Die Informationen Auf Dieser Website Stellen Keine Medizinische Beratung Dar. Wir Verkaufen Nichts. Die Richtigkeit Der Übersetzung Wird Nicht Garantiert. Haftungsausschluss



Symbicort

Drogenzusammenfassung

Was ist Symbicort?

Symbicort (Budesonid und Formoterol Fumarat Dihydrat) ist eine Kombination aus Steroid und einem lang wirkenden Bronchodilatator, der verwendet wird, um Bronchospasmus bei Menschen mit Asthma oder zu verhindern chronisch obstruktive Lungenerkrankung ( COPD ).

Was sind Nebenwirkungen von Symbicort?

Symbicort



  • Verschlechterung der Atemprobleme
  • Wunden oder weiße Flecken in Ihrem Mund oder Hals
  • Schmerzen beim Schlucken
  • Zittern
  • Nervosität
  • Brustschmerzen
  • schnelle oder pochende Herzschläge
  • Husten mit Schleim
  • Fühlen Sie sich kurz Atem
  • Keuchen
  • Ersticken
  • andere Atemprobleme
  • verschwommenes Sehen
  • Tunnelsicht
  • Augenschmerzen oder Rötung
  • Halos um Licht herum sehen
  • Fieber
  • Schüttelfrost
  • Körperschmerzen
  • ungewöhnliche Müdigkeit
  • Erhöhter Durst
  • erhöhtes Wasserlassen
  • Trockener Mund
  • Fruchtiger Atemgeruch
  • Beinkrämpfe
  • Verstopfung
  • unregelmäßiger Herzschlag
  • Flattern in Ihrer Brust
  • Taubheit oder Kribbeln
  • Muskelschwäche
  • schlaffes Gefühl
  • Müdigkeit
  • Schwäche
  • Benommenheit
  • Übelkeit und
  • Erbrechen

Holen Sie sich sofort medizinische Hilfe, wenn Sie eines der oben aufgeführten Symptome haben.



Zu den häufigen Nebenwirkungen von Symbicort gehören:

Sagen Sie Ihrem Arzt, wenn Sie unwahrscheinlich, aber ernsthafte Nebenwirkungen von Symbicort erfahren, einschließlich:



  • weiße Flecken auf der Zunge oder im Mund
  • Anzeichen einer Infektion (wie Fieber anhaltend Halsschmerzen )
  • geistige/stimmige Veränderungen (wie Nervosität)
  • Probleme beim Schlafen
  • Sehprobleme (wie verschwommenes Sehen)
  • Erhöhter Durst or urination
  • Muskelkrämpfe oder
  • Schütteln (Zittern).

Suchen Sie medizinische Versorgung oder rufen Sie auf einmal 911 an, wenn Sie die folgenden schwerwiegenden Nebenwirkungen haben:

  • Schwerwiegende Augensymptome wie plötzlicher Sehverlust verschwommenes Sehen Tunnel Sehschmerzen oder Schwellungen oder Halos in der Umgebung des Lichts;
  • Schwerwiegende Herzsymptome wie schnelle unregelmäßige oder pochende Herzschläge; Flattern in deiner Brust; Kurzatmigkeit; und plötzliche Schwindel -Benommenheit oder ohnmächtig;
  • Starke Kopfschmerzen Verwirrung verwirrt Spracharm oder Bein Schwäche Schwierigkeiten beim Verlust der Koordination unstabil sehr steifes Muskeln hoher Fieber problemlos Schwitzen oder Zittern.

Dieses Dokument enthält nicht alle möglichen Nebenwirkungen und andere können auftreten. Wenden Sie sich an Ihren Arzt nach zusätzlichen Informationen zu Nebenwirkungen.

Dosierung für Symbicort

Bei Patienten ab 12 Jahren und älter beträgt die Dosierung von Symbicort 2 zweimal täglich 2 Inhalationen (Morgen und Abend ungefähr 12 Stunden voneinander entfernt).

Welche Drogensubstanzen oder Nahrungsergänzungsmittel interagieren mit Symbicort?

Symbicort kann mit Antimykotika-Medikamenten-MAO-Inhibitor-Antidepressiva Beta-Blockern oder Diuretika (Wasserpillen) interagieren. Sagen Sie Ihrem Arzt alle Medikamente, die Sie einnehmen.

Symbikort während der Schwangerschaft und Stillen

Während der Schwangerschaft sollte Symbicort nur bei Verschreibungen verwendet werden. Budesonid geht in die Muttermilch. Es ist nicht bekannt, ob Formoterol in die Muttermilch übergeht. Wenden Sie sich vor dem Stillen an Ihren Arzt.

Weitere Informationen

Unsere Symbicort (Budesonid- und Formoterol -Fumarat -Dihydrat) -Dedikamentenzentrum bietet eine umfassende Übersicht über verfügbare Arzneimittelinformationen über die potenziellen Nebenwirkungen bei der Einnahme dieses Medikaments.

FDA -Drogeninformationen

Beschreibung für Symbicort

Symbicort 80/4.5 und Symbicort 160/4.5 enthalten jeweils mikronisiertes Budesonid und mikronisierte Formoterol -Fumarat -Dihydrat nur für orale Inhalation.

Jeder Symbicort 80/4.5 und Symbicort 160/4.5 Canister wird als Hydrofluoralkan (HFA 227; 1112333-Heptafluoropropan) formuliert. Dosierung Forms And Strengths Und Wie geliefert / Lagerung und Handhabung ]. Nach dem Grundieren jeder Betätigungsmesser entweder 91/5,1 MCG oder 181/5,1 mcg aus dem Ventil und liefert entweder 80/4,5 mcg oder 160/4,5 mcg (Budesonid mikronisiert/Formoterol Fumarat Dihydratmikron aus dem Aktuator). Die tatsächliche Menge an Arzneimittel, die an die Lunge abgegeben wird, kann von Patientenfaktoren wie der Koordination zwischen der Betätigung des Geräts und der Inspiration durch das Abgabesystem abhängen. Symbicort enthält auch Povidon K25 USP als Suspendiermittel und Polyethylenglykol 1000 NF als Schmiermittel.

Symbicort sollte vor dem ersten Einsatz vor der Verwendung von zwei Testsprays in die Luft entfernt werden, die vor jedem Spray 5 Sekunden lang gut schüttelt. In Fällen, in denen der Inhalator nicht länger als 7 Tage lang nicht verwendet wurde oder wenn der Inhalator vor 5 Sekunden lang gut geschüttelt wurde, bevor jedes Spray gut schüttelt und zwei Testsprays in die Luft entfernt vom Gesicht entfernt.

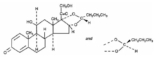
Eine aktive Komponente von Symbicort ist Budesonid, ein Kortikosteroid, das chemisch als (Rs) 11β 16α 1721-Tetrahydroxypregna-14-Dien-320-Dion-Cyclic 1617-Acetal mit Butyraldehyd bezeichnet wird. Budesonid wird als Mischung aus zwei Epimeren (22R und 22s) bereitgestellt. Die empirische Formel von Budesonid ist c 25 H 34 O 6 Und its molecular weight is 430.5. Its structural formula is:

Budesonid ist ein weißes bis nicht weißes, geschmackloser, geruchloser Pulver, das in Wasser und in Heptane in Ethanol praktisch unlöslich und in Chloroform frei löslich ist. Sein Partitionskoeffizient zwischen Oktanol und Wasser bei pH 7,4 beträgt 1,6 x 10 3 .

Die andere aktive Komponente von Symbicort ist Formoterol Fumarat dihydrat Ein selektiver Beta2-Agonist, der chemisch als (r*r*)-(±) -n- [2-hydroxy-5- [1-hydroxy-2-[2- (4-methoxyypheyl) -Thylethylethylethylethylethylethylethylethylethylethylethylethylethylethylethylethylethylethylethyletroxy] -Anino], ist. (E) -2-Butendioat (2: 1) Dihydrat. Die empirische Formel von Formoterol ist c 42 H 56 N 4 O 14 Und its molecular weight is 840.9. Its structural formula is:

Formoterol -Fumarat -Dihydrat ist ein Pulver, das in Wasser leicht löslich ist. Der Octanol-Wasser-Partitionskoeffizient bei pH 7,4 beträgt 2,6. Die PKA von Formoterol Fumarat Dihydrat bei 25 ° C beträgt 7,9 für die Phenolgruppe und 9,2 für die Amino -Gruppe.

Verwendet für Symbicort

Behandlung von Asthma

Symbicort ist für die Behandlung von Asthma bei Patienten ab 6 Jahren angezeigt.

Symbikorte sollte für Patienten verwendet werden, die nicht angemessen auf ein langfristiges Asthma-Kontroll-Medikament wie ein inhaliertes Kortikosteroid (ICS) oder deren Krankheit die Einleitung einer Behandlung mit einem inhalierten Kortikosteroid- und langwirksamen Beta2-adrenergen Agonisten (LABA) garantiert werden.

Wichtige Einschränkungen des Nutzens

  • Symbicort ist nicht für die Erleichterung des akuten Bronchospasmus angezeigt.

Aufrechterhaltung der chronisch obstruktiven Lungenerkrankung

Symbicort 160/4.5 ist für die Erhaltungsbehandlung der Luftstromobstruktion bei Patienten mit chronisch obstruktiver Lungenerkrankung (COPD) angezeigt, einschließlich chronischer Bronchitis und/oder Emphysem. Symbicort 160/4.5 ist auch angezeigt, um die Exazerbationen von COPD zu verringern. Symbicort 160/4.5 ist die einzige Festigkeit, die für die Behandlung von COPD angegeben ist.

Wichtige Einschränkungen des Nutzens

  • Symbicort ist nicht für die Erleichterung des akuten Bronchospasmus angezeigt.

Dosierung für Symbicort

Verwaltungsinformationen

Symbicort sollte zweimal täglich als 2 Inhalationen (morgendlich und abends ungefähr 12 Stunden voneinander entfernt) jeden Tag auf dem mündlichen inhalierten Weg verabreicht werden. Nach dem Einatmen sollte der Patient den Mund mit Wasser ohne Schlucken abspülen.

Prime Symbicort, bevor Sie zum ersten Mal verwendet werden, indem Sie zwei Testsprays in die Luft weggeben, die vor jedem Spray 5 Sekunden lang gut schüttelt. In Fällen, in denen der Inhalator nicht länger als 7 Tage lang nicht verwendet wurde oder wenn er vorgeworfen wurde, wird der Inhalator erneut vor dem Spray geschüttelt und zwei Testsprays in die Luft entfernt vom Gesicht entfernt.

Eine häufigere Verabreichung oder eine höhere Anzahl von Inhalationen (mehr als 2 Inhalationen zweimal täglich) der vorgeschriebenen Stärke von Symbicort wird nicht empfohlen, da einige Patienten eher nachteilige Auswirkungen mit höheren Formoterol -Dosen haben. Patienten, die Symbicort verwenden, sollten aus irgendeinem Grund keine zusätzliche LABA verwenden [siehe Warnungen und VORSICHTSMASSNAHMEN ].

Asthma

Wenn Asthma-Symptome in der Zeit zwischen Dosen auftreten, sollte ein inhalatisiertes kurzwirkendes Beta2-Agonist zur sofortigen Linderung eingenommen werden.

Erwachsene und jugendliche Patienten 12 Jahre alt und älter

Bei Patienten ab 12 Jahren und älter beträgt die Dosierung zwei Inhalationen von Symbicort 80/4,5 oder Symbicort 160/4,5 zweimal täglich.

Die empfohlenen Startdosierungen für Symbicort für Patienten ab 12 Jahren basieren auf der Asthma -Schwere oder des Kontrollniveaus von Asthma -Symptomen und dem Risiko von Exazerbationen bei aktuellen inhalierten Kortikosteroiden.

Die maximal empfohlene Dosierung bei erwachsenen und jugendlichen Patienten ab 12 Jahren beträgt Symbicort 160/4,5 zwei zweimal täglich.

Eine Verbesserung der Asthmakontrolle nach inhalierter Verabreichung von Symbicort kann innerhalb von 15 Minuten nach Beginn der Behandlung auftreten, obwohl nach Beginn der Behandlung möglicherweise nicht 2 Wochen lang oder länger nicht erreicht wird. Einzelpatienten haben eine variable Zeit zum Einsetzen und Grad der Symptomlinderung.

Für Patienten, die nach 1-2 Wochen Therapie mit Symbicort 80/4,5 durch Symbicort 160/4,5 nicht ausreichend auf die Startdosis reagieren, können zusätzliche Asthmakontrolle liefern.

Wenn ein bisher wirksames Dosierungsregime von Symbicort nicht eine angemessene Kontrolle von Asthma liefert, sollte das therapeutische Regime neu bewertet werden und zusätzliche therapeutische Optionen (z.

Pädiatrische Patienten im Alter von 6 bis weniger als 12 Jahren

Bei Patienten von 6 bis weniger als 12 Jahren beträgt die Dosierung zwei zweimal täglich 2 Inhalationen von Symbicort 80/4,5.

Chronisch obstruktive Lungenerkrankung

Bei Patienten mit COPD ist die empfohlene Dosis Symbicort 160/4,5 zwei zweimal täglich zwei Inhalationen.

Wenn in der Zeit zwischen den Dosen eine Atemnot auftritt, sollte ein inhalatisiertes kurzwirkendes Beta2-Agonist zur sofortigen Erleichterung genommen werden.

Wie geliefert

Dosierung Forms And Strengths

Symbicort ist als messdosischer Inhalator erhältlich, der eine Kombination aus Budesonid (80 oder 160 mcg) und Formoterol (NULL,5 mcg) als Inhalation von Aerosol in den folgenden zwei Stärken enthält: 80/4,5 und 160/4,5. Jede Dosierungsstärke enthält 60 oder 120 Anträge pro Kanister. Jede Stärke von Symbicort wird mit einem roten Plastikantrieb mit einer grauen Staubkappe geliefert.

Lagerung und Handhabung

Symbicort ist in zwei Stärken erhältlich und wird in den folgenden Paketgrößen geliefert:

Dosierung Forms And Strengths

Paketgröße NDC
Symbicort -Inhalationen 80/4.5 120 0186-0372-20
Symbicort Inhalations (Institutional Pack) 80/4.5 60 0186-0372-28
Symbicort -Inhalationen 160/4,5 120 0186-0370-20
Symbicort Inhalations (Institutional Pack) 160/4,5 60 0186-0370-28

Jede Stärke wird als unter Druck stehender Aluminiumkanister mit einem angeschlossenen Zählgerät ein rotes Kunststoff -Stellantrieb mit einem weißen Mundstück und angeschlossener grauer Staubkappe geliefert. Jeder 120 Inhalationskanister hat ein Netto -Füllgewicht von 10,2 Gramm und jeder 60 Inhalationskanister hat ein Netto -Füllgewicht von 6,9 Gramm (Symbicort 80/4,5) oder 6 Gramm (Symbicort 160/4,5). Jeder Kanister ist in einem Folienüberschiebungstasche mit einem Trockenmittel -Beutel verpackt und in einen Karton gelegt. Jeder Karton enthält einen Kanister und eine Patienteninformationsblatt.

Der Symbicort Canister sollte nur mit dem Symbicort -Aktuator verwendet werden und der Symbicort -Aktuator sollte nicht mit einem anderen Inhalationsprodukt verwendet werden.

Die korrekte Menge an Medikamenten in jedem Inhalation kann nicht sichergestellt werden, nachdem die markierte Anzahl von Inhalationen aus dem Kanister verwendet wurde, obwohl sich der Inhalator möglicherweise nicht vollständig leer fühlt und weiterhin funktioniert. Der Inhalator sollte verworfen werden, wenn die markierte Anzahl von Inhalationen oder innerhalb von 3 Monaten nach Entfernung aus dem Folienbeutel verwendet wurde. Tauchen Sie niemals den Kanister in Wasser ein, um die im Kanister verbleibende Menge zu bestimmen (Float -Test).

Lagern Sie bei kontrollierter Raumtemperatur 20 ° C bis 25 ° C (68 ° F bis 77 ° F) [siehe USP]. Lagern Sie den Inhalator mit dem Mundstück nach unten.

Für die besten Ergebnisse sollte der Kanister vor dem Gebrauch bei Raumtemperatur liegen. Schütteln Sie 5 Sekunden lang gut.

Außerhalb der Reichweite der Kinder. Vermeiden Sie es, in die Augen zu sprühen.

Inhalt unter Druck.

Nicht punktieren oder verbrennen. Lagern Sie nicht in der Nähe von Hitze oder offener Flamme. Die Exposition gegenüber Temperaturen über 120 ° F kann dazu führen, dass ein Platzen führt. Werfen Sie niemals Container in Feuer oder Verbrennungsanlage.

Hergestellt für: AstraZeneca Pharmaceuticals LP Wilmington de 19850 von: AstraZeneca Dunkerque Produktion Dunkerque Frankreich. Überarbeitet: Dezember 2017

Nebenwirkungen for Symbicort

Die Verwendung von LABA kann Folgendes führen:

  • Schwerwiegende Asthma-Ereignisse-Krankenhausaufenthalte Intubationen Tod [siehe Warnungen und VORSICHTSMASSNAHMEN ].
  • Effekte des Herz -Kreislauf- und Zentralnervensystems [siehe Warnungen und VORSICHTSMASSNAHMEN ].

Die systemische und inhalierte Verwendung von Kortikosteroid kann Folgendes führen:

Da klinische Studien unter stark unterschiedlichen Bedingungen durchgeführt werden, die in den klinischen Studien eines Arzneimittels beobachtet werden, können in den klinischen Studien eines anderen Arzneimittels nicht direkt mit den Raten verglichen werden und spiegeln möglicherweise nicht die in der Praxis beobachteten Raten wider.

Klinische Studien Erfahrung in Asthma

Erwachsene und jugendliche Patienten 12 Jahre alt und älter

Die allgemeinen Sicherheitsdaten bei Erwachsenen und Jugendlichen basieren auf 10 aktiven und placebokontrollierten klinischen Studien, in denen 3393 Patienten ab 12 Jahren (2052 Frauen und 1341 Männer) mit Asthma mit unterschiedlichem Schweregrad mit Symbicort 80/4,5 oder 160/4,5 zwei in 52 bis 52 bis 52 Wochen behandelt wurden. In diesen Studien hatten die Patienten mit Symbicort ein Durchschnittsalter von 38 Jahren und waren überwiegend kaukasisch (82%).

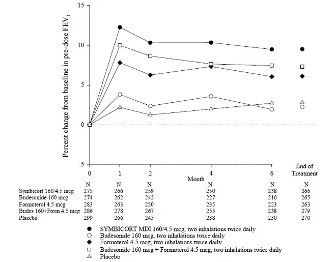
Die Inzidenz häufiger unerwünschter Ereignisse in Tabelle 2 unten basiert auf gepoolten Daten aus drei 12-wöchigen doppelblinden, placebokontrollierten klinischen Studien, in denen 401 erwachsene und jugendliche Patienten (148 Männer und 253 Frauen) ab 12 Jahren ab 12 Jahren mit 2 Inhalationen von Symbicort 80/4,5 oder Symbicort 160/4,5 zweimal täglich behandelt wurden. Die Symbicort -Gruppe bestand hauptsächlich aus kaukasischen (84%) Patienten mit einem Durchschnittsalter von 38 Jahren und einem durchschnittlichen prozentuierten prognostizierten FEV 1 zu Studienbeginn von 76 und 68 für die 80/4,5 -MCG- bzw. 160/4,5 -MCG -Behandlungsgruppen. Die Kontrollarme für den Vergleich umfassten 2 Inhalationen von Budesonid -HFA -Dosis -Inhalator (MDI) 80 oder 160 mcg Formoterol Trockenpulverinhalator (DPI) 4,5 mcg oder Placebo (MDI und DPI) zweimal täglich. Tabelle 2 enthält alle unerwünschten Ereignisse, die bei einer Inzidenz von> 3% in einer Symbicort-Gruppe und häufiger als in der Placebo-Gruppe mit zweimal täglicher Dosierung auftraten. Bei der Betrachtung dieser Daten sollte die erhöhte durchschnittliche Dauer der Patientenexposition für Symbikortpatienten berücksichtigt werden, da die Inzidenzen nicht auf ein Ungleichgewicht der Behandlungsdauer angepasst werden.

