Die Informationen Auf Dieser Website Stellen Keine Medizinische Beratung Dar. Wir Verkaufen Nichts. Die Richtigkeit Der Übersetzung Wird Nicht Garantiert. Haftungsausschluss
Antibiotika, Ophthalmic
Ilootycin
Drogenzusammenfassung
Was ist Ilootycin?
Ilootycin ( Erythromycin ) Salbe ist ein Antibiotikum, das zur Behandlung oberflächlicher Augeninfektionen (Augen-) Infektionen und zur Verhinderung von Gonokokken- oder Chlamydialkonjunktivitis für Neugeborene verwendet wird. Der Markenname Ilootycin wird aber nicht eingestellt generisches Versionen können verfügbar sein.
Was sind Nebenwirkungen von Ilootycin?
Ilootycin
- Neue oder verschlechterende Augensymptome (Schmerzschwellungen dicker Entladung oder Eiter)
- Ausschlag
- Juckreiz
- Schwellung der Gesichtszunge oder Kehle
- schwerer Schwindel und
- Probleme beim Atmen
Holen Sie sich sofort medizinische Hilfe, wenn Sie eines der oben aufgeführten Symptome haben.
Häufige Nebenwirkungen von Ilootycin (Erythromycin) Salbe umfassen:
- Kleinere Augenreizungen
- stechen
- Verbrennung
- Rötung
- vorübergehende verschwommene Vision und
- Überempfindlichkeitsreaktionen.
Suchen Sie medizinische Versorgung oder rufen Sie auf einmal 911 an, wenn Sie die folgenden schwerwiegenden Nebenwirkungen haben:
- Schwerwiegende Augensymptome wie plötzlicher Sehverlust verschwommenes Sehen Tunnel Sehschmerzen oder Schwellungen oder Halos in der Umgebung des Lichts;
- Schwerwiegende Herzsymptome wie schnelle unregelmäßige oder pochende Herzschläge; Flattern in deiner Brust; Kurzatmigkeit; und plötzliche Schwindel -Benommenheit oder ohnmächtig;
- Starke Kopfschmerzen Verwirrung verwirrt Spracharm oder Bein Schwäche Schwierigkeiten beim Verlust der Koordination unstabil sehr steifes Muskeln hoher Fieber problemlos Schwitzen oder Zittern.
Dieses Dokument enthält nicht alle möglichen Nebenwirkungen und andere können auftreten. Wenden Sie sich an Ihren Arzt nach zusätzlichen Informationen zu Nebenwirkungen.
Dosierung für Ilootycin
Bei der Behandlung von oberflächlichen Augeninfektionen sollte eine Dosis eines Bandes ungefähr 1 cm in der Länge von Ilootycin -ophthalmischer Salbe in Abhängigkeit von der Schwere der Infektion direkt auf die infizierte Struktur bis zum 6 -fachen täglich angewendet werden. Um eine Neugeborene -Gonokokken- oder Chlamydialkonjunktivitis zu verhindern, sollte ein Salbenband von ungefähr 1 cm in jede untere Konjunktivalsack eingebettet werden.
Nebenwirkungen von Ofloxacin -Augentropfen
Welche Medikamentensubstanzen oder Nahrungsergänzungsmittel interagieren mit Ilootycin?
Ilootycin kann mit anderen Medikamenten interagieren. Sagen Sie Ihrem Arzt alle Medikamente und Nahrungsergänzungsmittel, die Sie verwenden.
Ilootycin während der Schwangerschaft oder des Stillens
Sagen Sie Ihrem Arzt, wenn Sie schwanger sind oder vor der Verwendung von Ilootycin schwanger werden. Wenden Sie sich vor dem Stillen an Ihren Arzt.
Weitere Informationen
Unsere Ilootycin (Erythromycin) -Salbe -Nebenwirkungen Medikamente bietet eine umfassende Übersicht über die verfügbaren Arzneimittelinformationen über die potenziellen Nebenwirkungen bei der Einnahme dieses Medikaments.
