Die Informationen Auf Dieser Website Stellen Keine Medizinische Beratung Dar. Wir Verkaufen Nichts. Die Richtigkeit Der Übersetzung Wird Nicht Garantiert. Haftungsausschluss
Stimulanzien
Qsymie
Drogenzusammenfassung
Was ist Qsymia?
Qsymie (Phentermine und Topiramat Extended-Freisetzung) ist ein Kombination Appetit-Suppressiva/Stimulans- und Anfallsmedikament, das als Ergänzung zu einer kalorienreduzierten Diät und einer erhöhten körperlichen Aktivität für die chronische Gewichtsbewirtschaftung bei übergewichtigen und fettleibigen Erwachsenen angegeben ist.
Was sind Nebenwirkungen von Qsymia?
Nebenwirkungen von Qsymia können umfassen:
- Stimmungsänderungen wie Depressionen
- Probleme beim Schlafen (Schlaflosigkeit)
- Verwirrung
- Schwindel
- Angst
- Müdigkeit
- Reizbarkeit
- Verstopfung
- Taubheit oder prickelndes Gefühl
- Veränderter Geschmackssinn
- Trockener Mund
- unangenehmer Geschmack in deinem Mund
- Kopfschmerzen
- Infektion der oberen Atemwege
- laufende oder stickige Nase
- Sinusinfektion
- Rückenschmerzen
- Grippe Symptome
- Bronchitis
- Ermüdung
- Brechreiz
- Durchfall
- Husten
- Harnwegsinfektion
- verschwommenes Sehen
- Schmerzen in den Extremitäten
- Depression
- Ausschlag
- Magenschmerzen oder Störungen
- Muskelkrämpfe
- Verdauungsstörungen
- Durst
- Augenschmerzen
- Trockene Augen
- Herzklopfen
- Haarausfall
- Appetitverlust
- Änderungen der Menstruationsperioden
- Muskelschmerzen
- Nackenschmerzen oder
- Probleme mit dem Aufmerksamkeitsgedächtnis oder der Sprache der Konzentration.
Suchen Sie medizinische Versorgung oder rufen Sie auf einmal 911 an, wenn Sie die folgenden schwerwiegenden Nebenwirkungen haben:
- Schwerwiegende Augensymptome wie plötzlicher Sehverlust verschwommenes Sehen Tunnel Sehschmerzen oder Schwellungen oder Halos in der Umgebung des Lichts;
- Schwerwiegende Herzsymptome wie schnelle unregelmäßige oder pochende Herzschläge; Flattern in deiner Brust; Kurzatmigkeit; und plötzliche Schwindel -Unbeschwertheit oder ohnmächtig;
- Starke Kopfschmerzen Verwirrung verwirrt Spracharm oder Bein Schwäche Schwierigkeiten beim Verlust der Koordination unstabil sehr steifes Muskeln hoher Fieber problemlos Schwitzen oder Zittern.
Dieses Dokument enthält nicht alle möglichen Nebenwirkungen und andere können auftreten. Wenden Sie sich an Ihren Arzt nach zusätzlichen Informationen zu Nebenwirkungen.
Dosierung für Qsymia
Die Dosierung von QSymia basiert auf dem Body Mass Index (BMI) des Patienten. Behandlung mit qsymia 3,75 mg/23 mg (Phentermine 3,75 mg/Topiramat 23 mg verlängerte Freisetzung) für 14 Tage; Nach 14 Tagen erhöhen Sie die empfohlene Dosis von QSymia 7,5 mg/46 mg (Phentermine 7,5 mg/Topiramat 46 mg verlängerte Freisetzung). Der Gewichtsverlust sollte 12 Wochen nach Behandlung des Behandlung bewertet werden.
Welche Medikamentensubstanzen oder Nahrungsergänzungsmittel interagieren mit Qsymia?
Andere Medikamente können mit QSymia interagieren. Sagen Sie Ihrem Arzt alle Medikamente, die Sie verwenden.
Qsymie während der Schwangerschaft und Stillen
Wenn dieses Medikament während der Schwangerschaft angewendet wird oder wenn ein Patient während der Einnahme dieser medikamentösen Behandlung schwanger wird, sollte sofort abgebrochen werden und der Patient der potenziellen Gefahr eines Fötus anerkannt werden. Es ist nicht bekannt, ob Qsymia in die Muttermilch übergeht. Wenden Sie sich vor dem Stillen an Ihren Arzt. Entzugssymptome können auftreten, wenn Sie plötzlich aufhören, dieses Medikament einzunehmen.
Weitere Informationen
Unser Qsymia -Nebenwirkungen Arzneimittelzentrum bietet eine umfassende Übersicht über verfügbare Arzneimittelinformationen über die potenziellen Nebenwirkungen bei der Einnahme dieses Medikaments.
FDA -Drogeninformationen
- Drogenbeschreibung
- Indikationen
- Nebenwirkungen
- Wechselwirkungen mit Arzneimitteln
- Warnungen
- Überdosis
- Klinische Pharmakologie
- Medikamentenhandbuch
Beschreibung für Qsymia
Die QSymia-Kapsel ist ein kombiniertes orales Produkt, das aus Phentermine-Hydrochlorid (ausgedrückt als Gewicht der freien Basis) und Topiramat verlängert wird. Qsymie enthält Phenterminehydrochlorid ein sympathomimetisches Amin-Anorektik und Topiramat ein Sulfamat-substituiertes Monosaccharid im Zusammenhang mit Fructose-Antiepileptikum.
Phentermine Hydrochlorid
Der chemische Name von Phenterminehydrochlorid ist αα-Dimethylphenethylaminhydrochlorid. Die molekulare Formel ist c 10 H 15 N • HCl und sein Molekulargewicht beträgt 185,7 (Hydrochloridsalz) oder 149,2 (freie Basis). Phentermine -Hydrochlorid ist ein weißloses hygroskopisches kristallines Pulver, das in Wassermethanol und Ethanol löslich ist. Seine strukturelle Formel ist:
|
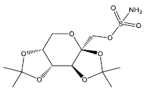
Topiramat
Topiramat is 23:45-di-O-isopropylidene-β-D-fructopyranose sulfamate. The molecular formula is C 12 H 21 NEIN 8 S und sein Molekulargewicht beträgt 339,4. Topiramat ist ein weißes bis breites Kristallpulver mit einem bitteren Geschmack. Es ist in Methanol und Aceton frei löslich in pH 9 bis pH 12 wässrigen Lösungen und in pH 1 bis pH 8 wässrigen Lösungen. Seine strukturelle Formel ist:
|
Qsymie
Qsymie is available in four dosage strengths:
- Qsymie 3,75 mg/23 mg (Phentermine 3.75 mg Und Topiramat 23 mg extended-release) Kapseln;
- Qsymie 7,5 mg/46 mg (Phentermine 7.5 mg Und Topiramat 46 mg extended-release) Kapseln;
- Qsymie 11.25 mg/69 mg (Phentermine 11.25 mg Und Topiramat 69 mg extended-release) Kapseln;
- Qsymie 15 mg/92 mg (Phentermine 15 mg Und Topiramat 92 mg extended-release) Kapseln.
Jede Kapsel enthält die folgenden inaktiven Inhaltsstoffe: Methylcellulose -Saccharose -Stärke mikrokristalline Celluloseethylcellulose -Povidon -Gelatin -Talk -Titaniumdioxid -FD
Verwendung für Qsymia
Qsymie wird in Kombination mit einer reduzierten Kaloriendiät und einer erhöhten körperlichen Aktivität angezeigt, um überschüssiges Körpergewicht zu verringern und die Gewichtsreduzierung langfristig aufrechtzuerhalten:
- Erwachsene und pädiatrische Patienten ab 12 Jahren mit Fettleibigkeit
- Erwachsene mit Übergewicht in Gegenwart von mindestens einem gewichtsbedingten komorbiden Zustand
Einschränkungen der Nutzung
- Die Wirkung von Qsymia auf die kardiovaskuläre Morbidität und Mortalität wurde nicht festgestellt.
- Die Sicherheit und Wirksamkeit von Qsymia in Kombination mit anderen Produkten, die für Gewichtsverlust bestimmt sind, einschließlich verschreibungspflichtiger Medikamente rezeptfreie Medikamente und pflanzliche Präparate, wurden nicht festgestellt.
Dosierung für Qsymia
Empfohlene Tests vor und während der Behandlung mit QSymia
Vor der QSYMIA -Initiierung und während der Behandlung mit QSymia wird Folgendes empfohlen:
Welche Art von Medikament ist Barbiturate
- Erhalten Sie einen negativen Schwangerschaftstest, bevor Sie Qsymia bei Patienten initiieren, die während der Qsymia -Therapie schwanger und monatlich werden können. Qsymie ist während der Schwangerschaft kontraindiziert [siehe Kontraindikationen Warnungen und Vorsichtsmaßnahmen Und Verwendung in bestimmten Populationen ].
- Erhalten Sie ein Blutchemieprofil, das Bicarbonat -Kreatinin und Kalium bei allen Patienten und Glukose bei Patienten mit Typ -2 Warnungen und Vorsichtsmaßnahmen ].
Empfohlene Dosierung und Verwaltung
Die empfohlene Dosierungstitration und die Verabreichung von Qsymia sind wie folgt:
- Nehmen Sie qsymia einmal täglich morgens mit oder ohne Essen oral ein. Vermeiden Sie die Verabreichung von Qsymia am Abend aufgrund der Möglichkeit einer Schlaflosigkeit.
- Die empfohlene Startdosis von QSymia beträgt eine Kapsel (NULL,75 mg Phentermine und 23 mg Topiramat) (NULL,75 mg/23 mg), die 14 Tage lang mündlich täglich aufgenommen wurden. Nach 14 Tagen erhöhen sich die empfohlene Dosierung von Qsymia um 7,5 mg/46 mg einmal täglich.
- Nach 12 Wochen Behandlung mit QSymia 7,5 mg/46 mg bewerten Gewichtsverlust bei Erwachsenen oder BMI -Reduktion bei pädiatrischen Patienten ab 12 Jahren. Wenn ein erwachsener Patient nicht mindestens 3% des Körpergewichts oder ein pädiatrischer Patient verloren hat, erhöht sich keine Verringerung von mindestens 3% des BMI -BMI -Ausgangsbasis für die Dosierung von qsymia um 11,25 mg/69 mg einmal täglich für 14 Tage; gefolgt von einer Erhöhung der Dosierung zu QSymia 15 mg/92 mg einmal täglich.
- Nach 12 Wochen Behandlung mit QSymia 15 mg/92 mg bewerten Gewichtsverlust bei Erwachsenen oder BMI -Reduktion bei pädiatrischen Patienten ab 12 Jahren. Wenn ein erwachsener Patient nicht mindestens 5% des Baseline -Körpergewichts verloren hat oder ein pädiatrischer Patient keine Verringerung von mindestens 5% des BMI -BMI -BMI -Qsymie erlebt hat [siehe Abnahme von QSymia 15 mg/92 mg ] Da es unwahrscheinlich ist, dass der Patient mit fortgesetzter Behandlung klinisch aussagekräftiger Gewichtsverlust erreicht und aufrechterhalten wird.
- Überwachen Sie die Gewichtsverlustrate bei pädiatrischen Patienten. Wenn der Gewichtsverlust 2 Pfund (NULL,9 kg)/Woche überschreitet, berücksichtigen Sie eine Dosierungsreduzierung.
Abnahme von QSymia 15 mg/92 mg
Deaktivieren Sie Qsymia 15 mg/92 mg nach und nach mindestens 1 Woche vor der Beendigung der Behandlung von qsymia 15 mg/92 mg mindestens einmal täglich mindestens täglich Warnungen und Vorsichtsmaßnahmen Und Drogenmissbrauch und Abhängigkeit ].
Empfohlene Dosierung bei Patienten mit Nierenbeeinträchtigung
- Die empfohlene Dosierung bei Patienten mit leichter (CRCL größer oder gleich 50 und weniger als 80 ml/min) ist die Nierenbeeinträchtigung mit der empfohlenen Dosierung für Patienten mit normaler Nierenfunktion [siehe Warnungen und Vorsichtsmaßnahmen Verwendung in bestimmten Populationen Und Klinische Pharmakologie ].
- Bei Patienten mit schwerer [Kreatinin-Clearance (CRCL) von weniger als 30 ml/min] oder mittelschwer (CRCL größer oder gleich 30 und weniger als 50 ml/min) Nierenbeeinträchtigung (CRCL berechnet mit der Cockcroft-Gault-Gleichung mit tatsächlichem Körpergewicht) ist die maximale empfohlene Dosierung qsymia 7,5 mg/46 mg, sobald dies täglich ist.
- Vermeiden Sie die Verwendung von Qsymia bei Patienten mit Nierenerkrankungen im Endstadium bei Dialyse.
Empfohlene Dosierung bei Patienten mit Leberbeeinträchtigung
- Die empfohlene Dosierung von Qsymie bei Patienten mit einer leichten Leberbeeinträchtigung (Child -Pugh 5 -6) entspricht der empfohlenen Dosierung bei Patienten mit normaler Leberfunktion [siehe Verwendung in bestimmten Populationen Und Klinische Pharmakologie ].
- Bei Patienten mit mittelschwerer Leberbeeinträchtigung (Kinder -Pugh -Score 7 -9) ist die maximal empfohlene Dosierung qsymia 7,5 mg/46 mg oral einmal täglich.
- Vermeiden Sie die Verwendung von Qsymie bei Patienten mit schwerer Leberbeeinträchtigung (Kinder -Pugh -Score 10 -15).
Wie geliefert
Dosierungsformen und Stärken
Qsymie Kapseln verlängerte Freisetzung sind in vier Stärken erhältlich (Phentermine Mg/Topiramat MG):
- 3,75 mg/23 mg -purpurer Kappe mit Vivus und lila Körper mit 3,75/23 eingeprägt.
- 7,5 mg/46 mg -purpurer Kappe mit Vivus und gelbem Körper mit 7,5/46 eingeprägt
- 11,25 mg/69 mg -ausgelbe Kappe mit Vivus und gelbem Körper mit 11,25/69 eingeprägt
- 15 mg/92 mg -ausgelbe Kappe mit Vivus und weißem Körper mit 15/92 gedruckt
Lagerung und Handhabung
Qsymie (Phentermine- und Topiramat-Kapseln verlängert) sind wie folgt erhältlich (siehe Tabelle 15 ):
Tabelle 15. Qsymie Presentations
| Stärke (Phentermine Mg/Topiramat Mg) | Beschreibung | Wie geliefert | NDC |
| 3,75 mg/23 mg verlängerte Freisetzung | Lila Kappe | Gebrauchsflasche (14 Kapseln) | 62541-201-14 |
| Kapseln | Gedruckt mit Vivus Purple Body, gedruckt mit 3,75/23 | Apothekenflasche (30 Kapseln) | 62541-201-30 |
| 7,5 mg/46 mg Kapseln verlängerte Freisetzung | Lila Kappe imprinted with VIVUS Yellow body imprinted with 7.5/46 | Flascheneinheit (30 Kapseln) | 62541-202-30 |
| 11,25 mg/69 mg Kapseln verlängerte Freisetzung | Gelbe Kappe mit Vivus gelber Körper gedruckt mit 11,25/69 geprägt | Apothekenflasche (30 Kapseln) | 62541-203-30 |
| 15 mg/92 mg Kapseln verlängerte Freisetzung | Gelbe Kappe mit Vivus White Body mit 15/92 gedrucktem Körper gedruckt | Flascheneinheit (30 Kapseln) | 62541-204-30 |
| 3,75 mg/23 mg und 7,5 mg/46 mg verlängerte Kapseln verlängert | Lila Kappe Gedruckt mit Vivus Purple Body, gedruckt mit 3,75/23 Und Lila Kappe imprinted with VIVUS Yellow body imprinted with 7.5/46 | Starter Pack - Blisterkonfiguration (28 Kapseln) | 62541-210-28 |
| 11,25 mg/69 mg und 15 mg/92 mg Kapseln verlängerte Freisetzung | Gelbe Kappe mit Vivus gelber Körper gedruckt mit 11,25/69 geprägt | Dosis Eskalationspaket - Blasenkonfiguration (28 Kapseln) | 62541-220-28 |
Lagern USP -kontrollierte Raumtemperatur ]. Keep container tightly closed Und protect from moisture.
Hergestellt für Vivus LLC von Catalent Pharma Solutions LLC 1100 Enterprise Drive Winchester KY 40391. Überarbeitet: September 2024
Nebenwirkungen for Qsymie
Die folgenden klinisch signifikanten Nebenwirkungen werden an anderer Stelle in der Markierung beschrieben:
- Embryo-Fetal-Toxizität [siehe Warnungen und Vorsichtsmaßnahmen Und Verwendung in bestimmten Populationen ]
- Selbstmordverhalten und Selbstmordverhalten [siehe Warnungen und Vorsichtsmaßnahmen ]
- Risiko von ophthalmologischen Nebenwirkungen [siehe Warnungen und Vorsichtsmaßnahmen ]
- Stimmung und Schlafstörungen [siehe Warnungen und Vorsichtsmaßnahmen ]
- Kognitive Beeinträchtigung [siehe Warnungen und Vorsichtsmaßnahmen ]
- Verlangsamung des linearen Wachstums [siehe Warnungen und Vorsichtsmaßnahmen ]
- Metabolische Azidose [siehe Warnungen und Vorsichtsmaßnahmen ]
- Abnahme der Nierenfunktion [siehe Warnungen und Vorsichtsmaßnahmen ]
- Das Risiko von Anfällen mit abruptem Abzug von Qsymia [siehe Warnungen und Vorsichtsmaßnahmen ]
- Nierensteine [siehe Warnungen und Vorsichtsmaßnahmen ]
- Oligohydrose und Hyperthermie [siehe Warnungen und Vorsichtsmaßnahmen ]
- Hypokaliämie [siehe Warnungen und Vorsichtsmaßnahmen ]
- Schwerwiegende Hautreaktionen [siehe Warnungen und Vorsichtsmaßnahmen ]
Klinische Studien Erfahrung
Da klinische Studien unter stark unterschiedlichen Bedingungen durchgeführt werden, die in den klinischen Studien eines Arzneimittels beobachtet werden, können nicht direkt mit den Raten in den klinischen Studien eines anderen Arzneimittels verglichen werden und spiegeln möglicherweise nicht die in der Praxis beobachteten Raten wider.
Die hier beschriebenen Daten spiegeln die Exposition gegenüber Qsymie in zwei 1-jährigen randomisierten doppelblind-placebokontrollierten multizentrischen klinischen Studien und zwei unterstützenden Studien bei 2318 erwachsenen Patienten mit übergewichtiger oder Adipositas [936 (40%) Patienten mit Hypertonie 309 (13%) Patienten mit Typ-2-Diabetes mellit (40%) (35%) Patienten mit BMI-Patienten mit 40%(35%) mit BMI-Patienten mit 40%(35%) mit BMI-Patienten mit 408 (35%) mit 408 (35%) mit 408 (35%). 2 ] für eine mittlere Dauer von 298 Tagen ausgesetzt. Die Daten in diesem Abschnitt beschreiben auch Nebenwirkungen einer 1-Jahres-randomisierten, doppelblinden placebokontrollierten multizentrischen klinischen Studie, in der 223 pädiatrische Patienten (12- bis 17 Jahre) mit Fettleibigkeit bewertet wurden [siehe Klinische Studien ].
Erwachsene
Nachteilige Reaktionen, die bei mehr oder gleich 5% und mindestens 1,5 -mal -Placebo bei Erwachsenen auftreten, umfassen Parästhesieschwindel -Dysgeusie -Schlaflosigkeit Verstopfung und trockener Mund.
Nebenwirkungen in größer als oder gleich 2% der mit QSymien behandelten Erwachsenen und häufiger als in der Placebo-Gruppe sind in Tabelle 1 angegeben.