Wofür wird tansiges Öl verwendet?

Tabelle 2: Nebenwirkungen bei einer Inzidenz von ≥ 3% und häufiger als Placebo in den Symbicort-Gruppen: gepoolte Daten aus drei 12-wöchigen doppelblinden placebokontrollierten klinischen Asthma-Studien bei Patienten ab 12 Jahren und älter

Behandlung 1 Symbicort Budesonid Formoterol Placebo
N = 400
%
Nebeneffekte 80/4.5
N = 277
%
160/4,5
N = 124
%
80 mcg
N = 121
%
160 mcg
N = 109
%
4,5 mcg
N = 237
%
Nasopharynngitis 10.5 9.7 14.0 11.0 10.1 9.0
Kopfschmerzen 6.5 11.3 11.6 12.8 8.9 6.5
Infektion der oberen Atemwege 7.6 10.5 12 8.3 9.2 7.6 7.8
Pharyngolaryngealschmerz 6.1 8.9 5.0 7.3 3.0 4.8
Sinusitis 5.8 4.8 5.8 2.8 6.3 4.8
Grippe 3.2 2.4 6.6 0.9 3.0 1.3
Rückenschmerzen 3.2 1.6 2.5 5.5 2.1 0.8
Nasenüberlastung 2.5 3.2 2.5 3.7 1.3 1.0
Magenbeschwerden 1.1 6.5 2.5 4.6 1.3 1.8
Erbrechen 1.4 3.2 0.8 2.8 1.7 1.0
Orale Candidiasis 1.4 3.2 0 0 0 0.8
Durchschnittliche Expositionsdauer (Tage) 77.7 73.8 77.0 71.4 62.4 55.9
1. Alle Behandlungen wurden zweimal täglich als 2 Inhalationen verabreicht.
Langfristige Sicherheits -Asthma -klinische Studien bei Patienten ab 12 Jahren und älter

Langzeitsicherheitsstudien bei jugendlichen und erwachsenen Patienten, die 12 Jahre alt und älter sind, wurden bis zu 1 Jahr in Dosen bis zu 1280/36 mcg/Tag (640/18 MCG zweimal täglich) ergaben, ergaben weder klinisch wichtige Veränderungen der Inzidenz noch neue Arten von unerwünschten Ereignissen, die nach längeren Behandlungsperioden auftraten. In ähnlicher Weise wurden für bis zu 1 Jahr bei Sicherheitsmaßnahmen keine signifikanten oder unerwarteten Mustern von Anomalien beobachtet, einschließlich der Hämatologie-EKG-Holter-Monitor der Chemie und der HPA-Achsenbewertungen.

Pädiatrische Patienten 6 bis weniger als 12 Jahre alt

Die Sicherheitsdaten für pädiatrische Patienten im Alter von 6 bis weniger als 12 Jahren basieren auf einer Studie mit einer Behandlungsdauer von 12 Wochen. Patienten (79 Frauen und 105 männlich), die beim Versuchseintritt inhaliertes Kortikosteroid empfangen wurden, wurden randomisiert auf Symbicort 80/4,5 (n = 92) oder Budesonid PMDI 80 mcg (n = 92) 2 Inhalationen zweimal täglich. Das Gesamtsicherheitsprofil dieser Patienten war ähnlich wie bei Patienten, die bei Patienten 12 Jahre und älter beobachtet wurden und die zweimal täglich Symbicort 80/4,5 in Studien zu ähnlichem Design erhielten. Häufige Nebenwirkungen, die bei Patienten auftraten, die mit Symbicort 80/4,5 mit einer Häufigkeit von ≥3% und häufiger als mit Budesonid PMDI 80 mcg behandelte Patienten behandelt wurden, umfassten Pharyngitis -Kopfschmerzen und Rhinitis der oberen Atemwege.

Klinische Studien erfahren bei chronisch obstruktiven Lungenerkrankungen

Die nachstehend beschriebenen Sicherheitsdaten spiegeln die Exposition gegenüber Symbicort 160/4,5 bei 1783 Patienten wider. Symbicort 160/4.5 wurde in zwei placebokontrollierten Lungenfunktionsstudien (6 und 12 Monate in Dauer) und zwei aktiv kontrollierten Exazerbationsstudien (6 und 12 Monate) bei Patienten mit COPD untersucht.

Die Inzidenz häufiger unerwünschter Ereignisse in Tabelle 3 unten basiert auf gepoolten Daten aus zwei doppelblinden, placebokontrollierten klinischen Lungenfunktionsstudien (6 und 12 Monate in Dauer), bei denen 771 adulte COPD-Patienten (496 Männer und 275 Frauen) 40 Jahre alt und älter mit Symbizort 160/4,5 zwei zweimal täglich behandelt wurden. Von diesen Patienten wurden 651 6 Monate lang behandelt und 366 12 Monate lang behandelt. Die Symbicort -Gruppe bestand hauptsächlich aus kaukasischen (93%) Patienten mit einem Durchschnittsalter von 63 Jahren und einem durchschnittlichen prozentuierten prognostizierten FEV 1 zu Studienbeginn von 33%. Die Kontrollarme für den Vergleich umfassten 2 Inhalationen von Budesonid HFA (MDI) 160 MCG Formoterol (DPI) 4,5 mcg oder Placebo (MDI und DPI) zweimal täglich. Tabelle 3 enthält alle unerwünschten Ereignisse, die bei einer Inzidenz von ≥3% in der Symbicort -Gruppe und häufiger als in der Placebo -Gruppe auftraten. Bei der Betrachtung dieser Daten sollte die erhöhte durchschnittliche Dauer der Exposition gegenüber Symbikorten im Patienten berücksichtigt werden, da die Inzidenzen nicht auf ein Ungleichgewicht der Behandlungsdauer angepasst werden.

Tabelle 3: Nebenwirkungen bei einer Inzidenz von ≥ 3% und häufiger als Placebo in der Symbicort-Gruppe: gepoolte Daten aus zwei doppelblinden placebokontrollierten klinischen COPD-Studien

Behandlung 1 Symbicort Budesonid Formoterol Placebo
N = 781
%
Nebeneffekte 160/4,5
N = 771
%
160 mcg
N = 275
%
4,5 mcg
N = 779
%
Nasopharynngitis 7.3 3.3 5.8 4.9
Orale Candidiasis 6.0 4.4 1.2 1.8
Bronchitis 5.4 4.7 4.5 3.5
Sinusitis 3.5 1.5 3.1 1.8
Infektion der oberen Atemwege viral 3.5 1.8 3.6 2.7
Durchschnittliche Expositionsdauer (Tage) 255.2 157.1 240.3 223.7
1. Alle Behandlungen wurden zweimal täglich als 2 Inhalationen verabreicht.

Andere Lungeninfektionen als Lungenentzündung (hauptsächlich Bronchitis) traten bei einem größeren Prozentsatz der mit Symbicort 160/4,5 behandelten Probanden im Vergleich zu Placebo (NULL,9% gegenüber 5,1%) auf. Es gab keine klinisch wichtigen oder unerwarteten Muster von Anomalien, die für bis zu 1 Jahr in der Hämatologie EKG (Holter) Chemie-Hämatologie-EKG (Holter) die HPA-Achse-Knochenmineraldichte und die Bewertungen von Ophthalmologie überwachen.

Die Sicherheitsergebnisse der beiden doppelblinden aktiv kontrollierten Exazerbationsstudien (6 und 12 Monate in Dauer), in denen 1012 erwachsene COPD-Patienten (616 Männer und 396 Frauen) 40 Jahre alt und älter mit Symbicort 160/4,5 zwei Inhalationen zweimal täglich behandelt wurden.

Nachmarkterfahrung

Die folgenden nachteiligen Reaktionen wurden während der Verwendung von Symbicort nach der Anbietung nach der Genehmigung identifiziert. Da diese Reaktionen freiwillig aus einer Population unsicherer Größe berichtet werden, ist es nicht immer möglich, ihre Häufigkeit zuverlässig abzuschätzen oder ein kausales Verhältnis zur Arzneimittelexposition herzustellen. Einige dieser unerwünschten Reaktionen können auch in klinischen Studien mit Symbicort beobachtet worden sein.

Herzerkrankungen: Angina pectoris tachykardie atriale und ventrikuläre Tachyarrhythmien atriale Fibrillation Extraser -Palpitationen

Endokrine Störungen: Hyperkortizismus -Wachstumsgeschwindigkeitsreduzierung bei pädiatrischen Patienten

Augenstörungen: Katarakt Glaukom Erhöhter intraokularer Druck

Magen -Darm -Störungen: Oropharyngeal Candidiasis Übelkeit

Störungen des Immunsystems: Sofortige und verzögerte Überempfindlichkeitsreaktionen wie Anaphylaktikreaktion Angioödem Bronchospasmus Urtikaria exanthem Dermatitis pruritus

Stoffwechsel- und Ernährungsstörungen: Hyperglykämie Hypokaliämie

Muskuloskelettales Bindegewebe und Knochenerkrankungen: Muskelkrämpfe

Störungen des Nervensystems: Zittern Schwindel

Psychiatrische Störungen: Verhaltensstörungen Schlafstörungen Nervosität Agitation Depression Unruhe

Atemstörungen für Brust- und Mediastinalerkrankungen: Dysphonie -Husten -Hustenreizung

Haut und subkutane Gewebeerkrankungen: Hautblutergüsse

Gefäßstörungen: Hypotonie Hypertonie

Wechselwirkungen mit Arzneimitteln for Symbicort

In klinischen Studien haben die gleichzeitige Verabreichung von Symbikor- und anderen Arzneimitteln wie kurzwirksamen Beta2agonisten intranasalen Kortikosteroiden und Antihistaminika/Ableitungen nicht zu einer erhöhten Häufigkeit unerwünschter Reaktionen geführt. Mit Symbicort wurden keine formalen Studien zur Wechselwirkung für formale Arzneimittel durchgeführt.

Inhibitoren von Cytochrom P4503A4

Der Hauptweg des Metabolismus von Kortikosteroiden, einschließlich Budesonid Eine Komponente von Symbicort, erfolgt über Cytochrom P450 (CYP) Isoenzym 3A4 (CYP3A4). Nach oraler Verabreichung von Ketoconazol nahm ein starker Inhibitor von CYP3A4 die mittlere Plasmakonzentration von oral verabreichtem Budesonid zu. Die gleichzeitige Verabreichung von CYP3A4 kann den Metabolismus der systemischen Exposition gegenüber Budesonid hemmen und erhöhen. Vorsicht sollte bei der Berücksichtigung der gleichzeitigen Verabreichung von Symbikorten mit langfristiger Ketoconazol und anderen bekannten starken CYP3A4-Inhibitoren (z. Warnungen und VORSICHTSMASSNAHMEN ].

Monoaminoxidase -Inhibitoren und trizyklische Antidepressiva

Symbicort should be administered with caution to patients being treated with monoamine oxidase inhibitors or tricyclic antidepressants or within 2 weeks of discontinuation of such agents because the action of formoterol a component of Symbicort on the vascular system may be potentiated by these agents. In clinical trials with Symbicort a limited number of COPD Und asthma patients received tricyclic antidepressants Und therefore no clinically meaningful conclusions on adverse events can be made.

Beta-adrenerge Rezeptor-Blockiermittel

Beta-Blocker (einschließlich Augentropfen) blockieren möglicherweise nicht nur die Lungeneffekt von Beta-Agonisten wie Formoterol, eine Komponente von Symbicort, sondern erzeugen bei Patienten mit Asthma schwere Bronchospasmus. Daher sollten Patienten mit Asthma normalerweise nicht mit Beta-Blockern behandelt werden. Unter bestimmten Umständen gibt es jedoch möglicherweise keine akzeptablen Alternativen zur Verwendung von Beta-adrenerge Blockern bei Patienten mit Asthma. In dieser Einstellung konnten kardioselektive Beta-Blocker berücksichtigt werden, obwohl sie mit Vorsicht verabreicht werden sollten.

Diuretika

Die EKG-Veränderungen und/oder Hypokaliämie, die sich aus der Verabreichung von nicht kaliumsparenden Diuretika (wie Schleifen oder Thiazid-Diuretika) ergeben können Beta-Agonist ist überschritten. Obwohl die klinische Bedeutung dieser Effekte nicht bekannt ist, wird bei der gleichzeitigen Verabreichung von Symbicort mit nicht-köpfiger Diuretika Vorsicht empfohlen.

.

Warnungen für Symbicort

Eingeschlossen als Teil der VORSICHTSMASSNAHMEN Abschnitt.

Vorsichtsmaßnahmen für Symbicort

Schwerwiegende Asthma-Ereignisse-Krankenhausaufenthalte Intubationen und Tod

Use of LABA as monotherapy (without ICS) for asthma is associated with an increased risk of asthma-related death [see Salmeterol Multicenter Asthma Research Trial (SMART)]. Available data from controlled clinical trials also suggest that use of LABA as monotherapy increases the risk of asthma-related hospitalization in pediatric and adolescent patients. These findings are considered a class effect of LABA. When LABA are used in fixed-dose combination with ICS data from large clinical trials do not show a significant increase in the risk of serious asthma-related events (hospitalizations intubations death) compared to ICS alone (see Serious Asthma-Related Events with ICS/LABA).

Ernsthafte Asthma-Ereignisse mit ICS/LABA

Es wurden vier große 26-wöchige randomisierte, verblindete aktiv gesteuerte klinische Sicherheitsversuche durchgeführt, um das Risiko schwerwiegender Asthma-Ereignisse zu bewerten, wenn LABA in der Kombination mit fester Dosis mit ICS im Vergleich zu ICs allein bei Patienten mit Asthma verwendet wurde. Drei Studien umfassten erwachsene und jugendliche Patienten im Alter von ≥ 12 Jahren Klinische Studien ]; In einer Studie wurde Fluticasonpropionat/Salmeterol -Inhalationspulver mit Fluticason -Propionat -Inhalationspulver verglich; Und ein Versuch verglich Mometason Furoate/Formoterol mit Mometason Furoate. Die vierte Studie umfasste pädiatrische Patienten im Alter von 4 bis 11 Jahren und verglichen Fluticasonpropionat/Salmeterol -Inhalationspulver mit Fluticasonpropionat -Inhalationspulver. Der primäre Sicherheitsendpunkt für alle vier Studien waren schwerwiegende Asthma-Ereignisse (Krankenhausaufenthalte und Tod). Ein verblindeter Entscheidungsausschuss ermittelte, ob Ereignisse Asthma waren.

Die drei Studien für Erwachsene und Jugendliche sollten eine Risikomarge von 2,0 ausschließen, und die pädiatrische Studie wurde entwickelt, um ein Risiko von 2,7 auszuschließen. Jeder einzelne Versuch traf sein vorgegebenes Ziel und zeigte nur ICS-ICS-Unferizen von ICS/LABA allein gegenüber ICs. Eine Metaanalyse der drei Studien für Erwachsene und Jugendliche zeigte keinen signifikanten Anstieg des Risikos für ein schwerwiegendes Asthma-Ereignis mit ICS/LABA-Kombination mit fester Dosis im Vergleich zu ICs allein (Tabelle 1). Diese Studien sollten nicht alle Risiken für schwerwiegende Asthma-Ereignisse mit ICS/LABA im Vergleich zu ICs ausschließen.

Tabelle 1: Metaanalyse von schwerwiegenden Asthma-Ereignissen bei Patienten mit Asthma ab 12 Jahren

ICS/LABA
(N = 17537) 1
ICs
(N = 17552) 1
ICS/LABA vs ICs Hazard ratio (95% dort) 2
Ernstes Asthma-Ereignis 3 116 105 1.10
(NULL,85 1,44)
Asthma-related death 2 0
Asthma-related intubation (endotracheal) 1 2
Asthma-related hospitalization (≥24-hour stay) 115 105
ICs = Inhaled Corticosteroid LABA = Long-acting Beta2-adrenergic Agonist
1 Randomisierte Patienten, die mindestens 1 Dosis Studienmedikamente eingenommen hatten. Geplante Behandlung zur Analyse.
2 Geschätzt unter Verwendung eines Cox Proportional Hazards -Modells für das erste Ereignis mit Baseline -Gefahren, die durch jede der 3 Versuche geschichtet wurden.
3 Anzahl der Patienten mit Ereignissen, die innerhalb von 6 Monaten nach der ersten Anwendung von Studienmedikamenten oder 7 Tage nach dem letzten Datum des Studienmedikaments auftraten, je nachdem, welcher Zeitpunkt später war. Patienten können ein oder mehrere Ereignisse haben, aber nur das erste Ereignis wurde zur Analyse gezählt. Ein einzelner geblendeter unabhängiger Entscheidungsausschuss ergab, ob Ereignisse Asthma waren.

Die pädiatrische Sicherheitsstudie umfasste 6208 pädiatrische Patienten im Alter von 4 bis 11 Jahren, die ICS /LABA (Fluticason Propionat /Salmeterol -Inhalationspulver) oder ICS (Fluticason -Propionat -Inhalationspulver) erhielten. In dieser Studie wurden 27/3107 (NULL,9%) Patienten, die zu ICS/LABA und 21/3101 (NULL,7%) randomisierten, randomisierten ICS-Patienten randomisiert, ein schwerwiegendes Asthma-Ereignis. Es gab keine asthmabezogenen Todesfälle oder Intubationen. ICS/LABA zeigte kein signifikant erhöhtes Risiko für ein schwerwiegendes Asthma-Ereignis im Vergleich zu ICs, basierend auf der vorgegebenen Risikomarge (NULL,7) mit einem geschätzten Hazard-Verhältnis der Zeit bis zum ersten Ereignis von 1,29 (95% CI: 0,73 2,27).

Salmeterol Multicenter Asthma Research Studie (Smart)

A 28-week placebo-controlled U.S. trial that compared the safety of salmeterol with placebo each added to usual asthma therapy showed an increase in asthma-related deaths in patients receiving salmeterol (13/13176 in patients treated with salmeterol vs. 3/13179 in patients treated with placebo; relative risk: 4.37 [95% CI 1.25 15.34]). Use of background ICS was not required in SMART. The increased risk of asthma-related death is considered a class effect of LABA monotherapy.

Formoterol Monotherapy Studies

Klinische Studien mit Formoterol, die als Monotherapie verwendet wurde, deuteten auf eine höhere Inzidenz einer schwerwiegenden Asthma -Exazerbation bei Patienten, die Formoterol erhielten, als bei Patienten, die Placebo erhielten. Die Größen dieser Studien waren nicht ausreichend, um den Unterschied zwischen schwerwiegenden Asthma -Exazerbationen zwischen Behandlungsgruppen genau zu quantifizieren.

Verschlechterung von Krankheiten und akuten Episoden

Symbicort should not be initiated in patients during rapidly deteriorating or potentially life-threatening episodes of asthma or COPD. Symbicort has not been studied in patients with acutely deteriorating asthma or COPD. The initiation of Symbicort in this setting is not appropriate.