FDA -Drogeninformationen
- Drogenbeschreibung
- Indikationen
- Nebenwirkungen
- Warnungen
- Überdosis
- Klinische Pharmakologie
- Medikamentenhandbuch
Beschreibung für Ilootycin
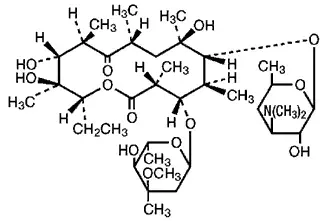
Die Ophthalmic -Salbe von Ilootycin ™ Erythromycin gehört zur Makrolidgruppe von Antibiotika. Es ist grundlegend und bildet leicht ein Salz in Kombination mit einer Säure. Die Basis als Kristalle oder Pulver ist im Äther leicht löslich in Wasser mäßig löslich und in Alkohol oder Chloroform leicht löslich. Erythromycin ((3R* 4S* 5S* 6R* 7R* 9R* 11R* 12R* 13S* 14R*) -4-[(26-Dideoxy-3-C-Methyl-3-) 0 -Methyl-α-L- Fisch -hexopyranosyl) oxy] -14-Ethyl-7 1213-Trihydroxy-3 5 7 9 11 13-Hexamethyl-6-[3 4 6-Trideoxy-3- (Dimethylamino) -β-D- Xylo -hexopyranosyl] oxy] oxacyclotetredecan-2 10-dion) ist ein Antibiotikum, das aus einem Stamm von stamm wird Streptomyces erythraeus . Es hat die folgende strukturelle Formel:
|
Molekülformel: C 37 H 67 NEIN 13
Medellin-Hotels
Molekulargewicht: 733.94
Jedes Gramm enthält Erythromycin USP 5 mg in einer sterilen ophthalmischen Basis von Mineralöl und weißem Petrolatum.
Verwendung für Ilootycin
Zur Behandlung von oberflächlichen Augeninfektionen, an denen die Bindehaut und/oder Hornhaut beteiligt ist, die durch Organismen verursacht werden, die für Erythromycin anfällig sind.
Für die Prophylaxe von Ophthalmia neonatorum aufgrund von N. Gonorrhoeae oder C. trachomatis.
Die Wirksamkeit von Erythromycin bei der Vorbeugung von Ophthalmie durch Penicillinase-produzierende N. Gonorrhoeae ist nicht etabliert.
Für Säuglinge, die von Müttern mit klinisch offensichtlichen Gonorrhoe -intravenösen oder intramuskulären Injektionen von wässrigen kristallinen Penicillin G geboren wurden; Eine einzige Dosis von 50000 Einheiten für Säuglinge oder 20000 Einheiten für Säuglinge mit niedrigem Geburtsgewicht. Die topische Prophylaxe allein ist für diese Säuglinge unzureichend.
Dosierung für Ilootycin
Bei der Behandlung von oberflächlichen Augeninfektionen sollte ein Band mit einer Länge von 1 cm Ilootycin ™ ophthalmischer Salbe je nach Schweregrad der Infektion direkt auf die infizierte Struktur bis zum 6 -fachen täglich angewendet werden.
MSM -Pulvervorteile und Nebenwirkungen
Zur Prophylaxe der Neugeborenen -Gonokokken- oder Chlamydialkonjunktivitis sollte ein Salbenband von ungefähr 1 cm in jeden unteren Bindungssack eingebracht werden. Die Salbe sollte nach der Instillation nicht aus dem Auge gespült werden. Für jedes Kind sollte ein neues Röhrchen verwendet werden.
Wie geliefert
Sterile Ilootycin ™ Ophthalmic Salintment USP 5 mg/g wie folgt:
1 g Manipulationsrohre NDC 48102-016-11
Speichern Sie bei 20 ° bis 25 ° C (68 ° bis 77 ° F) [siehe USP -kontrollierte Raumtemperatur ].
Vermeiden Sie übermäßige Hitze.
Vor dem Einfrieren schützen.
