Die Informationen Auf Dieser Website Stellen Keine Medizinische Beratung Dar. Wir Verkaufen Nichts. Die Richtigkeit Der Übersetzung Wird Nicht Garantiert. Haftungsausschluss
Protonenpumpenhemmer
Prilosec
Drogenzusammenfassung
Was ist Prilosec?
Prilosec (Omeprazol) ist ein Protonenpumpeninhibitor (PPI) zur Behandlung von Erkrankungen wie Geschwüren gastroösophagealer Reflux Krankheit (GERD) und Zollinger-Elison-Syndrom, die alle durch Magensäure verursacht werden. Prilosec ist in erhältlich generisches bilden.
Was sind Nebenwirkungen von Prilosec?
Prilosec kann schwerwiegende Nebenwirkungen verursachen, einschließlich:
- Starke Magenschmerzen
- Durchfall, der wässrig oder blutig ist
- Neue oder ungewöhnliche Schmerzen in der Oberschenkelhip oder im Rücken
- Beschlagnahme (Krämpfe)
- wenig oder gar kein Urinieren
- Blut in Ihrem Urin
- Schwellung
- Schnelle Gewichtszunahme
- Schwindel
- unregelmäßiger Herzschlag
- fühle mich nervös
- Muskelkrämpfe
- Muskelkrämpfe
- Husten
- Erstickungsgefühl
- Gelenkschmerzen und
- Hautausschlag auf Ihren Wangen oder Armen, die sich mit Sonnenlicht verschlechtern
Holen Sie sich sofort medizinische Hilfe, wenn Sie eines der oben aufgeführten Symptome haben.
Zu den Nebenwirkungen von Prilosec gehören:
- Kopfschmerzen
- Brechreiz
- Erbrechen
- Durchfall
- Magenschmerzen
- Gas
- Verstopfung
- Fieber oder
- Kaltes Symptome (stickige Nase Niesen und Halsschmerzen).
Suchen Sie medizinische Versorgung oder rufen Sie auf einmal 911 an, wenn Sie die folgenden schwerwiegenden Nebenwirkungen haben:
- Schwerwiegende Augensymptome wie plötzlicher Sehverlust verschwommenes Sehen Tunnel Sehschmerzen oder Schwellungen oder Halos in der Umgebung des Lichts;
- Schwerwiegende Herzsymptome wie schnelle unregelmäßige oder pochende Herzschläge; Flattern in deiner Brust; Kurzatmigkeit; und plötzlich Schwindel Benommenheit oder ohnmächtig;
- Starke Kopfschmerzen Verwirrung verwirrt Spracharm oder Bein Schwäche Schwierigkeiten beim Verlust der Koordination unstabil sehr steifes Muskeln hoher Fieber problemlos Schwitzen oder Zittern.
Dieses Dokument enthält nicht alle möglichen Nebenwirkungen und andere können auftreten. Wenden Sie sich an Ihren Arzt nach zusätzlichen Informationen zu Nebenwirkungen.
Dosierung für Prilosec
Die empfohlene mündliche Dosis von Prilosec ässert sich von 20 mg bis 60 mg einmal täglich, je nach der behandelten Erkrankung. Für maximale Wirksamkeit sollten Prilosec -Tabletten eingenommen werden, bevor die Mahlzeiten ganz verschluckt werden und nicht zerquetscht oder geöffnet werden sollten.
Welche Medikamentensubstanzen oder Nahrungsergänzungsmittel interagieren mit Prilosec?
Prilosec kann möglicherweise die Konzentrationen in Blut von erhöhen Diazepam (Valium) Warfarin ( Coumadin ) und Phenytoin ( Dantin ) durch Verringern der Eliminierung dieser Medikamente durch die Leber. Die Absorption bestimmter Arzneimittel kann durch Magensäure und infolgedessen Prilosec und andere PPIs, die die Magensäure verringern, beeinflusst werden. Lanoxin ).
Prilosec während der Schwangerschaft und Stillen
Sagen Sie Ihrem Arzt, wenn Sie schwanger sind oder planen, während der Verwendung von Prilosec schwanger zu werden. Es ist nicht bekannt, ob es einem Fötus schädigen wird. Prilosec geht in Muttermilch über und kann einem Pflegebaby schaden. Das Stillen während der Einnahme von Prilosec wird nicht empfohlen.
Weitere Informationen
Unsere Prilosec -Nebenwirkungen Arzneimittelzentrum bietet einen umfassenden Überblick über verfügbare Arzneimittelinformationen über die potenziellen Nebenwirkungen bei der Einnahme dieses Medikaments.
FDA -Drogeninformationen
- Drogenbeschreibung
- Indikationen
- Dosierung
- Nebenwirkungen
- Wechselwirkungen mit Arzneimitteln
- Warnungen
- Überdosis
- Klinische Pharmakologie
- Medikamentenhandbuch
Beschreibung für Prilosec
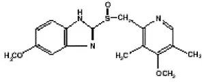
Der Wirkstoff in Prilosec (Omeprazol) verzögerten Kapseln ist ein substituiertes Benzimidazol 5-Methoxy-2-[[[4-Methoxy-3 5-Dimethyl-2-Pyridinyl) methyl] Sulfinyl-Sekretion. Seine empirische Formel ist c 17 H 19 N 3 O 3 S mit einem Molekulargewicht von 345,42. Die strukturelle Formel lautet:
|
Omeprazol ist ein weißes bis weißes kristallines Pulver, das mit einer Zersetzung bei etwa 155 ° C schmilzt. Es ist eine schwache Basis, die in Ethanol und Methanol frei löslich ist und in Aceton und Isopropanol leicht löslich und in Wasser sehr leicht löslich ist. Die Stabilität von Omeprazol ist eine Funktion des pH -Werts; Es wird in Säuremedien schnell abgebaut, weist jedoch unter alkalischen Bedingungen eine akzeptable Stabilität auf.
Der Wirkstoff in Prilosec (Omeprazol-Magnesium) für die orale Suspension verzögerter Freisetzung beträgt 5-methoxy-2-[[(4-methoxy-35-Dimethyl-2-pyridinyl) methyl] sulfinyl] -1H-Benzimidazol-Magnesium-Salz (2: 1)
Omeprazol -Magnesium ist ein weißes und aus weißes Pulver mit einem Schmelzpunkt mit Abbau bei 200 ° C. Das Salz ist leicht löslich (NULL,25 mg/ml) in Wasser bei 25 ° C und in Methanol löslich. Die Halbwertszeit ist stark pH-Abhängigkeit.
Die empirische Formel für Omeprazol -Magnesium ist (c 17 H 18 N 3 O 3 S) 2 Mg Das Molekulargewicht beträgt 713,12 und die strukturelle Formel lautet:
|
Prilosec wird für die orale Verabreichung als Kapseln mit verzögerter Freisetzung geliefert. Jede Kapsel mit verzögerter Freisetzung enthält entweder 10 mg 20 mg oder 40 mg Omeprazol in Form von enterisch beschichteten Granulaten mit den folgenden inaktiven Inhaltsstoffen: Cellulose-Dissodius-Wasserstoff-Phosphathydroxypropylcellulose-Hypros-Lactose-Lactol-Natrium-Layllayl-Sulfat und andere Ingromellose-Lactose-Lactol-Natriumhydroxypropylzutaten. Die Kapselschalen haben die folgenden inaktiven Zutaten: Gelatine-NF FD
Each packet of PRILOSEC For Delayed-Release Oral Suspension contains either 2.8 mg or 11.2 mg of omeprazole magnesium (equivalent to 2.5 mg or 10 mg of omeprazole) in the form of enteric-coated granules with the following inactive ingredients: glyceryl monostearate hydroxypropyl cellulose hypromellose magnesium stearate methacrylic Säurecopolymer -C -Polysorbat -Zuckerkugeln Talk und Triethylcitrat sowie inaktives Granulat. Die inaktiven Granulate bestehen aus den folgenden Inhaltsstoffen: Zitronensäure Crospovidon Dextrose Hydroxypropylcellulose -Eisenoxid und Xantham -Kaugummi. Das Omeprazol -Granulat und das inaktive Granulat besteht aus Wasser, um eine Suspension zu bilden, und werden durch orale nasogastrische oder direkte Magenverabreichung gegeben.
Verwendung für Prilosec
Behandlung von aktiven Zwölffingerdarmgeschwüren
Prilosec ist für die kurzfristige Behandlung von aktiven Zwölffingerdarmgeschwüren bei Erwachsenen angezeigt. Die meisten Patienten heilen innerhalb von vier Wochen. Einige Patienten benötigen möglicherweise weitere vier Wochen Therapie.
Helicobacter pylori Ausrottung zur Verringerung des Risikos für das Wiederauftreten von Ulkus -Ulkus
Ausrottung von H. Pylori Es wurde gezeigt, dass das Risiko für das Wiederauftreten von Ulkern das Risiko von Zwölffingerdämmen verringert.
Dreifachtherapie
Prilosec in Kombination mit Clarithromycin und Amoxicillin ist für die Behandlung von Patienten mit angezeigt H. Pylori Infektions- und Zwölffingerdarm-Ulkus-Erkrankung (aktiv oder bis zu 1 Jahr), um auszurotten H. Pylori bei Erwachsenen.
Doppeltherapie
Prilosec in Kombination mit Clarithromycin ist für die Behandlung von Patienten mit angezeigt H. Pylori Infektions- und Zwölffingerdarm -Ulkus -Erkrankung zum Ausrottieren H. Pylori bei Erwachsenen.
Bei Patienten, die Therapie -Prilosec mit Clarithromycin nicht bestehen, ist es mit größerer Wahrscheinlichkeit mit der Entwicklung der Clarithromycin -Resistenz im Vergleich zur Dreifachtherapie verbunden. Bei Patienten, bei denen die Therapie -Anfälligkeitstests nicht bestanden werden, sollten Tests durchgeführt werden. Wenn eine Resistenz gegen Clarithromycin nachgewiesen wird oder die Suszeptibilitätstests keine mögliche alternative antimikrobielle Therapie erfolgen, sollte eingeleitet werden [siehe Klinische Pharmakologie und der Abschnitt Clarithromycin -Verformationsinformationen].
Behandlung von aktivem gutartigen Magengeschwür
Prilosec ist für die kurzfristige Behandlung (4 bis 8 Wochen) von aktivem gutartigen Magengeschwür bei Erwachsenen angezeigt.
Behandlung einer symptomatischen gastroösophagealen Refluxkrankheit (GERD)
Prilosec ist für die Behandlung von Sodbrennen und anderen mit GERD verbundenen Symptomen für bis zu 4 Wochen bei Patienten 1 Jahr und älter gekennzeichnet.
Behandlung von erosive Ösophagitis (EE) aufgrund säurerheizter GERD
Pädiatrische Patienten 1 Jahr im Alter von Erwachsenen
Prilosec ist für die kurzfristige Behandlung (4 bis 8 Wochen) von EE aufgrund von Säure-vermittelter GERD angezeigt, die durch Endoskopie bei Patienten 1 Jahr und älter diagnostiziert wurde.
Die Wirksamkeit von Prilosec, die bei Patienten mit EE länger als 8 Wochen lang verwendet wird, wurde nicht festgestellt. Wenn ein Patient nicht auf 8 Wochen Behandlung reagiert, können weitere 4 Wochen Behandlung angegeben werden. Wenn es ein Wiederauftreten von EE- oder GERD -Symptomen (z. B. Sodbrennen) gibt, können zusätzliche 4 bis 8 -wöchige Kurse von Prilosec berücksichtigt werden.
Pädiatrische Patienten 1 Monat bis weniger als 1 Jahr alt
Prilosec ist für die kurzfristige Behandlung (bis zu 6 Wochen) von EE aufgrund von Säure-vermittelter GERD bei pädiatrischen Patienten 1 Monat bis weniger als 1 Jahr angezeigt.
Aufrechterhaltung der Heilung von EE aufgrund von Säure-vermittelter GERD
Prilosec ist für die Erhaltungsheilung von EE aufgrund von Säure-vermittelter GERD bei Patienten 1 Jahr und älter gekennzeichnet.
Kontrollierte Studien erstrecken sich nicht über 12 Monate.
Pathologische hypersekretorische Bedingungen
Prilosec ist bei Erwachsenen für die Langzeitbehandlung pathologischer hypersekretorischer Erkrankungen (z. B. Zollinger-Ellison-Syndrom mehrere endokrine Adenome und systemische Mastozytose) angezeigt.
Dosierung für Prilosec
Empfohlenes Erwachsenendosis -Regime nach Indikation
Tabelle 1 zeigt die empfohlene Dosierung von Prilosec bei erwachsenen Patienten nach Indikation.
Tabelle 1: Empfohlenes Dosierungsregime von Prilosec bei Erwachsenen durch Indikation
| Anzeige | Dosierung of Prilosec | Behandlungsdauer |
| Behandlung von aktiven Zwölffingerdarmgeschwüren | 20 mg einmal täglich | 4 Wochen 1 |
| Helicobacter pylori Ausrottung zur Verringerung des Risikos für das Wiederauftreten von Ulkus -Ulkus | Dreifachtherapie Prilosec 20 mg Amoxicillin 1000 mg Clarithromycin 500 mg zweimal täglich alle drei Medikamente | 10 Tage Bei Patienten mit einem zum Zeitpunkt der Einleitung der Therapie vorhandenen Geschwüre wird Prilosec für weitere 18 Tage für weitere 18 Tage für die Heilung von Geschwüren und die Linderung der Symptome fortgesetzt. |
| Doppeltherapie Prilosec 40 mg einmal täglich Clarithromycin 500 mg dreimal täglich | 14 Tage Bei Patienten mit einem zum Zeitpunkt der Therapie vorhandenen Geschwüre werden weitere 14 Tage Prilosec 20 mg einmal täglich zur Heilung von Geschwüren und zur Linderung der Symptome empfohlen. | |
| Aktives gutartiges Magengeschwür | 40 mg einmal täglich | 4 bis 8 Wochen |
| Behandlung von symptomatischem GERD | 20 mg einmal täglich | Bis zu 4 Wochen |
| Behandlung von EE aufgrund säurerheizter GERD | 20 mg einmal täglich | 4 bis 8 Wochen 2 |
| Aufrechterhaltung der Heilung von EE aufgrund von Säure-vermittelter GERD | 20 mg einmal täglich 3 | Kontrollierte Studien erstrecken sich nicht über 12 Monate. |
| Pathologische hypersekretorische Bedingungen | Die Startdosis beträgt 60 mg einmal täglich; sich an die Bedürfnisse der Patienten einstellen Tägliche Dosierungen von mehr als 80 mg sollten in geteilten Dosen verabreicht werden. Dosierungs up to 120 mg three times daily have been administered. | Solange klinisch angezeigt. Einige Patienten mit Zollinger-Ellison-Syndrom werden seit mehr als 5 Jahren kontinuierlich behandelt. |
| 1 Die meisten Patienten heilen innerhalb von 4 Wochen; Einige Patienten benötigen möglicherweise weitere 4 Wochen Therapie, um Heilung zu erreichen 2 Die Wirksamkeit von Prilosec, die bei Patienten mit EE länger als 8 Wochen lang verwendet wird, wurde nicht festgestellt. Wenn ein Patient nicht auf 8 Wochen Behandlung reagiert, können weitere 4 Wochen Behandlung angegeben werden. Wenn es ein Wiederauftreten von EE- oder GERD -Symptomen (z. B. Sodbrennen) gibt, können zusätzliche 4 bis 8 -wöchige Kurse von Prilosec berücksichtigt werden. 3 Dosierung reduction to 10 mg once daily is recommended for patients with hepatic impairment (Child-Pugh Class A B or C) Und Asian patients when used for the maintenance of healing of EE [see Verwendung in bestimmten Populationen Und Klinische Pharmakologie ]. |
Empfohlene pädiatrische Dosierungsregime durch Angabe
Tabelle 2 zeigt die empfohlene Dosierung von Prilosec bei pädiatrischen Patienten durch Indikation.
Tabelle 2: Empfohlenes Dosierungsregime von Prilosec bei pädiatrischen Patienten durch Indikation
| Anzeige | Prilosec -Dosierungsregime und Dauer | ||
| Patientenalter | Gewichtsbasierte Dosis (MG) | Regime und Dauer | |
| Behandlung von symptomatischem GERD | 1 bis 16 Jahre | 5 bis weniger als 10 kg: 5 mg | Einmal täglich für bis zu 4 Wochen |
| 10 bis weniger als 20 kg: 10 mg | |||
| 20 kg und größer: 20 mg | |||
| Behandlung von EE aufgrund säurerheizter GERD | 1 bis 16 Jahre | 5 bis weniger als 10 kg: 5 mg | Einmal täglich für 4 bis 8 Wochen 1 |
| 10 bis weniger als 20 kg: 10 mg | |||
| 20 kg und größer: 20 mg | |||
| 1 Monat bis weniger als 1 Jahr | 3 bis weniger als 5 kg: 2,5 mg | Einmal täglich bis zu 6 Wochen | |
| 5 bis weniger als 10 kg: 5 mg | |||
| 10 kg und größer: 10 mg | |||
| Aufrechterhaltung der Heilung von EE aufgrund von Säure-vermittelter GERD | 1 bis 16 Jahre | 5 bis weniger als 10 kg: 5 mg | Einmal täglich. Kontrollierte Studien erstrecken sich nicht über 12 Monate |
| 10 bis weniger als 20 kg: 10 mg | |||
| 20 kg und größer: 20 mg | |||
| 1 Die Wirksamkeit von Prilosec, die bei Patienten mit EE länger als 8 Wochen lang verwendet wird, wurde nicht festgestellt. Wenn ein Patient nicht auf 8 Wochen Behandlung reagiert, können weitere 4 Wochen Behandlung angegeben werden. Wenn es ein Wiederauftreten von EE- oder GERD -Symptomen (z. B. Sodbrennen) gibt, können zusätzliche 4 bis 8 -wöchige Kurse von Prilosec berücksichtigt werden. |
Verwaltungsanweisungen
- Prilosec soll in Wasser hergestellt und oral oder über einen Nasogastrischen (NG) oder Magenrohr verabreicht werden.
- Nehmen Sie Prilosec vor den Mahlzeiten.
- Antazida können gleichzeitig mit Prilosec verwendet werden.
- Verpasste Dosen: Wenn eine Dosis so schnell wie möglich übersehen wird. Wenn jedoch die nächste geplante Dosis fällig ist, nehmen Sie die fehlende Dosis nicht und nehmen Sie die nächste Dosis pünktlich. Nehmen Sie keine zwei Dosen gleichzeitig, um eine verpasste Dose auszugleichen.
Orale Verabreichung in Wasser
- Entleeren Sie den Inhalt eines 2,5 -mg -Pakets in einen Behälter mit 5 ml Wasser.
- Entleeren Sie den Inhalt eines 10 mg Pakets in einen Behälter mit 15 ml Wasser.
- Aufsehen.
- 2 bis 3 Minuten zum Eindicken lassen.
- Rühren und trinken Sie innerhalb von 30 Minuten.
- Wenn ein Material nach dem Trinken bleibt, fügen Sie sofort mehr Wasser auf, und trinken Sie sofort.