Die zunehmende Verwendung von inhalativem kurzwirksamem Beta2-Agonisten ist ein Marker für das Verschlechterung von Asthma. In dieser Situation benötigt der Patient eine sofortige Neubewertung mit Neubewertung des Behandlungsschemas, der besondere Berücksichtigung des möglichen Bedarfs an die aktuelle Stärke von Symbicort mit einer höheren Stärke ergibt, die zusätzliche inhalierte Kortikosteroid hinzufügt oder systemische Kortikosteroide initiiert. Patienten sollten nicht mehr als 2 Inhalationen zweimal täglich (Morgen und Abend) Symbicort verwenden.

Symbicort should not be used for the relief of acute symptoms i.e. as rescue therapy for the treatment of acute episodes of bronchospasm. An inhaled short-acting beta2-agonist not Symbicort should be used to relieve acute symptoms such as shortness of breath.

Bei Beginn der Behandlung mit Symbicort-Patienten, die regelmäßig orale oder inhalierte kurz wirkende Beta2-Agonisten einnehmen, sollte regelmäßig (z. B. 4-mal täglich) angewiesen werden, die regelmäßige Verwendung dieser Arzneimittel einzustellen.

Übermäßige Verwendung von Symbicort und Verwendung mit anderen lang wirkenden Beta2-Agonisten

Wie bei anderen inhalierten Arzneimitteln, die Beta2-adrenerge Mittel enthalten, sollte Symbicort nicht häufiger als empfohlen in höheren Dosen als empfohlen oder in Verbindung mit anderen Medikamenten, die LABA als Überdosierung enthalten, nicht mehr verwendet werden. Klinisch signifikante kardiovaskuläre Wirkungen und Todesfälle wurden in Verbindung mit übermäßiger Anwendung inhalierter sympathomimetischer Medikamente berichtet. Patienten, die Symbicort verwenden, sollten kein zusätzliches LABA (z. B. Salmeterolformoterol-Fumarat-Arformoterol-Tartrat) verwenden, aus irgendeinem Grund, einschließlich der Vorbeugung von durch Training induziertem Bronchospasmus (EIB) oder der Behandlung von Asthma oder COPD.

Lokale Effekte

In klinischen Studien die Entwicklung lokalisierter Infektionen von Mund und Pharynx mit Candida albicans hat bei Patienten, die mit Symbicort behandelt wurden, aufgetreten. Wenn sich eine solche Infektion entwickelt, sollte sie mit einer geeigneten lokalen oder systemischen (d. H. oralen Antimykotika) Therapie behandelt werden, während die Behandlung mit Symbicort fortgesetzt wird, aber manchmal muss die Therapie mit Symbicort unterbrochen werden. Raten Sie der Patienten, den Mund mit Wasser zu spülen, ohne nach Einatmen zu schlucken, um das Risiko einer oropharyngealen Candidiasis zu verringern.

Lungenentzündung und andere Infektionen der unteren Atemwege

Ärzte sollten bei Patienten mit COPD für die mögliche Entwicklung einer Lungenentzündung wachsam bleiben, da sich die klinischen Merkmale von Lungenentzündung und Exazerbationen häufig überlappen. Nach der inhalierten Verabreichung von Kortikosteroiden wurde berichtet, dass untere Atemwegsinfektionen einschließlich einer Lungenentzündung berichtet wurden.

Spannungstest radioaktive Farbstoff -Nebenwirkungen

In einer 6-monatigen Lungenfunktionsstudie mit 1704 Patienten mit COPD gab es eine höhere Inzidenz von anderen Lungeninfektionen als Pneumonie (z. B. Bronchitis viral unteren Atemwege-Infektionen usw.) bei Patienten, die mit 160/4,5 (NULL,6%) (NULL,6%) als bei den Empfangen von Symbicort 80/4,5 (NULL,2%) (NULL,2%) (3.2%) (NULL,5%) (NULL,5%) oder Place (NULL,2%) (NULL,5%) oder Place (NULL,2%). Lungenentzündung trat bei der Symbicort 160/4,5 -Gruppe (NULL,1 %) im Vergleich zu Placebo (NULL,3 %) nicht mit größerer Inzidenz auf. In einer 12-monatigen Lungenfunktionsstudie von 1964 Patienten mit COPD gab es auch eine höhere Inzidenz von Lungeninfektionen als eine Lungenentzündung bei Patienten, die Symbicort 160/4,5 (NULL,1%) erhielten als bei Patienten, die Symbicort 80/4,5 (NULL,9%) Formoterol 4,5 MCG (NULL,1%) oder Placebo (NULL,2%) erhielten. Ähnlich wie bei der 6-monatigen Studie trat eine Lungenentzündung nicht mit größerer Inzidenz in der Gruppe Symbicort 160/4,5 (NULL,0%) im Vergleich zu Placebo (NULL,0%) auf.

Immunsuppression

Patienten mit Medikamenten, die das Immunsystem unterdrücken, sind anfälliger für Infektionen als gesunde Personen. Hähnchenpocken und Masern können beispielsweise bei anfälligen Kindern oder Erwachsenen einen schwerwiegenderen oder sogar tödlichen Verlauf von Kortikosteroiden haben. Bei solchen Kindern oder Erwachsenen, die diese Krankheiten nicht hatten oder ordnungsgemäß immunisiert wurden, sollten besondere Sorgfalt darauf geachtet werden, um eine Exposition zu vermeiden. Wie sich die Dosisroute und die Dauer der Verabreichung von Kortikosteroid auf das Risiko einer disseminierten Infektion auswirken, ist nicht bekannt. Der Beitrag der zugrunde liegenden Erkrankung und/oder frühere Kortikosteroidbehandlung zum Risiko ist ebenfalls nicht bekannt. Wenn die Therapie mit Varizellen -Zoster -Immunglobulin (Vzig) oder gepooltem intravenösem Immunglobulin (IVIG) nach geeignetem Anschluss angezeigt werden kann. Wenn Masernprophylaxe mit gepooltem intramuskulärem Immunglobulin (IG) ausgesetzt werden (siehe die jeweiligen Paket -Beilagen für vollständige VZIG- und IG -Verschreibungsinformationen). Wenn Hühnerpocken eine Behandlung mit antiviralen Wirkstoffen entwickelt, kann dies in Betracht gezogen werden. Die Immunreaktion auf Varizellen -Impfstoff wurde bei pädiatrischen Patienten mit Asthma im Alter von 12 Monaten bis 8 Jahren mit Budesonid -Inhalation untersucht.

Eine nicht randomisierte klinische Studie mit offenem Label untersuchte die Immunreaktion auf Varizellen-Impfstoff bei 243 Asthma-Patienten von 12 Monaten bis 8 Jahren, die mit einer Budesonid-Inhalationssuspension von 0,25 mg bis 1 mg täglich (n = 151) oder Noncorticosteroid-Asthma-Therapie (n = 151) behandelt wurden (d.h. BETA2-2-AGAGEGAGELAULISTORISTORISTORISTS) (d.h. Der Prozentsatz der Patienten, die einen seroprotektiven Antikörpertiter von> 5,0 (Gpelisa -Wert) als Reaktion auf die Impfung entwickeln, war bei Patienten, die mit einer mit Budesonid -Inhalationssuspension behandelten Patienten (85%) behandelt wurden, ähnlich im Vergleich zu Patienten, die mit einer nicht kortikosteroiden Asthma -Therapie behandelten (90%) behandelt wurden (90%). Kein mit der Budesonid -Inhalationssuspension behandelter Patient entwickelte infolge der Impfung Hähnchenpocken.

Inhalierte Kortikosteroide sollten mit Vorsicht angewendet werden, wenn bei Patienten mit aktiven oder ruhenden Tuberkulose -Infektionen des Atemwegs überhaupt tuberkulose Infektionen; unbehandelte systemische bakterielle virale oder parasitäre Infektionen mit Pilz; oder Augenherpes simplex.

Übertragung von Patienten aus der systemischen Kortikosteroid -Therapie

Für Patienten, die von systemisch aktiven Kortikosteroiden auf inhalierte Kortikosteroide übertragen wurden, ist eine bestimmte Sorgfalt erforderlich, da bei Patienten mit Asthma während und nach dem Transfer von systemischen Kortikosteroiden auf weniger systemisch verfügbare inhalierte Kortikosteroide Todesfälle aufgrund von Nebenniereninsuffizienz aufgetreten sind. Nach dem Rückzug aus systemischen Kortikosteroiden sind eine Reihe von Monaten erforderlich, um die HPA-Funktion (Hypothalamus-Hypophysen-Nebennieren) zu erholen.

Patienten, die zuvor auf 20 mg oder mehr pro Tag Prednison (oder ihr Äquivalent) aufrechterhalten wurden, können besonders dann am anfälligsten sein, wenn ihre systemischen Kortikosteroide fast vollständig zurückgezogen wurden. Während dieser Zeit der HPA -Unterdrückung können Patienten Anzeichen und Symptome einer Nebenniereninsuffizienz aufweisen, wenn sie einer Traumaoperation oder -infektion (insbesondere einer Gastroenteritis) oder anderen Erkrankungen im Zusammenhang mit schwerem Elektrolytverlust ausgesetzt sind. Obwohl Symbicort während dieser Episoden in empfohlenen Dosen die Kontrolle über Asthma -Symptome liefern kann, liefert es weniger als normale physiologische Mengen an Glukokortikoid systemisch und liefert nicht die mineralocorticoid -Aktivität, die für die Bewältigung dieser Notfälle erforderlich ist.

In Stresszeiten sollte ein schwerer Asthmaangriff oder eine schwere COPD -Exazerbationspatienten, die aus systemischen Kortikosteroiden entnommen wurden, angewiesen werden, orale Kortikosteroide (in großen Dosen) sofort wieder aufzunehmen und ihre Ärzte für weitere Anweisungen zu kontaktieren. Diese Patienten sollten auch angewiesen werden, eine Warnkarte zu tragen, die darauf hinweist, dass sie möglicherweise zusätzliche systemische Kortikosteroide in Stresszeiten eines schweren Asthmaangriffs oder einer schweren COPD -Exazerbation benötigen.

Patienten, die orale Kortikosteroide benötigen, sollten nach dem Übergang auf Symbicort langsam von systemischem Kortikosteroidgebrauch entwöhnt werden. Die Reduktion von Prednison kann durch Reduzierung der täglichen Prednisondosis wöchentlich um 2,5 mg während der Therapie mit Symbicort um 2,5 mg erreicht werden. Lungenfunktion (mittleres Zwangsvolumen in 1 Sekunde [FEV) 1 ] oder morgendlicher Spitzenstrom [PEF]) Beta-Agonist-Verwendung und Asthma- oder COPD-Symptome sollten während des Entzuges oraler Kortikosteroide sorgfältig überwacht werden. Zusätzlich sollten Patienten für Anzeichen und Symptome einer Nebenniereninsuffizienz wie Müdigkeitsschwäche und Erbrechen und Hypotonie beobachtet werden.

Die Übertragung von Patienten aus systemischer Kortikosteroid -Therapie auf inhalierte Kortikosteroide oder Symbizort kann die zuvor durch die systemische Kortikosteroidtherapie unterdrückte Erkrankungen entlarven (z. Einige Patienten können trotz Aufrechterhaltung oder sogar Verbesserung der Atemfunktion Symptome eines systemisch aktiven Kortikosteroidentzugs (z. B. Gelenk- und/oder Muskelschmerzdepression) aufweisen.

Hyperkortikismus und Nebennierenunterdrückung

Budesonid a component of Symbicort will often help control asthma Und COPD symptoms with less suppression of HPA function than therapeutically equivalent oral doses of prednisone. Since budesonide is absorbed into the circulation Und can be systemically active at higher doses the beneficial effects of Symbicort in minimizing HPA dysfunction may be expected only when recommended dosages are not exceeded Und individual patients are titrated to the lowest effective dose.

Aufgrund der Möglichkeit einer systemischen Absorption von inhalierten Kortikosteroiden, die mit Symbicort behandelt wurden, sollten sorgfältig beobachtet werden, um systemische Kortikosteroid -Effekte zu erzielen. Bei der Beobachtung von Patienten postoperativ oder in Stresszeiten sollte eine besondere Vorsicht genommen werden, um eine unzureichende Nebennierenreaktion zu erzielen.

Es ist möglich, dass systemische Kortikosteroid -Effekte wie Hyperkortizismus und Nebennierenunterdrückung (einschließlich Nebennierenkrise) bei einer geringen Anzahl von Patienten auftreten können, insbesondere wenn Budesonid über längere Zeiträume in höheren als empfohlenen Dosen verabreicht wird. Wenn solche Effekte auftreten, sollte die Dosierung von Symbicort langsam mit akzeptierten Verfahren zur Reduzierung systemischer Kortikosteroide und zur Behandlung von Asthma -Symptomen reduziert werden.

Wechselwirkungen mit Arzneimitteln With Strong Cytochrome P450 3A4 Inhibitors

Vorsicht sollte bei der Berücksichtigung der gleichzeitigen Verabreichung von Symbikorthäfen mit Ketoconazol und anderen bekannten starken CYP3A4 -Inhibitoren (z. B. Ritonavir Atazanavir Clarithromycin Indinavir Itraconazol Nefazodon Nelfinavir Saquire telithromyc -May -Makycin -May -Effekte im Zusammenhang mit adwesualen Effekten im Zusammenhang mit adwesualen Effekten im Zusammenhang mit adwesualen Effekten im Zusammenhang mit adwesualen Effekten im Zusammenhang mit dem systemischen Exposition durch Budesonidomyc) ausgesprochen werden. Wechselwirkungen mit Arzneimitteln Und Klinische Pharmakologie ].

Paradoxe Bronchospasmus und Symptome der oberen Atemwege

Wie bei anderen inhalierten Medikamenten kann Symbicort paradoxe Bronchospasmus produzieren, die lebensbedrohlich sein können. Wenn paradoxes Bronchospasmus nach der Dosierung mit Symbicort auftritt, sollte er sofort mit einem inhalierten kurzwirkenden Bronchodilatator-Symbikor behandelt werden, das sofort abgesetzt werden sollte und eine alternative Therapie eingeleitet werden sollte.

Sofortige Überempfindlichkeitsreaktionen

Sofortige Überempfindlichkeitsreaktionen können nach Verabreichung von Symbicort auftreten, wie durch Fälle von Urtikaria -Angioödem -Hautausschlag und Bronchospasmus gezeigt.

Effekte des Herz -Kreislauf- und Zentralnervensystems

Übermäßige Beta-adrenerge Stimulation wurde mit Angine Angina Hypertonie oder Hypotonie-Tachykardie mit Raten bis zu 200 Schlägen/Minrhythmien-Nervosität-Kopfschmerzen Zittern der Palpitation Übelkeit Schwindelmüdung Müdigkeit und Schlaflosigkeit [siehe Überdosierung ]. Therefore Symbicort like all products containing sympathomimetic amines should be used with caution in patients with cardiovascular disorders especially coronary insufficiency cardiac arrhythmias Und hypertension.

Formoterol a component of Symbicort can produce a clinically significant cardiovascular effect in some patients as measured by pulse rate blood pressure Und/or symptoms. Although such effects are uncommon after administration of formoterol at recommended doses if they occur the drug may need to be discontinued. In addition Beta-Agonists have been reported to produce ECG changes such as flattening of the T wave prolongation of the QTc interval Und ST segment depression. The clinical significance of these findings is unknown. Fatalities have been reported in association with excessive use of inhaled sympathomimetic drugs.

Verringerung der Knochenmineraldichte

Eine Abnahme der Knochenmineraldichte (BMD) wurde bei langfristiger Verabreichung von Produkten, die inhalierte Kortikosteroide enthalten, beobachtet. Die klinische Bedeutung kleiner Veränderungen der BMD in Bezug auf langfristige Folgen wie Fraktur ist unbekannt. Patienten mit schwerwiegenden Risikofaktoren für einen verringerten Knochenmineralgehalt wie eine längere Anamnese der Osteoporose nach der Menopausalstatus Tabakkonsum Fortgeschrittene Altersnahrung oder chronische Verwendung von Arzneimitteln, die die Knochenmasse reduzieren (z. Da Patienten mit COPD häufig mehrere Risikofaktoren für eine verringerte BMD -Bewertung von BMD aufweisen, wird vor dem Initiieren von Symbicort und danach regelmäßig empfohlen. Wenn eine signifikante Verringerung der BMD beobachtet wird und Symbicort für die COPD -Therapie des Patienten zur Behandlung oder Vorbeugung von Osteoporose nach wie vor als medizinisch angesehen wird, sollte dies stark berücksichtigt werden.

Auswirkungen der Behandlung mit Symbicort 160/4,5 Symbicort 80/4,5 Formoterol 4,5 mcg oder Placebo auf BMD wurden in einer Untergruppe von 326 Patienten (Frauen und Männer 41 bis 88 Jahre) mit COPD in der 12-monatigen Lungenfunktionsstudie bewertet. BMD-Bewertungen der Regionen der Hüft- und Lendenwirbelsäulen wurden zu Studienbeginn und 52 Wochen unter Verwendung von DEXA-Scans der Dual-Energy-Röntgenabsorptiometrie (DEXA) durchgeführt. Die mittleren Änderungen der BMD von der Basislinie bis zum Ende der Behandlung waren gering (mittlere Änderungen lagen zwischen -0,01 und 01 g/cm²). ANCOVA-Ergebnisse für Gesamtwirbelsäule und Gesamt-HIP-BMD basierend auf dem Ende des Behandlungszeitpunkts zeigten, dass alle geometrischen LS-Durchschnittsverhältnisse für die Paarer-Behandlungsgruppenvergleiche nahe 1 waren, was darauf hinweist, dass die gesamte BMD für Gesamthip- und Gesamtwirbelsäule für den 12-monatigen Zeitpunkt über die gesamte Behandlungszeit stabil war.

Auswirkungen auf das Wachstum

Oral inhalierte Kortikosteroide können zu einer Verringerung der Wachstumsgeschwindigkeit führen, wenn sie pädiatrischen Patienten verabreicht werden. Überwachen Sie das Wachstum von pädiatrischen Patienten, die symbikorisch routinemäßig erhalten (z. B. über die Stadiometrie). So minimieren Sie die systemischen Wirkungen von oral inhalierten Kortikosteroiden, einschließlich Symbikort, die die Dosis jedes Patienten auf die niedrigste Dosierung titrieren, die seine Symptome effektiv kontrolliert [siehe Dosierung und Verwaltung Und Verwendung in bestimmten Populationen ].

Glaukom und Katarakte

Glaukom erhöhte den in den Intraokulardruck und Katarakte wurden bei Patienten mit Asthma und COPD nach der langfristigen Verabreichung von inhalierten Kortikosteroiden, einschließlich Budesonid, eine Komponente von Symbicort. Daher ist eine enge Überwachung bei Patienten mit einer Sehveränderung oder mit einem erhöhten intraokularen Druckglaukom und/oder Katarakten erforderlich.

Die Auswirkungen der Behandlung mit Symbicort 160/4.5 Symbicort 80/4,5 Formoterol 4,5 mcg oder Placebo auf die Entwicklung von Katarakten oder Glaukom wurden in einer Untergruppe von 461 Patienten mit COPD in der 12-Monats-Lungfunktionsstudie bewertet. Ophthalmologische Untersuchungen wurden zu Studienbeginn 24 Wochen und 52 Wochen durchgeführt. Es gab 26 Probanden (6%) mit einer Erhöhung des hinteren Subkapsularwerts von der Grundlinie zum Maximalwert (> 0,7) während des randomisierten Behandlungszeitraums. Bei 11 Patienten (NULL,0%) in der Gruppe mit Symbicort 160/4,5, bei 11 Patienten (NULL,0%) in der Symbicort 80/4,5 -Patienten (NULL,2%) in der Formoterol -Gruppe und 6 Patienten (NULL,2%) in der Placebo -Gruppe, traten Änderungen der posterioren subkapsulären Werte von> 0,7 von der Ausgangswert zu Behandlungsmaximum auf.

