Die Informationen Auf Dieser Website Stellen Keine Medizinische Beratung Dar. Wir Verkaufen Nichts. Die Richtigkeit Der Übersetzung Wird Nicht Garantiert. Haftungsausschluss



Proair Respiclick

Drogenzusammenfassung

Was ist Proair Respiclick?

Proair Respiclick ( Albuterolsulfat ) Inhalationspulver ist kurz wirksam Beta-Agonist (SABA) Inhalator für die Behandlung oder Vorbeugung von Bronchospasmus bei Patienten 12 Jahre und älter mit reversibler obstruktiver Atemwegserkrankung; und zur Vorbeugung von durch Training induzierten Bronchospasmus (EIB) bei Patienten ab 12 Jahren.

Was sind Nebenwirkungen von Proair Respiclick?

Proair Respiclick may cause serious side effects including:



  • schneller oder pochender Herzschlag
  • Brustschmerzen
  • Herzrhythmusstörung
  • Schnelle Atmung
  • Verwirrung
  • plötzliche Verschlechterung von Atemproblemen oder Asthma
  • plötzliches Keuchen
  • Ausschlag
  • Juckreiz
  • Schwellung der Gesichtszunge oder Rachen und
  • schwerer Schwindel

Holen Sie sich sofort medizinische Hilfe, wenn Sie eines der oben aufgeführten Symptome haben.



Zu den häufigen Nebenwirkungen von Proair Respiclick gehören:

  • Rückenschmerzen
  • Körperschmerzen und Schmerzen
  • Magenverstimmung
  • Sinus Kopfschmerzen
  • Harnwegsinfektion
  • laufende oder stickige Nase
  • Halsschmerzen oder
  • Erbrechen.

Suchen Sie medizinische Versorgung oder rufen Sie auf einmal 911 an, wenn Sie die folgenden schwerwiegenden Nebenwirkungen haben:



  • Schwerwiegende Augensymptome wie plötzlicher Sehverlust verschwommenes Sehen Tunnel Sehschmerzen oder Schwellungen oder Halos in der Umgebung des Lichts;
  • Schwerwiegende Herzsymptome wie schnelle unregelmäßige oder pochende Herzschläge; Flattern in deiner Brust; Kurzatmigkeit; und plötzliche Schwindel -Benommenheit oder ohnmächtig;
  • Starke Kopfschmerzen Verwirrung verwirrt Spracharm oder Bein Schwäche Schwierigkeiten beim Verlust der Koordination unstabil sehr steifes Muskeln hoher Fieber problemlos Schwitzen oder Zittern.

Dieses Dokument enthält nicht alle möglichen Nebenwirkungen und andere können auftreten. Wenden Sie sich an Ihren Arzt nach zusätzlichen Informationen zu Nebenwirkungen.

Dosierung für Proair Respiclick

Proair Respiclick is a dry powder inhaler supplied for 200 measured inhalation doses.

Welche Drogensubstanzen oder Nahrungsergänzungsmittel interagieren mit Proair Respiclick?

Proair Respiclick may interact with other inhaled medicines other asthma medicines beta-blockers Diuretika Digoxin Monoaminoxidase -Inhibitoren (MAOIs) and antidepressants . Tell your doctor all medications and supplements you use.

Proair Respiclick During Schwangerschaft and Breastfeeding

Während der Schwangerschaft sollte Proair Respiclick nur angewendet werden, wenn sie verschrieben werden. Es ist nicht bekannt, ob Proair Respiclick in Muttermilch übergeht. Wenden Sie sich vor dem Stillen an Ihren Arzt.

Weitere Informationen

Unser Proair Respiclick (Albuterol -Sulfat) Inhalationspulver -Nebenwirkungen Arzneimittelzentrum bietet eine umfassende Übersicht über die verfügbaren Arzneimittelinformationen über die potenziellen Nebenwirkungen bei der Einnahme dieses Medikaments.

FDA -Drogeninformationen

Beschreibung für Proair Respiclick

Der Wirkstoff des Proair Respiclick -Inhalationspulvers ist Albuterolsulfat, ein racemisches Salz von Albuterol. Albuterolsulfat ist ein Beta 2 -Adrenerge Agonist. Es hat den chemischen Namen α1-[(tert-butylamino) methyl] -4-hydroxy-m-xyol-α'-Diolsulfat (2: 1) (Salz) und die folgende chemische Struktur:

Das Molekulargewicht von Albuterolsulfat beträgt 576,7 und die empirische Formel ist (C. 13 H 21 NEIN 3 ) 2 • H. 2 ALSO 4 . Albuterolsulfat ist ein weißes bis breites Kristallpulver. Es ist löslich in Wasser und leicht löslich in Ethanol. Albuterol Sulfat ist der offizielle US -amerikanische Name der USA in den USA und Salbutamol Sulfat ist der empfohlene internationale nicht -proprietäre Name der Weltgesundheitsorganisation.

Proair Respiclick ist ein inhalationsgetriebenes Multi-Dosis-Inhalationspulver (Trockenpulverinhalator) nur für orale Inhalation. Es enthält eine Formulierungsmischung aus Albuterolsulfat mit Alpha-Lactose-Monohydrat. Jede Betätigung liefert eine Dosis von 2,6 mg der Formulierung, die 117 mcg Albuterolsulfat (gleichwertig zu 97 mcg Albuterol -Basis) und Laktose aus dem Gerätereservoir enthält. Unter standardisiert in vitro Testbedingungen mit festen Durchflussraten im Bereich von 58 bis 71 l/min und mit einem Gesamtluftvolumen von 2 l den Proair Respiclick -Inhalator liefert 108 mcg Albuterolsulfat (gleichwertig zu 90 mcg Albuterolbasis) mit Laktose aus dem Mundstück. Die tatsächliche Menge an Arzneimittel, die an die Lunge abgegeben wird, hängt von Patientenfaktoren wie inspiratorischem Flussprofil ab. In einer Studie, in der die maximale Inspiratory Flow Rate (PIFR) in Asthma (n = 27 Jahre im Alter von 12 bis 17 Jahren und n = 50 Alter von 18 bis 45 Jahren) und COPD (n = 50 über 50 Jahre) Patienten untersuchte, betrug der durchschnittliche PIFR, der von Probanden erreicht wurde,> 60 l/min (Bereich = 31 bis 110 l/min.). Der Inhalator wird für 200 Aktuden (Inhalationen) vorgesehen.

Verwendung für Proair Respiclick

Bronchospasmus

Proair Respiclick ist für die Behandlung oder Vorbeugung von Bronchospasmus bei Patienten ab 4 Jahren und älter mit reversibler obstruktiver Atemwegserkrankungen angezeigt.

Übungsinduzierte Bronchospasmus

Proair Respiclick ist für die Vorbeugung von durch Training induziertem Bronchospasmus bei Patienten ab 4 Jahren angezeigt.

Dosierung für Proair Respiclick

Empfohlene Dosierung für Bronchospasmus

Die empfohlene Dosierung beträgt 2 Inhalationen alle 4 bis 6 Stunden durch orale Inhalation. Eine häufigere Verabreichung oder eine größere Anzahl von Inhalationen wird nicht empfohlen. Bei einigen Patienten kann 1 Inhalation alle 4 Stunden ausreichen.

Empfohlene Dosierung für durch körperliche Betätigung induzierte Bronchospasmus

Die empfohlene Dosierung beträgt 2 Inhalationen von 15 bis 30 Minuten vor dem Training durch orale Inhalation.

Verwaltungs- und Wartungsinformationen

Proair Respiclick nur durch orale Inhalation verabreichen. Der Proair Respiclick -Inhalator erfordert kein Priming. Verwenden Sie Proair Respiclick nicht mit einem Abstandshalter oder einer Lautstärkekammer.

Halten Sie den Inhalator jederzeit sauber und trocken. Waschen Sie niemals einen Teil Ihres Inhalators in Wasser. Routinewartung ist nicht erforderlich. Wenn das Mundstück nach Bedarf vorsichtig das Mundstück mit einem trockenen Tuch oder einem Gewebe reinigen muss.

Dosiszähler

Der Proair Respiclick -Inhalator hat einen Dosiszähler mit dem Aktuator gebunden. Wenn der Patient den Inhalator erhält, wird die Zahl 200 angezeigt. Der Dosiszähler zählt jedes Mal, wenn der Inhalator betätigt wird. Wenn der Dosisschalter 20 erreicht, ändert sich die Farbe der Zahlen in Rot, um den Patienten daran zu erinnern, ihren Apotheker für eine Nachfüllung von Medikamenten zu kontaktieren oder seinen Arzt wegen einer verschreibungspflichtigen Nachfüllung zu konsultieren. Wenn der Dosisschalter 0 erreicht, wechselt der Hintergrund zu festem Rot. 13 Monate nach dem Öffnen des Folientuch Patientenberatungsinformationen ].

