Die Informationen Auf Dieser Website Stellen Keine Medizinische Beratung Dar. Wir Verkaufen Nichts. Die Richtigkeit Der Übersetzung Wird Nicht Garantiert. Haftungsausschluss

Schwebend

Drogenzusammenfassung

Was ist schwierig?

Levoped (Noradrenalin-Bitartrat) ist ein Vasokonstriktor, der dem Adrenalin ähnelt, der zur Behandlung von lebensbedrohlichem niedrigem Blutdruck (Hypotonie) verwendet wird, der bei bestimmten medizinischen Erkrankungen oder chirurgischen Verfahren auftreten kann. Levoped wird häufig während oder nach CPR (kardio-pulmonale Wiederbelebung) verwendet. Levoped ist in erhältlich generisches bilden.

Was sind Nebenwirkungen von Levopse?

Sagen Sie Ihrem Arzt, wenn Sie ernsthafte Nebenwirkungen von Levoped haben, einschließlich:

  • Schwindel
  • Schwäche
  • Kopfschmerzen
  • langsame Herzfrequenz
  • Atemschwierigkeit oder
  • Rötung und Schwellung an der Injektionsstelle.

Zu den schwerwiegenden Nebenwirkungen von Levoped gehören:



  • Schmerzen oder Verbrennen, wo die Injektion gegeben wird
  • plötzliche Taubheit/Schwäche/kaltes Gefühl in Ihrem Körper
  • blaue Lippen oder Fingernägel
  • weniger als gewöhnlich urinieren oder gar nicht
  • Probleme beim Atmen
  • gefährlich hoher Blutdruck (schwere Kopfschmerzen verschwommenes Sehvermögen in Ihren Ohren Angst Verwirrung Brustschmerzen Schmerz Kürze von Atem unregelmäßiger Herzschlag Anfall).

Suchen Sie medizinische Versorgung oder rufen Sie auf einmal 911 an, wenn Sie die folgenden schwerwiegenden Nebenwirkungen haben:

  • Schwerwiegende Augensymptome wie plötzlicher Sehverlust verschwommenes Sehen Tunnel Sehschmerzen oder Schwellungen oder Halos in der Umgebung des Lichts;
  • Schwerwiegende Herzsymptome wie schnelle unregelmäßige oder pochende Herzschläge; Flattern in deiner Brust; Kurzatmigkeit; und plötzliche Schwindel -Unbeschwertheit oder ohnmächtig;
  • Starke Kopfschmerzen Verwirrung verwirrt Spracharm oder Bein Schwäche Schwierigkeiten beim Verlust der Koordination unstabil sehr steifes Muskeln hoher Fieber problemlos Schwitzen oder Zittern.

Dieses Dokument enthält nicht alle möglichen Nebenwirkungen und andere können auftreten. Wenden Sie sich an Ihren Arzt nach zusätzlichen Informationen zu Nebenwirkungen.

Dosierung für schwebende

Levoped ist in Flüssigkeit verdünnt und kontinuierlich in eine große Vene (IV -Infusion) verlegt, wie vom Arzt angewiesen. Die Dosierung basiert auf dem Zustand des Patienten und dem Ansprechen auf die Behandlung.

Welche Medikamente Substanzen oder Nahrungsergänzungsmittel interagieren mit Levopeed?

Levoped kann mit Blutdruckmedikamenten MAO -Inhibitoren oder Antidepressiva interagieren. Sagen Sie Ihrem Arzt alle Medikamente, die Sie verwenden.

Während der Schwangerschaft und des Stillens schwebend

Während der Schwangerschaft sollten Levopse nur angewendet werden, wenn sie verschrieben werden. Es ist nicht bekannt, ob dieses Medikament in die Muttermilch übergeht. Wenden Sie sich vor dem Stillen an Ihren Arzt.

Nebenwirkungen von Atorvastatin Calcium 10 mg

Weitere Informationen

Unsere schwebende (Noradrenalin -Bitartrat) Nebenwirkungen Arzneimittelzentrum bietet eine umfassende Übersicht über verfügbare Arzneimittelinformationen über die potenziellen Nebenwirkungen bei der Einnahme dieses Medikaments.