Tabelle 1. Nachteilige Reaktionen, die bei ≥ 2% der von QSymien behandelten Erwachsenen mit Übergewicht oder Fettleibigkeit und häufiger als Placebo in der Gesamtstudienpopulation von 1 Jahr Dauer berichtet wurden
| Nebenwirkungen | Placebo (N = 1561) % | Qsymie 3,75 mg/23 mg (N = 240) % | Qsymie 7,5 mg/46 mg (N = 498) % | Qsymie 15 mg/92 mg (N = 1580) % |
| Parasthesie | 2 | 4 | 14 | 20 |
| Trockener Mund | 3 | 7 | 14 | 19 |
| Verstopfung | 6 | 8 | 15 | 16 |
| Infektion der oberen Atemwege | 13 | 16 | 12 | 14 |
| Kopfschmerzen | 9 | 10 | 7 | 11 |
| Dysgeusie | 1 | 1 | 7 | 9 |
| Schlaflosigkeit | 5 | 5 | 6 | 9 |
| Nasopharynngitis | 8 | 13 | 11 | 9 |
| Schwindel | 3 | 3 | 7 | 9 |
| Sinusitis | 6 | 8 | 7 | 8 |
| Brechreiz | 4 | 6 | 4 | 7 |
| Rückenschmerzen | 5 | 5 | 6 | 7 |
| Ermüdung | 4 | 5 | 4 | 6 |
| Durchfall | 5 | 5 | 6 | 6 |
| Vision verschwommen | 4 | 6 | 4 | 5 |
| Bronchitis | 4 | 7 | 4 | 5 |
| Harnwegsinfektion | 4 | 3 | 5 | 5 |
| Husten | 4 | 3 | 4 | 5 |
| Grippe | 4 | 8 | 5 | 4 |
| Depression | 2 | 3 | 3 | 4 |
| Angst | 2 | 3 | 2 | 4 |
| Hypoästhesie | 1 | 1 | 4 | 4 |
| Reizbarkeit | 1 | 2 | 3 | 4 |
| Alopezie | 1 | 2 | 3 | 4 |
| Aufmerksamkeitsstörung | 1 | 0 | 2 | 4 |
| Schmerzen in der Extremität | 3 | 2 | 3 | 3 |
| Muskelkrämpfe | 2 | 3 | 3 | 3 |
| Dyspepsie | 2 | 2 | 2 | 3 |
| Gastroösophageale Refluxkrankheit | 1 | 1 | 3 | 3 |
| Ausschlag | 2 | 2 | 2 | 3 |
| Hypokaliämie | 0 | 0 | 1 | 3 |
| Trockener Auge | 1 | 1 | 1 | 3 |
| Gastroenteritis | 2 | 1 | 2 | 3 |
| Pharyngolaryngealschmerz | 2 | 3 | 1 | 2 |
| Parasthesie Oral | 0 | 0 | 1 | 2 |
| Augenschmerzen | 1 | 2 | 2 | 2 |
| Nasenüberlastung | 1 | 2 | 1 | 2 |
| Durst | 1 | 2 | 2 | 2 |
| Sinusstau | 2 | 3 | 3 | 2 |
| Verfahrensschmerzen | 2 | 2 | 2 | 2 |
| Herzklopfen | 1 | 1 | 2 | 2 |
| Muskuloskelettschmerzen | 1 | 1 | 3 | 2 |
| Verringerter Appetit | 1 | 2 | 2 | 2 |
| Nackenschmerzen | 1 | 1 | 2 | 1 |
| Dysmenorrhoe | 0 | 2 | 0 | 1 |
| Brustbeschwerden | 0 | 2 | 0 | 1 |
Pädiatrische Patienten ab 12 Jahren und älter
Nebenwirkungen, die bei pädiatrischen Patienten auftreten, die entweder mit qsymia 15 mg/92 mg oder qsymia behandelt wurden, sind 7,5 mg/46 mg bei größerer oder gleich 4% und höher als Placebo umfassen Depression Pyrexia Dizziness Arthralgia Influenza Influenza und Ligamentsschatz.
Nebenwirkungen von mehr als 2% der qsymie behandelten pädiatrischen Patienten und häufiger als in der Placebo-Gruppe aus einer Studie an pädiatrischen Patienten ab 12 Jahren sind in Tabelle 2 gezeigt.
Tabelle 2. Nebenwirkungen in ≥2% der mit qSymien behandelten pädiatrischen Patienten im Alter von 12 bis 17 Jahren und häufiger als Placebo während der 56-Wochen-Behandlung berichtete
| Nebenwirkungen | Placebo (N = 56) % | Qsymie 7,5 mg/46 mg (N = 54) % | Qsymie 15 mg/92 mg (N = 113) % |
| Depression | 0 | 2 | 4 |
| Brechreiz | 4 | 4 | 4 |
| Pyrexie | 2 | 2 | 4 |
| Schwindel | 0 | 2 | 4 |
| Arthralgie | 0 | 2 | 4 |
| Parasthesie | 0 | 2 | 3 |
| Angst | 0 | 2 | 3 |
| Bauchschmerzen obere | 0 | 0 | 3 |
| Ermüdung | 2 | 0 | 3 |
| Ohrenentzündung | 0 | 2 | 3 |
| Muskuloskelett -Brustschmerzen | 0 | 0 | 3 |
| Grippe | 0 | 4 | 2 |
| Bandverstauchung | 0 | 4 | 2 |
Zunahme der Herzfrequenz
In adulten und pädiatrischen klinischen Studien gab es eine höhere Inzidenz von Herzfrequenzhöhen in qsymiated als im Vergleich zu mit Placebo behandelten Patienten. In einer 8-wöchigen ambulanten Blutdrucküberwachungsstudie (ABPM) bei Erwachsenen erhöhte QSymia die 24-Stunden-Durchschnittszusammenfassung um 3,6 Schläge pro Minute (BPM) (95% CI 2,1 5,2) im Vergleich zur Placebo-Gruppe [siehe Klinische Pharmakologie ].
In klinischen Studien verzeichneten ein höherer Prozentsatz der mit QSymien behandelten Erwachsenen und pädiatrischen Patienten ab 12 Jahren eine Herzfrequenzerhöhung gegenüber mehr als 5 10 15 und 20 bpm im Vergleich zu mit Placebo behandelten Patienten. Tabelle 3 und Tabelle 4 liefern die Zahlen und den Prozentsatz von erwachsenen und pädiatrischen Patienten mit Erhöhungen der Herzfrequenz in klinischen Studien von bis zu einem Jahr.
Tabelle 3. Anzahl und Prozentsatz von Erwachsenen mit Übergewicht oder Fettleibigkeit mit einer Zunahme der Herzfrequenz zu einem Zeitpunkt von der Basislinie
| Placebo N = 1561 N (%) | Qsymie 3,75 mg/23 mg N = 240 N (%) | Qsymie 7,5 mg/46 mg N = 498 N (%) | Qsymie 15 mg/92 mg N = 1580 N (%) | |
| Größer als 5 bpm | 1021 (NULL,4) | 168 (NULL,0) | 372 (NULL,7) | 1228 (NULL,7) |
| Größer als 10 bpm | 657 (NULL,1) | 120 (NULL,0) | 251 (NULL,4) | 887 (NULL,1) |
| Größer als 15 bpm | 410 (NULL,3) | 79 (NULL,9) | 165 (NULL,1) | 590 (NULL,3) |
| Größer als 20 bpm | 186 (NULL,9) | 36 (15.0) | 67 (NULL,5) | 309 (19.6) |
Tabelle 4. Anzahl und Prozentsatz der pädiatrischen Patienten mit einer Zunahme der Herzfrequenz zu einem Zeitpunkt von der Ausgangswert
| Placebo N = 56 N (%) | Qsymie 7,5 mg/46 mg N = 54 N (%) | Qsymie 15 mg/92 mg N = 113 N (%) | |
| Größer als 5 bpm | 37 (NULL,1) | 38 (NULL,4) | 92 (NULL,4) |
| Größer als 10 bpm | 26 (NULL,4) | 30 (NULL,6) | 73 (NULL,6) |
| Größer als 15 bpm | 17 (NULL,4) | 18 (NULL,3) | 48 (NULL,5) |
| Größer als 20 bpm | 10 (NULL,9) | 10 (NULL,5) | 27 (NULL,9) |
Parasthesie/Dysgeusie
In klinischen Studien bei Erwachsenen, die Berichte über Parästhesie als Kribbeln in Händen oder Gesicht und Dysgeusie, die als metallischer Geschmack charakterisiert wurden, charakterisiert (siehe Tabelle 1). Bei pädiatrischen Patienten wurden auch unerwünschte Reaktionen der Parästhesie berichtet (siehe Tabelle 2). Bei qsymia behandelte erwachsene Patienten wurden die Behandlung aufgrund dieser Nebenwirkungen abgebrochen (1% für Parästhesie und 0,6% für Dysgeusie); Keine pädiatrischen Patienten stellten die Behandlung aufgrund von Parästhesie oder Dysgeusie ab.
Stimmung und Schlafstörungen
Der Anteil der erwachsenen Patienten in 1-Jahres-kontrollierten Studien mit Qsymia, die eine oder mehrere nachteilige Reaktionen im Zusammenhang mit Stimmungs- und Schlafstörungen melden, betrug 15% und 21% bei QSymia 7,5 mg/46 mg und 15 mg/92 mg im Vergleich zu 10% mit Placebo. Diese Ereignisse wurden weiter in Schlafstörungen und Depressionen eingeteilt. Berichte über Schlafstörungen wurden typischerweise als Schlaflosigkeit charakterisiert und traten bei 8,1% und 11% der Patienten auf, die mit QSymia 7,5 mg/46 mg und 15 mg/92 mg behandelt wurden, verglichen mit 5,8% der mit Placebo behandelten Patienten. Berichte über Angstzustände traten bei 4,8% und 7,9% der Patienten auf, die mit QSymia 7,5 mg/46 mg und 15 mg/92 mg behandelt wurden, verglichen mit 2,6% der mit Placebo behandelten Patienten. Berichte über Depression/Stimmungsprobleme traten bei 3,8% und 7,6% der Patienten auf, die mit QSymia 7,5 mg/46 mg und 15 mg/92 mg behandelt wurden, verglichen mit 3,4% der mit Placebo behandelten Patienten. Stimmungs- und Schlafstörungen nachteilige Reaktionen traten bei Patienten mit und ohne Depression in der Anamnese auf.
In einer pädiatrischen klinischen Studie berichteten höhere Anteile an mit Qsymien behandelten Patienten über eine oder mehrere Nebenwirkungen im Zusammenhang mit der Stimmung (z. B. Angst vor Depressionen) und Schlafstörungen (z. B. Schlaflosigkeit) im Vergleich zu placebotbehandelten Patienten (siehe Tabelle 2).
Kognitive Störungen
In den 1-Jahres-kontrollierten Studien mit QSymie bei Erwachsenen betrug der Anteil der Patienten, bei denen ein oder mehrere kognitiv verwandte Nebenwirkungen auftraten, bei qsymia 7,5 mg/46 mg und 7,6% für QSymia 15 mg/92 mg im Vergleich zu 1,5% für Placebo. Diese nachteiligen Reaktionen bestanden hauptsächlich aus Berichten über Probleme mit Aufmerksamkeits-/Konzentrationsgedächtnis und Sprache (Wortfindung). Diese Ereignisse traten jederzeit während der Behandlung mit QSymia auf.
Verlangsamung des linearen Wachstums
Qsymie is associated with a reduction in height velocity (centimeters of height gained per year) in obese pediatric patients 12 to 17 years of age. In a 56-week study average height increased from baseline in both Qsymie- Und placebo-treated patients; however a lower height velocity of -1.3 to -1.4 cm/year was observed in Qsymie-treated compared to placebo-treated patients.
Abnahme der Knochenmineraldichte
Qsymie is associated with less bone mineral acquisition in pediatric patients 12 to 17 years of age. In a substudy (n=66) evaluating bone mineralization via dual-energy X-ray absorptiometry (DEXA) increases in bone mineral density (BMD) at the lumbar spine Und total body less head (TBLH) were smaller in pediatric patients treated with Qsymie compared to those treated with placebo after 1 year of treatment. Declines in BMD Z-scores of -0.5 or greater from baseline for TBLH were observed in 9% of Qsymie 7,5 mg/46 mgtreated patients Und 30% of Qsymie 15 mg/92 mg-treated patients compared to 0% of placebo-treated patients. The sample size Und study duration were too small to determine if fracture risk is increased. Decreased BMD was not correlated with decreased serum bicarbonate which commonly occurs with Qsymie treatment or changes in body weight. No patient had a BMD Z-score that went below -2.0 during the trial. Similar findings were observed in a 1 year active-controlled trial of Topiramat in pediatric patients with another condition.
Nephrolithiasis
In den 1-Jahres-kontrollierten Studien mit QSymia bei Erwachsenen betrug die Inzidenz von Nephrolithiasis bei qsymia 7,5 mg/46 mg und 1,2% für QSymia 15 mg/92 mg, verglichen mit 0,3% für Placebo.
Laboranomalien
Serumbicarbonat
In den 1-Jahres-kontrollierten Studien mit Qsymie bei Erwachsenen betrug die Inzidenz von anhaltenden Abnahmen des Serumbicarbonats unter dem normalen Bereich (Spiegel von weniger als 21 MEQ/l bei 2 aufeinanderfolgenden Besuchen oder beim letzten Besuch) 6,4% für QSymia 7,5 mg/46 mg und 12,8% für QSymia 15 mg/92 mg/92 mg/92 MG/92 MG/92 MG/92 MG/92 MG/92 MG/92 MG/92 MG/92 MG/92 MG/92 MG/92% für Place Die Inzidenz von anhaltenden deutlich niedrigen Serum -Bicarbonat -Werten (Spiegel von weniger als 17 MEQ/l bei 2 aufeinanderfolgenden Besuchen oder beim letzten Besuch) betrug 0,2% für QSymia 7,5 mg/46 mg Dosis und 0,7% für QSymia 15 mg/92 mg Dosis im Vergleich zu 0,1% für Placebo. In einer pädiatrischen klinischen Studie hatten 60 bis 70% qsymie behandelte Patienten einen anhaltenden Bicarbonatspiegel unter dem normalen Bereich ( <21 mEq/L) compared to 43% of placebo-treated patients.
Serumkalium
In den 1-Jahres-kontrollierten Studien mit Qsymie bei Erwachsenen betrug die Inzidenz von anhaltenden niedrigen Serum-Kaliumwerten (weniger als 3,5 meq/l bei zwei aufeinanderfolgenden Besuchen oder beim letzten Besuch während der Studie 3,6% für QSymia 7,5 mg/46 mg Dosis und 4,9% für QSYMIA 15 mg/92 mg im Vergleich zu 1,11% im Vergleich zu 1,11%. Von den Probanden, die anhaltend niedrigem Serumkalium erlebten, erhielten 88% eine Behandlung mit einem diuretischen Nicht-Potium-Sparet.
Die Inzidenz von deutlich niedrigem Serumkalium (weniger als 3 meq/l und eine Reduktion durch Vorbehandlung von mehr als 0,5 mäq/l) während des Versuchs betrug 0,2% für qsymia 7,5 mg/46 mg Dosis und 0,7% für QSymia 15 mg/92 mg Dosis im Vergleich zu 0,0% für Placebo. Persistentes, deutlich niedriges Serumkalium (weniger als 3 MEQ/l und eine Verringerung durch Vorbehandlung von mehr als 0,5 meq/l bei zwei aufeinanderfolgenden Besuchen oder beim letzten Besuch) trat bei 0,2% auf, die qsymia 7,5 mg/46 mg Dosis erhielten und 0,1% empfangen wurden.
Niedrige Serumkaliumspiegel ( <3.5 mEq/L) were not observed in a 56-week clinical trial of pediatric patients with obesity.
Serumkreatinin
In den 1-Jahres-kontrollierten Studien mit Qsymie bei Erwachsenen und pädiatrischen Patienten stieg das Serumkreatinin vom Ausgangsgraden zwischen 4 und 8 in Erwachsenen und in Woche 16 bei pädiatrischen Patienten. Die Serumkreatininwerte gingen ab, blieben jedoch über 1 Jahr der Behandlung über den Ausgangswert erhöht. Die Inzidenz von Erhöhungen des Serumkreatinins von mehr als oder gleich 0,3 mg/dl während der Behandlung bei Erwachsenen betrug 7,2% für QSymia 7,5 mg/46 mg und 8,4% für QSymia 15 mg/92 mg im Vergleich zu 2,0% für Placebo; 17% der pädiatrischen Patienten, die mit QSymia 7,5 mg/46 mg oder QSymia 15 mg/92 mg und 0% der mit Placebo behandelten Patienten behandelt wurden, hatten zu jeder Zeit nach der Zufalls ein Serumkreatinin von ≥ 0,3 mg/dl. In 2,0% der erwachsenen Probanden trat eine Erhöhung des Serumkreatinins von mehr als oder gleich 50% auf, die qsymia 7,5 mg/46 mg und 2,8% qsymia 15 mg/92 mg erhielten, verglichen mit 0,6%.
Serumammoniak
Hyperammonämie mit oder ohne Enzephalopathie wurde mit Topiramat berichtet. Das Risiko für Hyperammonämie mit Topiramat erscheint dosisbezogen und wurde häufiger berichtet, wenn er gleichzeitig mit Valproinsäure verwendet wird [siehe Wechselwirkungen mit Arzneimitteln ].
Die Inzidenz von Hyperammonämie bei pädiatrischen Patienten im Alter von 12 bis 17 Jahren in klinischen Studien eines anderen Zustands betrug 26% bei Patienten, bei denen Topiramat bei 100 mg/Tag (NULL,1 -fach die maximal empfohlene Dosierung von Qsymia) und 14% bei Patienten, bei denen Topiramat bei 50 mg/Tag (NULL,6 -mal das Maximum empfohlen wird, die Dosage von QSymia einnimmt). Es gab auch eine erhöhte Inzidenz einer deutlich erhöhten Hyperammonämie (definiert als 50% über der Obergrenze des normalen Referenzbereichs) bei 100 mg Dosis.
Nachmarkterfahrung
Die folgenden nachteiligen Reaktionen wurden während der Verwendung von Qsymia phentermine und topiramat nach der Genehmigung gemeldet. Da diese Reaktionen freiwillig aus einer Population unsicherer Größe berichtet werden, ist es nicht immer möglich, ihre Häufigkeit zuverlässig abzuschätzen oder ein kausales Verhältnis zur Arzneimittelexposition herzustellen.
Qsymie
Psychiatrisch: Selbstmordverhalten von Selbstmordgedanken
Ophthalmic: Akutes Winkelverschlussglaukom erhöhte den Intraokulardruck
Phentermine
Allergische Reaktionen: Urtikaria
Herz -Kreislauf: Erhöhung der ischämischen Blutdruckereignisse
Zentralnervensystem: Euphorie -Psychose -Zittern
Reproduktiv: Änderungen der Libido -Impotenz
Topiramat
Dermatologisch: Bullous Hautreaktionen (einschließlich Erythema multiforme Stevens-Johnson-Syndrom Toxic Epidermal Necrolyse) Pemphigus
Magen -Darm: Pankreatitis
Leber: Leberversagen (einschließlich Todesfälle) Hepatitis
Stoffwechsel: Hyperammonämie mit oder ohne Enzephalopathie wurde mit gleichzeitiger Valproinsäure berichtet [siehe Wechselwirkungen mit Arzneimitteln ] Unterkühlung
Ophthalmic: Makulopathie
Wechselwirkungen mit Arzneimitteln for Qsymie
Tabelle 5 zeigt klinisch signifikante Arzneimittelwechselwirkungen mit Qsymie.
