Die Informationen Auf Dieser Website Stellen Keine Medizinische Beratung Dar. Wir Verkaufen Nichts. Die Richtigkeit Der Übersetzung Wird Nicht Garantiert. Haftungsausschluss
HIV, KunstkombinationenStreng
Drogenzusammenfassung
Was ist Streibild?
Stribild (Elvitegravir Cobicistat Emtricitabin Tenofovir disoproxil fumarat) enthält eine Kombination von einem HIV -1 Integrase-Strang-Transfer-Inhibitor Ein mechanismusbasierter Inhibitor von Cytochrom p450 (CYP) Enzymen der CYP3A-Familie Ein synthetisches Nukleosidanalogon von Cytidin und ein acyclischer Nukleosidphosphonat (Nucleotid) analog von adenosin 5'-monophosphat, die HIV-1 bei Erwachsenen angewendet haben, die bei der Behandlung von HIV-1 bei Erwachsenen, die HOV-1 bei der Behandlung von HIV-1 bei der Behandlung von HIV-1, angewendet wurden.
Was sind Nebenwirkungen von Stribild?
Stribild kann schwerwiegende Nebenwirkungen verursachen, einschließlich neuer oder verschlechterender Nierenprobleme, einschließlich Nierenversagen. Andere Nebenwirkungen von Stribild sind:
- Gelbhaut oder Augen ( Gelbsucht )
- Durchfall
- Gas
- Brechreiz
- Ermüdung
- Schläfrigkeit
- Schwindel
- Kopfschmerzen
- Schlaflosigkeit
- abnormale Träume
- Ausschlag
- Knochenprobleme
- Veränderungen im Fett wie eine erhöhte Menge an Fett in Kopf und Hals
- Änderungen im Immunsystem, die zu einer Erkrankung führen können, die als Immunrekonstitutionssyndrom bezeichnet wird
- Aufbau einer Säure in Ihrem Blut ( Laktatazidose )
- schwerwiegende Leberprobleme und
- Verschlechterung von Hepatitis B (HBV) -Nektion.
Dosierung für Streibild
Stribild ist in Tabletten mit 150 mg Elvitegravir 150 mg Cobicistat 200 mg Emtricitabin und 300 mg Tenofovir -Disoproxil -Fumarat erhältlich. Die empfohlene Dosis für Streibild ist eine Tablette, die einmal täglich mit oder ohne Nahrung eingenommen wird.
Welche Drogensubstanzen oder Nahrungsergänzungsmittel interagieren mit Stribild?
Stribild kann mit anderen Medikamenten interagieren. Sagen Sie Ihrem Arzt alle verschreibungspflichtigen und OTC -Medikamente, die Sie einnehmen.
Strippild während der Schwangerschaft und Stillen
Stribild sollte während der Schwangerschaft nur angewendet werden, wenn der potenzielle Nutzen das potenzielle Risiko für den Fötus rechtfertigt. Wenden Sie sich vor dem Stillen an Ihren Arzt.
Weitere Informationen
Unser Stribild (ElviteGravir Cobicistat Emtricitabin Tenofovir Disoproxil Fumarat) bietet eine umfassende Übersicht über die verfügbaren Arzneimittelinformationen über die potenziellen Nebenwirkungen bei der Einnahme dieses Medikaments.
FDA -Drogeninformationen
- Drogenbeschreibung
- Indikationen
- Nebenwirkungen
- Wechselwirkungen mit Arzneimitteln
- Warnungen
- Überdosis
- Kontraindikationen
- Klinische Pharmakologie
- Medikamentenhandbuch
WARNUNG
Nachbehandlung akute Verschlechterung von Hepatitis B
Stribild ist nicht für die Behandlung einer chronischen Hepatitis-B-Virus-Infektion (HBV) zugelassen, und die Sicherheit und Wirksamkeit von Stribild wurde bei Patienten, die mit HBV und Human Immunodeficiency Virus-1 (HIV-1) zusammengefasst sind, nicht festgelegt. Bei Patienten, die mit HBV und HIV-1 koinfiziert sind, wurden über schwere akute Exazerbationen von Hepatitis B berichtet und haben Emtriva oder Viread abgesetzt, die Bestandteile von Stribild sind. Die Leberfunktion sollte mindestens mehrere Monate bei Patienten, die mit HIV-1 und HBV und Stribild eingestellt sind, eng mit der klinischen und laborischen Follow-up bei Patienten überwacht werden. Wenn eine angemessene Einleitung einer Anti-Hepatitis-B-Therapie gerechtfertigt sein kann [siehe Warnungen und VORSICHTSMASSNAHMEN ].
Beschreibung für Stripild
Stribild ist ein Kombinationstablett mit fester Dosis, das Elvitegravir Cobicistat Emtricitabin und Tenofovir DF für orale Verabreichung enthält.
- PrincipleGravir ist ein HIV-1-Integra-Strand-Transferinhibitor.
- Cobicistat ist ein mechanismusbasierter Inhibitor von Cytochrom P450 (CYP) -Enzymen der CYP3A-Familie.
- Emtricitabin ist ein synthetisches Nukleosidanalogon von Cytidin. Emtriva ist der Markenname für Emtricitabine.
- Tenofovir DF wird in vivo in Tenofovir umgewandelt, ein acyclisches Nukleosidphosphonat (Nucleotid) -Analogon von Adenosin 5'-monophosphat. Viread ist der Markenname für Tenofovir DF.
Jedes Tablet enthält 150 mg Elvitegravir 150 mg Cobicistat 200 mg Emtrizitabin und 300 mg Tenofovir DF (entspricht 245 mg Tenofovir -Disoproxil). Die Tabletten umfassen die folgenden inaktiven Inhaltsstoffe: Lactose -Monohydrat -mikrokristallines Cellulose -Silicium -Dioxid -Croscarmellose -Natriumhydroxypropyl -Cellulose -Natriumlaurylsulfat und Magnesiumstearat. Die Tabletten sind filmiert mit einem Beschichtmaterial, das Indigo Carmine (FD) enthält
Prinzip : Der chemische Name von Elvitegravir beträgt 6- (3-Chlor-2-Fluorobenzyl) -1-[(2S) -1hydroxy-3-methylbutan-2-yl] -7-methoxy-4-oxo-14-dihydroquinolin-3-Karboxylsäure.
Es hat eine molekulare Formel von C 23 H 23 Clfno 5 und ein Molekulargewicht von 447,9. Es hat die folgende strukturelle Formel:
|
Prinzip is a white to pale-yellow powder with a solubility of less than 0.3 micrograms per mL in water at 20 °C.
Cobicistat : Der chemische Name für Cobicistat ist 13-Thiazol-5-ylmethyl [(2r5r) -5-{[(2S) 2-[(methyl {[2- (propan-2-yl) -13-thiazol-4-yl] methyl} carbamoyl) Amino] -4- (Morpholin-4yl) Butanoyl] Amino} -16-diphenylhexan-2-carbamat.
Es hat eine molekulare Formel von C 40 H 53 N 7 O 5 S 2 und ein Molekulargewicht von 776,0. Es hat die folgende strukturelle Formel:
|
Cobicistat is adsorbed onto silicon dioxide. Cobicistat on silicon dioxide is a white to pale-yellow solid with a solubility of 0.1 mg per mL in water at 20 °C.
Emtricitabine : Der chemische Name von Emtricitabin beträgt 5-Fluor-1-[(2R5s) -2 (Hydroxymethyl) -13-oxathiolan-5-yl] cytosin. Emtricitabin ist das (-) Enantiomer eines Thio-Analogon von Cytidin, das sich von anderen Cytidin-Analoga unterscheidet, da es ein Fluor in der 5-Position hat.
Es hat eine molekulare Formel von C 8 H 10 Fn 3 O 3 S und ein Molekulargewicht von 247,25. Es hat die folgende strukturelle Formel:
|
Emtricitabine is a white to off-white crystalline powder with a solubility of approximately 112 mg per mL in water at 25 °C.
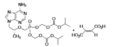
Tenofovir DF: Tenofovir DF ist ein Fumarsäuresalz des Bissiopropoxycarbonyloxymethylester -Derivats von Tenofovir. Der chemische Name von Tenofovir DF beträgt 9-[(R) -2-[bis [[(Isopropoxycarbonyl) -Methoxy] Phosphinyl] methoxy] propyl] Adeninfumarat (1: 1). Es hat eine molekulare Formel von C 19 H 30 N 5 O 10 P • c 4 H 4 O 4 und ein Molekulargewicht von 635,51. Es hat die folgende strukturelle Formel:
|
Tenofovir DF ist ein weißes bis nicht weißes kristallines Pulver mit einer Löslichkeit von 13,4 mg pro ml in Wasser bei 25 ° C. Alle Dosierungen werden in Bezug auf Tenofovir DF ausgedrückt, sofern nicht anders angegeben.
Verwendet für Stribild
Stribild® wird als vollständiges Regime zur Behandlung von HIV-1-Infektionen bei Erwachsenen und pädiatrischen Patienten 12 Jahre und älter angezeigt, die mindestens 35 kg wiegen, die keine antiretrovirale Behandlungsanamnese haben oder die aktuelle antiretrovirale antiretrovirale Regime bei denen, die Virologisch mit einer historischen Historie von historienmonaten mit einer stabilen Historie von Historien mit einer stabilen Historie von ATROVIREVILICSE-MONDAGE-MONDAGE ATROVILAL-MONDAGE-MONTIGE-MONTIGE-MONTE-MONTIGEN AT-MONTH-MONTH-MONTH-MONTE-MONTE-MONTE-MONTH-MONTE-TRAGEN, aufweisen. Versagen und keine bekannten Substitutionen, die mit Resistenz gegen die einzelnen Komponenten von Stribild verbunden sind [siehe Klinische Studien ].
Dosierung für Streibild
Tests vor der Einweihung und während der Behandlung mit Stribild
Vor Beginn der Streibild -Testpatienten für die Hepatitis -B -Virusinfektion [siehe WARNUNGS AND VORSICHTSMASSNAHMEN ].
Vor der Initiierung und während der Verwendung von Streibild in einem klinisch geeigneten Zeitplan für Serumkreatinin geschätztes Kreatinin -Clearance -Urin -Glukose- und Urinprotein bei allen Patienten. Bei Patienten mit chronischer Nierenerkrankung bewerten auch Serumphosphor [siehe WARNUNGS AND VORSICHTSMASSNAHMEN ].
Empfohlene Dosierung
Stribild ist ein Produkt mit vier Drogenfixierdosis, das 150 mg Elvitegravir 150 mg Cobicistat 200 mg Emtricitabin und 300 mg TDF enthält. Die empfohlene Dosierung von Streibild ist eine Tablette, die einmal täglich mit Nahrung bei Erwachsenen und pädiatrischen Patienten ab 12 Jahren mit einem Körpergewicht von mindestens 35 kg und Kreatinin -Clearance größer oder gleich 70 ml pro Minute eingenommen wird [siehe Klinische Pharmakologie ].
Dosierungsanpassung bei Patienten mit Nierenbeeinträchtigung
Die Initiierung des Stribilds bei Patienten mit geschätzter Kreatinin -Clearance unter 70 ml pro Minute wird nicht empfohlen. Da Stribild ein Tablet mit fester Dose -Kombination ist, sollte Stribild abgesetzt werden, wenn die geschätzte Kreatinin -Clearance unter 50 ml pro Minute während der Behandlung mit Stribild abnimmt WARNUNGS AND VORSICHTSMASSNAHMEN Nebenwirkungen Verwendung in bestimmten Populationen Klinische Pharmakologie Und Klinische Studien ].
Es stehen keine Daten zur Verfügung, um Dosis Empfehlungen für pädiatrische Patienten mit Nierenbeeinträchtigung abzugeben.
Bei Patienten mit schwerer Leberbeeinträchtigung nicht empfohlen
Stribild wird nicht für die Verwendung bei Patienten mit schwerer Leberbeeinträchtigung empfohlen [siehe Verwendung in bestimmten Populationen Und Klinische Pharmakologie ].
Nicht während der Schwangerschaft empfohlen
Stribild wird aufgrund der wesentlich niedrigeren Expositionen von Cobicistat und ElviteGravir während des zweiten und dritten Trimesters nicht für die Schwangerschaft empfohlen [siehe Verwendung in bestimmten Populationen ].
Stribild sollte bei schwangeren Personen nicht eingeleitet werden. Ein alternatives Regime wird für Personen empfohlen, die während der Therapie mit Stribild schwanger werden [siehe Verwendung in bestimmten Populationen ].
Wie geliefert
Dosierungsformen und Stärken
Jedes Streibild -Tablette enthält 150 mg Elvitegravir 150 mg Cobicistat 200 mg Emtricitabin und 300 mg TDF (entspricht 245 mg Tenofovir -Disoproxil).
Die Tabletten sind eine grün -kapselförmige, mit GSI beschichtete und mit GSI auf der anderen Seite abgebrochene und von einer quadratischen Box (1) auf der anderen Seite umgebenen Nummer 1.
Lagerung und Handhabung
Streng Tabletten sind grüne, kapselförmige filmische und mit GSI auf der einen Seite und die Nummer 1 umgebene von einer quadratischen Box (1) auf der anderen Seite. Jede Flasche enthält 30 Tabletten ( NDC 61958-1201-1) und ein Kieselgel-Austrocknung und ist mit einem kindresistenten Verschluss geschlossen.
Lagern USP -kontrollierte Raumtemperatur ).
- Halten Sie den Behälter fest geschlossen.
- Nur in Originalbehälter abgeben.
Hergestellt und verteilt von: Gilead Sciences Inc. Foster City CA 94404. Überarbeitet: Januar 2019
Nebenwirkungen for Stribild
Die folgenden Nebenwirkungen werden in anderen Abschnitten der Kennzeichnung erörtert:
- Schwere akute Exazerbationen von Hepatitis B bei Patienten mit HIV-1 und HBV [siehe WARNUNG BOXED Und WARNUNGS AND VORSICHTSMASSNAHMEN ].
- Neuer Beginn oder Verschlechterung der Nierenbeeinträchtigung [siehe WARNUNGS AND VORSICHTSMASSNAHMEN ].
- Laktatazidose/schwere Hepatomegalie mit Steatose [siehe WARNUNGS AND VORSICHTSMASSNAHMEN ].
- Knochenverlust und Mineralisierungsfehler [siehe WARNUNGS AND VORSICHTSMASSNAHMEN ].
- Immunrekonstitutionssyndrom [siehe WARNUNGS AND VORSICHTSMASSNAHMEN ].
Klinische Studien Erfahrung
Da klinische Studien unter sehr unterschiedlichen Bedingungen durchgeführt werden, die in den klinischen Studien eines Arzneimittels beobachtet werden, können in den klinischen Studien eines anderen Arzneimittels nicht direkt mit den Raten verglichen werden und spiegeln möglicherweise nicht die in der Praxis beobachteten Raten wider.
Klinische Studien bei HIV-1-infizierten erwachsenen Probanden ohne antiretrovirale Behandlungsanamnese
Die Sicherheitsbewertung von Stribild basiert auf den gepoolten Daten der Woche 144 von 1408 Probanden in zwei randomisierten doppelblinden, aktiv kontrollierten klinischen Studien Studie 102 und Studie 103 in antiretroviralen Behandlung-naiven HIV-1-infizierten adulten Probanden [siehe Klinische Studien ]. A total of 701 subjects received Streng once daily in these two studies.
Der Anteil der Probanden, die die Behandlung mit Stribild Atripla oder ATV RTV Truvada aufgrund unerwünschter Ereignisse unabhängig vom Schweregrad abgesetzt hatten, betrug 6,0% 7,4% bzw. 8,5%. Tabelle 1 zeigt die Häufigkeit von unerwünschten Reaktionen größer oder gleich 5% der Probanden in jedem Behandlungsarm.
Tabelle 1: Nebenwirkungen* (alle Klassen), die in ≥ 5% der erwachsenen Probanden in jedem Behandlungsarm in den Studien 102 und 103 (Woche-144-Analyse) angegeben wurden
| Streng N = 701 | Atripla n = 352 | ATV RTV Truvada N = 355 | |
| Augenstörungen | |||
| Augen Icularus | <1% | 0% | 13% |
| Magen -Darm -Störungen | |||
| Durchfall | 12% | 11% | 17% |
| Blähung | 2% | <1% | 8% |
| Brechreiz | 16% | 9% | 14% |
| Allgemeine Erkrankungen und Verwaltungsortbedingungen | |||
| Ermüdung | 4% | 8% | 6% |
| Lebererkrankungen | |||
| Gelbsucht | 0% | <1% | 9% |
| Störungen des Nervensystems | |||
| Schläfrigkeit | 1% | 7% | 1% |
| Kopfschmerzen | 7% | 4% | 6% |
| Schwindel | 3% | 21% | 5% |
| Psychiatrische Störungen | |||
| Schlaflosigkeit | 3% | 9% | 1% |
| Abnormale Träume | 9% | 27% | 4% |
| Haut und subkutan Gewebeerkrankungen | |||
| Ausschlag† | 4% | 15% | 6% |
| *Die Häufigkeit von unerwünschten Reaktionen basiert auf allen auf Behandlungsstörungen zugeordneten unerwünschten Ereignissen. † Ereignissen aus dem Hautausschlag umfasst Dermatitis-Arzneimittelausbruch Ekzeme Pruritus pruritus verallgemeinerte Hautausschlag ESCHLÄSSION ERORYthematous Eusainized Makulalausschlag Makulo-papuläres Ausschlag Morbilliforme Ausschlag Papulare Hautausschlag Pruritisch und Urtikaria. |
Sehen WARNUNGS AND VORSICHTSMASSNAHMEN Für eine Diskussion über Nieren -unerwünschte Reaktionen aus klinischen Studien Erfahrung mit Stribild.
Zusätzliche mit Stribild beobachtete Nebenwirkungen waren Suizidgedanken und Selbstmordversuch (NULL,3%) bei Probanden mit einer bereits bestehenden Vorgeschichte von Depressionen oder psychiatrischen Erkrankungen.
Klinische Studien bei virologisch unterdrückten HIV-1-infizierten erwachsenen Probanden
Bei 584 virologisch stabil unterdrückten adulten Probanden, die aus einem Regime, das einen RTV-Boosted Protease Inhibitor (PI) oder einen Nicht-Nucleosid-Reverse-Transkriptase-Inhibitor (NNRTI), auf Streibild wechselte, wurden keine neuen Nebenwirkungen auf Streibild in der Woche 48 identifiziert. In einer kombinierten Analyse der Studien 115 und 121 betrug die Häufigkeit von Nebenwirkungen (alle Klassen) 24% bei Probanden, die auf Stribild wechselten, verglichen mit 6% der Probanden in einer Gruppe, die an ihrem antiretroviralen Basis-Basis-RUVADA-RTV-RTV-Gebäude blieben. Häufige Nebenwirkungen, die in größer als oder gleich 2%der Probanden auftraten, die auf Stribild wechselten, waren Übelkeit (4%) Blähungen (2%) und Kopfschmerzen (2%). Der Anteil der Probanden, die die Behandlung mit Stribild den RTV-gesteigerten PI oder das NNRTI aufgrund von unerwünschten Ereignissen abstellten, betrug 2% 3% bzw. 1%.
Klinische Studien zu den Bestandteilen von Streibild bei erwachsenen Probanden
Emtricitabine Und TDF
Zusätzlich zu den unerwünschten Reaktionen, die bei Streibild beobachtet wurden Schmerz Myalgie Parästhesie periphere Neuropathie (einschließlich peripherer Neuritis und Neuropathie) Angst erhöhte Husten und Rhinitis.
Hautverfärbungen wurden mit höherer Häufigkeit bei emtrizitabin behandelten Probanden berichtet. Es zeigte sich durch Hyperpigmentierung an den Palmen und/oder Sohlen und war im Allgemeinen mild und asymptomatisch. Der Mechanismus und die klinische Bedeutung sind unbekannt.
Laboranomalien
Die Häufigkeit von Laboranomalien (Klassen 3-4), die in mindestens 2% der Probanden auftreten, die in den Studien 102 und 103 Streibild erhalten, sind in Tabelle 2 dargestellt.