Wie geliefert

Dosierungsformen und Stärken

Inhalationspulver : Ein multi-dosierter atemaneicherer trockener Pulverinhalator, der 108 mcg Albuterolsulfat (gleichwertig zu 90 mcg Albuterolbasis) aus dem Mundstück pro Betätigung liefert. Jeder Inhalator wird für 200 Inhalationen geliefert.

Lagerung und Handhabung

Proair Respiclick Inhalationspulver wird als weißer Inhalator mit einer roten Kappe in einem versiegelten Folienbeutel mit einem Beutel pro Karton geliefert.

Aktuationen Netzinhalt NDC
200 0,65 g 59310-580-20

Bei Raumtemperatur aufbewahren (zwischen 15 ° C und 25 ° C; 59 ° F und 77 ° F). Vermeiden Sie die Exposition gegenüber extremer Wärmekälte oder Feuchtigkeit.

Außerhalb der Reichweite von Kindern.

Proair Respiclick inhaler has a dose counter. Patients should never try to alter the numbers for the dose counter. Discard the inhaler 13 months after opening the foil pouch when the counter displays 0 or after the expiration date on the product whichever comes first. The labeled amount of medication in each actuation cannot be assured after the counter displays 0 even though the inhaler is not completely empty and will continue to operate [see Dosierung und Verwaltung Patientenberatungsinformationen ].

Verteilt von: Teva Pharmaceuticals USA Inc. Parsippany NJ 07054. Überarbeitet: September 2022

Nebenwirkungen for Proair Respiclick

Die Verwendung von Proair Respiclick kann mit Folgendem in Verbindung gebracht werden:

  • Paradoxer Bronchospasmus [siehe Warnungen und Vorsichtsmaßnahmen ]
  • Herz -Kreislauf -Effekte [siehe Warnungen und Vorsichtsmaßnahmen ]
  • Sofortige Überempfindlichkeitsreaktionen [siehe Warnungen und Vorsichtsmaßnahmen ]
  • Hypokaliämie [siehe Warnungen und Vorsichtsmaßnahmen ]

Klinische Studien Erfahrung

Während des klinischen Entwicklungsprogramms wurden insgesamt 1289 Probanden mit Proair Respiclick behandelt. Die häufigsten Nebenwirkungen (≥ 1% und> Placebo) waren Rückenschmerzen Gastroenteritis Viral Sinus Kopfschmerzen und Harnwegsinfektionen. Da klinische Studien unter sehr unterschiedlichen Bedingungen durchgeführt werden, die in den klinischen Studien eines Arzneimittels beobachtet werden, können in den klinischen Studien eines anderen Arzneimittels nicht direkt mit den Raten verglichen werden und spiegeln möglicherweise nicht die in der Praxis beobachteten Raten wider.

Erwachsene und Jugendliche 12 Jahre und älter

Die in Tabelle 1 nachstehenden Proair Respiclick dargestellten unerwünschten Reaktionsinformationen stammen aus der 12-wöchigen geblendeten Behandlungszeit von drei Studien, in denen Proair Respiclick 180 MCG viermal täglich mit einem doppeltgeblinderten Placebo bei 653 asthmatischen Patienten im Alter von 653 Jahren verglichen wurde.

Tabelle 1: Nebenwirkungen von mehr als 1,0% der erwachsenen und jugendlichen Patienten in der Proair Respiclick-Gruppe und größer als Placebo in drei 12-wöchigen klinischen Studien 1

Bevorzugter Begriff Zahl (%) der Patienten

Proair Respiclick 180 mcg QID
N = 321

Placebo
N = 333
Rückenschmerzen 6 (2%) 4 (1%)
Schmerz 5 (2%) 2 ( <1%)
Gastroenteritis viral 4 (1%) 3 ( <1%)
Sinus Kopfschmerzen 4 (1%) 3 ( <1%)
Harnwegsinfektion 4 (1%) 3 ( <1%)
1 Diese Tabelle umfasst alle unerwünschten Ereignisse (unabhängig davon, ob der Forscher Arzneimittel oder nicht mit dem Arzneimittel verwandt ist), das in der Proair Respiclick -Gruppe und größer als Placebo mit einer Inzidenzrate von mehr als 1,0% auftrat.

In einer Langzeitstudie an 168 Patienten, die bis zu 52 Wochen (einschließlich einer 12-wöchigen Doppelblindperiode) behandelt wurden, waren die am häufigsten berichteten unerwünschten Ereignisse mehr als 5% der oberen Infektion der oberen Atempflege Nasopharyngitis Sinusitis Bronchitis Husten-Oroparyngeal-Schmerz Kopfschmerzen und Pyrexia.

In einer kleinen kumulativen Dosisstudie waren Zittern und Kopfschmerzen die am häufigsten vorkommenden unerwünschten Ereignisse (≥ 5%).

Pädiatrische Patienten 4 bis 11 Jahre alt

Die in Tabelle 2 nachstehenden Proair Respiclick dargestellten nachteiligen Reaktionsinformationen stammen aus einer 3-wöchigen klinischen Studie, in der Proair Respiclick 180 MCG Albuterol 4-mal täglich mit einem doppeltblenden Placebo von 185 astmatischen Patienten 4 bis 11 Jahre verglichen wurde.

Tabelle 2: Nebenwirkungen von mehr als 2,0% der Patienten von 4 bis 11 Jahren in der Proair Respiclick -Gruppe und in der 3 -wöchigen Studie mehr oder gleich 2,0% der Patienten mit 4 bis 11 Jahren

Bevorzugter Begriff Zahl (%) der Patienten
Proair Respiclick 180 mcg QID
N = 93
Placebo
N = 92
Nasopharynngitis 2 (2%) 1 (1%)
Oropharyngealschmerz 2 (2%) 1 (1%)
Erbrechen 3 (3%) 1 (1%)

Nachmarkterfahrung

In addition to the adverse reactions reported from clinical trials with PROAIR RESPICLICK the following adverse events have been reported during use of other inhaled albuterol sulfate products: Urticaria angioedema rash bronchospasm hoarseness oropharyngeal edema and arrhythmias (including atrial fibrillation supraventricular tachycardia extrasystoles) rare cases of aggravated bronchospasm lack of efficacy Asthma-Exazerbation (potenziell tödliche) Muskelkrämpfe und verschiedene oropharyngeale Nebenwirkungen wie Rachenreizungen veränderte Geschmacksglossitis Zungengeschwüre und Knebel. Da diese Reaktionen freiwillig aus einer Population unsicherer Größe berichtet werden, ist es nicht immer möglich, ihre Häufigkeit zuverlässig abzuschätzen oder ein kausales Verhältnis zur Arzneimittelexposition herzustellen.

Darüber hinaus können Albuterol wie andere sympathomimetische Wirkstoffe unerwünschte Reaktionen wie: Angina -Hypertonie oder Hypotonie -Palpitationen Zentralnervensystemstimulation Insomnia Headache Nervosität Tremor -Muskel -Krämpfe Trocknen oder Reizung der Oropharynx -Hypokaliämie Hyperglyzämie und Metabolsäure -Säure -Säure verursachen.

Wechselwirkungen mit Arzneimitteln for Proair Respiclick

Andere kurz wirkende sympathomimetische Bronchodilatatoren sollten nicht gleichzeitig mit Proair Respiclick verwendet werden. Wenn zusätzliche adrenerge Medikamente auf einer Route verabreicht werden sollen, sollten sie mit Vorsicht verwendet werden, um schädliche kardiovaskuläre Wirkungen zu vermeiden.

Beta-Blocker

Beta-adrenergen-Rezeptor-Blockiermittel blockieren nicht nur die Lungeneffekt von Betaagonisten wie Proair Respiclick, sondern können bei asthmatischen Patienten schweres Bronchospasmus produzieren. Daher sollten Patienten mit Asthma normalerweise nicht mit Beta-Blockern behandelt werden. Unter bestimmten Umständen z. Berücksichtigen Sie in dieser Einstellung kardioselektive Beta-Blocker, obwohl sie mit Vorsicht verabreicht werden sollten.

Diuretika

Die EKG-Veränderungen und/oder Hypokaliämie, die sich aus der Verabreichung von diuretischen Nichtpotiumsparendiuretika (wie Schleifen oder Thiaziddiuretika) ergeben können, kann von Beta-Agonisten akut verschlechtert werden, insbesondere wenn die empfohlene Dosis des Betaagonisten überschritten wird. Obwohl die klinische Bedeutung dieser Effekte nicht bekannt ist, wird bei der gleichzeitigen Verabreichung von Beta-Agonisten mit Nicht-Potium-Spardiuretika eine Vorsicht empfohlen. Überwachen Sie die Überwachung des Kaliumspiegels.