Hergestellt für: Fera Pharmaceuticals LLC Locust Valley NY 11560. Rev. 06/10
Nebenwirkungen für Ilootycin
Die am häufigsten berichteten unerwünschten Reaktionen sind geringfügige Augenreizungen und Überempfindlichkeitsreaktionen.
So nehmen Sie enterische beschichtete Tablets
Um vermutete unerwünschte Reaktionen zu melden, wenden Sie sich an Fera Pharmaceuticals LLC unter (414) 434-6604 Montag bis Freitag von 9 bis 17 Uhr EST oder FDA unter 1-800-FDA-1088 oder www.fda.gov/medwatch.
Wechselwirkungen zwischen Arzneimitteln für Ilootycin
Keine Informationen zur Verfügung gestellt.
Warnungen für Ilootycin
Keine Informationen zur Verfügung gestellt.
Vorsichtsmaßnahmen für Ilootycin
Allgemein
Die Verwendung von antimikrobiellen Wirkstoffen kann mit dem Überwachsen von nicht merkwürdigen Organismen einschließlich Pilzen in Verbindung gebracht werden. In einem solchen Fall sollte die Verabreichung von Antibiotika gestoppt und angemessene Maßnahmen ergriffen werden.
Karzinogenese -Mutagenese -Beeinträchtigung der Fruchtbarkeit
Zwei Jahre orale Studien, die an Ratten mit Erythromycin durchgeführt wurden, lieferten keine Hinweise auf Tumorigenität. Mutagenitätsstudien wurden nicht durchgeführt. In Tierstudien wurde keine Beweise für eine beeinträchtigte Fruchtbarkeit im Zusammenhang mit Erythromycin berichtet.
Schwangerschaft
Teratogene Effekte -Pregnancy Kategorie B
Fortpflanzungsstudien wurden bei Rattenmäusen und Kaninchen unter Verwendung von Erythromycin und seinen verschiedenen Salzen und Estern in Dosen durchgeführt, die mehrere mehrfache der üblichen menschlichen Dosis waren. In diesen Studien wurde kein Hinweis auf Schäden für den Fötus, der mit Erythromycin zu sehen war. Es gibt jedoch keine angemessenen und gut kontrollierten Studien bei schwangeren Frauen. Da tierische Fortpflanzungsstudien nicht immer die menschliche Reaktion vorhersagen, sollten die Erythromycine während der Schwangerschaft nur bei Bedarf angewendet werden.
Pflegemütter
Vorsicht werden gewarnt, wenn Erythromycin einer stillenden Frau verabreicht wird.
Pädiatrische Verwendung
Sehen Indikationen Und Dosierung und Verwaltung .
Überdosierungsinformationen für Ilootycin
Keine Informationen zur Verfügung gestellt.
Kontraindikationen für Ilootycin
Dieses Medikament ist bei Patienten mit Überempfindlichkeit gegen Erythromycin kontraindiziert.
Klinische Pharmakologie foder Ilotycin
Mikrobiologie
Erythromycin hemmt die Proteinsynthese, ohne die Nukleinsäuresynthese zu beeinflussen. Erythromycin ist normalerweise gegen die folgenden Organismen aktiv in vitro Und in clinical infections:
Streptococcus pyogenes (Gruppe A β-hemolytisch)
Alpha-hemolytische Streptokokken (Viridans Group)
Staphylococcus aureus einschließlich Penicillinase-produzierender Stämme (Methicillin-resistente Staphylokokken sind gleichmäßig gegen Erythromycin resistent)
Streptococcus pneumoniae
Mycoplasma pneumoniae (Eaton Agent pplo)
Haemophilus Influenzae (Nicht alle Stämme dieses Organismus sind in den gewöhnlich erreichten Erythromycin -Konzentrationen anfällig)
Treponema blass
CoryNebacterium diphtheriae
Neisseria gonorrhoeae
Chlamydien -Trachome
Patienteninformationen für Ilootycin
Vermeiden Sie die Verschmutzung der Applikatorspitze mit Material aus den Augenfingern oder einer anderen Quelle.
Die besten günstigen Reiseziele