Tabelle 5. Klinisch signifikante Arzneimittelwechselwirkungen mit Qsymia
| Monoaminoxidase -Inhibitoren | |
| Klinische Auswirkung | Die gleichzeitige Verwendung von Phentermine mit Monoaminoxidase -Inhibitoren (MAOIS) erhöht das Risiko einer hypertensiven Krise. |
| Intervention | Die gleichzeitige Anwendung von Qsymia wird während der MAOI -Behandlung und innerhalb von 14 Tagen nach der Beendigung eines Maoi kontraindiziert. |
| Orale Kontrazeptiva | |
| Klinische Auswirkung | Co-administration of multiple-dose QSYMIA 15 mg/92 mg once daily with a single dose of oral contraceptive containing 35 µg ethinyl estradiol (estrogen component) and 1 mg norethindrone (progestin component) in obese otherwise healthy volunteers decreased the exposure of ethinyl estradiol by 16% and increased the exposure of norethindrone by 22% [see Klinische Pharmakologie ]. Although this interaction is not anticipated to increase the risk of pregnancy irregular bleeding (spotting) may occur more frequently due to both the increased exposure to the progestin Und lower exposure to the estrogen which tends to stabilize the endometrium. |
| Intervention | Informieren Sie die Patienten, ihre Kombination aus oralem Verhütungsmittel nicht abzuleiten, wenn das Erfassen auftritt, sondern ihren Gesundheitsdienstleister benachrichtigen, wenn das Spoting für sie beunruhigend ist. |
| ZNS -Depressiva einschließlich Alkohol | |
| Klinische Auswirkung | Die gleichzeitige Anwendung von Alkohol- oder ZNS -Depressiva (z. B. Barbiturate Benzodiazepine und Schlafmedikamente) mit Phentermine oder Topiramat kann die ZNS -Depression wie Schwindel oder kognitive Nebenwirkungen oder andere zentral vermittelte Wirkungen dieser Agenten potenzieren. |
| Intervention | Raten Sie den Patienten, Maschinen nicht zu fahren oder zu betreiben, bis sie ausreichend Erfahrung auf Qsymia gesammelt haben, um zu beurteilen, ob sie ihre motorische Leistung und/oder Sehvermögen nachteilig beeinflusst. Vorsicht von Patienten vor übermäßiger Alkoholkonsum bei der Einnahme von QSymia. Betrachten Sie die Reduktion oder Abnahme der Qsymia -Dosierung oder Abnahme, wenn kognitive Dysfunktionen bestehen [siehe Warnungen und Vorsichtsmaßnahmen ] |
| Nicht-Potium-Sparschuhen-Diuretika | |
| Klinische Auswirkung | Die gleichzeitige Anwendung von Qsymie mit nicht-potiumsparendem Diuretika kann die Kaliumabfallwirkung dieser Diuretika potenzieren. Es wurde gezeigt, dass die gleichzeitige Verabreichung von Hydrochlorothiazid allein mit Topiramat allein die Cmax und AUC von Topiramat um 27% bzw. 29% erhöht. |
| Intervention | Wenn qsymia gleichzeitig mit nicht potiumsparender Diuretika vor und während der QSymia-Behandlung eingesetzt wird [siehe Warnungen und Vorsichtsmaßnahmen Und Klinische Pharmakologie ]. |
| Antiepileptika | |
| Klinische Auswirkung | Eine gleichzeitige Verabreichung von Phenytoin oder Carbamazepin mit Topiramat bei Patienten mit Epilepsie verringerte die Plasmakonzentrationen von Topiramat um 48% bzw. 40% im Vergleich zu alleine Topiramat [siehe Klinische Pharmakologie ]. Concomitant administration of valproic acid Und Topiramat has been associated with hyperammonemia with Und without encephalopathy. Concomitant administration of Topiramat with valproic acid in patients has also been associated with hypothermia (with Und without hyperammonemia). |
| Intervention | Betrachten Klinische Pharmakologie ]. |
| Carboanhydrase -Inhibitoren | |
| Klinische Auswirkung | Die gleichzeitige Verwendung von Topiramat mit jedem anderen carbonischen Anhydrase -Inhibitor kann die Schwere der metabolischen Azidose erhöhen und auch das Risiko einer Nierensteinbildung erhöhen. |
| Intervention | Vermeiden Sie den Einsatz von QSymia mit anderen Medikamenten, die die Karbonanhydrase hemmen. Wenn ein gleichzeitiger Einsatz von Qsymie mit einem anderen carbonischen Anhydrase -Inhibitor unvermeidbarer Patienten für das Aussehen oder die Verschlechterung der metabolischen Azidose ist [siehe Warnungen und Vorsichtsmaßnahmen ]. |
| Pioglitazon | |
| Klinische Auswirkung | Eine Abnahme der Exposition von Pioglitazon und seinen aktiven Metaboliten wurde in einer klinischen Studie mit der gleichzeitigen Verwendung von Pioglitazon und Topiramat festgestellt. Die klinische Relevanz dieser Beobachtungen ist unbekannt. |
| Intervention | Betrachten Sie eine erhöhte glykämische Überwachung bei der Verwendung von Pioglitazon und Qsymia gleichzeitig [siehe Klinische Pharmakologie ]. |
| Amitriptylin | |
| Klinische Auswirkung | Einige Patienten können in Gegenwart von Topiramat einen großen Anstieg der Amitriptylinkonzentration aufweisen. |
| Intervention | Alle Anpassungen der Amitriptylin -Dosis, wenn sie mit QSymia verwendet werden Klinische Pharmakologie ] |
Drogenmissbrauch und Abhängigkeit
Kontrollierte Substanz
Qsymie contains Phentermine a Schedule IV controlled substance Und Topiramat which is not a controlled substance.
Missbrauch
Phentermine has a known potential for abuse. Missbrauch is the intentional non-therapeutic use of a drug even once for its desirable psychological or physiological effects.
Phentermine is related chemically Und pharmacologically to amphetamines. Amphetamines Und other stimulant drugs have been extensively abused. Missbrauch of amphetamines Und related drugs (e.g. Phentermine) may be associated with impaired control over drug use Und severe social dysfunction. There are reports of patients who have increased the dosage of these drugs to many times higher than recommended. Assess the risk of abuse prior to prescribing Qsymie as part of a weight reduction Und long-term maintenance of body weight program.
Abhängigkeit
Bei Patienten, die mit Qsymie behandelt wurden, kann physikalische Abhängigkeit auftreten. Die physische Abhängigkeit ist ein Zustand, der sich durch physiologische Anpassung als Reaktion auf wiederholten Drogenkonsum entwickelt, die sich nach abrupten Absetzen oder einer signifikanten Dosisreduktion eines Arzneimittels durch Entzugszeichen und Symptome manifestieren.
Die folgenden nachteiligen Reaktionen wurden mit dem abrupten Absetzen der einzelnen Komponenten von QSymia in Verbindung gebracht:
- Für Topiramat wurde abrupte Absetzung mit Anfällen bei Patienten ohne Anfälle von Anfällen oder Epilepsie in Verbindung gebracht [siehe Warnungen und Vorsichtsmaßnahmen ].
- Für Phentermine führt eine abrupte Abnahme nach längerer Verabreichung mit hoher Dosierung zu extremer Müdigkeit und geistiger Depression zu; Änderungen werden auch in einem Schlafelektroenzephalogramm vermerkt.
Daher wird in Situationen empfohlen, in denen ein schneller Entzug von Qsymia erforderlich ist. Patienten, die Qsymia abbrechen, die 15 mg/92 mg abnehmen, sollten allmählich verjüngt werden, um die Möglichkeit eines Anfalls zu verringern [siehe Dosierung und Verwaltung ].
Warnungen für Qsymia
Eingeschlossen als Teil der 'VORSICHTSMASSNAHMEN' Abschnitt
Vorsichtsmaßnahmen für Qsymia
Embryo-Fetal-Toxizität
Qsymie can cause fetal harm. Daten from pregnancy registries Und epidemiologic studies indicate that a fetus exposed to Topiramat in the first trimester of pregnancy has an increased risk of major congenital malformations including but not limited to cleft lip Und/or cleft palate (oral clefts) Und of being small for gestational age (SGA). When multiple species of pregnant animals received Topiramat at clinically relevant doses structural malformations including craniofacial defects Und reduced fetal weights occurred in offspring. A negative pregnancy test is recommended before initiating Qsymie treatment in patients who can become pregnant Und monthly during Qsymie therapy. Advise patients who can become pregnant of the potential risk to a fetus Und to use effective contraception during Qsymie therapy [see Verwendung in bestimmten Populationen ].
Qsymie Risk Evaluation And Mitigation Strategy (REMS)
Aufgrund des teratogenen Risikos im Zusammenhang mit der Qsymia -Therapie ist Qsymia durch ein begrenztes Programm im Rahmen des REMS verfügbar. Im Rahmen der QSYMIA -REMS können nur zertifizierte Apotheken Qsymia verteilen. Weitere Informationen finden Sie unter www.qsymiarems.com oder telefonisch unter 1-888-998-4887.
Selbstmordverhalten und Vorstellung
Antiepileptika (AEDs) einschließlich Topiramat erhöhen das Risiko von Selbstmordgedanken oder Verhalten bei Patienten, die diese Medikamente für jegliche Indikation einnehmen. Poolierte Analysen von 199 placebokontrollierten klinischen Studien (Monotherapie- und Zusatztherapie Median-Behandlungsdauer 12 Wochen) von 11 verschiedenen AEDs in mehreren Indikationen zeigten, dass Patienten, die zu einem der AEDs randomisiert wurden, ungefähr doppelt so hoch wie das Risiko (angepasstes relatives Risiko 1,8 95% CI 1,2 2,7) des Selbstizidkids oder Verhaltens oder Verhaltens bei Patienten, die mit Patienten mit dem Orton randomisiert wurden. Die geschätzte Inzidenzrate des Selbstmordverhaltens oder der Ideen für die 27863 AED-behandelten Patienten betrug 0,43%, verglichen mit 0,24% bei 16029 mit Placebo behandelten Patienten, die einen Anstieg von ungefähr einem Fall von Suiziddenken oder Verhalten pro 530 behandelten Patienten darstellen. In den Studien gab es vier Selbstmorde bei AED-behandelten Patienten, und keiner bei mit Placebo behandelten Patienten ist zu klein, um eine Schlussfolgerung über AED-Effekt auf Selbstmord zu ermöglichen. Das erhöhte Risiko für Selbstmordgedanken oder Verhalten mit AEDs wurde bereits 1 Woche nach Beginn der medikamentösen Behandlung mit AEDs beobachtet und für die Dauer der Bewertung der Behandlungen bestehen. Da die meisten in die Analyse einbezogenen Studien nicht über 24 Wochen erstreckten, konnte das Risiko von Selbstmordgedanken oder Verhalten über 24 Wochen nicht bewertet werden. Das Risiko von Selbstmordgedanken oder Verhaltensweisen war in den analysierten Daten im Allgemeinen konsistent. Die Feststellung eines erhöhten Risikos mit AEDs unterschiedlicher Wirkmechanismen und über eine Reihe von Indikationen legt nahe, dass das Risiko für alle AEDs gilt, die für jede Indikation verwendet werden. Das Risiko variierte in den analysierten klinischen Studien nicht wesentlich nach Alter.
In einer qsymia klinischen Studie mit pädiatrischen Patienten im Alter von 12 Jahren und älterer Jahre von 1 (NULL,6%) der 167 mit QSymien behandelten Patienten berichteten über Suizidgedanken und -verhalten, die Krankenhausaufenthalte erforderten. Keine mit Placebo behandelten Patienten berichteten über Selbstmordverhalten oder -geerde.
Überwachen Sie alle Patienten auf die Entstehung oder Verschlechterung von Selbstmordgedanken oder Verhalten von Depressionen und/oder ungewöhnlichen Veränderungen in der Stimmung oder des Verhaltens. Qsymie bei Patienten mit Selbstmordgedanken oder Verhaltensweisen einstellen [siehe Das Risiko von Anfällen mit abruptem Entzug von Qsymie ]. Avoid Qsymie in patients with a history of suicidal attempts or active suicidal ideation.
Risiko für Augenheilkunde
Akute Myopie und Sekundärwinkelverschlussglaukom
Bei Patienten, die mit Topiramat behandelt wurden, wurde ein Syndrom berichtet, das aus akuter Myopie im Zusammenhang mit einem sekundären Winkelverschlussglaukom besteht. Zu den Symptomen gehören akuter Beginn einer verringerten Sehschärfe und/oder Augenschmerzen. Ophthalmologische Befunde können Myopia mydriasis anteriorkammer flache Augenhyperämie (Rötung) Choroidalablösungen Retinalpigment -Epithelabteilung Makula -Striae und erhöhtem intraokularem Druck umfassen. Dieses Syndrom kann mit dem supraklakiliären Erguss in Verbindung gebracht werden, was zu einer vorderen Verschiebung der Linse und Iris mit Sekundärwinkelverschlussglaukom führt. Die Symptome treten typischerweise innerhalb von 1 Monat nach der Initiierung der Behandlung mit Topiramat auf, können jedoch jederzeit während der Therapie auftreten. Im Gegensatz zum primären schmalen Winkelglaukom, das unter 40 Jahren selten im Sekundärwinkelverschluss glaukoms im Zusammenhang mit Topiramat ist, wurde bei pädiatrischen Patienten und Erwachsenen berichtet. Die Primärbehandlung, um die Symptome umzukehren, besteht darin, die Qsymie in Absprache mit dem behandelnden Arzt so schnell wie möglich abzubrechen. Ein erhöhter intraokularer Druck einer Ätiologie, wenn sie unbehandelt bleibt, kann zu schwerwiegenden Folgen führen, einschließlich dauerhafter Sehverlust.
Gesichtsfelddefekte
In klinischen Studien und in der Nachkrankungserfahrung bei Patienten, die Topiramat erhielten, wurden in klinischen Studien und in der Nachkriegserfahrung über Gesichtsfelddefekte (unabhängig von erhöhtem intraokularem Druck) berichtet. In klinischen Studien waren die meisten dieser Ereignisse nach Topiramatabbruch reversibel. Wenn zu irgendeinem Zeitpunkt visuelle Probleme während der Behandlung auftreten, sollten Sie Qsymia absetzen.
Stimmung und Schlafstörungen
Qsymie can cause mood disorders including Depression Und Angst as well as insomnia. Patients with a history of Depression may be at increased risk of recurrent Depression or other mood disorders while taking Qsymie [see Nebenwirkungen ].
Betrachten Sie die Reduktion oder Abnahme von Qsymie, wenn klinisch signifikante oder anhaltende Symptome auftreten. Qsymie einstellen, wenn Patienten Symptome einer Selbstmordgedanken oder eines Verhaltens aufweisen [siehe Selbstmordverhalten und Vorstellung ].
Kognitive Beeinträchtigung
Qsymie can cause cognitive dysfunction (e.g. impairment of concentration/attention difficulty with memory Und speech or language problems particularly word-finding difficulties). Rapid titration or high initial doses of Qsymie may be associated with higher rates of cognitive events such as attention memory Und language/word-finding difficulties [see Nebenwirkungen ]. The concomitant use of alcohol or central nervous system (CNS) depressant drugs with Qsymie may potentiate CNS Depression or other centrally mediated effects of these agents such as Schwindel cognitive adverse reactions drowsiness lightheadedness impaired coordination Und somnolence.
Vorsicht von Patienten vor dem Betrieb gefährlicher Maschinen, einschließlich Automobilen, bis sie einigermaßen bestimmte Qsymia -Therapie sind, wirkt sich nicht nachteilig aus. Vorsicht von Patienten vor übermäßiger Alkoholkonsum während des Erhalts von Qsymie.
Wenn kognitive Dysfunktionen bestehen bleiben Das Risiko von Anfällen mit abruptem Entzug von Qsymie ].
Verlangsamung des linearen Wachstums
Qsymie is associated with a reduction in height velocity (centimeters of height gained per year) in obese pediatric patients 12 to 17 years of age. In a 56-week study average height increased from baseline in both Qsymie-Und placebo-treated patients; however a lower height velocity of -1.3 to -1.4 cm/year was observed in Qsymie-treated compared to placebo-treated patients. Monitor height velocity in pediatric patients treated with Qsymie. Consider dosage reduction or discontinuation of Qsymie if pediatric patients are not growing or gaining height as expected [see Das Risiko von Anfällen mit abruptem Entzug von Qsymie ].
Metabolische Azidose
Hyperchlorämische Nicht-Anion-Gap-metabolische Azidose (verringerte Serumbicarbonat unter dem normalen Referenzbereich in Abwesenheit von chronischer Atemalkalose) wurde bei Patienten berichtet, die mit QSymia behandelt wurden [siehe Nebenwirkungen ]. Manifestations of acute or chronic metabolic acidosis may include hyperventilation nonspecific symptoms such as Ermüdung Und anorexia or more severe sequelae including cardiac arrhythmias or stupor. Chronic untreated metabolic acidosis may increase the risk for nephrolithiasis or nephrocalcinosis Und may also result in osteomalacia (referred to as rickets in pediatric patients) Und/or osteoporosis with an increased risk for fractures. Chronic metabolic acidosis in pediatric patients may also reduce growth rates which may decrease the maximal height achieved.
Erkrankungen oder Therapien, die sich für Azidose prädisponieren (d. H. Nierenerkrankungen schwere Atemwegsstörungen Status epilepticus diarrhea chirurgie oder ketogene Diät) können zu den Bicarbonat -Senkungseffekten von Qsymie additiv sein. Die gleichzeitige Anwendung von Qsymie und eines carbonischen Anhydrase -Inhibitors können den Schweregrad der metabolischen Azidose erhöhen und auch das Risiko einer Nierensteinbildung erhöhen [siehe Nierensteine ]. Avoid use of Qsymie with other carbonic anhydrase inhibitors. If concomitant use of Qsymie with another carbonic anhydrase inhibitor is unavoidable the patient should be monitored for the appearance or worsening of metabolic acidosis.
Messen Sie Elektrolyte einschließlich Serumbicarbonat vor Beginn der Qsymie und während der QSymia -Behandlung. In qsymia klinischen Studien trat die maximale Reduktion des Serumbicarbonats typischerweise innerhalb von 4 Wochen nach der Titration zur zugewiesenen Dosis auf, und bei den meisten Patienten gab es eine Korrektur von Bicarbonat bis Woche 56 ohne Dosierungsreduktion. Wenn sich jedoch eine persistente metabolische Azidose entwickelt, während QSymia die Dosierung oder die Abnahme von Qsymie verringert [siehe Das Risiko von Anfällen mit abruptem Entzug von Qsymie ].
Abnahme der Nierenfunktion
Qsymie can cause an increase in serum creatinine that reflects a decrease in renal function (glomerular filtration rate). In clinical trials peak increases in serum creatinine were observed after 4 to 8 weeks of treatment. On average serum creatinine gradually declined but remained elevated over baseline creatinine values. The changes in serum creatinine (Und measured GFR) with short-term (4-weeks) Qsymie treatment appear reversible with treatment discontinuation but the effect of chronic treatment on renal function is not known.
Messen Sie das Serumkreatinin vor Beginn der Qsymie und während der Qsymia -Behandlung. Wenn anhaltende Erhöhungen im Kreatinin auftreten Das Risiko von Anfällen mit abruptem Entzug von Qsymie Nebenwirkungen Und Klinische Pharmakologie ].
Das Risiko von Anfällen mit abruptem Entzug von Qsymie
Der abrupte Rückzug von Topiramat wurde mit Anfällen bei Personen ohne Anfälle oder Epilepsie in Verbindung gebracht. In Situationen, in denen eine sofortige Beendigung von Qsymie medizinisch erforderlich ist, wird eine geeignete Überwachung empfohlen. Patienten, die Qsymia abbrechen, die 15 mg/92 mg abnehmen, sollten allmählich verjüngt werden, um die Möglichkeit eines Anfalls zu verringern [siehe Dosierung und Verwaltung Und Drogenmissbrauch und Abhängigkeit ].
Nierensteine
Qsymie has been associated with kidney stone formation [see Nebenwirkungen ]. Topiramat inhibits carbonic anhydrase activity Und promotes kidney stone formation by reducing urinary citrate excretion Und increasing urine pH. Patients on a ketogenic diet may be at increased risk for kidney stone formation. An increase in urinary calcium Und a marked decrease in urinary citrate was observed in Topiramat-treated pediatric patients in a one-year active-controlled study. Increased ratio of urinary calcium/citrate increases the risk of kidney stones Und/or nephrocalcinosis.
Vermeiden Sie die Verwendung von Qsymie mit anderen Medikamenten Wechselwirkungen mit Arzneimitteln ]. Advise patients to increase Grippeid intake (to increase urinary output) which may decrease the concentration of substances involved in kidney stone formation.
Oligohidrose und Hyperthermie
Oligohidrose (vermindertes Schwitzen), das selten zu einem Krankenhausaufenthalt führt, wurde in Verbindung mit dem Einsatz von Topiramat berichtet. Verringerte Schwitzen und eine Erhöhung der Körpertemperatur über dem Normalen charakterisierten diese Fälle. Einige der Fälle wurden nach Exposition gegenüber erhöhten Umwelttemperaturen mit Topiramat gemeldet.