Digoxin

Die mittlere Abnahme von 16% und 22% in den Serum -Digoxinspiegeln wurde nach einer intravenösen und oralen Verabreichung von Albuterol an eine einzelne Dosis an normale Freiwillige nachgewiesen, die Digoxin 10 Tage erhalten hatten. Die klinische Bedeutung dieser Befunde für Patienten mit obstruktiver Atemwegserkrankung, die Albuterol und Digoxin chronisch erhalten, ist unklar. Trotzdem wäre es ratsam, die Serum -Digoxinspiegel bei Patienten, die derzeit Digoxin und Proair Respiclick erhalten, sorgfältig zu bewerten.

Monoaminoxidase -Inhibitoren oder trizyklische Antidepressiva

Proair Respiclick should be administered with extreme caution to patients being treated with Monoaminoxidase -Inhibitoren or tricyclic antidepressants or within 2 weeks of discontinuation of such agents because the action of albuterol on the cardiovascular system may be potentiated. Consider alternative therapy in patients taking MAO inhibitors or tricyclic antidepressants.

Warnungen für Proair Respiclick

Eingeschlossen als Teil der VORSICHTSMASSNAHMEN Abschnitt.

Vorsichtsmaßnahmen für Proair Respiclick

Paradoxer Bronchospasmus

Proair Respiclick can produce paradoxical bronchospasm that may be life threatening. If paradoxical bronchospasm occurs Proair Respiclick should be discontinued immediately and alternative therapy instituted.

Verschlechterung von Asthma

Asthma kann sich über einen Zeitraum von Stunden oder chronisch über mehrere Tage oder länger verschlechtern. Wenn der Patient mehr Dosen von Proair Respiclick benötigt, kann dies ein Marker für die Destabilisierung von Asthma sein und eine Neubewertung des Patienten- und Behandlungsschemas benötigt, um die mögliche Notwendigkeit einer entzündungshemmenden Behandlung, z. B. Kortikosteroide, zu berücksichtigen.

Verwendung von entzündungshemmenden Wirkstoffen

Die Verwendung von Beta-adrenergen-Agonisten-Bronchodilatatoren allein ist möglicherweise nicht ausreichend, um das Asthma bei vielen Patienten zu kontrollieren. Frühe Überlegungen sollten zum Hinzufügen entzündungshemmender Wirkstoffe, z. Kortikosteroide zum therapeutischen Regime.

Herz -Kreislauf -Effekte

Proair Respiclick like other beta-adrenergic agonists can produce clinically significant cardiovascular effects in some patients as measured by pulse rate blood pressure and/or symptoms. Although such effects are uncommon after administration of Proair Respiclick at recommended doses if they occur the drug may need to be discontinued. In addition Beta-Agonists have been reported to produce ECG changes such as flattening of the T-wave prolongation of the QTc interval and ST segment depression. The clinical significance of these findings is unknown. Therefore Proair Respiclick like all sympathomimetic amines should be used with caution in patients with cardiovascular disorders especially coronary insufficiency cardiac arrhythmias and hypertension.

Überschreiten Sie die empfohlene Dosis nicht

Bei Patienten mit Asthma wurde bei Patienten mit Asthma Todesfälle berichtet. Die genaue Todesursache ist unbekannt, aber nach einer unerwarteten Entwicklung einer schweren akuten asthmatischen Krise und der anschließenden Hypoxie wird vermutet.

Überempfindlichkeitsreaktionen einschließlich Anaphylaxie

Sofortige Überempfindlichkeitsreaktionen können nach Verabreichung von Albuterolsulfat auftreten, wie seltene Fälle von Urticaria Angioödem -Ausschlagbronchospasmus -Anaphylaxie und oropharyngealem Ödem. Proair Respiclick enthält kleine Mengen Laktose, die Spuren von Milchproteinen enthalten können. Überempfindlichkeitsreaktionen, einschließlich Anaphylaxie Angioödeme Pruritus und Hautausschlag, wurden unter Verwendung von Laktosestherapien berichtet (Lactose ist ein inaktiver Inhaltsstoff bei Proair Respiclick). Das Potenzial für eine Überempfindlichkeit muss bei der klinischen Bewertung von Patienten berücksichtigt werden, bei denen unmittelbare Überempfindlichkeitsreaktionen auftreten, während sie Proair Respiclick erhalten.

Koexistierende Bedingungen

Proair Respiclick like all sympathomimetic amines should be used with caution in patients with cardiovascular disorders especially coronary insufficiency cardiac arrhythmias and hypertension; in patients with convulsive disorders hyperthyroidism or diabetes mellitus; and in patients who are unusually responsive to sympathomimetic amines. Clinically significant changes in systolic and diastolic blood pressure have been seen in individual patients and could be expected to occur in some patients after use of any beta-adrenergic bronchodilator. Large doses of intravenous albuterol have been reported to aggravate preexisting diabetes mellitus and ketoacidosis.

Hypokaliämie

Wie bei anderen Beta-Agonist-Proair Respiclick kann bei einigen Patienten möglicherweise durch intrazelluläre Shunt eine signifikante Hypokaliämie führen, was das Potenzial hat, unerwünschte kardiovaskuläre Wirkungen zu erzeugen. Die Abnahme ist normalerweise vorübergehend, was keine Ergänzung erfordert.

Patientenberatungsinformationen

Raten Sie dem Patienten, die von der FDA zugelassene Patientenkennzeichnung zu lesen ( Patienteninformationen und Anweisungen zur Verwendung ).

Patienten sollten folgende Informationen erhalten:

Gebrauchsfrequenz

Die Wirkung von Proair Respiclick sollte 4 bis 6 Stunden dauern. Weisen Sie die Patienten an, Proair Respiclick nicht häufiger als empfohlen zu verwenden. Weisen Sie die Patienten an, die Dosis oder Häufigkeit von Dosen von Proair Respiclick nicht zu erhöhen, ohne den Arzt zu konsultieren. Wenn Patienten feststellen, dass die Behandlung mit Proair Respiclick bei symptomatischen Linderungssymptomen weniger wirksam wird und/oder dass sie das Produkt häufiger als gewöhnlich verwenden müssen, sollten sie sofort medizinische Hilfe suchen [siehe Warnungen und Vorsichtsmaßnahmen ].

Pflege und Speicherung des Inhalators

Weisen Sie die Patienten an, ihren Inhalator nicht zu öffnen, es sei denn, sie nehmen eine Dosis ein. Das wiederholte Öffnen und Schließen der Abdeckung ohne Medikamente verschwendet Medikamente und kann den Inhalator beschädigen.

Raten Sie den Patienten, ihren Inhalator jederzeit trocken und sauber zu halten. Niemals einen Teil des Inhalators in Wasser waschen oder stecken. Der Patient sollte den Inhalator ersetzen, wenn er gewaschen oder in Wasser gelegt wird.

Routinewartung ist nicht erforderlich. Wenn das Mundstück die Patienten angewiesen werden muss, das Mundstück nach Bedarf vorsichtig mit einem trockenen Tuch oder Gewebe zu wischen.

Weisen Sie die Patienten an, den Inhalator bei Raumtemperatur aufzubewahren und die Exposition gegenüber extremer Wärmekälte oder Feuchtigkeit zu vermeiden.

Weisen Sie die Patienten an, den Inhalator niemals auseinander zu nehmen.

Informieren Sie die Patienten, dass Proair Respiclick einen Dosiszähler hat. Wenn der Patient den Inhalator erhält, wird die Zahl 200 angezeigt. Die Dosiszähler zählt jedes Mal, wenn die Mundstückkappe geöffnet und geschlossen wird. Das Dosiszählerfenster zeigt die Anzahl der im Inhalator von zwei in den Inhalator verbleibenden Aktuden (z. B. 200 196 196 196 usw.). Wenn der Zähler 20 zeigt, wechselt die Farbe der Zahlen in Rot, um den Patienten daran zu erinnern, ihren Apotheker für eine Nachfüllung von Medikamenten zu kontaktieren oder ihren Arzt wegen einer verschreibungspflichtigen Nachfüllung zu konsultieren. Wenn der Dosisschalter 0 erreicht, wechselt der Hintergrund zu festem Rot. Informieren Sie die Patienten, Proair Respiclick zu verwerfen, wenn der Dosiszähler 0 oder nach dem Ablaufdatum des Produkts angezeigt wird, je nachdem, was zuerst kommt [siehe Dosierung und Verwaltung ].

Paradoxer Bronchospasmus

Informieren Sie die Patienten, dass Proair Respiclick paradoxe Bronchospasmus aus Bronchospasmus produzieren kann. Weisen Sie die Patienten an, Proair Respiclick abzubrechen, wenn paradoxer Bronchospasmus auftritt [siehe Warnungen und Vorsichtsmaßnahmen ].

Gleichzeitiger Drogenkonsum

Informieren Wechselwirkungen mit Arzneimitteln ].

Häufige unerwünschte Ereignisse

Häufige nachteilige Auswirkungen der Behandlung mit inhalativem Albuterol umfassen Herzklopfen des Brustschmerzes schneller Herzfrequenz -Zittern und Nervosität.