FDA -Drogeninformationen

Beschreibung für schwebende

Noradrenalin (manchmal als L-Arterenol/Levarterenol oder L-Norademphrin bezeichnet) ist ein sympathomimetisches Amin, das sich durch das Fehlen einer Methylgruppe am Stickstoffatom von Epinephrin unterscheidet.

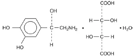
Noradrenalin-Bitartrat ist (-)-α- (Aminomethyl) -34-dihydroxybenzylalkoholtartrat (1: 1) (Salz) Monohydrat und hat die folgende strukturelle Formel:

Levoped wird in steriler wässriger Lösung in Form des Bitartratsalzes geliefert, das durch intravenöse Infusion nach Verdünnung verabreicht werden soll. Noradrenalin ist in Wasser in Alkohol und Äther und in Säuren leicht löslich löslich löslich. Jede ML enthält das Äquivalent von 1 mg Basis von Noradrenalin -Natriumchlorid zur Isotonizität und nicht mehr als 2 mg Natriummetabisulfit als Antioxidans. Es hat einen pH von 3 bis 4,5. Die Luft in den Ampuls wurde durch Stickstoffgas vertrieben.

Verwendet für schwebende

Levoped ist angezeigt, um den Blutdruck bei erwachsenen Patienten mit schwerer akuter Hypotonie zu erhöhen.

Dosierung für schwebende

Wichtige Dosierungs- und Verwaltungsanweisungen

Richtige Hypovolämie

Behandeln Sie die Hypovolämie vor Beginn einer schwebenden Therapie. Wenn der Patient nicht auf Therapie reagiert, verdächtige verdächtige okkulte Hypovolämie [siehe Warnungen und Vorsichtsmaßnahmen ].

Verwaltung

Vor der Verwendung schwebend verdünnen [siehe Herstellung der verdünnten Lösung ].

In eine große Vene schwebten. Vermeiden Sie Infusionen in die Venen des Beins bei älteren Menschen oder bei Patienten mit einer okklusiven Gefäßerkrankung der Beine [siehe Warnungen und Vorsichtsmaßnahmen ]. Avoid using a catheter-tie-in technique.

Einstellung

Wenn die Infusion abgesetzt wird, verringern Sie die Durchflussrate allmählich. Vermeiden Sie einen abrupten Rückzug.

Dosierung

Nach einer anfänglichen Dosierung von 8 bis 12 mcg pro Minute durch intravenöse Infusionsbewertung der Patientenreaktion und passen Sie die Dosierung an, um den gewünschten hämodynamischen Effekt aufrechtzuerhalten. Überwachen Sie den Blutdruck alle zwei Minuten, bis der gewünschte hämodynamische Effekt erreicht ist, und überwachen Sie den Blutdruck alle fünf Minuten für die Dauer der Infusion.

Die typische Wartungsintravenöse Dosierung beträgt 2 bis 4 mcg pro Minute.

Herstellung der verdünnten Lösung

Visuell auf Partikel und Verfärbung geschwingte Levopse vor der Verabreichung untersuchen (die Lösung ist farblos). Verwenden Sie die Lösung nicht, wenn ihre Farbe rosa oder dunkler als leicht gelb ist oder wenn sie einen Niederschlag enthält.

Fügen Sie den Gehalt einer schwebenden Fläschchen (4 mg in 4 ml) zu 1000 ml 5% igen Dextrose -Injektion USP- oder Natriumchlorid -Injektionslösungen hinzu, die 5% Dextrose enthalten, um eine 4 mcg pro ml Verdünnung zu erzeugen. Dextrose verringert den Wirkstoffverlust aufgrund von Oxidation. Die Verabreichung in der Salzlösung allein wird nicht empfohlen.

Verwenden Sie bei Patienten, die eine Flüssigkeitsbeschränkung benötigen, höhere Konzentrationslösungen. Vor der Verwendung speichern Sie die verdünnte schwebende Lösung für bis zu 24 Stunden bei Raumtemperatur [20 ° C bis 25 ° C (68 ° F bis 77 ° F)] und schützen Sie vor Licht.