Die meisten mit Topiramat verbundenen Berichte waren bei pädiatrischen Patienten. Beraten Sie allen Patienten und Betreuern, auf ein vermindertes Schwitzen und eine erhöhte Körpertemperatur während der körperlichen Aktivität zu überwachen, insbesondere bei heißem Wetter. Patienten mit begleitenden Medikamenten, die sie für hitzebedingte Erkrankungen prädisponieren, können ein erhöhtes Risiko ausgesetzt sein.
Kalium 150 ER 10 MEQ -Kapsel
Hypokaliämie
Qsymie can increase the risk of hypokalemia through its inhibition of carbonic anhydrase activity. In addition when Qsymie is used in conjunction with non- potassium sparing diuretics this may further potentiate potassium-wasting. Messen potassium before Und during treatment with Qsymie [see Nebenwirkungen Wechselwirkungen mit Arzneimitteln Und Klinische Pharmakologie ].
Schwerwiegende Hautreaktionen
Bei Patienten, die Topiramat erhielten, wurden schwerwiegende Hautreaktionen (Stevens-Johnson-Syndrom [SJS] und toxische epidermale Nekrolyse [zehn]) berichtet. Qsymie sollte beim ersten Anzeichen eines Ausschlags abgesetzt werden, es sei denn, der Ausschlag ist eindeutig nicht mit Drogen verbunden. Wenn Anzeichen oder Symptome darauf hindeuten, dass die Verwendung dieses Arzneimittels nicht wieder aufgenommen werden sollte und eine alternative Therapie berücksichtigt werden sollte. Informieren Sie die Patienten über die Anzeichen schwerwiegender Hautreaktionen.
Allergische Reaktionen aufgrund von inaktivem Inhaltsstoff FD
Dieses Produkt enthält FD
Patientenberatungsinformationen
Raten Sie dem Patienten, die von der FDA zugelassene Patientenkennzeichnung zu lesen ( Medikamentenhandbuch ).
Embryo-Fetal-Toxizität
Informieren Sie Patienten, die schwanger werden können, dass Qsymie fetale Schäden verursachen kann, und Patienten sollten vermeiden, während der Einnahme von QSymia schwanger zu werden [siehe Warnungen und Vorsichtsmaßnahmen Wechselwirkungen mit Arzneimitteln Und Verwendung in bestimmten Populationen ]. Advise patients who can become pregnant:
- Diese Schwangerschaftstests werden empfohlen, bevor Qsymia und monatlich während der Therapie initiiert werden.
- eine wirksame Empfängnisverhütung während der Qsymia -Therapie verwenden;
- Wer erlebt das Erkennen, während sie einen kombinierten oralen Verhütungsmittel einnehmen, um ihren Gesundheitsdienstleister zu informieren;
- mit einer bekannten oder vermuteten Schwangerschaft, um Qsymia sofort zu stoppen und ihren Gesundheitsdienstleister zu benachrichtigen.
Zugang zu Qsymia
Beraten Sie den Patienten, dass QSymia nur über zertifizierte Apotheken erhältlich ist, die im QSYMIA Certified Pharmacy Network aufgenommen werden. Beraten Sie den Patienten, wie Sie über zertifizierte Apotheken zu Qsymia zugreifen können. Weitere Informationen können über die Website www.qsymiarems.com oder telefonisch unter 1-888998-4887 erhalten werden.
Selbstmordverhalten und Vorstellung And Stimmung und Schlafstörungen
Informieren Sie die Patienten, dass Qsymia das Risiko für Stimmungsveränderungen für Schlafstörungen und Selbstmordgedanken erhöhen kann. Raten Sie den Patienten, ihre Gesundheitsdienstleister sofort mitzuteilen, wenn die Stimmungsstimmung Depressionen oder Selbstmordgedanken verändert [siehe Warnungen und Vorsichtsmaßnahmen ].
Überschwächliche Nebenwirkungen
Informieren Sie die Patienten, dass Qsymia das Risiko einer akuten Myopie -Sekundärwinkelverschlussglaukom und der Gesichtsfelddefekte erhöhen kann. Raten Sie den Patienten, die Symptome schwerer und anhaltender Augenschmerzen oder signifikante Veränderungen ihrer Sicht an ihren Gesundheitsdienstleister sofort zu berichten [siehe Warnungen und Vorsichtsmaßnahmen ].
Kognitive Beeinträchtigung
Informieren Sie Patienten, dass QSymia Verwirrungskonzentration und Wortfindungsschwierigkeiten verursachen kann. Informieren Sie die Patienten, dass die gleichzeitige Anwendung des Alkohol- oder Zentralnervensystems (CNS) Depressiva mit QSymie das Risiko einer schwindelerregenden kognitiven Nebenwirkungen erhöhen kann, dass die Koordination und die Schläfrigkeit von Schläfrigkeit Leuchtenbehinderung beeinträchtigt werden.
Raten Sie den Patienten, ihren Gesundheitsdienstleister (en) über Änderungen des Aufmerksamkeitskonzentrationsgedächtnisses Schwierigkeiten zu informieren, Wörter oder andere kognitive Funktionen zu finden. Raten Sie den Patienten, Maschinen nicht zu fahren oder zu betreiben, bis sie ausreichend Erfahrung auf Qsymia gesammelt haben, um zu beurteilen, ob sie ihre motorische Leistung und/oder Sehvermögen nachteilig beeinflusst. Raten Sie den Patienten, übermäßige Alkoholkonsum während der Einnahme von QSymia zu vermeiden [siehe Warnungen und Vorsichtsmaßnahmen ].
Verlangsamung des linearen Wachstums
Diskutieren Sie mit dem Patienten und der Pflegekraft, dass die Langzeit-Qsymia-Behandlung das Wachstum abschwächen kann, was sich in einer langsameren Anstieg der pädiatrischen Patienten widerspiegelt [siehe Warnungen und Vorsichtsmaßnahmen ].
Metabolische Azidose
Informieren Sie die Patienten, dass Qsymia das Risiko einer metabolischen Azidose erhöhen kann. Empfehlen den Patienten, ihren Gesundheitsdienstleister über alle Faktoren zu informieren, die das Risiko einer Azidose erhöhen können (z. Warnungen und Vorsichtsmaßnahmen ].
Das Risiko von Anfällen mit abruptem Entzug von Qsymie
Informieren Sie die Patienten, dass ein abrupter Entzug von Topiramat mit Anfällen bei Personen ohne Anfälle von Anfällen oder Epilepsie in Verbindung gebracht wurde. Raten Sie den Patienten, Qsymia nicht abrupt zu stoppen, ohne zuerst mit ihren Gesundheitsdienstleistungen zu sprechen [siehe Dosierung und Verwaltung Und Warnungen und Vorsichtsmaßnahmen ].
Nierensteine
Informieren Sie die Patienten, dass die Verwendung von Qsymia mit der Bildung von Nierenstein in Verbindung gebracht wurde. Raten Sie den Patienten, die Flüssigkeitsaufnahme zu erhöhen, um die Harnleistung zu erhöhen, was die Konzentration der Substanzen verringern kann, die an der Bildung von Nierenstein beteiligt sind. Raten Sie den Patienten, Symptome schwerer Seiten- oder Rückenschmerzen und/oder Blut im Urin an ihre Gesundheitsdienstleister zu melden [siehe Warnungen und Vorsichtsmaßnahmen Und Nebenwirkungen ].
Oligohidrose und Hyperthermie
Die Patienten darüber informieren, dass Oligohidrose (vermindertes Schwitzen) in Verbindung mit Topiramat insbesondere bei pädiatrischen Patienten berichtet wurde. Raten Sie den Patienten, auf ein verringertes Schwitzen und eine erhöhte Körpertemperatur während der körperlichen Aktivität zu überwachen, insbesondere bei heißem Wetter [siehe Warnungen und Vorsichtsmaßnahmen ].
Schwerwiegende Hautreaktionen
Informieren Sie Patienten, dass schwerwiegende Hautreaktionen unter Verwendung von Topiramat berichtet wurden. Informieren Sie Patienten über die Anzeichen schwerwiegender Hautreaktionen und raten Sie den Patienten, Anzeichen einer Hautreaktion auf ihre Gesundheitsdienstleister zu melden [siehe Warnungen und Vorsichtsmaßnahmen ].
Stillzeit
Beraten Sie den Patienten, dass das Stillen während der qsymia -Behandlung nicht empfohlen wird [siehe Verwendung in bestimmten Populationen ].
Allergische Reaktionen aufgrund von inaktivem Inhaltsstoff FD
Informieren Sie die Patienten, dass dieses Produkt FD enthält Warnungen und Vorsichtsmaßnahmen ].
Wie man Qsymia einnimmt
Weisen Sie die Patienten über den Dosierungstitrationsplan von Qsymia an. Raten Sie den Patienten, qsymia am Morgen mit oder ohne Nahrung zu nehmen [siehe Dosierung und Verwaltung ].
Nichtklinische Toxikologie
Karzinogenese -Mutagenese -Beeinträchtigung der Fruchtbarkeit
Phentermine/Topiramat
Es wurden keine Tierstudien mit der Kombination von Phentermine/Topiramat durchgeführt, um die Karzinogenese -Mutagenese oder eine Beeinträchtigung der Fruchtbarkeit zu bewerten. Die folgenden Daten basieren auf Ergebnissen in Studien, die einzeln mit den beiden Wirkstoffen von Phentermine oder Topiramat -Qsymia durchgeführt wurden.
Phentermine
Phentermine was not mutagenic or clastogenic with or without metabolic activation in the Ames bacterial mutagenicity assay a chromosomal aberration test in Chinese hamster lung (CHL-K1) cells or an vergeblich Mikronukleus -Assay.
Ratten wurden 2 Jahre lang orale Dosen von 3 10 und 30 mg/kg/Tag verabreicht. Es gab keine Hinweise auf eine Karzinogenität bei der höchsten Dosis von Phentermine (30 mg/kg), die ungefähr das 11- bis 15 -fache der maximal empfohlenen klinischen Dosis QSymia 15 mg/92 mg basierend auf AUC -Exposition beträgt.
Mit Phentermin wurden keine Tierstudien durchgeführt, um das Potenzial für eine Beeinträchtigung der Fruchtbarkeit zu bestimmen.
Topiramat
Topiramat did not demonstrate genotoxic potential when tested in a battery of in vitro Und vergeblich Assays. Topiramat war im Ames -Test nicht mutagen oder der in vitro Maus -Lymphom -Assay; Die außerplanmäßige DNA -Synthese in Rattenhepatozyten erhöhte nicht in vitro ; und es erhöhte keine chromosomalen Aberrationen in menschlichen Lymphozyten in vitro oder im Rattenknochenmark vergeblich .
Ein Anstieg der Harnblasentumoren wurde bei Mäusen mit Topiramat (20 75 und 300 mg/kg) 21 Monate lang in der Ernährung beobachtet. Die erhöhte Blasentumorinzidenz, die bei Männern und Frauen, die 300 mg/kg erhielten, statistisch signifikant war, war hauptsächlich auf das erhöhte Auftreten eines glatten Muskeltumors zurückzuführen, das für Mäuse als histomorphologisch als einzigartig angesehen wurde. Die Plasma-Expositionen bei Mäusen, die 300 mg/kg erhielten, betrugen ungefähr 2- bis 4-mal stationäre Expositionen, gemessen bei Patienten, die eine Topiramat-Monotherapie am MRHD von QSymia 15 mg/92 mg erhielten. Die Relevanz dieses Befundes für das karzinogene Risiko des Menschen ist ungewiss. Bei Ratten nach oraler Verabreichung von Topiramat für 2 Jahre in Dosen von bis zu 120 mg/kg (ungefähr das 4- bis 10 -fache der MRHD von qsymia basierend auf AUC -Schätzungen) wurden keine Hinweise auf Karzinogenität beobachtet. Bei Ratten bei Dosen von bis zu 100 mg/kg wurden keine nachteiligen Auswirkungen auf die männliche oder weibliche Fruchtbarkeit beobachtet (ungefähr 4- bis 8 -mal männliche und weibliche MRHD -Expositionen von Qsymia basierend auf AUC).
Verwendung in bestimmten Populationen
Schwangerschaft
Risikozusammenfassung
Qsymie is contraindicated in pregnant patients. The use of Qsymie can cause fetal harm Und weight loss offers no clear clinical benefit to a pregnant patient (see Klinische Überlegungen ). Available data from pregnancy registries Und epidemiologic studies indicate an increased risk of major congenital malformations including but not limited to cleft lip Und/or cleft palate (oral clefts) Und of being SGA in infants exposed in utero to Topiramat (see Daten ). When Phentermine Und Topiramat were co-administered to rats at doses of 3.75 Und 25 mg/kg respectively [approximately 2 times the maximum recommended human dose (MRHD) based on area under the curve (AUC)] or at the same dose to rabbits (approximately 0.1 times Und 1 time respectively the clinical exposures at the MRHD based on AUC) there were no drug-related malformations. However structural malformations including craniofacial defects Und reduced fetal weights occurred in offspring of multiple species of pregnant animals administered Topiramat at clinically relevant doses (see Daten ). Advise pregnant women of the potential risk to a fetus.
Klinische Überlegungen
Krankheiten assoziierte mütterliche und/oder embryo/fetale Risiko
Gewichtsverlust während der Schwangerschaft kann zu einem fetalen Schaden führen. Eine angemessene Gewichtszunahme auf der Grundlage des Gewichts vor der Schwangerschaft wird derzeit für alle schwangeren Patienten empfohlen, einschließlich derjenigen, die bereits übergewichtig oder fettleibig sind, aufgrund der obligatorischen Gewichtszunahme, die in Müttern während der Schwangerschaft auftritt. Fettleibigkeit bei Müttern erhöht das Risiko für angeborene Fehlbildungen, einschließlich Neuralrohrdefekten kardiale Fehlbildungen orale Spalten und Defekte der Extremitätenreduzierung.
Nebenwirkungen von fetalen/Neugeborenen
Qsymie can cause metabolic acidosis [see Warnungen und Vorsichtsmaßnahmen ]. The effect of Topiramat-induced metabolic acidosis has not been studied in pregnancy; however metabolic acidosis in pregnancy (due to other causes) can cause decreased fetal growth decreased fetal oxygenation Und fetal death Und may affect the fetus’ ability to tolerate labor.
Daten
Menschliche Daten
Daten evaluating the risk of major congenital malformations oral clefts Und being SGA with Topiramat exposure during pregnancy is available from the North American Antiepileptic Drug (NAAED) Schwangerschaft Registry Und from several larger retrospective epidemiologic studies.
Wichtige angeborene Missbildungen
Das NAAED -Schwangerschaftsregister zeigt ein erhöhtes Risiko für wichtige angeborene Fehlbildungen an, einschließlich, aber nicht beschränkt auf orale Spalten bei Säuglingen, die im ersten Tradium der Schwangerschaft Topiramat ausgesetzt sind. Abgesehen von oralen Spalten wurden kein spezifisches Muster der wichtigsten angeborenen Fehlbildungen oder der Gruppierung von kongenitalen Fehlbildungstypen beobachtet. In dem NAAED-Schwangerschaftsregister, wenn Topiramat-exponierte Säuglinge mit nur oralen Spalten ausgeschlossen wurden, war die Prävalenz von größeren angeborenen Fehlbildungen (NULL,1%) höher als bei Säuglingen, die einem Referenz-Antiepileptika (AED) (NULL,8%) oder bei Säuglingen mit Müttern ohne Epilepsieptika (NULL,1%) (NULL,1%) ausgesetzt waren.
Mundspalten
Im NAAED-Schwangerschaftsregister war die Prävalenz von oralen Spalten bei Topiramat-exponierten Säuglingen (NULL,4%) höher als die Prävalenz bei Säuglingen, die einer Referenz AED (NULL,3%) oder der Prävalenz bei Säuglingen mit Müttern ohne Epilepsie und ohne Exposition gegenüber AEDs (NULL,11%) ausgesetzt waren. Es war auch höher als die Hintergrundprävalenz in den USA (NULL,17%), wie in den Zentren für die Kontrolle und Prävention von Krankheiten (CDC) geschätzt. Das relative Risiko für orale Spalten in Topiramat-exponierten Schwangerschaften im NAAED-Schwangerschaftsregister betrug 12,5 (95% -Konfidenzintervall [CI] 5,9-26,37) im Vergleich zu dem Risiko in einer Hintergrundpopulation unbehandelter Frauen. Das britische Epilepsie- und Schwangerschaftsregister berichtete über eine Prävalenz von Mundspalten bei Säuglingen, die einer Topiramat -Monotherapie ausgesetzt waren (NULL,2%), die 16 -mal höher war als die Hintergrundrate in Großbritannien (NULL,2%).
Größere retrospektive epidemiologische Studien zeigten, dass die Topiramat-Monotherapie-Exposition in der Schwangerschaft mit einem etwa zwei bis fünffachen erhöhten Risiko für orale Spalten verbunden ist. Die Festungsstudie ergab ein übermäßiges Risiko von 1,5 (95% CI = -1,1 bis 4,1) orale Fälle von 1000 Säuglingen, die während des ersten Trimesters Topiramat ausgesetzt waren.
Klein für Schwangerschaftsalter
Daten from the NAAED Schwangerschaft Registry Und population-based birth registry cohort indicate that exposure to Topiramat in utero is associated with an increased risk of SGA newborns (birth weight <10 th Perzentil). Im NAAED-Schwangerschaftsregister waren 19,7% der Topiramat-exponierten Neugeborenen SGA, verglichen mit 7,9% der Neugeborenen, die einer Referenz AED und 5,4% der Neugeborenen von Müttern ohne Epilepsie und ohne AED-Exposition ausgesetzt waren. Im medizinischen Geburtsregister Norwegens waren ein bevölkerungsbasiertes Schwangerschaftsregister 25% der Neugeborenen in der Topiramat-Monotherapie-Expositionsgruppe SGA im Vergleich zu 9% in der Vergleichsgruppe, die mit AEDs nicht exponiert waren. Die langfristigen Folgen der SGA-Befunde sind nicht bekannt.
Tierdaten
Phentermine/Topiramat
Embryo-Fetal-Entwicklungsstudien wurden bei Ratten und Kaninchen mit Kombination von Phentermin- und Topiramatbehandlung durchgeführt. Phentermine und Topiramat wurden während der Organogeneseperiode (Schwangerschaftstag (GD) 6 bis 17) mit Ratten verabreicht, verursachten verringerte Körpergewichte des Fötus, verursachten jedoch keine fetalen Fehlbildungen bei maximaler Dosis von 3,75 mg/kg/kg-Phentermine und 25 mg/kg Topiramat. für jede Wirkstoff]. In einer ähnlichen Studie an Kaninchen, bei denen dieselben Dosen von GD 6 bis 18 verabreicht wurden, wurden keine Auswirkungen auf die Embryo-Fetal-Entwicklung zu ungefähr 0,1-fachen (Phentermine) und 1 Zeit (Topiramat) klinische Expositionen an der MRHD beobachtet. Bei diesen Dosen bei Ratten und Kaninchen wurde eine signifikant niedrigere Körpergewichtszunahme der Mutter von Müttern aufgezeichnet.
Eine Studie vor und postnataler Entwicklungsstudie wurde bei Ratten mit kombinierter Phentermine- und Topiramatbehandlung durchgeführt. Bei Ratten, die während der gesamten Organogenese und Laktation mit 1,5 mg/kg/Tag Phentermine und 10 mg/kg/Tag Topiramat behandelt wurden, gab es keine unerwünschten mütterlichen oder achtenspringenden Effekte (ungefähr 2- und 3-fache klinische Expositionen am MRHD basierend auf AUC). Die Behandlung mit höheren Dosen von 11,25 mg/kg/Tag Phentermine und 75 mg/kg/Tag Topiramat (ungefähr 5- und 6 -mal maximale klinische Dosen bzw. auf AUC) verursachte eine verringerte Körpergewichtszunahme der Mutter und die Toxizität von Nachkommen. Die Nachkommeneffekte umfassten ein geringes Überleben der Welpe nach der Geburt erhöhte Extremitäten und Schwanzfehlbildungen reduzierten das Körpergewicht des Puppens und die verzögerte Wachstumsentwicklung und die sexuelle Reifung, ohne dass das Lerngedächtnis oder die Fruchtbarkeit und Reproduktion beeinträchtigt wurde. Die Gliedmaßen- und Schwanzfehlbildungen stimmten mit den Ergebnissen von Tierstudien überein, die allein mit Topiramat durchgeführt wurden.
