Die Informationen Auf Dieser Website Stellen Keine Medizinische Beratung Dar. Wir Verkaufen Nichts. Die Richtigkeit Der Übersetzung Wird Nicht Garantiert. Haftungsausschluss
Antibiotika, ophthalmische Combos
Polytrim
Drogenzusammenfassung
Was ist Polytrim?
Polytrim ( Polymyxin b Sulfat- und Trimethoprim -ophthalmische Lösung) ist ein Antibiotikum, das bei der Behandlung von oberflächenbakteriellen Infektionen des Auges angezeigt wird, einschließlich akuter bakterieller Konjunktivitis und Blepharoconjuntivitis, die durch anfällige Stämme der folgenden Mikroorganismen verursacht werden: Staphylococcus aureus Staphylococcus epidermidis Streptococcus pneumoniae Streptococcus viridans haemophilus Influenzae und Pseudomonas aeruginosaaaa . Polytrim ist in erhältlich generisches bilden.
Was sind Nebenwirkungen von Polytrim?
Zu den häufigen Nebenwirkungen von Polytrim gehören:
- Augenreizung (Rötung brennend stechend oder juckend) und
- Überempfindlichkeitsreaktionen (Augenlidschwellung Juckreiz erhöhte Rötung oder Hautausschlag)
Dosierung für Polytrim
In leichten bis mittelschweren Infektionen vermitteln alle drei Stunden (maximal 6 Dosen pro Tag) eine Dosis eines Polytrims in den betroffenen Augen für einen Zeitraum von 7 bis 10 Tagen.
Welche Medikamentensubstanzen oder Nahrungsergänzungsmittel interagieren mit Polytrim?
Polytrim kann mit anderen Medikamenten interagieren. Sagen Sie Ihrem Arzt alle Medikamente und Nahrungsergänzungsmittel, die Sie verwenden.
Polytrim während der Schwangerschaft oder des Stillens
Sagen Sie Ihrem Arzt, wenn Sie schwanger sind oder vor der Verwendung von Polytrim schwanger werden. Es ist nicht bekannt, wie es einen Fötus beeinflussen würde. Es ist nicht bekannt, ob Polytrim in die Muttermilch übergeht. Wenden Sie sich vor dem Stillen an Ihren Arzt.
Weitere Informationen
Unsere Polytrim (Polymyxin B Sulfat und Trimethoprim Ophthalmic Solution) bietet eine umfassende Übersicht über die verfügbaren Arzneimittelinformationen über die potenziellen Nebenwirkungen bei der Einnahme dieses Medikaments.
Wofür wird Bixin 500 mg verwendet?
FDA -Drogeninformationen
- Drogenbeschreibung
- Indikationen
- Nebenwirkungen
- Warnungen
- Überdosis
- Klinische Pharmakologie
- Medikamentenhandbuch
Beschreibung für Polytrim
Polytrim ® (Polymyxin B Sulfat und Trimethoprim -Ophthalmic -Lösung USP) ist eine sterile antimikrobielle Lösung für den topischen ophthalmischen Gebrauch. Es hat einen pH -Wert von 4,0 bis 6,2 und Osmolalität von 270 bis 310 mosm/kg.
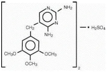
Chemische Namen
Trimethoprimsulfat 24-Diamino-5- (345-Trimethoxybenzyl) Pyrimidinsulfat ist ein weißes, geruchloses kristallines Pulver mit einem Molekulargewicht von 678,72 und der folgenden Strukturformel:
|
Polymyxin B Sulfat ist das Sulfatsalz von Polymyxin B 1 und b 2 die durch das Wachstum von produziert werden Bacillus polymyxa (Prazmowski) Migula (Fam. Bacillaceae). Es hat eine Potenz von mindestens 6000 Polymyxin -B -Einheiten pro mg, die auf wasserfreier Basis berechnet wurden. Die strukturellen Formeln sind:
|
Enthält
Wirkstoffe: Polymyxin b sulfate 10000 units/mL; trimethoprim sulfate equivalent to 1 mg/mL. Konservierungsmittel: Benzalkoniumchlorid 0,04 mg/ml. Inaktiv: gereinigtes Wasser; Natriumchlorid; und Schwefelsäure. Kann auch Natriumhydroxid enthalten, um den pH -Wert einzustellen.
Verwendung für Polytrim
Polytrim ® Die ophthalmische Lösung ist bei der Behandlung von Oberflächen im Auge bakteriellen Infektionen angezeigt, einschließlich einer akuten bakteriellen Bindehautentzündung und der Blepharoconjunktitis, die durch anfällige Stämme der folgenden Mikroorganismen verursacht wird: Staphylococcus aureus Staphylococcus epidermidis Streptococcus pneumoniae Streptococcus viridans haemophilus Influenzae und Pseudomonas aeruginosaaaa. *
*Die Wirksamkeit dieses Organismus in diesem Organsystem wurde in weniger als 10 Infektionen untersucht.
Dosierung für Polytrim
Bei leichten bis mittelschweren Infektionen vermitteln alle drei Stunden einen Abfall des betroffenen Auges (m maximal 6 Dosen pro Tag) für einen Zeitraum von 7 bis 10 Tagen.