Tabelle 2: Laboranomalien (Klassen 3-4) bei ≥2% der erwachsenen Probanden, die in den Studien 102 und 103 Streibild erhielten (Analyse der Woche-144)
| Laborparameter Abnormalität*† | Streng N = 701 | Atripla N = 352 | ATV RTV Truvada N = 355 |
| AST (> 5.0 x ULN) | 3% | 6% | 6% |
| Alt (> 3,0 x Uln) | 2% | 5% | 4% |
| Amylase* (> 2,0 x Uln) | 3% | 3% | 5% |
| Kreatinkinase (≥ 10,0 x Uln) | 8% | 15% | 11% |
| Urin RBC (Hämaturie) (> 75 RBC/HPF) | 4% | 2% | 4% |
| *Die Frequenzen basieren auf Anomalien des Behandlungslabors. † Für Probanden mit Serumamylase> 1,5 x Obergrenze des normalen Lipase -Tests (ULN) wurde ebenfalls durchgeführt. Die Häufigkeit einer erhöhten Lipase (Klassen 3-4), die in Stribild (n = 69) Atripla (n = 40) und ATV RTV Truvada (n = 38) auftritt, betrug 17% 15% bzw. 24%. |
In Studie 103 wurde BMD durch DEXA in einer nicht randomischen Untergruppe von 120 Probanden bewertet (Stribild -Gruppe N = 54; ATV RTV Truvada -Gruppe N = 66). Der mittlere Prozentsatz der BMD von der BMD bis zur Woche 144 in der Strever -Gruppe war vergleichbar mit der in der ATV RTV -Truvada -Gruppe an der Lendenwirbelsäule (-1,43% gegenüber -3,68%) bzw. an der Hüfte (-2,83% gegenüber -3,77%). In den Studien 102 und 103 Knochenbrüche traten bei 27 Probanden (NULL,9%) in den Probanden der Streibild -Gruppe 8 (NULL,3%) in der Atripla -Gruppe und 19 Probanden (NULL,4%) in der ATV RTV -Truvada -Gruppe auf. Diese Ergebnisse stimmten mit Daten aus einer früheren 144-wöchigen Studie mit Behandlung von Behandlungen überein, die TDF Lamivudin Efavirenz erhielten.
Proteinurie (alle Klassen) in 52% der Probanden erhalten 41% der Probanden, die Atripla und 42% der Probanden ATV RTV Truvado erhalten.
Es wurde gezeigt, dass die Cobicistat -Komponente von Stribild das Serumkreatinin erhöht und die geschätzte Kreatinin -Clearance aufgrund der Hemmung der tubulären Sekretion von Kreatinin ohne die Beeinflussung der nierenglomerulären Funktion verringert. In den Studien 102 und 103 Erhöhungen des Serumkreatinins und eine Abnahme der geschätzten Kreatinin -Clearance traten früh in der Behandlung mit Strippild auf, wonach die Werte stabilisierten. Tabelle 3 zeigt die mittleren Änderungen der Serumkreatinin- und EGFR -Werte in Woche 144 und den Prozentsatz der Probanden mit Erhöhungen im Serumkreatinin (alle Klassen).
Tabelle 3: Änderung von der Ausgangswert in Serumkreatinin und EGFR und Inzidenz von erhöhtem Serumkreatinin (alle Klassen) in den Studien 102 und 103 in Woche 144
| Streng N = 701 | Atripla N = 352 | ATV RTV Truvada N = 355 | |
| Serumkreatinin (mg/dl)* | 0,14 (± 0,14) | 0,01 (± 0,12) | 0,09 (± 0,15) |
| EGFR von Cockcroft-Gault (ml/Minute)* | -14,0 (± 16,6) | -1,9 (± 17,9) | -9.8 (± 19,4) |
| Probanden mit Erhöhungen im Serumkreatinin (alle Klassen) (%) | 12 | 2 | 6 |
| *Mittlere Änderung ± Standardabweichung |
Emtricitabine Or TDF
Zusätzlich zu den mit Stribild beobachteten Laboranomalien wurden bereits bei Probanden, die mit Emtricitabin oder TDF mit anderen antiretroviralen Wirkstoffen in anderen klinischen Studien behandelt wurden, in anderen klinischen Studien berichtet: Grad 3 oder 4 Labor -Abnormalitäten von ALT (M: größer als 215 U - F: Mehr als 170 u). Bilirubin (mehr als 2,5 x Uln) Serumglucose (weniger als 40 oder mehr als 250 mg pro DL) Glycosurie (größer oder gleich 3) Neutrophilen (weniger als 750 pro mm³) Fastencholesterin (größer als 240 mg pro DL) und Fasten -Triglyceride (größer als 750 mg).
Serumlipide
In den klinischen Studien mit Streibild befand sich ein ähnlicher Prozentsatz der Probanden, die Stribild Atripla und ATV RTV Truvada erhielten, zu Studienbeginn auf lipidsenkenden Wirkstoffen (12% 12% bzw. 13%). Während des Erhalts von Studienmedikamenten in Woche 144 wurden weitere 11% der strengen Probanden an lipidsenkenden Wirkstoffen begonnen, verglichen mit 13% der Atripla und 12% der ATV RTV-Truvada-Probanden.
Veränderungen von der Ausgangsgrenze im gesamten Cholesterin-HDL-Cholesterin-LDL-Cholesterin und Triglyceriden sind in Tabelle 4 dargestellt.
Tabelle 4: Lipidwerte mittlere Änderung von Ausgangswert in Woche 144 bei erwachsenen Probanden, die in Studien 102 und 103 Streibild oder Comparator erhalten
| Streng N = 701 | Atripla N = 352 | ATV RTV Truvada N = 355 | ||||
| Basis -Mg/dl | Woche 144 Änderung* | Basis -Mg/dl | Woche 144 Änderung* | Basis -Mg/dl | Woche 144 Änderung* | |
| Gesamtcholesterinspiegel (fast) | 166 [n = 675] | 17 [n = 535] | 161 [n = 343] | 22 [n = 262] | 168 [n = 337] | 16 [n = 243] |
| HDL-Cholesterin (fastend) | 43 [n = 675] | 7 [n = 535] | 43 [n = 343] | 9 [n = 262] | 42 [n = 335] | 7 [n = 242] |
| LDL-Cholesterin (Fast) | 100 [n = 675] | 15 [n = 535] | 97 [n = 343] | 19 [n = 262] | 101 [n = 337] | 18 [n = 242] |
| Triglycerides (fast) | 122 [n = 675] | 12 [n = 535] | 121 [n = 343] | 5 [n = 262] | 132 [n = 337] | 22 [n = 242] |
| *Die Änderung gegenüber dem Ausgangswert ist der Mittelwert von Veränderungen innerhalb des Patienten von der Ausgangswert für Patienten mit Baseline- und Woche 144-Werten. |
Klinische Studien bei pädiatrischen Probanden
Die Sicherheit von Stribild bei 50 HIV-1-infizierten, behandelten pädiatrischen Probanden im Alter von 12 bis weniger als 18 Jahren und ein Gewicht von mindestens 35 kg wurde in einer klinischen Open-Label-Studie über 48 Wochen bewertet (Studie 112) [siehe Klinische Studien ]. In this study the safety profile of Streng was similar to that in adults. Twenty-two subjects (44%) had treatment-emergent proteinuria (Grades 1-2). One subject met laboratory criteria for proximal renal tubulopathy evidenced by sustained proteinuria Und normoglycemic glycosuria beginning at Week 32. The subject continued to receive Streng Und was ultimately lost to follow-up.
Unter den 50 pädiatrischen Probanden, die 48 Wochen lang Streibild erhielten, stieg der Mittelwert der BMD von Grundlinie bis Woche 48 0,68% an der Lendenwirbelsäule und 0,77% für den Gesamtkörper weniger Kopf. Die mittleren Änderungen von den BMD -Z -Scores (Höhenzeitalter) bis Woche 48 betrugen für Lendenwirbelsäule -0,09 und -0,12 für den gesamten Körper mit weniger Kopf. In Woche 48 7 hatten die Probanden streng signifikante (größere oder gleich 4%) Lendenwirbelsäulen -BMD -Verlust und 2 einen signifikanten Gesamtkörper weniger Kopf -BMD -Verlust.
Nachmarkterfahrung
Die folgenden nachteiligen Reaktionen wurden während der Verwendung von TDF nach der Annahme identifiziert. Da Reaktionen nach dem Stempeln freiwillig aus einer Population unsicherer Größe berichtet werden, ist es nicht immer möglich, ihre Häufigkeit zuverlässig abzuschätzen oder ein kausales Verhältnis zur Arzneimittelexposition herzustellen. Es wurden keine zusätzlichen für Emtricitabin spezifischen Nebenmarktrate identifiziert.
Immunsystemstörungen
allergische Reaktion einschließlich Angioödeme
Stoffwechsel- und Ernährungsstörungen
Laktatazidose hypokalemia hypophosphatemia
Atemstillstand und Mediastinalstörungen
Dyspnoe
Magen -Darm -Störungen
Pankreatitis erhöhte Amylase -Bauchschmerzen
Lebererkrankungen
Hepatische Steatose -Hepatitis erhöhte Leberenzyme (am häufigsten AST ALT Gamma GT)
Haut- und subkutane Gewebeerkrankungen
Ausschlag
Muskuloskelett- und Bindegewebestörungen
Rhabdomyolyse -Osteomalazie (manifestiert sich als Knochenschmerzen und die zu Frakturen beitragen können) Muskeldreams Myopathie
Nieren- und Harnstörungen
Akuter Nierenversagen Nierenversagen akute tubuläre Nekrose Fanconi -Syndrom Proximal Nieren Tubulopathie Interstitielle Nephritis (einschließlich akuter Fälle) Nephrogene Diabetes insipidus Niereninsuffizienz erhöhte Kreatinin -Proteinurie Polyurie Polyurie
Allgemeine Erkrankungen und Verwaltungsortbedingungen
Asthenie
Die folgenden unerwünschten Reaktionen, die unter den oben genannten Körpersystemüberschriften aufgeführt sind, können als Folge der proximalen Nieren -Tubulopathie auftreten: Rhabdomyolyse -Osteomalazie -Hypokaliämie Muskeldreams Myopathie -Hypophosphatämie.
Wechselwirkungen mit Arzneimitteln for Stribild
Nicht empfohlen mit anderen antiretroviralen Medikamenten
Streng is a complete regimen for the treatment of HIV-1 infection; therefore Streng should not be administered with other antiretroviral medications for treatment of HIV-1 infection. Complete information regarding potential drug-drug interactions with other antiretroviral medications is not provided [sehen Kontraindikationen WARNUNGS AND VORSICHTSMASSNAHMEN Und Klinische Pharmakologie ].
Potenzial für Strippild, andere Medikamente zu beeinflussen
Die Änderung gegenüber dem Ausgangswert ist der Mittelwert von Veränderungen innerhalb des Patienten von der Ausgangswert für Patienten mit Baseline- und Woche 144-Werten.
Cobicistat a component of Streng is an inhibitor of CYP3A Und CYP2D6 Und an inhibitor of the following transporters: P-glycoprotein (P-gp) BCRP OATP1B1 Und OATP1B3. Thus coadministration of Streng with drugs that are primarily metabolized by CYP3A or CYP2D6 or are substrates of P-gp BCRP OATP1B1 or OATP1B3 may result in increased plasma concentrations of such drugs. Prinzip is a modest inducer of CYP2C9 Und may decrease the plasma concentrations of CYP2C9 substrates.
Potenzial für andere Medikamente, um eine oder mehrere Bestandteile von Stribild zu beeinflussen
Prinzip Und cobicistat components of Streng are metabolized by CYP3A. Cobicistat is also metabolized to a minor extent by CYP2D6.
Es wird erwartet, dass Arzneimittel, die die CYP3A -Aktivität induzieren, die Clearance von Elvitegravir und Cobicistat erhöhen, was zu einer verminderten Plasmakonzentration von Cobicistat und Elvitegravir führt, die zu einem Verlust der therapeutischen Wirkung von Streverend und der Entwicklung von Resistenz führen können (Tabelle 5).
Die gleichzeitige Verabreichung von Stribild mit anderen Arzneimitteln, die CYP3A hemmen, kann die Clearance verringern und die Plasmakonzentration von Cobicistat erhöhen (Tabelle 5).
Medikamente, die die Nierenfunktion beeinflussen
Da Emtrizitabin- und Tenofovir -Komponenten von Stribild in erster Linie durch die Nieren durch eine Kombination aus glomerulärer Filtration und aktiver tubulärer Sekretion von Stribild mit Arzneimitteln ausgeschieden werden, die die Nierenfunktion verringern oder um aktive tubuläre Sekretion konkurrieren, können die Konzentrationen von Emtrizitabzüsten erhöhen, und dies kann möglicherweise zunehmen. Einige Beispiele für Arzneimittel, die durch aktive tubuläre Sekretion eliminiert werden WARNUNGS AND VORSICHTSMASSNAHMEN ].
Etablierte und andere potenziell signifikante Wechselwirkungen
Tabelle 5 enthält eine Auflistung etablierter oder potenziell klinisch signifikanter Arzneimittelwechselwirkungen. Die beschriebenen Arzneimittelwechselwirkungen basieren auf Studien, die entweder mit Streibild oder den Bestandteilen von Stribild (Elvitegravir Cobicistat Emtricitabin und TDF) als einzelne Wirkstoffe und/oder in Kombination oder vorhergesagten Arzneimittelwechselwirkungen, die mit Streibild auftreten können, durchgeführt Klinische Pharmakologie ]. The table includes potentially significant interactions but is not all inclusive [sehen Kontraindikationen Und Klinische Pharmakologie ].
Tabelle 5: Etablierte und andere potenziell signifikante* Arzneimittelwechselwirkungen: Veränderung in Dosis oder Regime kann auf der Grundlage von Arzneimittelwechselwirkungsstudien oder einer vorhergesagten Wechselwirkung empfohlen werden
| Begleitende Drogenklasse: Drogenname | Auswirkung auf die Konzentration † | Klinischer Kommentar |
| Säure -Reduktionsmittel: Antazida ‡ z.B. Aluminium- und Magnesiumhydroxid | ↓ Principravir | Separate Stripild- und Antazida -Verabreichung um mindestens 2 Stunden. |
| Alpha-1-Adrenorezeptor-Antagonist : Alfuzosin | ↑ Alfuzosin | Die gleichzeitige Verabreichung mit Alfuzosin ist aufgrund des Potenzials für schwerwiegende und/oder lebensbedrohliche Reaktionen wie Hypotonie kontraindiziert. |
| Antiarrhythmika: Z.B. Amiodarone pRIDIL Digoxin ‡ Disopyramid Flecainid Systemische Lidocain Mexiletin Propafenon Chinidin | ↓ Antiarrhythmika ↓ Digoxin | Die therapeutische Konzentrationsüberwachung wird für Antiarrhythmika beim Koadministerium mit Streibild für Antiarrhythmika empfohlen. |
| Antibakterien: Clarithromycin | ↓ Clarithromycin ↓ Cobicistat | Patienten mit CLCR Areater als oder EAual bis 60 ml/Minute: Es ist keine Dosisanpassung von Clarithromycin erforderlich. Patienten mit CLCR zwischen 50 ml/Minute und 60 ml/Minute: Die Dosis von Clarithromycin sollte um 50%reduziert werden. |
| Antikoagulantien: Direkte orale Antikoagulanzien (DOACs) Apixaban rivaroxaban Betrixaban Dabigatran nach Orxaban | ↑ Apixaban | Aufgrund der potenziell erhöhten Blutungsrisikodosierungsempfehlungen für die gleichzeitige Verabreichung mit Stribild hängt von der Apixaban -Dosis ab. Siehe Apixaban-Dosierungsanweisungen zur gleichzeitigen Verabreichung mit starken CP3A- und P-GP-Inhibitoren in Apixaban-Verschreibungsinformationen. |
| ↑ Rivaroxaban | Die gleichzeitige Verabreichung von Rivaroxaban mit Stribild wird nicht empfohlen, da dies zu einem erhöhten Blutungsrisiko führen kann. | |
| Warfarin | ↑ Betrixaban ↑ Dabigatran ↑ Edoxaban | Aufgrund der potenziell erhöhten Blutungsrisikodosierungsempfehlungen für die gleichzeitige Verabreichung von Betrixaban Dabigatran oder Edoxaban mit einem P-GP-Inhibitor wie Stricild hängt von der DO-AC-Indikation und der Nierenfunktion ab. Siehe DOAC-Dosierungsanweisungen für die gleichzeitige Verabreichung mit P-GP-Inliibitoren in DOAC-Verschreibungsinformationen. |
| Auswirkung auf Warfarin Unbekannt | Überwachen Sie das internationale normalisierte Verhältnis (INR) nach gleichzeitiger Verabreichung von Warfarin mit Stribild. | |
| Antikonvulsiva : Carbamazepin Phenobarbital phable Oxcarbazepin Clonazepam Ethosuximid | ↓ Elvitegravir ↓ Cobicistat ↑ Clonazepam ↑ Etliosuximid | Die gleichzeitige Verabreichung mit Carbamazepin -Phenobarbital oder Phenytoin ist aufgrund des Potenzials für den Verlust der therapeutischen Effekte von Elvitegravir und der Entwicklung von Resistenz kontraindiziert. Alternative Antikonvulantien sollten berücksichtigt werden, wenn Stribild mit Oxcarbazepin zusammengefasst ist. Die klinische Überwachung wird bei der gleichzeitigen Verabreichung von Clonazepam oder Etliosuximid mit Stribild empfohlen. |
| Antidepressiva : Selektive Serotonin -Wiederaufnahmehemmer (SSRIs), z. Paroxetin Trizyklische Antidepressiva (TCAs), z. Amitriptylin Beschreibung Imipramin Nortriptylin Bupropion Trazodon | ↑ SSRIs (außer Sertralin) ↑ TCAs ↑ Trazodon | Eine sorgfältige Dosis -Titration des Antidepressivums und die Überwachung der Antidepressiva -Reaktion wird empfohlen, wenn sie mit Strippild zusammengefasst sind. |
| Antimykotika: Itraconazol Ketoconazolet Voriconazol | ↑ ElviteGravir ↑ Cobicistat ↑ Itraconazol ↑ Ketoconazol ↑ Voriconazol | Wenn Sie mit Stribild koadministeriert werden, sollte die maximale tägliche Dosis von Ketoconazol oder Itraconazol 200 mg pro Tag nicht überschreiten. Es wird empfohlen, eine Bewertung des Nutzen/Risikos zu beurteilen, um die Verwendung von Voriconazol mit Streibild zu rechtfertigen. |
| Anti-Gout: Colchicine | ↑ Colchicine | Streng is not recommended to be coadministered with colchicine to patients with renal or hepatic impairment. Behandlung von Sout -Flares - gleichzeitige Verabreichung von Colchicin bei Patienten Empfänger Strtbtld: 0,6 mg (1 Tablette) x 1 Dosis, gefolgt von 0,3 mg (halbe Tablette) 1 Stunde später. Behandlungskurs, um nicht früher als 3 Tage wiederholt zu werden. Prophvlaxis von Sout -Flares - gleichzeitige Verabreichung von Colchicin bei Patienten Empfänger Stribild: Wenn das ursprüngliche Regime zweimal täglich 0,6 mg betrug, sollte das Regime einmal täglich auf 0,3 mg eingestellt werden. Wenn das ursprüngliche Regime einmal am Tag 0,6 mg betrug, sollte das Regime jeden zweiten Tag auf 0,3 mg eingestellt werden. Behandlung von familiärem mediterraner Fieber - gleichzeitige Verabreichung von Colchicin bei Patienten Receivins Stribild: Maximale tägliche Dosis von 0,6 mg (kann zweimal täglich mit 0,3 mg verabreicht werden). |
| Antimykobakterien : Rifampin Rifabutin ‡ Rifapentin | ↓ Principravir ↓ Cobicistat | Die gleichzeitige Verabreichung mit Rifampin ist aufgrund des Potenzials für den Verlust der therapeutischen Effekte von Elvitegravir und der Entwicklung von Resistenz kontraindiziert. Die gleichzeitige Verabreichung von Stribild mit Rifabutin oder Rifapentin wird nicht empfohlen. |
| Antipsychotika: Lurasidone Pimozid | ↑ Lurasidon ↑ Pimozid | Die gleichzeitige Verabreichung mit Lurasidon ist aufgrund des Potenzials für schwerwiegende und/oder lebensbedrohliche Reaktionen kontraindiziert. Die gleichzeitige Verabreichung mit Pimozid ist aufgrund des Potenzials für schwerwiegende und/oder lebensbedrohliche Reaktionen wie Herzrhythmien kontraindiziert. |
| Quetiapin Andere Antipsychotika, z. Perphenazin Risperidon Thioridazin | ↑ Quetiapin | Initiierung von Stribild bei Patienten Takina Quetiapin: Betrachten Sie eine alternative antiretrovirale Therapie, um eine Erhöhung der Quetiapinexposition zu vermeiden. Wenn eine gleichzeitige Verabreichung erforderlich ist, reduzieren Sie die Quetiapindosis auf 1/6 der aktuellen Dosis und des Monitors für Quetiapin-assoziierte Nebenwirkungen. Informationen zur Überwachung der Reaktion finden Sie in den Informationen zur Verschreibung von Quetiapin. Initiierung von Quetiapin bei Patienten Takins Strtbild: Siehe Informationen zur ersten Dosierung und Titration von Quetiapin. |