Eosinophile Bedingungen und Churg-Strauss-Syndrom

In seltenen Fällen können Patienten mit inhalierten Kortikosteroiden mit systemischen eosinophilen Erkrankungen auftreten. Einige dieser Patienten weisen klinische Merkmale von Vaskulitis auf, die mit dem Churg-Strauss-Syndrom übereinstimmen, eine Erkrankung, die häufig mit einer systemischen Kortikosteroid-Therapie behandelt wird. Diese Ereignisse waren normalerweise aber nicht immer mit der Reduktion und/oder dem Entzug der oralen Kortikosteroid -Therapie nach Einführung von inhalierten Kortikosteroiden verbunden. Ärzte sollten wachsam sein auf Eosinophilie Vaskulitische Hautausschlag verschlechtern die Lungensymptome Herzkomplikationen und/oder Neuropathie, die bei ihren Patienten auftreten. Eine kausale Beziehung zwischen Budesonid und diesen zugrunde liegenden Bedingungen wurde nicht hergestellt.

Koexistierende Bedingungen

Symbicort like all medications containing sympathomimetic amines should be used with caution in patients with convulsive disorders or thyrotoxicosis Und in those who are unusually responsive to sympathomimetic amines. Doses of the related beta2-adrenoceptor agonist albuterol when administered intravenously have been reported to aggravate preexisting Diabetes mellitus Und ketoacidosis.

Hypokaliämie und Hyperglykämie

Beta-adrenerge agonistische Medikamente können bei einigen Patienten möglicherweise durch intrazelluläres Shunt zu einer signifikanten Hypokaliämie führen, was das Potenzial hat, unerwünschte kardiovaskuläre Wirkungen zu erzeugen Klinische Pharmakologie ]. The decrease in serum potassium is usually transient not requiring supplementation. Clinically significant changes in blood glucose Und/or serum potassium were seen infrequently during clinical studies with Symbicort at recommended doses.

Patientenberatungsinformationen

Raten Sie dem Patienten, die von der FDA zugelassene Patientenkennzeichnung zu lesen ( Patienteninformationen und Anweisungen zur Verwendung ).

Schwerwiegende Asthma-Ereignisse

Informieren Sie Patienten mit Asthma, dass LABA allein das Risiko eines Asthma-Krankenhausaufenthaltes oder dem asthma-bezogenen Tod erhöht. Die verfügbaren Daten zeigen, dass ICS und LABA zusammen verwendet werden, z. B. mit Symbicort, dass das Risiko für diese Ereignisse nicht erheblich steigt.

Nicht für akute Symptome

Informieren Sie die Patienten, dass Symbicort nicht dazu gedacht ist, akute Symptome von Asthma oder COPD zu lindern, und zusätzliche Dosen sollten zu diesem Zweck nicht verwendet werden. Raten Sie den Patienten bei der Behandlung akuter Symptome mit einem inhalierten kurzwirkenden Beta2-Agonisten wie Albuterol. Stellen Sie den Patienten solche Medikamente zur Verfügung und weisen Sie den Patienten an, wie er angewendet werden sollte.

Weisen Sie die Patienten an, sofort medizinische Hilfe zu suchen, wenn sie Folgendes erleben:

  • Verringernde Wirksamkeit von inhalierten kurzwirkenden Beta2-Agagonisten
  • Notwendigkeit von mehr Inhalationen als üblich von inhalierten kurzwirkenden Beta2-Agonisten
  • Signifikante Abnahme der Lungenfunktion, wie vom Arzt beschrieben

Sagen Sie den Patienten, sie sollten die Therapie mit Symbicort ohne Arzt-/Anbieteranleitung nicht stoppen, da die Symptome nach Absetzen wieder auftreten können.

Verwenden Sie keine zusätzlichen langwirksamen Beta2-Agagonisten

Weisen Sie die Patienten an, keine andere LABA für Asthma und COPD zu verwenden.

Lokale Effekte

Patienten mit lokalisierten Infektionen informieren mit Candida albicans trat bei einigen Patienten im Mund und im Pharynx auf. Wenn eine oropharyngeale Candidiasis entwickelt wird, sollte sie mit einer geeigneten lokalen oder systemischen (d. H. Mund-) Antimykotika -Therapie behandelt werden, während sie die Therapie mit Symbicort fortgesetzt wird, aber manchmal eine Times -Therapie mit Symbicort möglicherweise unter enger medizinischer Aufsicht unterbrochen werden. Das Spülen des Mundes mit Wasser ohne Schlucken nach dem Einatmen wird empfohlen, das Drogenrisiko zu verringern.

Lungenentzündung

Patienten mit COPD haben ein höheres Risiko für eine Lungenentzündung; Weisen Sie sie an, ihren Gesundheitsdienstleister zu kontaktieren, wenn sie Symptome einer Lungenentzündung entwickeln.

Immunsuppression

Warnen Sie Patienten, die sich in immunsuppressiven Kortikosteroiden anwenden, um die Exposition gegenüber Hähnchenpocken oder Masern zu vermeiden, und wenn sie ihren Arzt unverzüglich konsultieren. Informieren Sie die Patienten über eine mögliche Verschlechterung bestehender Tuberkulosepilzpilz -bakterieller viraler oder parasitärer Infektionen oder Augenherpes -Simplex.

Hyperkortikismus und Nebennierenunterdrückung

Beraten Sie den Patienten, dass Symbicort systemische Kortikosteroideffekte von Hyperkortizismus und Nebennierenunterdrückung verursachen können. Darüber hinaus informieren die Patienten, dass während und nach Übertragung von systemischen Kortikosteroiden Todesfälle aufgrund von Nebenniereninsuffizienz aufgetreten sind. Die Patienten sollten sich langsam von systemischen Kortikosteroiden verjüngen, wenn sie auf Symbicort wechseln.

Verringerung der Knochenmineraldichte

Beraten Sie Patienten, die ein erhöhtes Risiko für eine verminderte BMD haben, dass die Verwendung von Kortikosteroiden ein zusätzliches Risiko darstellt.

Reduzierte Wachstumsgeschwindigkeit

Information, dass eine mündliche Inhalation von Kortikosteroiden eine Komponente von Symbicort kann zu einer Verringerung der Wachstumsgeschwindigkeit führen, wenn sie pädiatrischen Patienten verabreicht werden. Ärzte sollten das Wachstum von Kindern und Jugendlichen, die Kortikosteroide auf irgendeinem Weg einnehmen, genau verfolgen.

Augenffekte

Die langfristige Verwendung inhalierter Kortikosteroide kann das Risiko einiger Augenprobleme (Katarakte oder Glaukom) erhöhen. Betrachten Sie regelmäßige Augenuntersuchungen.

Risiken im Zusammenhang mit der Betaagagonisten-Therapie

Informieren Sie Patienten über nachteilige Wirkungen im Zusammenhang mit Beta2agonisten wie Herzklopfen.

Nichtklinische Toxikologie

Karzinogenese -Mutagenese -Beeinträchtigung der Fruchtbarkeit

Budesonid

Langzeitstudien wurden an Ratten und Mäusen unter Verwendung einer oralen Verabreichung durchgeführt, um das krebserzeugende Potential von Budesonid zu bewerten.

In einer 2-jährigen Studie an Sprague-Dawley-Ratten verursachte Budesonid Budesonid zu einem statistisch signifikanten Anstieg der Inzidenz von Gliomen bei männlichen Ratten bei einer oralen Dosis von 50 mcg/kg (ungefähr dem MRHDID bei Erwachsenen und Kindern auf einer MCG/m²-Basis). Bei männlichen und weiblichen Ratten in jeweiligen oralen Dosen von bis zu 25 und 50 mcg/kg (ungefähr dem MRHDID bei Erwachsenen und Kindern auf MCG/m²) wurde keine Tumorigenität beobachtet. In zwei zusätzlichen 2-Jahres-Studien an männlichen Fischer und Sprague-Dawley-Ratten Budesonid verursachten keine Gliome in einer oralen Dosis von 50 mcg/kg (ungefähr dem MRHDID bei Erwachsenen und Kindern auf MCG/m²). In der männlichen Sprague-Dawley-Ratten verursachten Budesonid jedoch zu einem statistisch signifikanten Anstieg der Inzidenz von hepatozellulären Tumoren bei einer oralen Dosis von 50 mcg/kg (ungefähr dem MRHDID bei Erwachsenen und Kindern auf MCG/m²). Die gleichzeitigen Referenzkortikosteroide (Prednisolon und Triamcinolonacetonid) in diesen beiden Studien zeigten ähnliche Befunde.

In einer 91-wöchigen Studie an Mäusen verursachte Budesonid keine behandlungsbedingte Karzinogenität bei oralen Dosen von bis zu 200 mcg/kg (ungefähr das 2-fache der MRHDID bei Erwachsenen und Kindern auf MCG/m²).

Budesonid was not mutagenic or clastogenic in six different test systems: Ames Salmonella/microsome plate test mouse micronucleus test mouse lymphoma test chromosome aberration test in human lymphocytes sex-linked recessive lethal test in Drosophila melanogaster Und DNA repair analysis in rat hepatocyte culture.

Fruchtbarkeit und Fortpflanzungsleistung wurden bei Ratten bei subkutanen Dosen von bis zu 80 mcg/kg (ungefähr gleich dem MRHDID auf MCG/m²) nicht betroffen. Es führte jedoch zu einer Abnahme der vorgeburtlichen Lebensfähigkeit und Lebensfähigkeit bei den Welpen bei der Geburt und während der Laktation zusammen mit einer Abnahme des Körpergewichts bei mütterlichem Körpergewicht bei subkutanen Dosen von 20 mcg/kg und höher (weniger als die MRHDID auf mcg/m²). Bei 5 mcg/kg wurden solche Effekte nicht festgestellt (weniger als die MRHDID auf MCG/m²).

Formoterol

Langzeitstudien wurden bei Mäusen unter Verwendung oraler Verabreichung und Ratten unter Verwendung der Inhalation verabreicht, um das krebserzeugende Potential von Formoterolfumarat zu bewerten.

In einer 24-monatigen Karzinogenitätsstudie in CD-1-Mäusen Formoterol in oralen Dosen von 100 mcg/kg und höher (ungefähr 30 und 15-mal so hoch wie die MRHDID bei Erwachsenen bzw. Kindern auf MCG/m²) verursachten eine dosisbedingte Erhöhung der Inzidenz von Uterus-Leiomyomas.

In einer 24-monatigen Karzinogenitätsstudie an Sprague-Dawley-Ratten wurde bei der inhalierten Dosis von 130 mcg/kg (ungefähr 70 und 35-fache der MRHDID bei Erwachsenen und Kindern auf einem MCG/M²) eine erhöhte Inzidenz des mesovarianischen Leiomyoms und des Uterus-Leiomyosarkoms beobachtet. Bei 22 mcg/kg wurden keine Tumoren beobachtet (ungefähr das 12- und 6 -fache der MRHDID bei Erwachsenen und Kindern auf MCG/m²).

Andere Beta-Agonisten-Medikamente haben in ähnlicher Weise eine Erhöhung der Leiomyome des Genitaltrakts bei weiblichen Nagetieren gezeigt. Die Relevanz dieser Erkenntnisse für den menschlichen Gebrauch ist unbekannt.

Formoterol was not mutagenic or clastogenic in Ames Salmonella/microsome plate test mouse lymphoma test chromosome aberration test in human lymphocytes Und rat micronucleus test.

Eine Verringerung der Fruchtbarkeit und/oder der Fortpflanzungsleistung wurde bei männlichen Ratten identifiziert, die mit Formoterol in einer oralen Dosis von 15000 mcg/kg behandelt wurden (ungefähr 2200 -mal das MRHDID auf AUC). Bei 3000 mcg/kg wurde kein solcher Effekt beobachtet (ungefähr das 1600 -fache des MRHDID auf MCG/m²). In einer separaten Studie mit männlichen Ratten, die mit einer oralen Dosis von 15000 mcg/kg behandelt wurden (ungefähr 8000 -mal das MRHDID auf MCG/m² -Basis), gab es Befunde mit testikulärer tubulärer Atrophie und spermatischen Trümmern in den Tests und Oligospermie in den Epididymiden. Bei weiblichen Ratten bei Dosen von bis zu 15000 mcg/kg (ungefähr das 1100 -fache der MRHDID auf AUC) wurde keine Auswirkung auf die Fruchtbarkeit nachgewiesen.

Verwendung in bestimmten Populationen

Schwangerschaft

Risikozusammenfassung

Bei schwangeren Frauen gibt es keine angemessenen und gut kontrollierten Studien von SymbicorT oder einer seiner individuellen Komponenten-Formoterol-Fumarat. Für die andere Komponente Budesonid stehen jedoch Studien zur Verfügung. In tierischen Fortpflanzungsstudien wurde Symbikort, die durch den Inhalationsweg verabreicht wurde, teratogene embryocidale und reduzierte fetale Gewichte bei Ratten mit weniger als der maximal empfohlenen täglichen Inhalationsdosis des Menschen (MRHDID) auf mcg/m² -Basis. Budesonid allein, das durch den subkutanen Weg verabreicht wurde, war teratogene embryocidale und reduzierte fetale Gewichte bei Ratten und Kaninchen bei weniger als dem MRHDID, aber diese Effekte wurden bei Ratten, die in eingeatmische Dosen bis zum 4 -fachen des MRHDID erhielten, nicht beobachtet. Studien an schwangeren Frauen haben nicht gezeigt, dass inhaliertes Budesonid allein das Risiko für Anomalien erhöht, wenn sie während der Schwangerschaft verabreicht werden. Erfahrung mit oralen Kortikosteroiden legt nahe, dass Nagetiere anfälliger für teratogene Wirkungen durch Kortikosteroid -Exposition sind als Menschen. Formoterol -Fumarat allein, das von der oralen Route verabreicht wurde, war bei Ratten und Kaninchen bei 1600 bzw. 65000 -mal das MRHDID teratogen. Formoterol -Fumarat war auch embryozidaler erhöhter Verlust des PUP bei der Geburt und während der Laktation und verringerte das Puppengewicht bei Ratten nach dem 110 -fachen der MRHDID. Diese Nebenwirkungen traten im Allgemeinen bei großen Vielfachen des MRHDID auf, wenn Formoterol -Fumarat auf dem oralen Weg verabreicht wurde, um hohe systemische Expositionen zu erreichen. Bei Ratten wurden keine teratogenen embryozidalen oder Entwicklungseffekte beobachtet, die Inhalationsdosen bis zum 375 -fachen des MRHDID erhielten.

Das geschätzte Hintergrundrisiko für schwere Geburtsfehler und eine Fehlgeburt der angegebenen Populationen ist unbekannt. In der US -allgemeinen Bevölkerung beträgt das geschätzte Hintergrundrisiko für größere Geburtsfehler und eine Fehlgeburt bei klinisch anerkannten Schwangerschaften 2% bis 4% bzw. 15% bis 20%.

Klinische Überlegungen

Krankheitsassoziierte mütterliche und/oder embryo/fetale Risiko

Bei Frauen mit schlecht oder mäßig kontrolliertem Asthma besteht ein erhöhtes Risiko für mehrere perinatale unerwünschte Ergebnisse wie Präeklampsie bei Mutter und Frühgeburtsgewicht und klein für das Schwangerschaftsalter im Neugeborenen. Schwangere mit Asthma sollten genau überwacht und die Medikamente nach Bedarf angepasst werden, um eine optimale Asthmakontrolle aufrechtzuerhalten.

Arbeit oder Lieferung

Es gibt keine gut kontrollierten menschlichen Studien, die die Auswirkungen von Symbicort während der Arbeit und Entbindung untersucht haben. Aufgrund des Potenzials für Beta-Agonisten-Störungen in die kontraktile Gebrauchsgebrauch von Symbikort während der Arbeit sollte auf die Patienten beschränkt sein, bei denen die Vorteile das Risiko eindeutig überwiegen.

Daten

Menschliche Daten

Studien an schwangeren Frauen haben nicht gezeigt, dass inhalatisiertes Budesonid das Risiko für Anomalien erhöht, wenn sie während der Schwangerschaft verabreicht werden. Die Ergebnisse einer großen bevölkerungsbasierten prospektiven Kohorten-epidemiologischen Studie, in der Daten aus drei schwedischen Registern von 1995 bis 1997 ungefähr 99% der Schwangerschaften untersucht werden (d. H. Das schwedische medizinische Geburtsregister; Registrierung von angeborenen Fehlbildungen; Kinderkardiologie) deuten darauf hin, dass das Risiko für angeborene Fehlbildungen während der frühen Schwangerschaft keine kongenitalen Missbildungen durch die Anwendung von Inhalbonbonid während der frühen Schwangerschaft aufweist. Angeborene Missbildungen wurden in 2014 von Müttern geborenen Säuglingen untersucht, die über die Verwendung von inhaliertem Budesonid für Asthma in der frühen Schwangerschaft (normalerweise 10-12 Wochen nach der letzten Menstruationszeit) berichteten, in dem die meisten großen Organfehlbildungen auftreten. Die Rate der aufgezeichneten angeborenen Missbildungen war ähnlich wie bei der Allgemeinbevölkerungsrate (NULL,8% gegenüber 3,5%). Zusätzlich war die Anzahl der mit orofazialen Spalten geborenen Säuglingen der erwarteten Anzahl in der normalen Bevölkerung (4 Kinder im Vergleich zu 3,3) ähnlich.

Dieselben Daten wurden in einer zweiten Studie verwendet, die insgesamt 2534 Säuglingen brachte, deren Mütter einem inhalierten Budesonid ausgesetzt waren. In dieser Studie war die Geschwindigkeit angeborener Missbildungen bei Säuglingen, deren Mütter während der frühen Schwangerschaft einem inhalierten Budesonid ausgesetzt waren, im gleichen Zeitraum (NULL,6%) nicht von der Geschwindigkeit für alle Neugeborenen aus.

Tierdaten

Symbicort

In einer Embryo-Fetal-Entwicklungsstudie an schwangeren Ratten, die während des Zeitraums der Organogenese aus Schwangerschaftstagen dosierten, produzierten 6-16 Symbicort-Hernie in Feturen bei Dosen, die weniger als die MRHDID (auf einer MCG/m²-Basis bei mütterlichen inhalierten Dosen von 12/0,66 mcg/kg/tag und oben und oben). Die fetalen Gewichte wurden bei ungefähr 5 bzw. dreimal so groß wie die MRHDID reduziert (auf AUC -Basis bei einer mütterlichen inhalierten Dosis von 80/4,4 mcg/kg (Budesonid/Formoterol)). Bei Dosen, die weniger als die MRHDID weniger als die MRHDID (auf einer MCG/m² -Basis bei einer mütterlichen inhalierten Dosis von 2,5/0,14 mcg/kg/Tag), wurden keine teratogenen oder embryociden Effekte festgestellt.

Budesonid

In einer Fruchtbarkeits- und Fortpflanzungsstudie wurden männliche Ratten 9 Wochen lang subkutan dosiert und 2 Wochen vor der Paarung und während des gesamten Paarungszeitraums. Weibliche wurden bis zum Absetzen ihrer Nachkommen verteilt. Budesonid führte zu einer Abnahme der vorgeburtlichen Lebensfähigkeit und Lebensfähigkeit bei den Welpen bei der Geburt und während der Laktation zusammen mit einer Abnahme des Körpergewichts bei Müttern bei Dosen, die unter dem MRHDID unter mütterlichem subkutanem Dosen von MRHDID unter mütterlichem subkutanem Dosen von 20 mcg/kg/tagsweise und oben). Bei einer Dosis weniger als der MRHDID wurden solche Effekte nicht festgestellt (mcg/m² Basis bei einer mütterlichen subkutanen Dosis von 5 mcg/kg/Tag).