Phentermine
Tiere -Fortpflanzungsstudien wurden nicht mit Phentermine durchgeführt. Begrenzte Daten aus Studien, die mit der Kombination aus Phentermin/Topiramat durchgeführt wurden, zeigen, dass Phentermine allein nicht teratogen war, sondern zu einem niedrigeren Körpergewicht und einem verringerten Überleben der Nachkommen bei Ratten bei 5-fach das auf AUC basierende MRHD von Qsymie führte.
Topiramat
Topiramat causes developmental toxicity including teratogenicity at clinically relevant doses in multiple animal species.
Developmental toxicity including teratogenicity occurred at clinically relevant doses in multiple animal species in which topiramate was administered during the period of organogenesis (GD 6 – 15 in rodents GD 6 – 18 in rabbits. In these studies fetal malformations (primarily craniofacial defects such as cleft palate) limb malformations ( ectrodactyly micromelia and amelia) rib/ vertebral column Anomalien und/oder reduzierte fetale Gewichte wurden bei Dosierungen von ≥ 20 mg/kg bei Mäusen beobachtet (ungefähr das 2 -fache der MRHD von Topiramat bei qsymia 15 mg/92 mg auf einem mg/m 2 Basis) 20 mg/kg bei Ratten (2 -mal der MRHD von QSymia basierend auf geschätzten AUC) und 35 mg/kg bei Kaninchen (2 -mal der MRHD basierend auf geschätzten AUC). Wenn Ratten Topiramat von GD 15 bis zum Laktationstag 20 verabreicht wurden, traten bei Dosierungen ≥ 2 mg/kg (2-fache der MRHD von qsymia basierend auf geschätzten AUC).
Stillzeit
Risikozusammenfassung
Topiramat Und Phentermine are present in human milk. There are no data on the effects of Topiramat Und Phentermine on milk production. Durchfall Und somnolence have been reported in breastfed infants with maternal use of Topiramat. There are no data on the effects of Phentermine in breastfed infants. Because of the potential for serious adverse reactions including changes in sleep Reizbarkeit hypertension vomiting tremor Und weight loss in breastfed infants with maternal use of Phentermine advise patients that breastfeeding is not recommended during Qsymie therapy.
Frauen und Männer des Fortpflanzungspotentials
Schwangerschaft Testing
Schwangerschaft testing is recommended in patients who can become pregnant before initiating Qsymie Und monthly during Qsymie therapy [see Warnungen und Vorsichtsmaßnahmen Und Schwangerschaft ].
Empfängnisverhütung
Frauen
Qsymie can cause fetal harm when administered to a pregnant patient [see Schwangerschaft ]. Advise patients who can become pregnant to use effective contraception during therapy with Qsymie.
Bei Patienten, die die Verwendung kombinierter oraler Kontrazeptiva (COCs) einnehmen, kann die Verwendung von Qsymie zu unregelmäßigen Blutungen führen [siehe Wechselwirkungen mit Arzneimitteln ]. Advise patients not to discontinue taking their COC Und to contact their health care provider.
Pädiatrische Verwendung
Die Sicherheit und Wirksamkeit von Qsymie als Ergänzung zu einer reduzierten Kaloriendiät und einer erhöhten körperlichen Aktivität zur Gewichtsreduzierung und zur langfristigen Aufrechterhaltung des Körpergewichts wurde bei pädiatrischen Patienten ab 12 Jahren mit Fettleibigkeit festgelegt. Die Verwendung von Qsymia für diese Indikation wird durch eine 56-wöchige doppelblinde, placebokontrollierte Studie an 223 pädiatrischen Patienten im Alter von 12 Jahren im Alter von 12 Jahren bei pädiatrischen Patienten und Studien bei Erwachsenen mit Fettleibigkeit unterstützt [siehe Klinische Pharmakologie Und Klinische Studien ].
In einer pädiatrischen klinischen Studie gab es eine Episode schwerwiegender Selbstmordgedanken bei einem von QSYMIA-behandelten Patienten, der Krankenhausaufenthalt und pharmakologische Behandlung benötigte [siehe Warnungen und Vorsichtsmaßnahmen ] Weitere Patienten, die mit Qsymia gegen Placebo behandelt wurden, berichteten über unerwünschte Reaktionen im Zusammenhang mit Stimmungen (z. Warnungen und Vorsichtsmaßnahmen . Die Erhöhung der Knochenmineraldichte und des linearen Wachstums wurden bei qsymia-gegen-placebo-behandelten Patienten abgeschwächt [siehe Warnungen und Vorsichtsmaßnahmen ]. Serious adverse reactions seen in pediatric patients using Topiramat include acute angle glaucoma oligohidrosis Und hyperthermia metabolic acidosis cognitive Und neuropsychiatric reactions hyperammonemia Und encephalopathy Und kidney stones.
Die Sicherheit und Wirksamkeit von Qsymie bei pädiatrischen Patienten unter dem Alter von 12 Jahren wurde nicht festgestellt.
Geriatrische Verwendung
In den qsymia klinischen Studien waren insgesamt 254 (7%) der Patienten 65 bis 69 Jahre alt; Es wurden keine Patienten ab 70 Jahren eingeschrieben.
Klinische Studien zu Qsymia umfassten nicht eine ausreichende Anzahl von Patienten im Alter von 65 Jahren und mehr, um festzustellen, ob sie anders als jüngere Patienten reagieren. Im Allgemeinen sollte die Dosisauswahl für einen älteren Patienten vorsichtig sein, normalerweise am unteren Ende des Dosierungsbereichs, der die größere Häufigkeit einer verringerten Nieren- oder Herzfunktion von Lebern und einer gleichzeitigen Erkrankung oder einer anderen medikamentösen Therapie widerspiegelt.
Nierenbehinderung
Im Vergleich zu gesunden Freiwilligen mit normalen Nierenfunktionspatienten mit mittelschwerer und schwerer Nierenbeeinträchtigungen wie geschätzt, die durch die Cockcroft-Gault-Gleichung geschätzt wurden, hatten sie höhere Expositionen gegenüber Phentermine und Topiramat.
Die empfohlene Dosierung von QSymie bei Patienten mit milder Nierenbeeinträchtigung (CRCL größer oder gleich 50 und weniger als 80 ml/min) ist die gleiche wie die empfohlene Dosierung für Patienten mit normaler Nierenfunktion.
Bei Patienten mit mittelschwerer (CRCL größer oder gleich 30 bis weniger als 50 ml/min) und schwerer (CRCL weniger als 30 ml/min) ist die maximal empfohlene Dosierung qsymia 7,5 mg/46 mg einmal täglich.
Qsymie has not been studied in patients with end-stage renal disease on dialysis. Avoid Qsymie in this patient population [see Dosierung und Verwaltung Und Klinische Pharmakologie ].
Herberge in Paris
Hepatische Beeinträchtigung
Bei Patienten mit mildem (Kinder -Pugh 5 -6) und mäßiger (Kinder -Pugh 7 -9) war die Exposition gegenüber Phentermine im Vergleich zu gesunden Freiwilligen mit normaler Leberfunktion höher. Die Exposition gegenüber Topiramat war bei Patienten mit leichter und mittelschwerer Leberbeeinträchtigungen und gesunden Freiwilligen ähnlich.
Die empfohlene Dosierung von Qsymie bei Patienten mit leichter Leberbeeinträchtigung (Child -Pugh 5 -6) entspricht der empfohlenen Dosierung bei Patienten mit normaler Leberfunktion.
Bei Patienten mit mittelschwerer Leberbeeinträchtigung ist die maximal empfohlene Dosierung qsymia 7,5 mg/46 mg einmal täglich.
Qsymie has not been studied in patients with severe hepatic impairment (Child-Pugh score 10 -15). Avoid Qsymie in this patient population [see Dosierung und Verwaltung Und Klinische Pharmakologie ].
Überdosierungsinformationen für Qsymia
Im Falle einer signifikanten Überdosis mit Qsymie, wenn die Einnahme in jüngster Zeit ist, sollte der Magen sofort durch Magenspülung oder durch Induktion der Ermense entleert werden. Eine angemessene unterstützende Behandlung sollte gemäß den klinischen Anzeichen und Symptomen des Patienten vorgenommen werden. Im Falle einer Überdosis von Qsymia in Betracht, die Gifthelp-Linie (1-800-222-1222) oder einen medizinischen Toxikologen für zusätzliche Empfehlungen zur Überdosierungsbewirtschaftung zu kontaktieren.
Eine akute Überdosis von Phentermine kann mit Unruhe -Tremor -Hyperreflexie -Rapid Atmungsverwirrung aggressiver Halluzinationen und Panikzustände in Verbindung gebracht werden. Müdigkeit und Depression folgen normalerweise der zentralen Stimulation. Zu den kardiovaskulären Wirkungen gehören Arrhythmien -Hypertonie oder Hypotonie und Kreislaufkollaps. Magen -Darm -Symptome sind Übelkeitserbringung durch Durchfall und Bauchkrämpfe. Eine tödliche Vergiftung endet normalerweise in Krämpfen und Koma. Manifestationen chronischer Vergiftung mit anorektischen Arzneimitteln umfassen schwere Dermatosen mit Schlaflosigkeit, die Hyperaktivität und Persönlichkeitsveränderungen kennzeichneten. Eine schwere Manifestation einer chronischen Vergiftung ist Psychose, die häufig klinisch nicht von Schizophrenie zu unterscheiden ist.
Das Management einer akuten Phentermine -Vergiftung ist weitgehend symptomatisch und umfasst Lavage und Sedierung mit Barbiturat. Die Versauerung des Urins erhöht die Phentermine -Ausscheidung. Intravenöses Phentolamin wurde für eine mögliche akute schwere Hypertonie vorgeschlagen, wenn dies die Phentermine -Überdosierung kompliziert.
Topiramat overdose has resulted in severe metabolic acidosis. Other signs Und symptoms include convulsions drowsiness speech disturbance verschwommenes Sehen diplopia impaired mentation lethargy abnormal coordination stupor hypotension abdominal pain agitation Schwindel Und Depression. The clinical consequences were not severe in most cases but deaths have been reported after overdoses involving Topiramat. A patient who ingested a dose between 96 Und 110 gm Topiramat was admitted to hospital with coma lasting 20 to 24 hours followed by full recovery after 3 to 4 days.
Die Hämodialyse ist ein wirksames Mittel, um Topiramat aus dem Körper zu entfernen.
Kontraindikationen für Qsymia
Qsymie is contraindicated in patients:
- Die schwanger sind [siehe Warnungen und Vorsichtsmaßnahmen Und Verwendung in bestimmten Populationen ]
- Mit Glaukom [siehe Warnungen und Vorsichtsmaßnahmen ]
- Mit Hyperthyreose
- Einnahme oder innerhalb von 14 Tagen nach Beendigung einer Monoaminoxidase -Inhibitoren [siehe Wechselwirkungen mit Arzneimitteln ]
- Mit bekannt Nebenwirkungen ].
Klinische Pharmakologie for Qsymie
Wirkungsmechanismus
Phentermine is a sympathomimetic amine with pharmacologic activity similar to the prototype drugs of this class used in obesity amphetamine (d- Und d/l-amphetamine). Drugs of this class used in obesity are commonly known as 'anorectics' or 'anorexigenics.' The effect of Phentermine on weight reduction Und long-term maintenance of body weight is likely mediated by release of catecholamines in the hypothalamus resulting in reduced appetite Und decreased food consumption but other metabolic effects may also be involved. The exact mechanism of action is not known.
Der genaue Wirkungsmechanismus von Topiramat bei Gewichtsreduzierung und langfristiger Aufrechterhaltung des Körpergewichts ist nicht bekannt. Topiramate’s effect on weight reduction and long-term maintenance of body weight may be due to its effects on both appetite suppression and satiety enhancement induced by a combination of pharmacologic effects including augmenting the activity of the neurotransmitter gamma-aminobutyrate modulation of voltage- gated ion channels inhibition of AOBMPA/kainite excitatory glutamate receptors or inhibition of carbonic Anhydrase.
Pharmakodynamik
Typical actions of amphetamines include central nervous system stimulation and elevation of blood pressure. Tachyphylaxis and tolerance have been demonstrated with drugs in this class.
Herzelektrophysiologie
Der Effekt von qsymia auf das QTC-Intervall wurde in einem randomisierten doppelblinden Placebo- und ActiveControlled (400 mg Moxifloxacin) und einer parallelen Gruppe/Crossover-Gründungs-QT/QTC-Studie bewertet. Insgesamt 54 gesunde Probanden wurden im stationären Zustand qsymia 7,5 mg/46 mg verabreicht und dann im stationären Zustand zu QSymia 22,5 mg/138 mg titriert. Qsymia 22,5 mg/138 mg [eine supra-therapeutische Dosis, die zu einer maximalen Phentermine- und Topiramat-Konzentration (CMAX) von 4- bzw. 3-mal höher als die bei QSymia 7,5 mg/46 mg] keine Einfluss auf die Herzrepolarisation von der Kardiakrepolarisation, gemessen durch die Änderung von Basilinie in QTC.
Glomeruläre Filtrationsrate (GFR)
Gesunde fettleibige Männer und Weibchen erhielten täglich 4 Wochen lang Qsymia (NULL,75 mg/23 mg an den Tagen 1 bis 3 7,5 mg/46 mg an den Tagen 4 bis 6 11,25 mg/69 mg an den Tagen 7 bis 9 und 15 mg/92 mg an den Tagen 10 bis 28). Die glomeruläre Filtrationsrate (GFR) dieser Teilnehmer wurde über die IOHEXOL -Clearance bewertet. Im Durchschnitt nahm GFR während der qsymia -Behandlung ab und kehrte innerhalb von 4 Wochen nach Abschluss der QSymia zu Ausgangsgrenze zurück [siehe Warnungen und Vorsichtsmaßnahmen ]
Ambulatorische Blutdrucküberwachung
Die Wirkung von Qsymia auf den Blutdruck, gemessen mit 24-Stunden-ABPM, wurde in einer randomisierten Doppelblind-3-Arm-Studie (QSymia placebo und aktiver Phentermine) an Erwachsenen mit Fettleibigkeit oder Übergewicht und mindestens einer gewichtsbezogenen Komorbidität bewertet. Die Studie hatte eine Behandlungsdauer von 8 Wochen und der primäre Endpunkt war die Änderung von Ausgangswert zu Woche 8 im mittleren systolischen Blutdruck (SBP), gemessen mit 24-Stunden-ABPM.
Qsymie 15 mg/92 mg did not demonstrate a pressor effect (see Table 6). At Week 8 placebo-adjusted mean (95% dort) treatment differences by 24-hr ABPM for Qsymie 15 mg/92 mg were SBP -3.2 mmHg (-5.5 -0,9) DBP 1.2 mmHg (-0,2 2.6) Und heart rate (HR) 3.6 bpm (2.1 5.2). Placebo-adjusted mean weight loss was -3.9% (-4.9% -3.0%) for Qsymie 15 mg/92 mg Und -3.8% (-4.7% -2,9%) for Phentermine 30 mg at Week 8.
Tabelle 6. Ambulatorische Blutdrucküberwachung führt bei Erwachsenen mit Fettleibigkeit oder übergewichtiger, behandeltes mit Qsymia placebo oder Phentermine - Veränderung von Ausgangs- und Behandlungsunterschied zu Placebo und Phentermine in Woche 8
| APBM Messen | Von der Grundlinie wechseln | Behandlungsunterschied | ||||
| Placebo (n = 130) | Qsymie 15 mg/ 92 mg (n = 122) | Phentermine 30 mg (n = 133) | Qsymie – Placebo | Qsymie - Phentermine | Phentermine - Placebo | |
| SBP (MMHG) | ||||||
| Bedeuten (95% dort) | -0.1 (-2.2 1.9) | -3.3 (-5.4 -1.2) | 1.4 (-0,7 3.4) | -3.2 (-5.5 -0,9) | -4.7 (-7.0 -2.5) | 1.5 (-0,7 3.7) |
| DBP (MMHG) | ||||||
| Bedeuten (95% dort) | -0.4 (-1,6 0,9) | 0,8 (-0,4 2.1) | 2.4 (1.1 3.6) | 1.2 (-0,2 2.6) | -1.5 (-2.9 -0.2) | 2.7 (1.4 4.1) |
| HR (BPM) | ||||||
| Bedeuten (95% dort) | -1.0 (-2,4 0,4) | 2.6 (1.2 4.0) | 6.2 (4.8 7,6) | 3.6 (2.1 5.2) | -3.6 (-5.2 -2.1) | 7.2 (5.7 8,8) |
| SBP = systolischer Blutdruck; Dbp = diastolischer Blutdruck; HR = Herzfrequenz; BPM = Schläge pro Minute; ABPM = Ambulatorischer Blutdrucküberwachung; CI = Konfidenzintervall Eine Analyse des Kovarianzmodells (ANCOVA) wurde in der pro Protokollpopulation (beobachtete und einzelne Imputationdata) verwendet, um Veränderungen von den Unterschieden aus dem Ausgangswert und zwischen Gruppen zu bewerten |
Pharmakokinetik
Absorption
Phentermine
Upon oral administration of a single QSYMIA 15 mg/92 mg the resulting mean plasma phentermine maximum concentration (Cmax) time to Cmax (Tmax) area under the concentration curve from time zero to the last time with measurable concentration (AUC0-t) and area under the concentration curve from time zero to infinity (AUC0-∞) are 49.1 ng/mL 6 hr 1990 ng⋅hr/mL and 2000 ngasierte/ml. Eine Fettmahlzeit beeinflusst die Pharmakokinetik von Phentermine für QSymia 15 mg/92 mg nicht. Phentermine Pharmacokinetics sind ungefähr dosisproportional von qsymia 3,75 mg/23 mg bis Phentermine 15 mg/Topiramat 100 mg. Bei der Dosierung von Phentermine 15 mg/Topiramat 100 mg Fixed -Dosis -Kombinationskapsel zu Steady -State beträgt die mittleren Phentermine -Akkumulationsverhältnisse für AUC und Cmax beide ungefähr 2,5.
Topiramat
Bei oraler Verabreichung einer einzelnen Qsymie 15 mg/92 mg sind die resultierenden mittleren Plasma-Topiramat Cmax Tmax AUC0-T und AUC0-∞ 1020 ng/ml 9 HR 61600 ngoge/ml bzw. 68000 ngasierte/ml. Eine Fettmahlzeit beeinflusst die Pharmakokinetik von Topiramat für QSymia 15 mg/92 mg nicht. Die Topiramat-Pharmakokinetik ist ungefähr dosis-proportional von qsymia 3,75 mg/23 mg bis Phentermine 15 mg/Topiramat 100 mg. Bei der Dosierung von Phentermine 15 mg/Topiramat 100 mg Fixed -Dosis -Kombinationskapsel zum stationären Zustand betragen die mittleren Topiramat -Akkumulationsverhältnisse für AUC und Cmax beide ungefähr 4,0.
Verteilung
Phentermine
Phentermine is 17.5% plasma protein bound. The estimated Phentermine apparent volume of distribution (Vd/F) is 348 L via population pharmacokinetic analysis.
Topiramat
Topiramat is 15 - 41% plasma protein bound over the blood concentration range of 0.5 to 250 μg/mL. The fraction bound decreased as blood Topiramat increased. The estimated Topiramat Vc/F (volume of the central compartment) Und Vp/F (volume of the peripheral compartment) are 50.8 L Und 13.1 L respectively via population pharmacokinetic analysis.
Beseitigung
Stoffwechsel und Ausscheidung
Phentermine
Phentermine has two metabolic pathways namely p-hydroxylation on the aromatic ring Und N-oxidation on the aliphatic side chain. Cytochrome P450 (CYP) 3A4 primarily metabolizes Phentermine but does not show extensive metabolism. Monoamine oxidase (MAO)-A Und MAO-B do not metabolize Phentermine. Seventy to 80% of a dose exists as unchanged Phentermine in urine when administered alone. The mean Phentermine terminal half-life is about 20 hours. The estimated Phentermine oral clearance (CL/F) is 8.79 L/h via population pharmacokinetic analysis.