| ↑ Antipsychotikum | Eine Abnahme der Dosis von Antipsychotika, die durch CP3A4 oder C YP2D6 metabolisiert werden, kann erforderlich sein, wenn sie mit Streibild zusammengefasst werden. | |
| Beta-Blocker: Z.B. Metoprolol Timolol | ↑ Beta-Blocker | Eine klinische Überwachung wird empfohlen, und es kann eine Dosisabnahme des Beta-Blockers erforderlich sein, wenn diese Wirkstoffe mit Streibild zusammengefasst sind. |
| Calciumkanalblocker: Z.B. amlodipine Diltiazem Felodipin Nicardipin Nifedipin Verapamil | ↑ Calciumkanalblocker | Die klinische Überwachung wird bei der gleichzeitigen Verabreichung von Calciumkanalblockern mit Streibild empfohlen. |
| Kortikosteroide (alle Routen ohne Hautunternehmen): Z.B. betamethasone Budesonid Ciclesonid Dexamethason Fluticason Methylprednisolon Mometason Triamcinolon | ↓ Principravir ↓ Cobicistat ↑ Kortikosteroide | Die gleichzeitige Verabreichung mit oralem Dexamethason oder anderen systemischen Kortikosteroiden, die CP3A induzieren, kann zu einem Verlust der therapeutischen Wirkung und der Entwicklung von Resistenz gegen Elvitegravir führen. Betrachten Sie alternative Kortikosteroide. Die gleichzeitige Verabreichung mit Kortikosteroiden, deren Expositionen durch starke CP3A -Inliibitoren signifikant erhöht werden, können das Risiko für das Cushing -Syndrom und die Nebennierenunterdrückung erhöhen. Alternative Kortikosteroide, einschließlich Beclomethason Prednison und Prednisolon (deren PK und/oder PD von starken CP3A-Inliibitoren im Vergleich zu anderen untersuchten Steroiden weniger betroffen sind) sollten insbesondere für die langfristige Verwendung berücksichtigt werden. |
| Endothelinrezeptorantagonisten: Bosentan | ↑ Bosentan | Koadministration von Bosentan bei Patienten auf Streibild: Bei Patienten, die seit mindestens 10 Tagen Streibild erhalten, beginnen Bosentan einmal täglich oder jeden zweiten Tag mit einer individuellen Verträglichkeit. Koadministration von Stribild bei Patienten auf Bosentan: Einstellung der Verwendung von Bosentan mindestens 36 Stunden vor Beginn der Streik. Nach mindestens 10 Tagen nach Beginn des Stribild -Lebenslaufs Bosentan bei 62,5 mg einmal täglich oder jeden zweiten Tag aufgrund der individuellen Verträglichkeit. |
| Ergot -Derivate: Dihydroergotamin Ergotamin Methylergonovin | ↑ Ergot -Derivate | Die gleichzeitige Verabreichung ist aufgrund des Potenzials für schwerwiegende und/oder lebensbedrohliche Reaktionen wie die akute Ergot-Toxizität, die durch periphere Vasospasmus und Ischämie der Extremitäten und anderer Gewebe gekennzeichnet ist, kontraindiziert. |
| GI Motility Agent: Cisapride | ↑ Cisapride | Die gleichzeitige Verabreichung ist aufgrund des Potenzials für schwerwiegende und/oder lebensbedrohliche Reaktionen wie Herzrhythmien kontraindiziert. |
| Hepatitis C Antivirale Wirkstoffe: Ledipasvir/ Sofosbuvir -Sofosbuvir/ Velpatasvir ‡ Sofosbuvir/ velpatasvir/ voxilaprevir | ↑ Tenofovir | Die Sicherheit erhöhter Zehnofovir -Konzentrationen in der Umgebung von Harvoni® (Ledipasvir/Sofosbuvir) und Stribild wurde nicht festgestellt. Die gleichzeitige Verabreichung wird nicht empfohlen. Patienten, die gleichzeitig mit epclusa® (Sofosbuvir/velpatasvir) oder vosevi® (Sofosbuvir/velpatasvir/voxilaprevir) erhalten, sollten auf Nebenwirkungen überwacht werden, die mit Tenofovir -Disoproxil -Fumarat verbunden sind. |
| Kräuterprodukte: St. Jolm's Würze ( Hypericum Perforatum ) | ↓ Principravir ↓ Cobicistat | Die gleichzeitige Verabreichung ist aufgrund des Potenzials für den Verlust der therapeutischen Effekte von Elvitegravir und der Entwicklung von Resistenz kontraindiziert. |
| Hormonelle Kontrazeptiva: Drospirenon/Ethinyl -Östradiol Levonorgestrel Norstimate/Ethinyl Östradiolt | ↑ Drospirenon ↑ Levonorgestrel ↑ Norstimate ↓ Ethinyl -Östradiol | Zusätzliche oder alternative nicht-honnonale Formen der Empfängnisverhütung sollten berücksichtigt werden, wenn Verhütungsmittel auf Östrogenbasis mit Streibild koadministeriert werden. Die Plasmakonzentrationen von Drospirenon können erhöht werden, wenn sie mit Cobicistat-enthaltenden Produkten zusammengefasst sind. Die klinische Überwachung wird aufgrund des Potenzials für Hyperkaliämie empfohlen. Die Auswirkungen von Zunahme der Konzentration der progestationalen Komponente Norstimate sind nicht vollständig bekannt und können ein erhöhtes Risiko für Dyslipidämie von Insulinresistenz und venöse Thrombose umfassen. Die potenziellen Risiken und Vorteile, die mit der gleichzeitigen Verabreichung von Norstimate/Ethinyl -Östradiol mit Stribild verbunden sind, sollten insbesondere bei Frauen berücksichtigt werden, die für diese Ereignisse Risikofaktoren haben. Gleichzeitige Verabreichung von Stribild mit otierhormonalen Kontrazeptiva (z. B. Verhütungsfleck -Verhütungsfleck -Vaginalring oder injizierbare Kontrazeptiva) oder orale Kontrazeptiva, die Staupene enthält, wurden nicht untersucht. Daher können alternative (nicht-honnonale) Verhütungsmethoden berücksichtigt werden. |
| Immun-Suppressiva: Z.B. cyclosporine sirolimus Tacrolimus | ↑ Immun-Suppressiva | Die therapeutische Überwachung der immunsuppressiven Wirkstoffe wird bei der gleichzeitigen Verabreichung mit Streibild empfohlen. |
| Lipid-modifizierende Mittel: HMG-CoA-Reduktase-Inhibitoren: | ||
| Lovastatin Simvastatin | ↑ Lovastatin ↑ Simvastatin | Die gleichzeitige Verabreichung mit Lovastatin oder Simvastatin ist aufgrund des Potenzials schwerwiegender Reaktionen wie Myopathie einschließlich Rhabdomyolyse im Gegensatz zu. |
| Atorvastatin | ↑ Atorvastatin | Initiieren Sie Atorvastatin mit der niedrigsten Startdosis von Atorvastatin und titrieren Sie sie sorgfältig, während Sie sich auf die Sicherheit (z. B. Myopathie) überwachen. Überschreiten Sie eine Dosierung von Atorvastatin 20 mg täglich nicht. |
| Andere Lipidmodifizierungen: Lomitapide | ↑ Lomitapide | Die gleichzeitige Verabreichung mit Lomitapid ist aufgrund des Potenzials für deutlich erhöhte Transaminasen kontraindiziert. |
| Betäubungsmittelanalgetika: Buprenorphin/Naloxon ‡ Fentanyl Tramadol | ↑ Buprenorphin ↑ Norbuprenorphin ↓ Naloxon | Die Patienten sollten genau auf Sedierung und kognitive Wirkungen überwacht werden. |
| Fentanyl | ↑ Fentanyl | Eine sorgfältige Überwachung der therapeutischen und nachteiligen Auswirkungen von Fentanyl (einschließlich potenziell tödlicher Atemdepression) wird bei gleichzeitiger Verabreichung empfohlen. |
| Tramadol | ↑ Tramadol | Für Tramadol mit gleichzeitiger Verwendung kann eine Dosisabnahme erforderlich sein. |
| Inhaliertes Beta -Agonist: Salmeterol | ↑ Salmeterol | Die gleichzeitige Verabreichung von Salmeterol und Stribild wird nicht empfohlen, da dies zu einem erhöhten Risiko für kardiovaskuläre unerwünschte Ereignisse im Zusammenhang mit Salmeterol führen kann, einschließlich der QT -Verlängerungspaller und der Tachykardie von Sinus. |
| Phosphodiesterase-5 (PDE-5) Inhibitoren: Sildenafil Tadalafil Vardenafil | T PDE-5-Inhibitoren | Die gleichzeitige Verabreichung von Sildenafil mit Stribild wird bei der Behandlung von pulmonaler arterieller Hypertonie (PAH) aufgrund des Potenzials für PDE-5-Inhibitor mit Nebenwirkungen von Nebenwirkungen wie Hypotonie-Synkop-Visualstörungen und Priapismus kontraindiziert.
Die folgenden PDE-5-Inhibitoren können zusammen mit einer erhöhten Überwachung des PDE-5-Inhibitors-assoziierten unerwünschten Ereignisse verwendet werden:
|
| Beruhigungsmittel/Hypnotik: | ||
| Midazolam (oral) Triazolam | ↑ Midazolam ↑ Triazolam | Die gleichzeitige Verabreichung mit Triazolam oder oral verabreichtem Midazolam ist aufgrund des Potenzials für schwerwiegende und/oder lebensbedrohliche Reaktionen wie verlängerte oder erhöhte Sedierung oder Atemdepression kontraindiziert. Triazolam und oral verabreichte Midazolam werden durch CP3A ausführlich metabolisiert. Die gleichzeitige Verabreichung von Triazolam oder oral verabreichtem Midazolam mit Strippild kann zu großen Zunahme der Konzentrationen dieser Benzodiazepine führen. |
| Otier Benzodiazepine: z. parenteral verabreicht Midazolam Clorazepat Diazepam für estazol Flurazepam Buspiron Zolpidem | ↑ Beruhigungsmittel/Hypnotika | Die gleichzeitige Verabreichung von parenteralem Midazolam mit Stribild sollte in einer Umgebung durchgeführt werden, die eine enge klinische Überwachung und ein angemessenes medizinisches Management bei Atemdepression und/oder längerer Sedierung gewährleistet. Die Dosierungsreduktion für Midazolam sollte insbesondere dann berücksichtigt werden, wenn mehr als eine einzige Dosis Midazolam verabreicht wird. Bei otierer sedierender/Hypnotik -Dosisreduktion kann erforderlich sein, und es wird eine klinische Überwachung empfohlen. |
| *Diese Tabelle ist nicht all umfassend. † ↑ = Erhöhen Sie ↓ = Abnahme ‡ zeigt an, dass eine Arzneimittel-Wechselwirkungsstudie durchgeführt wurde. |
Arzneimittel ohne klinisch signifikante Wechselwirkungen mit Strippild
Basierend auf Arzneimittelwechselwirkungsstudien, die mit den Bestandteilen von Stribild durchgeführt wurden, wurden keine klinisch signifikanten Arzneimittelwechselwirkungen beobachtet, wenn Stribild mit den folgenden Medikamenten kombiniert wird: Famciclovir Famotidin Methadon Omeprazol und Sertralin.
Warnungen vor Streik
Eingeschlossen als Teil der 'VORSICHTSMASSNAHMEN' Abschnitt
Vorsichtsmaßnahmen für Streibild
Schwere akute Verschlimmerung von Hepatitis B bei Patienten, die mit HIV-1 und HBV koinfiziert wurden
Alle Patienten mit HIV-1 sollten auf das Vorhandensein eines Hepatitis-B-Virus (HBV) getestet werden, bevor die antiretrovirale Therapie initiiert wird [siehe Dosierung und Verwaltung ].
Bei Patienten, die mit HIV-1 und HBV zusammengefasst sind, wurden über schwere akute akute Exazerbationen von Hepatitis B (z. Patienten, die mit HIV-1 und HBV zusammengefasst sind, sollten mindestens einige Monate nach der Beendigung der Behandlung mit Stribild mindestens mehrere Monate lang mit der klinischen und laborischen Follow-up überwacht werden. Wenn eine angemessene Einleitung einer Anti-Hepatitis-B-Therapie insbesondere bei Patienten mit fortgeschrittener Lebererkrankung oder Zirrhose gerechtfertigt sein kann, kann die Exazerbation von Hepatitis nach der Behandlung zu einer Dekompensation von Lebern und zu Leberversagen führen.
Neues Beginn oder Verschlechterung der Nierenbeeinträchtigungen
Nierenbeeinträchtigungen einschließlich Fällen von akutem Nierenversagen und Fankoni -Syndrom (Nierenrohrverletzung mit schwerer Hypophosphatämie) wurde unter Verwendung von TDF -Bestandteil von Stribild und unter Verwendung von Stribild berichtet [siehe Nebenwirkungen ].
In den klinischen Studien von Stribild über 144 Wochen 13 (NULL,9%) Probanden in der Streibild -Gruppe (n = 701) 8 (NULL,3%) Probanden in der Atazanavir (ATV) Ritonavir (RTV) Truvada ® (Emtricitabin 200 mg/TDF 300 mg) Gruppe (n = 355) und keine Probanden in der Atripla ® (Efavirenz 600 mg/Emtricitabin 200 mg/TDF 300 mg) Gruppe (n = 352) Untersuchungsmedikamente aufgrund einer Nieren -Nebenwirkungen. Von diesen Diskontinuationen 8 in der Strever -Gruppe und 1 in der ATV RTV -Truvada -Gruppe traten in den ersten 48 Wochen auf. Vier (NULL,6%) Probanden, die Streibild erhielten, entwickelten Laborergebnisse, die mit der proximalen tubulären Dysfunktion der Nierenstube im Einklang gebracht wurden, was zum Absetzen von Stribild während der ersten 48 Wochen der Behandlung führte. Zwei der vier Probanden hatten zu Studienbeginn eine Nierenbeeinträchtigung (d. H. Geschätzte Kreatinin -Clearance weniger als 70 ml pro Minute). Die Laborergebnisse in diesen 4 Probanden verbesserten sich, lösten sich jedoch bei Abbruch von Stricinild nicht vollständig in allen Probanden. Für diese Probanden war keine Nierenersatztherapie erforderlich. Ein (NULL,3%) Subjekt, der ATV RTV Truvada erhielt, entwickelte Laborergebnisse, die mit einer proximalen tubulären Dysfunktion der Nieren -Nierene im Einklang gebracht wurden.
Streng should be avoided with concurrent or recent use of a nephrotoxic agent (Z.B. high-dose or multiple nonsteroidal anti-inflammatory drugs [NSAIDs]) [sehen Wechselwirkungen mit Arzneimitteln ]. Cases of acute renal failure after initiation of high-dose or multiple NSAIDs have been reported in HIV-infected patients with risk factors for renal dysfunction who appeared stable on TDF. Some patients required hospitalization Und renal replacement therapy. Alternatives to NSAIDs should be considered if needed in patients at risk for renal dysfunction.
Anhaltende oder verschlechternde Knochenschmerzen in Extremitätenfrakturen und/oder Muskelschmerzen oder Schwächen können Manifestationen der proximalen Nieren-Tubulopathie sein und eine Bewertung der Nierenfunktion bei gefährdeten Patienten veranlassen.
Vor der Initiierung und während der Verwendung von Streibild in einem klinisch geeigneten Zeitplan für Serumkreatinin geschätztes Kreatinin -Clearance -Urin -Glukose- und Urinprotein bei allen Patienten. Bei Patienten mit chronischer Nierenerkrankung bewerten auch Serumphosphor. Stribild bei Patienten einstellen, die eine klinisch signifikante Abnahme der Nierenfunktion oder einen Hinweis auf das Fanconi -Syndrom entwickeln. Die Initiierung von Stribild bei Patienten mit geschätzter Kreatinin -Clearance unter 70 ml pro Minute wird nicht empfohlen [siehe Dosierung und Verwaltung ].
Obwohl Cobicistat (ein Bestandteil von Stribild) einen bescheidenen Anstieg der Serumkreatinin und einen bescheidenen Rückgang der geschätzten Kreatinin -Clearance verursachen kann, ohne die romeruläre Nierenfunktion zu beeinflussen [siehe Nebenwirkungen ] Patienten, bei denen ein bestätigter Anstieg des Serumkreatinins von mehr als 0,4 mg pro DL vor dem Ausgangswert auftritt, sollten für die Nierensicherheit eng überwacht werden.
Die Emtrizitabin- und TDF -Komponenten von Stribild werden hauptsächlich von der Niere ausgeschieden. STRIBILD sollte abgesetzt werden, wenn der geschätzte Kreatinin-Clearance unter 50 ml pro Minute abnimmt, da für Emtricitabin und TDF die Dosisintervallanpassung nicht erreicht werden können Verwendung in bestimmten Populationen ].
Laktatazidose/schwere Hepatomegalie mit Steatose
Lacticazidose und schwere Hepatomegalie mit Steatose, einschließlich tödlicher Fälle, wurden unter Verwendung von Nukleosidanaloga einschließlich TDF- und Emtrizitabinkomponenten von Streibild allein oder in Kombination mit anderen Antiretroviralen berichtet. Die Behandlung mit Stribild sollte bei jedem Patienten suspendiert werden, der klinische oder Laborbefunde entwickelt, die auf eine Laktatazidose oder eine ausgeprägte Hepatotoxizität hinweisen (die auch ohne markierte Transaminase -Erhöhungen Hepatomegalie und Steatose umfassen kann).
Risiko von Nebenwirkungen oder Verlust der virologischen Reaktion aufgrund von Arzneimittelwechselwirkungen
Die gleichzeitige Anwendung von Strippild und anderen Arzneimitteln kann zu bekannten oder potenziell signifikanten Arzneimittelwechselwirkungen führen, von denen einige zu [siehe Kontraindikationen Und Wechselwirkungen mit Arzneimitteln ]:
- Verlust der therapeutischen Wirkung von Strippild und mögliche Entwicklung von Resistenz.
- Mögliche klinisch signifikante Nebenwirkungen von größeren Expositionen von gleichzeitigen Arzneimitteln.
Sehen Table 5 for steps to prevent or manage these possible Und known significant drug interactions including dosing recommendations [sehen Wechselwirkungen mit Arzneimitteln ]. Consider the potential for drug interactions prior to Und during Streng therapy; review concomitant medications during Streng therapy; Und monitor for the adverse reactions associated with the concomitant drugs.
Knochenverlust und Mineralisierungsfehler
Knochenmineraldichte
In klinischen Studien in HIV-1-infizierten Erwachsenen war TDF (ein Bestandteil von Stribild) mit einer geringfügig größeren Abnahme der Knochenmineraldichte (BMD) und einer Zunahme der biochemischen Marker des Knochenstoffwechsels verbunden, was auf erhöhten Knochenumsatz im Vergleich zu Komparatoren hinweist. Serum -Parathyroidhormonspiegel und 125 Vitamin D -Spiegel waren auch bei Probanden, die TDF erhielten, höher. Weitere Informationen [siehe Nebenwirkungen ] und konsultieren Sie die TDF -Verschreibungsinformationen.
Klinische Studien zur Bewertung von TDF bei pädiatrischen und jugendlichen Probanden wurden durchgeführt. Unter normalen Umständen steigt BMD bei pädiatrischen Patienten schnell an. Bei HIV-1-infizierten Probanden im Alter von 2 Jahren bis zu weniger als 18 Jahren waren die Knocheneffekte den bei erwachsenen Probanden beobachteten und deuten auf einen erhöhten Knochenumsatz hin. Der BMD-Gewinn des Gesamtkörpers war bei den mit TDF behandelten HIV-1-infizierten pädiatrischen Probanden im Vergleich zu den Kontrollgruppen geringer. In allen pädiatrischen Versuchen schien das Skelettwachstum (Höhe) nicht betroffen zu sein. Für weitere Informationen wenden Sie sich bitte an die TDF -Verschreibungsinformationen.