In einer Embryo-Fetal-Entwicklungsstudie an schwangeren Kaninchen, die während der Organogenese aus Schwangerschaftstagen dosiert wurden, produzierten 6-18 Budesonid den fetalen Verlust und Skelettanomalien bei Dosen weniger als bei MRHDID (auf einer MCG/m²-Basis bei einer mütterlichen subkutanus Dosis von 25 mcg/kg/day). In einer Embryo-Fetal-Entwicklungsstudie an schwangeren Ratten, die während des Zeitraums der Organogenese aus Schwangerschaftstagen dosierten, produzierten 6-15 Budesonid ähnliche unerwünschte fetale Effekte bei Dosen, die ungefähr das 8-fache der MRHDID (auf einer MCG/m²-Basis bei einer mütterlichen Subkutandosis von 500 mcg/kg/Tag). In einer anderen Embryo-fetalen Entwicklungsstudie an schwangeren Ratten wurden keine teratogenen oder embryokidalen Effekte in Dosen bis zum 4-fachen der MRHDID (auf MCG/m²-Basis bei mütterlichen Inhalationsdosen von bis zu 250 mcg/kg/Tag) beobachtet.

In einer Peri-und-postnatalen Entwicklungsstudie hatte Ratten, die vom Schwangerschaftstag 15 bis nach der Geburt dosierten. Tag 21 Budesonid hatten keine Auswirkungen auf die Entbindung, wirkten sich jedoch auf das Wachstum und die Entwicklung von Nachkommen aus. Das Überleben nach dem Nachkommen war reduziert und die Überlebenden von Nachkommen hatten bei der Geburt und während der Laktation bei Dosen, die unter dem MRHDID und höher und höher (auf MCG/m² -Basis bei mütterlicher subkutaner Dosen von 20 mcg/kg/Tag und höher) verringert wurden. Diese Befunde traten in Gegenwart einer mütterlichen Toxizität auf.

Formoterol

In einer Fruchtbarkeits- und Fortpflanzungsstudie wurden männliche Ratten 9 Wochen lang oral dosiert und 2 Wochen vor dem Paar und während des gesamten Paarungszeitraums 2 Wochen lang. Weibchen wurden entweder bis zum Absetzen ihrer Nachkommen auf den Schwangerschaftstag 19 oder bis zum Absetzen verlegt. Männer wurden bis zu 25 Wochen dosiert. Nabelhernie wurde in Rattenfeten in oralen Dosen 1600 -mal und größer als bei MRHDID beobachtet (auf MCG/m² -Basis bei mütterlichen Dosen von 3000 mcg/kg/Tag und höher). Brachygnathia wurde bei Rattenfeten in einer Dosis 8000 -mal der MRHDID beobachtet (MCG/m² -Basis bei einer oralen Dosis mütterlicherseits von 15000 mcg/kg/Tag). Die Schwangerschaft wurde in einer Dosis um das 8000 -fache des MRHDID verlängert (MCG/m² Basis bei einer oralen Dosis von 15000 mcg/kg/Tag). Fetale und Welpe -Todesfälle traten in Dosen ungefähr 1600 -mal so hoch und höher (auf MCG/m² -Basis bei oralen Dosen von 3000 mcg/kg/Tag und höher) während der Schwangerschaft.

In einer Embryo-Fetal-Entwicklungsstudie an schwangeren Ratten wurden während der Organogenese aus Schwangerschaftstagen 6-15 keine teratogenen Embryoziden- oder Entwicklungseffekte bei Dosen bis zu 375-fachen des MRHDID (mcg/m²) beobachtet.

In einer Embryo-Fetal-Entwicklungsstudie an schwangeren Kaninchen wurden während der Organogenese aus Schwangerschaftstagen 6-18 Subkapsulatzysten auf der Leber in den Feten bei einer Dosis 65000-mal-mal (auf MCG/m²) beobachtet. Bei Dosen bis zum 3800 -fachen der MRHDID wurden keine teratogenen Effekte beobachtet (auf MCG/m² -Basis bei mütterlichen oralen Dosen von bis zu 3500 mcg/kg/Tag).

In einer Studie vor und postnataler Entwicklung erhielten schwangere weibliche Ratten Formoterol in oralen Dosen von 0 210 840 und 3400 mcg/kg/Tag vom Schwangerschaftstag 6 bis zur Laktationsperiode. Das Überleben von Puppen wurde von der Geburt bis zum postpartalen Tag 26 bei Dosen 110-mal des MRHDID und höher (auf MCG/m²-Basis bei mütterlichen oralen Dosen von 210 mcg/kg/Tag und höher) verringert, obwohl es keine Hinweise auf eine Dosis-Wirkungs-Beziehung gab. Es gab keine behandlungsbedingten Auswirkungen auf die physikalische Funktions- und Verhaltensentwicklung von Rattenpuppen.

Stillzeit

Risikozusammenfassung

Es stehen keine Daten zu den Auswirkungen von Symbicort Budesonid oder Formoterol Fumarat auf das gestillte Kind oder auf die Milchproduktion vor. Budesonid wie andere inhalierte Kortikosteroide sind in der Muttermilch vorhanden [siehe Daten ]. There are no available data on the presence of formoterol fumarate in human milk. Formoterol fumarate is present in rat milk [see Daten ]. The developmental Und health benefits of breastfeeding should be considered along with the mother's clinical need for Symbicort Und any potential adverse effects on the breastfed infant from Symbicort or from the underlying maternal condition.

Daten

Menschliche Daten mit Budesonid, die über trockener Pulverinhalator geliefert wird Klinische Pharmakologie ]. For Symbicort the dose of budesonide available to the infant in breast milk as a percentage of the maternal dose would be expected to be similar.

In der Fruchtbarkeits- und Fortpflanzungsstudie an den Ratten-Plasma-Niveaus von Formoterol wurden in Welpen am postnatalen Tag 15 gemessen [siehe Verwendung in bestimmten Populationen ]. It was estimated that the maximum plasma concentration that the pups received from the maternal animal at the highest dose of 15 mg/kg after nursing was 4.4% (0.24 nmol/L for a litter vs. 5.5 nmol/L for the mother).

Pädiatrische Verwendung

Die Sicherheit und Wirksamkeit von Symbicort bei Asthma -Patienten ab 12 Jahren wurde in Studien bis 12 Monate festgelegt. In den beiden 12-wöchigen doppelblinden, placebokontrollierten US-amerikanischen Studien wurden 25 Patienten im Alter von 12 bis 17 Jahren zweimal täglich mit Symbicort behandelt [siehe Klinische Studien ]. Efficacy results in this age group were similar to those observed in patients 18 years Und older. There were no obvious differences in the type or frequency of adverse events reported in this age group compared with patients 18 years of age Und older.

Die Sicherheit und Wirksamkeit von Symbicort 80/4,5 bei Asthmapatienten von 6 bis weniger als 12 Jahren wurden in Studien mit bis zu 12 Wochen Dauer festgelegt [siehe Klinische Studien ]. The safety profile in these patients was consistent to that observed in patients 12 years of age Und older who also received Symbicort [see Nebenwirkungen ].

Die Sicherheit und Wirksamkeit von Symbicort bei Asthma -Patienten mit einem Alter von weniger als 6 Jahren wurde nicht festgestellt.

Kontrollierte klinische Studien haben gezeigt, dass oral inhalierte Kortikosteroide einschließlich Budesonid eine Komponente von Symbicort zu einer Verringerung der Wachstumsgeschwindigkeit bei pädiatrischen Patienten führen kann. Dieser Effekt wurde in Abwesenheit von Labornachweisen einer HPA-Achse-Unterdrückung beobachtet, was darauf hindeutet, dass die Wachstumsgeschwindigkeit ein empfindlicherer Indikator für eine systemische Kortikosteroid-Exposition bei pädiatrischen Patienten ist als bei einigen häufig verwendeten Tests der HPA-Achsenfunktion. Der langfristige Effekt dieser Verringerung der Wachstumsgeschwindigkeit im Zusammenhang mit oral inhalierten Kortikosteroiden einschließlich der Auswirkungen auf die endgültige Höhe ist unbekannt. Das Potenzial für ein Nachholwachstum nach Absetzen der Behandlung mit oral inhalierten Kortikosteroiden wurde nicht ausreichend untersucht.

In einer Studie über asthmatische Kinder im Alter von 5 bis 12 Jahren hatten diejenigen, die mit Budesonid DPI 200 MCG zweimal täglich behandelt wurden (n = 311), eine Wachstumsverringerung um 1,1 Zentimeter im Vergleich zu denjenigen, die Placebo (n = 418) am Ende eines Jahres erhielten; Der Unterschied zwischen diesen beiden Behandlungsgruppen stieg in drei Jahren zusätzlicher Behandlung nicht weiter an. Bis zum Ende von 4 Jahren hatten Kinder mit Budesonid -DPI und mit Placebo behandelter Kinder ähnliche Wachstumsgeschwindigkeiten. Aus dieser Studie gezogene Schlussfolgerungen können durch die ungleiche Verwendung von Kortikosteroiden in den Behandlungsgruppen und die Einbeziehung von Daten von Patienten, die im Verlauf der Studie die Pubertät erreichten, verwechselt werden.

Das Wachstum von pädiatrischen Patienten, die oral inhalierte Kortikosteroide einschließlich Symbicort erhalten, sollte überwacht werden. Wenn ein Kind oder ein Jugendlicher in einem Kortikosteroid eine Wachstumsunterdrückung zu haben scheint, sollte die Möglichkeit, dass es besonders empfindlich gegenüber diesem Effekt ist, berücksichtigt werden. Die potenziellen Wachstumseffekte einer längeren Behandlung sollten gegen die klinischen Vorteile abgewogen werden. So minimieren Sie die systemischen Wirkungen oral inhalierter Kortikosteroide, einschließlich Symbikor, jeder Patient sollte auf die niedrigste Stärke titriert werden, die sein Asthma effektiv kontrolliert [siehe Dosierung und Verwaltung ].

Geriatrische Verwendung

Von der Gesamtzahl der Asthma-Patienten, die zweimal täglich mit Symbicort in zwei 12-wöchigen Studien behandelt wurden, und eine 26-wöchige Nachmarktstudie 791 waren 65 Jahre oder älter, von denen 141 Jahre alt waren.

In den COPD -Studien mit 6 bis 12 Monaten Dauer 810 Patienten, die mit Symbicort 160/4,5 behandelt wurden, waren zwei zweimal täglich 65 Jahre alt und über diese 177 Patienten 75 Jahre und älter. Es wurden keine allgemeinen Unterschiede in der Sicherheit oder Wirksamkeit zwischen diesen Patienten und jüngeren Patienten beobachtet, und andere berichtete klinische Erfahrungen haben keine Unterschiede in den Reaktionen zwischen älteren und jüngeren Patienten identifiziert.

Wie bei anderen Produkten, die Beta2-Agonisten enthalten, ist bei der Verwendung von Symbicort bei geriatrischen Patienten mit einer gleichzeitigen Herz-Kreislauf-Erkrankung, die von Beta2-Agonisten beeinflusst werden könnten.

Basierend auf verfügbaren Daten für Symbicort oder seine aktiven Komponenten ist keine Anpassung der Dosierung von Symbicort bei geriatrischen Patienten gerechtfertigt.

Hepatische Beeinträchtigung

Formale pharmakokinetische Studien unter Verwendung von Symbicort wurden bei Patienten mit Leberfunktionsstörungen nicht durchgeführt. Da sowohl Budesonid als auch Formoterol Fumarat überwiegend durch die Beeinträchtigung der Leberfunktion der Leberstoffwechselstoffwechsel und zur Akkumulation von Budesonid und Formoterol -Fumarat in Plasma führen können. Daher sollten Patienten mit Lebererkrankungen eng überwacht werden.

Nierenbehinderung

Bei Patienten mit Nierenbeeinträchtigung wurden formale pharmakokinetische Studien mit Symbicort nicht durchgeführt.

Überdosierungsinformationen für Symbicort

Symbicort

Symbicort contains both budesonide Und formoterol; therefore the risks associated with overdosage for the individual components described below apply to Symbicort. In pharmacokinetic studies single doses of 960/54 mcg (12 actuations of Symbicort 80/4.5) Und 1280/36 mcg (8 actuations of 160/4,5) were administered to patients with COPD. A total of 1920/54 mcg (12 actuations of Symbicort 160/4,5) was administered as a single dose to both healthy subjects Und patients with asthma. In a long-term active-controlled safety study in adolescent Und adult asthma patients 12 years of age Und older Symbicort 160/4,5 was administered for up to 12 months at doses up to twice the highest recommended daily dose. There were no clinically significant adverse reactions observed in any of these studies.

Budesonid

Das Potenzial für akute toxische Wirkungen nach Überdosierung von Budesonid ist gering. Bei übermäßigen Dosen für längere Perioden kann systemische Kortikosteroid -Effekte wie Hyperkortizismus auftreten [siehe Warnungen und VORSICHTSMASSNAHMEN ]. Budesonid at five times the highest recommended dose (3200 mcg daily) administered to humans for 6 weeks caused a significant reduction (27%) in the plasma cortisol response to a 6-hour infusion of ACTH compared with placebo (+1%). The corresponding effect of 10 mg prednisone daily was a 35% reduction in the plasma cortisol response to ACTH.

Formoterol

Eine Überdosis von Formoterol würde wahrscheinlich zu einer Übertreibung von Effekten führen, die für Beta2agonisten typisch sind: Angina -Hypertonie -Hypotonie -Tachykardien atriale und ventrikuläre Tachyarrhythmus -Nervosität Kopfschmerz -Tremor -Palpitationen Muskeln zerstreuen Übelkeit Dizzzizzstörungen Störungen Störungen der Metabols -Säure -Säure -Hypergliedern Hypokalemie Hypokalemie Hypokalemie Hypokalemie Hypokalemie Hypokalemie Hypokalemie. Wie bei allen sympathomimetischen Medikamenten kann ein Herzstillstand und sogar der Tod mit dem Missbrauch von Formoterol verbunden sein. Es wurden keine klinisch signifikanten Nebenwirkungen beobachtet, wenn erwachsene Patienten mit akuter Bronchokonstriktion in einer Dosis von 90 mcg/Tag über 3 Stunden oder an stabile Asthmatik 3 -mal täglich 3 -mal pro Tag bei einer Gesamtdosis von 54 mcg/Tag für 3 Stunden lang eine Dosis von 54 mcg/Tag beobachtet wurden.

Behandlung of formoterol overdosage consists of discontinuation of the medication together with institution of appropriate symptomatic Und/or supportive therapy. The judicious use of a cardioselective beta-receptor blocker may be considered bearing in mind that such medication can produce bronchospasm. There is insufficient evidence to determine if dialysis is beneficial for overdosage of formoterol. Cardiac monitoring is recommended in cases of overdosage.

Kontraindikationen für Symbicort

Die Verwendung von Symbicort wird unter folgenden Bedingungen kontraindiziert:

  • Primärbehandlung von Status Asthmaticus oder anderen akuten Episoden von Asthma oder COPD, bei denen intensive Maßnahmen erforderlich sind.
  • Überempfindlichkeit gegenüber den Zutaten in Symbicort.

Klinische Pharmakologie for Symbicort

Wirkungsmechanismus

Symbicort

Symbicort contains both budesonide Und formoterol; therefore the mechanisms of action described below for the individual components apply to Symbicort. These drugs represent two classes of medications (a synthetic corticosteroid Und a long-acting selective beta2-adrenoceptor agonist) that have different effects on clinical physiological Und inflammatory indices of COPD Und asthma.

Budesonid

Budesonid is an anti-inflammatory corticosteroid that exhibits potent glucocorticoid activity Und weak mineralocorticoid activity. In stUndard in vitro Und animal models budesonide has approximately a 200fold higher affinity for the glucocorticoid receptor Und a 1000-fold higher topical anti-inflammatory potency than cortisol (rat croton oil ear edema assay). As a measure of systemic activity budesonide is 40 times more potent than cortisol when administered subcutaneously Und 25 times more potent when administered orally in the rat thymus involution assay.

In Glukokortikoidrezeptor -Affinitätsuntersuchungen war die 22R -Form von Budesonid zweimal so aktiv wie das 22S -Epimer. In -vitro -Studien zeigten, dass die beiden Formen des Budesonids nicht miteinander verbunden sind.

Entzündung ist eine wichtige Komponente bei der Pathogenese von COPD und Asthma. Kortikosteroide weisen eine breite Palette von inhibitorischen Aktivitäten gegen mehrere Zelltypen auf (z. B. Mastzellen Eosinophile Neutrophile-Makrophagen und Lymphozyten) und Mediatoren (z. B. Histamin-Eicosanoide Leukotriene und Cytokine). Diese entzündungshemmenden Wirkungen von Kortikosteroiden können zu ihrer Wirksamkeit bei COPD und Asthma beitragen.

Studien an asthmatischen Patienten haben ein günstiges Verhältnis zwischen topischen entzündungshemmenden Aktivität und systemischen Kortikosteroid-Effekten über einen weiten Bereich von Budesoniddosen gezeigt. Dies wird durch eine Kombination eines relativ hohen lokalen entzündungshemmenden Effekts aus einem umfangreichen Erstpass-Leber-Abbau des oral absorbierten Arzneimittels (85%-95%) und der geringen Wirksamkeit gebildeter Metaboliten erklärt.

Formoterol

Formoterol fumarate is a long-acting selective beta2-adrenergic agonist (beta2-agonist) with a rapid onset of action. Inhaled formoterol fumarate acts locally in the lung as a bronchodilator. In vitro studies have shown that formoterol has more than 200-fold greater agonist activity at beta2-receptors than at beta1receptors. The in vitro binding selectivity to beta2-over beta1-adrenoceptors is higher for formoterol than for albuterol (5 times) whereas salmeterol has a higher (3 times) beta2-selectivity ratio than formoterol.

Obwohl Beta2-Rezeptoren die vorherrschenden adrenergen Rezeptoren im glatten Bronchialmuskel sind und Beta1rezeptoren die vorherrschenden Rezeptoren im Herzen sind, gibt es auch Beta2-Rezeptoren im menschlichen Herzen, das 10% bis 50% der gesamten Beta-adrenergen Rezeptoren umfasst. Die genaue Funktion dieser Rezeptoren wurde nicht festgestellt, sie erhöhen jedoch die Möglichkeit, dass selbst hochselektive Beta2-Agonisten möglicherweise Herzeffekte haben.

Die pharmakologischen Wirkungen von Beta2-Adrenozeptor-Agonisten-Medikamenten einschließlich Formoterol sind zumindest teilweise auf die Stimulation der intrazellulären Adenylcyclase zurückzuführen. Erhöhte cyclische AMP -Spiegel verursachen eine Relaxation des glatten Bronchial -glatten Muskels und die Hemmung der Freisetzung von Mediatoren der sofortigen Überempfindlichkeit aus Zellen, insbesondere aus Mastzellen.

In -vitro -Tests zeigen, dass Formoterol ein Inhibitor der Freisetzung von Mastzellmediatoren wie Histamin und Leukotrien aus der menschlichen Lunge ist. Formoterol hemmt auch die Histamin-induzierte Plasmaalbumin-Extravasation bei anästhesierten Meerschweinchen und hemmt Allergen-induzierte Eosinophilen-Zustrom bei Hunden mit Atemwegs-Hyper-Responsivität. Die Relevanz dieser in vitro- und tierischen Befunde für den Menschen ist unbekannt.