Drogenkompatibilität

Vermeiden Sie den Kontakt mit Eisensalzalkalien oder Oxidationsmitteln.

Vollblut oder Plasma, wenn angezeigt, um das Blutvolumen zu erhöhen, sollte separat verabreicht werden.

Wie geliefert

Dosierung Forms And Strengths

Injektion : 4 mg/4 ml (1 mg/ml Noradrenalinbasis) sterile farblose Lösung in einem eindosis Bernsteinglasfläschchen.

Lagerung und Handhabung

Schwebend (Noradrenalin -Bitartrat) Injektion USP ist eine sterile farblose Lösung für die Injektion, die für den intravenösen Gebrauch vorgesehen ist. Es enthält das Äquivalent von 1 mg Noradrenalinbasis pro 1 ml (4 mg/4 ml). Es ist als 4 mg/4 ml in eindosierten Bernsteinglasfläschchen erhältlich. Geliefert als:

Verkaufseinheit Konzentration
NDC 0409-0161-10 4 mg/4 ml
10 Fläschchen in einem Karton (1 mg/ml)

Speichern Sie bei 20 ° C bis 25 ° C (68 ° F bis 77 ° F); Exkursionen, die auf 15 ° C bis 30 ° C (59 ° F bis 86 ° F) zulässig sind. [Siehe USP -kontrollierte Raumtemperatur.]

Lagern Sie im Originalkarton bis zum Zeitpunkt der Verwaltung, um vor Licht zu schützen. Nicht genutzten Teil verwerfen.

Verteilt von Hospira Inc. Lake Forest IL 60045 USA. Überarbeitet: Jun 2023

Nebenwirkungen für Levopse

Die folgenden Nebenwirkungen werden in anderen Abschnitten ausführlicher beschrieben:

  • Gewebeischämie [siehe Warnungen und Vorsichtsmaßnahmen ]
  • Hypotonie [siehe Warnungen und Vorsichtsmaßnahmen ]
  • Herzrhythmien [siehe Warnungen und Vorsichtsmaßnahmen ]

Die häufigsten Nebenwirkungen sind Bluthochdruck und Bradykardie.

langfristige Nebenwirkungen von Imitrex

Die folgenden nachteiligen Reaktionen können auftreten:

Störungen des Nervensystems: Angst Kopfschmerzen

Atemstörungen: Atemschwierigkeit Lungenödeme

Wechselwirkungen zwischen Arzneimitteln für schwebende Arzneimittel

Mao-inhibierende Drogen

Die gleichzeitige Verabreichung von Levopse mit Monoaminoxidase (MAO) -Hemmer oder anderen Arzneimitteln mit MAO-inhibierenden Eigenschaften (z. B. Linezolid) kann eine schwere verlängerte Hypertonie verursachen.

Wenn die Verabreichung von Levoped bei Patienten, die kürzlich eines dieser Arzneimittel erhalten haben, nicht vermieden werden kann und bei denen die MAO -Aktivität nach Absetzen der MAO -Aktivität noch nicht ausreichend für Bluthochdruck gewonnen hat.

Trizyklische Antidepressiva

Die gleichzeitige Verabreichung von schwebenden mit trizyklischen Antidepressiva (einschließlich Amitriptylin-Nortriptylin-Protriptylin-Clomipramin-Depramin-Imipramin) kann eine schwere längere Hypertonie verursachen. Wenn die Verabreichung von Levoped bei diesen Patienten nicht vermieden werden kann, überwachen Sie die Bluthochdruck.

Antidiabetiker

Schwebend can decrease insulin sensitivity and raise blood glucose. Monitor glucose and consider dosage adjustment of antidiabetic drugs.

Halogenierte Anästhetika

Die gleichzeitige Verwendung von schwebendem mit halogeniertem Anästhetika (z. B. Cyclopropan -Desfluran -Enfluran -Isofluran und Sevofluran) kann zu ventrikulären Tachykardien oder ventrikulären Fibrillationen führen. Überwachen Sie den Herzrhythmus bei Patienten, die eine gleichzeitige halogenierte Anästhetika erhalten.