Die Auswirkungen von TDF-assoziierten Veränderungen in BMD und biochemischen Markern auf die langfristige Knochengesundheit und das zukünftige Frakturrisiko sind unbekannt. Die Bewertung der BMD sollte bei HIV-1-infizierten erwachsenen und pädiatrischen Patienten in Betracht gezogen werden, die eine pathologische Knochenfraktur oder andere Risikofaktoren für Osteoporose oder Knochenverlust aufweisen. Obwohl die Wirkung der Supplementierung mit Calcium und Vitamin D nicht untersucht wurde, kann eine solche Ergänzung bei allen Patienten von Vorteil sein. Wenn Knochenanormalitäten vermutet werden, sollte eine angemessene Konsultation erzielt werden.
Mineralisierungsfehler
Fälle von Osteomalazie im Zusammenhang mit proximalen Nieren -Tubulopathie, die sich als Knochenschmerzen oder Schmerzen in den Extremitäten manifestieren und zu Frakturen beitragen können, wurde in Verbindung mit der Verwendung von TDF berichtet [siehe Nebenwirkungen ]. Arthralgias Und muscle pain or weakness have also been reported in cases of proximal renal tubulopathy. Hypophosphatemia Und osteomalacia secondary to proximal renal tubulopathy should be considered in patients at risk of renal dysfunction who present with persistent or worsening bone or muscle symptoms while receiving products containing TDF [sehen Neues Beginn oder Verschlechterung der Nierenbeeinträchtigungen ].
Immunrekonstitutionssyndrom
Immunrekonstitutionssyndrom wurde bei Patienten berichtet, die mit einer antiretroviralen Therapie mit einer Kombination einschließlich Stripild behandelt wurden. Während der Anfangsphase der kombinierten antiretroviralen Behandlung Patienten, deren Immunsystem eine entzündliche Reaktion auf indolente oder verbleibende opportunistische Infektionen entwickeln kann (wie z. Mycobacterium avium Infektion Cytomegalovirus Pneumocystis jirovecii Lungenentzündung (PCP) oder Tuberkulose), die eine weitere Bewertung und Behandlung erfordern können.
Es wurde auch berichtet, dass Autoimmunerkrankungen (wie die Krankheitspolymyositis von Graves und das Guillain-Barré-Syndrom) bei der Einstellung der Immunrekonstitution auftreten. Die Zeit zum Beginn ist jedoch variabler und kann viele Monate nach Beginn der Behandlung auftreten.
Patientenberatungsinformationen
Raten Sie dem Patienten, die von der FDA zugelassene Patientenkennzeichnung zu lesen ( Patienteninformationen ).
Pantothensäure -Vorteile und Nebenwirkungen
Schwere akute Verschlimmerung von Hepatitis B bei Patienten, die mit HIV-1 und HBV koinfiziert wurden
Informieren Sie Patienten, dass bei Patienten, die mit HBV und HIV-1 zusammengefasst sind WARNUNGS AND VORSICHTSMASSNAHMEN ].
Neues Beginn oder Verschlechterung der Nierenbeeinträchtigungen
Informieren Sie die Patienten, dass Nierenbeeinträchtigungen einschließlich Fälle von akutem Nierenversagen und Fanconi -Syndrom in Verbindung mit der Verwendung von Stribild berichtet wurden. Beraten Sie den Patienten, Streibild mit gleichzeitiger oder neuer Verwendung eines nephrotoxischen Wirkstoffs (z. B. Hochdosis oder mehrere NSAIDs) zu vermeiden [siehe WARNUNGS AND VORSICHTSMASSNAHMEN ].
Laktatazidose und schwere Hepatomegalie
Die Patienten darüber informieren, dass Laktatazidose und schwere Hepatomegalie mit Steatose einschließlich tödlicher Fälle berichtet wurden. Die Behandlung mit Stribild sollte bei jedem Patienten suspendiert werden, der klinische Symptome entwickelt WARNUNGS AND VORSICHTSMASSNAHMEN ].
Wechselwirkungen mit Arzneimitteln
Beraten Sie den Patienten, dass Streibild mit vielen Medikamenten interagieren kann. Raten Sie den Patienten daher, ihrem Gesundheitsdienstleister die Verwendung anderer verschreibungspflichtiger oder nicht verschreibungspflichtiger Medikamente oder Kräuterprodukte wie St. Johns Würze zu melden [siehe Kontraindikationen WARNUNGS AND VORSICHTSMASSNAHMEN Und Wechselwirkungen mit Arzneimitteln ].
Knochenverlust und Mineralisierungsfehler
Die Patienten, die die Knochenmineraldichte verringern, wurden unter Verwendung von Stribild beobachtet. Die Bewertung der Knochenmineraldichte (BMD) sollte bei Patienten mit pathologischer Knochenbrüche oder anderen Risikofaktoren für Osteoporose oder Knochenverlust berücksichtigt werden [siehe WARNUNGS AND VORSICHTSMASSNAHMEN ].
Immunrekonstitutionssyndrom
Informieren Sie Patienten, dass bei einigen Patienten mit fortgeschrittenen HIV-Infektionen (AIDS) und Symptomen von Entzündungen aus früheren Infektionen kurz nach Beginn der Anti-HIV-Behandlung auftreten können. Es wird angenommen, dass diese Symptome auf eine Verbesserung der Immunantwort des Körpers zurückzuführen sind, damit der Körper Infektionen bekämpfen kann, die möglicherweise ohne offensichtliche Symptome vorhanden waren. Raten Sie den Patienten, ihren Gesundheitsdienstleister sofort über alle Infektionssymptome zu informieren [siehe WARNUNGS AND VORSICHTSMASSNAHMEN ].
Verpasste Dosierung
Informieren Sie die Patienten, dass es wichtig ist, Streibild für einen regelmäßigen Dosierungsplan mit Lebensmitteln zu nehmen und fehlende Dosen zu vermeiden, da dies zur Entwicklung von Resistenz führen kann [siehe Dosierung und Verwaltung ].
Schwangerschaft
Beraten Sie den Patienten, dass Stribild während der Schwangerschaft nicht empfohlen wird, und um ihren Gesundheitsdienstleister zu alarmieren, wenn sie während der Einnahme von Stripild schwanger werden [siehe Dosierung und Verwaltung Und Verwendung in bestimmten Populationen ]. Inform patients that there is an antiretroviral pregnancy registry to monitor fetal outcomes of pregnant individuals exposed to Streng [sehen Verwendung in bestimmten Populationen ].
Stillzeit
Weisen Sie die Mütter mit HIV-1-Infektion nicht zum Stillen an, da HIV-1 an das Baby in der Muttermilch übergeben werden kann [siehe Verwendung in bestimmten Populationen ].
Nichtklinische Toxikologie
Karzinogenese -Mutagenese -Beeinträchtigung der Fruchtbarkeit
Prinzip
Langzeitkarzinogenitätsstudien von ElviteGravir wurden bei Mäusen (104 Wochen) und Ratten für bis zu 88 Wochen (Männer) und 90 Wochen (Frauen) durchgeführt. Bei Mäusen mit Dosen von bis zu 2000 mg pro kg pro Tag allein oder in Kombination mit 25 mg pro kg pro Tag RTV bei Expositionen 3 bzw. 14-fach wurde bei Mäusen mit medikamentenbedingten Tumorinzidenz keine medikamentenbedingten Erhöhungen der Tumor-Inzidenz gefunden. Bei Ratten mit Dosen von bis zu 2000 mg pro kg pro Tag wurden bei Ratten mit 12 bis 27-fach bei männlichen und weiblichen menschlichen systemischen Expositionen keine medikamentenbedingten Zunahme der Tumorinzidenz gefunden.
Prinzip was not genotoxic in the reverse mutation bacterial test (Ames test) Und the rat micronucleus assay. In an in vitro Der chromosomale Aberrationstest ElviteGravir war mit der metabolischen Aktivierung negativ; Eine zweideutige Reaktion wurde jedoch ohne Aktivierung beobachtet.
Prinzip did not affect fertility in male Und female rats at approximately 16- Und 30-fold higher exposures (AUC) respectively than in humans at the therapeutic 150 mg daily dose.
Die Fruchtbarkeit war bei den Nachkommen von Ratten, die täglich vor der Geburt ausgesetzt waren, normal ( in der Gebärmutter ) durch sexuelle Reife bei täglichen Expositionen (AUC) von ungefähr 18-fach höher als die Exposition des Menschen bei der empfohlenen 150 mg täglichen Dosis.
Cobicistat
In einer Langzeitkarzinogenitätsstudie an Mäusen wurden bei Dosen von bis zu 50 und 100 mg/kg/Tag (Männer bzw. Frauen) keine medikamentenbedingten Zunahme der Tumorinzidenz beobachtet. Die Cobicistat -Expositionen bei diesen Dosen betrugen ungefähr 7 (männlich) bzw. 16 (Frauen) Zeiten der menschlichen systemischen Exposition bei der therapeutischen täglichen Dosis. In einer Langzeitkarzinogenitätsstudie von Cobicistat bei Ratten wurde bei Dosen von 25 und 50 mg/kg/Tag bei Männern und bei 30 mg/kg/Tag bei Frauen eine erhöhte Inzidenz von Follikelzelladenomen und/oder Karzinomen in der Schilddrüse beobachtet. Die follikulären Zellbefunde gelten als rattenspezifisch sekundär bis hepatischer mikrosomaler Enzyminduktion und Schilddrüsenhormon-Ungleichgewicht und sind für Menschen nicht relevant. Bei den höchsten Dosen, die in der Rattenkarzinogenitätstudie getestet wurden, betrugen die systemische Exposition der systemischen systemischen Exposition bei der therapeutischen täglichen Dosis ungefähr das 2 -fache der menschlichen systemischen Exposition.
Cobicistat was not genotoxic in the reverse mutation bacterial test (Ames test) or the mouse lymphoma or rat micronucleus assays.
Cobicistat did not affect fertility in male or female rats at daily exposures (AUC) approximately 4-fold higher than human exposures at the recommended 150 mg daily dose.
Die Fruchtbarkeit war bei den Nachkommen von Ratten, die täglich vor der Geburt ausgesetzt waren, normal ( in der Gebärmutter ) durch sexuelle Reife bei täglichen Expositionen (AUC) von ungefähr 1,2-fach höher als die Exposition des Menschen bei der empfohlenen 150 mg täglichen Dosis.
Emtricitabine
Bei Langzeitkarzinogenitätsstudien mit Emtrizitabin wurden bei Mäusen bei Dosen von bis zu 750 mg pro kg pro Tag keine medikamentenbedingten Tumorinzidenz (23-fache der menschlichen systemischen Exposition bei der therapeutischen Dosis von 200 mg pro Tag) oder bei Ratten mit einer Dosen von bis zu 600 mg pro kg pro Tag (28-mal (28-mal).
Emtricitabine was not genotoxic in the reverse mutation bacterial test (Ames test) or the mouse lymphoma or mouse micronucleus assays.
Emtricitabine did not affect fertility in male rats at approximately 140-fold or in male Und female mice at approximately 60-fold higher exposures (AUC) than in humans given the recommended 200 mg daily dose. Fertility was normal in the offspring of mice exposed daily from before birth ( in der Gebärmutter ) durch sexuelle Reife bei täglichen Expositionen (AUC) von ungefähr 60-fach höher als die Exposition des Menschen bei der empfohlenen 200 mg täglichen Dosis.
Tenofovir DF
Langzeit-orale Karzinogenitätsstudien von TDF bei Mäusen und Ratten wurden bei Expositionen bis zu ungefähr 10 Mal (Mäuse) und 4-mal (Ratten) durchgeführt, die beim Menschen bei der therapeutischen Dosis für HIV-1-Infektionen beobachtet wurden. Bei der hohen Dosis bei weiblichen Mäusen waren die Leberadenome bei Expositionen zehnmal des Menschen beim Menschen erhöht. Bei Ratten war die Studie für krebserregende Befunde bei Expositionen bis zu viermal negativ, die beim Menschen bei der therapeutischen Dosis beobachtet wurden.
Tenofovir DF was mutagenic in the in vitro Maus -Lymphom -Assay und negativ in einem in vitro Bakterienmutagenitätstest (Ames -Test). In an vergeblich Maus -Mikronukleus -Assay TDF war negativ, wenn er männlichen Mäusen verabreicht wurde.
Es gab keine Auswirkungen auf die Leistung der Fertilität und die frühe embryonale Entwicklung, wenn männliche Ratten bei TDF 28 Tage vor der Paarung und an weibliche Ratten für 15 Tage vor der Paarung bis zum siebten Tag die Zehnfache der zehnfachen menschlichen Dosis, die auf Bodysiberflächengebietsvergleiche entspricht, 28 Tage lang die zehnfache menschliche Dosis verabreicht wurde. Es gab jedoch eine Veränderung des Östruszyklus bei weiblichen Ratten.
Verwendung in bestimmten Populationen
Schwangerschaft
Schwangerschaft Exposure Registry
Es gibt ein Schwangerschafts -Expositionsregister, das die Schwangerschaftsergebnisse bei Frauen überwacht, die während der Schwangerschaft einem Streifen ausgesetzt sind. Gesundheitsdienstleister werden ermutigt, Patienten zu registrieren, indem sie das Antiretroviral-Schwangerschaftsregister (APR) unter 1-800-258-4263 bezeichnen.
Risikozusammenfassung
Streng is not recommended during pregnancy [sehen Dosierung und Verwaltung ]. A literature report evaluating the pharmacokinetics (PK) of antiretrovirals during pregnancy demonstrated substantially lower exposures of elvitegravir Und cobicistat in the second Und third trimesters (see Daten ).
Prospektive Schwangerschaftsdaten aus dem APR reichen nicht aus, um das Risiko von Geburtsfehlern oder Fehlgeburten angemessen zu bewerten. ElviteGravir Cobicistat Emtricitabin und TDF -Verwendung während der Schwangerschaft wurden jedoch bei einer begrenzten Anzahl von Personen bewertet, wie im APR gemeldet. Die verfügbaren Daten aus dem APR zeigen, dass das Gesamtrisiko von schweren Geburtsfehlern für Cobicistat -Emtrizitabin oder TDF im Vergleich zur Hintergrundrate für schwere Geburtsfehler von 2,7% in einer US -Referenzpopulation des Metropolitan Atlanta Congenital Defektprogramms (MACDP) (MACDP) im Vergleich zur Hintergrundrate (MACDP). Die Anzahl der Expositionen gegenüber ElviteGravir reicht im Vergleich zu einer Referenzpopulation nicht aus, um eine Risikobewertung vorzunehmen (siehe Daten ). The rate of miscarriage is not reported in the APR. In the U.S. general population the estimated background risk of miscarriage in clinically recognized pregnancies is 15−20%.
In Tierstudien wurden keine nachteiligen Entwicklungseffekte beobachtet, wenn die Bestandteile von Stribild während der Organogenese -Zeitspanne bei Expositionen bis zu 23 und 0,2 -mal (Ratten und Kaninchen Elvitegravir) 1,8 bzw. 4,3 -mal (Rating bzw. Rabbits bzw. Rabbits Cobicistat) und 60 -mal (Mäuse (Mäuse) und Rabbits, das beispielsweise Rabbits) und Rabbbits, bei dem beispielsweise das Rabbit, in der Exposition des Rabbbits und Rabbits), separat verabreicht wurde. Stribild und 14 und 19 Mal (Ratten bzw. Kaninchen TDF) die menschliche Dosis basierend auf Vergleiche der Körperoberfläche [siehe Daten ]. Likewise no adverse developmental effects were seen when elvitegravir or cobicistat was administered to rats through lactation at exposures up to 18 times or 1.2 times respectively the exposure at the recommended daily therapeutic dose Und when emtricitabine was administered to mice through lactation at exposures up to approximately 60 times the exposure at the recommended daily therapeutic dose. No adverse effects were observed in the offspring of rats when TDF was administered through lactation at tenofovir exposures of approximately 2.7 times the exposure at the recommended daily dosage of Streng.
Daten
Menschliche Daten
Eine prospektive Studie in der Literatur umfasste 30 schwangere Frauen, die mit HIV lebten und im zweiten oder dritten Trimester der Schwangerschaft und durch 6 bis 12 Wochen nach der Geburt Elvitegravir- und Cobicistat-basierte Regime erhielten, um die Pharmakokinetik (PK) während der Schwangerschaft zu bewerten. Achtundzwanzig Frauen haben die Studie während der postpartalen Zeit abgeschlossen. Paired Schwangerschafts-/postpartale PK -Daten standen bei 14 und 24 Frauen für das zweite bzw. dritte Trimester. Die Expositionen von Elvitegravir und Cobicistat waren während des zweiten und dritten Trimesters im Vergleich zur postpartalen Wesentlichkeit wesentlich niedriger. Der Anteil der virologisch unterdrückten schwangeren Frauen betrug im zweiten Trimester im dritten Trimester 77% und nach der Geburt zu 76%. Es wurde keine Korrelation zwischen der Virusunterdrückung und der Exposition von ElviteGravir beobachtet. Der HIV -Status wurde auch für Säuglinge bewertet: 25 waren nicht infiziert 2 hatten einen unbestimmten Status und für 3 Säuglinge standen keine Informationen zur Verfügung.
Prospektive Berichte aus dem APR von großen Geburtsfehlern bei Schwangerschaften, die den Bestandteilen von Streibild ausgesetzt sind, werden mit einer US -amerikanischen Hintergrund -Hauptgeburtenfehlerrate verglichen. Die methodischen Einschränkungen des APR umfassen die Verwendung von MACDP als externe Komparatorgruppe. Zu den Einschränkungen der Verwendung eines externen Komparators gehören Unterschiede in Methodik und Populationen sowie Verwirrung aufgrund der zugrunde liegenden Erkrankung.
Prinzip
Der APR hat prospektive Berichte über 5 Geburtsfehler unter 180 Expositionen im ersten Trimester an elvitegravirhaltige Regime während der Schwangerschaft erhalten, was zu Lebendgeburten führt. Bei 52 Expositionen während des zweiten/dritten Trimesters wurden keine Geburtsfehler gemeldet. Die Anzahl der Expositionen reicht nicht aus, um eine Risikobewertung im Vergleich zu einer Referenzpopulation vorzunehmen.
Cobicistat
Basierend auf prospektiven Berichten an den APR von 204 Expositionen des ersten Trimesters gegenüber Cobicistat -entsprechenden Therapien während der Schwangerschaft gab es im Vergleich zur Geburtsfehlerdefektrate von 2,7% in der US -Referenzbevölkerung des MACDP gegenüber der Schwangerschaftsgründe nicht erhöht. Die Prävalenz von Geburtsfehlern bei Lebendgeburten betrug 2,5% (95% CI: 0,8% bis 5,6%), wobei das erste Trimester gegen Cobicistat-haltige Regime ausgesetzt ist. Die im APR gemeldeten Cobicistat -Expositionen von 58 Sekunden/dritten Trimester reichen nicht aus, um eine Risikobewertung vorzunehmen.
Emtricitabine
Basierend auf prospektiven Berichten über den APR von Expositionen gegenüber emtrizitabinhaltigen Regime während der Schwangerschaft, die zu Lebendgeburten führten (einschließlich über 2700 im ersten Trimester ausgesetzt und über 1200 im zweiten/dritten Trimester ausgesetzt) gab es im Vergleich zur Hintergrundgeburtenfehlerrate von 2,7% bei der US-Referenzpopulation der US-Referenzpopulation der US-Referenzpopulation bei der US-Referenzpopulation bei der US-Referenzpopulation bei der US-Referenzpopulation bei der US-Referenzpopulation bei der US-Referenzpopulation bei der US-Referenzbevölkerung. Die Prävalenz von Geburtsfehlern bei Lebendgeburten betrug 2,4% (95% CI: 1,9% bis 3,1%), wobei das Exposition gegenüber dem ersten Trimester gegen emtrizitabinhaltige Regime und 2,3% (95% CI: 1,5% bis 3,3%) mit Exposition gegenüber dem zweiten/dritten Trimester an emtrizitabrückenden Regimens.