Pharmakodynamik

Asthma

Herz -Kreislauf -Effekte

In einer eindosierten Cross-Over-Studie mit 201 Patienten mit anhaltenden Asthma-Einzeldosis-Behandlungen von 4,5 9 und 18 mcg Formoterol wurden in Kombination mit 320 mcg Budesonid, die über Symbicort geliefert wurden, mit Budesonid 320 mcg allein verglichen. Dosisbestimmte Verbesserungen bei FEV 1 wurden im Vergleich zu Budesonid demonstriert. EKGs und Blutproben für Glukose und Kalium wurden nach der Dosis erhalten. Für Symbicort -durchschnittliche mittlere Erhöhungen der Serumglukose und Abnahme des Serumkaliums (NULL,44 mmol/l bzw. -0,18 mmol/l bei der höchsten Dosis) wurden im Vergleich zu Budesonid mit zunehmenden Formoteroldosen beobachtet. In EKGs produzierte Symbicort einen kleinen dosisbedingten mittleren Zunahme der Herzfrequenz (ungefähr 3 bpm bei der höchsten Dosis) und QTC-Intervalle (3-6 ms) im Vergleich zu Budesonid allein. Kein Subjekt hatte einen QT- oder QTC -Wert ≥ 500 ms.

In den Vereinigten Staaten wurden fünf 12-wöchige aktive und placebokontrollierte Studien und eine 6-monatige aktive kontrollierte Studie 2976 Patienten ab 6 Jahren mit Asthma untersucht. Die systemischen pharmakodynamischen Wirkungen von Formoterol (Herz-/Pulsfrequenzblutdruck -QTC -Intervall -Kalium und Glucose) waren bei Patienten, die mit Symbicort behandelt wurden, ähnlich im Vergleich zu Patienten, die mit Formoterol -Trockeninhalationspulver 4,5 mcg 2 zweimal täglich behandelt wurden. Kein Patient hatte während der Behandlung einen QT- oder QTC -Wert ≥ 500 ms.

In drei placebokontrollierten Studien bei Jugendlichen und Erwachsenen mit Asthma im Alter von 12 Jahren und älters waren insgesamt 1232 Patienten (553 Patienten in der Symbicort-Gruppe) eine evaluierbare kontinuierliche 24-Stunden-Elektrokardiographie-Überwachung. Insgesamt gab es keine wichtigen Unterschiede im Auftreten einer ventrikulären oder supraventrikulären Ektopie und kein Hinweis auf ein erhöhtes Risiko für klinisch signifikante Dysrhythmie in der Symbicort -Gruppe im Vergleich zu Placebo.

HPA-Achseneffekte

Insgesamt wurden keine klinisch wichtigen Auswirkungen auf die HPA-Achse gemessen, gemessen durch 24-Stunden-Cortisol im Urin, für mit Symbikoren behandelte erwachsene oder jugendliche Patienten mit Dosen von bis zu 640/18 mcg/Tag im Vergleich zu Budesonid.

Chronisch obstruktive Lungenerkrankung

Herz -Kreislauf -Effekte

In zwei COPD -Lungenfunktionsstudien 6 Monate und 12 Monate in der Dauer, einschließlich 3668 COPD -Patienten, wurden keine klinisch wichtigen Unterschiede in der Pulsfrequenz Blutdruckkalium und Glukose zwischen Symbicort den einzelnen Komponenten von Symbicort und Placebo beobachtet [siehe Klinische Studien ].

EKGs, die bei mehreren Klinikbesuchen zur Behandlung in beiden Studien aufgezeichnet wurden, zeigten keine klinisch wichtigen Unterschiede für die Herzfrequenz -Herzfrequenz -Anzeichen für Herz -Frequenz -PR -Intervall für Herzisschämie oder Arrhythmien zwischen Symbicort 160/4,5 Die Monoprodukte und Placebo, die alle zweimal täglich als 2 Inhalationen verabreicht wurden. Basierend auf EKGS 6 Patienten, die mit Symbicort 160/4,5 6 behandelt wurden, wurden mit Formoterol 4,5 MCG und 6 Patienten in der Placebo -Gruppe Vorhofflimmern oder Flattern behandelt, die zu Studienbeginn nicht vorhanden waren. Bei den Symbicort 160/4,5 Formoterol 4,5 MCG- oder Placebo -Gruppen gab es keine Fälle von nicht verletzter ventrikulärer Tachykardie.

In der 12-monatigen Studie hatten 520 Patienten vor der ersten Dosis und nach ungefähr 1 und 4 Monaten die Behandlung eine evaluierbare kontinuierliche 24-Stunden-EKG (Holter) -Monitorierung. Bei den mit Symbicort 160/4,5 Formoterol oder Placebo, die zweimal täglich als 2 zweimal täglich als 2 Inhalationen eingenommen wurden, wurden keine klinisch wichtigen Unterschiede in ventrikulären oder supraventrikulären Arrhythmien -ventrikulären oder supraventrikulären ektopischen Schlägen oder Herzfrequenzen beobachtet. Basierend auf EKG (Holter) Überwachung eines Patienten auf Symbicort 160/4,5 Keine Patienten auf Formoterol 4,5 mcg und drei Patienten in der Placebo -Gruppe hatten Vorhofflimmern oder Flattern, die zu Studienbeginn nicht vorhanden waren.

HPA-Achseneffekte

Vierundzwanzig Stunden Cortisol-Messungen im Harn wurden in einer gepoolten Untergruppe (n = 616) von Patienten aus zwei COPD-Lungenfunktionsstudien erfasst. Die Daten zeigten nach chronischen Verabreichung (> 6 Monaten) von Symbicort im Vergleich zu Placebo einen niedrigeren mittleren mittleren mittleren 24-Stunden-freien Cortisol-Werte im Urin. Symbicort schien eine vergleichbare Cortisol -Unterdrückung mit Budesonid 160 mcg allein oder gleichzeitig von Budesonid 160 MCG und Formoterol 4,5 mcg zu zeigen. Bei Patienten, die mit Symbicort oder Placebo für bis zu 12 Monate behandelt wurden, war der Prozentsatz der Patienten, die für diese Maßnahme von normal zu niedrig wechselten, im Allgemeinen vergleichbar.

Andere Budesonidprodukte

Um zu bestätigen, dass eine systemische Absorption kein signifikanter Faktor für die klinische Wirksamkeit von inhaliertem Budesonid ist, wurde eine klinische Studie bei Patienten mit Asthma durchgeführt, in der 400 mcg -Budesonid über ein unter Druck stehender Dosis -Inhalator mit einem Röhrchen -Abstandsabstand bis zu 1400 mcg Mund -Budesonid und Placebo verabreicht wurden. Die Studie zeigte die Wirksamkeit von inhaliertem Budesonid, aber trotz vergleichbarer systemischer Werte nicht mündlich Budesonid. Daher wird die therapeutische Wirkung herkömmlicher Dosen oral inhalierter Budesonid weitgehend durch seine direkte Wirkung auf den Atemweg erklärt.

Es wurde gezeigt, dass inhalierte Budesonid die Reaktivität der Atemwege auf verschiedene Herausforderungsmodelle verringert, einschließlich Histamin -Methacholin -Natriummetabisulfit und Adenosinmonophosphat bei Patienten mit hyperreaktiven Atemwege. Die klinische Relevanz dieser Modelle ist nicht sicher.

Vorbehandlung mit inhaliertem Budesonid 1600 mcg täglich (800 mcg zweimal täglich) für 2 Wochen reduzierte die akute (Frühphasenreaktion) und eine verzögerte (spätphasige Reaktion) Abnahme der FEV 1 nach inhalatem Allergen -Herausforderung.

Die systemischen Wirkungen inhalierter Kortikosteroide hängen mit der systemischen Exposition gegenüber solchen Arzneimitteln zusammen. Pharmakokinetische Studien haben gezeigt, dass sowohl bei Erwachsenen als auch bei Kindern mit Asthma die systemische Exposition gegenüber Budesonid mit Symbicort niedriger ist als in eingeatmter Budesonid, die bei derselben verabreichten Dosis über einen trockenen Pulverinhalator verabreicht wird [siehe Klinische Pharmakologie ]. Therefore the systemic effects (HPA-axis Und growth) of budesonide delivered from Symbicort would be expected to be no greater than what is reported for inhaled budesonide when administered at comparable doses via the dry powder Inhalator [see Verwendung in bestimmten Populationen ].

HPA-Achseneffekte

Die Auswirkungen von inhalierten Budesonid, die über einen trockenen Pulverinhalator auf die HPA-Achse verabreicht wurden, wurden bei 905 Erwachsenen und 404 pädiatrischen Patienten mit Asthma untersucht. Bei den meisten Patienten blieb die Fähigkeit, die Cortisolproduktion als Reaktion auf Stress zu erhöhen, wie durch Cosyntropin (ACTH) -Stimulationstest bewertet wurde, in empfohlenen Dosen intakt mit der Budesonidbehandlung. Bei erwachsenen Patienten, die 12 Wochen lang zweimal täglich mit 100 200 400 oder 800 mcg behandelt wurden, hatten 4% 2% 6% bzw. 13% eine abnormale stimulierte Cortisol -Reaktion (Peak Cortisol <14,5 mcg/dL assessed by liquid chromatography following short-cosyntropin test) as compared to 8% of patients treated with placebo. Similar results were obtained in pediatric patients. In another study in adults doses of 400 800 Und 1600 mcg of inhaled budesonide twice daily for 6 weeks were examined; 1600 mcg twice daily (twice the maximum recommended dose) resulted in a 27% reduction in stimulated cortisol (6-hour ACTH infusion) while 10-mg prednisone resulted in a 35% reduction. In this study no patient on budesonide at doses of 400 Und 800 mcg twice daily met the criterion for an abnormal stimulated-cortisol response (peak cortisol <14,5 mcg/dL assessed by liquid chromatography) following ACTH infusion. An open-label long-term follow-up of 1133 patients for up to 52 weeks confirmed the minimal effect on the HPA-axis (both basal-Und stimulated-plasma cortisol) of budesonide when administered at recommended doses. In patients who had previously been oral-steroid-dependent use of budesonide in recommended doses was associated with higher stimulated-cortisol response compared to baseline following 1 year of therapy.

Andere Formoterolprodukte

Während die pharmakodynamische Wirkung durch die Stimulation von Beta-adrenergen Rezeptoren übermäßige Aktivierung dieser Rezeptoren üblich ist, führt die übermäßige Aktivierung dieser Rezeptoren üblicherweise zu Trems von Skelettmuskeln und Krämpfe von Insomnia-Tachykardien nimmt ab, die Plasma-Kalium-Plasma-Kalium-Glucose abnimmt. Inhaliertes Formoterol wie andere Beta2-adrenerge agonistische Medikamente können dosisbedingte kardiovaskuläre Wirkungen und Auswirkungen auf Blutzucker und/oder Serumkalium erzeugen [siehe Warnungen und VORSICHTSMASSNAHMEN ]. For Symbicort these effects are detailed in the Klinische Pharmakologie Pharmakodynamik Symbicort (12.2) Abschnitt.

Die Verwendung von LABA -Arzneimitteln kann zu Toleranz gegenüber bronchoprotektiven und bronchodilatorischen Wirkungen führen.

Rebound Bronchiale Hyperresponsivität Nach Einstellung einer chronischen langwirksamen Beta-Agonag-Therapie wurde nicht beobachtet.

Pharmakokinetik

Symbicort

Absorption

Budesonid

Gesunde Probanden

Seroquel XR 50 mg Nebenwirkungen

Oral inhaliertes Budesonid wird in der Lunge schnell absorbiert und die Spitzenkonzentration wird typischerweise innerhalb von 20 Minuten erreicht. Nach oraler Verabreichung der Budesonid-Peak-Plasmakonzentration wurde in etwa 1 bis 2 Stunden erreicht und die absolute systemische Verfügbarkeit von 6% -13% aufgrund des umfangreichen Erstpassstoffwechsels betrug. Im Gegensatz dazu wurde der größte Teil des in die Lunge gelieferten Budesonid systemisch absorbiert. Bei gesunden Probanden wurden 34% der Messdosis in der Lunge (wie durch Plasmakonzentrationsmethode und unter Verwendung eines Budesonid-haltigen Trockenpulverinhalators) mit einer absoluten systemischen Verfügbarkeit von 39% der messenen Dosis abgelagert.

Nach Verabreichung von Symbicort 160/4,5 zwei oder vier Inhalationen zweimal täglich für 5 Tage bei gesunden Probanden stieg die Plasmakonzentration von Budesonid im Allgemeinen proportional zur Dosis an. Der Akkumulationsindex für die Gruppe, die zwei Inhalationen zweimal täglich erhielt, betrug 1,32 für Budesonid.

Asthma Patients

In einer Einzeldosis-Studie, die höher als die empfohlenen Symbikor-Dosen (12 Inhalationen von Symbicort 160/4,5) wurden an Patienten mit moderatem Asthma verabreicht. Die Spitzen -Budesonid -Plasmakonzentration von 4,5 nmol/l trat 20 Minuten nach der Dosierung auf. Diese Studie zeigte, dass die systemische Gesamtexposition gegenüber Budesonid aus Symbicort über einen trockenen Pulverinhalator (DPI) bei derselben gelieferten Dosis etwa 30% niedriger war als durch inhalierte Budesonid. Nach der Verabreichung von Symbicort betrug die Halbwertszeit der Budesonid-Komponente 4,7 Stunden.

In einer Wiederholungsdosis -Studie wurde Patienten mit moderatem Asthma und gesunden Probanden für 1 Woche die höchste empfohlene Dosis von Symbicort (160/4,5 zwei zweimal täglich) verabreicht. Bei Asthma -Patienten traten bei 21 Minuten bei 21 Minuten bei 21 Minuten auf Asthma -Patienten eine Spitzen -Budesonid -Konzentration von 1,2 nmol/l. Die Peak -Budesonid -Plasmakonzentration war bei Asthma -Patienten um 27% niedriger als bei gesunden Probanden. Die gesamte systemische Exposition von Budesonid war jedoch vergleichbar mit der bei Asthma -Patienten.

Die von DPI bei Erwachsenen mit Asthma verabreichten Peak-Plasmakonzentrationen von Budesonid betrugen durchschnittlich 0,6 und 1,6 nmol/l bei Dosen von 180 mcg bzw. 360 mcg zweimal täglich. Bei asthmatischen Patienten zeigte Budesonid eine lineare Zunahme von AUC und Cmax mit zunehmender Dosis nach einer einzelnen und wiederholten Dosierung von inhaliertem Budesonid.

COPD Patients

In einer Einzeldosis-Studie wurden 12 Inhalationen von Symbicort 80/4,5 (Gesamtdosis 960/54 MCG) an Patienten mit COPD verabreicht. Die mittlere Budesonid -Peak -Plasmakonzentration von 3,3 nmol/l trat 30 Minuten nach der Dosierung auf. Die systemische Budesonid-Exposition war zwischen Symbicort PMDI und der gleichzeitigen Verabreichung von Budesonid über einen messdosierten Inhalator und Formoterol über einen trockenen Pulverinhalator (Budesonid 960 MCG und Formoterol 54 MCG) vergleichbar. In derselben Studie erhielt eine Open-Label-Gruppe mittelschwerer Asthma-Patienten auch die gleiche höhere Dosis Symbicort. Bei Budesonid -COPD -Patienten zeigten Patienten 12% höhere AUC und 10% niedrigere Cmax im Vergleich zu Asthma -Patienten.

In der 6-monatigen zentralen Lungenfunktion wurden die klinischen Studie stationärer pharmakokinetischer Daten von Budesonid in einer Untergruppe von COPD-Patienten mit Behandlungsarmen von Symbicort PMDI 160/4,5 Symbicort PMDI 80/4,5-Budesonid 160 mcg Budesonid 160 mcg und Formoterol 40 mcg, die alle zweimal inhalen, 2 zweimal in Inhalen, 2 zweimal in Inhallen, erhalten. Die systemische Budesonid -Exposition (AUC und Cmax) stieg proportional mit Dosen von 80 mcg bis 160 mcg an und war im Allgemeinen ähnlich zwischen den 3 Behandlungsgruppen, die die gleiche Dosis Budesonid erhielten (Symbicort PMDI 160/4.5 Budesonid 160 MCG Budesonid 160 MCG und Formoterol 4.5, die zusammen zusammen verabreicht wurden).

Formoterol

Inhaliertes Formoterol wird schnell absorbiert; Die Spitzenplasmakonzentrationen werden typischerweise innerhalb von 5 bis 10 Minuten nach der Dosierung bei der ersten Plasmaabtastzeit erreicht. Wie bei vielen Arzneimitteln für die orale Inhalation ist es wahrscheinlich, dass der Großteil des gelieferten inhalierten Formoterols verschluckt und dann aus dem Magen -Darm -Trakt absorbiert wird.

Gesunde Probanden

Nach Verabreichung von Symbicort (160/4,5 zwei oder vier Inhalationen zweimal täglich) für 5 Tage bei gesunden Probanden stieg die Plasmakonzentration von Formoterol im Allgemeinen proportional zur Dosis an. Der Akkumulationsindex für die Gruppe, die zwei Inhalationen zweimal täglich erhielt, betrug 1,77 für Formoterol.

Asthma Patients

In einer Einzeldosis-Studie, die höher als die empfohlenen Symbikor-Dosen (12 Inhalationen von Symbicort 160/4,5) wurden an Patienten mit moderatem Asthma verabreicht. Die Spitzenplasmakonzentration für Formoterol von 136 pmol trat 10 Minuten nach der Dosierung auf. Ungefähr 8% der verabreichten Formoteroldosis wurden im Urin als unveränderter Arzneimittel gewonnen.

In einer Wiederholungsdosis -Studie wurde Patienten mit moderatem Asthma und gesunden Probanden für 1 Woche die höchste empfohlene Dosis von Symbicort (160/4,5 zwei zweimal täglich) verabreicht. Bei Asthma -Patienten trat bei Asthma -Patienten eine Spitzenformoterol -Plasmakonzentration von 28 pmol/l auf. Die Peak -Formoterol -Plasma -Konzentration war bei Asthma -Patienten bei gesunden Probanden etwa 42% niedriger. Die gesamte systemische Exposition von Formoterol war jedoch vergleichbar mit der bei Asthma -Patienten.

COPD Patients

Nach der Verabreichung von 12 Inhalationen von Symbicort 80/4,5 wurde die Plasmakonzentration der mittleren Peakformoterol von 167 pmol/l schnell nach 15 Minuten nach der Dosierung schnell erreicht. Die Formoterol-Exposition war von Symbicort PMDI etwas größer (~ 16-18%) im Vergleich zur gleichzeitigen Verabreichung von Budesonid über einen Messdosis-Inhalator und Formoterol über einen trockenen Pulverinhalator (Gesamtdosis von Budesonid 960 mcg und Formoterol 54 MCG). In derselben Studie erhielt eine offene Gruppe von moderaten Asthma -Patienten die gleiche Dosis Symbicort. COPD-Patienten zeigten im Vergleich zu Asthma-Patienten 12-15% größere AUC und Cmax für Formoterol.

In der 6-monatigen zentralen Lungenfunktion wurden klinische Studie stationärer pharmakokinetischer Daten von Formoterol in einer Untergruppe von COPD-Patienten mit Behandlungsarmen von Symbicort PMDI 160/4,5 Symbicort PMDI 80/4,5-Formoterol 4,5 mcg Budesonid 160 mcg und Formoterol 40/4,5-MCG, die alle zwei zweimal in Inhalen verabreicht wurden. Die systemische Exposition von Formoterol, wie durch AUC belegt, war etwa 30% und 16% von Symbicort PMDI im Vergleich zu Formoterol allein Behandlungsarm und gleichzeitiger Verabreichung einzelner Komponenten von Budesonid- und Formoterolbehandlungsarm.