Verabreichung mit Wasser über ein NG oder Magenrohr (Größe 6 oder größer)
- Fügen Sie 5 ml Wasser zu einer Spritze mit Katheterspitzen hinzu und fügen Sie dann den Inhalt eines 2,5 -mg -Pakets (oder 15 ml Wasser für das 10 mg Paket) hinzu. Es ist wichtig, nur eine Spritze mit Katheterspitzen zu verwenden, wenn sie durch ein Nasogastrikrohr oder ein Magenrohr verabreicht werden.
- Schütteln Sie sofort die Spritze und lassen Sie 2 bis 3 Minuten zum Eindicken.
- Die Spritze schütteln und innerhalb von 30 Minuten den Nasogastrikum oder den Magenrohr in den Magen injizieren.
- Füllen Sie die Spritze mit einer gleichen Menge Wasser nach.
- Schütteln und spülen Sie alle verbleibenden Inhalte aus dem Nasogastrik- oder Magenrohr in den Magen.
Wie geliefert
Dosierung Forms And Strengths
PRILOSEC für die orale Aufhängung mit verzögerter Freisetzung: 2,5 mg und 10 mg Omeprazol in Einheitsdosispaketen, das ein feines gelbes Pulver enthält, das aus weißem bis bräunlichen Omeprazol-Magnesiumgranulat und hellgelbe inaktiver Granulat besteht.
Lagerung und Handhabung
Prilosec (Omeprazol-Magnesium) Für die orale Aufhängung verzögerter Freisetzung 2,5 mg oder 10 mg Omeprazol wird als Einheit-Dosis-Paket mit einem feinen gelben Pulver geliefert, das aus weißen bis bräunlichen Omeprazol-Magnesiumgranulaten und hellgelben inaktiven Granula besteht. Prilosec -Einheitsdosispakete werden wie folgt geliefert:
NDC 70515-625 € 01-Einheiten-Dosis-Pakete von 30: 2,5 mg Pakete
NDC 70515-610 € 01-Einheiten-Dosis-Pakete von 30: 10 mg Pakete
Lagerung
Lagern Sie Prilosec für die orale Aufhängung verzögerter Freisetzung bei 25 ° C (77 ° F); Exkursionen, die auf 15 € € 30 € (59 € 86 ° F) zulässig sind. [Sehen USP -kontrollierte Raumtemperatur .]
Hergestellt für: Covis Pharma Zug 6300 Schweiz. Überarbeitet: März 2022
Nebenwirkungen for Prilosec
Die folgenden schwerwiegenden Nebenwirkungen werden nachstehend und anderswo bei der Kennzeichnung beschrieben:
- Akute Tubulointerstitial -Nephritis [siehe Warnungen und Vorsichtsmaßnahmen ]
- Clostridium difficile -Anterendurchfall [siehe Warnungen und Vorsichtsmaßnahmen ]
- Knochenbruch [siehe Warnungen und Vorsichtsmaßnahmen ]
- Schwere kutane Nebenwirkungen [siehe Warnungen und Vorsichtsmaßnahmen ]
- Haut- und systemischer Lupus erythematodes [siehe Warnungen und Vorsichtsmaßnahmen ]
- Cyanocobalamin (Vitamin B-12) -Mangel [siehe Warnungen und Vorsichtsmaßnahmen ]
- Hypomagnesiämie und Mineralstoffwechsel [siehe Warnungen und Vorsichtsmaßnahmen ]
- Polypen der Fundierungspolypen [siehe Warnungen und Vorsichtsmaßnahmen ]
Klinische Studien Erfahrung mit Prilosec
Monotherapie
Da klinische Studien unter sehr unterschiedlichen Bedingungen durchgeführt werden, die in den klinischen Studien eines Arzneimittels beobachtet werden, können in den klinischen Studien eines anderen Arzneimittels nicht direkt mit den Raten verglichen werden und spiegeln möglicherweise nicht die in der Praxis beobachteten Raten wider.
Die nachstehend beschriebenen Sicherheitsdaten spiegeln die Exposition gegenüber Omeprazol-Magnesium-Veröffentlichungskapseln bei 3096 Patienten aus weltweiten klinischen Studien (465 Patienten aus US-Studien und 2631 Patienten aus internationalen Studien) wider. In den US-Studien klinisch untersuchten Indikationen waren duodenale Ulkus-Ulkus-Ulkus-Ulkus-Ulkus-Ulkus-Syndrom. Die internationalen klinischen Studien waren doppelt blind und offen im Design. Die häufigsten Nebenwirkungen berichteten (d. H. Mit einer Inzidenzrate von ≥ 2%) von prilosec-behandelten Patienten, die in diese Studien aufgenommen wurden, umfassten Kopfschmerzen (7%) Bauchschmerzen (5%) Übelkeit (4%) Durchfall (4%) Erbrechen (3%) und Flatulenz (3%).
Zusätzliche Nebenwirkungen, die mit einer Inzidenz von ≥ 1%berichtet wurden, umfassten Säure -Regurgitation (2%) obere Atemwegsinfektion (2%) Verstopfung (2%) Schwindel (2%) Ausschlag (2%) Asthenie (1%) Rückenschmerzen (1%) und Husten (1%).
Das Sicherheitsprofil für klinische Studien bei Patienten über 65 Jahren war ähnlich wie bei Patienten im Alter von 65 Jahren oder weniger.
Das Sicherheitsprofil für klinische Studien bei pädiatrischen Patienten, die Omeprazol-Magnesium-Kapseln verzögerte Release-Kapseln erhielten, war denen bei erwachsenen Patienten ähnlich. Einzig <1 year age group the 1 to <2 year age group Und the 2 to 16 year age group (42% 75% Und 19% respectively). In addition otitis media was frequently reported in the 1 month to <1 year age group (22%) fever was frequently reported in the 1 to <2 year age group (33%) Und accidental injuries were frequently reported in the 2 to 16 year age group (4%) [see Verwendung in bestimmten Populationen ].
Klinische Studien Erfahrung mit Prilosec In Combination Therapy For H. Pylori Ausrottung
In klinischen Studien unter Verwendung einer Dual-Therapie mit Omeprazol-Magnesium-Kapseln verzögerte Release-Kapseln und Clarithromycin oder Triple-Therapie mit Omeprazol-Magnesium-Kapseln mit verzögerten Release-Kapseln Clarithromycin und Amoxicillin, die bei diesen Arzneimittelkombinationen einzigartige wesentliche Reaktionen, die einzigartige Arzneimittelkombinationen sind, wurden beobachtet. Die beobachteten unerwünschten Reaktionen beschränkten sich auf die zuvor gemeldeten Omeprazol -Clarithromycin oder Amoxicillin allein.
Doppeltherapie (Omeprazol-Magnesium-Veröffentlichungskapseln/clarithromycin)
Unerwünschte Reaktionen, die in kontrollierten klinischen Studien unter Verwendung einer Kombinationstherapie mit Capsuli von Omeprazol-Magnesium (n = 346) beobachtet wurden, unterschieden sich von denen, die zuvor für die Omeprazol-Magnesium-Magnesium-Veröffentlichungskapsuse von Omeprazol Magnesium (2%) Rhinitis allein beschrieben wurden (2%). (1%). (Weitere Informationen zu Clarithromycin finden Sie im Abschnitt Clarithromycin -Anformation.
Dreifachtherapie (Omeprazol-Magnesium-Veröffentlichungskapseln/clarithromycin/amoxicillin)
Die häufigsten unerwünschten Reaktionen, die in klinischen Studien unter Verwendung einer Kombinationstherapie mit Omeprazol-Magnesium-Kapseln clarithromycin und Amoxicillin (n = 274) beobachtet wurden, waren Durchfall (14%) Geschmacks Perversion (10%) und Kopfschmerzen (7%). Keine davon trat bei einer höheren Häufigkeit auf als von Patienten, die allein antimikrobielle Wirkstoffe einnahmen. (Weitere Informationen zu Clarithromycin oder Amoxicillin finden Sie in den jeweiligen Abschnitten der Verschreibungsinformationen.)
Nachmarkterfahrung
Die folgenden nachteiligen Reaktionen wurden während der Verwendung von Omeprazol nach der Annahme identifiziert. Da diese Reaktionen freiwillig aus einer Population unsicherer Größe berichtet werden, ist es nicht immer möglich, ihre tatsächliche Häufigkeit zuverlässig abzuschätzen oder ein kausales Verhältnis zur Arzneimittelexposition herzustellen.
Körper als Ganzes: Überempfindlichkeitsreaktionen, einschließlich Anaphylaxie anaphylaktischer Schock Angioödem Bronchospasmus interstitielle Nephritis Urticaria (siehe auch Haut unten); Fieber; Schmerz; Ermüdung; Unwohlsein; Systemischer Lupus erythematodes
Herz -Kreislauf: Brustschmerzen oder Angina Tachykardie Bradykardie Palpitationen erhöhter Blutdruck -peripheres Ödem
Endokrin: Gynäkomastie
Magen -Darm: Pankreatitis (einige tödlich) Anorexie Reizkala -Fäkalien -Verfärbungen der Speiseröhre Speiseröhre Candidiasis Schleimhautatrophie der Zungenstomatitis abdominale Schwellungen trockener mikroskopischer Kolitis -Fund -Drüsenpolypen von Mundkolitis.
Gastroduodenale Karzinoide wurden bei Patienten mit ZE-Syndrom bei der Langzeitbehandlung mit Omeprazol berichtet. Es wird angenommen, dass dieser Befund eine Manifestation der zugrunde liegenden Erkrankung ist, von der bekannt ist, dass sie mit solchen Tumoren verbunden ist.
Leber: Lebererkrankung, einschließlich Leberversagen (einige tödliche) Lebernekrose (einige tödliche) Leberdephalopathie -Lebererkrankungen Cholestatische Erkrankung gemischter Hepatitis Gelbsucht Und elevations of liver function tests [ALT AST GGT alkaline phosphatase Und bilirubin]
Infektionen und Befall: Clostridium difficile -Soziiertes Durchfall
Stoffwechsel und Ernährungsstörungen: Hypokalzämie -Hypokaliämie Hypomagnesiämie [Warnungen und Vorsichtsmaßnahmen 5.9] Hyponatriämie Hypoglykämie Gewichtszunahme
Muskuloskelett: Muskelschwäche Myalgie Muskelkrämpfe Gelenkschmerz Bein Schmerz Knochenbruch Fraktur
Nervensystem/psychiatrisch: Psychiatrische und Schlafstörungen einschließlich Depression Agitation Aggression Halluzinationen Verwirrung Schlaflosigkeit Nervosität Apathie Schläfrigkeit Angst und Traumanomalien; Zittern der Parästhesie; Schwindel
Atemweg: Epistaxis Pharyngeal Pain
Haut: Schwere verallgemeinerte Hautreaktionen, einschließlich toxischer SJs/zehn (einige tödliche) Kleider -Agep -Haut -Lupus erythematodes und Erythema multiforme; Lichtempfindlichkeit; Urtikaria; Ausschlag; Hautentzündung; Pruritus; Petechiae; Purpura; Alopezie; trockene Haut; Hyperhidrose
Besondere Sinne: Tinnitus schmeckt Perversion
Okular: Optische Atrophie anterior ischämische Optikus Neuropathie Optische Neuritis Trockene Augen Syndrom Augenreizung verschwommenes Sehvermögen Doppelte Sehvermögen
Urogenital: Interstitielle Nephritis Hämaturie Proteinurie erhöhte Serumkreatinin -mikroskopische Pyurie -Harnwegsinfektion Glycosuria Harnfrequenz Hodenschmerzen
Hämatologisch: Agranulozytose (einige tödliche) hämolytische Anämie Pancytopenie Neutropenie Anämie -Thrombozytopenie -Leukopenie -Leukozytose
Wechselwirkungen mit Arzneimitteln for Prilosec
Die Tabellen 3 und 4 umfassen Arzneimittel mit klinisch wichtigen Arzneimittelwechselwirkungen und Interaktion mit Diagnostik, wenn sie gleichzeitig mit Omeprazol und Anweisungen zur Verhinderung oder Verwaltung von Omeprazol verabreicht werden.
Konsultieren Sie die Kennzeichnung von gleichzeitig verwendeten Arzneimitteln, um weitere Informationen über Wechselwirkungen mit PPIs zu erhalten.
Tabelle 3: Klinisch relevante Wechselwirkungen, die Arzneimittel beeinflussen, die mit Omeprazol und Interaktion mit der Diagnostik zusammengefasst sind
| Antiretroviral | |
| Klinische Wirkung: | Die Wirkung von PPIs auf antiretrovirale Arzneimittel ist variabel. Die klinische Bedeutung und die Mechanismen hinter diesen Wechselwirkungen sind nicht immer bekannt.
|
| Intervention: | Rilpivirine-haltige Produkte: Die gleichzeitige Verwendung mit Prilosec ist kontraindiziert [siehe Kontraindikationen ]. Atazanavir: Vermeiden Sie die gleichzeitige Verwendung mit Prilosec. Die Verschreibungsinformationen für Atazanavir finden Sie in der Dosierungsinformationen. NetFavir: Vermeiden Sie die gleichzeitige Verwendung mit Prilosec. Siehe Verschreibungsinformationen für Nelfinavir. Saquinavir: Siehe die Verschreibungsinformationen für Saquinavir zur Überwachung potenzieller Saquinavir-verwandter Toxizitäten. Andere Antiretrovirale: Siehe Verschreibungsinformationen für spezifische antiretrovirale Arzneimittel. |
| Warfarin | |
| Klinische Wirkung: | Erhöhte INR- und Prothrombinzeit bei Patienten, die PPIs wie Omeprazol und Warfarin erhalten, gleichzeitig. Zunahme der INR- und Prothrombinzeit kann zu abnormalen Blutungen und sogar zu Tod führen. |
| Intervention: | Überwachen Sie die Zeit der INR und Prothrombin und passen Sie die Dosis von Warfarin bei Bedarf an, um die INR -Reichweite des Ziels aufrechtzuerhalten. |
| Methotrexat | |
| Klinische Wirkung: | Die gleichzeitige Verwendung von Omeprazol mit Methotrexat (hauptsächlich bei hoher Dosis) kann die Serumkonzentrationen von Methotrexat und/oder deren Metabolithydroxymethotrexat möglicherweise erhöhen und verlängern, die möglicherweise zu Methotrexat -Toxizitäten führen. Es wurden keine formalen Arzneimittelwechselwirkungsstudien mit hochdosiertem Methotrexat mit PPI durchgeführt [siehe Warnungen und Vorsichtsmaßnahmen ]. |
| Intervention: | Bei einigen Patienten, die ein hochdosiertes Methotrexat erhalten, kann ein vorübergehender Rückzug von Prilosec berücksichtigt werden. |
| CYP2C19 -Substrate (z. B. Clopidogrel Citalopram Cilostazol Phenytoin Diazepam) | |
| Clopidogrel | |
| Klinische Wirkung: | Die gleichzeitige Verwendung von Omeprazol 80 mg führt zu verringerten Plasmakonzentrationen des aktiven Metaboliten von Clopidogrel und zu einer Verringerung der Thrombozytenhemmung [siehe Klinische Pharmakologie ]. There are no adequate combination studies of a lower dose of omeprazole or a higher dose of clopidogrel in comparison with the approved dose of clopidogrel. |
| Intervention: | Vermeiden Sie die gleichzeitige Verwendung mit Prilosec. Erwägen Sie die Verwendung einer alternativen Therapie der Therapie zur Tatsache [siehe Warnungen und Vorsichtsmaßnahmen ]. |
| Citalopram | |
| Klinische Wirkung: | Erhöhte Exposition von Citalopram, was zu einem erhöhten Risiko für eine QT -Verlängerung führt [siehe Klinische Pharmakologie ]. |
| Intervention: | Beschränken Sie die Dosis von Citalopram auf maximal 20 mg pro Tag. Siehe Verschreibungsinformationen für Citalopram. |
| Cilostazol | |
| Klinische Wirkung: | Erhöhte Exposition eines der aktiven Metaboliten von Cilostazol (34-Dihydro-Cilostazol) [siehe Klinische Pharmakologie ]. |
| Intervention: | Reduzieren Sie die Dosis von Cilostazol zweimal täglich auf 50 mg. Siehe Verschreibungsinformationen für Cilostazol. |
| Phable | |
| Klinische Wirkung: | Potenzial für eine erhöhte Exposition von Phenytoin. |
| Intervention: | Überwachen Sie die Phenytoin -Serumkonzentrationen. Eine Dosisanpassung kann erforderlich sein, um die therapeutischen Arzneimittelkonzentrationen aufrechtzuerhalten. Siehe Verschreibungsinformationen für Phenytoin. |
| Diazepam | |
| Klinische Wirkung: | Erhöhte Exposition von Diazepam [siehe Klinische Pharmakologie ]. |
| Intervention: | Überwachen Sie die Patienten auf eine erhöhte Sedierung und verringern Sie die Dosis von Diazepam nach Bedarf. |
| Digoxin | |
| Klinische Wirkung: | Potenzial für eine erhöhte Exposition von Digoxin [siehe Klinische Pharmakologie ]. |
| Intervention: | Monitor Digoxin -Konzentrationen. Eine Dosisanpassung kann erforderlich sein, um die therapeutischen Arzneimittelkonzentrationen aufrechtzuerhalten. Siehe Informationen zur Verschreibung von Digoxin. |
| Medikamente, die vom Magen -pH für die Absorption abhängig sind (z. B. Eisensalze Erlotinib Dasatinib Nilotinib Mycophenolat Mofetil Ketoconazol/Itraconazol) | |
| Klinische Wirkung: | Omeprazol kann die Absorption anderer Arzneimittel aufgrund seiner Auswirkung auf die Reduzierung der intragastrischen Säure verringern. |
| Intervention: | Es wurde berichtet, dass Mycophenolat-Mofetil (MMF): Ko-Verabreichung von Omeprazol bei gesunden Probanden und bei Transplantationspatienten, die MMF erhielten, die Exposition gegenüber der aktiven Metaboliten-Mycophenolsäure (MPA) möglicherweise aufgrund einer Verringerung der MMF-Solubilitalität bei einem erhöhten pH-Wert von Magensäure (MPA) verringert. Die klinische Relevanz einer verringerten MPA -Exposition gegenüber Organabstoßung wurde bei Transplantationspatienten, die Prilosec und MMF erhielten, nicht festgestellt. Verwenden Sie Prilosec mit Vorsicht bei Transplantationspatienten, die MMF erhalten [siehe Klinische Pharmakologie ]. Siehe die Verschreibungsinformationen für andere Arzneimittel, die von der Absorption von Magen -pH -Wert abhängig sind. |
| Kombinationstherapie mit Clarithromycin und Amoxicillin | |
| Klinische Wirkung: | Eine gleichzeitige Verabreichung von Clarithromycin mit anderen Arzneimitteln kann zu schwerwiegenden Nebenwirkungen führen, einschließlich potenziell tödlicher Arrhythmien und kontraindiziert. Amoxicillin hat auch Arzneimittelwechselwirkungen. |
| Intervention: | Siehe Kontraindikationswarnungen und Vorsichtsmaßnahmen bei der Verschreibung von Informationen für Clarithromycin. Siehe Arzneimittelinteraktionen bei der Verschreibung von Informationen für Amoxicillin. |
| Tacrolimus | |
| Klinische Wirkung: | Potenzial für eine erhöhte Exposition von Tacrolimus, insbesondere bei Transplantationspatienten, die mittlere oder schlechte Metabolisierer von CYP2C19 sind. |
| Intervention: | Überwachen Sie Tacrolimus Vollblutkonzentrationen. Eine Dosisanpassung kann erforderlich sein, um die therapeutischen Arzneimittelkonzentrationen aufrechtzuerhalten. Siehe Verschreibungsinformationen für Tacrolimus. |
| Wechselwirkungen mit Untersuchungen von neuroendokrinen Tumoren | |
| Klinische Wirkung: | Die Serumchromogranin-A-Spiegel (CGA) steigen sekundär bis ppi-induzierter Abnahmen der Magensäure. Der erhöhte CGA -Spiegel kann zu falschen positiven Ergebnissen bei diagnostischen Untersuchungen für neuroendokrine Tumoren führen [siehe Warnungen und Vorsichtsmaßnahmen Klinische Pharmakologie ]. |
| Intervention: | Beenden Sie vorübergehend mindestens 14 Tage vor der Beurteilung der CGA -Spiegel die Prilosec -Behandlung und erwägen Sie, den Test zu wiederholen, wenn die anfänglichen CGA -Spiegel hoch sind. Wenn serielle Tests durchgeführt werden (z. B. zur Überwachung), sollte das gleiche kommerzielle Labor für die Tests verwendet werden, da die Referenzbereiche zwischen den Tests variieren können. |
| Wechselwirkung mit Secretin -Stimulationstest | |
| Klinische Wirkung: | Hyperantwort in der Gastrinsekretion als Reaktion auf Sekretinstimulationstest, die fälschlicherweise auf Gastrinom hinweisen. |
| Intervention: | Beenden Sie vorübergehend mindestens 14 Tage vor der Beurteilung der Prilosec -Behandlung, damit die Gastrinspiegel zur Ausgangswert zurückkehren können [siehe Klinische Pharmakologie ]. |
| Falsche positive Urintests für THC | |
| Klinische Wirkung: | Es gab Berichte über falsch positive Urin -Screening -Tests für Tetrahydrocannabinol (THC) bei Patienten, die PPI erhalten. |
| Intervention: | Eine alternative Bestätigungsmethode sollte berücksichtigt werden, um positive Ergebnisse zu überprüfen. |
| Andere | |
| Klinische Wirkung: | Es gab klinische Berichte über Wechselwirkungen mit anderen Arzneimitteln, die über das Cytochrom P450 -System (z. B. Cyclosporin -Disulfiram) metabolisiert wurden. |
| Intervention: | Überwachen Sie die Patienten, um festzustellen, ob es notwendig ist, die Dosierung dieser anderen Medikamente anzupassen, wenn sie gleichzeitig mit Prilosec eingenommen werden. |
Tabelle 4: Klinisch relevante Wechselwirkungen, die Omeprazol beeinflussen, wenn sie mit anderen Arzneimitteln gemeinsam verabreicht werden
| CYP2C19- oder CYP3A4 -Induktoren | |
| Klinische Wirkung: | Verringerte Exposition von Omeprazol, wenn sie gleichzeitig mit starken Induktoren verwendet wird [siehe Klinische Pharmakologie ]. |
| Intervention: | St. Johns Wort Rifampin: Vermeiden Sie die gleichzeitige Verwendung mit Prilosec [siehe Warnungen und Vorsichtsmaßnahmen ]. Ritonavir-containing products: see prescribing information for specific drugs. |
| CYP2C19- oder CYP3A4 -Inhibitoren | |
| Klinische Wirkung: | Erhöhte Exposition von Omeprazol [siehe Klinische Pharmakologie ]. |
| Intervention: | Voriconazol: Die Dosisanpassung von Prilosec ist normalerweise nicht erforderlich. Bei Patienten mit Zollinger-ELLISON-Syndrom, die möglicherweise höhere Dosisanpassungen erfordern, können jedoch berücksichtigt werden. Siehe Verschreibungsinformationen für Voriconazol. |
Warnungen für Prilosec
Eingeschlossen als Teil der VORSICHTSMASSNAHMEN Abschnitt.