Wie geliefert
Polytrim ® (Polymyxin B Sulfat und Trimethoprim Ophthalmic -Lösung USP) wird steril in undurchsichtigen weißen Polyethylen -Ophthalmic -Spenderflaschen mit geringer Dichte mit weißen Kappen mit hohem Aufprall -Polystyren (Hüften) wie folgt:
10 ml in 10 ml Flasche - NDC 0023-7824-10
Lagerung
Auf 15 ° - 25 ° C (59 ° - 77 ° F) speichern und vor Licht schützen.
Verteilt von: Allergan USA Inc. Madison NJ 07940. Überarbeitet: Juli 2018
Nebenwirkungen für Polytrim
Die häufigste Nebenwirkungen auf Polytrim ® Ophthalmic -Lösung ist lokaler Reizung, die aus einer erhöhten Rötung brennende Stechen und/oder Juckreiz besteht. Dies kann bei der Instillation innerhalb von 48 Stunden oder zu einem längeren Gebrauch zu jeder Zeit auftreten. Es gibt auch mehrere Berichte über Überempfindlichkeitsreaktionen, die aus Deckelödemen bestehen, die eine erhöhte Rötung und/oder den Umfangausschlag jucken. Bei Patienten, die orale Trimethoprim einnehmen, wurde über Photosensitivität berichtet.
Wechselwirkungen mit Arzneimitteln für Polytrim
Keine Informationen zur Verfügung gestellt
Dinge zu tun in San Francisco
Warnungen für Polytrim
Nicht für die Injektion in das Auge. Wenn eine Empfindlichkeitsreaktion gegenüber Polytrim ® tritt die Verwendung von Abbruch auf. Polytrim ® Ophthalmic -Lösung ist für die Prophylaxe oder Behandlung von Ophthalmia neonatorum nicht angegeben.
Vorsichtsmaßnahmen für Polytrim
Allgemein
Wie bei anderen antimikrobiellen Präparaten kann eine verlängerte Verwendung zu einem Überwachsen von nicht merkwürdigen Organismen, einschließlich Pilzen, führen. Wenn eine Superinfektion auftritt, sollte eine geeignete Therapie eingeleitet werden.
Karzinogenese -Mutagenese -Beeinträchtigung der Fruchtbarkeit
Karzinogenese
Langzeitstudien an Tieren zur Bewertung des karzinogenen Potentials wurden nicht mit Polymyxin B-Sulfat oder Trimethoprim durchgeführt.
Mutagenese
Es wurde gezeigt, dass Trimethoprim im Ames-Assay nicht-mutagener ist. In Studien in zwei Laboratorien wurde in kultivierten chinesischen Hamster -Eierstockzellen in Konzentrationen etwa 500 -mal menschliches Plasmaspiegel nach oraler Verabreichung keine chromosomale Schädigung festgestellt. Bei Konzentrationen wurde bei einer der Laboratorien etwa das 1000 -fache menschliche Plasmaspiegel nach oraler Verabreichung in denselben Zellen ein niedriger Chromosomschäden induziert. Studien zur Bewertung des mutagenen Potentials wurden nicht mit Polymyxin B -Sulfat durchgeführt.
Beeinträchtigung der Fruchtbarkeit
Es wurde berichtet, dass Polymyxin -B -Sulfat die Motilität von Pferdesperma beeinträchtigt, seine Auswirkungen auf die männliche oder weibliche Fruchtbarkeit sind jedoch unbekannt.
Bei Ratten wurde bei Ratten, die Trimethoprim in oralen Dosierungen in oralen Dosierungen von bis zu 70 mg/kg/Tag für Männer und 14 mg/kg/Tag für Frauen verabreicht wurden, keine nachteiligen Auswirkungen auf die Fruchtbarkeit oder allgemeine Fortpflanzungsleistung beobachtet.
Schwangerschaft
Teratogene Wirkungen
Tiere -Fortpflanzungsstudien wurden nicht mit Polymyxin B -Sulfat durchgeführt. Es ist nicht bekannt, ob Polymyxin -B -Sulfat fetale Schäden verursachen kann, wenn sie einer schwangeren Frau verabreicht wird oder die Fortpflanzungskapazität beeinflussen kann.
Es wurde gezeigt, dass Trimethoprim in der Ratte teratogen ist, wenn sie in oralen Dosen 40 -mal die menschliche Dosis angegeben sind. In einigen Kaninchenuntersuchungen war der allgemeine Anstieg des fetalen Verlustes (tote und resorbierte und fehlgeformte Konzepte) mit oralen Dosen 6 -fach der menschlichen therapeutischen Dosis verbunden.