Schwangerschaft

Informieren Sie Patienten, die schwanger sind oder stillt, dass sie ihren Arzt über die Verwendung von Proair Respiclick kontaktieren sollten [siehe Verwendung in bestimmten Populationen ].

Allgemeine Informationen zur Verwendung

Der effektive und sichere Gebrauch von Proair Respiclick beinhaltet ein Verständnis der Art und Weise, wie sie verabreicht werden sollten. Verwenden Sie keinen Abstandshalter oder eine Volumenhaltekammer mit Proair Respiclick. Patienten sollten über den ordnungsgemäßen Gebrauch des Inhalators unterrichtet werden. Siehe die von der FDA zugelassenen Patienteninformationen und Patientenanweisungen zur Verwendung. Proair Respiclick 13 Monate nach dem Öffnen des Folienbeutels entsorgen, wenn der Dosisschalter 0 oder nach dem Ablaufdatum des Produkts zeigt, je nachdem, was zuerst kommt.

Im Allgemeinen ähnelt die Technik zur Verabreichung von Proair Respiclick für Kinder der für Erwachsene. Kinder sollten Proair Respiclick unter Erwachsenenaufsicht verwenden, wie vom Arzt des Patienten angewiesen.

Nichtklinische Toxikologie

Karzinogenese -Mutagenese -Beeinträchtigung der Fruchtbarkeit

In a 2-year study in Sprague-Dawley rats albuterol sulfate caused a dose-related increase in the incidence of benign leiomyomas of the mesovarium at and above dietary doses of 2 mg/kg (approximately 15 times and 6 times the maximum recommended daily inhalation dose (MRHDID) for adults and children respectively on a mg/m 2 Basis). In einer anderen Studie wurde dieser Effekt durch die gleichzeitige Verabreichung von Propranolol ein nichtselektiver Beta-adrenergen Antagonisten blockiert. In einer 18-monatigen Studie an CD-1 2 Basis). In einer 22-monatigen Studie in Golden Hamstern Albuterolsulfat zeigte keine Hinweise auf eine Tumorigenität bei diätetischen Dosen von bis zu 50 mg/kg (ungefähr 250-mal und 100-mal so 2 Basis).

Albuterolsulfat war im AMES -Test oder in Hefe nicht mutagenisch oder ein Mutationstest. Albuterolsulfat war in einem menschlichen peripheren Lymphozyten -Assay oder in einem AH1 -Stamm -Maus -Mikronukleus -Assay nicht klastogen.

Fortpflanzungsstudien an Ratten zeigten keinen Hinweis auf eine beeinträchtigte Fruchtbarkeit bei oralen Dosen von bis zu 50 mg/kg (ungefähr das 380 -fache der MRHDID für Erwachsene auf einem mg/m 2 Basis).

Verwendung in bestimmten Populationen

Schwangerschaft

Risikozusammenfassung

Es gibt keine randomisierten klinischen Studien zur Verwendung von Albuterol während der Schwangerschaft. Verfügbare Daten aus veröffentlichten epidemiologischen Studien und Fallmarketing -Fallberichten über Schwangerschaftsergebnisse nach inhalatem Albuterol -Gebrauch zeigen nicht konsequent ein Risiko für schwere Geburtsfehler oder eine Fehlgeburt. Es gibt klinische Überlegungen zur Verwendung von Albuterol bei schwangeren Frauen [siehe Klinische Überlegungen ]. In animal reproduction studies when Albuterolsulfat was administered subcutaneously to pregnant mice there was evidence of cleft palate at less than and up to 9 times the maximum recommended human daily inhalation dose (MRHDID) [see Daten ].

Das geschätzte Hintergrundrisiko für größere Geburtsfehler und Fehlgeburt für die angegebenen Bevölkerung sind unbekannt. In der US -allgemeinen Bevölkerung beträgt das geschätzte Risiko für schwere Geburtsfehler und eine Fehlgeburt bei klinisch anerkannten Schwangerschaften 2 bis 4% bzw. 15 bis 20%.

Klinische Überlegungen

Krankheitsassoziierte mütterliche und/oder embryo/fetale Risiko

Bei Frauen mit schlechtem oder mäßig kontrolliertem Asthma besteht ein erhöhtes Risiko für Präeklampsie bei Mutter und Frühgeburtswahrnehmung für das Schwangerschaftsalter im Neugeborenen. Schwangere Frauen sollten genau überwacht und die Medikamente nach Bedarf angepasst werden, um eine optimale Kontrolle zu erhalten.

Arbeit oder Lieferung

Aufgrund des Potenzials für Beta-Agonisten-Eingriffe in die kontraktilische Nutzung von Proair Respiclick zur Linderung von Bronchospasmus während der Arbeit sollte auf die Patienten beschränkt sein, bei denen die Vorteile das Risiko eindeutig überwiegen. Proair Respiclick wurde nicht für die Verwaltung der Vorzeitarbeit zugelassen. Schwerwiegende Nebenwirkungen, einschließlich Lungenödeme, wurden während oder nach der Behandlung von Frühgeborenen mit Beta2 -onagonisten einschließlich Albuterol berichtet.

Daten

Tierdaten

In einer Maus-Fortpflanzungsstudie subkutan verabreichtes Albuterolsulfat-hergestelltes Blottpalat-Bildung in 5 von 111 (NULL,5%) Feten bei einer Exposition mit neun Zehntel Die maximal empfohlene menschliche Dosis (MRHDID) für Erwachsene (bei einem mg/m 2 Basis bei einer mütterlichen Dosis von 0,25 mg/kg) und in 10 von 108 (NULL,3%) Feten bei ungefähr 9 -fachen der MRHDID (auf einem mg/m 2 Basis in einer mütterlichen Dosis von 2,5 mg/kg). Ähnliche Effekte wurden bei ungefähr ein-eleventh nicht beobachtet, die MRHDID für Erwachsene 2 Basis bei einer mütterlichen Dosis von 0,025 mg/kg). Gaumenspalte trat auch bei 22 von 72 (NULL,5%) Feten von Frauen auf, die subkutan mit Isoproterenol (Positivkontrolle) behandelt wurden.

Was macht Garcinia Cambogia Pillen

In einer Kaninchen -Reproduktionsstudie oral verabreichtes Albuterolsulfat induzierte Cranioschisis in 7 von 19 Feten (37%) bei etwa 750fachen MRHDID (auf einem mg/m 2 Basis in einer mütterlichen Dosis von 50 mg/kg).

In einer Rattenreproduktionsstudie hat eine durch Inhalation verabreichte Formulierung von Albuterol/HFA-134A bei Expositionen etwa das 80-fache der MRHDID (auf ein mg/m 2 Basis in einer mütterlichen Dosis von 10,5 mg/kg).

Eine Studie, in der schwangere Ratten mit radioaktiv markiertem Albuterolsulfat dosiert wurden, zeigte, dass medizinisches Material aus der mütterlichen Zirkulation auf den Fötus übertragen wird.

Stillzeit

Risikozusammenfassung

Es gibt keine Daten zum Vorhandensein von Albuterol in der Muttermilch die Auswirkungen auf das gestillte Kind oder die Auswirkungen auf die Milchproduktion. Die Plasmaspiegel von Albuterol nach eingeatmter therapeutischer Dosen sind jedoch beim Menschen gering und haben bei der Muttermilch -Albuterol eine niedrige orale Bioverfügbarkeit [siehe Klinische Pharmakologie ].

Die Entwicklungs- und gesundheitlichen Vorteile des Stillens sollten zusammen mit dem klinischen Bedarf der Mutter nach Albuterol und potenziellen nachteiligen Auswirkungen des gestillten Kindes aus Albuterol oder aus dem zugrunde liegenden mütterlichen Zustand berücksichtigt werden.

Pädiatrische Verwendung

Bei pädiatrischen Patienten im Alter von pädiatrischen Patienten wurde die Sicherheit und Wirksamkeit von Proair Respiclick für die Behandlung oder Vorbeugung von Bronchospasmus mit reversiblen obstruktiven Atemwegserkrankungen festgelegt. Die Verwendung von Proair Respiclick für diese Indikation wird durch Beweise von zwei 12-wöchigen klinischen Studien bei 318 Patienten ab 12 Jahren mit Asthma gestützt, in denen Dosen von 180 mcg viermal täglich mit Placebo-One-Langzeitsicherheitsstudie bei Kindern 12 Jahre alt und älter und älter und älter und eine einzelne Dosis-Crossover-Studie von 90 und 180 MCG mit Albunol-Schwefel-Aeros-Aeros-Aeros-Aeros-Aeros-Aeros-Aeros-Aeros-Aeros-Aeros-Aeros-Aeros-Aeros-Aeros-Aeros-Aeros-Aeros-Aeros-Airos-Aeros-Aeros-Airos-Aeros-Aeros-Airos-Studie verglichen werden. Klinische Studien ].