Vorsichtsmaßnahmen für Prilosec
Vorhandensein von Malignität des Magens
Bei Erwachsenen schließt eine symptomatische Reaktion auf die Therapie mit Prilosec das Vorhandensein einer Magen -Malignität nicht aus. Betrachten Sie zusätzliche Follow-up- und diagnostische Tests bei erwachsenen Patienten, die nach Abschluss der Behandlung mit einem PPI eine suboptimale Reaktion oder einen frühen symptomatischen Rückfall haben. Bei älteren Patienten berücksichtigen auch eine Endoskopie.
Akute Tubulointerstitielle Nephritis
Bei Patienten, die PPIs einnehmen, wurde akute Tubulointerstitial -Nephritis (Zinn) beobachtet und kann an jedem Punkt während der PPI -Therapie auftreten. Patienten können unterschiedliche Anzeichen und Symptome von symptomatischen Überempfindlichkeitsreaktionen über unspezifische Symptome einer verminderten Nierenfunktion (z. B. Übelkeit Anorexie) aufweisen. In den gemeldeten Fallreihen wurden einige Patienten in der Biopsie und in Abwesenheit extra-renaler Manifestationen (z. B. Fieberausschlag oder Arthralgie) diagnostiziert. Prilosec einstellen und Patienten mit Verdacht auf akuter Dose bewerten [siehe Kontraindikationen ].
Clostridium difficile-assoziiertes Durchfall
Veröffentlichte Beobachtungsstudien legen nahe, dass eine PPI -Therapie wie Prilosec mit einem erhöhten Risiko von verbunden sein kann Clostridium difficile -Soziiertes Durchfall especially in hospitalized patients. This diagnosis should be considered for Durchfall that does not improve [see Nebenwirkungen ].
Die Patienten sollten die niedrigste Dosis und die kürzeste Dauer der PPI -Therapie verwenden, die der zu behandelten Erkrankung entspricht. Clostridium difficile -Soziiertes Durchfall (CDAD) has been reported with use of nearly all antibacterial agents. For more information specific to antibacterial agents (clarithromycin Und amoxicillin) indicated for use in combination with Prilosec refer to Warnings Und Precautions sections of the corresponding prescribing information.
Knochenbruch
Mehrere veröffentlichte Beobachtungsstudien legen nahe, dass die Protonenpumpeninhibitor (PPI) -Therapie mit einem erhöhten Risiko für Osteoporose-bezogene Frakturen des Hüftgelenks oder der Wirbelsäule verbunden sein kann. Das Frakturrisiko war bei Patienten erhöht, die hochdosiert als mehrere tägliche Dosen und eine langfristige PPI-Therapie (ein Jahr oder länger) definiert wurden. Die Patienten sollten die niedrigste Dosis und die kürzeste Dauer der PPI -Therapie verwenden, die der zu behandelten Erkrankung entspricht. Patienten mit dem Risiko für Osteoporose-Frakturen sollten gemäß den festgelegten Behandlungsrichtlinien behandelt werden [siehe Dosierung und Verwaltung Nebenwirkungen ].
Schwere kutane Nebenwirkungen
Schwere kutane unerwünschte Reaktionen, einschließlich Stevens-Johnson-Syndrom (SJS) und toxischer epidermaler Nekrolyse (zehn) Arzneimittelreaktion mit Eosinophilie und systemischen Symptomen (Kleid) und akuter verallgemeinerter Exanthematuspustulose (AGEP) in Zusammenhang mit der Verwendung von PPIs [siehe PPIs [siehe [siehe PPI) [siehe [siehe PPI) [siehe [siehe PPI) [siehe [siehe PLI) [siehe [siehe PLI) [siehe [siehe [siehe PPI) [siehe [siehe [siehe PPI)) [siehe PLI) [siehe [siehe [siehe PPI) [siehe [siehe [siehe [siehe PLI)) [siehe PLIs) [siehe [siehe PLI) [siehe [siehe [siehe [siehe [siehe) [siehe [siehe [siehe [siehe). Nebenwirkungen ]. Discontinue Prilosec at the first signs or symptoms of severe cutaneous adverse reactions or other signs of hypersensitivity Und consider further evaluation.
Haut- und systemischer Lupus erythematodes
Der kutane Lupus erythematosus (CLE) und systemischer Lupus erythematodes (SLE) wurden bei Patienten berichtet, die PPIs einschließlich Omeprazol einnehmen. Diese Ereignisse sind sowohl als neuer Beginn als auch als Verschlimmerung der vorhandenen Autoimmunerkrankungen aufgetreten. Die Mehrheit der PPI-induzierten Lupus erythematodes Fälle war CLE.
Die häufigste Form von CLE, die bei mit PPIs behandelten Patienten berichtet wurde, war subakutes CLE (SCLE) und trat innerhalb von Wochen bis Jahren nach einer kontinuierlichen medikamentösen Therapie bei Patienten von Säuglingen bis hin zu älteren Menschen auf. Im Allgemeinen wurden histologische Befunde ohne Organbeteiligung beobachtet.
Der systemische Lupus erythematodes (SLE) wird bei Patienten, die PPI erhalten, weniger häufig als CLE gemeldet. PPI-assoziiertes SLE ist normalerweise milder als nicht ausgelöster induzierter SLE. Der Beginn der SLE trat typischerweise innerhalb von Tagen bis Jahren nach der Einleitung einer Behandlung vor, hauptsächlich bei Patienten, die von jungen Erwachsenen bis hin zu älteren Menschen reichen. Die Mehrheit der Patienten hatte Ausschlag; Allerdings wurden auch Arthralgie und Zytopenie berichtet.
Vermeiden Sie die Verabreichung von PPIs länger als medizinisch angegeben. Wenn Anzeichen oder Symptome, die mit CLE oder SLE übereinstimmen, bei Patienten, die Prilosec erhalten, festgestellt werden, stellen das Medikament ein und verweisen den Patienten zur Bewertung an den entsprechenden Spezialisten. Die meisten Patienten verbessern sich durch Absetzen des PPI allein in 4 bis 12 Wochen. Die serologischen Tests (z. B. ANA) können positive und erhöhte serologische Testergebnisse sein, die länger dauern können, als klinische Manifestationen.
Wechselwirkung mit Clopidogrel
Vermeiden Sie die gleichzeitige Verwendung von Prilosec mit Clopidogrel. Clopidogrel ist ein Prodrug. Die Hemmung der Thrombozytenaggregation durch Clopidogrel ist vollständig auf einen aktiven Metaboliten zurückzuführen. Der Stoffwechsel von Clopidogrel zu seinem aktiven Metaboliten kann durch Verwendung mit gleichzeitigen Medikamenten wie Omeprazol beeinträchtigt werden, die die CYP2C19 -Aktivität hemmen. Die gleichzeitige Verwendung von Clopidogrel mit 80 mg Omeprazol verringert die pharmakologische Aktivität von Clopidogrel, selbst wenn sie 12 Stunden voneinander entfernt verabreicht werden.
Bei der Verwendung von Prilosec in Betracht ziehen Wechselwirkungen mit Arzneimitteln Und Klinische Pharmakologie ].
Cyanocobalamin (Vitamin B-12) -Mangel
Die tägliche Behandlung mit säureunterdrückenden Medikamenten über einen langen Zeitraum (z. B. länger als 3 Jahre) kann zu einer Malabsorption von Cyanocobalamin (Vitamin B-12) führen, die durch Hypo- oder Achlorhydria verursacht werden. In der Literatur wurden seltene Berichte über Cyanocobalamin-Mangel mit Säure-Suppressing-Therapie berichtet. Diese Diagnose sollte berücksichtigt werden, wenn bei Patienten, die mit Prilosec behandelt wurden, klinische Symptome im Einklang mit Cyanocobalamin -Mangel beobachtet werden.
Hypomagnesiämie und Mineralstoffwechsel
Hypomagneämie symptomatisch und asymptomatisch wurde bei Patienten, die in den meisten Fällen nach einem Jahr der Therapie mindestens drei Monate lang mit PPIs behandelt wurden, selten berichtet. Zu den schwerwiegenden unerwünschten Ereignissen zählen Tetany -Arrhythmien und Anfälle. Hypomagneämie kann zu Hypokalzämie und/oder Hypokaliämie führen und die zugrunde liegende Hypokalzämie bei gefährdeten Patienten verschlimmern. Bei den meisten Patienten erforderte die Behandlung der Hypomagneämie Magnesiumersatz und Abnahme des PPI.
Für Patienten, die erwartet werden, die voraussichtlich eine längere Behandlung haben oder die PPIs mit Medikamenten wie Digoxin oder Medikamenten einnehmen, die eine Hypomagnesiämie (z. B. Diuretika) medizinische Fachkräfte verursachen können Nebenwirkungen ].
Überwachen Sie die Überwachung der Magnesium- und Calciumspiegel vor Beginn von Prilosec und regelmäßig bei der Behandlung bei Patienten mit einem bereits bestehenden Risiko einer Hypokalzämie (z. B. Hypoparathyreose). Ergänzung mit Magnesium und/oder Kalzium nach Bedarf. Wenn eine Hypokalzämie refraktär zu behandeln ist, sollten Sie den PPI absetzen.
Interaktion mit St. Johns Würze oder Rifampin
Medikamente, die CYP2C19 oder CYP3A4 (wie der heilige John oder Rifampin) induzieren, können die Konzentrationen von Omeprazol erheblich verringern [siehe Wechselwirkungen mit Arzneimitteln ]. Avoid concomitant use of Prilosec with St. John’s Wort or rifampin.
Wechselwirkungen mit diagnostischen Untersuchungen für neuroendokrine Tumoren
Die Serumchromogranin-A-Spiegel (CGA) erhöhen sekundäre bis medikamenteninduzierte Abnahmen der Magensäure. Der erhöhte CGA -Spiegel kann zu falschen positiven Ergebnissen bei diagnostischen Untersuchungen für neuroendokrine Tumoren führen. Gesundheitsdienstleister sollten mindestens 14 Tage vor der Beurteilung der CGA -Spiegel vorübergehend die Prilosec -Behandlung einstellen und in Betracht ziehen, den Test zu wiederholen, wenn die anfänglichen CGA -Spiegel hoch sind. Wenn serielle Tests durchgeführt werden (z. B. zur Überwachung), sollte das gleiche kommerzielle Labor zum Testen verwendet werden, da die Referenzbereiche zwischen den Tests variieren können [siehe Wechselwirkungen mit Arzneimitteln ].
Wechselwirkung mit Methotrexat
Die Literatur legt nahe, dass eine gleichzeitige Verwendung von PPIs mit Methotrexat (hauptsächlich bei hoher Dosis) die Serumspiegel von Methotrexat und/oder deren Metaboliten erhöhen und möglicherweise zu Methotrexat -Toxizitäten führt. Bei einer hochdosierten Methotrexatverabreichung kann bei einigen Patienten ein vorübergehender Entzug des PPI in Betracht gezogen werden [siehe Wechselwirkungen mit Arzneimitteln ].
Fondsdrüsenpolps
Die Verwendung von PPI ist mit einem erhöhten Risiko für Fundaldrüsenpolypen verbunden, die mit der langfristigen Verwendung insbesondere über ein Jahr zunehmen. Die meisten PPI -Benutzer, die Fundic Drüsenpolypen entwickelten, waren asymptomatische und Fundic Drüsenpolypen wurden früher in der Endoskopie identifiziert. Verwenden Sie die kürzeste Dauer der PPI -Therapie, die der Behandlung der Erkrankung entspricht.
Patientenberatungsinformationen
Raten Sie dem Patienten, die von der FDA zugelassene Patientenkennzeichnung zu lesen ( Medikamentenhandbuch Und Anweisungen zur Verwendung ).
Akute Tubulointerstitielle Nephritis
Beraten Sie den Patienten oder die Pflegekraft, den Gesundheitsdienstleister des Patienten sofort anzurufen, wenn er Anzeichen und/oder Symptome im Zusammenhang mit akuter Tubulointerstitial -Nephritis aufweist [siehe Warnungen und Vorsichtsmaßnahmen ].
Clostridium difficile-Associated Diarrhea
Beraten Sie den Patienten oder die Pflegekraft, den Gesundheitsdienstleister des Patienten sofort anzurufen, wenn er Durchfall aufweist, das sich nicht verbessert [siehe Warnungen und Vorsichtsmaßnahmen ].
Knochenbruch
Beraten Sie den Patienten oder die Pflegekraft, Frakturen insbesondere des Hüftgelenks oder der Wirbelsäule dem Gesundheitsdienstleister des Patienten zu melden [siehe Warnungen und Vorsichtsmaßnahmen ].
Schwere kutane Nebenwirkungen
Beraten Sie den Patienten oder die Pflegekraft, ihren Gesundheitsdienstleister Anzeichen und Symptome von Narben zur weiteren Bewertung zu melden [siehe Warnungen und Vorsichtsmaßnahmen ].
Haut- und systemischer Lupus erythematodes
Beraten Sie den Patienten oder die Pflegekraft, den Gesundheitsdienstleister des Patienten sofort für neue oder verschlechterte Symptome im Zusammenhang mit dem kutanen oder systemischen Lupus erythematodes anzurufen [siehe Warnungen und Vorsichtsmaßnahmen ]
Cyanocobalamin (Vitamin B-12) -Mangel
Beraten Sie den Patienten oder die Pflegekraft, klinische Symptome zu melden, die mit dem Mangel an Cyanocobalamin -Mangel an den Gesundheitsdienstleister des Patienten verbunden sein können, wenn er seit länger als 3 Jahren Prilosec erhält [siehe Warnungen und Vorsichtsmaßnahmen ].
Hypomagnesiämie und Mineralstoffwechsel
Beraten Sie den Patienten oder die Pflegekraft, klinische Symptome zu melden, die mit Hypokalzämie -Hypokalämie und Hyponatriämie mit Hypomagnesiämie in Verbindung gebracht werden können Warnungen und Vorsichtsmaßnahmen ].
Wechselwirkungen mit Arzneimitteln
Beraten Sie die Patienten, ihrem Gesundheitsdienstleister zu melden, wenn sie mit der Behandlung mit rilpivirinhaltigen Produkten Clopidogrel St. Johns Würze oder Rifampin beginnen; oder wenn sie hochdosiertes Methotrexat einnehmen [siehe Kontraindikationen Warnungen und Vorsichtsmaßnahmen ].
Verwaltung
- Prilosec is intended to be prepared in water Und administered orally or via a nasoGastric (NG) or Gastric tube as described in the Medikamentenhandbuch.
- Nehmen Sie Prilosec vor den Mahlzeiten.
- Antazida können gleichzeitig mit Prilosec verwendet werden.
- Verpasste Dosen: Wenn eine Dosis so schnell wie möglich übersehen wird. Wenn jedoch die nächste geplante Dosis fällig ist, nehmen Sie die fehlende Dosis nicht und nehmen Sie die nächste Dosis pünktlich. Nehmen Sie keine zwei Dosen gleichzeitig, um eine verpasste Dosis auszugleichen.