Warnungen für schwebende

Eingeschlossen als Teil der 'VORSICHTSMASSNAHMEN' Abschnitt

Vorsichtsmaßnahmen für schwebende

Gewebeischämie

Verwaltung of Schwebend to patients who are hypotensive from hypovolemia can result in severe peripheral and visceral vasoconstriction decreased renal perfusion and reduced urine output tissue hypoxia lactic acidosis and reduced systemic blood flow despite 'normal' blood pressure. Address hypovolemia prior to initiating Schwebend [see Dosierung und Verwaltung ]. Avoid Schwebend in patients with mesenteric or peripheral vascular thrombosis as this may increase ischemia and extend the area of infarction.

Bei Patienten mit okklusivem oder thrombotischen Gefäßerkrankungen trat ein Gangrän der Extremitäten auf oder erhielten längere oder hohe Dosis -Infusionen. Überwachen Sie bei anfälligen Patienten auf Änderungen an der Haut der Extremitäten.

Die Extravasation von Levoped kann eine Nekrose und das Abnehmen von umgebenden Gewebe verursachen. Um das Risiko einer Extravasation in eine große Venengefahr zu verringern, überprüfen Sie die Infusionsstelle häufig auf freien Durchfluss und überwachen Sie Anzeichen einer Extravasation [siehe Dosierung und Verwaltung ].

Notfallbehandlung der Extravasation

Um das Abschneiden und Nekrose in Bereichen zu verhindern, in denen Extravasation aufgetreten ist, infiltrieren Sie den ischämischen Bereich so bald wie möglich mit einer Spritze mit einer feinen Injektionsnadel mit 5 bis 10 mg Phentolamin -Mesylat bei 10 bis 15 ml 0,9% Natriumchlorid -Injektion bei Erwachsenen.

Eine sympathische Blockade mit Phentolamin führt zu unmittelbaren und auffälligen lokalen hyperemischen Veränderungen, wenn der Bereich innerhalb von 12 Stunden infiltriert wird.

Hypotonie nach abrupter Abnahme

Die plötzliche Einstellung der Infusionsrate kann zu einer deutlichen Hypotonie führen. Wenn die Infusion abgesetzt wird, reduzieren Sie die schwebende Infusionsrate allmählich und erweitern Sie das Blutvolumen mit intravenösen Flüssigkeiten.

Herzrhythmien

Schwebend elevates intracellular calcium concentrations and may cause arrhythmias particularly in the setting of hypoxia or hypercarbia. Perform continuous cardiac monitoring of patients with arrhythmias.

Mit Sulfit verbundene allergische Reaktionen

Schwebend contains sodium metabisulfite a sulfite that may cause allergic-type reactions including anaphylactic symptoms and life-threatening or less severe asthmatic episodes in certain susceptible people. The overall prevalence of sulfite sensitivity in the general population is unknown. Sulfite sensitivity is seen more frequently in asthmatic than in non-asthmatic people.

Nichtklinische Toxikologie

Karzinogenese -Mutagenese -Beeinträchtigung der Fruchtbarkeit

Karzinogenese -Mutagenese- und Fruchtbarkeitsstudien wurden nicht durchgeführt.

Verwendung in bestimmten Populationen

Schwangerschaft

Risikozusammenfassung

Begrenzte veröffentlichte Daten, die aus einer geringen Anzahl von Fallberichten und mehreren kleinen Studien bestehen, die zum Zeitpunkt der Entbindung Noradrenalin bei schwangeren Frauen beinhalteten, haben kein erhöhtes Risiko für schwerwiegende Geburtsfehlern oder negative Ergebnisse des mütterlichen oder fetalen Fötus ermittelt. Es besteht Risiken für Mutter und Fötus durch Hypotonie im Zusammenhang mit septischem Schock -Myokardinfarkt und Schlaganfall, die medizinische Notfälle in der Schwangerschaft sind und tödlich sein können, wenn sie nicht behandelt werden. (sehen Klinische Überlegungen ). In tierischen Fortpflanzungsstudien unter Verwendung hoher Dosen von intravenösem Noradrenalin führten zu einem verringerten Blutfluss der mütterlichen Plazenta. Die klinische Relevanz für Veränderungen im menschlichen Fötus ist unbekannt, da die durchschnittliche Erhaltungsdosis zehnmal niedriger ist (siehe Daten ). In schwangeren Hamstern wurden erhöhte fetale Reabsorptionen beobachtet Daten ).