Während es keine großen, gut kontrollierten Studien zur Verwendung von Trimethoprim bei schwangeren Frauen gibt und in einer retrospektiven Studie das Ergebnis von 186 Schwangerschaften, bei denen die Mutter entweder Placebo- oder orales Trimethoprim in Kombination mit Sulfamethoxazol erhielt, berichtete. Die Inzidenz von angeborenen Anomalien betrug 4,5% (3 von 66) bei Personen, die Placebo erhielten, und 3,3% (4 von 120) bei denjenigen, die Trimethoprim und Sulfamethoxazol erhielten. Es gab keine Anomalien bei den 10 Kindern, deren Mütter im ersten Trimester das Medikament erhielten. In einer separaten Umfrage fanden Brumfitt und Pursell auch keine angeborenen Anomalien bei 35 Kindern, deren Mütter zum Zeitpunkt der Empfängnis oder kurz danach orales Trimethoprim und Sulfamethoxazol erhalten hatten.
Da Trimethoprim den Folsäurestoffwechsel stören kann, sollte Trimethoprim während der Schwangerschaft nur dann verwendet werden, wenn der potenzielle Nutzen das potenzielle Risiko für den Fötus rechtfertigt.
Nichtteratogene Wirkungen
Die orale Verabreichung von Trimethoprim gegenüber Ratten mit einer Dosis von 70 mg/kg/Tag begann mit dem letzten Drittel der Schwangerschaft und führte durch die Aufgabe und Laktation keine schädlichen Auswirkungen auf die Schwangerschaft oder das Wachstum und das Überleben von Puppen.
Pflegemütter
Es ist nicht bekannt, ob dieses Medikament in Muttermilch ausgeschieden ist. Weil viele Medikamente in der Muttermilch ausgeschieden werden, sollte bei Polytrim Vorsicht geboten werden ® Ophthalmic -Lösung wird einer stillenden Frau verabreicht.
Pädiatrische Verwendung
Sicherheit und Wirksamkeit bei Kindern unter 2 Monaten wurden nicht festgestellt (siehe Warnungen ).
Geriatrische Verwendung
Es wurden keine allgemeinen Unterschiede in der Sicherheit oder Wirksamkeit zwischen älteren und anderen erwachsenen Patienten beobachtet.
Überdosierungsinformationen für Polytrim
Keine Informationen zur Verfügung gestellt
Kontraindikationen für Polytrim
Polytrim ® Ophthalmic -Lösung ist bei Patienten mit bekannter Überempfindlichkeit gegenüber einer seiner Komponenten kontraindiziert.
Klinische Pharmakologie for Polytrim
Trimethoprim ist ein synthetisches antibakterielles Medikament, das gegen eine Vielzahl von aeroben grampositiven und gramnegativen ophthalmischen Krankheitserregern aktiv ist. Trimethoprim blockiert die Produktion von Tetrahydrofolsäure aus Dihydrofolsäure durch Bindung an und reversibel die Enzymdihydrofolatreduktase. Diese Bindung ist für das bakterielle Enzym stärker als für das entsprechende Säugetierenzym und stört daher selektiv die bakterielle Biosynthese von Nukleinsäuren und Proteinen.
Polymyxin B A Cyclic Lipopeptid-Antibiotikum ist insbesondere für eine Vielzahl von gramnegativen Organismen bakterizid Pseudomonas aeruginosa . Es erhöht die Permeabilität der Bakterienzellmembran, indem sie mit den Phospholipidkomponenten der Membran interagiert.
Blutproben wurden von 11 menschlichen Freiwilligen nach 20 Minuten 1 Stunde und 3 Stunden nach der Einbindung in das Auge von 2 Tropfen ophthalmischer Lösung erhalten, die 1 mg Trimethoprim und 10000 Einheiten Polymyxin B pro ml enthielten. Die Spitzenserumkonzentrationen betrugen ungefähr 0,03 μg/ml Trimethoprim und 1 Einheit/ml Polymyxin B.
Mikrobiologie
In vitro Studien haben gezeigt, dass die antiinfektiven Komponenten von Polytrim ® sind gegen die folgenden bakteriellen Pathogene aktiv, die in der Lage sind, externe Infektionen des Auges zu verursachen:
Wofür wird Neomycinsulfat verwendet?
Trimethoprim
Staphylococcus aureus Und Staphylococcus epidermidis Streptococcus pyogenes Streptococcus faecalis Streptococcus pneumoniae haemophilus Influenzae haemophilus ägyptischer Escherichia coli Klebsiella pneumoniae proteus proteus wundervolle (indole-negativ) Proteus vulgaris (uneingeschränkt) Enterobacter aerogenes Und Serratia marcescens.
Polymyxin b
Pseudomonas aeruginosa Escherichia coli Klebsiella pneumoniae Enterobacter aerogenes Und Haemophilus influenzae.
Patienteninformationen für Polytrim
Vermeiden Sie die Verschmutzung der Applikatorspitze mit Material aus den Augenfingern oder einer anderen Quelle. Diese Vorsichtsmaßnahme ist erforderlich, wenn die Sterilität der Tropfen aufrechterhalten werden soll.
Wenn Rötungen Reizschwellungen oder Schmerzen bestehen oder die Einstellung sofort anwenden und Ihren Arzt kontaktieren. Den Patienten sollte empfohlen werden, keine Kontaktlinsen zu tragen, wenn sie Anzeichen und Symptome von Augenbakterieninfektionen aufweisen.