Topiramat
Topiramat does not show extensive metabolism. Six Topiramat metabolites (via hydroxylation hydrolysis Und glucuronidation) exist none of which constitutes more than 5% of an administered dose. About 70% of a dose exists as unchanged Topiramat in urine when administered alone. The mean Topiramat terminal half-life is about 65 hours. The estimated Topiramat CL/F is 1.17 L/h via population pharmacokinetic analysis.
Spezifische Populationen
Patienten mit Nierenbehinderung
Eine Einzeldosis-Open-Label-Studie wurde durchgeführt, um die Pharmakokinetik von Qsymia 15 mg/92 mg bei erwachsenen Patienten mit unterschiedlichem Grad an chronischer Nierenbeeinträchtigungen im Vergleich zu gesunden Freiwilligen mit normaler Nierenfunktion zu bewerten. Die Studie umfasste Patienten mit Nierenbeeinträchtigung, die auf der Grundlage der Kreatinin -Clearance als mild (größer oder gleich 50 und weniger als 80 ml/min) mittelschwer (größer oder gleich 30 und weniger als 50 ml/min) und schwer (weniger als 30 ml/min) eingestuft wurden. Die Kreatinin-Clearance wurde aus Serumkreatinin basierend auf der Cockcroft-Gault-Gleichung geschätzt.
Im Vergleich zu gesunden Freiwilligen war Phentermine AUC0-Inf bei Patienten mit schwerer mittelschwerer bzw. leichter Nierenbeeinträchtigung 91% 45% und 22% höher; Phentermine Cmax war 2% bis 15% höher. Im Vergleich zu gesunden Freiwilligen war Topiramat AUC0-Inf bei Patienten mit schwerer mittelschwerer bzw. leichter Nierenbeeinträchtigung 126% 85% und 25% höher. Topiramat Cmax war um 6% bis 17% höher. Eine inverse Beziehung zwischen Phentermine oder Topiramat -Cmax oder AUC und Kreatinin -Clearance wurde beobachtet.
Qsymie has not been studied in patients with end-stage renal disease on dialysis [see Dosierung und Verwaltung Und Verwendung in bestimmten Populationen ].
Patienten mit Leberbehinderung
Eine Einzeldosis-Open-Label-Studie wurde durchgeführt, um die Pharmakokinetik von Qsymia 15 mg/92 mg bei gesunden Freiwilligen mit normaler Leberfunktion im Vergleich zu Patienten mit leichter (Kinder-Pugh-Score 5-6) und mittelschwerer (Child-Pugh Score 7-9) zu bewerten. Bei Patienten mit leichter und mittelschwerer Leberbeeinträchtigung war Phentermine AUC im Vergleich zu gesunden Freiwilligen um 37% und 60% höher. Die Pharmakokinetik von Topiramat war bei Patienten mit leichter und mittelschwerer Leberbeeinträchtigung im Vergleich zu gesunden Freiwilligen nicht betroffen. Qsymie wurde bei Patienten mit schwerer Leberbeeinträchtigung nicht untersucht (Child -Pugh Score 10 - 15) [siehe Dosierung und Verwaltung Und Verwendung in bestimmten Populationen ].
Pädiatrische Patienten 12 bis 17 Jahre alt
Eine randomisierte doppelblinde, placebokontrollierte Studie wurde durchgeführt, um die Populationspharmakokinetik von QSymia unter Verwendung von Daten von 37 pädiatrischen Patienten (12 bis 17 Jahre) mit Fettleibigkeit zu bewerten. Qsymia -Dosierungen von 3,75 mg/23 mg 7,5 mg/46 mg und 15 mg/92 mg wurden untersucht. Die QSymia -Exposition bei den pädiatrischen Patienten schien vergleichbar mit der bei Erwachsenen zu sein.
Arzneimittelinteraktionsstudien
In -vitro -Bewertung von Wechselwirkungen mit Arzneimitteln
Phentermine
Phentermine is not an inhibitor of CYP isozymes CYP1A2 CYP2C9 CYP2C19 CYP2D6 CYP2E1 Und CYP3A4 Und is not an inhibitor of monoamine oxidases. Phentermine is not an inducer of CYP1A2 CYP2B6 Und CYP3A4. Phentermine is not a P-glycoprotein substrate.
Topiramat
Topiramat is not an inhibitor of CYP isozymes CYP1A2 CYP2A6 CYP2B6 CYP2C9 CYP2D6 CYP2E1 Und CYP3A4/5. However Topiramat is a mild inhibitor of CYP2C19. Topiramat is a mild inducer of CYP3A4. Topiramat is not a P-glycoprotein substrate.
Auswirkungen von Phentermine/Topiramat auf andere Medikamente
Tabelle 7 beschreibt die Wirkung von Phentermine/Topiramat auf die Pharmakokinetik ko-verabreichter Arzneimittel.
Tabelle 7. Wirkung von Phentermine/Topiramat auf die Pharmakokinetik von ko-verabreichten Arzneimitteln
| Phentermine/Topiramat | Gemeinsam verabreichtes Arzneimittel und Dosierungsschema | ||
| Droge und Dosis (Mg) | Änderung der AUC | Änderung der Cmax | |
| *15 mg/92 mg Dosis QD für 16 Tage | Metformin 500 mg Angebot für 5 Tage | ↑ 23% | ↑ 16% |
| *15 mg/92 mg Dosis QD für 21 Tage | Sitagliptin 100 mg QD für 5 Tage | ↓ 3% | ↓ 9% |
| ** 15 mg/92 mg Dosis QD für 15 Tage | Einzelne Dosis oraler Verhütungsmittel Norethindrone 1 mg Ethinyl -Östradiol 35 mcg | ↑ 16% ↓ 16% | ↑ 22% ↓ 8% |
| *Eine einzelne Studie untersuchte den Effekt von multiple-dosis-Qsymia 15 mg/92 mg einmal täglich auf die Pharmakokinetik von Multiplidose 500 mg Metformin zweimal täglich und mehrfach 100 mg Sitagliptin mit mehr 2 Und range of 22.2 – 32.7 kg/m 2 ). The study participants received metformin sitagliptin Phentermine/Topiramat only Phentermine/Topiramat plus probenecid Phentermine/Topiramat plus metformin Und Phentermine/Topiramat plus sitagliptin on Days 1 – 5 6 – 10 11 – 28 29 30 – 34 Und 35 – 39 respectively. The significance of these interactions is unknown. **Sehen Wechselwirkungen mit Arzneimitteln |
Wirkung anderer Arzneimittel auf Phentermine/Topiramat
Tabelle 8 beschreibt die Wirkung anderer Arzneimittel auf die Pharmakokinetik von Phentermine/Topiramat.
Tabelle 8. Wirkung von gemeinsam verabreichten Arzneimitteln auf die Pharmakokinetik von Phentermine/Topiramat
| Gemeinsam verabreichtes Arzneimittel und Dosierungsschema | Phentermine/Topiramat | ||
| Dosis (mg) | Änderung der AUC | Änderung der Cmax | |
| Topiramat 92 mg single dose | 15 mg Phentermine Einzeldosis | ↑ 42% | ↑ 13% |
| Phentermine 15 mg single dose | 92 mg Topiramat -Einzeldosis | ↑ 6% | ↑ 2% |
| *Metformin 500 mg Angebot für 5 Tage | 15 mg/92 mg dose QD for 16 days | ||
| Phentermine Topiramat | ↑ 5% ↓ 5% | ↑ 7% ↓ 4% | |
| *Sitagliptin 100 mg QD für 5 Tage | 15 mg/92 mg dose QD for 21 days | ||
| Phentermine Topiramat | ↑ 9% ↓ 2% | ↑ 10% ↓ 2% | |
| *Probenecid 2 g qd | 15 mg/92 mg dose QD for 11 days | ||
| Phentermine Topiramat | ↓ 0,3% ↑ 0,7% | ↑ 4% ↑ 3% | |
| *In derselben einzelnen Studie wurde der Effekt von Multiple-Dosis 500 mg Metformin zweimal täglich ein Ein-Dosis-2-G-Probenecid und mehrfach Dosis 100 mg Sitagliptin einmal täglich auf die Pharmakokinetik von Multiple-Dosis-Phentermine/Topiramat 15 mg/92 mg bei 10 Männern und 10 Frauen (Mittel) von 27,1 kG/mg untersucht 2 Und range of 22.2 – 32.7 kg/m 2 ). The study participants received metformin sitagliptin Phentermine/Topiramat only Phentermine/Topiramat plus probenecid Phentermine/Topiramat plus metformin Und Phentermine/Topiramat plus sitagliptin on Days 1 – 5 6 – 10 11 – 28 29 30 – 34 Und 35 – 39 respectively. |
Auswirkungen von Topiramat allein auf andere Medikamente und Auswirkungen anderer Medikamente auf Topiramat
Antiepileptika
Mögliche Wechselwirkungen zwischen Topiramat und Standard -Antiepileptikern (AED) wurden in kontrollierten klinischen pharmakokinetischen Studien bei Patienten mit Epilepsie bewertet. Die Auswirkungen dieser Wechselwirkungen auf mittlere Plasma -Aucs sind in Tabelle 9 zusammengefasst.
In Tabelle 9 beschreibt die zweite Spalte (AED -Konzentration), was mit der Konzentration der in der ersten Spalte aufgeführten AED passiert, wenn Topiramat hinzugefügt wird. Die dritte Spalte (Topiramatkonzentration) beschreibt, wie die gleichzeitige Verabreichung eines in der ersten Spalte aufgeführten Arzneimittels die Konzentration von Topiramat in experimentellen Umgebungen verändert, wenn Topiramat allein gegeben wurde [siehe Wechselwirkungen mit Arzneimitteln ].
Tabelle 9. Zusammenfassung der AED -Interaktionen mit Topiramat
| AED Gemeinsam verabreicht | AED Konzentration | Topiramat Konzentration |
| Phable | NC oder 25% erhöhen sich a | 48% sinken |
| Carbamazepin (CBZ) | NC | 40% sinken |
| CBZ -Epoxid b | NC | Ne |
| Valproinsäure | 11% sinken | 14% sinken |
| Phenobarbital | NC | Ne |
| Primidon | NC | Ne |
| Lamotrigin | NC at TPM doses up to 400 mg/day | 13% sinken |
| a Die Plasmakonzentration stieg bei einigen Patienten im Allgemeinen an einem zweimal tägigen Dosierungsschema von Phenytoin um 25%. b Wird nicht verabreicht, ist aber ein aktiver Metaboliten aus Carbamazepin. NC = Less than 10% change in plasma concentration; Ne = Not Evaluated; TPM = Topiramat |
Digoxin
In einer Einzeldosis-Studie war Serum Digoxin AUC mit einer gleichzeitigen Topiramatverabreichung um 12% verringert. Die klinische Relevanz dieser Beobachtung wurde nicht festgestellt.
Hydrochlorothiazid
Eine bei gesunden Freiwilligen durchgeführte Wechselwirkungsstudie bewertete die stationäre Pharmakokinetik von Hydrochlorothiazid (HCTZ) (25 mg Q24 Stunden) und Topiramat (96 mg Q12H), wenn sie allein und gleichzeitig verabreicht werden. Die Ergebnisse dieser Studie zeigen, dass Topiramat -Cmax um 27% und AUC um 29% anstieg, wenn HCTZ zu Topiramat zugesetzt wurde. Die klinische Bedeutung dieser Veränderung ist unbekannt. Die stationäre Pharmakokinetik von HCTZ wurde durch die gleichzeitige Verabreichung von Topiramat nicht signifikant beeinflusst. Die Ergebnisse des klinischen Labors zeigten eine Abnahme des Serumkaliums nach Topiramat- oder HCTZ Wechselwirkungen mit Arzneimitteln Und Warnungen und Vorsichtsmaßnahmen ].
Pioglitazon
Eine bei gesunden Freiwilligen durchgeführte Wechselwirkungsstudie bewertete die stationäre Pharmakokinetik von Topiramat (96 mg zweimal täglich) und Pioglitazon (30 mg täglich), wenn sie allein und gleichzeitig 7 Tage verabreicht werden. Eine 15% ige Abnahme der Fläche unter der Konzentrationszeitkurve während eines Dosierungsintervalls im stationären Zustand (AUCτSSS) von Pioglitazon ohne Veränderung der maximalen Plasmakonzentration des stationären Plasmas während eines Dosierungsintervalls (CMAXSS) wurde beobachtet. Dieser Befund war statistisch nicht signifikant. Zusätzlich wurde eine Rücknahme von Cmaxss um 13% bzw. 16% und 16% des aktiven Hydroxy-Metabolitens sowie eine Abnahme von Cmaxss und Aucτss des aktiven Keto-Metabolitens um 60% [siehe Wechselwirkungen mit Arzneimitteln ].
Glyburide
Eine bei Patienten mit Typ-2-Diabetes mellitus durchgeführte Wechselwirkungsstudie bewertete die stationäre Pharmakokinetik von Glyburid (5 mg/Tag) allein und gleichzeitig mit Topiramat (150 mg/Tag). Die Cmax -Abnahme von 22% und eine Verringerung der AUC24 um 25% für Glyburid während der Topiramatverabreichung. Systemische Exposition (AUC) der aktiven Metaboliten 4- trans -Hydroxyglyburid (M1) und 3-CIS-Hydroxyglyburid (M2) wurden um 13% und 15% reduziert und Cmax wurde um 18% bzw. 25% reduziert. Die stationäre Pharmakokinetik von Topiramat wurde durch gleichzeitige Verabreichung von Glyburid nicht beeinflusst.
Lithium
Bei Patienten wurden die Pharmakokinetik von Lithium während der Behandlung mit Topiramat in Dosen von 200 mg/Tag nicht beeinflusst. Es gab jedoch einen beobachteten Anstieg der systemischen Exposition von Lithium (27% für Cmax und 26% für AUC) nach Topiramat -Dosen von bis zu 600 mg/Tag.
Haloperidol
Die Pharmakokinetik einer einzelnen Dosis Haloperidol (5 mg) war nach mehreren Dosierung von Topiramat (100 mg alle 12 Stunden) bei 13 gesunden Erwachsenen (6 Männer 7 Frauen) nicht beeinflusst.
Amitriptylin
Bei 18 normalen Probanden (9 Männchen 9 Frauen), die 200 mg/Tag Topiramat erhielten [siehe Wechselwirkungen mit Arzneimitteln ].
Wofür wird Azithromycin verwendet
Sumatriptan
Die multiple Dosierung von Topiramat (100 mg alle 12 Stunden) bei 24 gesunden Freiwilligen (14 Männer 10 Frauen) hatte entweder oral (100 mg) oder subkutan (6 mg) die Pharmakokinetik von Eindosis-Sumatriptan.
Risperidon
Bei gleichzeitig mit Topiramat bei eskalierenden Dosen von 100 250 und 400 mg/Tag gab es eine Verringerung der systemischen Exposition von Risperidon (16% und 33% für stationäre AUC bei 250 und 400 mg/Tag-Dosen von Topiramat). Es wurden keine Veränderungen der 9-Hydroxyrperidon-Spiegel beobachtet. Die gleichzeitige Verabreichung von Topiramat 400 mg/Tag mit Risperidon führte zu einem Anstieg der Cmax und einer Erhöhung des Topiramats von AUC12 um 12% um 14%. Es gab keine klinisch signifikanten Veränderungen bei der systemischen Exposition von Risperidon plus 9-Hydroxyrisperidon oder von Topiramat. Daher ist diese Wechselwirkung wahrscheinlich nicht von klinischer Bedeutung.
Propranolol
Die multiple Dosierung von Topiramat (200 mg/Tag) bei 34 gesunden Freiwilligen (17 Männer 17 Frauen) hatte die Pharmakokinetik von Propranolol nach täglichen 160 mg -Dosen nicht beeinflusst. Propranolol -Dosen von 160 mg/Tag bei 39 Freiwilligen (27 Männer 12 Frauen) hatten keinen Einfluss auf die Exposition gegenüber Topiramat in einer Dosis von 200 mg/Tag Topiramat.
Dihydroergotamin
Die multiple Dosierung von Topiramat (200 mg/Tag) bei 24 gesunden Freiwilligen (12 Männer 12 Frauen) hatte keinen Einfluss auf die Pharmakokinetik einer subkutanen 1 mg dihydroergotamin -Dosis. In ähnlicher Weise hatte eine subkutane 1 mg Dihydroergotamin -Dosis die Pharmakokinetik einer 200 mg/Tag -Dosis Topiramat in derselben Studie nicht beeinflusst.
Diltiazem
Die gleichzeitige Verabreichung von Diltiazem-Hydrochlorid-Verlängerung mit Topiramat (150 mg/Tag) führte zu einer Abnahme von Cmax um 10% und einer Abnahme von Diltiazem AUC um 25% und einer Abnahme von Cmax und einer Abnahme von 18% der Desacetyl-Diltiazem-AUCEM und auf N-Desmethy-Diltiazem. Die gleichzeitige Verabreichung von Topiramat mit Diltiazem-Hydrochlorid-Verlängerung führte zu einem Anstieg der CMAX und zu einem Anstieg von Topiramat von AUC12 um 19%.
Venlafaxin
Die mehrfache Dosierung von Topiramat (150 mg/Tag) bei gesunden Freiwilligen hatte keinen Einfluss auf die Pharmakokinetik von Venlafaxin oder O-Desmethyl Venlafaxin. Die mehrfache Dosierung von Venlafaxin (150 mg erweiterte Freisetzung) hatte keinen Einfluss auf die Pharmakokinetik von Topiramat.
Klinische Studien
Klinische Studien In Erwachsene
Die Wirkung von Qsymie auf den Gewichtsverlust in Verbindung mit einer verringerten Kalorienaufnahme und einer erhöhten körperlichen Aktivität wurde in zwei randomisierten doppelblinden placebokontrollierten Studien mit Fettleibigkeit (Studie 1) und Patienten mit Fettleibigkeit oder Übergewicht mit zwei oder signifikanten Komorbiditäten (Studie 2) untersucht. Beide Studien hatten eine 4-wöchige Titrationszeit, gefolgt von 52 Wochenbehandlungszeiten. Nach 1 Jahr der Behandlung wurden zwei Ko-primäre Wirksamkeitsergebnisse gemessen (Woche 56): 1) den prozentualen Gewichtsverlust aus dem Ausgangswert; und 2) Behandlungsreaktion definiert als Erreichung von mindestens 5% Gewichtsverlust aus dem Ausgangswert.
In Studie 1 (NCT00554216) Patienten mit Fettleibigkeit (BMI größer oder gleich 35 kg/m) 2 ) wurden randomisiert, um 1 Jahr Behandlung mit Placebo (n = 514) qsymia 3,75 mg/23 mg (n = 241) oder qsymia 15 mg/92 mg (n = 512) in einem Verhältnis von 2: 1: 2 zu erhalten. Die Patienten im Alter von 18 bis 71 Jahren (Durchschnittsalter 43 Jahre) und 83% waren weiblich. Ungefähr 80% waren weiß 18% waren schwarz oder afroamerikanisch und 15% waren hispanische oder lateinamerikanische ethnische Zugehörigkeit. Zu Beginn der Studie betrug das durchschnittliche Gewicht und der BMI der Patienten 116 kg und 42 kg/m 2 jeweils. Patienten mit Typ-2-Diabetes mellitus wurden von der Teilnahme an Studie 1 ausgeschlossen. Während der Studie wurde für alle Patienten eine Abnahme der Kalorienaufnahme um 500 kcal/tägige Kalorienaufnahme empfohlen, und Patienten wurden für die Veränderung des Lebensstils angeboten.
In Studie 2 (NCT00553787) wurden Patienten mit Übergewicht oder Fettleibigkeit randomisiert, um 1 Jahr Jahr mit Placebo (n = 994) 7,5 mg/46 mg (n = 498) oder qsymia 15 mg/92 mg (n = 995) in 2: 1: 2 -Verhältnis zu erheben. 2 Und less than or equal to 45 kg/m 2 (Bei Patienten mit Typ-2-Diabetes mellitus gab es keine untere Grenze für BMI) und zwei oder mehr der folgenden mit adipositas verbundenen Mitmorbideen:
- Erhöhter Blutdruck (mehr oder gleich 140/90 mmHg oder größer als oder gleich 130/85 mmHg für Diabetiker) oder Erfordernis von größeren oder gleich 2 blutdrucksenkenden Medikamenten;
- Triglyceride von mehr als 200 bis 400 mg/dl oder erhielten eine Behandlung mit 2 oder mehr lipidsenkenden Wirkstoffen;
- Erhöhter Nüchternblutung (mehr als 100 mg/dl) oder Diabetes; und/oder
- Taillenumfang größer oder gleich 102 cm für Männer oder mehr oder gleich 88 cm für Frauen.