Das geschätzte Hintergrundrisiko für schwere Geburtsfehler und eine Fehlgeburt für die angegebene Bevölkerung ist unbekannt. Alle Schwangerschaften haben ein Hintergrundrisiko für einen Verlust von Geburtsfehlern oder andere nachteilige Ergebnisse. In der US -allgemeinen Bevölkerung beträgt das geschätzte Hintergrundrisiko für größere Geburtsfehler und eine Fehlgeburt in den klinisch anerkannten Schwangerschaften 2–4% bzw. 15 bis 20%.

Klinische Überlegungen

Krankheitsassoziierte mütterliche und/oder embryo/fetale Risiko

Hypotonie im Zusammenhang mit septischem Schock -Myokardinfarkt und Schlaganfall sind medizinische Notfälle in der Schwangerschaft, die tödlich sein können, wenn sie unbehandelt bleiben. Die Verzögerung der Behandlung bei schwangeren Frauen mit Hypotonie im Zusammenhang mit septischem Schock -Myokardinfarkt und Schlaganfall kann das Risiko einer Morbidität und Mortalität der mütterlichen und fetalen Stöcke erhöhen. Die lebensbasierte Therapie für die schwangere Frau sollte aufgrund potenzieller Bedenken hinsichtlich der Auswirkungen von Noradrenalin auf den Fötus nicht zurückgehalten werden.

Daten

Tierdaten

Eine Studie an schwangeren Schafen, die hohe Dosen von intravenöses Noradrenalin (40 mcg/min bei ungefähr dem zehnfachen Aufstandsdosis von 2–4 mcg/min bei Menschen auf mg/kg) erhielten), zeigte eine signifikante Abnahme des Blutflusses von Müttern. Es wurden auch abnehmende Abnahmen des fetalen Sauerstoffverhältnisses und des Lungenflüssigkeitsflusss beobachtet.

Die Verabreichung von Noradrenalin an schwangere Ratten am Schwangerschaftstag 16 oder 17 führte zu einer Kataraktproduktion bei Rattenfeten.

In Hamstern wurden eine erhöhte Anzahl von Resorptionen (NULL,1% in der Studiengruppe gegenüber 3,4% in Kontrollgruppen) fetale mikroskopische Leberanomalien und eine verzögerte Skelett -Ossifikation bei ungefähr dem 2 -fachen der maximal empfohlenen intramuskulären oder subkutanen Dosis (an einer mg/m (an einem maximal empfohlenen 2 Basis in einer mütterlichen subkutanen Dosis von 0,5 mg/kg/Tag vom Schwangerschaftstag 7–10).

Stillzeit

Risikozusammenfassung

Es gibt keine Daten über das Vorhandensein von Noradrenalin bei Menschen oder Tiermilch. Die Auswirkungen auf das gestillte Kind oder die Auswirkungen auf die Milchproduktion. Die klinisch relevante Exposition gegenüber dem Kind wird aufgrund der kurzen Halbwertszeit und der schlechten oralen Bioverfügbarkeit von Noradrenalin nicht erwartet.

Pädiatrische Verwendung

Sicherheit und Wirksamkeit bei pädiatrischen Patienten wurden nicht festgestellt.

Geriatrische Verwendung

Klinische Studien von Levoped umfassten nicht eine ausreichende Anzahl von Probanden im Alter von 65 Jahren und mehr, um festzustellen, ob sie anders als jüngere Probanden reagieren. Andere gemeldete klinische Erfahrung haben keine Unterschiede in den Antworten zwischen älteren und jüngeren Patienten identifiziert. Im Allgemeinen sollte die Dosisauswahl für einen älteren Patienten vorsichtig sein, normalerweise am unteren Ende des Dosierungsbereichs, der die größere Häufigkeit einer verringerten Nieren- oder Herzfunktion von Lebern und einer gleichzeitigen Erkrankung oder einer anderen medikamentösen Therapie widerspiegelt.