Verteilung

Budesonid

Das Volumen der Verteilung von Budesonid betrug ungefähr 3 l/kg. Es waren 85% -90% an Plasmaproteine ​​gebunden. Die Proteinbindung war konstant über den Konzentrationsbereich (1-100 nmol/l) und überschritt die empfohlenen inhalierten Dosen. Budesonid zeigte wenig oder gar keine Bindung an Corticosteroid -Bindungsglobulin. Budesonid äquilibrierte schnell mit roten Blutkörperchen in einer konzentrationsunabhängigen Weise mit einem Blutplasmakassil von etwa 0,8.

Formoterol

Über den Konzentrationsbereich von 10-500 nmol/l Plasmamroteinbindung für die RR- und SS-Enantiomere von Formoterol betrug 46% bzw. 58%. Die Konzentrationen von Formoterol, die zur Beurteilung der Plasmaproteinbindung verwendet wurden, waren höher als die im Plasma erzielten Plasma nach Einatmen einer einzelnen 54 mcg -Dosis.

Stoffwechsel

Budesonid

In -vitro -Studien mit menschlichen Leberhomogenaten haben gezeigt, dass Budesonid schnell und ausgiebig metabolisiert wurde. Zwei wichtige Metaboliten, die über Cytochrom P450 (CYP) Isoenzym 3A4 (CYP3A4) gebildet wurden, wurden isoliert und als 16α-Hydroxyprednisolon und 6ß-Hydroxybudesonid identifiziert. Die Kortikosteroidaktivität jedes dieser beiden Metaboliten betrug weniger als 1% der der Elternverbindung. Es wurden keine qualitativen Unterschiede zwischen den In -vitro- und in vivo -Stoffwechselmustern festgestellt. Eine vernachlässigbare Stoffwechsel -Inaktivierung wurde in menschlichen Lungen- und Serumpräparaten beobachtet.

Formoterol

Der primäre Metabolismus von Formoterol ist die direkte Glucuronidation und durch O-Demethylierung, gefolgt von Konjugation an inaktive Metaboliten. Die sekundären Stoffwechselwege umfassen Deformylierung und Sulfatkonjugation. CYP2D6 und CYP2C wurden als in erster Linie für die Odemethylierung verantwortlich verantwortlich identifiziert.

Beseitigung

Budesonid

Budesonid was excreted in urine Und feces in the form of metabolites. Approximately 60% of an intravenous radiolabeled dose was recovered in the urine.

Im Urin wurde kein unveränderter Budesonid festgestellt. Die 22R -Form von Budesonid wurde bevorzugt von der Leber mit systemischer Clearance von 1,4 l/min gegenüber 1,0 l/min für die 22S -Form gelöscht. Die terminale Halbwertszeit von 2 bis 3 Stunden war für beide Epimere gleich und war unabhängig von der Dosis.

Formoterol

Die Ausscheidung von Formoterol wurde bei vier gesunden Probanden nach gleichzeitiger Verabreichung von radioaktiv markiertem Formoterol über die oralen und IV -Routen untersucht. In dieser Studie wurden 62% des radioaktiv markierten Formoterols im Urin ausgeschieden, während 24% in den Kot beseitigt wurden.

Besondere Populationen

Geriatrisch

Die Pharmakokinetik von Symbicort bei geriatrischen Patienten wurde nicht speziell untersucht.

Pädiatrisch

Die Plasmakonzentrationen von Budesonid wurden nach Verabreichung von vier Inhalationen von Symbicort 160/4,5 in einer Einzeldosis-Studie bei pädiatrischen Patienten mit Asthma 6 bis weniger als 12 Jahren gemessen. Die Spitzen-Budesonidkonzentrationen von 1,4 nmol/l traten 20 Minuten nach der Dosis auf. Diese Studie zeigte auch, dass die systemische Gesamtexposition gegenüber Budesonid aus Symbicort über einen trockenen Pulverinhalator, der auch bei derselben abgegebenen Dosis bewertet wurde, ungefähr 30% niedriger als durch inhaliertes Budesonid war. Die dosisnormalisierte Cmax und AUC0-Inf von Budesonid nach Einatmen der Kinder bei Kindern von 6 bis weniger als 12 Jahren waren numerisch niedriger als bei Erwachsenen.

Nach 2 Inhalationen von Symbicort 160/4,5 zweimal tägliche Behandlungsformoterol Cmax und AUC0-6 im stationären Zustand bei Kindern von 6 bis weniger als 12 Jahren waren vergleichbar mit denen, die bei Erwachsenen beobachtet wurden.

Geschlecht/Rasse

Spezifische Studien zur Untersuchung der Auswirkungen von Geschlecht und Rasse auf die Pharmakokinetik von Symbicort wurden nicht durchgeführt. Die Populations -PK -Analyse der Symbicort -Daten zeigt, dass das Geschlecht die Pharmakokinetik von Budesonid und Formoterol nicht beeinflusst. Aufgrund der geringen Anzahl von Nichtkaukasiern, die für PK bewertet wurden, können keine Schlussfolgerungen gezogen werden.

Pflegemütter

Die Disposition von Budesonid, wenn er durch Inhalation eines Trockenpulverinhalators in Dosen von 200 oder 400 MCG zweimal täglich für mindestens 3 Monate täglich geliefert wurde, wurde bei acht laktierenden Frauen mit Asthma von 1 bis 6 Monaten nach der Geburt untersucht. Die systemische Exposition gegenüber Budesonid bei diesen Frauen scheint mit denen bei nicht laktierenden Frauen mit Asthma aus anderen Studien vergleichbar zu sein. Die über acht Stunden nach der Dosis erhaltene Muttermilch ergab, dass die maximale Budesonidkonzentration für die Gesamtdosen von 400 und 800 mcg 0,39 bzw. 0,78 nmol/l betrug und innerhalb von 45 Minuten nach der Dosierung auftrat. Die geschätzte orale tägliche Dosis von Budesonid von der Muttermilch bis zum Kind beträgt ungefähr 0,007 und 0,014 mcg/kg/Tag für die beiden in dieser Studie verwendeten Dosisschemata, die ungefähr 0,3% bis 1% der von der Mutter inhalierten Dosis entsprechen. Die Budesonidspiegel in Plasmaproben, die von fünf Säuglingen etwa 90 Minuten nach dem Stillen (und ca. 140 Minuten nach der Arzneimittelverabreichung zur Mutter) erhalten wurden, lagen unter quantifizierbaren Werten (und etwa 140 Minuten nach der Arzneimittelverabreichung) (und etwa 140 Minuten nach der Arzneimittelverabreichung) unter quantifizierbaren Spiegeln ( <0.02 nmol/L in four infants Und <0.04 nmol/L in one infant) [see Verwendung in bestimmten Populationen ].

Nieren- oder Leberinsuffizienz

Es gibt keine Daten über die spezifische Verwendung von Symbicort bei Patienten mit Leber oder Nierenbeeinträchtigung. Eine verringerte Leberfunktion kann die Eliminierung von Kortikosteroiden beeinflussen. Die Budesonid -Pharmakokinetik wurde durch eine kompromittierte Leberfunktion beeinflusst, wie eine doppelte systemische Verfügbarkeit nach oraler Einnahme belegt. Die intravenöse Budesonid -Pharmakokinetik war jedoch bei Zirrhose -Patienten und bei gesunden Probanden ähnlich. Spezifische Daten mit Formoterol sind nicht verfügbar, da Formoterol jedoch hauptsächlich über den Leberstoffwechsel beseitigt wird, ist bei Patienten mit schwerer Leberbeeinträchtigung eine erhöhte Exposition zu erwarten.

Wechselwirkungen mit Drogenmedikamenten

Eine eindosierte Crossover-Studie wurde durchgeführt, um die Pharmakokinetik von acht Inhalationen der folgenden zu vergleichen: Budesonid-Formoterol und Budesonid plus Formoterol, die gleichzeitig verabreicht wurden. Die Ergebnisse der Studie zeigten, dass es keine Hinweise auf eine pharmakokinetische Wechselwirkung zwischen den beiden Komponenten von Symbicort gab.

Inhibitoren von Cytochrom -P450 -Enzymen

Ketoconazol

Ketoconazol a strong inhibitor of cytochrome P450 (CYP) isoenzyme 3A4 (CYP3A4) the main metabolic enzyme for corticosteroids increased plasma levels of orally ingested budesonide.

Cimetidin

Bei empfohlenen Dosen hatte Cimetidin ein unspezifischer Inhibitor von CYP-Enzymen eine leichte, aber klinisch unbedeutende Wirkung auf die Pharmakokinetik von oralem Budesonid.

Spezifische Arzneimittel-Drug-Wechselwirkungsstudien mit Formoterol wurden nicht durchgeführt.

Tiertoxikologie und/oder Pharmakologie

Präklinisch

Studien an Labortieren (Minipigs-Nagetiere und Hunde) haben das Auftreten von Herzrhythmusstörungen und plötzlichem Tod (mit histologischen Hinweisen auf eine Myokardnekrose) gezeigt, wenn Beta-Agonisten und Methylxanthine gleichzeitig verabreicht werden. Die klinische Bedeutung dieser Ergebnisse ist unbekannt.

Klinische Studien

Asthma

Patienten mit Asthma 12 Jahren und älter

In zwei klinischen Studien, in denen Symbicort mit den individuellen Komponenten in den meisten Wirksamkeitsendpunkten mit Symbicort größer war als bei der Verwendung von Budesonid oder Formoterol allein. Darüber hinaus zeigte eine klinische Studie ähnliche Ergebnisse zwischen Symbicort und der gleichzeitigen Verwendung von Budesonid und Formoterol bei entsprechenden Dosen von getrennten Inhalatoren.

Die Sicherheit und Wirksamkeit von Symbicort wurde in zwei randomisierten doppelblinden, placebokontrollierten US-klinischen Studien mit 1076 Patienten ab 12 Jahren nachgewiesen. Fixe Symbicort -Dosierungen von 160/9 MCG und 320/9 MCG zweimal täglich (jede Dosis, die als 2 Inhalationen der 80/4,5- und 160/4,5 -MCG -Stärken verabreicht wurden) wurden mit den Monokomponenten (Budesonid und Formoterol) und Placebo verglichen, um Informationen über angemessene Dosierung zu liefern.

Studie 1: Klinische Studie mit Symbicort 160/4.5

In dieser 12-wöchigen Studie wurde 596 Patienten ab 12 Jahren untersucht, indem Symbicort 160/4,5 die freie Kombination von Budesonid 160 mcg plus Formoterol 4,5 mcg in separaten Inhalatoren Budesonid 160 mcg Formoterol 4,5 mcg und Placebo vergleicht; jeweils als 2 Inhalationen zweimal täglich verabreicht. Die Studie umfasste eine 2-wöchige Laufzeit mit Budesonid 80 MCG 2-Inhalationen zweimal täglich. Die meisten Patienten hatten ein mittelschweres bis schweres Asthma und verwendeten vor dem Studieneintritt mittelschwere bis hohe Dosen von inhalativem Kortikosteroiden. Die Randomisierung wurde durch eine frühere inhalierte Corticosteroid-Behandlung geschichtet (NULL,6% auf mittelschwerer und 28,4% auf hochdosierten inhalierten Kortikosteroid). Mittlerer prozentual vorhergesagter FEV 1 Zu Studienbeginn lag 68,1% und war in allen Behandlungsgruppen ähnlich. Die Co-Primary-Wirksamkeitsendpunkte waren 12-Stunden-durchschnittliche Nachdosis FEV 1 in Woche 2 und vor Dosis FEV 1 gemittelt im Verlauf der Studie. Die Studie verlangte auch, dass Patienten, die ein vordefiniertes Asthma-Kriterium erfüllten, zurückgezogen werden. Die vordefinierten Asthmakriterien waren eine klinisch wichtige Abnahme der FEV 1 oder PEF -Erhöhung der Rettung Albuterol Nutzung Nachtwachen aufgrund von Asthma -Notfallinterventionen oder Krankenhausaufenthalt aufgrund von Asthma oder Anforderungen an Asthma -Medikamente, die vom Protokoll nicht zulässig sind. Für das Kriterium des nächtlichen Erwachens aufgrund von Asthma-Patienten durften Patienten nach Ermessen des Forschers in der Studie bleiben, wenn keines der anderen Asthma-Kriterien erfüllt wurde. Der Prozentsatz der Patienten, die sich aufgrund von vordefinierten Kriterien für die Verschlechterung von Asthma zurückziehen oder erfüllen, ist in Tabelle 4 gezeigt.

Tabelle 4: Anzahl und Prozentsatz der Patienten, die vordefinierte Kriterien zur Verschlechterung der Asthma zurückziehen oder erfüllen (Studie 1)

Symbicort 160/4,5
n = 124
Budesonid 160 mcg plus Formoterol 4,5 mcg
n = 115
Budesonid 160 mcg
n = 109
Formoterol 4,5 mcg
n = 123
Placebo
n = 125
Patienten, die aufgrund eines vordefinierten Asthmaereignisses zurückgezogen sind 1 13 (NULL,5) 13 (NULL,3) 22 (NULL,2) 44 (NULL,8) 62 (NULL,6)
Patienten mit einem vordefinierten Asthma -Ereignis 12 37 (NULL,8) 24 (NULL,9) 48 (NULL,0) 68 (NULL,3) 84 (NULL,2)
Abnahme von FEV 1 4 (NULL,2) 8 (NULL,0) 7 (NULL,4) 15 (NULL,2) 14 (NULL,2)
Rettungsmedikamentenkonsum 2 (NULL,6) 0 3 (NULL,8) 3 (NULL,4) 7 (NULL,6)
Abnahme von AM PEF 2 (NULL,6) 5 (NULL,3) 5 (NULL,6) 17 (NULL,8) 15 (12.0)
Nachtwachen 3 24 (NULL,4) 11 (NULL,6) 29 (NULL,6) 32 (NULL,0) 49 (NULL,2)
Klinische Verschlechterung 7 (NULL,6) 6 (5.2) 5 (NULL,6) 17 (NULL,8) 16 (NULL,8)
1 Diese Kriterien wurden täglich unabhängig vom Zeitpunkt des Klinikbesuchs mit Ausnahme von FEV bewertet 1 die bei jedem Klinikbesuch bewertet wurde.
2 Individuelle Kriterien werden für Patienten angezeigt, die ein vordefiniertes Asthma -Ereignis unabhängig vom Rückzugsstatus erfüllen.
3 Für das Kriterium des Nachtwachens aufgrund von Asthma -Patienten durften Patienten nach Ermessen des Ermittlers in der Studie bleiben, wenn keines der anderen Kriterien erfüllt wurde.

Durchschnittlich prozentualer Veränderung gegenüber dem Ausgangswert in FEV 1 Die unmittelbar vor der Dosierung (Vordosi 1 Die Ergebnisse beim letzten verfügbaren Studienbesuch (Ende der Behandlung EOT) werden ebenfalls bereitgestellt. Patienten, die Symbicort 160/4,5 erhielten 1 Am Ende der Behandlung (NULL,19 L 9,4%) im Vergleich zu Budesonid 160 mcg (NULL,10 l 4,9%) Formoterol 4,5 mcg (-0,12 l -4,8%) und Placebo (-0,17 l -6,9%).

Abbildung 1: Durchschnittlicher Prozentwechsel von Ausgangswert in der vordosierten FEV 1 Über 12 Wochen (Studie 1)

Mean Percent Change From Baseline in Pre-dose Fev <sub> 1 </sub>  Über 12 Wochen (Studie 1) - Illustration

Die Auswirkung von Symbicort 160/4,5 Zwei Inhalationen zweimal täglich auf ausgewählte sekundäre Wirksamkeitsvariablen, einschließlich morgendlicher und abendlicher PEF-Albuterol-Rettungsverwendung und Asthma-Symptome über 24 Stunden auf einer Skala von 0-3, ist in Tabelle 5 dargestellt.

Tabelle 5: Mittelwerte für ausgewählte sekundäre Wirksamkeitsvariablen (Studie 1)

Wirksamkeitsvariable Symbicort 160/4,5
(N 1 = 124)
Budesonid 160 mcg plus Formoterol 4,5 mcg
(N 1 = 115)
Budesonid 160 mcg
(N 1 = 109)
Formoterol 4,5 mcg
(N 1 = 123)
Placebo
(N 1 = 125)
AM PEF (l/min) Grundlinie 341 338 342 339 355
Von der Grundlinie wechseln 35 28 9 -9 -18
PM PEF (l/min) Grundlinie 351 348 357 354 369
Von der Grundlinie wechseln 34 26 7 -7 -18
Albuterol Rescue -Verwendung Grundlinie 2.1 2.3 2.7 .5 2.4
Von der Grundlinie wechseln -1.0 -1.5 -0.8 -0.3 0.8
Durchschnittlicher Symptom Score/Tag (0-3 Skala) Grundlinie 0.99 1.03 1.04 1.04 1.08
Von der Grundlinie wechseln -0.28 -0.32 -0.14 -0.05 0.10
1 Die Anzahl der Patienten (n) variiert aufgrund der Anzahl der Patienten, für die Daten für jede Variable verfügbar waren, gering. Die gezeigten Ergebnisse basieren auf den letzten verfügbaren Daten für jede Variable.

Die subjektiven Auswirkungen von Asthma auf die gesundheitsbezogene Lebensqualität der Patienten wurden durch die Verwendung des standardisierten Fragebogens zur Lebensqualität der Lebensqualität (AQLQ (s)) (basierend auf einer 7-Punkte-Skala, bei der 1 = maximale Beeinträchtigung und 7 = keine Beeinträchtigung). Patienten, die Symbicort 160/4,5 erhielten, hatten eine klinisch sinnvolle Verbesserung der gesamten Asthma-spezifischen Lebensqualität, wie durch einen mittleren Unterschied zwischen Behandlungsgruppen von> 0,5 Punkten in der Änderung gegenüber dem Ausgangswert im Gesamt-AQLQ-Score (Differenz des AQLQ-Scores von 0,70) [95% CI 0,47 0,93] im Vergleich zu Placebo) definiert.

Studie 2: Klinische Studie mit Symbicort 80/4.5

Diese 12-wöchige Studie war in der Studie 1 ähnlich und umfasste 480 Patienten ab 12 Jahren. In dieser Studie wurde Symbicort 80/4,5 Budesonid 80 mcg Formoterol 4,5 mcg und Placebo verglich; jeweils als 2 Inhalationen zweimal täglich verabreicht. Die Studie umfasste eine 2-wöchige Placebo-Laufzeit. Die meisten Patienten hatten ein leichtes bis mittelschweres Asthma und verwendeten vor dem Studieneintritt niedrige bis mittelschwere Dosen inhalierter Kortikosteroide. Mittlerer prozentual vorhergesagter FEV 1 Zu Studienbeginn lag 71,3% und war in allen Behandlungsgruppen ähnlich. Wirksamkeitsvariablen und Endpunkte waren identisch mit denen in Studie 1.

Der Prozentsatz der Patienten, die sich aufgrund von vordefinierten Kriterien für die Verschlechterung von Asthma zurückziehen oder erfüllen, ist in Tabelle 6 gezeigt. Die Methode der Bewertung und der verwendeten Kriterien war mit der in Studie 1 identisch.