Nichtklinische Toxikologie
Karzinogenese -Mutagenese -Beeinträchtigung der Fruchtbarkeit
In zwei 24-Monats-Karzinogenitätsstudien an Ratten Omeprazol bei täglichen Dosen von 1,7 3,4 13,8 44,0 und 140,8 mg/kg/Tag (ca. 0,4 bis 34-mal eine menschliche Dosis von 40 mg/Tag, die auf einer Körperoberfläche ausgedrückt wurde) erzeugte Magenkarzinoide in einem Körperoberflächen, in einem Körperoberflächen, in einer Dosis-Runden-Ratte, in deren Dosis-Related-Roge und bei aga-Ratten-Ratten, in deren Dosis, in den männlichen und bei männlichen Ratten, und bei agarischen Ratten. Die Inzidenz dieses Effekts war bei weiblichen Ratten, die einen höheren Blutspiegel an Omeprazol hatten, deutlich höher. Magenkarzinoide treten in der unbehandelten Ratte selten auf. Zusätzlich war ECL -Zellhyperplasie in allen behandelten Gruppen beider Geschlechter vorhanden. In einer dieser Studien wurden weibliche Ratten mit 13,8 mg Omeprazol/kg/Tag (ca. 3,4 -fach eine menschliche Dosis von 40 mg/Tag basierend auf der Körperfläche) für ein Jahr behandelt und dann ein zusätzliches Jahr ohne Medikament gefolgt. Bei diesen Ratten wurden keine Karzinoide beobachtet. Am Ende eines Jahres wurde eine erhöhte Inzidenz der Behandlung mit behandlungsbedingter ECL-Zellhyperplasie beobachtet (94% behandelt gegenüber 10% Kontrollpersonen). Im zweiten Jahr war der Unterschied zwischen behandelten und Kontrollratten viel geringer (46% gegenüber 26%), zeigte jedoch immer noch mehr Hyperplasie in der behandelten Gruppe. Magen -Adenokarzinom wurde bei einer Ratte (2%) beobachtet. Bei männlichen oder weiblichen Ratten, die zwei Jahre lang behandelt wurden, wurde kein ähnlicher Tumor beobachtet. Für diesen Rattenstamm wurde in der Vergangenheit kein ähnlicher Tumor festgestellt, aber ein Befund, an dem nur ein Tumor beteiligt ist, ist schwer zu interpretieren. In einer 52-wöchigen Toxizitätsstudie in Sprague-Dawley-Ratten wurden Brain-Astrozytome bei einer geringen Anzahl von Männern gefunden, die Omeprazol in Dosis von 0,4 2 und 16 mg/kg/Tag (etwa 0,1 bis 3,9-fache der menschlichen Dosis von 40 mg/Tag basierend auf der Basis der Körperfläche) erhielten. In dieser Studie wurden bei weiblichen Ratten keine Astrozytome beobachtet. In einer 2-Jahres-Karzinogenitätsstudie bei Sprague-Dawley-Ratten wurden bei Männern oder Frauen bei einer hohen Dosis von 140,8 mg/kg/Tag keine Astrozytome gefunden (etwa das 34-fache der menschlichen Dosis von 40 mg/Tag auf einer Körperoberfläche). Eine 78-wöchige Mauskarzinogenitätsstudie mit Omeprazol zeigte kein erhöhtes Tumoraufkommen, aber die Studie war nicht schlüssig. Eine 26-wöchige p53 ( /-) transgene Mauskarzinogenitätsstudie war nicht positiv.
Omeprazol war positiv auf klastogene Wirkungen in einem in vitro humanen Lymphozyten -Chromosomal -Aberrationstest in einem von zwei In -vivo -Maus -Mikronukleus -Tests und in einem in vivo -Knochenmarkzellenchromosomal -Aberrationstest. Omeprazol war im In -vitro -Ames -Test ein In -vitro -Maus -Lymphomzell -Vorwärtsmutationsassay und einen In -vivo -Ratten -Leber -DNA -Schadensassay.
Es wurde festgestellt, dass Omeprazol bei oralen Dosen von bis zu 138 mg/kg/Tag bei Ratten (etwa 34 -mal eine orale menschliche Dosis von 40 mg auf Körperoberfläche) keinen Einfluss auf die Fruchtbarkeit und die Fortpflanzungsleistung hat.
In 24-Monats-Karzinogenitätsstudien an Ratten wurde sowohl bei männlichen als auch bei weiblichen Tieren ein dosisbedingter signifikanter Anstieg der Magenkarzinoid-Tumoren und die ECL-Zellhyperplasie beobachtet [siehe Warnungen und Vorsichtsmaßnahmen ]. Carcinoid tumors have also been observed in rats subjected to fundectomy or long-term treatment with other proton pump inhibitors or high doses of H2-receptor antagonists.
Verwendung in bestimmten Populationen
Schwangerschaft
Risikozusammenfassung
Es gibt keine angemessenen und gut kontrollierten Studien mit Omeprazol bei schwangeren Frauen. Die verfügbaren epidemiologischen Daten zeigen nicht ein erhöhtes Risiko für wichtige angeborene Fehlbildungen oder andere nachteilige Schwangerschaftsergebnisse bei der Verwendung von Omeprazol im ersten Trimester. Fortpflanzungsstudien an Ratten und Kaninchen führten zu einer dosisabhängigen Embryo-Letalität bei Omeprazol-Dosen, die ungefähr 3,4 bis 34-mal eine orale menschliche Dosis von 40 mg (basierend auf einer Körperoberfläche für eine 60-kg-Person) bestand.
Die Teratogenität wurde in tierischen Fortpflanzungsstudien mit oraler Esomprazol (einem Enantiomer von Omeprazol) bei Ratten und Kaninchen während der Organogenese mit Dosen etwa 68 -mal bzw. 42 -mal und einer oralen Dosis von 40 kg -Person) nicht beobachtet, die orale Esomeprazol (ein Enantiomer von Omeprazol) verabreicht haben.
Veränderungen der Knochenmorphologie wurden bei Nachkommen von Ratten beobachtet, die durch die meiste Schwangerschaft und die Laktation in Dosen gleich als das ungefähr 34 -fache einer oralen menschlichen Dosis von 40 mg Esomprazol oder 40 mg Omeprazol dosiert wurden. Wenn die Verabreichung von Müttern auf die Schwangerschaft beschränkt war Daten ].
Die geschätzten Hintergrundrisiken von schweren Geburtsfehlern und Fehlgeburt für die angegebene Bevölkerung sind unbekannt. Alle Schwangerschaften haben ein Hintergrundrisiko für einen Verlust von Geburtsfehlern oder andere nachteilige Ergebnisse. In der US -allgemeinen Bevölkerung beträgt das geschätzte Hintergrundrisiko für größere Geburtsfehler und eine Fehlgeburt bei klinisch anerkannten Schwangerschaften 2% bis 4% bzw. 15% bis 20%.
Daten
Menschliche Daten
In vier veröffentlichten epidemiologischen Studien verglichen die Häufigkeit angeborener Anomalien bei Säuglingen, die bei Frauen geboren wurden, die während der Schwangerschaft Omeprazol verwendeten, mit der Häufigkeit von Anomalien bei Säuglingen von Frauen, die H2-Rezeptor-Antagonisten oder anderen Kontrollen ausgesetzt waren.
Eine bevölkerungsbasierte retrospektive Kohorte-epidemiologische Studie aus dem schwedischen medizinischen Geburtsregister, das von 1995 bis 99 rund 99% der Schwangerschaften über 955 Säuglinge (824 im ersten Trimester exponiert wurde, mit 39 von diesen ausgesetzt über das erste Trimester ausgesetzt) und 131 nach dem ersten Trimester), dessen Mütter während der Schwangerschaft OMPRAZOL verwendet wurden. Die Anzahl der in der Utero ausgesetztes Säuglingen, die Omeprazol ausgesetzt waren und ein niedriges Geburtsgewicht mit niedrigem Geburtsgewicht oder Krankenhausaufenthalt aufwies, war der Anzahl der in dieser Bevölkerung beobachteten Zahl ähnlich. Die Anzahl der Säuglinge, die mit ventrikulären Septumfehlern geboren wurden, und die Anzahl der totgeborenen Säuglinge war bei den Omeprazol-exponierten Säuglingen etwas höher als die erwartete Anzahl in dieser Bevölkerung.
Eine bevölkerungsbasierte retrospektive Kohortenstudie für alle Lebendgeburten in Dänemark von 1996 bis 2009 berichtete über 1800 Lebendgeburten, deren Mütter während des ersten Schwangerschaftstrimesters Omeprazol und 837317 Lebendgeburten verwendeten, deren Mütter keinen Protonenpumpeninhibitor verwendeten. Die Gesamtgeburtsfehler bei Säuglingen, die von Müttern mit Omeprazol -Exposition im ersten Trimester geboren wurden, betrug 2,9% und 2,6% bei Säuglingen, die während des ersten Trimesters von Müttern geboren wurden, die keiner Protonenpumpeninhibitor ausgesetzt waren.
Eine retrospektive Kohortenstudie berichtete über 689 schwangere Frauen, die im ersten Trimester entweder H2-Blocker oder Omeprazol ausgesetzt waren (NULL, die Omeprazol ausgesetzt waren) und 1572 schwangere Frauen, die sich im ersten Trimester von beiden nicht entzünden. Die allgemeine Missbildungsrate bei Nachkommen, die von Müttern geboren wurden, mit Omeprazol-Exposition von Omeprazol, einem H2-Blocker oder nicht exponiert, betrug 3,6% 5,5% bzw. 4,1%.
Eine kleine prospektive Beobachtungskohortenstudie folgte 113 Frauen, die während der Schwangerschaft Omeprazol ausgesetzt waren (89% mit Expositionen im ersten Trimester). Die gemeldete Rate der wichtigsten angeborenen Missbildungen betrug 4% in der Omeprazolgruppe 2% bei Kontrollpersonen, die nichtteratogenen und 2,8% bei krankheitsgepaarten Kontrollen ausgesetzt waren. Die Raten der spontanen und elektiven Abtreibungen Frühgeborenen des Schwangerschaftsalters bei der Entbindung und dem mittleren Geburtsgewicht waren bei den Gruppen ähnlich.
In mehreren Studien wurden keine offensichtlichen nachteiligen kurzfristigen Auswirkungen auf das Kind berichtet, wenn mehr Dosis orale oder intravenöse Omeprazol über 200 schwangere Frauen als Prämedizierung für den Kaiserschnitt unter Vollnarkose verabreicht wurde.
Tierdaten
Omeprazol
Fortpflanzungsstudien mit Omeprazol bei Ratten bei oralen Dosen von bis zu 138 mg/kg/Tag (etwa 34 -mal eine orale menschliche Dosis von 40 mg auf Körperoberfläche) und bei Kaninchen bei Dosen bis zu 69,1 Mg/kg/Tag (etwa 34 -fache einer oralen menschlichen Dosis von 40 mg) während der Organogenese (etwa 34 -fache einer oralen menschlichen Dosis von 40 mg) während eines Körperflächenbasis auf einer Körperoberfläche) während der Organogenese wurden auf der Organogenese keine orale menschliche Dosis auf einer Körperfläche auf einer Körperfläche auf einer Körperfläche auf der Organogene auf der Organogene entweist. Omeprazol. Bei Kaninchen erzeugte Omeprazol in einem Dosisbereich von 6,9 bis 69,1 mg/kg/Tag (ca. 3,4 bis 34-mal eine orale menschliche Dosis von 40 mg auf Körperoberfläche), die während der Organogenese verabreicht wurde, dosisbedingte Erhöhungen der fetalen Resorptionen und Schwangerschaftsstörungen. Bei Ratten wurden dosisbedingte Embryo-/fetale Toxizität und postnatale Entwicklungstoxizität bei Nachkommen beobachtet, die von Eltern resultiert, die mit Omeprazol mit 13,8 bis 138,0 mg/kg/Tag (etwa 3,4 bis 34-mal eine orale menschliche Dosierung von 40 mg) auf einer Basisbasis von 40 mg (etwa 3,4 bis 34) behandelt wurden) resultierte.
Esomeprazol
Die nachstehend beschriebenen Daten wurden aus Studien unter Verwendung von Esomeprazol, einem Enantiomer von Omeprazol, generiert. Das multiples Dosis von Tieren zu menschlich basiert auf der Annahme einer gleichmäßigen systemischen Exposition gegenüber Esomeprazol beim Menschen nach oraler Verabreichung von entweder 40 mg Esomeprazol oder 40 mg Omeprazol.
In Fortpflanzungsstudien mit Esomeprazol-Magnesium bei Ratten bei oralen Dosen von bis zu 280 mg/kg/Tag (etwa 68-mal eine orale menschliche Dosis von 40 mg auf einer Körperoberfläche) oder bei Rabbits bei oraler Dosen bis zu 40 mg/kg/Tag (etwa 42 Mal 42 mal, 42 Mal 42 Mal 42 Mal 42 Mal und 42 Mal 42 Mal und 42 Mal 42 Mal und 42 Mal und 42 Mal 42 mal 42 Mal und 42 Mal 42 Mal (42 mal 42 Mal) (etwa 42 Mal (42 Mal) oder 42 mal 42 Mal und 42 Mal 42 Mal (42 Mal), Eine Körperoberfläche, die während der Organogenese verabreicht wird.
Eine vor- und postnatale Entwicklungstoxizitätsstudie an Ratten mit zusätzlichen Endpunkten zur Bewertung der Knochenentwicklung wurde mit Esomeprazol Magnesium in oralen Dosen von 14 bis 280 mg/kg/Tag durchgeführt (ca. 3,4 bis 68-mal eine orale menschliche Dosis von 40 mg Esomprazol oder 40 mg Omeprazol auf einer Basis der Körperfläche). Das Überleben der Neugeborenen/frühen postnatalen (Geburt des Entwöhnungsabsatzes) war bei Dosen, die gleich oder mehr als 138 mg/kg/Tag entspricht (etwa 34 -mal eine orale menschliche Dosis von 40 mg Esomeprazol oder 40 mg Omeprazol auf einer Basis der Körperoberfläche). Körpergewicht und Körpergewichtszunahme wurden verringert und neurobehaviorale oder allgemeine Entwicklungsverzögerungen im unmittelbaren Nachablaufzeitraum waren in Dosen, die gleich oder mehr als 69 mg/kg/Tag (etwa 17-fache einer oralen menschlichen Dosis von 40 mg Esomprazol oder 40 mg Omeprazol auf einer Körperfläche von 40 mg). Zusätzlich verringerte die Breite der Femurlänge und die Dicke des kortikalen Knochens verringerte die Dicke der Tibia -Wachstumsplatte und minimale bis milde Knochenmarkhypozellularität wurden in Dosen festgestellt, die gleich oder mehr als 14 mg/kg/Tag (etwa 3,4 -mal eine orale menschliche Dosis von 40 mg Esomprazol oder 40 mg OMPRAZOL auf einer Körperfläche von 40 mg). Physeale Dysplasie im Femur wurde bei Nachkommen von Ratten beobachtet, die mit oralen Dosen von Esomeprazol -Magnesium in Dosen gleich oder mehr als 138 mg/kg/Tag behandelt wurden (etwa 34 -mal eine orale menschliche Dosis von 40 mg Esomprazol oder 40 mg Omeprazol auf einer Basis der Körperfläche).
Die Auswirkungen auf den mütterlichen Knochen wurden bei schwangeren und laktierenden Ratten in der vor- und postnatalen Toxizitätsstudie beobachtet, als Esomeprazol-Magnesium in oralen Dosen von 14 bis 280 mg/kg/Tag verabreicht wurde (etwa 3,4 bis 68-fache einer oralen menschlichen Dosis von 40 mg Eomeprazol oder 40 mg OMeprazol auf einem Körperbereich). Wenn Ratten vom Schwangerschaftstag 7 durch Absetzen am postnatalen Tag 21 dosierten, wurde eine statistisch signifikante Abnahme des Gewichts von Müttern von bis zu 14% (im Vergleich zur Placebo -Behandlung) bei Dosen, die gleich oder mehr als 138 mg/kg/Tag (etwa 34 mal 34 mal eine orale menschliche Dosis von 40 mg Esomprazol oder 40 mg, oder 40 mg, oder 40 mg, oder 40 mg oder 40 mg -Basis) beobachtet.
Eine vor- und postnatale Entwicklungsstudie an Ratten mit Esomeprazolstrontium (unter Verwendung von äquimolaren Dosen im Vergleich zur Esomprazol-Magnesiumstudie) führte zu ähnlichen Ergebnissen in Dämmen und Puppen wie oben beschrieben.
Eine Follow -up -Entwicklungs -Toxizitätsstudie an Ratten mit weiteren Zeitpunkten zur Bewertung von PUP -Knochenentwicklung von postnataler Tag 2 bis Erwachsenenalter wurde mit Esomeprazol Magnesium bei oralen Dosen von 280 mg/kg/Tag durchgeführt (ungefähr 68 -mal, bei der eine orale menschliche Dosis von 40 mg an der Verabreichung von Boda -Fläche war, bis zum Tag der Teilung von der Teilung von der Teilung. Wenn die Mütterverwaltung auf die Schwangerschaft beschränkt war, gab es in jedem Alter keine Auswirkungen auf die Knochen physikalische Morphologie in den Nachkommen.
Stillzeit
Risikozusammenfassung
Begrenzte Daten legen nahe, dass Omeprazol in der Muttermilch vorhanden sein kann. Es gibt keine klinischen Daten zu den Auswirkungen von Omeprazol auf das gestillte Kind oder auf die Milchproduktion. Die Entwicklungs- und gesundheitlichen Vorteile des Stillens sollten zusammen mit dem klinischen Bedarf der Mutter an Prilosec und potenziellen nachteiligen Auswirkungen des gestillten Kindes aus Prilosec oder aus dem zugrunde liegenden mütterlichen Zustand berücksichtigt werden.
Pädiatrische Verwendung
Die Sicherheit und Wirksamkeit von Prilosec wurde bei pädiatrischen Patienten 1 bis 16 Jahre für die Behandlung der symptomatischen GERD-Behandlung von EE aufgrund von Säure-vermittelter GERD und Aufrechterhaltung der Heilung von EE aufgrund von Säure-GERD festgelegt. Die Verwendung von Prilosec in dieser Altersgruppe wird durch angemessene und gut kontrollierte Studien an Erwachsenen und unkontrollierte Sicherheitswirksamkeit und pharmakokinetische Studien unterstützt, die bei pädiatrischen und jugendlichen Patienten durchgeführt wurden [siehe Klinische Pharmakologie Klinische Studien ].
Die Sicherheit und Wirksamkeit von Prilosec wurde bei pädiatrischen Patienten von 1 Monat bis weniger als 1 Jahr für die Behandlung von EE aufgrund von Säure-vermittelter GERD festgelegt und wird durch angemessene und gut kontrollierte Studien bei Erwachsenen und bei pädiatrischen Patienten durchgeführt Klinische Pharmakologie ].
In der pädiatrischen Bevölkerung wurden in der gesamten Altersgruppe (1 Monats bis 16 Jahre) häufig unerwünschte Reaktionen des Atmungssystems gemeldet. Otitis Media wurde häufig im 1 -Monat berichtet <1 year age group fever was frequently reported in the 1 to <2 year age group Und accidental injuries were frequently reported in the 2 to 16 year age group [see Nebenwirkungen ].
Die Sicherheit und Wirksamkeit von Prilosec wurde nicht festgestellt in:
- Patienten unter 1 Jahr im Alter von:
- Behandlung von symptomatischem GERD
- Aufrechterhaltung der Heilung von EE aufgrund von Säure-vermittelter GERD
- pädiatrische Patienten für:
- Behandlung von aktiven Zwölffingerdarmgeschwüren
- H. Pylori Ausrottung zur Verringerung des Risikos für das Wiederauftreten von Ulkus -Ulkus
- Behandlung von aktivem gutartigen Magengeschwür
- Pathologische hypersekretorische Bedingungen
- Patienten weniger als 1 Monat im Alter von Angaben.