Die Sicherheit und Wirksamkeit von Proair Respiclick für die Behandlung von Training-induziertem Bronchospasmus wurde bei Kindern ab 12 Jahren eingerichtet. Die Verwendung von Proair Respiclick für diesen Indikat Klinische Studien ]. The safety profile for patients ages 12 to 17 was consistent with the overall safety profile seen in these studies.

Die Sicherheit von Proair Respiclick bei Kindern im Alter von 4 bis 11 Jahren basiert auf zwei eindosis kontrollierten Crossover-Studien: Eine mit 61 Patienten, in denen Dosen von 90 und 180 mcg mit übereinstimmendem Placebo- und Albuterol-HFA-MDI und einer mit 15 Patienten mit einer Dosis von 180 mcg mit dem Matched Albuterol HFA MDI verglichen werden. und eine 3-wöchige klinische Studie bei 185 Patienten im Alter von 4 bis 11 Jahren mit Asthma, in dem eine Dosis von 180 MCG viermal täglich mit dem passenden Albuterol HFA-MDI verglichen wird. The effectiveness of PROAIR RESPICLICK in children 4 to 11 years with exercise-induced bronchospasm is extrapolated from clinical trials in patients 12 years of age and older with asthma and exercise-induced bronchospasm based on data from a single-dose study comparing the bronchodilatory effect of PROAIR RESPICLICK 90 mcg and 180 mcg with placebo in 61 patients with asthma and data from a 3-week clinical trial in 185 Asthmatische Kinder im Alter von 4 bis 11 Jahren im Alter von einer Dosis von 180 mcg Albuterol 4 -mal täglich mit Placebo [siehe Klinische Studien ].

Die Sicherheit und Wirksamkeit von Proair Respiclick bei pädiatrischen Patienten unter dem Alter von 4 Jahren wurde nicht festgestellt.

Geriatrische Verwendung

In klinischen Studien zu Proair Respiclick gehörten keine ausreichende Anzahl von Patienten im Alter von 65 Jahren und mehr, um festzustellen, ob sie anders als jüngere Patienten reagieren. Andere gemeldete klinische Erfahrung haben keine Unterschiede in den Antworten zwischen älteren und jüngeren Patienten identifiziert. Im Allgemeinen sollte die Selektion der Dosis für einen älteren Patienten vorsichtig sein, normalerweise am unteren Ende des Dosierungsbereichs, der die größere Häufigkeit einer verringerten Nieren- oder Herzfunktion von Lebern und einer gleichzeitigen Erkrankung oder einer anderen medikamentösen Therapie widerspiegelt [siehe Warnungen und Vorsichtsmaßnahmen ].

Es ist bekannt, dass alle Beta2 -adrenergen Agonisten, einschließlich Albuterol, von der Niere wesentlich ausgeschieden werden, und das Risiko toxischer Reaktionen kann bei Patienten mit beeinträchtigter Nierenfunktion höher sein. Da ältere Patienten mit größerer Wahrscheinlichkeit eine verminderte Nierenfunktionspflege haben, sollten die Selektion der Dosis durchgeführt werden, und es kann nützlich sein, die Nierenfunktion zu überwachen.

Überdosierungsinformationen für Proair Respiclick

Die erwarteten Symptome mit Überdosierung sind diejenigen mit übermäßiger Beta-adrenerge Stimulation und/oder Auftreten oder Übertreibung der unter unerwünschten Reaktionen aufgeführten Symptome, z.

Hypokaliämie may also occur. As with all sympathomimetic medications cardiac arrest and even death may be associated with abuse of Proair Respiclick.

Die Behandlung besteht aus dem Absetzen von Proair Respiclick zusammen mit einer angemessenen symptomatischen Therapie. Der vernünftige Gebrauch eines kardioselektiven Beta-Rezeptor-Blockers kann berücksichtigt werden, dass solche Medikamente Bronchospasmus erzeugen können. Es gibt nicht genügend Beweise, um festzustellen, ob die Dialyse für die Überdosierung von Proair Respiclick von Vorteil ist.

Kontraindikationen für Proair Respiclick

Proair Respiclick is contraindicated in patients with a history of hypersensitivity to albuterol and/or severe hypersensitivity to milk proteins. Rare cases of hypersensitivity reactions including urticaria angioedema and Ausschlag have been reported after the use of Albuterolsulfat. There have been reports of anaphylactic reactions in patients using inhalation therapies containing lactose [see Warnungen und Vorsichtsmaßnahmen ].

Klinische Pharmakologie for Proair Respiclick

Wirkungsmechanismus

Albuterolsulfat ist ein Beta2 -adrenerge Agonist. Die pharmakologischen Wirkungen von Albuterolsulfat sind auf die Aktivierung von Beta2 -adrenergen Rezeptoren auf dem glatten Atemwegsmuskel zurückzuführen. Die Aktivierung von Beta2-adrenergen Rezeptoren führt zur Aktivierung von Adenylcyclase und zu einem Anstieg der intrazellulären Konzentration von Cyclic-3'5 € ™ -Adenosinmonophosphat (cyclischer AMP). Dieser Zunahme des cyclischen AMP ist mit der Aktivierung der Proteinkinase A verbunden, was wiederum die Phosphorylierung von Myosin hemmt und die intrazellulären ionischen Calciumkonzentrationen senkt, was zu einer Muskelrelaxation führt. Albuterol entspannt den glatten Muskel aller Atemwege von der Luftröhre bis zu den terminalen Bronchiolen.

Albuterol fungiert als funktioneller Antagonist, um die Atemwege unabhängig von dem damit verbundenen Krampf zu entspannen und so vor allen Herausforderungen des Bronchokonstriktors zu schützen. Erhöhte cyclische AMP -Konzentrationen sind auch mit der Hemmung der Freisetzung von Mediatoren aus Mastzellen in der Atemwege verbunden. Es ist zwar erkannt, dass adrenerge Rezeptoren von Beta2 die vorherrschenden Rezeptoren für bronchiale glatte Muskeldaten sind, dass es im menschlichen Herzen Beta -Rezeptoren gibt, von denen 10% bis 50% kardiale Beta2 -adrenerge Rezeptoren sind. Die genaue Funktion dieser Rezeptoren wurde nicht festgestellt [siehe Warnungen und Vorsichtsmaßnahmen ].

Albuterol hat in den meisten kontrollierten klinischen Studien gezeigt, dass sie in Form einer glatten Bronchialmuskelrelaxation in vergleichbaren Dosen mehr Einfluss auf den Atemweg haben, während weniger kardiovaskuläre Effekte erzeugt werden. Inhalated Albuterol wie andere Beta-adrenerge-agonistische Medikamente können jedoch bei einigen Patienten eine signifikante kardiovaskuläre Wirkung erzeugen Warnungen und Vorsichtsmaßnahmen ].

Pharmakodynamik

In einer pharmakodynamischen (PD) Studie, die bei 47 Patienten durchgeführt wurde, waren die PD- und Sicherheitsprofile für Proair Respiclick und Proair HFA ähnlich. Vergleichbare Veränderungen aus dem Ausgangswert in den PD -Messungen (Serumglucose- und Kaliumkonzentrationen QTCB QTCF Herzfrequenz -systolischer Blutdruck und diastolischer Blutdruck) wurden nach einer kumulativen Dosisverabreichung von bis zu 1440 mcg Proair Respiclick und Proair HFA beobachtet. Die allgemeine Sicherheitswirksamkeit und das PD -Profil von Proair Respiclick und Proair HFA waren vergleichbar.

Nach 90 oder 180 MCG-Ein- und Inhalation von Eindosis war die bronchodilatatorische Wirkung von Proair Respiclick signifikant größer als Placebo und vergleichbar mit der von Proair HFA bei Patienten, die 12 Jahre alt und älter (n = 71) (n = 71) und pädiatrische Patienten 4 bis 11 Jahre (n = 61) mit anhaltendem Asthma.

Herzelektrophysiologie

Wie bei anderen Beta2 -adrenergen Agonisten Proair Respiclick verlängerte QT -Intervalle nach einer kumulativen Dosis von 1440 mcg. Die Verlängerung war vergleichbar mit der von Proair HFA.

Pharmakokinetik

Absorption

Albuterol wurde schnell in den systemischen Kreislauf aufgenommen, wobei die Spitzen-Plasmakonzentrationen nach einer halben Stunde nach einer Ein- oder Mehrfachdosis-oralen Inhalation von Proair Respiclick zu einer halben Stunde auftraten. In einer kumulativen Dosisstudie war die AUC0-T zwischen der Proair Respiclick Group und der Proair HFA-Gruppe vergleichbar; Der CMAX-Wert war in der Proair Respiclick-Gruppe um ungefähr ein Drittel höher als die Proair-HFA-Gruppe.

Verteilung

Das Verteilungsvolumen wurde für Proair Respiclick nicht bestimmt. Die veröffentlichte Literatur legt nahe, dass Albuterol eine niedrige In -vitro -Plasmaproteinbindung aufweist (10%).