Tenofovir DF
Basierend auf prospektiven Berichten über den APR der Exposition gegenüber TDF-haltigen Regimen während der Schwangerschaft, die zu Lebendgeburten führten (einschließlich über 3500 im ersten Trimester, und über 1500 im zweiten/dritten Trimester ausgesetzt) gab es im Vergleich zu TDF im Vergleich zu TDF keine Zunahme der Gesamtgröße von 2,7% in der US-Referenzbevölkerung. Die Prävalenz von Geburtsfehlern bei Lebendgeburten betrug 2,3% (95% CI: 1,8% bis 2,9%) mit Exposition des ersten Trimesters und 2,2% (95% CI: 1,6% bis 3,1%) mit dem zweiten/dritten Trimester-Exposition gegenüber TDF-enthaltenden Regimen.
Tierdaten
Prinzip
Prinzip was administered orally to pregnant rats (at 0 300 1000 Und 2000 mg/kg/day) Und rabbits (at 0 50 150 Und 450 mg/kg/day) through organogenesis (on gestation days 7 through 17 Und days 7 through 19 respectively). No significant toxicological effects were observed in embryo-fetal toxicity studies performed with elvitegravir in rats at exposures (AUC) approximately 23 times higher Und in rabbits at approximately 0.2 times higher than human exposures at the recommended daily dose. In a pre- Und postnatal developmental study in rats elvitegravir was administered orally at doses of 0 300 1000 Und 2000 mg/kg from gestation day 7 to day 20 of lactation. At doses of 2000 mg/kg/day of elvitegravir neither maternal nor developmental toxicity was noted. Systemic exposures (AUC) at this dose were 18 times the human exposures at the recommended daily dose.
Cobicistat
Cobicistat was administered orally to pregnant rats at doses of 0 25 50 Und 125 mg/kg/day on gestation day 6 to 17. Increases in post-implantation loss Und decreased fetal weights were observed at a maternal toxic dose of 125 mg/kg/day. No malformations were noted at doses up to 125 mg/kg/day. Systemic exposures (AUC) at 50 mg/kg/day in pregnant females were 1.8 times higher than human exposures at the recommended daily dose.
Bei schwangeren Kaninchen wurde Cobicistat während der Schwangerschaftstage oral in Dosen von 0 20 50 und 100 mg/kg/Tag oral verabreicht. Die systemischen Expositionen (AUC) bei 100 mg/kg/Tag waren 4,3 -mal höher als die Exposition des Menschen bei der empfohlenen Tagesdosis. In einer vor- und postnatalen Entwicklungsstudie an Ratten wurde Cobicistat von Schwangerschaftstag 6 bis postnatal Tag 20 21 oder 22 oral in Dosen von 0 10 30 und 75 mg/kg verabreicht. Bei Dosen von 75 mg/kg/Tag von Cobicistat wurden weder mütterliche noch Entwicklungsgirschen. Die systemischen Expositionen (AUC) in dieser Dosis betrugen das 1,2 -fache der menschlichen Expositionen bei der empfohlenen täglichen Dosis.
Emtricitabine
Emtricitabine was administered orally to pregnant mice (at 0 250 500 or 1000 mg/kg/day) Und rabbits (at 0 100 300 or 1000 mg/kg/day) through organogenesis (on gestation days 6 through 15 Und 7 through 19 respectively). No significant toxicological effects were observed in embryo-fetal toxicity studies performed with emtricitabine in mice at exposures (AUC) approximately 60 times higher Und in rabbits at approximately 120 times higher than human exposures at the recommended daily dose. In a pre/postnatal development study in mice emtricitabine was administered orally at doses up to 1000 mg/kg/day; no significant adverse effects directly related to drug were observed in the offspring exposed daily from before birth ( in der Gebärmutter ) durch sexuelle Reife bei täglichen Expositionen (AUC) von ungefähr 60 -mal höher als die Exposition des Menschen bei der empfohlenen täglichen Dosis.
Tenofovir DF
Tenofovir DF was administered orally to pregnant rats (at 0 50 150 or 450 mg/kg/day) Und rabbits (at 0 30 100 or 300 mg/kg/day) through organogenesis (on gestation days 7 through 17 Und 6 through 18 respectively). No significant toxicological effects were observed in embryo-fetal toxicity studies performed with TDF in rats at doses up to 14 times the human dose based on body surface area comparisons Und in rabbits at doses up to 19 times the human dose based on body surface area comparisons. In a pre/postnatal development study in rats TDF was administered orally through lactation at doses up to 600 mg/kg/day; no adverse effects were observed in the offspring at tenofovir exposures of approximately 2.7 times higher than human exposures at the recommended daily dose of Streng.
Stillzeit
Risikozusammenfassung
Die Zentren für die Kontrolle und Prävention von Krankheiten empfehlen, dass HIV-infizierte Mütter ihre Säuglinge nicht stillen, um zu vermeiden, dass die postnatale Übertragung von HIV gefährdet.
Basierend auf begrenzten veröffentlichten Daten wurde gezeigt, dass Emtricitabin und Tenofovir in menschlicher Muttermilch vorhanden sind. Es ist nicht bekannt Daten ).
Es ist nicht bekannt, ob die Bestandteile der Streibild die Milchproduktion beeinflussen oder Auswirkungen auf das gestillte Kind haben. Wegen des Potenzials: (1) HIV-Übertragung (bei HIV-negativen Säuglingen); (2) Entwicklung einer Virusresistenz (bei HIV-positiven Säuglingen); und (3) Nebenwirkungen in einem gestillten Kind ähnlich wie bei Erwachsenen, die Mütter anweisen, nicht zu stillen, wenn sie Streibild erhalten (siehe Daten ).
Tierdaten
Prinzip
Während der vorgeburtlichen und postnatalen Entwicklungstoxikologiestudie in Dosen von bis zu 2000 mg/kg/Tag wurde der mittlere elvitegravirmilch -milch -milch -zu -plasma -Verhältnis von 0,1 30 Minuten nach der Verabreichung an Ratten am Laktationstag gemessen.
Cobicistat
Während der vorgeburtlichen und postnatalen Entwicklungstoxikologiestudie in Dosen von bis zu 75 mg/kg/Tag wurden die mittleren Cobicistat -Milch -zu -Plasmakobicistat -Milchverhältnis von bis zu 1,9 2 Stunden nach der Verabreichung an Ratten am Stillstandstag gemessen.
Pädiatrische Verwendung
Die Pharmakokinetiksicherheit sowie virologische und immunologische Reaktionen wurden bei 50 mit Behandlungen infizierten HIV-1-Probanden im Alter von 12 bis weniger als 18 Jahren mit einem Gewicht von mindestens 35 kg in einer offenen Studie 48 Wochen bewertet (Studie 112). Die Sicherheit und Wirksamkeit von Streverend bei diesen Probanden war der bei antiretroviralen Behandlungsnas-naiven Erwachsenen ähnlich [siehe Dosierung und Verwaltung Nebenwirkungen Klinische Pharmakologie Und Klinische Studien ].
Sicherheit und Wirksamkeit von Strippild bei pädiatrischen Patienten, die weniger als 12 Jahre alt sind oder weniger als 35 kg wiegen, wurden nicht festgelegt.
Geriatrische Verwendung
Klinische Studien mit Stribild umfassten nicht eine ausreichende Anzahl von Probanden ab 65 Jahren, um festzustellen, ob sie anders als jüngere Probanden reagieren. Im Allgemeinen sollte bei der Verabreichung von Strippild bei älteren Patienten Vorsicht geboten werden Klinische Pharmakologie ].
Nierenbehinderung
Die Initiierung des Stribilds bei Patienten mit geschätzter Kreatinin -Clearance unter 70 ml pro Minute wird nicht empfohlen. Da Stribild ein Tablett mit fester Dosiskombination ist, sollte Stribild abgesetzt werden, wenn der geschätzte Kreatinin-Clearance unter 50 ml pro Minute während der Behandlung mit Stribild als Dosisintervalleinstellung abnimmt, die für Emtrictabin und TDF erforderlich sind, kann nicht erreicht werden [siehe WARNUNGS AND VORSICHTSMASSNAHMEN Nebenwirkungen Klinische Pharmakologie Und Klinische Studien ].
Es stehen keine Daten zur Verfügung, um Dosis Empfehlungen für pädiatrische Patienten mit Nierenbeeinträchtigung abzugeben.
Klinische Studien bei erwachsenen Probanden mit leichten bis mittelschweren Nierenbeeinträchtigungen
In Studie 118 33 HIV-1-infizierte Behandlungs-naive Probanden mit leichter bis mittelschwerer Nierenbeeinträchtigung (EGFR nach Cockcroft-Gault-Methode zwischen 50 und 89 ml/Minute) wurden in einer klinischen Studie mit offenem Label untersucht, in der die Sicherheit von 48 Wochen Behandlung mit Stribild bewertet wurde. Nach 48 Wochen Behandlung betrug die mittlere Änderung des Serumkreatinins 0,17 ± 0,14 mg/dl und die mittlere Änderung der EGFR durch Cockcroft-Gault-Methode –6,9 ± 9,0 ml/Minute für mit Stripild behandelte Probanden.
Zwölf der 33 untersuchten Probanden hatten eine Basis -EGFR zwischen 50 und 70 ml/Minute. Drei Probanden alle mit Basislinien -EGFR zwischen 50 und 60 ml/winzigen Streik aufgrund eines Nierenereignisses. Die Sicherheit des Streiks unter 21 der 33 Probanden mit Basis -EGFR über 70 ml/Minute stimmte in den Studien 102 und 103 mit dem Sicherheitsprofil überein.
Hepatische Beeinträchtigung
Bei Patienten mit leichter (Kinder-Pugh-Klasse A) oder mittelschwerer (Child-Pugh-Klasse B) ist keine Dosisanpassung der Streibild erforderlich. Es stehen keine pharmakokinetischen oder Sicherheitsdaten in Bezug auf die Verwendung von Stribild bei Patienten mit schwerer Leberbeeinträchtigung (Child-Pugh-Klasse C) zur Verfügung. Daher wird Stribild nicht für die Verwendung bei Patienten mit schwerer Leberbeeinträchtigung empfohlen [siehe Dosierung und Verwaltung Und Klinische Pharmakologie ].
Überdosis Information for Stribild
Bei Patienten sind keine Daten zur Überdosis von Stribild verfügbar. Wenn eine Überdosierung auftritt, muss der Patient auf Anzeichen einer Toxizität überwacht werden. Die Behandlung von Überdosierung mit Stribild besteht aus allgemeinen unterstützenden Maßnahmen, einschließlich der Überwachung von Vitalfunktionen sowie der Beobachtung des klinischen Status des Patienten.
Prinzip
Eine begrenzte klinische Erfahrung ist in Dosen höher als die therapeutische Dosis von Elvitegravir. In einer Studie wurde elviteGravir -äquivalent der 2 -fachen der therapeutischen Dosis von 150 mg einmal täglich an 42 gesunden Probanden verabreicht. Es wurden keine schwerwiegenden Nebenwirkungen gemeldet. Die Auswirkungen höherer Dosen sind nicht bekannt. Da Elvitegravir stark an Plasmaproteine gebunden ist, ist es unwahrscheinlich, dass es durch Hämodialyse oder Peritonealdialyse erheblich entfernt wird.
Cobicistat
Eine begrenzte klinische Erfahrung ist in Dosen höher als die therapeutische Dosis von Cobicistat. In zwei Studien wurde eine einzelne Dosis von Cobicistat 400 mg (NULL,7 -fache der Dosis in Stribild) an insgesamt 60 gesunde Probanden verabreicht. Es wurden keine schwerwiegenden Nebenwirkungen gemeldet. Die Auswirkungen höherer Dosen sind nicht bekannt. Da Cobicistat stark an Plasmaproteine gebunden ist, ist es unwahrscheinlich, dass es durch Hämodialyse oder Peritonealdialyse signifikant entfernt wird.
Emtricitabine
Eine begrenzte klinische Erfahrung ist in Dosen höher als die therapeutische Dosis von Emtriva®. In einer klinischen Pharmakologiestudie wurden 11 mg (6 -fache der Dosis in Stribild) 11 Probanden verabreicht. Es wurden keine schwerwiegenden Nebenwirkungen gemeldet. Die Auswirkungen höherer Dosen sind nicht bekannt.
Die Behandlung mit Hämodialyse beseitigt ungefähr 30% der Emtrizitabin-Dosis über einen 3-stündigen Dialysezeitraum, der innerhalb von 1,5 Stunden nach einer Emtrizitabin-Dosierung (Blutflussrate von 400 ml pro Minute und einer Dialysatströmungsrate von 600 ml pro Minute) beginnt. Es ist nicht bekannt, ob Emtricitabin durch Peritonealdialyse entfernt werden kann.
Tenofovir DF
Eine begrenzte klinische Erfahrung in Dosen höher als die therapeutische Dosis von Viread® 300 mg ist verfügbar. In einer Studie wurde 600 mg TDF (2 -mal der Dosierung in Stribild) 8 Probanden 28 Tage lang mündlich verabreicht, und es wurden keine schwerwiegenden Nebenwirkungen gemeldet. Die Auswirkungen höherer Dosen sind nicht bekannt. Tenofovir wird durch Hämodialyse mit einem Extraktionskoeffizienten von ca. 54%effizient entfernt. Nach einer einzelnen 300 mg Viread-Dosis wurde eine 4-stündige Hämodialyse-Sitzung ungefähr 10% der verabreichten Tenofovir-Dosis entfernt.
Kontraindikationen for Stribild
Die gleichzeitige Verabreichung von Stribild ist mit Arzneimitteln kontraindiziert, die in hohem Maße von CYP3A abhängen, um die Clearance zu erzielen und für die erhöhte Plasmakonzentrationen mit schwerwiegenden und/oder lebensbedrohlichen Ereignissen verbunden sind. Diese Medikamente und andere kontraindizierte Arzneimittel (die zu einer verringerten Wirksamkeit von Stribild und einer möglichen Resistenz führen können) sind nachstehend aufgeführt [siehe Wechselwirkungen mit Arzneimitteln Und Klinische Pharmakologie ].
- Alpha-1-Adrenorezeptor-Antagonist: Alfuzosin
- Antikonvulsiva: Carbamazepin Phenobarbital phable
- Antimykobakterien: Rifampin
- Antipsychotika: Lurasidone Pimozid
- Ergot -Derivate: Dihydroergotamin Ergotamin Methylergonovin
- GI Motility Agent: Cisapride
- Kräuterprodukte: St. Johns Würze (Hypericum Perforatum)
- Lipid-modifizierende Mittel: Lomitapide Lovastatin Simvastatin
- Phosphodiesterase-5 (PDE-5) Inhibitor: Sildenafil, wenn er als Revatio® zur Behandlung von pulmonaler arterieller Hypertonie verabreicht wird
- Beruhigungsmittel/Hypnotik: Trizolam orally administered midazolam
Klinische Pharmakologie for Stribild
Wirkungsmechanismus
Streng is a fixed-dose combination of antiretroviral drugs elvitegravir (boosted by the CYP3A inhibitor cobicistat) emtricitabine Und TDF [sehen Mikrobiologie ].
Pharmakodynamik
Auswirkungen auf das Elektrokardiogramm
Für ElviteGravir und Cobicistat wurden gründliche QT -Studien durchgeführt. Die Wirkung der beiden anderen Komponenten Tenofovir und Emtricitabin oder des Kombinationsprogramms auf das QT -Intervall ist nicht bekannt.
Prinzip
In einer gründlichen QT/QTC -Studie an 126 gesunden Probanden Elvitegravir (koadministeriert mit 100 mg Ritonavir) 125 mg und 250 mg (NULL,83 und 1,67 -mal die Dosis in Stribild) beeinflussten das QT/QTC -Intervall nicht und verlängerte das PR -Intervall nicht.
Cobicistat
In einer gründlichen QT/QTC -Studie an 48 gesunden Probanden hatte eine einzelne Dosis Cobicistat 250 mg und 400 mg (NULL,67 und das 2,67 -fache der Dosis in Stribild) das QT/QTC -Intervall nicht beeinflusst. Die Verlängerung des PR -Intervalls wurde bei Probanden festgestellt, die Cobicistat erhielten. Der maximale mittlere (95% obere Konfidenzgebundenen) Differenz in der PR von Placebo nach der Basiskorrektur betrug 9,5 (NULL,1) MSC für die 250 mg Cobicistat-Dosis und 20,2 (NULL,8) für die 400 mg Cobicistat-Dosis. Da die in der Kombinationstablette mit fester Dosis mit fester Dosis verwendete Dosis von 150 mg Cobicistat unter der in der gründlichen QT-Studie untersuchten niedrigsten Dosis ist, ist es unwahrscheinlich, dass die Behandlung mit Strippild zu einer klinisch relevanten PR-Verlängerung führt.
Auswirkungen auf Serumkreatinin
Die Wirkung von Cobicistat auf Serumkreatinin wurde in einer Phase -1 -Studie bei Probanden mit einem EGFR von mindestens 80 ml pro Minute (n = 18) und mit einem EGFR von 50 bis 79 ml pro Minute (n = 12) untersucht. Eine statistisch signifikante Änderung von EGFR von der Basislinie wurde nach 7 Tagen Behandlung mit Cobicistat 150 mg bei Probanden mit einem EGFR von mindestens 80 ml pro Minute (-9,9 ± 13,1 ml/min) und Probanden mit einem EGFR von 50 bis 79 ml pro Minute (-11,9 ± 7,0 ml pro Minute) beobachtet. Diese Abnahmen bei EGFR waren reversibel, nachdem Cobicistat abgesetzt worden war. Die tatsächliche glomeruläre Filtrationsrate, die durch die Clearance von Probondrogen -Iohexol bestimmt wurde, wurde nach der Behandlung von Cobicistat bei Probanden mit einem EGFR von mindestens 50 ml pro Minute nicht verändert, was darauf hinweist, dass Cobicistat die tubuläre Sekretion von Kreatinin als Verringerung der EGFR hemmt, ohne die tatsächliche Glomerularfiltrationsrate zu beeinflussen.
Pharmakokinetik
Die pharmakokinetischen Eigenschaften der Streikkomponenten sind in Tabelle 6 dargestellt.
Tabelle 6: pharmakokinetische Eigenschaften der Bestandteile von Stribild
| Prinzip | Cobicistat | Emtricitabine | Tenofovir | |
| Absorption | ||||
| Tmax (h) | 4 | 3 | 3 | 2 |
| Einfluss der leichten Mahlzeit (im Vergleich zum Fasten)* | ↑ 34% (↑ 19 ↑ 51) | ↑ 3% (↓ 10 ↑ 17) | ↓ 5% (↓ 9 0) | ↑ 24% (↑ 18 ↑ 30) |
| Auswirkung von Fettmehl (relativ zum Fasten)* | ↑ 87% (↑ 66 ↑ 110) | ↓ 17% (↓ 27 ↓ 5) | ↓ 4% (↓ 8 0) | ↑ 23% (↑ 17 ↑ 29) |
| Verteilung | ||||
| % An menschliche Plasmaproteine gebunden | -99 | -98 | <4 | <0.7 |
| Quelle für Proteinbindungsdaten | Ex leben | In vitro | In vitro | In vitro |
| Blut-zu-Plasma-Verhältnis | 0.73 | 0.5 | 0.6 | NC |
| Stoffwechsel | ||||
| Stoffwechsel | CYP3A (Major) UGT1A1/3 (Moll) | CYP3A (Major) CYP2D6 (Moll) | Nicht signifikant metabolisiert | |
| Beseitigung | ||||
| Hauptausscheidungsweg | Stoffwechsel | Glomeruläre Filtration und aktive tubuläre Sekretion | ||
| T½ (h) † | 12.9 | 3.5 | 10 | 12-18 |
| % Der im Urin ausgeschiedenen Dosis ‡ | 6.7 | 8.2 | 70 | 70-80 |
| % Der in Kot ausgeschiedenen Dosis ‡ | 94.8 | 86.2 | 13.7 | NC |
| NC=Not Calculated *Werte beziehen sich auf die mittlere systemische Exposition (90% -Konfidenzintervall). Stribildlichtmahlzeit = ~ 373 kcal 20% Fett; Streiks hohe Fettmehl = ~ 800 kcal 50% Fett. Erhöhung = ↑; Abnahme = ↓ † Werte beziehen sich auf die mediane Klemme ½ Plasma-Halbwertszeit. ‡ Dosierung in Massenbilanzstudien: ElviteGravir (Einzeldosisverabreichung von [ 14 C] Elvitegravir mit 100 mg RTV); Cobicistat (Eindosis-Verabreichung von [ 14 C] Cobicistat nach mehreren Tagen Cobicistat); Emtricitabin (einzelne Dosisverabreichung von [ 14 C] emtrizitabin nach mehreren Dosierung von Emtricitabin für zehn Tage); Massenbilanzstudie nicht für Tenofovir durchgeführt. |
Tabelle 7: Pharmakokinetische Parameter von Elvitegravir Cobicistat Emtricitabin und Tenofovir-Exposition nach oraler Verabreichung von Streibild bei HIV-infizierten Probanden
| Parametermittelwert ± SD [Bereich min: max] | Prinzip* | Cobicistat† | Emtricitabine† | Tenofovir† |
| Cmax (Mikrogramm pro ml) | 1,7 ± 0,4 [0,4: 3,7] | 1,1 ± 0,4 [0,1: 2,1] | 1,9 ± 0,5 [0,6: 3,6] | 0,45 ± 0,2 [0,2: 1,2] |
| Auctau (Mikrogramm • Stunde pro ml) | 23,0 ± 7,5 [4,4: 69,8] | 8,3 ± 3,8 [0,5: 18,3] | 12,7 ± 4,5 [5,2: 34,1] | 4,4 ± 2,2 [2,1: 18,2] |
| C -Trog (Mikrogramm pro ml) | 0,45 ± 0,26 [0,05: 2,34] | 0,05 ± 0,13 [0,01: 0,92] | 0,14 ± 0,25 [0,04: 1,94] | 0,10 ± 0,08 [0,04: 0,58] |
| SD = Standardabweichung *Aus der pharmakokinetischen Bevölkerung n = 419. † aus intensivem pharmakokinetischen Analyse n = 61 € 62 außer Cobicistat Ctrough N = 53. |
Spezifische Populationen
Geriatrische Patienten
Die Pharmakokinetik von ElviteGravir Cobicistat Emtricitabin und Tenofovir wurde bei Patienten mit älteren Menschen (65 Jahre und älter) nicht vollständig bewertet [siehe Verwendung in bestimmten Populationen ].
