenden, die es verschrieben wurde.
  3. Wenden Sie sich an Ihren Gesundheitsdienstleister, wenn Sie verschwommenes Sehen oder andere visuelle Störungen erleben (siehe Warnungen ).
  4. Der behandelte Hautbereich sollte nicht gebunden oder anderweitig bedeckt oder verpackt werden, um okklusiv zu sein, es sei denn VORSICHTSMASSNAHMEN ).
  5. Patienten sollten Anzeichen von lokalen Nebenwirkungen melden, insbesondere unter okklusivem Verband.
  6. Eltern von pädiatrischen Patienten sollten empfohlen werden, keine eng anliegenden Windeln oder Plastikhosen für ein Kind oder ein Kind zu verwenden, das im Windelbereich behandelt wird, da diese Kleidungsstücke okklusive Verbände darstellen können.