Beseitigung

Das Akkumulationsverhältnis (~ 1,6 falt) wurde nach einer Woche QID -Dosierung beobachtet. Die entsprechende wirksame Halbwertszeit betrug ungefähr 5 Stunden, was mit der Eliminierungs-Halbwertszeit sowohl nach einer Ein- als auch der Mehrfachdosis-Verabreichung übereinstimmte.

Stoffwechsel

In der veröffentlichten Literatur verfügbare Informationen deuten darauf hin, dass das für den Stoffwechsel von Albuterol beim Menschen verantwortliche primäre Enzym Sultia3 (Sulfotransferase) ist. Wenn racemische Albuterol entweder intravenös oder durch Inhalation nach oraler Holzkohleverabreichung verabreicht wurde, gab es einen 3- bis 4-fachen Unterschied in der Fläche unter den Konzentrationszeitkurven zwischen den (R)- und (S) -Albuterol Enantiomeren mit (S)- Albinol-Konzentrationen, die durchweg höher waren. Ohne die Vorbehandlung mit Holzkohle nach einer oralen oder Inhalationsverabreichung waren die Unterschiede jedoch 8- bis 24-fache, was darauf hindeutet, dass das (R) -Albuterol bevorzugt im Magen-Darm-Trakt metabolisiert wird, vermutlich von Sultia3.

Ausscheidung

Der Hauptweg der Eliminierung von Albuterol ist die Nierenausscheidung (80% bis 100%) entweder der Elternverbindung oder des primären Metaboliten. Weniger als 20% des Arzneimittels werden in den Kot nachgewiesen. Nach intravenöser Verabreichung von racemischem Albuterol zwischen 25% und 46% der (R) -Albuterol-Fraktion der Dosis wurde als unverändert (R)- Albuterol im Urin ausgeschieden.

Spezifische Populationen

Bei Neugeborenen oder älteren Probanden wurden keine pharmakokinetischen Studien für Proair Respiclick durchgeführt. Die systemische Exposition bei Kindern im Alter von 6 bis 11 Jahren ähnelt der von Erwachsenen nach 180 MCG -Einzeldosis -Inhalation von Proair Respiclick. Der Einfluss von Geschlecht oder Rasse auf die Pharmakokinetik von Proair Respiclick wurde nicht untersucht.

Patienten mit Nierenbehinderung

Die Wirkung der Nierenbeeinträchtigung auf die Pharmakokinetik von Albuterol wurde bei 5 Probanden mit Kreatinin -Clearance von 7 bis 53 ml/min bewertet und die Ergebnisse wurden mit denen gesunder Freiwilliger verglichen. Die Nierenerkrankung hatte keinen Einfluss auf die Halbwertszeit, aber es gab einen Rückgang der Albuterol-Clearance um 67%. Bei der Verabreichung hoher Dosen von Proair Respiclick für Patienten mit Nierenbeeinträchtigung sollte Vorsicht geboten werden [siehe Verwendung in bestimmten Populationen ].

Patienten mit Leberbehinderung

Die Wirkung von Leberbeeinträchtigungen auf die Pharmakokinetik von Proair Respiclick wurde nicht bewertet.

Arzneimittelinteraktionsstudien

In -vitro- und in vivo -Arzneimittelwechselwirkungsstudien wurden nicht mit Proair Respiclick durchgeführt. Bekannte klinisch signifikante Wechselwirkungen mit Arzneimitteln sind in umrissen Wechselwirkungen mit Arzneimitteln ).

Tiertoxikologie und/oder Pharmakologie

Präklinisch

Intravenöse Studien an Ratten mit Albuterolsulfat haben gezeigt, dass Albuterol die Blut-Hirn-Schranke überschreitet und die Gehirnkonzentrationen in Höhe von ungefähr 5% der Plasmakonzentrationen erreicht. In Strukturen außerhalb der Blut-Hirn-Barriere (Zirbeldrüsen- und Hypophysendrüsen) wurden die Albuterolkonzentrationen 100-mal diejenigen im gesamten Gehirn festgestellt.

Studien an Labortieren (Minipig-Nagetiere und Hunde) haben das Auftreten von Herzrhythmien und plötzlichem Tod (mit histologischen Hinweisen auf eine Myokardnekrose) gezeigt, wenn β-Agonisten und Methylxanthine gleichzeitig verabreicht wurden. Die klinische Bedeutung dieser Ergebnisse ist unbekannt.

Klinische Studien

Bronchospasmus Associated With Asthma

Erwachsene und jugendliche Patienten 12 Jahre alt und älter

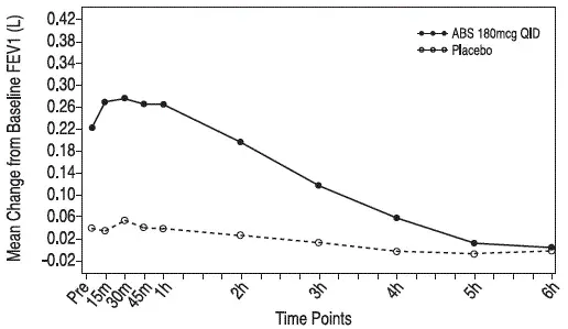
In zwei 12-wöchigen randomisierten doppelblinden, placebokontrollierten Studien zum identischen Design (Studie 1 und Studie 2) wurden Proair Respiclick (153 Patienten) bei asthmatischen Patienten 12 bis 76 Jahre in einer Dosis von 180 MCG-Albuterol viermal täglich mit einem übereinstimmenden Placebo-Trockenpulver-Inhalator (163 Patienten) verglichen. Die Patienten wurden bei inhalierter Kortikosteroidbehandlung gehalten. Serielle FEV 1 Messungen, die unten in Abbildung 1 als Durchschnitt der mittleren Änderungen der Testtagsbasis am Tag 1 und am Tag 85 gezeigt wurden 1 AUC über den Vorbehandlungswert als Placebo in Studie 1. In Studie 2 wurden konsistente Ergebnisse beobachtet.

Abbildung 1: Fev 1 als mittlere Veränderung von der Vordosierung der Testtag in einer 12-wöchigen klinischen Studie (Studie 1)

1 as Mean Change from Test-Day Pre-Dose Baseline in a 12-Week Clinical Trial (Study 1) Illustration' src='//pharmacie-hoffer.eu/img/beta2-agonists/59/proair-respiclick-1.webp' >

In Studie 1 44 von 78 Patienten, die mit Proair Respiclick behandelt wurden 1 Innerhalb von 30 Minuten nach der Dosis am Tag 1. Die mediane Zeit bis zum Beginn betrug 5,7 Minuten und die mediane Wirkungsdauer, gemessen mit einem Anstieg von 15% ca. 2 Stunden. In einer doppelblinden randomisierten Placebo-kontrollierten Ein-Dosis-Crossover-Studie, in der Proair Respiclick und Proair HFA in 71 erwachsenen und jugendlichen Probanden ab 12 Jahren und älter mit anhaltender Asthma-Proair-Respzit, hatten Bronchilatoren, die signifikant größer als Placebo-Dosen waren, wurden bei der Bronchodilatoren signifikant größer als das Placebo-Dosen von 90 und 180, in denen das Placebo-Dosen war, wurden bei einem Placebo-Dosen, das signifikant größer als Placebo-Dosen war, wurden in einer doppelblinden randomisierten placebo-studie bewertete, die in einer doppelblind randomisierten placebo-studie bewertet war.

Pädiatrische Patienten 4 bis 11 Jahre alt

In einem 3-wöchigen randomisierten doppelblinden, placebokontrollierten Proair Respiclick (92 Patienten) wurde mit einem übereinstimmenden Placebo (92 Patienten) bei asthmatischen Kindern 4 bis 11 Jahre in einer Dosis von 180 MCG Albuterol viermal täglich verglichen. Serielle FEV 1 Messungen, die als von der Basis einbereinigte prozentuierte FEV ausgedrückt werden 1 AUC0-6H über die 3-wöchige Behandlungszeit zeigte, dass 2 Inhalationen von Proair Respiclick eine signifikant stärkere Verbesserung der FEV verursachten 1 über den Wert vor der Behandlung als das übereinstimmende Placebo.

In dieser Studie erreichte 48 von 92 Patienten, die mit Proair Respiclick behandelt wurden 1 Innerhalb von 30 Minuten nach der Dosis am Tag 1. Die mediane Zeit bis zum Beginn betrug 5,9 Minuten und die mediane Dauer des Effekts, gemessen mit einer Erhöhung um 15% ca. 1 Stunde.

In einer placebokontrollierten Einzeldosis-Crossover-Studie an 61 Patienten wurden 4 bis 11 Jahre altes Proair Respiclick in Albuterol-Dosen von 90 und 180 mcg mit einem Matched Placebo und mit Albuterol HFA MDI verglichen. Proair Respiclick lieferte eine ähnliche Bronchodilation, wenn sie als ein oder zwei Inhalationen verabreicht wurden (prozentualbedingte, prozentuierte serielle FEV 1 über 6 Stunden nach der Dosis beobachtet), während zwei Inhalationen von Albuterol HFA MDI im Vergleich zu einer einzigen Inhalation eine signifikant höhere Bronchodilatation lieferten.