Pädiatrische Patienten
Die Expositionen (AUC) von ElviteGravir und Tenofovir bei 14 pädiatrischen Probanden im Alter von 12 bis weniger als 18 Jahren, die in Studie 112 Streibild erhielten, waren um 30% bzw. 37% erhöht, verglichen mit der Exposition, die bei Erwachsenen nach Verabreichung von Streikanpassungen anerkannt wurden, aufgrund des Gesamtsicherheitsprofils dieser Agents und der Expositionsbewertung der Expositionssicherheit als akzeptabel angesehen wurden. Die anderen Bestandteile von Stribild hatten ähnliche Expositionen bei Jugendlichen im Vergleich zu Erwachsenen [siehe Verwendung in bestimmten Populationen ].
Emtricitabine has been studied in pediatric subjects from 3 months to 17 years of age. TDF has been studied in pediatric subjects from 2 years to less than 18 years of age. The pharmacokinetics of elvitegravir or cobicistat in pediatric subjects less than 12 years of age have not been established [sehen Verwendung in bestimmten Populationen ].
Rassengeschlecht
Auf der Grundlage von Rasse oder Geschlecht wurden keine klinisch signifikanten Unterschiede in der Pharmakokinetik von Stribild identifiziert.
Patienten mit Nierenbehinderung
Prinzip And Cobicistat
Eine Studie zur Pharmakokinetik von Cobicistat ElviteGravir wurde bei gesunden Probanden und Probanden mit schwerer Nierenbeeinträchtigung durchgeführt (geschätzte Kreatinin -Clearance von weniger als 30 ml pro Minute). Es wurden keine klinisch relevanten Unterschiede in der Pharmakokinetik von ElviteGravir oder Cobicistat zwischen gesunden Probanden und Probanden mit schwerer Nierenbeeinträchtigung beobachtet.
Emtricitabine And TDF
ist Soma 350 mg ein Narkotikum
Die Pharmakokinetik von Emtricitabin und Tenofovir wird bei Probanden mit geschätzter Kreatinin-Clearance unter 50 ml pro Minute oder mit Nierenerkrankungen im Endstadium, die eine Dialyse (ESRD) erfordert, verändert (Tabelle 8) [siehe WARNUNGS AND VORSICHTSMASSNAHMEN Und Verwendung in bestimmten Populationen ].
Tabelle 8: Pharmakokinetische Parameter von Emtricitabin* und Tenofovir † bei Erwachsenen mit unterschiedlichen Nierenfunktionen
| Parametermittelwert ± SD | Kreatinin -Clearance (ml/min) | ||||
| > 80 | 50-80 | 30-49 | <30 | Esrd ‡ | |
| Emtricitabine | N = 6 | N = 6 | N = 6 | N = 5 | N = 5 |
| Aucinf (Mikrogramm-HR pro ml) | 11,8 ± 2,9 | 19,9 ± 1,2 | 25,1 ± 5,7 | 33,7 ± 2,1 | 53,2 ± 9,9 |
| Cmax (Mikrogramm pro ml) | 2,2 ± 0,6 | 3,8 ± 0,9 | 3,2 ± 0,6 | 2,8 ± 0,7 | 2,8 ± 0,5 |
| Tenofovir | N = 3 | N = 10 | N = 8 | N = ll | N = 9 |
| Aucinf (Mikrogramm-HR pro ml) | 2,18 ± 0,26 | 3,06 ± 0,93 | 6,01 ± 2,50 | 15,98 ± 7,22 | 44,90 ± 12,96 |
| Cmax (Mikrogramm pro ml) | 0,34 ± 0,03 | 0,33 ± 0,06 | 0,37 ± 0,16 | 0,60 ± 0,19 | 1,06 ± 0,25 |
| SD = Standardabweichung *200 mg einzelne Dosis Emtrizitabin † 300 mg Einzeldosis TDF ‡ ESRD -Probanden, die Dialyse benötigen |
Patienten mit Leberbehinderung
Prinzip And Cobicistat
Eine Studie zur Pharmakokinetik von Cobicistat ElviteGravir wurde bei gesunden Probanden und Probanden mit mittelschwerer Leberfunktionsstörung (Child-Pugh-Klasse B) durchgeführt. Es wurden keine klinisch relevanten Unterschiede in der Pharmakokinetik von ElviteGravir oder Cobicistat zwischen Probanden mit mittelschwerer Leberbeeinträchtigungen und gesunden Probanden beobachtet. Die Wirkung einer schweren Leberbeeinträchtigung (Kinder-Pugh-Klasse C) auf die Pharmakokinetik von ElviteGravir oder Cobicistat wurde nicht untersucht [siehe Verwendung in bestimmten Populationen ].
Emtricitabine
Die Pharmakokinetik von Emtricitabin wurde bei Probanden mit Leberbeeinträchtigung nicht untersucht. Emtrizitabin wird jedoch durch Leberenzyme nicht signifikant metabolisiert, sodass der Einfluss der Leberbeeinträchtigung begrenzt sein sollte.
Tenofovir DF
Die Pharmakokinetik von Tenofovir nach einer Viread-Dosis von 300 mg wurde bei gesunden Probanden mit mittelschwerer bis schwerer Leberbeeinträchtigung (Child-Pugh-Klasse C) untersucht. Es wurden keine klinisch relevanten Unterschiede in der Tenofovir -Pharmakokinetik zwischen Probanden mit Leberbeeinträchtigung und gesunden Probanden beobachtet.
Hepatitis B und/oder Hepatitis -C -Virus -Coinfektion
Prinzip
Begrenzte Daten aus der pharmakokinetischen Bevölkerungsanalyse (n = 24) zeigten, dass die Hepatitis B- und/oder C-Virusinfektion keine klinisch relevante Wirkung auf die Exposition von Cobicistat-gesteigerten Elvitegravir hatte.
Cobicistat
In den klinischen Studien gab es nicht genügend pharmakokinetische Daten, um die Wirkung der Hepatitis B- und/oder C -Virusinfektion auf die Pharmakokinetik von Cobicistat zu bestimmen.
Emtricitabine And TDF
Die Pharmakokinetik von Emtricitabin und TDF wurde bei Probanden, die mit Hepatitis B und/oder C -Virus zusammengefasst wurden, nicht vollständig bewertet.
Bewertung der Wechselwirkungen mit Arzneimitteln
[sehen Kontraindikationen Und Wechselwirkungen mit Arzneimitteln ]
Die beschriebenen Wechselwirkungsstudien für Arzneimittel-Drogen wurden mit Stribild ElviteGravir (koadministeriert mit Cobicistat oder RTV) oder Cobicistat durchgeführt, die allein verabreicht wurden.
Da Stribild für die Verwendung als vollständiges Regime für die Behandlung von HIV-1-Infektionen angezeigt wird und nicht mit anderen antiretroviralen Medikamenteninformationen zu Wechselwirkungen mit Arzneimittelmedikamenten mit anderen antiretroviralen Wirkstoffen verabreicht werden sollte.
Die Auswirkungen von koadministierten Arzneimitteln auf die Exposition von Elvitegravir -Emtrizitabin und Tenofovir sind in Tabelle 9 Tabelle 10 bzw. Tabelle 11 dargestellt. Die Auswirkungen von Elvitegravir plus Cobicistat oder Cobicistat oder Emtricitabin auf die Exposition von koadministierten Arzneimitteln sind in Tabelle 12 gezeigt.
Informationen zu klinischen Empfehlungen [siehe Wechselwirkungen mit Arzneimitteln ].
Tabelle 9: Wechselwirkungen mit Arzneimitteln: Veränderungen der pharmakokinetischen Parameter für Elvitegravir in Gegenwart des koadministrateten Arzneimittels
| Koadministeriertes Medikament | Dese 0f Coadministered Medikament | Prinzip Dose (mg) | Cobicistat or RTV Booster Dose (mg) | N | Mittleres Verhältnis von elvitegravir pharmakokinetischen Parametern (90% CI); Kein Effekt = 1,00 | ||
| Cmax | AUC | Cmin | |||||
| Maximale Stärke Antazida † | 20 ml Einzeldosis 4 Stunden vor ElviteGravir gegeben | 50 Einzeldosis | RTV 100 Einzeldosis | 8 | 0,95 (NULL,841,07) | 0,96 (NULL,881,04) | 1,04 (NULL,93 1,17) |
| 20 ml Einzeldosis, die 4 Stunden nach Elvitegravir gegeben ist | 10 | 0,98 (NULL,881,10) | 0,98 (NULL,911,06) | 1,00 (NULL,901.11) | |||
| 20 ml Einzeldosis 2 Stunden vor Elvitegravir gegeben | 11 | 0,82 (NULL,740,91) | 0,85 (NULL,790,91) | 0,90 (NULL,820,99) | |||
| 20 ml Einzeldosis 2 Stunden nach Elvitegravir gegeben | 10 | 0,79 (NULL,710,88) | 0,80 (NULL,750,86) | 0,80 (NULL,730,89) | |||
| Atorvastatin | 10 mg Einzeldosis | 150 einmal täglich ‡ | Cobicistat 150 einmal täglich ‡ | 16 | 0,91 (NULL,850,98) | 0,92 (NULL,870,98) | 0,88 (NULL,810,96) |
| Carbamazepin | 200 mg zweimal täglich | 150 einmal täglich | Cobicistat 150 einmal täglich | 12 | 0,55 (NULL,490,61) | 0,31 (NULL,280,33) | 0,03 (NULL,02 0,04) |
| Famotidin | 40 mg einmal täglich 12 Stunden nach ElviteGravir | 150 einmal täglich | Cobicistat 150 einmal täglich | 10 | 1,02 (NULL,891,17) | 1,03 (NULL,951,13) | 1,18 (NULL,05 1,32) |
| 40 mg einmal täglich gleichzeitig mit ElviteGravir gegeben | 16 | 1,00 (NULL,921.10) | 1,03 (NULL,981,08) | 1,07 (NULL,98 1,17) | |||
| Ketoconazol | 200 mg zweimal täglich | 150 einmal täglich | RTV 100 einmal täglich | 18 | 1.17 (1.041.33) | 1,48 (1.361.62) | 1,67 (NULL,48 1,88) |
| LEDIPASVIR/SOFOSBUVIR | 90/400 mg einmal täglich | 150 einmal täglich | Cobicistat 150 einmal täglich § | 29 | 0,88 (NULL,820,95) | 1,02 (NULL,951.09) | 1,36 (NULL,23 1,49) |
| Omeprazol | 40 mg einmal täglich 2 Stunden vor Elvitegravir gegeben | 50 einmal täglich | RTV 100 einmal täglich | 9 | 0,93 (NULL,831,04) | 0,99 (NULL,911,07) | 0,94 (NULL,85 1,04) |
| 20 mg einmal täglich 2 Stunden vor Elvitegravir gegeben | 150 einmal täglich | Cobicistat 150 einmal täglich | 11 | 1.16 (1.041.30) | 1.10 (1.021.19) | 1,13 (NULL,96 1,34) | |
| 20 mg einmal täglich 12 Stunden nach ElviteGravir | 11 | 1,03 (NULL,921,15) | 1,05 (NULL,931,18) | 1,10 (NULL,92 1,32) | |||
| Rifabutin | 150 mg einmal an jedem otier Tag | 150 einmal täglich | Cobicistat 150 einmal täglich | 12 | 0,91 (NULL,840,99) | 0,79 (NULL,740,85) | 0,33 (NULL,27 0,40) |
| Rosuvastatin | 10 mg Einzeldosis | 150 einmal täglich | Cobicistat 150 einmal täglich | 10 | 0,94 (NULL,831,07) | 1,02 (NULL,911.14) | 0,98 (NULL,83 1,16) |
| Sertraline | 50 mg Einzeldosis | 150 einmal täglich ‡ | Cobicistat 150 einmal täglich ‡ | 19 | 0,88 (NULL,820,93) | 0,94 (NULL,890,98) | 0,99 (NULL,93 1,05) |
| Sofosbuvir/Velpatasvir | 400/100 mg einmal täglich | 150 einmal täglich¶ | Cobicistat 150 einmal täglich¶# | 24 | 0,93 (NULL,861,00) | 0,93 (NULL,870,99) | 0,97 (NULL,91 1,04) |
| Sofosbuvir/Velpatasvir Voxilaprevir | 400/100/100 100 Voxilaprevir einmal täglich Þ | 150 einmal täglich ‡ | Cobicistat 150 einmal täglich ‡ | 29 | 0,79 (NULL,750,85) | 0,94 (NULL,881,00) | 1,32 (NULL,17 1,49) |
| *Alle Interaktionsstudien an gesunden Freiwilligen. † Die maximale Stärke Antazida enthielt 80 mg Aluminiumhydroxid 80 mg Magnesiumhydroxid und 8 mg Simethicon pro ml. ‡ Studie mit Genvoya® (ElviteGravir/Cobicistat/Emtricitabin/Tenofovir Alafenamid). §PERCTS -Änderung der PK -Parameter (90% CI) betrug 1,25 (NULL,18 bis 1,32) für CMAX 1,59 (NULL,49 bis 1,70) für AUC und 4,25 (NULL,47 bis 5,22) für Cmin. ¶Study mit Stribild geleitet. ÞStudy mit zusätzlichem Voxilaprevir 100 mg, um Voxilaprevir-Expositionen zu erreichen, die bei HCV-infizierten Patienten erwartet werden |
Tabelle 10: Wechselwirkungen mit Arzneimitteln: Veränderungen der pharmakokinetischen Parameter für Emtricitabin in Gegenwart des koadministrateten Arzneimittels*
| Koadministeriertes Medikament | Dosis von Coadministered Drug (MG) | Emtricitabine Dose (mg) | N | Mittleres Verhältnis von emtrizitabinischen pharmakokinetischen Parametern (90%CI); Kein Effekt = 1,00 | ||
| Cmax | AUC | Cmin | ||||
| Famciclovir | 500 Einzeldosis | 200 Einzeldosis | 12 | 0.90 (NULL,80 1,01) | 0.93 (NULL,870,99) | NC |
| NC=Not calculated *Alle Interaktionsstudien, die an gesunden Freiwilligen durchgeführt werden |
Tabelle 11: Wechselwirkungen mit Arzneimitteln: Veränderungen der pharmakokinetischen Parameter für Tenofovir in Gegenwart des koadministierten Arzneimittels*
| Koadministeriertes Medikament | Dosis von Coadministered Drug (MG) | TDF -Dosis (mg) | N | Mittleres Verhältnis von Tenofovir -pharmakokinetischen Parametern (90%CI); Kein Effekt = 1,00 | ||
| Cmax | AUC | Cmin | ||||
| Sofosbuvir/Velpatasvir | 400/100 einmal täglich | 300 einmal täglich † † | 24 | 1.36 (NULL,25 1,47) | 1.35 (1.29 1,42) | 1.45 (1.39 1,51) |
| *Alle Interaktionsstudien an gesunden Freiwilligen. † Studie mit Streibild. |
Tabelle 12: Wechselwirkungen mit Arzneimitteln: Veränderungen der pharmakokinetischen Parameter für das koadministierte Arzneimittel in Gegenwart von Elvitegravir plus Cobicistat Cobicistat Emtrictabin oder Stribild*
| Koadministeriertes Medikament | Dosis von Coadministered Drug (MG) | Prinzip Dose†(mg) | Cobicistat Booster Dose (mg) | FTC -Dosis (Mg) | N | Mittleres Verhältnis von koadministratierten pharmakokinetischen Parametern von Arzneimitteln (90% CI); Kein Effekt = 1,00 | ||
| Cmax | AUC | Cmin | ||||||
| Atorvastatin | 10 Einzeldosis | 150 einmal täglich§ | 150 einmal täglich § | 200 einmal täglich § | 16 | 2.32 (NULL,91 2,82) | 2.60 (2.31 2,93) | NC |
| Buprenorphin | 16-24 einmal täglich | 150 einmal täglich | 150 einmal täglich | N / A | 17 | 1.12 (NULL,98 1,27) | 1.35 (1.18 1,55) | 1.66 (1.43 1,93) |
| Norbuprenorphin | 1.24 (1.03 1.49) | 1.42 (1.22 1,67) | 1.57 (NULL,31 1,88) | |||||
| Carbamazepin | 200 zweimal täglich | 150 einmal täglich | 150 einmal täglich | N / A | 12 | 1.40 (1.32 1,49) | 1.43 (NULL,36 1,52) | 1.51 (1.41 1,62) |
| Carbamazepin-1011-epoxide | 0.73 (NULL,70 0,78) | 0.65 (NULL,63 0,66) | 0.59 (NULL,57 0,61) | |||||
| Beschreibung | 50 Einzeldosis | N / A | 150 einmal täglich | N / A | 8 | 1.24 (1.08 1,44) | 1.65 (1.36 2.02) | NC |
| Digoxin | 0,5 Einzeldosis | N / A | 150 einmal täglich | N / A | 22 | 1.41 (NULL,29 1,55) | 1.08 (1.00 1.17) | NC |
| Famciclovir | 500 Einzeldosis | N / A | N / A | 200 Einzeldosis | 12 | 0.93 (NULL,78 1,11) | 0.91 (NULL,84 0,99) | NC |
| Ledipasvir | 90/400 einmal täglich | 150 einmal täglich | 150 einmal täglich | N / A | 29 | 1.63 (NULL,51 1,75) | 1.78 (1.64 1,94) | 1.91 (1.76 2.08) |
| Sofosbuvir | 1.33 (1.14 1,56) | 1.36 (1.21 1,52) | N / A | |||||
| GS-331007¶. | 1.33 (NULL,22 1,44) | 1.44 (1.41 1,48) | 1.53 (1.47 1,59) | |||||
| Naloxon | 4-6 einmal täglich | 150 einmal täglich | 150 einmal täglich | N / A | 17 | 0.72 (NULL,61 0,85) | 0.72 (NULL,59 0,87) | N / A |
| Norstimate/ Ethinyl -Östradiol | 0,180/ 0,215/ 0,250 Norstimate einmal täglich | 150 einmal täglich# | 150 einmal täglich# | 200 einmal täglich | 13 | 2.08 (2.00 2.17) | 2.26 (2.15 2.37) | 2.67 (2.43 2,92) |
| 0,025 Ethinyl -Östradiol einmal täglich | 0.94 (NULL,86 1,04) | 0.75 (NULL,69 0,81) | 0.56 (NULL,52 0,61) | |||||
| R-Methadon | 80-120 daily | 150 einmal täglich | 150 einmal täglich | N / A | 11 | 1.01 (NULL,91 1,13) | 1.07 (NULL,96 1,19) | 1.10 (NULL,95 1,28) |
| S-Methadon | 0.96 (NULL,87 1,06) | 1.00 (NULL,89 1,12) | 1.02 (NULL,89 1,17) | |||||
| Sofosbuvir | 400/100 einmal täglich | 150 einmal täglich# | 150 einmal täglich# | 200 einmal täglich | 24 | 1.01 (NULL,85 1,19) | 1.24 (1.13 1,37) | N / A |
| GS-331007¶. | 1.13 (1.07 1.18) | 1.35 (1.30 1.40) | 1.45 (NULL,38 1,52) | |||||
| Velpatasvir | 1.05 (NULL,93 1,19) | 1.19 (1.07 1,34) | 1.37 (NULL,22 1,54) | |||||
| Sofosbuvir | 400/100/100 100 VoxilaprevirÞonce täglich | 150 einmal täglich§ | 150 einmal täglich § | 200 einmal täglich § | 29 | 1.27 (109 1.48) | 1.22 (1.12 1,32) | NC |
| GS-3 31007¶. | 1.28 (NULL,25 1,32) | 1.43 (1.39 1,47) | NC | |||||
| Velpatasvir | 0.96 (NULL,89 1,04) | 1.16 (1.06 1.27) | 1.46 (NULL,30 1,64) | |||||
| Voxilaprevir | 1.92 (NULL,63 2,26) | 2.71 (2.30 3.19) | 4.50 (3.68 5,50) | |||||
| Rifabutin | 150 einmal jeden zweiten Tag | 150 einmal täglich | 150 einmal täglich | N / A | 12 | 1.09 (NULL,98 1,20) b | 0.92 (NULL,83 1,03) 15 | 0.94 (NULL,85 1,04) b |
| 25-Ozeacetyl-Rifabutin | 12 | 4.84 (4.09 5.74) b | 6.25 (5.08 7.69) b | 4.94 (4.04 6.04) b | ||||
| Rosuvastatin | 10 Einzeldosis | 150 einmal täglich | 150 Einzeldosis | N / A | 10 | 1.89 (NULL,48 2.42) | 1.38 (1.14 1,67) | NC |
| Sertraline | 50 Einzeldosis | 150 einmal täglich§ | 150 einmal täglich § | 200 einmal täglich § | 19 | 1.14 (NULL,94 1,38) | 0.93 (NULL,77 1,13) | N / A |
| Ftc = emtrizitabin *Alle Interaktionsstudien an gesunden Freiwilligen. † Na = nicht anwendbar ‡ NC = nicht berechnet §Study mit Genvoya durchgeführt. Der vorherrschende zirkulierende Nukleosidmetabolit von Sofosbuvir. Þ Studie mit zusätzlichem Voxilaprevir 100 mg, um Voxilaprevir-Expositionen zu erreichen, die bei HCV-infizierten Patienten erwartet werden β -Comparison basierend auf Rifabutin 300 mg einmal täglich. |
Mikrobiologie
Wirkungsmechanismus
Prinzip
Prinzip inhibits the strUnd transfer activity of HIV-1 integrase (integrase strUnd transfer inhibitor; INSTI) an HIV-1 encoded enzyme that is required for viral replication. Inhibition of integrase prevents the integration of HIV-1 DN / A into host genomic DN / A blocking the formation of the HIV-1 provirus Und propagation of the viral infection. Prinzip does not inhibit human topoisomerases I or II.