Jugendliche Tierdaten
Esomeprazol an enantiomer of omeprazole was shown to decrease body weight body Gewichtszunahme femur weight femur length Und overall growth at oral doses about 34 to 68 times a daily human dose of 40 mg esomeprazole or 40 mg omeprazole based on body surface area in a juvenile rat toxicity study. The animal to human dose multiples are based on the assumption of equal systemic exposure to esomeprazole in humans following oral administration of either 40 mg esomeprazole or 40 mg omeprazole.
Eine 28-tägige Toxizitätsstudie mit einer 14-tägigen Erholungsphase wurde bei juvenilen Ratten mit Esomeprazol-Magnesium in Dosen von 70 bis 280 mg/kg/Tag durchgeführt (etwa das 17- bis 68-fache einer täglichen oralen menschlichen Dosis von 40 mg Esomprazol oder 40 mg Omeprazol auf Körperoberfläche). Eine Erhöhung der Zahl der Todesfälle bei der hohen Dosis von 280 mg/kg/Tag wurde beobachtet, wenn Juvenilratten von postnataler Tag 7 bis postnatal Tag 35 verabreicht wurden. Die Behandlungsbedingte verringerte das Körpergewicht (ungefähr 14%) und das Gewichtszunahme des Körpers nimmt das Femurgewicht und die Femurlänge ab und beeinflusste das Gesamtwachstum. In dieser Studie wurden auch vergleichbare Ergebnisse mit einem anderen Esomeprazol -Salz -Esomeprazol -Strontium in äquimolaren Dosen von Esomeprazol auch beobachtet.
Geriatrische Verwendung
Omeprazol was administered to over 2000 elderly individuals (≥ 65 years of age) in clinical trials in the U.S. Und Europe. There were no differences in safety Und effectiveness between the elderly Und younger subjects. Andere reported clinical experience has not identified differences in response between the elderly Und younger subjects but greater sensitivity of some older individuals cannot be ruled out.
Pharmakokinetische Studien haben gezeigt, dass die Eliminierungsrate bei älteren Menschen etwas verringert war und die Bioverfügbarkeit erhöht wurde. Die Plasma -Clearance von Omeprazol betrug 250 ml/min (etwa die Hälfte der jungen Freiwilligen), und das Plasma -Halbleben hatte eine Stunde etwa doppelt so hoch wie bei jungen gesunden Freiwilligen. Bei älteren Menschen ist jedoch keine Dosierungsanpassung erforderlich [siehe Klinische Pharmakologie ].
Hepatische Beeinträchtigung
Bei Patienten mit Leberbeeinträchtigung (Kinder-Pugh-Klasse A B oder C) erhöhte sich die Exposition gegenüber Omeprazol im Vergleich zu gesunden Probanden erheblich. Die Reduktion von Prilosec auf 10 mg, wenn Patienten mit Leberbeeinträchtigung zur Aufrechterhaltung der Heilung von EE eine Leberbeeinträchtigung empfohlen werden [siehe Dosierung und Verwaltung Klinische Pharmakologie ].
Asiatische Bevölkerung
In Studien gesunder Probanden hatten Asiaten eine vierfache höhere Exposition als Kaukasier. Die Dosierungsreduktion von Prilosec auf 10 mg, sobald täglich asiatische Patienten zur Erhaltung der Heilung von EE empfohlen werden [siehe Dosierung und Verwaltung Klinische Pharmakologie ].
Überdosierungsinformationen für Prilosec
Es wurden Berichte über Überdosierung mit Omeprazol beim Menschen erhalten. Die Dosen lagen bis zu 2400 mg (120 -mal so empfohlene klinische Dosis). Manifestationen waren variabel, beinhalteten jedoch Verwirrungsdrowsiness -Sehriemen -Tachykardie Übelkeit, erbricht die Diaphorese -Spülung mit trockenem Mund und anderen Nebenwirkungen, die denen in der normalen klinischen Erfahrung ähneln [siehe Nebenwirkungen ]. Symptoms were transient Und no serious clinical outcome has been reported when Prilosec was taken alone. No specific antidote for omeprazole overdosage is known.
Omeprazol is extensively protein bound Und is therefore not readily dialyzable. In the event of overdosage treatment should be symptomatic Und supportive.
Wenn Überexposition auftritt, rufen Sie Ihr Poison Control Center unter 1-800-222-1222 an, um aktuelle Informationen zur Verwaltung der Vergiftung oder Überdosierung zu erhalten.
Kontraindikationen für Prilosec
- Prilosec is contraindicated in patients with known hypersensitivity to substituted benzimidazoles or to any component of the formulation. Hypersensitivity reactions may include anaphylaxis anaphylactic shock angioedema bronchospasm acute tubulointerstitial nephritis Und urticaria [see Warnungen und Vorsichtsmaßnahmen Nebenwirkungen ].
- Protonenpumpeninhibitoren (PPIs) einschließlich Prilosec sind bei Patienten, die rilpivirinhaltige Produkte erhalten, kontraindiziert [siehe Wechselwirkungen mit Arzneimitteln ].
- Informationen zu Kontraindikationen von antibakteriellen Wirkstoffen (Clarithromycin und Amoxicillin) Die Kombination mit Prilosec beziehen sich auf den Abschnitt der Kontraindikationen ihrer Paket.
Klinische Pharmakologie for Prilosec
Wirkungsmechanismus
Omeprazol belongs to a class of antisecretory compounds the substituted benzimidazoles that suppress Gastric acid secretion by specific inhibition of the H+/K+ ATPase enzyme system at the secretory surface of the Gastric parietal cell. Because this enzyme system is regarded as the acid (Proton) pump within the Gastric mucosa omeprazole has been characterized as a Gastric acid-pump inhibitor in that it blocks the final step of acid production. This effect is dose-related Und leads to inhibition of both basal Und stimulated acid secretion irrespective of the stimulus.
Pharmakodynamik
Antisekretorische Aktivität
Nach oraler Verabreichung erfolgt der Einsetzen der antiskretorischen Wirkung von Omeprazol innerhalb einer Stunde, wobei der maximale Effekt innerhalb von zwei Stunden auftritt. Die Hemmung der Sekretion beträgt etwa 50% des Maximums nach 24 Stunden und die Hemmungdauer dauert bis zu 72 Stunden. Der antisekretorische Effekt dauert somit viel länger als von der sehr kurzen (weniger Stunde) Plasma-Halbwertszeit zu erwarten, die anscheinend aufgrund einer längeren Bindung an das parietale H /K-ATPase-Enzym aufgrund einer längeren Bindung. Wenn das Medikament abgebrochen wird, kehrt die sekretorische Aktivität allmählich über 3 bis 5 Tage zurück. Die hemmende Wirkung der Omeprazol-Onacid-Sekretion nimmt zu, wobei nach vier Tagen eine einmal tägliche Dosierung ein Plateau erreicht.
Ergebnisse aus zahlreichen Studien zur antiskretorischen Wirkung mehrerer Dosen von 20 mg und 40 mg Omeprazol bei gesunden Probanden und Patienten sind nachstehend gezeigt. Der maximale Wert stellt Bestimmungen zu einem Zeitpunkt des maximalen Effekts dar (2 bis 6 Stunden nach der Dosierung), während die MIN -Werte 24 Stunden nach der letzten Dosis Omeprazol sind.
Tabelle 5: Bereich der Mittelwerte aus mehreren Studien der mittleren antiskretorischen Wirkungen von Omeprazol nach mehreren täglichen Dosierung
| Parameter | Omeprazol 20 mg | Omeprazol 40 mg | ||
| Max | Min | Max | Min | |
| % Abnahme des Basalsäureausgangs | 78 1 | 58-80 | 94 1 | 80-93 |
| % Abnahme des Peak -Säure -Ausgangs | 79 1 | 50-59 | 88 1 | 62-68 |
| % Abnahme von 24-Stunden. Intragastrische Säure | 80-97 | 92-94 | ||
| 1 Einzelstudien |
Einzeltägliche orale Dosen von Omeprazol im Bereich von einer Dosis von 10 mg bis 40 mg haben bei einigen Patienten eine 100% ige Hemmung der 24-Stunden-intragastrischen Säuregehaltung hervorgebracht.
Serum Gastrineffekte
In Studien mit mehr als 200 Patienten stieg die Serum-Gastrinspiegel in den ersten 1 bis 2 Wochen der einmal täglichen Verabreichung therapeutischer Dosen von Omeprazol parallel zur Hemmung der Säuresekretion. Bei einer fortgesetzten Behandlung trat kein weiterer Anstieg des Serum -Gastrins auf. Im Vergleich zu Histamin-H2-Rezeptorantagonisten waren die durch 20 mg Dosen Omeprazol erzeugten Medianerhöhungen höher (NULL,3 bis 3,6-fach gegenüber 1,1 bis 1,8-fach). Die Gastrinwerte kehrten normalerweise innerhalb von 1 bis 2 Wochen nach Absetzen der Therapie in die Vorbehandlungsniveau zurück.
Erhöhtes Gastrin verursacht enterochromaffinähnliche Zellhyperplasie und erhöhte Serumchromogranin-A-Spiegel (CGA). Die erhöhten CGA -Spiegel können zu falschen positiven Ergebnissen bei diagnostischen Untersuchungen für neuroendokrine Tumoren führen [siehe Warnungen und Vorsichtsmaßnahmen ].
Enterochromaffin-ähnliche (ECL-) Zelleffekte
Humane Magenbiopsienproben wurden von mehr als 3000 Patienten (sowohl Kindern als auch Erwachsenen) erhalten, die in langfristigen klinischen Studien mit Omeprazol behandelt wurden. Die Inzidenz von ECL -Zellhyperplasie in diesen Studien nahm mit der Zeit zu; Bei diesen Patienten wurde jedoch kein Fall von ECL -Zellkarzinoiden oder Neoplasie festgestellt. Diese Studien haben jedoch eine unzureichende Dauer und Größe, um den möglichen Einfluss der langfristigen Verabreichung von Omeprazol auf die Entwicklung von prämaligenten oder bösartigen Bedingungen auszuschließen.
Andere Effects
Die systemischen Wirkungen von Omeprazol im ZNS -Kardiovaskulations- und Atemwegssystemen wurden bisher nicht festgestellt. Omeprazol in oralen Dosen von 30 oder 40 mg für 2 bis 4 Wochen hatte keinen Einfluss auf den Kohlenhydratmetabolismus der Schilddrüsenfunktion oder auf zirkulierende Spiegel an Parathyroidhormon -Cortisol -Östradiol -Testosteron -Prolaktin -Cholecystokinin oder Sekretin.
Nach einer einzelnen Dosis Omeprazol 90 mg wurde kein Einfluss auf die Magenentleerung der festen und flüssigen Komponenten eines Testmehls nachgewiesen. Bei gesunden Probanden hatte eine einzelne intravenöse Dosis Omeprazol (NULL,35 mg/kg) keinen Einfluss auf die intrinsische Faktorsekretion. Es wurde kein systematischer dosisabhängiger Effekt auf die basale oder stimulierte Pepsin-Ausgabe beim Menschen beobachtet.
Wenn der intragastrische pH -Wert jedoch bei 4,0 oder oberhalb der basalen Pepsin -Ausgabe niedrig ist und die Pepsin -Aktivität verringert wird.
Wie andere Mittel, die in intragastrischem pH -pH -Omeprazol 14 Tage bei gesunden Probanden verabreicht wurden, führten zu einem signifikanten Anstieg der intragastrischen Konzentrationen lebensfähiger Bakterien. Das Muster der Bakterienspezies war unverändert gegenüber dem, das häufig im Speichel gefunden wurde. Alle Änderungen wurden innerhalb von drei Tagen nach Beendigung der Behandlung aufgelöst.
Der Verlauf der Barrett-Ösophagus bei 106 Patienten wurde in einer in den USA doppelblind kontrollierten Studie mit Prilosec 40 mg zweimal täglich für 12 Monate täglich bewertet, gefolgt von 20 mg zweimal täglich für 12 Monate oder Ranitidin 300 mg zweimal täglich für 24 Monate. Es wurde kein klinisch signifikanter Einfluss auf die Schleimhaut von Barrett durch antisekretorische Therapie beobachtet. Obwohl sich während der Antisekretor -Therapie ein neosquames Epithel entwickelte, wurde keine vollständige Eliminierung der Schleimhaut von Barrett erreicht. Es wurde kein signifikanter Unterschied zwischen den Behandlungsgruppen bei der Entwicklung von Dysplasie in Barretts Schleimhaut beobachtet, und kein Patient entwickelte während der Behandlung ein Speiserisophaguskarzinom. Bei der Entwicklung von ECL -Zellhyperplasie -Korpus -Korpus atrophischer Gastritis -Corpus -Darmmetaplasie oder Dickdarmpolypen, die einen Durchmesser von 3 mm überschreiten, wurden keine signifikanten Unterschiede zwischen den Behandlungsgruppen beobachtet.
Pharmakokinetik
Absorption
Prilosec for delayed-release oral suspension contains Omeprazol Magnesium granules Und inactive granules to be administered in water. Absorption of omeprazole begins only after the Gastro-resistant granules leave the stomach. The pharmacokinetics of omeprazole are time dependent with higher plasma concentrations at steady state compared to after a single dose. The systemic exposure (AUC Und Cmax) to omeprazole following once daily dosing of 20 mg delayed-release oral suspension for 5 days is 51% Und 58% higher respectively than after the first dose. Peak plasma concentrations of omeprazole after repeated doses of delayed-release oral suspension occur within 1.5 to 2 hours. In healthy subjects the plasma half-life is 0.5 to 1 hour.
Verteilung
Die Proteinbindung beträgt ungefähr 95%.
Beseitigung
Stoffwechsel
Omeprazol is extensively metabolized by the cytochrome P450 (CYP) enzyme system. The major part of its metabolism is dependent on the polymorphically expressed CYP2C19 responsible for the formation of hydroxyomeprazole the major metabolite in plasma. The remaining part is dependent on another specific isoform CYP3A4 responsible for the formation of omeprazole sulphone.
Ausscheidung
Nach einer einzelnen Dosis orale Verabreichung einer gepufferten Lösung von Omeprazol wenig, wenn ein unverändertes Arzneimittel in Urin ausgeschieden wurde. Der Großteil der Dosis (ca. 77%) wurde im Urin als mindestens sechs Metaboliten beseitigt. Zwei wurden als Hydroxyomeprazol und die entsprechende Carbonsäure identifiziert. Der Rest der Dosis war in Kot wiederhergestellt. Dies impliziert eine signifikante giliäre Ausscheidung der Metaboliten von Omeprazol. Drei Metaboliten wurden in Plasma als Sulfid- und Sulfonderivate von Omeprazol und Hydroxyomeprazol identifiziert. Diese Metaboliten haben sehr wenig oder keine antiskretorische Aktivität.
Kombinationstherapie mit antimikrobiellen
Omeprazol 40 mg daily was given in combination with clarithromycin 500 mg every 8 hours to healthy adult male subjects. The steady state plasma concentrations of omeprazole were increased (Cmax AUC0-24 Und T½ increases of 30% 89% Und 34% respectively) by the concomitant administration of clarithromycin. The observed increases in omeprazole plasma concentration were associated with the following pharmacological effects. The mean 24-hour Gastric pH value was when omeprazole was administered alone Und 5.7 when co-administered with clarithromycin.
Die Plasmakonzentrationen von Clarithromycin und 14-Hydroxy-Clarithromycin wurden durch die gleichzeitige Verabreichung von Omeprazol erhöht. Für Clarithromycin war der mittlere Cmax um 10% höher. Der mittlere Cmin-Cmin war 27% höher und der mittlere AUC0-8 um 15% höher, als Clarithromycin mit Omeprazol verabreicht wurde als als Clarithromycin allein verabreicht wurde. Ähnliche Ergebnisse wurden bei 14-Hydroxy-Clarithromycin beobachtet. Der mittlere Cmax war 45% höher als die mittlere Cmin-Kminimum um 57% höher und der mittlere AUC0-8 45% höher war. Die Clarithromycin -Konzentrationen im Magengewebe und im Schleim wurden ebenfalls durch gleichzeitige Verabreichung von Omeprazol erhöht.
Tabelle 6: Clarithromycin -Gewebekonzentrationen 2 Stunden nach der Dosis 1
| Gewebe | Clarithromycin | Clarithromycin + Omeprazol |
| Höhle | 10,48 ± 2,01 (n = 5) | 19,96 ± 4,71 (n = 5) |
| Fundus | 20,81 ± 7,64 (n = 5) | 24,25 ± 6,37 (n = 5) |
| Schleim | 4,15 ± 7,74 (n = 4) | 39,29 ± 32,79 (n = 4) |
| 1 Mittelwert ± SD (μg/g) |
Spezifische Populationen
Geriatrische Patienten
Die Eliminierungsrate von Omeprazol war bei älteren Menschen etwas verringert und die Bioverfügbarkeit wurde erhöht. Omeprazol war zu 76% bioverfügbar, wenn eine einzelne 40 mg orale Dosis Omeprazol (gepufferte Lösung) an gesunde ältere Freiwillige verabreicht wurde, gegenüber 58% bei jungen Freiwilligen, die dieselbe Dosis mit derselben Dosis verabreicht hatten. Fast 70% der Dosis wurden im Urin als Metaboliten von Omeprazol gewonnen und es wurde kein unverändertes Arzneimittel festgestellt. Die Plasma-Clearance von Omeprazol betrug 250 ml/min (etwa die Hälfte der jungen Freiwilligen), und die Plasma-Halbwertszeit hatte eine Stunde ungefähr doppelt so hoch wie bei jungen gesunden Freiwilligen.
Pädiatrische Patienten
2 bis 16 Jahre alt
Die Pharmakokinetik von Omeprazol wurde bei pädiatrischen Patienten im Alter von pädiatrischen Patienten untersucht:
Tabelle 7: Pharmakokinetische Parameter von Omeprazol nach einer einzelnen und wiederholten oralen Verabreichung in pädiatrischen Populationen im Vergleich zu Erwachsenen
| Einzelne oder wiederholte orale Dosierung/Parameter | Kinder 1 ≤ 20 kg 2-5 Jahre 10 mg | Kinder 1 > 20 kg 6-16 Jahre 20 mg | Erwachsene 2 (Mittelwert 76 kg) 23-29 Jahre (n = 12) |
| Einzeldosierung | |||
| Cmax 3 (ng/ml) | 288 (n = 10) | 495 (n = 49) | 668 |
| AUC 3 (von H/ml) | 511 (n = 7) | 1140 (n = 32) | 1220 |
| Wiederholte Dosierung | |||
| Cmax 3 (ng/ml) | 539 (n = 4) | 851 (n = 32) | 1458 |
| AUC 3 (von H/ml) | 1179 (n = 2) | 2276 (n = 23) | 3352 |
| 1 Daten from single Und repeated dose studies. Doses of 10 20 Und 40 mg omeprazole administered as suspension prepared from Omeprazol-Magnesium-Veröffentlichungskapseln. 2 Daten from a single Und repeated dose study. Doses of 10 20 Und 40 mg omeprazole administered as delayed-release capsules. 3 Plasmakonzentration auf eine orale Dosis von 1 mg/kg eingestellt. |
Nach vergleichbaren mg/kg -Dosen von Omeprazol haben jüngere Kinder (2 bis 5 Jahre) niedrigere Aucs als Kinder im Alter von 6 bis 16 Jahren oder Erwachsene; AUCs der beiden letzteren Gruppen unterschieden sich nicht [siehe Dosierung und Verwaltung ].