Die Patienten im Alter von 19 bis 71 Jahren (Durchschnittsalter 51 Jahre) und 70% waren weiblich. Ungefähr 86% waren weiße 12% waren schwarz oder afroamerikanisch und 13% waren hispanische oder lateinamerikanische ethnische Zugehörigkeit. Das durchschnittliche Gewicht und der BMI von Patienten zu Beginn der Studie betrugen 103 kg und 36,6 kg/m 2 jeweils. Ungefähr die Hälfte (53%) der Patienten hatte zu Beginn der Studie Bluthochdruck. Zu Beginn der Studie gab es 388 (16%) Patienten mit Typ -2 -Diabetes mellitus. Während der Studie wurde eine ausgewogene Diät reduzierte Kalorien zu einer etwa 500 kcal/tägigen Abnahme der Kalorienaufnahme für alle Patienten empfohlen, und Patienten wurden Nährwert- und Lifestyle-Modifikationsberatung angeboten.
Der Prozentsatz der randomisierten Patienten, die vor Woche 56 von jeder Studie zurückgezogen wurden, betrug in Studie 1 und 31% in Studie 2 40%.
Tabelle 10 liefert die Ergebnisse für den Gewichtsverlust nach 1 Jahr in den Studien 1 und 2. Nach 1 Jahr der Behandlung mit QSymia. Alle Dosisspiegel führten zu einem statistisch signifikanten Gewichtsverlust im Vergleich zu Placebo (siehe Tabelle 10 Abbildung 1 und Abbildung 2). Ein statistisch signifikanter größerer Anteil der Patienten, die zu QSymia randomisiert wurden als Placebo, erreichte 5% und 10% Gewichtsverlust.
Tabelle 10. Gewichtsverlust bei erwachsenen Patienten in den Studien 1 und 2 nach einem Jahr
| Analysemethode | Studie 1 (Fettleibigkeit) | Studie 2 (Fettleibigkeit oder Übergewicht mit Komorbiditäten) | ||||
| Placebo | Qsymie 3,75 mg/23 mg | Qsymie 15 mg/92 mg | Placebo | Qsymie 7,5 mg/46 mg | Qsymie 15 mg/92 mg | |
| Hier locf (primär)* | n = 498 | n = 234 | n = 498 | n = 979 | n = 488 | n = 981 |
| Gewicht (kg) | ||||||
| 115.7 (NULL,4) | 118.6 (NULL,9) | 115.2 (NULL,8) | (18.1) 103.3 | 102.8 (18.2) | 103.1 (17.6) | |
| -1.6 (NULL,4) | -5.1 (NULL,5) † | -10.9 (NULL,4) † ‡ | -1.2 (NULL,3) | -7.8 (NULL,4) † | -9.8 (NULL,3) † ‡ | |
| (95% dort) | 3.5 (2.4-4.7) | 9.4 (8.4-10.3) | 6.6 (5.8-7.4) | 8.6 (8.0-9.3) | ||
| Prozentsatz der Patienten, die mehr als oder gleich 5% Körpergewicht verlieren | 17% | 45% † | 67% † ‡ | 21% | 62% † | 70% † ‡ |
| (95% dort) | 27.6 (20.4-34.8) | 49.4 (NULL,1 54,7) - | 41.3 (NULL,3 46,3) - | 49.2 (NULL,4 53,0) - | ||
| Prozentsatz der Patienten, die mehr als oder gleich 10% Körpergewicht verlieren | 7% | 19% † | 47% † ‡ | 7% | 37% † | 48% † ‡ |
| (95% dort) | 11.4 (5.9-16.9) | 39.8 (NULL,8 44,7) - | 29.9 (NULL,3 34,5) - | 40.3 (NULL,7 43,8) | ||
| SD = Standardabweichung; Ls = kleinste Quadrate; SE = Standardfehler; CI = Konfidenzintervall * Verwendet alle verfügbaren Daten von Probanden in der ITT -Population, einschließlich Daten, die von Probanden gesammelt wurden, die das Arzneimittel einstellten, aber in der Studie blieben. LOCF -Methode (Last Beobachtung “(LOCF), mit der fehlende Daten aufgegriffen werden. † p <0.0001 vs. placebo based on least-squares (LS) mean from an analysis of covariance. ‡ p <0.01 vs. 3,75 mg/23 mg (Study 1) or 7,5 mg/46 mg (Study 2) dose. Der Fehler vom Typ 1 wurde über alle paarweisen Behandlungsvergleiche gesteuert. ** Angepasst für das Basiskörpergewicht (Studie 1) und den Basiskörpergewicht und den Diabetikatus (Studie 2). |
Abbildung 1. Studie 1 Prozent Gewichtsveränderung von Ausgangswert zu Woche 56 bei Erwachsenen mit Fettleibigkeit
Abbildung 2. Studie 2 Prozent Gewichtsveränderung von Grundlinie zu Woche 56 bei Erwachsenen mit Fettleibigkeit oder Übergewicht mit Komorbiditäten
p <0.0001 for all three Qsymie doses vs placebo Und 15 mg/92 mg vs 7,5 mg/46 mg or 3,75 mg/23 mg at all time points for both completers Und ITT-LOCF
Die Änderungen der kardiovaskulären Stoffwechsel- und anthropometrischen Risikofaktoren, die mit Fettleibigkeit aus Studie 1 und 2 verbunden sind, sind in Tabelle 11 und Tabelle 12 dargestellt.
Tabelle 11. geringste Quadrate (LS) Mittelwert † Von der Grundlinie wechseln Und Behandlungsunterschied from Placebo in Cardiometabolic Parameters in Erwachsene Following One Year of Treatment in Studie 1 (Fettleibigkeit)
| Studie 1 (Fettleibigkeit) | Placebo (N = 498) | Qsymie 3,75 mg/23 mg (N = 234) | Qsymie 15 mg/92 mg (N = 498) | Qsymie – Placebo: LS Bedeuten | |
| Qsymie 3,75 mg/23 mg | Qsymie 15 mg/92 mg | ||||
| Herzfrequenz BPM | |||||
| 73,2 (NULL,8) | 72,3 (NULL,2) | 73.1 (NULL,6) | 1.1 | 1.8 | |
| -0,8 (NULL,5) | 0,3 (NULL,6) | 1,0 (NULL,5) | |||
| Systolischer Blutdruck MMHG | |||||
| 121,9 (11.5) | 122,5 (11.1) | 121,9 (11.6) | -2.8 | -3.8 | |
| 0,9 (NULL,6) | -1,8 (NULL,8) | -2.9 (NULL,6) | |||
| Diastolischer Blutdruck MMHG | |||||
| 77,2 (NULL,9) | 77,8 (NULL,5) | 77,4 (NULL,7) | -0.5 | -1.9 | |
| 0,4 (NULL,4) | -0,1 (NULL,6) | -1,5 (NULL,4) | |||
| Gesamtcholesterin % | |||||
| 194.3 (NULL,7) | 196.3 (36.5) | 192.7 (NULL,8) | -1.9 | -2.5 | |
| -3.5 (NULL,6) | -5.4 (NULL,9) | -6,0 (NULL,6) | |||
| LDL-Cholesterin % | |||||
| 120,9 (NULL,2) | 122,8 (NULL,4) | 120,0 (30.1) | -2.2 | -2.8 | |
| -5.5 (1.0) | -7,7 (NULL,3) | -8,4 (NULL,9) | |||
| HDL-Cholesterin % | |||||
| 49,5 (NULL,3) | 50.0 (11.1) | 49,7 (NULL,7) | 0,5 | 3.5 | |
| 0,0 (NULL,8) | 0,5 (1.1) | 3.5 (0.8) | |||
| Triglycerides % | |||||
| 119,0 (NULL,3) | 117,5 (NULL,3) | 114.6 (NULL,1) | -3.9 | -14.3 | |
| 9.1 (2.3) | 5.2 (3.1) | -5.2 (2.2) | |||
| Fasten Glukose Mg/DL | |||||
| 93.1 (NULL,7) | 93.9 (NULL,2) | 93.0 (NULL,5) | -1.2 | -2.5 | |
| 1,9 (NULL,5) | 0,8 (0.7) | -0,6 (NULL,5) | |||
| Taillenumfang cm | |||||
| 120,5 (14.0) | 121,5 (NULL,2) | 120,0 (14.7) | -2.5* | -7.8* | |
| -3.1 (NULL,5) | -5.6 (NULL,6) | -10,9 (NULL,5) | |||
| SD = Standardabweichung; SE = Standardfehler * Statistisch signifikant gegenüber Placebo basiert auf der vorgegebenen Methode zur Steuerung des Typ-I-Fehlers über mehrere Dosen hinweg † Studie 1 angepasst für das Basiskörpergewicht |
Tabelle 12. kleinste Quadrate (LS) Mittelwert † Veränderung von Ausgangs- und Behandlungsunterschied zum Placebo bei kardiometabolischen Parametern bei Erwachsenen nach einem Jahr der Behandlung in Studie 2 (übergewichtig oder übergewichtig mit Komorbiditäten)
| Studie 2 (Übergewichtig und fettleibig mit Komorbiditäten) | Placebo (N = 979) | Qsymie 7,5 mg/46 mg (N = 488) | Qsymie 15 mg/92 mg (N = 981) | Qsymie – Placebo: LS Bedeuten | |
| Qsymie 7,5 mg/46 mg | Qsymie 15 mg/92 mg | ||||
| Herzfrequenz BPM | |||||
| 72.1 (NULL,9) | 72.2 (10.1) | 72.6 (10.1) | 0,6 | 1.7 | |
| -0,3 (NULL,3) | 0,3 (NULL,4) | 1.4 (NULL,3) | |||
| Systolischer Blutdruck MMHG | |||||
| 128,9 (NULL,5) | 128,5 (NULL,6) | 127,9 (13.4) | -2.3 | -3.2 | |
| -2.4 (NULL,48) | -4.7 (NULL,63) | -5.6 (NULL,5) | |||
| Diastolischer Blutdruck MMHG | |||||
| 81.1 (9.2) | 80.6 (8.7) | 80.2 (9.1) | -0.7 | -1.1 | |
| -2.7 (NULL,3) | -3.4 (NULL,4) | -3.8 (NULL,3) | |||
| Gesamtcholesterin % | |||||
| 205.8 (NULL,7) | 201.0 (NULL,9) | 205.4 (NULL,4) | -1.6 | -3.0 | |
| -3.3 (NULL,5) | -4.9 (NULL,7) | -6,3 (NULL,5) | |||
| LDL-Cholesterin % | |||||
| 124,2 (NULL,2) | 120,3 (NULL,7) | 123,9 (NULL,6) | 0,4 | -2.8 | |
| -4.1 (NULL,9) | -3.7 (1.1) | -6,9 (NULL,9) | |||
| HDL-Cholesterin % | |||||
| 48,9 (NULL,8) | 48,5 (NULL,8) | 49,1 (NULL,8) | 4.0 | 5.6 | |
| 1.2 (0.7) | 5.2 (NULL,9) | 6,8 (NULL,7) | |||
| Triglycerides % | |||||
| 163,5 (NULL,3) | 161.1 (NULL,2) | 161,9 (NULL,4) | -13.3 | -15.3 | |
| 4,7 (NULL,7) | -8.6 (2.2) | -10.6 (1.7) | |||
| Fasteninsulin (μIU/ml) | |||||
| 17,8 (13.2) | 18.0 (12.9) | 18,4 (17.5) | -4.2 | -4.7 | |
| 0,7 (NULL,8) | -3.5 (1.1) | -4.0 (NULL,8) | |||
| Fasten Glukose Mg/DL | |||||
| 106,6 (NULL,7) | 106,2 (21.0) | 105.7 (NULL,4) | -2.4 | -3.6 | |
| 2,3 (NULL,6) | -0,1 (NULL,8) | -1,3 (NULL,6) | |||
| Taillenumfang cm | |||||
| 113.4 (NULL,2) | 112.7 (NULL,4) | 113.2 (NULL,2) | -5.2* | -6.8* | |
| -2.4 (NULL,3) | -7,6 (NULL,4) | -9.2 (NULL,3) | |||
| SD = Standardabweichung; SE = Standardfehler * Statistisch signifikant gegenüber Placebo basiert auf der vorgegebenen Methode zur Steuerung des Typ-I-Fehlers über mehrere Dosen hinweg † Studie 2 angepasst für den Basiskörpergewicht und den Diabetikerstatus |
Unter den 388 Probanden mit Typ -2 -Diabetes mellitus betrugen in Studie 2 die Reduktion von HbA1c aus dem Ausgangswert (NULL,8%) für Placebo 0,1% gegenüber 0,4% und 0,4% mit QSymia 7,5 mg/46 mg bzw. QSymia 15 mg/92 mg.
Klinische Studien In Pädiatrische Patienten ab 12 Jahren und älter
Die Wirkung von Qsymie auf den BMI in Verbindung mit verringerter Kalorienaufnahme und erhöhte körperliche Aktivität wurde in Studie 3 (NCT03922945) eine 56-wöchige randomisierte doppelblinde placebokontrollierte Studie bei pädiatrischen Patienten (12 bis 17 Jahre) mit BMI ≥ 95 bewertet th Perzentil standardisiert nach Alter und Geschlecht. Die Patienten wurden randomisiert, um eine Behandlung mit Placebo (n = 56) qsymia 7,5 mg/46 mg (n = 54) oder qsymia 15 mg/92 mg (n = 113) in einem Verhältnis von 1: 1: 2 zu erhalten. Während der Studie wurde für alle Patienten eine ausgewogene Diät reduzierte Kalorien-Diät zu einer etwa 500 kcalen/täglichen Abnahme der Kalorienaufnahme empfohlen, und Patienten wurden für Jugendliche ein familienbasiertes Programm zur Änderung des Lebensstils angeboten.
Das Durchschnittsalter der Patienten war 14 Jahre alt, ungefähr 55% waren weiblich 67% waren weiß 26% waren schwarz oder afroamerikanisch und 33% waren hispanische oder lateinamerikanische ethnische Zugehörigkeit. Zu Beginn der Studie betrug das durchschnittliche Gewicht und der BMI der Patienten 106 kg und 38 kg/m 2 jeweils mit ungefähr 81% als schwer fettleibig angesehen (120% der 95 th Perzentil oder mehr für BMI standardisiert nach Alter und Geschlecht). 38 (38%) der randomisierten Patienten zogen sich vor Woche 56 aus der Studie zurück.
Der primäre Wirksamkeitsparameter war die mittlere prozentuale Änderung des BMI. Tabelle 13 enthält Ergebnisse für die BMI -Reduktion in Woche 56 in Studie 3. Nach 56 Wochen Behandlung mit QSymia führte alle Dosisspiegel zu einer statistisch signifikanten Verringerung des BMI im Vergleich zu Placebo (siehe Tabelle 13 Abbildung 3). Ein höherer Anteil der Patienten, die zu QSymia randomisiert wurden als Placebo, erreichte 5% 10% und 15% BMI -Reduktion.
Tabelle 13. Änderung des BMI in Woche 56 bei pädiatrischen Patienten im Alter von 12 bis 17 Jahren in Studie 3 (Fettleibigkeit)
| Analysemethode | Placebo | Qsymie 7,5 mg/46 mg | Qsymie 15 mg/92 mg |
| ITT-Gewicht (primär)* | n = 56 | n = 54 | n = 113 |
| BMI (kg / m) 2 ) Primärer Wirksamkeitsendpunkt | |||
| (SD) | 36.4 (6.4) | 36.9 (6.7) | 39.0 (7.4) |
| (Se) | 3.3 (1.4) | -4.8 (1.3) | -7.1 (1.0) |
| (95% dort) | -8.1 (-11.9 -4.3) | -10.4 (-13,9 -7.0) | |
| Prozentsatz der Patienten mit einer Verringerung von mehr oder gleich 5% BMI | 13,6% | 44,0% | 52,2% |
| | 29,7% (NULL,2 48,3) | 38,6% (23.1 54.1) | |
| Prozentsatz der Patienten mit einer Verringerung von mehr als oder gleich 10% BMI | 4,5% | 33,5% | 44,4% |
| | 28,8% (NULL,6 44.0) | 40,5% (NULL,4 52.6) | |
| Prozentsatz der Patienten mit einer Verringerung von mehr oder gleich 15% BMI | 2,9% | 13,6% | 28,9% |
| | 11,7% (1.3 22.2) | 27,4% (17.7 37,1) | |
| SD = Standardabweichung; Ls = kleinste Quadrate; SE = Standardfehler; CI = Konfidenzintervall *Fehlende Daten wurden unter Verwendung einer Auswaschung mit mehreren Imputationsmethoden basierend auf der Placebo -Antwort unterstellt |
Abbildung 3. Studie 3 Prozent BMI -Veränderung von Grundlinie zu Woche 56 bei pädiatrischen Patienten im Alter von 12 bis 17 Jahren mit Fettleibigkeit
Die Änderungen der kardiovaskulären Stoffwechsel- und anthropometrischen Risikofaktoren, die mit Fettleibigkeit aus Studie 3 verbunden sind, sind in Tabelle 14 dargestellt.
Clubbing-Länder
Tabelle 14. Veränderung von Ausgangs- und Behandlungsunterschied vom Placebo bei kardiometabolischen Parametern bei pädiatrischen Patienten im Alter von 12 bis 17 Jahren nach 56 Wochen Behandlung in Studie 3 (Fettleibigkeit)
| Studie 3 (Fettleibigkeit) ITT -Bevölkerung | Placebo (N = 56) | Qsymie 7,5 mg/46 mg (N = 54) | Qsymie 15 mg/92 mg (N = 113) | Qsymie – Placebo | |
| Qsymie 7,5 mg/46 mg | Qsymie 15 mg/92 mg | ||||
| Herzfrequenz BPM* | |||||
| 76,8 (NULL,9) | 78,6 (NULL,6) | 76,2 (NULL,6) | -5.6 | 3.2 | |
| 2,5 (NULL,4) | -3.1 (8.4) | 5.7 (NULL,4) | |||
| Systolischer Blutdruck MMHG | |||||
| 117,7 (10.4) | 121,4 (9.2) | 117,4 (10.2) | -2.8 | -1.0 | |
| 2,9 (NULL,6) | 0,1 (NULL,5) | 1.8 (1.1) | |||
| Diastolischer Blutdruck MMHG | |||||
| 71,7 (8.3) | 75,8 (6.7) | 72,9 (NULL,3) | -3.2 | -2.2 | |
| 3.4 (NULL,5) | 0,2 (NULL,3) | 1.2 (1.0) | |||
| Gesamtcholesterin mg/dl* | |||||
| 164.9 (NULL,9) | 160,6 (NULL,1) | 159,4 (NULL,7) | -1.4 | -1.2 | |
| -1.8 (10.7) | -3.2 (13.1) | -3.0 (NULL,5) | |||
| LDL-Cholesterin mg/dl* | |||||
| 94.1 (NULL,8) | 89,4 (NULL,7) | 90,2 (NULL,3) | -3.9 | -2.5 | |
| 0,2 (NULL,3) | -3.7 (NULL,5) | -2.3 (NULL,6) | |||
| HDL-Cholesterin MG/DL | |||||
| 47,2 (NULL,7) | 47,2 (NULL,9) | 46,7 (10.1) | 6.4 | 5.0 | |
| -4.3 (15.1) | 2.1 (NULL,5) | 0,7 (NULL,6) | |||
| Triglyceride Mg/dl | |||||
| 118,3 (NULL,1) | 120,1 (NULL,6) | 112.2 (NULL,2) | -11.7 | -11.2 | |
| 5.6 (8.4) | -6.2 (8.0) | -5.6 (7.2) | |||
| Hba1c %* | |||||
| 5,5 (NULL,3) | 5,6 (NULL,4) | 5,5 (NULL,4) | -0.2 | 0.0 | |
| -0,2 (NULL,2) | -0,4 (NULL,3) | -0,2 (NULL,3) | |||
| Taillenumfang cm | |||||
| 111.1 (14.0) | 111,9 (15.5) | 116,5 (NULL,8) | -5.6 | -7.6 | |
| 0,6 (1.4) | -5.0 (1.4) | -7.0 (1.1) | |||
| SD = Standardabweichung; SE = Standardfehler *Der Parameter wurde für Inferenzstatistiken nicht vorgegeben; Beschreibende Zusammenfassung der Änderung gegenüber dem Ausgangswert vorgesehen für Probanden mit nicht-missigen Daten zu Studienbeginn und Woche 56. |
Patienteninformationen für Qsymia
Qsymie ®
(Kyoo Sim ee uh)
(Phentermine und Topiramat verlängerte Kapseln) für den oralen Gebrauch
Was sind die wichtigsten Informationen, die ich über Qsymia wissen sollte?