Übungsinduzierte Bronchospasmus

In einer randomisierten Einzeldosis-Crossover-Studie bei 38 erwachsenen und jugendlichen Patienten mit durch Training induziertem Bronchospasmus (EIB) zwei Inhalationen von Proair Respiclick, die 30 Minuten vor dem Training für eine Stunde nach der Ausübung verhindern (definiert als Aufrechterhaltung von FEV 1 Innerhalb von 80% der nachdosierten Basiswerte vor dem Training) bei 97% (37 von 38) der Patienten verglichen mit 42% (16 von 38) der Patienten, wenn sie Placebo erhielten.

Patienten, die an diesen klinischen Studien teilnahmen, durften eine gleichzeitige Steroidtherapie anwenden.

Patienteninformationen für Proair Respiclick

Proair® Respiclick®
(Proâ'ar Stays-Klik)
(Albuterolsulfat) Inhalationspulver

Was ist Proair Respiclick?

Proair Respiclick is a prescription medicine used in people 4 years of age and older to:

  • Behandeln oder verhindern Sie Bronchospasmus bei Menschen mit einer reversiblen obstruktiven Atemwegserkrankung
  • verhindern, dass der durch Training induzierte Bronchospasmus

Es ist nicht bekannt, ob Proair Respiclick bei Kindern unter 4 Jahren sicher und wirksam ist.

Verwenden Sie Proair Respiclick nicht, wenn Sie sind allergisch gegen Albuterolsulfat -Laktosemilchproteine ​​oder einen der Inhaltsstoffe in Proair Respiclick. Eine vollständige Liste von Zutaten in Proair Respiclick finden Sie im Ende dieser Broschüre.

Bevor Sie Proair Respiclick verwenden, informieren Sie Ihren Arzt von all Ihren Erkrankungen, einschließlich dessen, ob Sie:

  • Herzprobleme haben
  • hohen Blutdruck haben (Bluthochdruck)
  • Krämpfe haben (Anfälle)
  • Schilddrüsenprobleme haben
  • Diabetes haben
  • Haben Sie niedrige Kaliumspiegel im Blut
  • sind schwanger oder planen, schwanger zu werden. Es ist nicht bekannt, ob Proair Respiclick Ihrem ungeborenen Baby schädigen wird. Sprechen Sie mit Ihrem Arzt, wenn Sie schwanger sind oder planen, schwanger zu werden.
  • stillen oder planen zu stillen. Es ist nicht bekannt, ob Proair Respiclick in Ihre Muttermilch übergeht. Sprechen Sie mit Ihrem Arzt über den besten Weg, um Ihr Baby zu füttern, wenn Sie Proair Respiclick verwenden.

Erzählen Sie Ihrem Arzt von all den Medikamenten, die Sie einnehmen einschließlich verschreibungspflichtiger und rezeptfreier Medikamente Vitamine und Kräuterpräparate.

Proair Respiclick and other medicines may affect each other and cause side effects. Proair Respiclick may affect the way other medicines work and other medicines may affect the way Proair Respiclick works.

Sagen Sie Ihrem Arzt besonders, wenn Sie nehmen:

  • Andere inhalierte Medikamente oder Asthma -Medikamente
  • Digoxin
  • Beta -Blocker -Medikamente
  • Monoaminoxidase -Inhibitoren
  • Diuretika
  • trizyklische Antidepressiva

Fragen Sie Ihren Arzt oder Apotheker nach einer Liste dieser Medikamente, wenn Sie sich nicht sicher sind.

Kennen Sie die Medikamente, die Sie einnehmen. Halten Sie eine Liste von ihnen, um Ihren Arzt und Apotheker zu zeigen, wenn Sie ein neues Medikament erhalten.

Wie soll ich Proair Respiclick verwenden?

  • Ausführliche Anweisungen zur Verwendung des Inhalators finden Sie in Anweisungen zur Verwendung am Ende dieser Patienteninformationen.
  • Verwenden Sie Proair Respiclick genau so, wie Ihr Arzt Ihnen sagt, dass Sie es verwenden sollen.
  • Wenn Ihr Kind Proair Respiclick verwenden muss, beobachten Sie Ihr Kind genau, um sicherzustellen, dass Ihr Kind den Inhalator richtig verwendet. Ihr Arzt zeigt Ihnen, wie Ihr Kind Proair Respiclick verwenden soll.
  • Jede Dosis Proair Respiclick sollte bis zu 4 Stunden bis 6 Stunden dauern.
  • Nicht Erhöhen Sie Ihre Dosis oder nehmen Sie zusätzliche Dosen Proair Respiclick ein, ohne zuerst mit Ihrem Arzt zu sprechen.
  • Nicht use a spacer or volume holding chamber with Proair Respiclick.
  • Proair Respiclick does not need priming.
  • Holen Sie sich sofort medizinische Hilfe, wenn Proair Respiclick Ihren Symptomen nicht mehr hilft.
  • Holen Sie sich sofort medizinische Hilfe, wenn sich Ihre Symptome verschlimmern oder Ihren Inhalator öfter verwenden müssen.
  • Während Sie Proair Respiclick verwenden, verwenden Sie keine anderen inhalierten Rettungsmedikamente und Asthma -Medikamente, es sei denn, Ihr Arzt sagt Ihnen, dass Sie dies tun.
  • Rufen Sie Ihren Arzt an, wenn Ihre Asthma -Symptome wie Keuchen und Atembeschwerden über einige Stunden oder Tage schlechter werden. Ihr Arzt muss Ihnen möglicherweise ein anderes Medikament (zum Beispiel Kortikosteroide) zur Behandlung Ihrer Symptome geben.

Was sind die möglichen Nebenwirkungen von Proair Respiclick?

Proair Respiclick may cause serious side effects including:

  • Verschlechterung von Schwierigkeiten beim Atmen von Husten und Keuchen (paradoxer Bronchospasmus). Wenn dies passiert, hören Sie auf Proair Respiclick zu und rufen Sie Ihren Arzt an oder erhalten Sie sofort Nothilfe.
  • Herzprobleme einschließlich einer schnelleren Herzfrequenz und höherer Blutdruck
  • Möglicher Tod bei Menschen mit Asthma, die zu viel Proair Respiclick verwenden
  • allergische Reaktionen. Rufen Sie Ihren Arzt sofort an, wenn Sie die folgenden Symptome einer allergischen Reaktion haben:
    • juckende Haut
    • Ausschlag
    • Schwellung unter Ihrer Haut oder in Ihrem Hals
    • Verschlechterung der Schwierigkeiten Atmung
  • Verschlechterung anderer medizinischer Probleme bei Menschen, die auch Proair Respiclick verwenden, einschließlich zunehmender Blutzucker
  • niedrige Kaliumspiegel in Ihrem Blut

Die häufigsten Nebenwirkungen von Proair Respiclick sind:

  • Rückenschmerzen
  • Schnelle Herzfrequenz
  • Schmerz
  • Shakakess
  • Magenverstimmung
  • Nervosität
  • Sinus Kopfschmerzen
  • Kopfschmerzen
  • Harnwegsinfektion
  • Schwindel
  • Dein Herz fühlt sich an, als würde es klopfen oder Rennen rennen (Herzklopfen)
  • Halsschmerzen
  • Brustschmerzen
  • laufende Nase
  • Erbrechen

Dies sind nicht alle möglichen Nebenwirkungen von Proair Respiclick.

Rufen Sie Ihren Arzt an, um medizinische Beratung zu Nebenwirkungen zu erhalten. Sie können die FDA bei 1-800-FDA-1088 Nebenwirkungen melden.

Wie soll ich Proair Respiclick aufbewahren?

  • Lagern Sie Proair Respiclick bei Raumtemperatur zwischen 59 ° F und 77 ° C (25 ° C).
  • Vermeiden Sie die Exposition gegenüber extremer Wärmekälte oder Feuchtigkeit.
  • Halten Sie die Kappe am Inhalator während der Lagerung geschlossen.
  • Halten Sie Ihren Proair Respiclick -Inhalator jederzeit trocken und reinigen.
  • Nicht wash or put any part of your Proair Respiclick inhaler in water. Ersetzen Sie Ihren Inhalator, wenn Sie gewaschen oder in Wasser gelegt werden.

Halten Sie Proair Respiclick und alle Medikamente außerhalb der Reichweite von Kindern.