1 bis 11 Monate alt
Ein Modell der Bevölkerungspharmakokinetik wurde verwendet, um geeignete Dosen von Prilosec bei pädiatrischen Patienten zu bestimmen
1 Monat bis weniger als 1 Jahr of age for treatment (up to 6 weeks) of erosive esophagitis due to acid-mediated GERD. The model was based on data from 64 children 0.5 month to 16 year of age. Only limited data were available in children younger than the age of 1 year. Omeprazol was administered to the pediatric patients in these studies as an oral suspension prepared from the delayed-release capsules. Pediatric doses were simulated in the age group of 1 to 11 month to achieve comparable omeprazole exposures with adults following treatment with 20 mg einmal täglich [see Dosierung und Verwaltung ].
Rassistische oder ethnische Gruppen
[Sehen Klinische Pharmakologie ].
Patienten mit Nierenbehinderung
Bei Patienten mit chronischer Nierenbeeinträchtigung (Kreatinin -Clearance zwischen 10 und 62 ml/min/1,73 m²) war die Disposition von Omeprazol sehr ähnlich der bei gesunden Probanden, obwohl die Bioverfügbarkeit geringfügig zunahm. Da die Ausscheidung im Urin ein primärer Ausscheidungsweg von Omeprazol -Metaboliten ist, verlangsamte sich ihre Elimination im Verhältnis zur verminderten Kreatinin -Clearance. Diese Zunahme der Bioverfügbarkeit wird nicht als klinisch sinnvoll angesehen.
Patienten mit Leberbehinderung
Bei Patienten mit chronischer Lebererkrankung, die als Kinder-Pugh-Klasse A (n = 3) B (n = 4) und C (n = 1) klassifiziert waren, stieg die Bioverfügbarkeit auf ungefähr 100% im Vergleich zu gesunden Probanden, die eine verminderte Erstpasswirkung widerspiegeln, und die Plasma-Halbwertszeit des Arzneimittels im Vergleich zu der Halbmacht bei gesunden Probanden von 0,5 bis 1 Stunden. Die Plasma -Clearance betrug durchschnittlich 70 ml/min im Vergleich zu einem Wert von 500 bis 600 ml/min bei gesunden Probanden [siehe Dosierung und Verwaltung Verwendung in bestimmten Populationen ].
Arzneimittelinteraktionsstudien
Wirkung von Omeprazol auf andere Medikamente
Omeprazol is a time-dependent inhibitor of CYP2C19 Und can increase the systemic exposure of co-administered drugs that are CYP2C19 substrates. In addition administration of omeprazole increases intraGastric pH Und can alter the systemic exposure of certain drugs that exhibit pH-dependent solubility.
Antiretroviral
Für einige antiretrovirale Arzneimittel wie Rilpivirinatazanavir und Nelfinavir wurden die Serumkonzentrationen gemeldet, wenn zusammen mit Omeprazol verabreicht wurde [siehe Wechselwirkungen mit Arzneimitteln ].
Rilpivirine: Nach mehreren Dosen von Rilpivirin (150 mg täglich) und Omeprazol (20 mg täglich) wurde AUC um 40% CMAX um 40% und Cmin Cmin für Rilpivirin um 33% verringert.
NetFavir: Nach mehreren Dosen von Nelfinavir (1250 mg zweimal täglich) und Omeprazol (40 mg täglich) wurden AUC um 36% und 92% Cmax um 37% und 89% und Cmin für Nelfinavir und M8 um 39% und 75% verringert.
Atazanavir: Nach mehreren Dosen Atazanavir (400 mg täglich) und Omeprazol (40 mg täglich 2 Stunden vor Atazanavir) wurde AUC um 94% Cmax um 96% und Cmin Cmin um 95% verringert.
Saquinavir: Nach mehreren Dosierung von Saquinavir/Ritonavir (1000/100 mg) zweimal täglich für 15 Tage mit Omeprazol 40 mg täglich gemeinsam verabreichte Tage 11 bis 15.
AUC was increased by 82% Cmax by 75% Und Cmin by 106%. The mechanism behind this interaction is not fully elucidated.
Clopidogrel
In einer Crossover -klinischen Studie wurden 72 gesunden Probanden Clopidogrel (300 mg Ladendosis gefolgt von 75 mg pro Tag) allein und mit Omeprazol (80 mg zur gleichen Zeit wie Clopidogrel) für 5 Tage verabreicht. Die Exposition gegenüber dem aktiven Metaboliten von Clopidogrel wurde um 46% (Tag 1) und 42% (Tag 5) verringert, wenn Clopidogrel und Omeprazol zusammen verabreicht wurden.
Die Ergebnisse einer anderen Crossover-Studie bei gesunden Probanden zeigten eine ähnliche pharmakokinetische Wechselwirkung zwischen Clopidogrel (300 mg Ladendosis/75 mg tägliche Erhaltungsdosis) und Omeprazol täglich 80 mg täglich, wenn sie 30 Tage lang gemeinsam verabreicht wurde. Die Exposition gegenüber dem aktiven Metaboliten von Clopidogrel wurde in diesem Zeitraum um 41% auf 46% reduziert.
In einer anderen Studie erhielten 72 gesunde Probanden die gleichen Dosen von Clopidogrel und 80 mg Omeprazol, aber den Medikamenten wurden 12 Stunden voneinander entfernt verabreicht; Die Ergebnisse waren ähnlich, was darauf hinweist, dass die Verabreichung von Clopidogrel und Omeprazol zu unterschiedlichen Zeiten ihre Wechselwirkung nicht verhindert [siehe Warnungen und Vorsichtsmaßnahmen Wechselwirkungen mit Arzneimitteln ].
Mycophenolat Mofetil
Verwaltung of omeprazole 20 mg twice daily for 4 days Und a single 1000 mg dose of MMF approximately one hour after the last dose of omeprazole to 12 healthy subjects in a cross-over study resulted in a 52% reduction in the Cmax Und 23% reduction in the AUC of MPA [see Wechselwirkungen mit Arzneimitteln ].
Cilostazol
Omeprazol acts as an inhibitor of CYP2C19. Omeprazol given in doses of 40 mg daily for one week to 20 healthy subjects in cross-over study increased Cmax Und AUC of cilostazol by 18% Und 26% respectively. The Cmax Und AUC of one of the active metabolites 34-dihydro-cilostazol which has 4-7 times the activity of cilostazol were increased by 29% Und 69% respectively. Co-administration of cilostazol with omeprazole is expected to increase concentrations of cilostazol Und the above mentioned active metabolite [see Wechselwirkungen mit Arzneimitteln ].
Diazepam
Gleichzeitige Verabreichung von Omeprazol 20 mg einmal täglich und Diazepam 0,1 mg/kg, die intravenös zu einer Abnahme der Clearance um 27% und einer Anstieg der Diazepam-Halbwertszeit um 36% führten [siehe Wechselwirkungen mit Arzneimitteln ].
Digoxin
Die gleichzeitige Verabreichung von Omeprazol 20 mg einmal täglich und Digoxin bei gesunden Probanden erhöhte die Bioverfügbarkeit von Digoxin um 10% (30% bei zwei Probanden) [siehe Wechselwirkungen mit Arzneimitteln ].
Auswirkung anderer Medikamente auf Omeprazol
Voriconazol
Die gleichzeitige Verabreichung von Omeprazol und Voriconazol (ein kombinierter Inhibitor von CYP2C19 und CYP3A4) führte dazu, dass die Omeprazolexposition mehr als verdoppelt wurde. Als Voriconazol (400 mg alle 12 Stunden für einen Tag einmal täglich 200 mg für 6 Tage) mit Omeprazol (40 mg einmal täglich) an gesunde Probanden verabreicht wurde, erhöhte der Steady-State-Cmax Cmax und AUC0-24 von OMEPRAZOL signifikant: durchschnittlich 2-mal (90% CI: 1,8 2,8) und 4 Mal (90% CI) und 4 Mal (90%) und 4 Mal (90%) und 4 Mal (90%) (90%) (90%) (90%) (90%) (90% CI) (90% CI) (90% CI) (90% CI) (90%) ()ul (4 )achanding wurde wurdenzenööagemei1klyedimititit einer einer eineritklitklit da da da da da da da da es da auch auch auchhalbalt wurde ohne Voriconazol verabreicht [siehe Wechselwirkungen mit Arzneimitteln ].
Mikrobiologie
Omeprazol Und clarithromycin dual therapy Und omeprazole clarithromycin Und amoxicillin triple therapy have been shown to be active against most strains of Helicobacter pylori in vitro und in klinischen Infektionen [siehe Indikationen und Nutzung Klinische Studien ].
Helicobacter pylori
Empfindlichkeitstest von H. Pylori Isolate wurden für Amoxicillin und Clarithromycin unter Verwendung der Agar -Verdünnungsmethode durchgeführt 1 Und minimum inhibitory concentrations (MICs) were determined.
Standardisierte Anfälligkeitstestverfahren erfordern die Verwendung von Mikroorganismen der Laborkontrolle, um die technischen Aspekte der Laborverfahren zu kontrollieren.
Vorbehandlungswiderstand
Clarithromycin pretreatment resistance rates were 3.5% (4/113) in the omeprazole/clarithromycin dual therapy studies (4 Und 5) Und 9.3% (41/439) in omeprazole/clarithromycin/amoxicillin triple therapy studies (1 2 Und 3).
Amoxicillin -Vorbehandlungsempfehlungsinstrumentisolate (≤ 0,25 μg/ml) wurden bei 99,3% (436/439) der Patienten in den Omeprazol/Clarithromycin/Amoxicillin -Tripeltherapiestudien (1 2 und 3) gefunden. Amoxicillin -Vorbehandlungsminimum inhibitorische Konzentrationen (MICs)> 0,25 & mgr; g/ml traten bei 0,7% (3/439) der Patienten auf, die alle im CLARITHROMYCIN- und Amoxicillin -Studienarm waren. Ein Patient hatte eine unbestätigte Vorbehandlung Amoxicillin -Mindestinhibitorikkonzentration (MIC) von> 256 μg/ml durch ETEST®.
Tabelle 8: Clarithromycin -Suszeptibilitätstestergebnisse und klinische/bakteriologische Ergebnisse
| Clarithromycin Susceptibility Test Results Und Clinical/Bacteriological Outcomes 1 | |||||
| Clarithromycin Pretreatment Results | Clarithromycin Post-treatment Results | ||||
| H. Pylori negative - eradicated | H. Pylori positive - not eradicated Post-treatment susceptibility results | ||||
| S 2 | I 2 | R 2 | Kein Mikrofon | ||
| Doppeltherapie – (omeprazole 40 mg einmal täglich/clarithromycin 500 three times daily for 14 Tage followed by omeprazole 20 mg einmal täglich for another 14 Tage) (Studien 4 5) | |||||
| Anfällig 2 108 | 72 | 1 | 26 | 9 | |
| Dazwischenliegend 2 1 | 1 | ||||
| Beständig 2 4 | 4 | ||||
| Dreifachtherapie – (omeprazole 20 mg twice daily/clarithromycin 500 mg twice daily/amoxicillin 1 g twice daily for 10 Tage – Studien 1 2 3; followed by omeprazole 20 mg einmal täglich for another 18 days – Studien 1 2) | |||||
| Anfällig 2 171 | 153 | 7 | 3 | 8 | |
| Dazwischenliegend 2 | |||||
| Beständig 2 14 | 4 | 1 | 6 | 3 | |
| 1 Beinhaltet nur Patienten mit Vorbehandlung Clarithromycin -Suszeptibilitätstestergebnissen. 2 Anfällig (S) MIC ≤ 0.25 μg/mL Dazwischenliegend (I) MIC 0.5-1.0 μg/mL Beständig (R) MIC ≥ 2 μg/mL. |
Patienten nicht ausgerottet von H. Pylori Nach Omeprazol/Clarithromycin/Amoxicillin -Triple -Therapie oder Omeprazol/Clarithromycin -Dual -Therapie wird wahrscheinlich Clarithromycin resistent aufweisen H. Pylori Isolate. Daher sollte CLARITHROMYCIN -Suszeptibilitätstests nach Möglichkeit durchgeführt werden. Patienten mit Clarithromycin resistent H. Pylori sollte nicht mit einer der folgenden behandelt werden: Omeprazol/Clarithromycin Dual -Therapie Omeprazol/Clarithromycin/Amoxicillin Triple Therapy oder andere Regime, zu denen Clarithromycin als alleiniger antimikrobieller Wirkstoff gehören.
Amoxicillin -Suszeptibilitätstestergebnisse und klinische/bakteriologische Ergebnisse
In den Triple Therapy Clinical Studies 84,9% (157/185) der Patienten in der Omeprazol/Clarithromycin/Amoxicillin -Behandlungsgruppe, die Amoxicillin anfällige MICs (≤ 0,25 μg/ml) hatten H. Pylori Und 15.1% (28/185) failed therapy. Of the 28 patients who failed triple therapy 11 had no post-treatment susceptibility test results Und 17 had post-treatment H. Pylori Isolate mit Amoxicillin anfälligen Mikrofonen. Elf der Patienten, die die Dreifachtherapie nicht bestanden haben H. Pylori Isolate mit Clarithromycin -resistenten MICs.
Empfindlichkeitstest für Helicobacter Pylori
Für Anfälligkeitstestinformationen über Helicobacter pylori Siehe Abschnitt Mikrobiologie zur Verschreibung von Informationen für Clarithromycin und Amoxicillin.
Auswirkungen auf die Magen -Darm -mikrobielle Ökologie
Eine verminderte Magensäure aufgrund von Mitteln, einschließlich Protonenpumpeninhibitoren, erhöht die Magenzahlen von Bakterien, die normalerweise im Magen -Darm -Trakt vorhanden sind. Die Behandlung mit Protonenpumpeninhibitoren kann zu einem leicht erhöhten Risiko für Magen -Darm -Infektionen wie Salmonellen und Campylobacter und bei Patienten im Krankenhaus möglicherweise auch führen Clostridium difficile .
Pharmakogenomik
CYP2C19 Ein polymorphes Enzym ist am Metabolismus von Omeprazol beteiligt. Das CYP2C19*1 -Allel ist voll funktionsfähig, während die CYP2C19*2- und*3 -Allele nicht funktionsfähig sind. Es gibt andere Allele, die mit einer oder reduzierten enzymatischen Funktion verbunden sind. Patienten, die zwei voll funktionsfähige Allele tragen, sind umfangreiche Metabolisierer, und diejenigen, die zwei Funktionsverluste tragen, sind schlechte Metabolisierer. In umfangreichen Metabolisierern wird Omeprazol in erster Linie durch CYP2C19 metabolisiert.
Die systemische Exposition gegenüber Omeprazol variiert mit dem Stoffwechselstatus eines Patienten: Schlechte Metabolisierer> Zwischenstoffwechsel> umfangreiche Stoffwechsel. Ungefähr 3% der Kaukasier und 15 bis 20% der Asiaten sind CYP2C19 schlechte Stoffwechsel.
In einer pharmakokinetischen Studie mit einer einzelnen 20 mg Omeprazol-Dosis war die AUC von Omeprazol bei asiatischen Probanden ungefähr vierfache der Kaukasier [siehe Dosierung und Verwaltung Verwendung in bestimmten Populationen ].
Klinische Studien
Aktive Duodenal -Geschwür
In einer multizentrischen doppeltblind-placebokontrollierten Studie mit 147 Patienten mit endoskopisch dokumentiertem Duodenal-Geschwür war der Prozentsatz der geheilten Patienten (pro Protokoll) nach 2 und 4 Wochen mit Omeprazol-Magnesium-Veröffentlichungskapseln 20 mg einmal täglich höher als mit Placebo (P ≤ 0,01).
Behandlung von aktiven Zwölffingerdarmgeschwüren % of Patients Healed
| Omeprazol Magnesium verzögerte Rettungskapseln 20 mg Uhr morgens. (n = 99) | Placebo A.M. (n = 48) | |
| Woche 2 | 41 1 | 13 |
| Woche 4 | 75 1 | 27 |
| 1 (p ≤ 0,01) |
Bei Patienten, die mit Omeprazol-Magnesium-Kapseln mit Omeprazol-Magnesium mit Placebo behandelt wurden, trat eine vollständige Schmerzlinderung von Tag und Nacht signifikant schneller auf (p ≤ 0,01). Am Ende der Studie hatten signifikant mehr Patienten, die Omeprazol-Magnesium-Kapseln verzögerte Freisetzung erhalten hatten, eine vollständige Linderung von Tagesschmerzen (p ≤ 0,05) und Nachtschmerzen (p ≤ 0,01).
In einer multizentrischen Doppelblindstudie mit 293 Patienten mit endoskopisch dokumentiertem Zwölffingerdarmgeschwür war der Prozentsatz der geheilten Patienten (pro Protokoll) nach 4 Wochen mit Omeprazol-Magnesium-Kapseln, die 20 mg 20 mg, einmal täglich als mit Ranitidin 150 mg B.I.D. (P <0.01).
Behandlung von aktiven Zwölffingerdarmgeschwüren % of Patients Healed
| Omeprazol Magnesium verzögerte Freisetzungskapseln 20 mg Uhr morgens. (n = 145) | Ranitidin 150 mg zweimal täglich (n = 148) | |
| Woche 2 | 42 | 34 |
| Woche 4 | 82 1 | 63 |
| 1 (P <0.01) |
Die Heilung trat bei Patienten, die mit Omeprazol-Magnesium-Kapseln verzögerte Rettungskapseln behandelt wurden, signifikant schneller auf als bei Patienten, die mit Ranitidin 150 mg B.I.D. (P <0.01).
In einer ausländischen multinationalen randomisierten Doppelblindstudie an 105 Patienten mit endoskopisch dokumentiertem Zwölffingerdarm-Ulkus 20 mg und 40 mg wurden Kapseln von verzögerten Freisetzung von Omeprazol-Magnesium mit 150 mg verglichen Gebot. von Ranitidin bei 2 4 und 8 Wochen. Nach 2 und 4 Wochen waren beide Prilosec-Dosen statistisch überlegen (pro Protokoll) gegenüber Ranitidin, aber 40 mg waren 20 mg Kapseln von Omeprazol-Magnesium verzögerte Release nicht überlegen, und nach 8 Wochen gab es keinen signifikanten Unterschied zwischen den aktiven Arzneimitteln.