Cobicistat
Cobicistat is a selective mechanism-based inhibitor of cytochromes P450 of the CYP3A subfamily. Inhibition of CYP3A-mediated metabolism by cobicistat enhances the systemic exposure of CYP3A substrates such as elvitegravir where bioavailability is limited Und half-life is shortened by CYP3A-dependent metabolism.
Emtricitabine
Emtricitabine a synthetic nucleoside analog of cytidine is phosphorylated by cellular enzymes to form emtricitabine 5'-triphosphate. Emtricitabine 5'-triphosphate inhibits the activity of the HIV-1 RT by competing with the natural substrate deoxycytidine 5'-triphosphate Und by being incorporated into nascent viral DN / A which results in chain termination. Emtricitabine 5'-triphosphate is a weak inhibitor of mammalian DN / A polymerases α β ε Und mitochondrial DN / A polymerase γ.
Tenofovir DF
Tenofovir DF is an acyclic nucleoside phosphonate diester analog of adenosine monophosphate. Tenofovir DF requires initial diester hydrolysis for conversion to tenofovir Und subsequent phosphorylations by cellular enzymes to form tenofovir diphosphate. Tenofovir diphosphate inhibits the activity of HIV-1 RT by competing with the natural substrate deoxyadenosine 5'-triphosphate Und after incorporation into DN / A by DN / A chain termination. Tenofovir diphosphate is a weak inhibitor of mammalian DN / A polymerases α β Und mitochondrial DN / A polymerase γ.
Antivirale Aktivität in der Zellkultur
Prinzip Cobicistat Emtricitabine And TDF
Die dreifache Kombination von Elvitegravir -Emtrizitabin und Tenofovir war in antiviralen Aktivitätstests der Zellkultur nicht antagonistisch und wurde nicht durch die Zugabe von Cobicistat beeinflusst.
Prinzip
Die antivirale Aktivität von Elvitegravir gegen Labor- und klinische Isolate von HIV-1 wurde in T-Lymphoblastoid-Zelllinien Monozyten/Makrophagenzellen und primären peripheren Blutlymphozyten bewertet. Die 50% wirksamen Konzentrationen (EC) 50 ) lag zwischen 0,02 und 1,7 nm. Elvitegravir zeigte eine antivirale Aktivität in der Zellkultur gegen HIV-1-Kladen A B C d e f G und O (EC) 50 Die Werte lagen zwischen 0,1 und 1,3 nm) und die Aktivität gegen HIV-2 (EC) 50 Wert von 0,53 nm). ElviteGravir zeigte keine Hemmung der Replikation von HBV oder HCV in der Zellkultur.
Cobicistat
Cobicistat has no detectable Virostatikum activity in cell culture against HIV-1 HBV or HCV Und does not antagonize the Virostatikum activity of elvitegravir emtricitabine or tenofovir.
Emtricitabine
Die antivirale Aktivität von Emtrizitabin gegen Labor- und klinische Isolate von HIV-1 wurde in T-Lymphoblastoid-Zelllinien der MAGI-CCR5-Zelllinie und der mononukleären Zellen des peripheren Blutbluts bewertet. Die EC 50 Die Werte für Emtrizitabin lagen im Bereich von 0,0013 € mikromolar. Emtricitabin zeigte eine antivirale Aktivität in der Zellkultur gegen HIV-1-Kladen A B C D E F und G (EC) 50 Die Werte lagen zwischen 0,007 € 0,075 mikromolar) und zeigten eine stammspezifische Aktivität gegen HIV-2 (EC 50 Die Werte lagen zwischen 0,007 € 1,5 mikromolar).
Tenofovir DF
Die antivirale Aktivität von Tenofovir gegen Labor- und klinische Isolate von HIV-1 wurde in T-Lymphoblastoidzelllinien primäre Monozyten/Makrophagen-Zellen und periphere Blutlymphozyten bewertet. Die EC 50 Die Werte für Tenofovir lagen im Bereich von 0,04 € 8,5 mikromolar. Tenofovir zeigte eine antivirale Aktivität in der Zellkultur gegen HIV-1-Kladen A B C D E F G und O (EC) 50 Die Werte lagen zwischen 0,5 € 2,2 mikromolar) und zeigten eine stammspezifische Aktivität gegen HIV-2 (EC 50 Die Werte lagen zwischen 1,6 € 5,5 mikromolar).
Widerstand
In der Zellkultur
Prinzip
HIV-1 isolates with reduced susceptibility to elvitegravir have been selected in cell culture. Reduced susceptibility to elvitegravir was associated with the primary integrase substitutions T66A/I E92G/Q S147G Und Q148R. Additional integrase substitutions observed in cell-culture selection included D10E S17N H51Y F121Y S153F/Y E157Q D232N R263K Und V281M.
Emtricitabine And TDF
HIV-1 isolates with reduced susceptibility to emtricitabine or tenofovir have been selected in cell culture. Reduced susceptibility to emtricitabine was associated with M184V/I substitutions in HIV-1 RT. HIV-1 isolates selected by tenofovir expressed a K65R substitution in HIV-1 RT Und showed a 2â€4 fold reduction in susceptibility to tenofovir.
In klinischen Studien
Prinzip
Die Entwicklung von Substitutionen T66A/I/K E92G/Q T97A S147G Q148H/K/R und N155H im HIV-1-Integrase-Protein war hauptsächlich mit der Resistenz gegen Elvitegravir assoziiert. Zusätzlich zu diesen primären Elvitegravir-Resisten-assoziierten Substitutionen E92A F121C/Y P145S q146i/l/r und N155s wurden auch gelegentlich beobachtet und es wurde gezeigt, dass sie eine verringerte Anfälligkeit für Elvitegravir verleihen. In Virenisolaten, die die beobachteten primären elvitegravir-resistanz-assoziierten Substitutionen integriert haben
Emtricitabine And TDF
HIV-1 isolates with reduced susceptibility to emtricitabine or tenofovir have been selected in subjects experiencing virologic failure in clinical trials. Genotypic analysis of these isolates identified the M184V/I Und K65R amino acid substitutions in the viral RT respectively.
Prinzip Cobicistat Emtricitabine And TDF
In klinischen Studien mit HIV-1-infizierten Probanden ohne antiretrovirale Behandlungsgeschichte Studien 102 und 103 [siehe Klinische Studien ] by Week 144 the development of one or more primary substitutions associated with resistance to elvitegravir emtricitabine and/or tenofovir was observed in viruses from 51% (18/35) of the STRIBILD-treatment failure subjects with evaluable genotypic resistance data who received at least 8 weeks of STRIBILD and had HIV-1 RNA greater than or equal to 400 copies per mL at confirmed virologic failure the end of each study Jahr oder Zeit des frühen Studienmedikamentenabbruchs. Die häufigsten ausgetauschten Substitutionen waren M184V/I (n = 17) in HIV-1-RT und die primären Elvitegravir-Resistenz-assoziierten Substitutionen E92Q (n = 9) N155H (n = 5) Q148R (n = 3) T66i (n = 2) und T97A (n = 1) in Integrase; K65R in RT wurde ebenfalls festgestellt (n = 5). In Virus -Isolaten, die die beobachteten primären Elvitegravir -Resistenzsubstitutionen beherbergen, wurden zusätzliche Substitutionen in Integrase nachgewiesen, einschließlich H51Y L68I/V G70R I73V G140C S153A E157Q und G163R. Das Virus bei allen Probanden mit evaluierbaren Daten für RT und in und deren Virus entwickelte Integrase -Substitutionen, die mit Elvitegravir -Resistenz assoziiert waren (n = 14), auch die M184I/V -RT -Substitutionen und hatten eine verringerte Anfälligkeit für Elvitegravir und Emtrizitabin. In phänotypischen Analysen zeigten HIV-1-Isolate, die M184V/I-RT-Substitutionen exprimierten, eine verringerte Anfälligkeit für Emtrizitabin (42 bis mehr als 152-fach); Diejenigen, die die primären Elvitegravir-Resistenz-assoziierten Integrase-Substitutionen exprimierten, zeigten eine verringerte Anfälligkeit für Elvitegravir (4- bis größer als 198-fach); und diejenigen, die die K65R-RT-Substitution exprimierten, zeigten eine verringerte Anfälligkeit für Tenofovir (NULL,8 bis 1,6-fach) im Vergleich zu Wildtyp-Referenz-HIV-1.
In klinischen Studien mit virologisch unterdrückten HIV-1-infizierten Probanden ohne Vorgeschichte von virologischen Versagens Studien 115 und 121 gab Klinische Studien ] Schlussfolgerungen über die Entwicklung des Widerstands ziehen.
Kreuzresistenz
Streng-treatment failure subject isolates exhibited varying degrees of cross-resistance within the INSTI Und NRTI drug classes depending on the specific substitutions observed. These isolates remained susceptible to all NNRTIs Und protease inhibitors.
Prinzip
Bei INSTIS wurde eine Kreuzresistenz beobachtet. ElviteGravir-resistente Viren zeigten je nach Art und Anzahl der Substitutionen in der HIV-1-Integrase unterschiedliche Grad der Kreuzresistenz in der Zellkultur zu Raltegravir. Of the primary elvitegravir resistance-associated substitutions tested (T66A/I/K E92G/Q T97A S147G Q148H/K/R and N155H) all but three (T66I E92G and S147G) conferred greater than 1.5- fold reduced susceptibility to raltegravir (above the biological cutoff for raltegravir) when introduced Individuell in ein Wildtyp-Virus durch gezielte Mutagenese. Von den primären Raltegravir-Resistenz-assoziierten Substitutionen (Y143C/H/R Q148H/K/R und N155H) verliehen alle bis auf Y143C/H mehr als 2,5-fach-Verringerung der Anfälligkeit für Elvitegravir (über dem biologischen Grenzwert für ElviteGravir).
Emtricitabine
Bei NRTIs wurde eine Kreuzresistenz beobachtet. Emtricitabin-resistente Isolate, die einen M184V/I-Substitution in HIV-1 RT beherbergen, waren kreuzresistent gegenüber Lamivudin. HIV-1-Isolate, die die in vivo von Abacavir Didanosin und Tenofovir ausgewählte K65R-RT-Substitution enthalten, zeigten eine verringerte Anfälligkeit für die Hemmung durch Emtrizitabin.
Tenofovir DF
Bei NRTIs wurde eine Kreuzresistenz beobachtet. Die von Tenofovir ausgewählte K65R-Substitution in HIV-1-RT wird auch bei einigen mit Abacavir oder Didanosin behandelten HIV-1-infizierten Patienten ausgewählt. HIV-1-Isolate mit der K65R-Substitution zeigten auch eine verringerte Anfälligkeit für Emtrizitabin und Lamivudin. Daher kann eine Kreuzresistenz bei diesen NRTIs bei Patienten auftreten, deren Virus die K65R-Substitution beherbergt. Die k70E -Substitution, die klinisch durch TDF ausgewählt wurde, führt zu einer verringerten Anfälligkeit für Abacavir -Didanosin -Emtrizitabin -Lamivudin und Tenofovir. HIV-1-Isolate von Patienten (n = 20), deren HIV-1 einen Mittelwert von 3 Zidovudin-assoziierten RT-Aminosäure-Substitutionen (M41L D67N K70R L210W T215Y/F oder K219Q/E/N) exprimierte, zeigte eine 3,1-fache Abnahme der Suszeptibilität zu Tenofovir. Probanden, deren Virus eine L74V-RT-Substitution ohne Zidovudinresistenz-assoziierte Substitutionen (n = 8) exprimierten, hatten eine verringerte Reaktion auf TDF. Für Patienten sind begrenzte Daten verfügbar, deren Virus eine Y115F-Substitution (n = 3) Q151M-Substitution (n = 2) oder T69-Insertion (n = 4) in HIV-1-RT exprimiert hat, die alle in klinischen Studien reduziert wurden.
Klinische Studien
Beschreibung der klinischen Studien
Die Wirksamkeit und Sicherheit von Strippild wurde in den in Tabelle 13 zusammengefassten Studien bewertet.
Tabelle 13: Versuche, die mit Streibild bei Probanden mit HIV-1-Infektion durchgeführt wurden
| Versuch | Bevölkerung | Arme studieren (n)* | Zeitpunkt (Woche) |
| Studie 102 † ‡ | Erwachsene ohne antiretrovirale Behandlungsgeschichte | Streng (348) Atripla (352) | 144 |
| Studie 103 † ‡ | Streng (353) TRUVADA + atazanavir + ritonavir (355) | ||
| Studie 115 ‡ § | Virologisch unterdrückte Erwachsene ohne eine Vorgeschichte virologischer Versagen | Streng (293) TRUVADA + PI+ritonavir (140) | 48 |
| Studie 121 ‡ § | Streng (291) TRUVADA + NNRTI (143) | ||
| Studie 112 | Behandlungsnaive Jugendliche im Alter zwischen 12 und weniger als 18 Jahren | Streng (50) | 48 |
| *Randomisiert und dosiert. † Randomisierte doppelblinde aktive kontrollierte Studie. ‡ Patienten hatten beim Screening eine geschätzte Kreatinin -Clearance von mehr oder gleich 70 ml/min. §Randomisierte Open Label Active Controlled Trial. ¶Hiv-1 RNA weniger als 50 Kopien pro ml. |
Klinische Studie führt zu HIV-1-infizierten erwachsenen Probanden ohne antiretrovirale Behandlungsanamnese
In Studie 102 wurden die Probanden in einem Verhältnis von 1: 1 randomisiert, um einmal täglich oder einmal täglich ein Streik (n = 348) oder einmal täglich zu erhalten. Das Durchschnittsalter betrug 38 Jahre (Bereich 18 € 67) 89% waren männlich 63% weiß 28% waren schwarz und 2% waren asiatisch. 24 Prozent der als hispanischen/lateinamerikanischen Themen identifizierten Themen. Die mittlere Basis-Plasma-HIV-1-RNA betrug 4,8 logarithmische Kopien pro ml (Bereich 2,6 € 6,5). Die mittlere CD4 -Zellzahl der CD4 -Basis betrug 386 Zellen pro mm³ (Bereich 3 € 1348) und 13% hatten CD4 -Zellzahlen weniger als 200 Zellen pro mm³. Dreiunddreißig Prozent der Probanden hatten eine Basis-Virusbelastung von mehr als 100000 Kopien pro ml.
In Studie 103 wurden die Probanden in einem Verhältnis von 1: 1 randomisiert, um einmal täglich oder ATV 300 mg RTV 100 mg Truvada (n = 355) einmal täglich zu erhalten. Das Durchschnittsalter betrug 38 Jahre (Bereich 19 € 72) 90% waren männlich 74% Weiß 17% waren schwarz und 5% waren asiatisch. 16 Prozent der als hispanischen/latino identifizierten Probanden. Die mittlere Basis-Plasma-HIV-1-RNA betrug 4,8 logarithmische Kopien pro ml (Bereich 1,7 € 6,6). Die mittlere Basis -CD4 -Zellzahl betrug 370 Zellen pro mm³ (Bereich 5 € € € € € €) und 13% hatten die CD4 -Zellzahl von weniger als 200 Zellen pro mm³. Einundvierzig Prozent der Probanden hatten Viruslasten aus der Basis von mehr als 100000 Kopien pro ml.
In beiden Studien wurden die Probanden durch die Basis-HIV-1-RNA geschichtet (weniger als oder gleich 100000 Kopien pro ml oder mehr als 100000 Exemplaren pro ml). Die Behandlungsergebnisse der Studie 102 und der Studie 103 bis 144 Wochen sind in Tabelle 14 dargestellt.
Tabelle 14: Virologisches Ergebnis der randomisierten Behandlung von Studie 102 und Studie 103 in Woche 144*
| Studie 102 | Studie 103 | |||
| Streng N = 348 | Atripla N = 352 | Streng N = 353 | ATV RTV Truvada N = 355 | |
| Virologischer Erfolg | ||||
| HIV-1 RN / A <50 copies/mL | 80% | 75% | 78% | 75% |
| Behandlungsunterschied | 4,9% (95% dort = -1,3% 11,1%) | 3,1% (95% dort = -3,2% 9,4%) | ||
| Virologisches Versagen † | 7% | 10% | 8% | 7% |
| Keine virologischen Daten in Woche 144 Fenster | ||||
| Abgebrochene Studienmedikamente aufgrund von AE oder Tod ‡ abgebrochen | 6% | 8% | 6% | 8% |
| Aus anderer Gründe und zuletzt verfügbarer HIV-1-RNA eingestelltes Studienmedikament <50 copies/mL§ | 5% | 7% | 8% | 9% |
| Fehlende Daten während des Fensters, aber zum Studienmedikament | 1% | 0% | 1% | 1% |
| *Das Fenster in Woche-144 liegt zwischen Tag 967 und 1050 (inklusiv). † Beinhaltet Probanden mit ≥ 50 Kopien/ml in den Fensterpersonen in der Woche-144, die aufgrund von Mangel oder Verlust von Wirksamkeitsfächern frühzeitig aus anderen Gründen als einem unerwünschten Ereignis-Tod oder -Anmangel oder -verlust zum Zeitpunkt der Absagung eingestellt wurden, und hatte einen Viruswert von ≥ 50 Kopien/Ml. ‡ Beinhaltet Patienten, die aufgrund eines unerwünschten Ereignisses oder eines Todessteuers zu irgendeinem Zeitpunkt von Tag 1 bis zum Zeitfenster eingestellt wurden, wenn dies zu keinen virologischen Daten zur Behandlung während des angegebenen Fensters führte. § Includes Probanden, die aus anderen Gründen als einem nachteiligen Ereignis Tod oder Mangel oder Verlust der Wirksamkeit abgebrochen wurden, z. Einwilligungsverlust gegen Follow-up usw. zurückgezogen. |
In Studie 102 betrug der mittlere Anstieg gegenüber dem Ausgangswert in der CD4 -Zellzahl in Woche 144 298 Zellen pro mm³ bei den mit Strikten behandelten Probanden und 272 Zellen pro mm³ bei den von Attripla behandelten Probanden. In Studie 103 betrug der mittlere Anstieg gegenüber dem Ausgangswert in der CD4-Zellzahl in Woche 144 261 Zellen pro mm³ bei den mit Strippen behandelten Probanden und 269 Zellen pro mm³ bei den ATV RTV-TUVADA-behandelten Probanden.