Allgemeine Informationen über den sicheren und effektiven Einsatz von Proair Respiclick.

reist gerade sicher nach Europa

Medikamente werden manchmal für andere Zwecke als die in einem Patienteninformationsblatt aufgeführten Zwecke verschrieben. Verwenden Sie Proair Respiclick nicht für eine Erkrankung, für die sie nicht verschrieben wurde. Geben Sie Proair Respiclick nicht anderen Menschen, auch wenn sie die gleichen Symptome haben, die Sie haben. Es kann ihnen schaden. Sie können Ihren Apotheker oder Arzt um Informationen über Proair Respiclick bitten, die für Angehörige der Gesundheitsberufe geschrieben wurden.

Weitere Informationen finden Sie unter www.myproair.com oder unter 1-888-482-9522.

Was sind die Zutaten in Proair Respiclick?

Wirkstoff: Albuterolsulfat

Inaktive Zutaten: Laktose (kann Milchproteine ​​enthalten)

Anweisungen zur Verwendung

Proair® Respiclick®
(Proâ'ar Stays-Klik)(Albuterolsulfat)inhalation powder

Ihr Proair Respiclick -Inhalator

Wenn Sie bereit sind, Proair Respiclick zum ersten Mal zu verwenden, entfernen Sie den Proair Respiclick -Inhalator aus dem Folienbeutel.

Es gibt 2 Hauptteile Ihres Proair Respiclick -Inhalators, einschließlich:

  • der weiße Inhalator mit dem Mundstück. Siehe Abbildung A.
  • Die rote Kappe, die das Mundstück des Inhalators abdeckt. Siehe Abbildung A.

Es gibt einen Dosisschalter im Rücken des Inhalators mit einem Betrachtungsfenster, das Ihnen zeigt, wie viele Dosen Medizin Sie noch haben. Siehe Abbildung A.

Abbildung a

  • Ihr Proair Respiclick -Inhalator enthält 200 Dosen (Inhalationen). Siehe Abbildung B.
  • Der Dosiszähler zeigt die Anzahl der in Ihrem Inhalator verbleibenden Dosen.
  • Wenn 20 Dosen übrig sind, ändert sich der Dosisschalter zu Rot und Sie sollten Ihr Rezept nachfüllen oder “
  • Wenn der Dosisschalter 0 zeigt, ist Ihr Inhalator leer und Sie sollten aufhören, den Inhalator zu verwenden und wegzuwerfen. Siehe Abbildung B.

Abbildung b

WICHTIG:

  • Schließen Sie die Kappe immer nach jedem Inhalation, damit Ihr Inhalator bereit ist, Ihre nächste Dosis zu nehmen. Nicht open the cap unless you are ready for your next dose.
  • Sie hören einen Klick -Ton, wenn die Kappe vollständig geöffnet wird. Wenn Sie den Klick -Sound nicht hören, wird der Inhalator möglicherweise nicht aktiviert, um Ihnen eine Dosis Medizin zu geben.
  • Proair Respiclick does not have an activation button or medicine canister. Wenn Sie die Kappe öffnen, wird eine Dosis Proair für die Lieferung des Arzneimittels aktiviert.
  • Im Allgemeinen ähnelt die Technik zur Verabreichung von Proair Respiclick für Kinder der für Erwachsene. Kinder sollten Proair Respiclick unter Erwachsenenaufsicht verwenden, wie vom Arzt des Patienten angewiesen.
  • Nicht use a spacer or volume holding chamber with Proair Respiclick. Proair Respiclick does not need priming.

Verwenden Sie Ihren Proair Respiclick -Inhalator:

Wichtig: Stellen Sie sicher, dass die rote Kappe geschlossen ist, bevor Sie Ihren Inhalator verwenden.

Schritt 1. Öffnen

  • Halten Sie den Inhalator aufrecht und öffnen Sie die rote Kappe vollständig, bis Sie sich fühlen, und hören Sie einen Klick. Siehe Abbildung C.
  • Jedes Mal, wenn Sie die rote Kappe öffnen und sie auf eine Dosis Proair Respiclick klickt, ist das Einatmen bereit.

Abbildung c

Erinnern:

  • Für die korrekte Verwendung von Proair Respiclick halten Sie den Inhalator aufrecht, während Sie die rote Kappe öffnen. Siehe Abbildung D.
  • Nicht Halten Sie den Inhalator auf andere Weise, wenn Sie die rote Kappe öffnen.
  • Nicht Öffnen Sie die rote Kappe, bis Sie bereit sind, eine Dosis Proair Respiclick zu nehmen.

Abbildung d

Schritt 2. Einatmen

  • Bevor Sie einatmen, atmen Sie durch Ihren Mund aus und schieben Sie so viel Luft aus Ihren Lungen wie möglich. Siehe Abbildung E.
  • Nicht Atmen Sie in das Inhalator -Mundstück aus.

Abbildung e

  • Legen Sie das Mundstück in den Mund und schließen Sie Ihre Lippen fest um es. Siehe Abbildung F.

Abbildung f

  • Nicht block the vent above the mouthpiece with your lips or fingers. See Abbildung g.

Abbildung g

  • Atmen Sie schnell und tief durch Ihren Mund ein, um die Dosis Medizin in Ihre Lunge zu liefern.
  • Entfernen Sie den Inhalator aus Ihrem Mund.
  • Halten Sie den Atem für ungefähr 10 Sekunden oder so lange, wie Sie es bequem können.
  • Ihr Proair Respiclick -Inhalator liefert Ihre Dosis Medizin als sehr feines Pulver, das Sie möglicherweise schmecken oder nicht fühlen. Nehmen Sie keine zusätzliche Dosis aus dem Inhalator, auch wenn Sie das Medikament nicht schmecken oder spüren.

Schritt 3. Schließen

Abbildung h

  • Schließen Sie die rote Kappe fest über dem Mundstück. Siehe Abbildung H.
  • Stellen Sie sicher, dass Sie die rote Kappe nach jedem Einatmen schließen, damit der Inhalator für Ihre nächste Dosis bereit ist.
  • Wenn Sie eine weitere Dosis benötigen Schließen Sie die rote Kappe und wiederholen Sie dann die Schritte 1-3.
close the red cap and then repeat steps 1-3 - Illustration' src='//pharmacie-hoffer.eu/img/beta2-agonists/59/proair-respiclick-10.webp' >

Speichern Sie Ihren Proair Respiclick -Inhalator

  • Lagern Sie Proair Respiclick bei Raumtemperatur zwischen 59 ° F und 77 ° C (25 ° C).
  • Vermeiden Sie die Exposition gegenüber extremer Wärmekälte oder Feuchtigkeit.
  • Halten Sie die rote Kappe am Inhalator während der Lagerung geschlossen.
  • Halten Sie Ihren Proair Respiclick -Inhalator jederzeit trocken und reinigen.
  • Nicht wash or put any part of your Proair Respiclick inhaler in water. Ersetzen Sie Ihren Inhalator, falls
  • Halten Sie Ihren Proair Respiclick -Inhalator und alle Medikamente außerhalb der Reichweite der Kinder.

Reinigen Sie Ihren Proair Respiclick -Inhalator

  • Nicht wash or put any part of your Proair Respiclick inhaler in water. Ersetzen Sie Ihren Inhalator, wenn Sie gewaschen oder in Wasser gelegt werden.
  • Proair Respiclick contains a powder and must be kept clean and dry at all times.
  • Wenn das Mundstück vorsichtig mit einem trockenen Tuch oder Gewebe gereinigt werden muss.

Ersetzen Sie Ihren Proair Respiclick -Inhalator

  • Der Dosisschalter auf der Rückseite Ihres Inhalators zeigt, wie viele Dosen Sie noch übrig haben. Versuchen Sie nicht, die Zahlen für den Dosiszähler zu ändern.
  • Wenn 20 Dosen übrig sind, ändert sich die Dosiszählerfarbe in Rot und Sie sollten Ihr Rezept nachfüllen oder Ihren Arzt nach einem weiteren Rezept fragen.
  • Wenn der Dosisschalter 0 zeigt, ist Ihr Proair Respiclick -Inhalator leer und Sie sollten aufhören, den Inhalator zu verwenden und wegzuwerfen.
  • Werfen Sie Ihren Proair Respiclick -Inhalator 13 Monate weg, nachdem Sie ihn zum ersten Mal aus dem Folienbeutel entfernt haben, wenn die Dosisschalter 0 oder nach dem Ablaufdatum auf dem Paket zeigt, je nachdem, was zuerst kommt.

Wichtige Informationen

  • Nicht open the red cap unless you are taking a dose. Repeatedly opening and closing the cap without inhaling a dose will waste the medicine and may damage your inhaler.
  • Ihr Proair Respiclick -Inhalator enthält trockenes Pulver, daher ist es wichtig, dass Sie nicht hineinblasen oder einatmen.
  • Nicht take the inhaler apart.

Unterstützung

  • Wenn Sie Fragen zu Proair Respiclick haben oder wie Sie Ihren Inhalator verwenden, besuchen Sie www.proair.com oder telefonisch unter 1-888-482-9522.

Diese Verwendung wurden von der US -amerikanischen Food and Drug Administration genehmigt.