Behandlung von aktiven Zwölffingerdarmgeschwüren % of Patients Healed
| Omeprazol-Magnesium-Veröffentlichungskapseln | Ranitidin 150 mg zweimal täglich (n = 35) | ||
| 20 mg (n = 34) | 40 mg (n = 36) | ||
| Woche 2 | 83 1 | 83 1 | 53 |
| Woche 4 | 97 1 | 100 1 | 82 |
| Woche 8 | 100 | 100 | 94 |
| 1 (P ≤ 0.01) |
H. Pylori Ausrottung In Patients With Duodenal Ulcer Disease
Dreifachtherapie (Omeprazol-Magnesium-Veröffentlichungskapseln/clarithromycin/amoxicillin)
Drei randomisierte klinische doppelblinde doppelblinde Studien bei Patienten mit H. pylori-Infektion und Duodenal-Ulkus-Erkrankung (n = 558) verglichen die Kapseln von Omeprazol Magnesium mit clarithromycin plus Amoxicillin. Zwei Studien (1 und 2) wurden bei Patienten mit einem aktiven Duodenal -Ulkus durchgeführt, und die andere Studie (3) wurde in Patienten mit einem Zwölffingerdarmgeschwür in den letzten 5 Jahren durchgeführt, ohne dass zum Zeitpunkt der Aufnahme ohne ein Geschwür vorhanden war. Das Dosisschema in den Studien war Omeprazol Magnesium verzögerte Kapseln 20 mg zweimal täglich plus Clarithromycin 500 mg zweimal täglich plus Amoxicillin 1 g zweimal täglich für 10 Tage; oder Clarithromycin 500 mg zweimal täglich plus Amoxicillin 1 g zweimal täglich für 10 Tage. In den Studien 1 und 2 Patienten, die das Omeprazol-Regime einnahmen, erhielten auch zusätzliche 18 Tage Omeprazol Magnesium verzögerte Rettungskapseln 20 mg einmal täglich. Die untersuchten Endpunkte waren die Ausrottung von H. pylori und duodenaler Ulkusheilung (nur Studien 1 und 2). Der H. pylori -Status wurde in allen drei Studien durch Clotest® -Histologie und -Kultur bestimmt. Für einen bestimmten Patienten wurde H. pylori als ausgerottet angesehen, wenn mindestens zwei dieser Tests negativ waren und keiner positiv war.
Die Kombination von Omeprazol plus Clarithromycin plus Amoxicillin war wirksam bei der Ausrottung H. Pylori .
Tabelle 9: pro Protokoll und Absicht zu tun H. Pylori Ausrottung Rates % of Patients Cured [95% Confidence Interval]
| Omeprazol magnesium delayed-release capsules+clarithromycin +amoxicillin | Clarithromycin +amoxicillin | |||
| Pro Protokoll 1 | Absicht 2 | Pro Protokoll 1 | Pro Absicht- zu behandeln 2 | |
| Studie 1 | 77 3 [64 86] | 69 3 [57 79] | 43 [31 56] | 37 [27 48] |
| (n = 64) | (n = 80) | (n = 67) | (n = 84) | |
| Studie 2 | 78 3 [67 88] | 73 3 [61 82] | 41 [29 54] | 36 [26 47] |
| (n = 65) | (n = 77) | (n = 68) | (n = 83) | |
| Studie 3 | 90 3 [80 96] | 83 3 [74 91] | 33 [24 44] | 32 [23 42] |
| (n = 69) | (n = 84) | (n = 93) | (n = 99) | |
| 1 Die Patienten wurden in die Analyse einbezogen, wenn sie die Duodenal -Ulk -Erkrankung (aktive Ulkusstudien 1 und 2; Vorgeschichte von Ulkus innerhalb von 5 Jahren Studie 3) und H. pylori -Infektion zu Studienbeginn als mindestens zwei von drei positiven endoskopischen Tests aus CLOTEST® -Histologie und/oder Kultur bestätigt hatten. Die Patienten wurden in die Analyse aufgenommen, wenn sie die Studie abgeschlossen haben. Wenn Patienten aufgrund eines nachteiligen Ereignisses im Zusammenhang mit dem Studienmedikament in die Analyse als Therapieversagen aus der Studie zurückfiel. Der Einfluss der Ausrottung auf das Rezidiv von Geschwüren wurde bei Patienten mit einer Veränderungsgeschichte nicht bewertet. 2 Die Patienten wurden in die Analyse aufgenommen, wenn sie dokumentiert hatten H. Pylori Infektion zu Studienbeginn und hatte die Duodenal -Ulkus -Erkrankung bestätigt. Alle Abbrecher wurden als Therapieversagen eingeschlossen. 3 (P <0.05) versus clarithromycin plus amoxicillin. |
Doppeltherapie (Omeprazol-Magnesium-Veröffentlichungskapseln/clarithromycin)
Vier randomisierte Doppelblind-Multizentrum-Studien (4 5 6 und 7) bewerteten Omeprazol-Magnesium-Kapseln von verzögerten Rollenkapseln. (Studie 6) für weitere 14 Tage bei Patienten mit aktivem Duodenal -Geschwür im Zusammenhang mit dem mit H. Pylori . Die Studien 4 und 5 wurden in den USA und Kanada durchgeführt und wurden 242 bzw. 256 Patienten eingeschlossen. H. Pylori Infektionen und Zwölffingerdarmgeschwüren wurden bei 219 Patienten in Studie 4 und 228 Patienten in Studie 5 bestätigt. Diese Studien verglichen das Kombinationsschema mit den Kapseln von Capsules von Omeprazol Magnesium, und Clarithromycin-Monotherapien. Die Studien 6 und 7 wurden in Europa durchgeführt und wurden 154 bzw. 215 Patienten eingeschlossen. H. Pylori In der Studie 7 wurden bei 148 Patienten in Studie 6 und 208 Patienten in Studie 7 die Kombinationsschema mit der Omeprazol -Monotherapie verglichen. Die Ergebnisse für die Wirksamkeitsanalysen für diese Studien werden nachstehend beschrieben. H. Pylori Die Ausrottung wurde 4 Wochen nach dem Ende der Behandlung als kein positiver Test (Kultur oder Histologie) definiert, und zwei negative Tests waren erforderlich, um als ausgerottet zu werden H. Pylori . In der pro-Protokoll-Analyse wurden die folgenden Patienten ausgeschlossen: Ausfallpatienten mit fehlender H. Pylori Tests nach der Behandlung und Patienten, die nicht bewertet wurden H. Pylori Ausrottung, weil festgestellt wurde, dass sie am Ende der Behandlung ein Geschwür haben.
Die Kombination von Omeprazol und Clarithromycin war wirksam bei der Ausrottung H. Pylori .
Tabelle 10: H. Pylori Ausrottung Rates (Pro Protokoll Analysis at 4 to 6 Weeks) % of Patients Cured [95% Confidence Interval]
| Omeprazol magnesium delayed-release capsules + Clarithromycin | Omeprazol magnesium delayed-release capsules | Clarithromycin | |
| US -Studien | |||
| Studie 4 | 74 [60 85] 12 | 0 [0 7] | 31 [18 47] |
| (n = 53) | (n = 54) | (n = 42) | |
| Studie 5 | 64 [51 76] 12 | 0 [0 6] | 39 [24 55] |
| (n = 61) | (n = 59) | (n = 44) | |
| Nicht wir Studien | |||
| Studie 6 | 83 [71 92] 2 | 1 [0 7] | N / A |
| (n = 60) | (n = 74) | ||
| Studie 7 | 74 [64 83] 2 | 1 [0 6] | N / A |
| (n = 86) | (n = 90) | ||
| 1 Statistisch signifikant höher als Clarithromycin -Monotherapie (P. <0.05). 2 Statistisch signifikant höher als die Omeprazol -Monotherapie (P. <0.05). |
Die Ulkusheilung war nicht signifikant unterschiedlich, wenn Clarithromycin zur Omeprazol -Therapie im Vergleich zur Omeprazol -Therapie allein zugesetzt wurde.
Die Kombination von Omeprazol und Clarithromycin war wirksam bei der Ausrottung H. Pylori Und reduced duodenal ulcer recurrence.
Tabelle 11: Duodenal Ulcer Recurquenzraten von H. Pylori Ausrottung Status % of Patients with Ulcer Recurrence
| H. Pylori eradicated 1 | H. Pylori not eradicated 1 | |
| US -Studien 2 | ||
| 6 Monate nach der Behandlung | ||
| Studie 4 | 35 4 | 60 |
| (n = 49) | (n = 88) | |
| Studie 5 | 8 4 | 60 |
| (n = 53) 4 | (n = 106) | |
| Nicht wir Studien 3 | ||
| 6 Monate nach der Behandlung | ||
| Studie 6 | 5 4 | 46 |
| (n = 43) | (n = 78) | |
| Studie 7 | 6 4 | 43 |
| (n = 53) 4 | (n = 107) | |
| 12 Monate nach der Behandlung | ||
| Studie 6 | 5 4 | 68 |
| (n = 39) | (n = 71) | |
| 1 H. Pylori Ausrottungsstatus wurde zu einem gleichen Zeitpunkt als Rezidiv des Geschwüres bewertet. 2 Kombinierte Ergebnisse für Kapseln von Omeprazol-Magnesium-Veröffentlichungskapseln Clarithromycin Omeprazol-Magnesium-Kapseln verzögerter Release-Kapseln und CLARITHROMYCIN-Behandlungsarme. 3 Kombinierte Ergebnisse für Capseln von Omeprazol-Magnesium verzögerte Release-Kapseln Clarithromycin und Omeprazol-Magnesium-Capsules Behandlungsarme. 4 (P ≤ 0.01) versus proportion with duodenal ulcer recurrence who were not H. Pylori ausgerottet. |
Aktives gutartiges Magengeschwür
In einer US-amerikanischen multizentrischen Doppelblindstudie mit Omeprazol 40 mg einmal täglich 20 mg einmal täglich und Placebo bei 520 Patienten mit endoskopisch diagnostiziertem Magengeschwür wurden folgende Ergebnisse erzielt.
Behandlung von Magengeschwüren % der geheilten Patienten (alle behandelten Patienten)
| Omeprazol-Magnesium-Veröffentlichungskapseln 20 mg einmal täglich (n = 202) | Omeprazol-Magnesium-Veröffentlichungskapseln 40 mg einmal täglich (n = 214) | Placebo (n = 104) | |
| Woche 4 | 47.5 1 | 55.6 1 | 30.8 |
| Woche 8 | 74.8 1 | 82.7 12 | 48.1 |
| 1 (P <0.01) Omeprazol-Magnesium-Veröffentlichungskapseln 40 mg or 20 mg versus placebo. 2 (P <0.05) Omeprazol-Magnesium-Veröffentlichungskapseln 40 mg versus 20 mg. |
Für die geschichteten Patienten von Patienten mit Geschwürengröße von weniger als 1 cm wurde nach 4 oder 8 Wochen kein Unterschied in den Heilungsraten zwischen 40 mg und 20 mg nachgewiesen. Bei Patienten mit Geschwürengröße von mehr als 1 cm 40 mg war nach 8 Wochen signifikant wirksamer als 20 mg.
In einer fremden multinationalen doppelblinden Studie mit 602 Patienten mit endoskopisch diagnostiziertem Magengeschwüren Omeprazol wurden einmal täglich 20 mg einst täglich und Ranitidin zweimal täglich 150 mg bewertet.
Behandlung von Magengeschwüren % der geheilten Patienten (alle behandelten Patienten)
| Omeprazol Magnesium verzögerte Freisetzungskapseln 20 mg einmal täglich (n = 200) | Omeprazol Magnesium verzögerte Freisetzungskapseln 40 mg einmal täglich (n = 187) | Ranitidin 150 mg zweimal täglich (n = 199) | |
| Woche 4 | 63.5 | 78.1 12 | 56.3 |
| Woche 8 | 81.5 | 91.4 12 | 78.4 |
| 1 (P <0.01) Omeprazol-Magnesium-Veröffentlichungskapseln 40 mg versus ranitidine. 2 (P <0.01) Omeprazol-Magnesium-Veröffentlichungskapseln 40 mg versus 20 mg. |
Symptomatische GERD
Eine placebokontrollierte Studie wurde in Skandinavien durchgeführt, um die Wirksamkeit von Omeprazol 20 mg oder 10 mg einmal täglich für bis zu 4 Wochen bei der Behandlung von Sodbrennen und anderen Symptomen bei GERD-Patienten ohne EE zu vergleichen. Die Ergebnisse sind unten angezeigt.
% Erfolgreiches symptomatisches Ergebnis 1
| Omeprazol Magnesium verzögerte Rettungskapseln 20 mg Uhr morgens. | Omeprazol-Magnesium-Veröffentlichungskapseln 10 mg a.m. | Placebo A.M. | |
| Alle Patienten | 46 23 | 31 3 | 13 |
| (n = 205) | (n = 199) | (n = 105) | |
| Patienten mit bestätigter GERD | 56 23 | 36 3 | 14 |
| (n = 115) | (n = 109) | (n = 59) | |
| 1 Definiert als vollständige Auflösung des Sodbrennens. 2 (P <0.005) versus 10 mg. 3 (P <0.005) versus placebo. |
EE aufgrund säurerhielten GERD
In einer US-amerikanischen doppeltblind-placebokontrollierten multizentrischen Studie mit 20 mg oder 40 mg Omeprazol-Magnesium-Kapseln verzögerte Rollenkapseln bei Patienten mit Symptomen von GERD und endoskopisch diagnostiziertem EE von EE der prozentualen Heilungsraten (pro Protokoll) waren wie folgt:
| 20 mg Omeprazol Magnesium verzögerte Freisetzungskapseln (n = 83) | 40 mg Omeprazol-Magnesium-Veröffentlichungskapseln mit verzögerten Freisetzung (n = 87) | Placebo (n = 43) | |
| Woche 4 | 39 1 | 45 1 | 7 |
| Woche 8 | 74 1 | 75 1 | 14 |
| 1 (P <0.01) Omeprazol-Magnesium-Veröffentlichungskapseln versus placebo. |
In dieser Studie war die 40-mg-Dosis der 20-mg-Dosis von Omeprazol-Magnesium-Veröffentlichungskapseln in der prozentualen Heilungsrate nicht überlegen. Andere kontrollierte klinische Studien haben auch gezeigt, dass die Kapseln von Omeprazol-Magnesium-Veröffentlichungskapseln in schwerer GERD wirksam sind. In Vergleich mit Histamin-H2-Rezeptorantagonisten bei Patienten mit EE-Grad 2 oder über Omeprazol-Magnesium-Kapseln in einer Dosis von 20 mg war signifikant wirksamer als die aktiven Kontrollen. Komplette Tag- und Nacht -Sodbrennen erleichterte sich erheblich schneller (P. P. <0.01) in patients treated with Omeprazol-Magnesium-Veröffentlichungskapseln than in those taking placebo or histamine H2-receptor antagonists.
In diesem und fünf weiteren kontrollierten GERD -Studien gaben signifikant mehr Patienten mit 20 mg Omeprazol (84%) eine vollständige Linderung der GERD -Symptome an als Patienten, die Placebo erhielten (12%).
Aufrechterhaltung der Heilung von EE aufgrund von Säure-vermittelter GERD
In einer US-amerikanischen doppelblinden randomisierten multizentrischen placebokontrollierten Studie wurden zwei Dosisschemata von Omeprazol-Magnesium-Kapseln verzögerte Rollenkapseln untersucht. Die Ergebnisse zur Bestimmung der Aufrechterhaltung der Heilung von EE sind unten aufgeführt.
Analyse der Lebenstabelle
| Omeprazol-Magnesium-Veröffentlichungskapseln 20mg once daily (n = 138) | Omeprazol Magnesium verzögerte Freisetzungskapseln 20 mg 3 Tage pro Woche (n = 137) | Placebo (n = 131) | |
| Prozent in der endoskopischen Remission nach 6 Monaten | 70 1 | 34 | 11 |
| 1 (P <0.01) Omeprazol-Magnesium-Veröffentlichungskapseln 20 mg einmal täglich versus Omeprazol-Magnesium-Veröffentlichungskapseln 20 mg 3 consecutive days per week or placebo. |
In einer internationalen multizentrischen Doppelblindstudie wurden Omeprazol-Magnesium-Kapseln verzögerter Rettungskapseln täglich 20 mg und 10 mg täglich mit Ranitidin mit 150 mg bei Patienten mit endoskopisch bestätigter geheilte Ösophagitis verglichen. Die folgende Tabelle enthält die Ergebnisse dieser Studie zur Aufrechterhaltung der Heilung von EE.
Analyse der Lebenstabelle
| Omeprazol-Magnesium-Veröffentlichungskapseln 20 mg einmal täglich (n = 131) | Omeprazol-Magnesium-Veröffentlichungskapseln 10 mg once daily (n = 133) | Ranitidin 150 mg zweimal täglich (n = 128) | |
| Prozent in der endoskopischen Remission nach 12 Monaten | 77 1 | 58 2 | 46 |
| 1 (P = 0.01) Omeprazol-Magnesium-Veröffentlichungskapseln 20 mg einmal täglich versus Omeprazol-Magnesium-Veröffentlichungskapseln 10 mg once daily or Ranitidine. 2 (P = 0.03) Omeprazol-Magnesium-Veröffentlichungskapseln 10 mg once daily versus Ranitidine. |
Bei Patienten, die zunächst die Klassen 3 oder 4 erosive Ösophagitis hatten, um nach der Heilung von 20 mg täglicher Omeprazol-Magnesium-Kapseln mit verzögerter Release zu erhalten, war wirksam, während 10 mg keine Wirksamkeit zeigten.
Pathologische hypersekretorische Bedingungen
In offenen Studien von 136 Patienten mit pathologischen hypersekretorischen Erkrankungen wie dem Zollinger-Ellison (ZE) -Syndrom mit oder ohne multiple endokrine Adenome Omeprazol-Magnesium verzögerte Kapseln mit verzögerten Release inhibierten Magensäuresekretion und kontrollierte assoziierte Symptome von Diät-Anorexien und Schmerz. Die Dosen im Bereich von 20 mg pro Tag bis 360 mg pro Tag hielten bei Patienten ohne vorherige Magenoperation und unter 5 MEQ/HR bei Patienten mit vorheriger Magenoperation eine Basalsäuresekretion unter 10 meq/h.
Die anfänglichen Dosen wurden auf den individuellen Patientenbedarf titriert, und bei einigen Patienten waren die Anpassungen erforderlich [siehe Dosierung und Verwaltung ]. Omeprazol-Magnesium-Kapseln verzögerte Freisetzungskapseln wurden bei diesen hohen Dosisspiegeln für längere Perioden (> 5 Jahre bei einigen Patienten) gut toleriert. Bei den meisten ZE-Patienten wurden Serum-Gastrinspiegel nicht durch Omeprazol-Magnesium-Kapseln verzögerte Release-Kapseln modifiziert. Bei einigen Patienten stieg der Serum -Gastrin jedoch auf Spiegel an, die vor Beginn der Omeprazol -Therapie größer sind als diejenigen, die vorhanden waren. Mindestens 11 Patienten mit ZE-Syndrom bei der Langzeitbehandlung mit Omeprazol-Magnesium-Kapseln verzögerte Rettungskapseln entwickelten Magenkarzinoide. Es wird angenommen, dass diese Befunde eine Manifestation der zugrunde liegenden Erkrankung sind, von der bekannt ist Nebenwirkungen ].
Pädiatrische Studien zur Behandlung der symptomatischen GERD-Behandlung von EE aufgrund von Säure-vermittelter GERD und Aufrechterhaltung der Heilung von EE aufgrund säurevermittelter GERD
Behandlung von symptomatischem GERD
Die Wirksamkeit von Capseln von Omeprazol-Magnesium-Verzögerungsfreisetzungen zur Behandlung von symptomatischen GERD bei pädiatrischen Patienten 1 bis 16 Jahre basiert teilweise auf Daten, die von 125 pädiatrischen Patienten in zwei unkontrollierten klinischen Studien erhalten wurden.
In der ersten Studie wurden 12 pädiatrische Patienten mit einer Vorgeschichte klinisch diagnostizierter GERD eingeschrieben. Die Patienten erhielten 8 Wochen lang eine einzige Dosis Omeprazol (NULL,5 mg/kg 1 mg/kg oder 1,5 mg/kg) als offene Kapsel in 8,4% Natriumbicarbonat -Lösung. Fünfundsiebzig Prozent (9/12) der Patienten hatten Erbrechen-/Regurgitationsepisoden von der Ausgangswert um mindestens 50%.