Qsymie can cause serious side effects including:
Wenn Sie schwanger werden, während Sie Qsymia einnehmen, hören Sie sofort auf Qsymia zu und teilen Sie Ihrem Gesundheitsdienstleister sofort mit. Gesundheitsdienstleister und Patienten, die schwanger werden, sollten alle Fälle von Schwangerschaft melden, um:
Rufen Sie Ihren Gesundheitsdienstleister sofort an, wenn Sie eines dieser Symptome haben, insbesondere wenn sie neu sind, oder Sie sorgen Sie sich um Sie sorgen :
Stoppen Sie Qysmia nicht, ohne zuerst mit einem Gesundheitsdienstleister zu sprechen.
Wie kann ich nach frühen Symptomen von Selbstmordgedanken und Handlungen achten?
Diese Probleme können zu einem dauerhaften Sehverlust führen, wenn sie nicht behandelt werden . Teilen Sie Ihrem Gesundheitsdienstleister sofort mit, wenn Sie neue Augensymptome haben.
- Geburtsfehler . Wenn Sie während der Schwangerschaft Qsymia einnehmen, hat Ihr Baby ein höheres Risiko für Geburtsfehler, einschließlich Lippenspalten und Gaumenspalten. Ihr Baby kann auch bei der Geburt kleiner sein als erwartet. Die langfristigen Auswirkungen davon sind nicht bekannt. Diese Mängel können früh in der Schwangerschaft beginnen, noch bevor Sie wissen, dass Sie schwanger sind.
Patienten, die schwanger sind, dürfen keine Qsymie einnehmen.
Patienten, die schwanger werden können, sollten:- Machen Sie einen Schwangerschaftstest, bevor Sie Qsymia und jeden Monat während der Einnahme von Qsymia einnehmen.
- Verwenden Sie eine wirksame Geburtenkontrolle (Empfängnisverhütung) konsequent, während Sie Qsymia einnehmen. Sprechen Sie mit Ihrem Gesundheitsdienstleister darüber, wie Schwangerschaft vorbeugt.
- FDA Medwatch bei 1-800-FDA-1088
Aufgrund des Risikos für Geburtsfehler (Spaltlippen- und Spaltpalate) ist QSymia durch ein eingeschränktes Programm als QSymia Risk Evaluation and Minders Strategy (REMS) verfügbar. Qsymie is only available through certified pharmacies that participate in the Qsymie REMS program. Your health care provider can give you information about how to find a certified pharmacy. For more information go to www.QsymieREMS.com or call 1-888-998-4887. - Selbstmordgedanken oder Handlungen . Topiramat Ein Zutat bei Qsymia kann dazu führen, dass Sie Selbstmordgedanken oder Handlungen haben.
- thoughts about suicide or dying
- Versuche, Selbstmord zu begehen
- Neue oder schlechtere Depression
- Neue oder schlechtere Angst
- aufgeregt oder unruhig fühlen
- Panikattacken
- Probleme beim Schlafen (Schlaflosigkeit)
- Neue oder schlechtere Reizbarkeit
- aggressiv handeln, wütend oder gewalttätig zu sein
- auf gefährliche Impulse wirken
- Eine extreme Zunahme von Aktivität und Reden (Manie)
- Andere ungewöhnliche Verhaltensänderungen in Verhalten oder Stimmung
- Das Stoppen von Qysmie kann plötzlich schwerwiegende Probleme verursachen.
- Selbstmordgedanken oder Handlungen can be caused by things other than medicines. If you have suicidal thoughts or actions your health care provider may check for other causes.
- Achten Sie auf Änderungen, insbesondere plötzliche Veränderungen im Stimmungsverhalten Gedanken oder Gefühle.
- Führen Sie alle Follow-up-Besuche bei Ihrem Gesundheitsdienstleister wie geplant.
- Rufen Sie Ihren Gesundheitsdienstleister zwischen den Besuchen nach Bedarf an, insbesondere wenn Sie sich Sorgen um Symptome machen.
- Ernsthafte Augenprobleme die beinhalten:
- Jede plötzliche Abnahme des Sehvermögens mit oder ohne Augenschmerzen und Rötung
- Eine Flüssigkeitsblockade im Auge, was einen erhöhten Druck im Auge verursacht (sekundäres Winkelverschlussglaukom).
Qsymie can have other serious side effects. See Was sind die möglichen Nebenwirkungen von Qsymia?
Was ist Qsymia?
- Qsymie is a prescription medicine that contains Phentermine Und Topiramat extended-release. Qsymie may help adults Und children 12 years Und older with obesity or some adults with overweight who also have weight-related medical problems to help them lose excess body weight Und keep the weight off.
- Qsymie should be used with a reduced calorie diet Und increased physical activity.
- Es ist nicht bekannt, ob Qsymia Ihr Risiko für Herzprobleme, Schlaganfall oder Tod aufgrund von Herzproblemen oder Schlaganfällen verändert.
- Es ist nicht bekannt, ob qsymia sicher und wirksam ist, wenn sie mit anderen verschreibungspflichtigen und rezeptfreien Arzneimitteln oder Produkten zur Gewichtsreduktion oder Kräuter-Gewichtsverlustprodukten eingenommen werden.
- Es ist nicht bekannt, ob Qsymia bei Kindern unter 12 Jahren sicher und wirksam ist.
- Qsymie is a federally controlled substance (CIV) because it contains Phentermine Und can be abused or lead to drug dependence. Keep Qsymie in a safe place to protect it from theft. Never give your Qsymie to anyone else because it may cause death or harm them. Selling or giving away Qsymie is against the law.
Wer sollte Qsymia nicht einnehmen? Nehmen Sie Qsymia nicht, wenn Sie:
- planen schwanger, schwanger zu werden oder während der Qsymia -Behandlung schwanger zu werden.
- Glaukom haben.
- Schilddrüsenprobleme haben (Hyperthyreose).
- nehmen bestimmte Medikamente ein, die als Monoaminoxidase -Inhibitoren (MAOIS) bezeichnet werden oder in den letzten 14 Tagen Maois eingenommen haben.
- sind allergisch gegen topiramat sympathomimetische Amine wie Phentermine oder einen der Inhaltsstoffe bei Qsymia. Das Ende dieses Medikamentenleitfadens finden Sie eine vollständige Liste von Zutaten bei QSymia.
Bevor Sie Qsymia einnehmen, teilen Sie Ihrem Gesundheitsdienstleister alle Ihre medizinischen Erkrankungen mit, einschließlich, wenn Sie:
- Depressionen Stimmungsprobleme oder Selbstmordgedanken oder Verhalten hatten.
- haben Augenprobleme, insbesondere Glaukom. Sehen Sie, wer nicht nehmen sollte Qsymie? • eine Vorgeschichte von zu viel Säure im Blut (metabolische Azidose) oder eine Erkrankung, die Sie mit einem höheren Risiko für metabolische Azidose ausweist
- Chronische Durchfallchirurgie Eine Diät mit hohem Fett und niedrigem Kohlenhydraten (ketogene Diät) schwache spröde oder weiche Knochen (Osteoporose -Osteomalacie (Rickets) Osteopenie) oder verringerte Knochendichte.
- Haben Sie Nierenprobleme Nierensteine oder erhalten Nierendialyse.
- Leberprobleme haben.
- Anfälle oder Krämpfe haben (Epilepsie).
- stillen oder planen zu stillen. Qsymia kann in Ihre Muttermilch übergehen und Ihrem Baby schaden. Sie und Ihr Gesundheitsdienstleister sollten entscheiden, ob Sie Qsymia oder Stillen einnehmen. Sie sollten nicht beides tun.
Teilen Sie Ihrem Gesundheitsdienstleister über alle Medikamente, die Sie einnehmen einschließlich verschreibungspflichtiger und rezeptfreier Medikamente Vitamine und Kräuterpräparate. Qsymia, die mit anderen Medikamenten eingenommen wurden, können sich auf die Funktionsweise jedes Medikamenten auswirken und Nebenwirkungen verursachen.
Sagen Sie Ihrem Gesundheitsdienstleister vor allem, wenn Sie einnehmen:
- Antibabypillen . Teilen Sie Ihrem Gesundheitsdienstleister mit, ob sich Ihre Menstruationsblutung ändert, während Sie Antibabypillen einnehmen, die sowohl Östrogen als auch Gestagen (kombinierte orale Kontrazeptiva) und Qsymie enthalten.
- Wasserpillen (Diuretika) wie Hydrochlorothiazid (HCTZ).
- Alle Medikamente, die Ihre Denkkonzentration oder Muskelkoordination beeinträchtigen oder verringern.
- Carboanhydrase -Inhibitoren wie ZoneGran (Zonisamid) Diamox (Acetazolamid) oder Neptazan (Methazolamid).
- Beschlagnahmungsmedikamente wie Valproinsäure (Depakene oder Depakote).
Fragen Sie Ihren Gesundheitsdienstleister oder Apotheker nach einer Liste dieser Medikamente, wenn Sie sich nicht sicher sind. Kennen Sie die Medikamente, die Sie einnehmen. Halten Sie eine Liste von ihnen, um Ihr Gesundheitsdienstleister und Apotheker bei jedem neuen Medikament zu demonstrieren. Beginnen Sie kein neues Medikament, ohne mit Ihrem Gesundheitsdienstleister zu sprechen.
Wie soll ich Qsymia einnehmen? ?
- Ihr Gesundheitsdienstleister sollte Sie mit einem Diät- und Trainingsprogramm anfangen, wenn Sie mit der Einnahme von QSymia beginnen. Bleiben Sie in diesem Programm, während Sie Qsymia einnehmen.
- Nehmen Sie Qsymia genau so, wie Ihr Gesundheitsdienstleister Ihnen sagt, dass Sie es nehmen sollen.
- Ändern Sie Ihre Dosis nicht, ohne mit Ihrem Gesundheitsdienstleister zu sprechen.
- .
- Nehmen Sie täglich qsymia am Morgen.
- Qsymie can be taken with or without food.
- Wenn Sie eine Dosis Qsymia verpassen, warten Sie bis zum nächsten Morgen, um Ihre übliche Dosis Qsymia zu nehmen. Verdoppeln Sie Ihre Dosis nicht.
- Mit der Behandlung mit Qsymia zu beginnen
- Nehmen Sie 1 Qsymie 3.75 mg (Phentermine)/23 mg (Topiramat) capsule (Abbildung A) 1 Zeit jeden Morgen für die ersten 14 Tage.
- Nach 14 -tägigen Qsymia 3,75 mg/23 mg Kapsel nehmen Sie 1 QSymia 7,5 mg/46 mg Kapsel (Abbildung B) 1 Zeit jeden Morgen.
- Nach 12 Wochen qsymia eingenommen
- Ihr Gesundheitsdienstleister kann Ihnen sagen, dass Sie Ihre Dosis an Qsymie erhöhen sollen, wenn Sie nicht ein gewisses Maß an Gewicht verlieren oder innerhalb der ersten 12 Wochen der Behandlung in der empfohlenen Dosis keine gewisse Abnahme des BMI für Kinder ab ab ab ab ab 12 Jahren haben.
- Wenn Ihr Gesundheitsdienstleister die Dosis von Qsymia erhöht
- Nehmen Sie 1 Qsymie 11.25 mg/69 mg capsule (Abbildung C) 1 Zeit jeden Morgen für 14 Tage.
- Nach 14 Tagen Qsymia 11,25 mg/69 mg Kapsel nehmen Sie 1 ein Qsymie 15 mg/92 mg capsule (Figure D) 1 time each morning.
- Stoppen der Qsymia -Behandlung
Ihr Gesundheitsdienstleister sollte Ihnen sagen, dass Sie die Einnahme von QSymia einstellen sollen, wenn Sie nicht ein gewisses Maß an Gewicht verloren haben oder nach weiteren 12 -wöchigen Behandlung mit der höheren Dosis keine gewisse Abnahme des BMI für Kinder ab 12 Jahren abnehmen.
Nicht Hören Sie auf, Qsymia einzunehmen, ohne mit Ihrem Gesundheitsdienstleister zu sprechen. Das Stoppen von Qsymia kann plötzlich schwerwiegende Probleme wie Anfälle verursachen. Ihr Gesundheitsdienstleister wird Ihnen sagen, wie Sie die Qsymia langsam aufhören können.
Wenn Sie zu viel Qsymia einnehmen, rufen Sie Ihren Gesundheitsdienstleister oder Ihre Gifthilfe bei 1-800-222-1222 an oder gehen Sie sofort in die nächste Notaufnahme.
Was soll ich bei der Einnahme von Qsymia vermeiden?
- Nicht get pregnant while taking Qsymie . Sehen Sie, was die wichtigsten Informationen sind, die ich über Qsymia wissen sollte.
- Nicht drink too much alcohol while taking Qsymie. Qsymie Und alcohol can affect each other causing side effects such as sleepiness or Schwindel.
- Nicht drive a car operate heavy machinery or do other dangerous activities until you know how Qsymie affects you . Qsymia kann Ihr Denken und die motorischen Fähigkeiten verlangsamen und sich auf das Sehen auswirken.
Was sind die möglichen Nebenwirkungen von Qsymia?
Qsymie can cause serious side effects including:
Ihr Gesundheitsdienstleister sollte eine Blutuntersuchung durchführen, um den Säuregestell in Ihrem Blut vor und während Ihrer Behandlung mit QSymia zu messen.
- Sehen Sie, was die wichtigsten Informationen über Qsymia wissen sollte?
- Stimmungsänderungen Und trouble sleeping. Qsymie may cause Depression or mood problems Und trouble sleeping. Tell your health care provider if symptoms occur.
- Konzentration memory Und speech difficulties . Qsymie kann beeinflussen, wie Sie Verwirrungsprobleme mit Konzentrationsaufmerksamkeitsgedächtnis oder Sprache verursachen. Teilen Sie Ihrem Gesundheitsdienstleister mit, ob Symptome auftreten.
- Wachstum verlangsamt . Qsymie kann die Höhe der Größe bei Kindern ab 12 Jahren verlangsamen, wenn sie für lange Zeit eingesetzt werden.
- Erhöhung der Säure im Blutkreislauf (metabolische Azidose) . Wenn eine unbehandelte metabolische Azidose zu sprößen oder weichen Knochen (Osteoporose -Osteomalacie (Rickets) Osteopenie) führen kann, kann Nierensteine die Wachstumsrate bei Kindern verlangsamen und möglicherweise Ihr Baby schädigen, wenn Sie schwanger sind. Die metabolische Azidose kann mit oder ohne Symptome auftreten. Manchmal werden Menschen mit metabolischer Azidose:
- fühle mich müde
- sich nicht hungrig fühlen (Appetitverlust)
- Fühle Veränderungen im Herzschlag
- haben Probleme klar zu denken
- Abnahme der Nierenfunktion . Qsymie kann zu einer Abnahme der Nierenfunktion führen. Ihr Gesundheitsdienstleister sollte eine Blutuntersuchung durchführen, um Ihre Nierenfunktion vor und während der Behandlung mit QSymia zu messen.
- Mögliche Anfälle, wenn Sie mit der Einnahme von Qsymia zu schnell aufhören . Anfälle können bei Menschen auftreten, die in der Vergangenheit Anfälle hatten oder nicht, wenn Sie Qsymia zu schnell stoppen. Ihr Gesundheitsdienstleister wird Ihnen sagen, wie Sie die Qsymia langsam aufhören können.
- Nierensteine . Trinken Sie viele Flüssigkeiten, wenn Sie QSymia einnehmen, um Ihre Chancen auf Nierensteine zu verringern. Wenn Sie schwere Seite oder Rückenschmerzen oder Blut in Ihrem Urin haben, rufen Sie Ihren Gesundheitsdienstleister an.
- Verringerte Schwitzen und erhöhte Körpertemperatur (Fieber) . Die Menschen sollten auf Anzeichen von vermindertem Schwitzen und Fieber beobachtet werden, insbesondere bei heißen Temperaturen. Einige Menschen müssen möglicherweise für diesen Zustand ins Krankenhaus eingeliefert werden.
- Niedriges Kalium . Qsymie kann Ihr Risiko für niedrige Kaliumspiegel erhöhen. Ihr Gesundheitsdienstleister sollte eine Blutuntersuchung durchführen, um den Kaliumspiegel in Ihrem Blut vor und während der Behandlung mit QSymia zu messen.
- Schwerwiegende Hautreaktionen . Qsymie kann einen starken Hautausschlag mit Blasen verursachen und die Haut schälen, insbesondere um die Augen und Genitalien (Stevens-Johnson-Syndrom). Qsymie kann auch einen Ausschlag mit Blasen verursachen und die Haut über einen Großteil des Körpers schälen, der zu Tod führen kann (toxische epidermale Nekrolyse). Rufen Sie Ihren Gesundheitsdienstleister sofort an, wenn Sie einen Hautausschlag oder Blasen entwickeln.
- Allergische Reaktion auf FD . Qsymia -Kapseln enthalten den inaktiven Zutaten FD
Zu den häufigen Nebenwirkungen von Qsymia bei Erwachsenen gehören:
- Taubheit oder Kribbeln in den Händen Arme Füße oder Gesicht (Parästhesie)
- Schwindel
- Veränderung in der Art und Weise, wie Lebensmittel schmecken oder Verlust des Geschmacks (Dysgeusia)
- Probleme beim Schlafen (Schlaflosigkeit
- Verstopfung
- Trockener Mund
Häufige Nebenwirkungen von Qsymia bei Kindern ab 12 Jahren sind:
- Depression
- Schwindel
- Gelenkschmerzen
- Fieber
- Grippe
- Verstauchung der Knöchel
Sagen Sie Ihrem Gesundheitsdienstleister, wenn Sie einen Nebeneffekt haben, der Sie stört oder nicht verschwindet. Dies sind nicht alle möglichen Nebenwirkungen von Qsymia. Weitere Informationen finden Sie in Ihrem Gesundheitsdienstleister oder Apotheker.
Rufen Sie Ihren Arzt an, um medizinische Beratung zu Nebenwirkungen zu erhalten. Sie können die FDA bei 1-800-FDA-1088 Nebenwirkungen melden. Sie können Vivus auch Nebenwirkungen unter 1-888-998-4887 melden.
Wie soll ich Qsymia aufbewahren?
- Lagern Sie Qsymia bei Raumtemperatur zwischen 20 ° C bis 25 ° C.
- Halten Sie Qsymia in einem dicht geschlossenen Behälter.
- Halten Sie Qsymia trocken und von Feuchtigkeit fern.
Halten Sie Qsymia und alle Medikamente außerhalb der Reichweite der Kinder.
Allgemeine Informationen über den sicheren und effektiven Einsatz von Qsymia.
Medikamente werden manchmal für andere Zwecke als die in einem Medikamentenhandbuch aufgeführten Zwecke verschrieben. Verwenden Sie keine Qsymia für eine Erkrankung, für die es nicht verschrieben wurde. Geben Sie anderen Menschen keine Qsymia, auch wenn sie die gleichen Symptome haben, die Sie haben. Es kann ihnen schaden.
Sie können Ihren Apotheker oder Gesundheitsdienstleister um Informationen zu Qsymia bitten, die für Angehörige der Gesundheitsberufe geschrieben wurden.
Was sind die Zutaten bei Qsymia?
Wirkstoff: Phentermine hydrochloride Und Topiramat extended-release.
Inaktive Zutaten: Fd
Dieser Medikamentenführer wurde von der US -amerikanischen Food and Drug Administration zugelassen.