Klinische Studie führt zu virologisch unterdrückten HIV-1-infizierten erwachsenen Probanden ohne virologische Versagen in der Anamnese
In Studie 115 mussten die Probanden entweder auf ihrem ersten oder zweiten antiretroviralen Regime ohne virologische Versagen ohne aktuelle oder frühere Vorgeschichte der Resistenz gegen die antiretroviralen Komponenten von Stribild liegen und müssen unterdrückt worden sein (HIV-1-RNA <50 copies/mL) on a ritonavirboosted PI in combination with TRUVADA for at least 6 months prior to screening. Subjects were rUndomized in a 2:1 ratio to either switch to Streng (Streng arm N=293; rUndomized Und dosed) or stay on their baseline antiretroviral regimen for 48 weeks (PI+RTV+TRUVADA arm N=140; rUndomized Und dosed). Subjects had a mean age of 41 years (range 21â€76) 86% were male 80% were White Und 15% were Black. The mean baseline CD4+ cell count was 610 cells per mm³ (range 74â€1919). At screening subjects were receiving atazanavir (40%) darunavir (40%) lopinavir (17%) fosamprenavir (3%) or saquinavir ( <1%) as the PI in their regimen.
In Studie 121 mussten die Probanden entweder auf ihrem ersten oder zweiten antiretroviralen Regime ohne virologische Versagen ohne aktuelle oder frühere Vorgeschichte der Resistenz gegen die antiretroviralen Komponenten von Stribild liegen und müssen unterdrückt worden sein (HIV-1-RNA <50 copies/mL) on a NNRTI in combination with TRUVADA for at least 6 months prior to screening. Subjects were rUndomized in a 2:1 ratio to either switch to Streng (Streng arm N=291; rUndomized Und dosed) or stay on their baseline antiretroviral regimen for 48 weeks (NNRTI+TRUVADA arm N = 143; rUndomized Und dosed). Subjects had a mean age of 41 years (range 20â€72); 93% were male 78% were White Und 17% were Black. The mean baseline CD4+ cell count was 588 cells per mm³ (range 100â€1614). RUndomization was stratified by use of efavirenz in the baseline regimen. At screening subjects were receiving efavirenz (78%) (predominantly as Atripla [74%]) nevirapine (17%) rilpivirine (4%) (as COMPLERA® [4%]) or etravirine (1%) as the NNRTI in their regimen.
Die virologischen Ergebnisse der Studie 115 und der Studie 121 sind in Tabelle 15 dargestellt. Fünf behandelte Probanden wurden von der Wirksamkeitsanalyse ausgeschlossen: In Studie 115 hatten drei strenge Probanden eine protokollbezügte dokumentierte Resistenz und ein Pi RTV-Truvada-Subjekt hatte keine Protease-Inhibitorie bei Screening. In Studie 121 hatte ein strenges Subjekt einen von Protokoll hergestellten dokumentierten Resistenz.
Tabelle 15: virologische Ergebnisse der randomisierten Behandlung in Studie 115 und Studie 121 in Woche 48
| Studie GS-US-236-0115* | Studie GS-US-236-0121* | |||
| Streng N = 290 | Pi RTV Truvada N = 139 | Streng N = 290 | Nnrti Truvada N = 143 | |
| Virologischer Erfolg HIV-1 RN / A <50 copies/mL | 94% | 87% | 93% | 88% |
| Virologisches Versagen † | 1% | 1% | 1% | 1% |
| Keine virologischen Daten in Woche 48 Fenster | 6% | 12% | 6% | 11% |
| Abgebrochene Studienmedikamente aufgrund von AE oder Tod ‡ abgebrochen | 2% | 1% | 2% | 1% |
| Aus anderer Gründe und zuletzt verfügbarer HIV-1-RNA eingestelltes Studienmedikament <50 copies/mL§ | 4% | 10% | 4% | 9% |
| Fehlende Daten während des Fensters, aber zum Studienmedikament | 0% | 0% | 0% | 1% |
| *Week-48-Fenster ist zwischen Tag 295 und 378 (inklusive). † Zu den Probanden mit ≥ 50 Exemplaren/ml in den Fensterpersonen in der Woche 48, die aufgrund von Mangel oder Verlust von Wirksamkeitsfächern frühzeitig aus anderen Gründen als einem unerwünschten Ereignis-Tod oder -Anmangel oder -verlust und zum Zeitpunkt der Absagung einen Viruswert von ≥ 50 Exemplaren/Ml abgebrochen wurden. ‡ Beinhaltet Probanden, die aufgrund eines unerwünschten Ereignisses oder eines Todessteuers zu irgendeinem Zeitpunkt von Tag 1 bis zum Zeitfenster eingestellt wurden, wenn dies zu keinen virologischen Daten zur Behandlung während des angegebenen Fensters führte. § Includes Probanden, die aus anderen Gründen als einem nachteiligen Ereignis Tod oder Mangel oder Verlust der Wirksamkeit abgebrochen wurden, z. Einwilligungsverlust gegen Follow-up usw. zurückgezogen. |
Klinische Studie resultiert zu HIV-1-Treatment-Na ¯ve jugendlichen Probanden im Alter von 12 bis weniger als 18 Jahren
In Studie 112 wurden die Wirksamkeitssicherheit und Pharmakokinetik von Stribild in einer einzelnen Gruppe mit offener Label bei HIV-1-infizierten Behandlungen bewertet, die Jugendliche im Alter von 12 bis weniger als 18 Jahren im Alter von mindestens 35 kg wiegen (n = 50). Das Durchschnittsalter betrug 15 Jahre (Bereich 12 € 17); 70% waren männlich 68% schwarz und 28% Asiaten. Zu Studienbeginn betrug der mittlere Plasma-HIV-1-RNA 4,60 Log-Kopien pro ml (Bereich 3,18 € 5,73), die mittlere CD4-Zellzahl 399 Zellen pro mm³ (Bereich 133 € 734) und der mittlere CD4-Prozentsatz betrug 20,9%(Bereich 4,5%€ 41,1%). Zwanzig Prozent hatten Basislinien-Plasma-HIV-1-RNA> 100000 Exemplare pro ml.
In Woche 48 44 von 50 (88%) mit Stribild behandelte jugendliche Patienten, die HIV-1-RNA behandelt haben <50 copies per mL Und 4 had HIV-1 RN / A ≥50 copies per mL; 1 patient discontinued study drug; 1 had no virologic data at Week 48. The mean decrease from baseline in HIV-1 RN / A was -3.16 log copies per mL; mean increase from baseline in CD4+ cell count was 229 cells per mm³ . No emergent resistance to Streng was detected through Week 48.
Patientinformationen für Stripild
Streng®
(Stry-Image)
(ElviteGravir Cobicistat Emtricitabin und Tenofovir disoproxil fumarat) Tabletten
WICHTIG: Fragen Sie Ihren Gesundheitsdienstleister oder Apotheker nach Medikamenten, die nicht mit Streibild eingenommen werden sollten. Weitere Informationen finden Sie im Abschnitt. Was soll ich meinem Gesundheitsdienstleister mitteilen, bevor ich Stribild einnehme?
Was sind die wichtigsten Informationen, die ich über Stribild wissen sollte?
Streng can cause serious side effects including:
- Verschlechterung der Hepatitis -B -Infektion. Wenn Sie Hepatitis B -Virus (HBV) -Einfektion haben und Streibild einnehmen, kann sich Ihr HBV verschlechtern (Flareup), wenn Sie aufhören, Stribild zu nehmen. Ein Aufflackern ist, wenn Ihre HBV-Infektion plötzlich schlechter zurückkehrt als zuvor.
- Laufen Sie nicht aus Streik aus. Füllen Sie Ihr Rezept nach oder sprechen Sie mit Ihrem Gesundheitsdienstleister, bevor Ihr Streik weg ist.
- Hören Sie nicht auf, Stribild zu nehmen, ohne zuerst mit Ihrem Gesundheitsdienstleister zu sprechen.
- Wenn Sie die Einnahme von Stribild aufhören, muss Ihr Gesundheitsdienstleister Ihre Gesundheit häufig überprüfen und einige Monate regelmäßig Blutuntersuchungen durchführen, um Ihre HBV -Infektion zu überprüfen. Teilen Sie Ihrem Gesundheitsdienstleister über neue oder ungewöhnliche Symptome mit, die Sie möglicherweise haben, nachdem Sie die Einnahme von Stripild aufnehmen.
Sehen Was sind die möglichen Nebenwirkungen von Strevery? for more information about side effects.
Was ist Streibild?
Streng is a prescription medicine that is used without other antiretroviral medicines to treat Human Immunodeficiency Virus-1 (HIV-1) in people 12 years of age Und older:
- die in der Vergangenheit oder keine Anti-HIV-1-Medikamente erhalten haben oder
- Um ihre aktuellen Anti-HIV-1-Medikamente zu ersetzen:
- bei Menschen, die seit mindestens 6 Monaten das gleiche Anti-HIV-1-Medizinregime haben und
- die eine Menge HIV-1 im Blut haben (dies wird als Viruslast bezeichnet), das weniger als 50 Kopien/ml und ist
- habe nie die HIV-1-Behandlung gescheitert.
HIV-1 is the virus that causes AIDS (Acquired Immune Deficiency Syndrome).
Streng contains the medicines Elvitegravir Cobicistat Emtricitabin und Tenofovir disoproxil fumarat.
Es ist nicht bekannt, ob Stribild bei Kindern unter 12 Jahren sicher und wirksam ist oder weniger als 77 Pfund wiegen.
Nehmen Sie keine Stripild, wenn Sie auch ein Medikament einnehmen, das enthält:
- Alfuzosinhydrochlorid
- Cisapride
- Carbamazepin
- Ergot -haltige Medikamente, einschließlich:
- Dihydroergotamin -Mesylat
- Ergotamin -Tartrat
- Methylergonovine Maleate
- Lomitapide
- Lovastatin
- Lurasidone
- Midazolam, wenn er vom Mund genommen wird
- Phenobarbital
- phable
- Pimozid
- Rifampin
- Sildenafil bei der Behandlung des Lungenproblems pulmonaler arterieller Hypertonie (PAH)
- Simvastatin
- Trizolam
- St. Johns Würze ( Hypericum Perforatum ) oder ein Produkt, das St. Johns Würze enthält
Was soll ich meinem Gesundheitsdienstleister erzählen, bevor ich Stribild einnehme?
Bevor Sie Stribild einnehmen, teilen Sie Ihrem Gesundheitsdienstleister alle Ihre Erkrankungen mit, einschließlich, wenn Sie:
- haben Leberprobleme, einschließlich Hepatitis B -Infektion
- Nierenprobleme haben
- Knochenprobleme haben
- sind schwanger oder planen, schwanger zu werden
- Es ist nicht bekannt, ob Stribild Ihrem ungeborenen Baby schaden kann.
- Streng should not be used during pregnancy because you may not have enough Streng in your body during pregnancy.
- Sagen Sie Ihrem Gesundheitsdienstleister, wenn Sie während der Einnahme von Strippild schwanger werden. Ihr Gesundheitsdienstleister kann verschiedene Medikamente verschreiben, wenn
- Sie werden schwanger, während Sie Streibild einnehmen.
Schwangerschaft Registry. Es gibt ein Schwangerschaftsregister für Frauen, die einnehmen Virostatikum Medikamente während der Schwangerschaft. Der Zweck dieser Registrierung ist es, Informationen über die Gesundheit von Ihnen und Ihrem Baby zu sammeln. Sprechen Sie mit Ihrem Gesundheitsdienstleister darüber, wie Sie an dieser Registrierung teilnehmen können.
- stillen oder planen zu stillen. Stillen Sie nicht, wenn Sie Streibild einnehmen.
- Sie sollten nicht stillen, wenn Sie HIV-1 haben, weil Sie HIV-1 an Ihr Baby weitergeben.
- Mindestens zwei der Arzneimittel in Strippild können an Ihr Baby in Ihrer Muttermilch übergehen. Es ist nicht bekannt, ob die anderen Medikamente in Strippild in Ihre Muttermilch übergehen können.
Sprechen Sie mit Ihrem Gesundheitsdienstleister darüber, wie Sie Ihr Baby am besten füttern können.
Teilen Sie Ihrem Gesundheitsdienstleister über alle Medikamente, die Sie einnehmen einschließlich verschreibungspflichtiger und rezeptfreier Medikamente Vitamine und Kräuterpräparate.
Einige Arzneimittel können mit Strippild interagieren. Behalten Sie eine Liste Ihrer Medikamente und zeigen Sie sie Ihrem Gesundheitsdienstleister und Apotheker, wenn Sie ein neues Medikament erhalten.
- Sie können Ihren Gesundheitsdienstleister oder Apotheker um eine Liste von Arzneimitteln bitten, die mit Stribild interagieren.
- Beginnen Sie kein neues Medikament, ohne Ihrem Gesundheitsdienstleister mitzuteilen. Ihr Gesundheitsdienstleister kann Ihnen mitteilen, ob es sicher ist, Streibild mit anderen Medikamenten einzunehmen.
Wie soll ich Streibild einnehmen?
- Nehmen Sie Stribild genau so, wie Ihr Gesundheitsdienstleister Ihnen sagt, dass Sie es nehmen sollen. Stribild wird von sich selbst (nicht mit anderen Anti-HIV-1-Medikamenten) zur Behandlung von HIV-1-Infektionen eingenommen.
- Nehmen Sie sich täglich 1 Mal mit Essen.
- Ändern Sie Ihre Dosis nicht oder hören Sie nicht auf, Stribild einzunehmen, ohne zuerst mit Ihrem Gesundheitsdienstleister zu sprechen. Bleiben Sie unter der Betreuung eines Gesundheitsdienstleisters bei der Einnahme von Stripild.
- Wenn Sie ein Medikament zur Verdauungsstörung (Antazidien) einnehmen müssen, das Aluminium- und Magnesiumhydroxid oder Calciumcarbonat während der Behandlung mit Stribild enthält, nehmen Sie es mindestens 2 Stunden vor oder nach der Einnahme von Stripild.
- Verpassen Sie keine Dosis Streibild.
- Wenn Ihr Streibild -Versorgung niedrig läuft, erhalten Sie mehr von Ihrem Gesundheitsdienstleister oder Ihrer Apotheke. Dies ist sehr wichtig, da die Menge an Virus in Ihrem Blut zunehmen kann, wenn das Medikament für kurze Zeit gestoppt wird. Das Virus kann Resistenz gegen Streik entwickeln und schwieriger zu behandeln.
- Wenn Sie zu viel streng nehmen, rufen Sie Ihren Gesundheitsdienstleister an oder gehen Sie sofort in die nächstgelegene Krankenhausaufnahme.
Was sind die möglichen Nebenwirkungen von Strevery?
Streng may cause the following serious side effects including:
- Sehen Was sind die wichtigsten Informationen, die ich über Stribild wissen sollte?
- Neue oder schlechtere Nierenprobleme, einschließlich Nierenversagen. Ihr Gesundheitsdienstleister sollte Blut- und Urintests durchführen, um Ihre Nieren zu überprüfen, bevor Sie anfangen und während Sie Stresibild einnehmen. Ihr Gesundheitsdienstleister kann Ihnen sagen, dass Sie die Einnahme von Stribild einstellen sollen, wenn Sie neue oder schlechtere Nierenprobleme entwickeln.
- Zu viel Milchsäure in Ihrem Blut (Laktatazise). Zu viel Milchsäure ist ein schwerwiegender, aber seltener medizinischer Notfall, der zum Tod führen kann. Sagen Sie Ihrem Gesundheitsdienstleister sofort, wenn Sie diese Symptome bekommen: Schwäche oder müder als üblich ungewöhnliche Muskelschmerzen, die kurz atemisch sind oder schnell atmende Magenschmerzen mit Übelkeit und Erbrechen kalt oder blau und Füße fühlen sich schwindelig oder verwöhnt oder ein schnelles oder abnormales Herzschlag an.
- Schwere Leberprobleme. In seltenen Fällen können schwerwiegende Leberprobleme auftreten, die zum Tod führen können. Teilen Sie Ihrem Gesundheitsdienstleister sofort mit, wenn Sie diese Symptome erhalten: Haut oder der weiße Teil Ihrer Augen wird für mehrere Tage oder längere Übelkeit oder Magenschmerzen in der Haut oder längerer Übelkeit oder Magenschmerzen.
- Knochenprobleme können bei einigen Menschen auftreten, die Streik einnehmen. Zu den Knochenproblemen gehören Knochenschmerzen, die Erweichen oder -verdünnung (was zu Frakturen führen kann). Ihr Gesundheitsdienstleister muss möglicherweise Tests durchführen, um Ihre Knochen zu überprüfen.
- Änderungen in Ihrem Immunsystem (Immunrekonstitutionssyndrom) kann passieren, wenn Sie anfangen, HIV-1-Medikamente einzunehmen. Ihr Immunsystem kann stärker werden und beginnen, Infektionen zu bekämpfen, die seit langem in Ihrem Körper versteckt sind. Teilen Sie Ihrem Gesundheitsdienstleister sofort mit, wenn Sie nach Beginn Ihrer HIV-1-Medizin neue Symptome haben.
Die häufigsten Nebenwirkungen von Stribild sind:
- Brechreiz
- Durchfall
Dies sind nicht alle möglichen Nebenwirkungen von Strippild.
Rufen Sie Ihren Arzt an, um medizinische Beratung zu Nebenwirkungen zu erhalten. Sie können die FDA bei 1-800-FDA-1088 Nebenwirkungen melden.
Wie soll ich Streibild aufbewahren?
- Lagern Sie Streum bei Raumtemperatur zwischen 20 ° C bis 25 ° C.
- Der Streibild Container enthält eine Trockenmittel und verfügt über eine kinderresistente Kappe.
- Halten Sie Streibild in seinem ursprünglichen Behälter.
- Halten Sie den Behälter fest geschlossen.
Halten Sie Stripild und alle Medikamente außerhalb der Reichweite von Kindern.
Allgemeine Informationen über den sicheren und effektiven Einsatz von Stribild.
Medikamente werden manchmal für andere Zwecke als die in einem Patienteninformationsblatt aufgeführten Zwecke verschrieben. Verwenden Sie Stribild nicht für eine Erkrankung, für die sie nicht verschrieben wurde. Geben Sie anderen Menschen keinen Streik an, auch wenn sie die gleichen Symptome haben, die Sie haben. Es kann ihnen schaden.
Sie können Ihren Gesundheitsdienstleister oder Apotheker um Informationen über Stribild bitten, die für Angehörige der Gesundheitsberufe geschrieben wurden.
Weitere Informationen erhalten Sie unter 1-800-445-3235 oder unter www.stribild.com.
Was sind die Zutaten in Streibild?
Wirkstoffe: Elvitegravir Cobicistat Emtricitabin und Tenofovir disoproxil fumarat
Inaktive Zutaten: Lactose -Monohydrat -mikrokristallines Cellulose -Silizium -Dioxid -Croscarmellose -Natriumhydroxypropylcellulose -Natriumlauryllfat -Sulfat und Magnesiumstearat. Die Tabletten sind filmiert mit einem Beschichtmaterial, das Indigo Carmine (FD) enthält
Diese Patienteninformationen wurden von der US -amerikanischen Food and Drug Administration zugelassen.