In der zweiten Studie wurden 113 pädiatrische Patienten im Alter von 2 bis 16 Jahren mit einer Vorgeschichte von Symptomen aufgenommen, die auf symptomatische GERD hinweisen. Den Patienten wurde 4 Wochen lang eine einzige Dosis Omeprazol (10 mg oder 20 mg basierend auf dem Körpergewicht) als intakte Kapsel oder als offene Kapsel in Apfelmus verabreicht. Eine erfolgreiche Reaktion wurde definiert als keine moderaten oder schweren Episoden von schmerzbedingten Symptomen oder Erbrechen/Regurgitation in den letzten 4 Tagen der Behandlung. Die Ergebnisse zeigten Erfolgsraten von 60% (9/15; 10 mg Omeprazol) bzw. 59% (58/98; 20 mg Omeprazol).
Behandlung von EE aufgrund säurerheizter GERD
In einer unkontrollierten Open-Label-Dosis-Titrationsstudie zur Behandlung von EE bei pädiatrischen Patienten benötigten 1 bis 16 Jahre Dosen, die zwischen 0,7 und 3,5 mg/kg/Tag (80 mg/Tag) lag. Die Dosen wurden mit 0,7 mg/kg/Tag initiiert. Die Dosen waren in Schritten von 0,7 mg/kg/Tag erhöht (wenn der pH -Wert intraesophagealer pH von von einem pH -Wert zeigte <4 for less than 6% of a 24-hour study). After titration patients remained on treatment for 3 months. Forty-four percent of the patients were healed on a dose of 0.7 mg/kg body weight; most of the remaining patients were healed with 1.4 mg/kg after an additional 3 months’ treatment. EE was healed in 51 of 57 (90%) children who completed the first course of treatment in the healing phase of the study. In addition after 3 months of treatment 33% of the children had no overall symptoms 57% had mild reflux symptoms Und 40% had less frequent regurgitation/Erbrechen.
Aufrechterhaltung der Heilung von EE aufgrund von Säure-vermittelter GERD
In einer unkontrollierten Open-Label-Studie zur Aufrechterhaltung der Heilung von EE bei 46 pädiatrischen Patienten benötigten 54% der Patienten die Hälfte der Heilungsdosis. Die verbleibenden Patienten erhöhten die Heilungsdosis (NULL,7 auf maximal 2,8 mg/kg/Tag) entweder für den gesamten Wartungszeitraum oder kehrten vor Abschluss zur Hälfte der Dosis zurück. Von den 46 Patienten, die in die Wartungsphase 19 eintraten (41%), hatten während der Nachuntersuchung keinen Rückfall (Bereich 4 bis 25 Monate). Bei der Erhaltungstherapie bei EE -Patienten führte 63% der Patienten keine Gesamtsymptome.
Referenzen
1. Clinical and Laboratory Standards Institute (CLSI). Methoden zur Verdünnung antimikrobieller Suszeptibilitätstests für Bakterien, die aerob wachsen; Genehmigte Standardausgabe. CLSI-Dokument M07-A10 Klinische und Laborstandards Institute 950 West Valley Road Suite 2500 Wayne Pennsylvania 19087 USA 2015.
Patienteninformationen für Prilosec
Prilosec®
(Pry-lo-sec)
(Omeprazol Magnesium) für die orale Aufhängung verzögerter Freisetzung
Was sind die wichtigsten Informationen, die ich über Prilosec wissen sollte?
Prilosec may help your acid-related symptoms but you could still have serious stomach problems. Talk with your doctor.
Prilosec can cause serious side effects including:
- Eine Art von Nierenproblem (akute tubulointerstitielle Nephritis). Einige Menschen, die Protonenpumpeninhibitor (PPI) Medikamente, einschließlich Prilosec, einnehmen, können ein Nierenproblem entwickeln, das als akutes Tubulointerstitial -Nephritis bezeichnet wird und zu jeder Zeit während der Behandlung mit Prilosec auftreten kann. Rufen Sie Ihren Arzt sofort an, wenn Sie die Menge, die Sie urinieren, oder wenn Sie Blut im Urin haben.
- Durch eine Infektion verursachte Durchfall (durch eine Infektion ( Clostridium difficile ) im Darm. Rufen Sie Ihren Arzt sofort an, wenn Sie wässrige Stühle oder Magenschmerzen haben, die nicht verschwinden. Sie können Fieber haben oder nicht.
- Knochenbrüche (Hüftgelenk oder Wirbelsäule). Knochenbrüche im Hüftgelenk oder in der Wirbelsäule können bei Menschen auftreten, die mehrere tägliche Dosen von PPI -Medikamenten und für einen langen Zeitraum (ein Jahr oder länger) einnehmen. Sagen Sie Ihrem Arzt, wenn Sie eine Knochenbrüche haben, insbesondere im Hüftgelenk oder in der Wirbelsäule.
- Bestimmte Arten von Lupus erythematodes. Lupus erythematodes ist eine Autoimmunerkrankung (die Immunzellen des Körpers greifen andere Zellen oder Organe im Körper an). Einige Menschen, die PPI -Medikamente einschließlich Prilosec einnehmen, können bestimmte Arten von Lupus erythematodes entwickeln oder die Lupus, die sie bereits haben, verschlechtern. Rufen Sie Ihren Arzt sofort an, wenn Sie neue oder verschlechternde Gelenkschmerzen oder einen Ausschlag auf Ihren Wangen oder Armen haben, die in der Sonne schlechter werden.
Sprechen Sie mit Ihrem Arzt über Ihr Risiko für diese schwerwiegenden Nebenwirkungen. Prilosec kann andere schwerwiegende Nebenwirkungen haben. Sehen Sie, was die möglichen Nebenwirkungen von Prilosec sind?
Was ist Prilosec?
Ein verschreibungspflichtiges Medikament, das als Protonenpumpeninhibitor (PPI) bezeichnet wird, um die Säuremenge in Ihrem Magen zu verringern.
Bei Erwachsenen Prilosec is used for:
- Bis zu 8 Wochen für die Heilung von Zwölffingerdarmgeschwüren.
- 10 bis 14 Tage mit bestimmten Antibiotika zur Behandlung einer durch Bakterien genannten Bakterien H. Pylori . Bei Bedarf kann Ihr Arzt nach der Behandlung mit den Antibiotika weitere 14 bis 18 Tage Prilosec verschreiben.
- Bis zu 8 Wochen zur Heilung von Magengeschwüren.
- Bis zu 4 Wochen zu behandeln Sodbrennen Und other symptoms that happen with gastroösophagealer Reflux disease (GERD).
- Bis zu 8 Wochen für die Heilung und Symptomlinderung von säurebedingten Schäden an der Auskleidung der Speiseröhre (als erosive Ösophagitis oder EE bezeichnet). Ihr Arzt kann weitere 4 Wochen Prilosec bei Patienten verschreiben, deren EE nicht heilt.
- Aufrechterhaltung der Heilung von EE und zur Verhinderung der Rückkehr von Sodbrennensymptomen, die durch GERD verursacht werden. Es ist nicht bekannt, ob Prilosec für diesen Zweck länger als 12 Monate lang sicher und wirksam ist.
- Die langfristige Behandlung von Erkrankungen, bei denen Ihr Magen zu viel Säure macht. Dies beinhaltet einen seltenen Zustand namens Zollinger-Elison-Syndrom.
Bei Kindern im Alter von 1 bis 16 Jahren Prilosec is used for:
- Bis zu 4 Wochen zu behandeln Sodbrennen Und other symptoms that happen with GERD.
- Bis zu 8 Wochen, um GERD mit EE zu behandeln.
- Aufrechterhaltung der Heilung von EE und zur Verhinderung der Rückkehr von Sodbrennensymptomen, die durch GERD verursacht werden. Es ist nicht bekannt, ob Prilosec für diesen Zweck länger als 12 Monate sicher und wirksam ist.
Bei Kindern 1 Monat bis weniger als 12 Monate alt Prilosec is used for:
- Bis zu 6 Wochen, um GERD mit EE zu behandeln. Es ist nicht bekannt, ob Prilosec sicher und wirksam für andere Verwendungen bei Kindern von 1 Monat bis weniger als 12 Monaten oder bei Kindern im Alter von weniger als 1 Monat ist.
Nehmen Sie Prilosec nicht, wenn Sie:
- Allergisch gegen Omeprazol jedes andere PPI -Medizin oder eines der Zutaten in Prilosec. Eine vollständige Liste von Zutaten finden Sie im Ende dieses Medikamentenleitfadens.
- Einnahme eines Arzneimittels, das Rilpivirin (Edurant Complera ODEFSEY) enthält, die zur Behandlung von HIV-1 (Human Immunodeficiency Virus) verwendet werden.
Bevor Sie Prilosec nehmen, informieren Sie Ihren Arzt von all Ihren medizinischen Erkrankungen, einschließlich dessen, wenn Sie:
- Haben Sie niedrige Magnesiumspiegel niedriger Calciumspiegel und niedrige Kaliumspiegel in Ihrem Blut.
- sind schwanger oder planen, schwanger zu werden. Es ist nicht bekannt, ob Prilosec Ihrem ungeborenen Baby schädigen wird.
- stillen oder planen zu stillen. Prilosec kann in Ihre Muttermilch übergehen. Sprechen Sie mit Ihrem Arzt über den besten Weg, um Ihr Baby zu füttern, wenn Sie Prilosec einnehmen.
- Erzählen Sie Ihrem Arzt von all den Medikamenten, die Sie einnehmen einschließlich verschreibungspflichtiger und rezeptfreier Medikamente Vitamine und Kräuterpräparate. Sagen Sie Ihrem Arzt besonders, wenn Sie nehmen Ein Medikament, das Clarithromycin oder Amoxicillin Clopidogrel (Plavix) Methotrexat (OTRXUP Rasuvo Trexall Xatmep) Digoxin (Lanoxin) Eine Wasserpille (harntisch) St. Johns Wort (Lanoxin) (Lanoxin) enthält, (Lanoxin). Hypericum Perforatum ) oder rimactaan (Rimactane -Schock war schockiert).
Wie soll ich Prilosec einnehmen?
- Nehmen Sie Prilosec genau wie von Ihrem Arzt vorgeschrieben.
- Ändern Sie Ihre Dosis nicht oder stoppen Sie Prilosec nicht, ohne mit Ihrem Arzt zu sprechen.
- Prilosec is usually taken 1 time each day.
- Nehmen Sie Prilosec vor einer Mahlzeit.
- Antazida können mit Prilosec eingenommen werden.
- Prilosec is mixed with water Und can be taken by mouth or given through a nasoGastric (NG) tube or Gastric tube.
- Siehe das Anweisungen zur Verwendung Am Ende dieser Medikamentenführung, um Anweisungen zum Mischen und Nehmen von Prilosec mit dem Mund im Wasser oder zum Mischen und Ergeben von Prilosec durch ein in Wasser gemischtes NG -Röhrchen oder Magenrohr.
- Wenn Sie eine Dosis Prilosec vermissen, nehmen Sie es so, wie Sie sich erinnern. Wenn es fast Zeit für Ihre nächste Dosis ist, nehmen Sie die verpasste Dosis nicht. Nehmen Sie die nächste Dosis zu Ihrer regulären Zeit. Nehmen Sie keine 2 Dosen gleichzeitig.
- Wenn Sie zu viel Prilosec nehmen, rufen Sie Ihren Arzt oder Ihr Poison Control Center sofort unter 1-800-222-1222 an oder gehen Sie in die nächste Notaufnahme.
Was sind die möglichen Nebenwirkungen von Prilosec?
Prilosec can cause serious side effects including:
- Sehen Was sind die wichtigsten Informationen, die ich über Prilosec wissen sollte?
- Niedrige Vitamin B-12-Spiegel In Ihrem Körper kann bei Menschen stattfinden, die Prilosec seit langem (mehr als 3 Jahre) eingenommen haben. Sagen Sie Ihrem Arzt, wenn Sie Symptome eines niedrigen Vitamin-B-12-Spiegels haben, einschließlich Atemnot des Atemnots unregelmäßiger Herzschlag Muskelschwäche blasse Haut, die müde Stimmungsänderungen und Kribbeln oder Taubheit in den Armen und Beinen spüren.
- Niedrige Magnesiumspiegel und Mineralstoffwechsel in Ihrem Körper Kann bei Menschen passieren, die Prilosec seit mindestens 3 Monaten eingenommen haben. Sagen Sie Ihrem Arzt, wenn Sie Symptome eines niedrigen Magnesiumspiegels haben, einschließlich Anfällen schwindelerregender Herzbeat Muskelschmerzen oder Schwäche und Krämpfe von Händen oder Stimme.
- Magengrau (Fundic Glan Polyps). Menschen, die lange Zeit PPI -Medikamente einnehmen, haben ein erhöhtes Risiko, dass eine bestimmte Art von Magenwachstum als Fund -Drüsenpolypen bezeichnet wird, insbesondere nach der Einnahme von PPI -Medikamenten seit mehr als 1 Jahr.
- Schwere Hautreaktionen. Prilosec can cause rare but severe skin reactions that may affect any part of your body. These serious skin reactions may need to be treated in a hospital Und may be life threatening:
- Hautausschlag, der auf jedem Teil Ihrer Haut schälen oder blutet (einschließlich der Lippen Augen Mundnase Genitalien Hände oder Füße).
- Möglicherweise haben Sie auch Fieberschüttelkörperkörpern und vergrößerte Lymphknoten.
Hören Sie auf, Prilosec zu nehmen, und rufen Sie sofort Ihren Arzt an. Diese Symptome können das erste Anzeichen einer schweren Hautreaktion sein.
Die häufigsten Nebenwirkungen von Prilosec bei Erwachsenen sind: Kopfschmerzen stomach-area (abdominal) pain Brechreiz Durchfall Erbrechen Und Gas.
Die häufigsten Nebenwirkungen von Prilosec bei Kindern im Alter von 1 bis 16 Jahren sind: Infektion der oberen Atemwege Fieber Kopfschmerz Magengebiet (Abdominal) Schmerz Übelkeit Durchfall Erbrechen und Gas. Dies sind nicht alle möglichen Nebenwirkungen von Prilosec. Rufen Sie Ihren Arzt an, um medizinische Beratung zu Nebenwirkungen zu erhalten. Sie können die FDA bei 1-800-FDA-1088 Nebenwirkungen melden.
Wie soll ich Prilosec aufbewahren?
Lagern Sie Prilosec bei Raumtemperatur zwischen 20 ° C bis 25 ° C.
Halten Sie Prilosec und alle Medikamente außerhalb der Reichweite der Kinder.
Allgemeine Informationen über den sicheren und effektiven Einsatz von Prilosec.
Medikamente werden manchmal für andere Zwecke als die in einem Medikamentenhandbuch aufgeführten Zwecke verschrieben. Verwenden Sie Prilosec nicht für eine Erkrankung, für die es nicht vorgeschrieben wurde. Geben Sie anderen Menschen nicht Prilosec an, auch wenn sie die gleichen Symptome haben, die Sie haben. Es kann ihnen schaden. Sie können Ihren Arzt oder Apotheker um Informationen zu Prilosec bitten, die für medizinische Fachkräfte geschrieben wurden.
Was sind die Zutaten in Prilosec?
Wirkstoff: Omeprazol Magnesium
Inaktive Zutaten: Glycerylmonostearathydroxypropylcellulose -Hypromellose -Magnesium -Stearat -Methacrylsäure -Copolymer -C -Polysorbat -Zucker -Kugeln Talk und Triethylcitrat sowie inaktive Granulate. Die inaktiven Granulate bestehen aus Zitronensäure -Crospovidon -Dextrose -Hydroxypropylcellulose -Eisenoxid und Xanthan -Kaugummi.
Anweisungen zur Verwendung
Prilosec®
(Pry-lo-sec)
(Omeprazol Magnesium) für die orale Aufhängung verzögerter Freisetzung
Prilosec in Wasser einnehmen:
- Prilosec comes in packets containing 2.5 mg Und 10 mg of Prilosec.
- Verwenden Sie eine orale Spritze, um die Menge an Wasser zu erstellen, die für die Mischung Ihrer Dosis erforderlich ist. Fragen Sie Ihren Apotheker um eine mündliche Spritze.
- Wenn Ihre Dosis Prilosec 2,5 mg beträgt, fügen Sie 5 ml Wasser zu einem sauberen Behälter hinzu. Entleeren Sie den Inhalt des 2,5 -mg -Pakets in den Wasserbehälter.
- Wenn Ihre Dosis Prilosec 10 mg beträgt, geben Sie 15 ml Wasser zu einem sauberen Behälter. Entleeren Sie den Inhalt des 10 -mg -Pakets in den Wasserbehälter.
- Wenn Sie oder Ihr Kind angewiesen werden, mehr als 1 Paket für Ihre Dosis Prilosec zu verwenden, befolgen Sie die von Ihrem Apotheker oder Arzt bereitgestellten Mischanweisungen.
- Aufsehen.
- Lassen Sie die Mischung 2 bis 3 Minuten lang, um sich zu verdicken.
- Rühren und die Mischung innerhalb von 30 Minuten trinken. Wenn nicht innerhalb von 30 Minuten verwendet werden, werfen Sie diese Dosis weg und mischen Sie eine neue Dosis.
- Wenn irgendwelche Medikamente nach dem Trinken bleiben, fügen Sie sofort mehr Wasser auf, und trinken Sie sofort.
Geben Sie Prilosec mit Wasser durch einen Nasogastric (NG) -Röhrchen oder Magenrohr:
Für Personen mit einem NG -Röhrchen oder einem Magenrohr, das eine Größe von 6 oder größer ist, kann wie folgt verabreicht werden:
- Prilosec comes in packets containing 2.5 mg Und 10 mg of Prilosec.
- Verwenden Sie nur eine Spritze mit Katheterspitzen, um Prilosec durch ein NG -Röhrchen oder ein Magenrohr zu ergeben, das 6 oder größer ist.
- Wenn Ihre Prilosec -Dosis 2,5 mg beträgt, fügen Sie 5 ml Wasser zu einer Spritze mit Katheterspitzen hinzu. Fügen Sie den Inhalt des 2,5 -mg -Pakets zur Spritze hinzu.
- Wenn Ihre Dosis Prilosec 10 mg beträgt, geben Sie 15 ml Wasser zu einer Spritze mit Katheterspitzen. Fügen Sie den Inhalt des 10 -mg -Pakets zur Spritze hinzu.
- Schütteln Sie die Spritze sofort und lassen Sie die Mischung 2 bis 3 Minuten lang, um sich zu verdicken.
- Die Spritze schütteln und innerhalb von 30 Minuten das NG -Rohr oder das Magenrohr in den Magen einfügen.
- Füllen Sie die Spritze mit der gleichen Menge Wasser nach, mit der Sie Ihre Dosis Prilosec vorbereiten (5 ml oder 15 ml Wasser, abhängig von Ihrer Dosis).
- Schütteln Sie die Spritze und spülen Sie alle verbleibenden Medikamente aus dem NG -Röhrchen oder Magenrohr in den Magen.
Dieser Medikamentenführer wurde von der US -amerikanischen Food and Drug Administration genehmigt
So verwenden Sie Triamcinolon Acetonidcreme