Vermeiden Sie die Verabreichung von schwebenden in die Venen im Bein bei älteren Patienten [siehe Warnungen und Vorsichtsmaßnahmen ].

Überdosierungsinformationen für schwebende

Überdosierung mit Levoped kann zu Kopfschmerzen führen, die schwere Hypertonie -Reflex -Bradykardien mit einem zunehmenden Anstieg des peripheren Widerstands und einer verminderten Herzzeitleistung führen können.

Im Falle einer Überdosierung schwebte die Erkrankung des Patienten stabilisiert.

Kontraindikationen für schwebende

Keiner.

Klinische Pharmakologie for Levophed

Wirkungsmechanismus

Noradrenalin ist ein peripherer Vasokonstriktor (alpha-adrenerge Wirkung) und ein inotroper Stimulator des Herzens und des Dilators von Koronararterien (Beta-adrenerge Wirkung).

Pharmakodynamik

Die primären pharmakodynamischen Wirkungen von Noradrenalin sind Herzstimulation und Vasokonstriktion. Der Herzzeitvolumen ist im Allgemeinen nicht betroffen, obwohl es verringert werden kann und der Gesamtwiderstand ebenfalls erhöht ist. Die Erhöhung von Widerstand und Druck führt zu einer vagalen Reflexaktivität, die die Herzfrequenz verlangsamt und das Schlagvolumen erhöht. Die Erhöhung des Gefäßtonus oder des Widerstands verringert den Blutfluss zu den Hauptbauchorganen sowie zum Skelettmuskel. Der Koronarblutfluss ist wesentlich sekundär zu den indirekten Wirkungen der Alpha -Stimulation erhöht. Nach der intravenösen Verabreichung tritt eine Pressorreaktion schnell auf und erreicht innerhalb von 5 Minuten den stationären Zustand. Die pharmakologischen Wirkungen von Noradrenalin werden hauptsächlich durch Aufnahme und Stoffwechsel bei sympathischen Nervenenden beendet. Die Pressoraktion stoppt innerhalb von 1–2 Minuten nach dem Absetzen der Infusion.

Pharmakokinetik

Absorption

Nach Beginn der intravenösen Infusion wird die Plasmakonzentration des Steady -State in 5 Minuten erreicht.

Verteilung

Die Plasmaproteinbindung von Noradrenalin beträgt ungefähr 25%. Es ist hauptsächlich an Plasmaalbum und in geringerem Maße an Prealbumin- und Alpha-1-Säure-Glykoprotein gebunden. Das Verteilungsvolumen beträgt 8,8 L. Noradrenalin lokalisiert sich hauptsächlich im sympathischen Nervengewebe. Es kreuzt die Plazenta, aber nicht die Blut-Hirn-Schranke.

Wie oft sollte ich Cialis nehmen
Beseitigung

Die mittlere Halbwertszeit von Noradrenalin beträgt ungefähr 2,4 min. Die durchschnittliche Stoffwechselfreiheit beträgt 3,1 l/min.

Stoffwechsel

Noradrenalin wird in Leber und anderen Geweben durch eine Kombination von Reaktionen mit den Enzymen Catechol-O-Methyltransferase (COMT) und MAO metabolisiert. Die Hauptmetaboliten sind Noretanephrin und 3-Methoxyl-4-Hydroxy-Mandelsäure (Vanillylmandelsäure VMA), die beide inaktiv sind. Andere inaktive Metaboliten umfassen 3-Methoxy-4-Hydroxyphenylglycol 34-Dihydroxymandelsäure und 34-Dihydroxyphenylglycol.

Ausscheidung

Noradrenalin -Metaboliten werden hauptsächlich als Sulfatkonjugate und in geringerem Maße als Glucuronid -Konjugate ausgeschieden. Nur kleine Mengen Noradrenalin werden unverändert ausgeschieden.

Patienteninformationen für schwebende

Risiko eines Gewebesschädens

Beraten Sie die Familie oder die Pflegeperson Warnungen und Vorsichtsmaßnahmen ].

Die Kennzeichnung dieses Produkts wurde möglicherweise aktualisiert. Die neuesten Vorschrifteninformationen finden Sie unter www.pfizer.com.