Tabelle 6: Anzahl und Prozentsatz der Patienten, die sich aufgrund von Kriterien für oder maßgeschneiderte Patienten zur Verschlechterung der Asthma zurückziehen (Studie 2)

Symbicort 80/4.5
(N= 123)
Budesonid 80 mcg
(N=121)
Formoterol 4,5 mcg
(N=114)
Placebo
(N=122)
Patienten, die aufgrund eines vordefinierten Asthmaereignisses zurückgezogen sind 1 9 (NULL,3) 8 (NULL,6) 21 (NULL,4) 40 (NULL,8)
Patienten mit einem vordefinierten Asthma -Ereignis 12 23 (18.7) 26 (NULL,5) 48 (NULL,1) 69 (NULL,6)
Abnahme von FEV 1 3 (NULL,4) 3 (NULL,5) 11 (NULL,6) 9 (NULL,4)
Rettungsmedikamentenkonsum 1 (NULL,8) 3 (NULL,5) 1 (NULL,9) 3 (NULL,5)
Abnahme von AM 3 (NULL,4) 1 (NULL,8) 8 (NULL,0) 14 (NULL,5)
PEF -Nachtwachen 3 17 (NULL,8) 20 (NULL,5) 31 (NULL,2) 52 (NULL,6)
Klinische Verschlechterung 1 (NULL,8) 3 (NULL,5) 5 (NULL,4) 20 (NULL,4)
1 Diese Kriterien wurden täglich unabhängig vom Zeitpunkt des Klinikbesuchs mit Ausnahme von FEV bewertet 1 die bei jedem Klinikbesuch bewertet wurde.
2 Individuelle Kriterien werden für Patienten angezeigt, die ein vordefiniertes Asthma -Ereignis unabhängig vom Rückzugsstatus erfüllen.
3 Für das Kriterium des Nachtwachens aufgrund von Asthma -Patienten durften Patienten nach Ermessen des Ermittlers in der Studie bleiben, wenn keines der anderen Kriterien erfüllt wurde.

Mittlere prozentuale Änderung gegenüber dem Ausgangswert in der vor Dosis FEV 1 Über 12 Wochen sind in Abbildung 2 angezeigt.

Abbildung 2: Durchschnittlicher Prozentwechsel von Ausgangswert in der vordosierten FEV 1 Über 12 Wochen (Studie 2)

Mean Percent Change From Baseline in Pre-dose Fev <sub> 1 </sub>  Über 12 Wochen - Illustration

Die Wirksamkeitsergebnisse für andere sekundäre Endpunkte, einschließlich der Lebensqualität, waren ähnlich wie in Studie 1 beobachtet.

Einsetzen und Dauer der Wirkung und das Fortschreiten der Verbesserung der Asthmakontrolle

Der Einsetzen der Wirkung und das Fortschreiten der Verbesserung der Asthmakontrolle wurden in den beiden zentralen klinischen Studien bewertet. Die mediane Zeit für den Einsetzen einer klinisch signifikanten Bronchodilation (> 15% Verbesserung der FEV 1 ) wurde innerhalb von 15 Minuten gesehen. Maximale Verbesserung der FEV 1 trat innerhalb von 3 Stunden auf und klinisch signifikante Verbesserungen wurden über 12 Stunden aufrechterhalten. Die Abbildungen 3 und 4 zeigen die prozentuale Veränderung gegenüber dem Ausgangswert in der Post-Dosis-FEV 1 Über 12 Stunden am Tag der Randomisierung und am letzten Tag der Behandlung für Studie 1.

Verringerung der Asthma -Symptome und bei der Rettungsverwendung von Albuterol sowie die Verbesserung des PEF von Morgen und Abend traten innerhalb von 1 Tag nach der ersten Dosis Symbicort auf; Die Verbesserung dieser Variablen wurde in den 12 Wochen der Therapie beibehalten.

Folgt der anfänglichen Dosis Symbicort FEV 1 In den ersten 2 Wochen der Behandlung zeigten sich die Bewertung der 6. Woche 6 immer noch verbessert und wurde für beide Studien in Woche 12 aufrechterhalten.

Mit Symbicort 80/4,5 oder Symbicort 160/4,5 wurde keine Verringerung des 12-stündigen Bronchodilatator-Effekts beobachtet, wie durch FEV bewertet wurde 1 Nach 12 Wochen Therapie oder beim letzten verfügbaren Besuch.

Fev 1 Daten aus Studie 1 Bewertung von Symbicort 160/4.5 sind in den Abbildungen 3 und 4 angezeigt.

über die Thekensalbe für Herpes

Abbildung 3: Durchschnittlicher Prozentwechsel gegenüber dem Ausgangswert in FEV 1 Am Tag der Randomisierung (Studie 1)

Mean Percent Change From Baseline in Fev <sub> 1 </sub>  Am Tag der Randomisierung - Illustration

Abbildung 4: Durchschnittlicher Prozentwechsel gegenüber dem Ausgangswert in FEV 1 am Ende der Behandlung (Studie 1)

Mean Percent Change From Baseline in Fev <sub> 1 </sub>  am Ende der Behandlung - Illustration
Patienten mit Asthma 6 bis weniger als 12 Jahre alt

Das klinische Programm zur Unterstützung der Wirksamkeit von Symbicort 80/4,5 bei Kindern von 6 bis weniger als 12 Jahren umfasste Folgendes: 1) eine Budesoniddosis -Bestätigungsstudie 2) eine Formoterol -Dosis -Erfindungsstudie und 3) eine Wirksamkeits- und Sicherheitsstudie des Symbicort -Kombinationsprodukts.

Die Auswahl von Budesonid 80 MCG wird durch eine 6-wöchige randomisierte doppelblinde placebokontrollierte Studie an 304 pädiatrischen Patienten (152 Budesonid 152 Placebo) 6 bis weniger als 12 Jahre mit Asthma unterstützt. Die Ergebnisse zeigten, dass Budesonid 80 mcg (2 zweimal täglich) statistisch signifikant eine höhere Verbesserung im Vergleich zu Placebo für den primären Endpunkt der Änderung von der Ausgangswert zum Behandlungszeitraum im VordosismorgenpEF und den wichtigsten sekundären Endpunkt der Änderung des Vordosismorgens FEV lieferte 1 . Die Selektion der Formoterol-Dosis wird durch eine randomisierte, placebokontrollierte 5-Wege-Cross-Over-Studie (Foradil Aerolizer 12 mcg) unterstützt, in der Dosen von 2,25 4,5 und 9 MCG-Formoterol in Kombination mit Budesonid bei 54 pediatric-Patienten mit weniger als 12 Jahren mit Asthma verabreicht wurden. Die Ergebnisse zeigten eine Dosisantwort von Formoterol im Vergleich zu Placebo für den primären Endpunkt von FEV 1 gemittelt über 12 Stunden nach der Dosis und die 9 MCG-Gruppe zeigte numerisch ähnliche Ergebnisse im wie die aktive Kontrolle.

Die Studie zur Bestätigungseffizienz war eine 12-wöchige randomisierte, doppelblinde multizentrische Studie, in der Symbicort 80/4,5 mit Budesonid PMDI 80 mcg verglichen wurde, die jeweils zwei zweimal täglich bei 184 pädiatrischen Patienten von 6 bis 12 Jahren mit einer dokumentierten klinischen Diagnose von Asthma verabreicht wurden. Bei einem Versuchseintritt mussten die Kinder eine inhalierte Kortikosteroid-Therapie mit mittlerer Dosierung oder eine feste Kombination aus inhaliertem Kortikosteroid und Laba-Therapie erfordern und trotz der Behandlung mit einem niedrig dosierten inhalativen Kortikosteroid während einer 2- bis 4-wöchigen Laufzeit mit niedrig dosiertem Kortikosteroid aufwiesen. Die primäre Wirksamkeitsvariable bestand darin 1 . Bei Patienten, die Symbicort 80/4,5 erhielten 1 die sich von Grund auf bis Woche 12 um 0,28 l verbesserte, verglichen mit 0,17 l für diejenigen, die Budesonid 80 mcg erhielten (mittlere Differenz 0,12 l; 95% CI: 0,03 0,20) (siehe Abbildung 5).

Abbildung 5: Änderung von der Ausgangswert in klinisch gemessenen 1-stündigen FEV nach der Dosierung 1 Über 12 Wochen (Wirksamkeits- und Sicherheitsstudie bei Patienten von 6 bis weniger als 12 Jahren).

Change From Baseline in Clinic-Measured 1-hour Post-dose Fev <sub> 1 </sub>  Über 12 Wochen - Illustration

In ähnlicher Weise wurde eine Verbesserung in der Veränderung von Grundlinie zu Woche 12 für 1-stündige Nachdosis-Klinik-PEF festgestellt (mittlere Differenz 25,5 l/min; 95% CI: 10,9 40,0). Bronchodilatatorische Effekte wurden aus der ersten Bewertung nach 15 Minuten am ersten Tag ersichtlich und wurden in Woche 12 aufrechterhalten. Der geschätzte mittlere Unterschied zwischen Symbicort 80/4,5 und Budesonid in Bezug auf die Veränderung von Ausgangswert bis Woche 12 in 15 Minuten nach der Dosis Klinik FEV 1 war 0,10 l (95% CI: 0,02 0,18). In den nachtzeitlichen Wakenings -Rettungsnutzung von Albuterol oder pädiatrischen Asthma -Qualitäten der Lebensqualität (PAQLQ) wurden keine Unterschiede zwischen Symbicort und Budesonid festgestellt. Der Anteil der Patienten mit einer Verbesserung von mindestens 0,5 Punkten von Grundlinie bis Woche 12 in PAQLQ betrug 42% bei Symbicort 80/4,5 und 46% bei Budesonid 80 mcg.

Sicherheits- und Wirksamkeitsstudie nach dem Stempeln

Eine randomisierte Doppelblind-Parallelgruppensicherheitsstudie verglich Symbicort mit Budesonid, die jeweils zwei zweimal täglich über 26 Wochen als 2 Inhalationen verabreicht wurden (NCT01444430). Das primäre Sicherheitsziel bestand darin, zu bewerten, ob die Zugabe von Formoterol zu Budesonidtherapie (Symbicort) in Bezug auf das Risiko schwerwiegender Asthma-bezogene Ereignisse (Asthma-Krankenhausendotracheal-Intubation und Tod) nicht stehend in der Budesonid war. Die Studie wurde entwickelt, um eine vordefinierte Risikospanne schwerwiegender Asthma-Ereignisse von 2,0 auszuschließen. Ein verblindeter Entscheidungsausschuss ermittelte, ob Ereignisse Asthma waren.

In dieser Studie wurden Patienten, die 12 Jahre alt waren, für mindestens 1 Jahr eine klinische Diagnose von Asthma eingeschlossen und mindestens 1 Asthma-Exazerbation, die im Vorjahr eine Behandlung mit systemischen Kortikosteroiden oder einem Asthma-Krankenhausaufenthalt erfordern. Die Patienten wurden an einer der beiden Dosis an Symbikort oder Budesonid geschichtet, basierend auf der Bewertung der Asthmakontrolle und der laufenden Asthma -Therapie. Patienten mit lebensbedrohlicher Asthma wurden ausgeschlossen. Die Studie umfasste 11693 Patienten [5846, die Symbicort (80/4,5 oder 160/4,5) und 5847 Budesonid (80 oder 160 mcg)] erhielten, deren Durchschnittsalter 44 Jahre betrug und von denen 66% weiblich und 69% kaukasisch waren.

Symbicort was non-inferior to budesonide in terms of time to first serious asthma-related events based on the pre-specified risk margin with an estimated hazard ratio of 1.07 [95% dort: 0.70 1.65] (Table 7).

Tabelle 7: Ernsthafte Asthma-Ereignisse (Studien zur Sicherheits- und Wirksamkeit nach dem Stempeln)

Symbicort
(N 1 = 5846) n 2 (%)
Budesonid
(N 1 = 5847) n 2 (%)
Symbicort vs. Budesonid Hazard ratio (95% dort) 3
Ernstes Asthma-Ereignis 4 43 (NULL,7) 40 (NULL,7) 1,07 (NULL,70 1,65)
Asthma-related death 2 ( <0.1) 0
Asthma-related endotracheal intubation 1 ( <0.1) 0
Asthma-related hospitalization 42 (NULL,7) 40 (NULL,7)
1 N = Gesamtzahl der Patienten
2 n = Anzahl der Patienten mit dem Ereignis
3 Das Hazard-Verhältnis für die Zeit zum ersten Ereignis basierte auf einem nicht geschichteten Cox-Proportional-Hazard-Modell mit Kovariaten der Behandlung (Symbicort vs. Budesonid) und inhaliertem Corticosteroid-Dosis (160 mcg vs. 80 mcg), wie randomisiert. Wenn die resultierende obere 95% CI -Schätzung für das relative Risiko war <2.0 then non-inferiority was concluded.
4 Asthma-related hospitalization endotracheal intubation or death that occurred within 6 months after the first use of study drug or 7 days after the last date of study drug whichever date was later. Patients can have one or more events but only the first event was counted for analysis. A single blinded independent adjudication committee determined whether events were asthma-related.

Der primäre Wirksamkeitsendpunkt war Asthma -Exazerbationen, die als Verschlechterung von Asthma definiert wurden, die zur Verwendung systemischer Kortikosteroide mindestens 3 Tage oder einen Krankenhausaufenthalt oder einen Notfallaufwand für systemische Kortikosteroide führte. Das geschätzte Hazard -Verhältnis für die Zeit bis zur ersten Asthma -Exazerbationsrate für Symbicort in Bezug auf Budesonid betrug 0,84 [95% CI: 0,75 0,94]. Dieses Ergebnis wurde hauptsächlich durch eine Verringerung des systemischen Kortikosteroidverbrauchs angetrieben.

Chronisch obstruktive Lungenerkrankung

Lungenfunktion

Die Wirksamkeit von Symbicort 80/4.5 und Symbicort 160/4,5 bei der Erhaltungsbehandlung von Luftströmen bei COPD-Patienten wurde bei zwei randomisierten doppelblinden placebokontrollierten multinationalen Studien, die über 6 Monate (Studie 1) und 12 Monate (Studie 2) (Studie 2) bei 3668 Patienten (2416-Männer und 1252-Frauen) durchgeführt wurden, bewertet. Die Mehrheit der Patienten (93%) war kaukasisch. Alle Patienten mussten mit einem FEV mindestens 40 Jahre alt sein 1 von weniger als oder gleich 50% prognostizierte eine klinische Diagnose von COPD mit Symptomen für mindestens 2 Jahre und eine Rauchergeschichte von mindestens 10 Packjahren vor dem Abschluss der Studie. Der mittlere Prebronchodilator FEV 1 Zu Studienbeginn der in die Studie eingeschlossenen Patienten wurde 34% vorhergesagt. Achtundvierzig Prozent der eingeschriebenen Patienten waren auf inhalierten Kortikosteroiden und 52,7% der Patienten waren während des Einlaufs kurzwirtschaftliche anticholinerge Bronchodilatatoren. Bei der Randomisierung wurden inhalierte Kortikosteroide abgesetzt und das Ipratropium-Bromid wurde bei einer stabilen Dosis für Patienten zulässig, die zuvor mit kurz wirksamen anticholinergen Bronchodilatatoren behandelt wurden. Die Ko-primären Wirksamkeitsvariablen in beiden Studien waren die Veränderung von der Ausgangswert in der durchschnittlichen Vordosis und 1-stündigen Nachdosis FEV 1 über den Behandlungszeitraum. Die Ergebnisse beider Studien 1 und 2 sind nachstehend beschrieben.

Studie 1

Dies war eine 6-monatige, placebokontrollierte Studie mit 1704 COPD-Patienten (durchschnittlich % prognostizierte FEV 1 Zu Studienbeginn von 33,5% -34,7%) wurden durchgeführt, um die Wirksamkeit und Sicherheit von Symbicort bei der Behandlung der Luftstromobstruktion bei COPD zu demonstrieren. Die Patienten wurden in eine der folgenden Behandlungsgruppen randomisiert: Symbicort 160/4,5 (n = 277) Symbicort 80/4,5 (n = 281) Budesonid 160 mcg Formoterol 4,5 mcg (n = 287) Budesonid 160 mcg (n = 275) Formoterol 4,5 mcg (n = 284) oder PlaceBo (n = 300). Patienten, die Symbicort 160/4,5 erhielten, hatten zweimal täglich zwei Inhalationen 1 gemittelt über den Behandlungszeitraum [0,08 l 10,7%] im Vergleich zu Formoterol 4,5 mcg [0,04 l 6,9%] und Placebo [0,01 l 2,2%] (siehe Abbildung 6). Patienten, die Symbicort 80/4,5 zwei zweimal täglich erhielten 1 gemittelt über den Behandlungszeitraum im Vergleich zu Formoterol 4,5 mcg.

Abbildung 6: Durchschnittlicher Prozentwechsel von Ausgangswert in der vordosierten FEV 1 über 6 Monate (Studie 1)

Mean Percent Change From Baseline in Pre-dose Fev <sub> 1 </sub>  über 6 Monate - Illustration

Patienten, die Symbicort 160/4,5 erhielten, hatten zweimal täglich zwei Inhalationen 1 gemittelt über den Behandlungszeitraum [0,20 l 22,6%] im Vergleich zu Budesonid 160 mcg [0,03 L 4,9%] und Placebo [0,03 L 4,1%] (siehe Abbildung 7).

Abbildung 7: Durchschnittlicher Prozentwechsel von Ausgangswert in 1-stündiger Nachdosis FEV 1 Über 6 Monate (Studie 1)

Mean Percent Change From Baseline in 1-hour Post-dose Fev <sub> 1 </sub>  Über 6 Monate - Illustration
Studie 2

Dies war eine 12-monatige, placebokontrollierte Studie mit COPD-Patienten von 1964 (durchschnittlich % prognostizierte FEV 1 Zu Studienbeginn von 33,7% -35,5%) wurden durchgeführt, um die Wirksamkeit und Sicherheit von Symbicort bei der Behandlung der Luftstromobstruktion bei COPD zu demonstrieren. Die Patienten wurden in eine der folgenden Behandlungsgruppen randomisiert: Symbicort 160/4,5 (n = 494) Symbicort 80/4,5 (n = 494) Formoterol 4,5 mcg (n = 495) oder Placebo (n = 481). Patienten, die Symbicort 160/4,5 erhielten, hatten zwei zweimal täglich signifikant größer 1 gemittelt über den Behandlungszeitraum [0,10 l 10,8%] im Vergleich zu Formoterol 4,5 mcg [0,06 l 7,2%] und Placebo [0,01 l 2,8%]. Patienten, die Symbicort 80/4,5 zwei zweimal täglich erhielten 1 gemittelt über den Behandlungszeitraum im Vergleich zu Formoterol. Patienten, die Symbicort 160/4,5 erhielten, hatten zwei zweimal tägliche Inhalationen auch signifikant größere durchschnittliche Verbesserungen gegenüber dem Ausgangswert in 1-stündiger Nachdosis FEV 1 gemittelt über den Behandlungszeitraum [0,21 l 24,0%] im Vergleich zu Placebo [0,02 l 5,2%].

Serielle FEV 1 Messungen über 12 Stunden wurden in einer Untergruppe von Patienten in Studie 1 (n = 99) und Studie 2 (n = 121) erhalten. Die mediane Zeit zum Einsetzen der Bronchodilatation als FEV definiert 1 Der Anstieg von 15% oder mehr gegenüber dem Ausgangswert trat 5 Minuten nach der Dosis auf. Maximale Verbesserung (berechnet als durchschnittliche Änderung gegenüber dem Ausgangswert bei jedem Zeitpunkt) in FEV 1 trat ungefähr 2 Stunden nach der Dosis auf.

In beiden Studien 1 und 2 Verbesserungen der sekundären Endpunkte des morgendlichen und abendlichen Spitzenausflusses und der Verringerung der Anwendung von Rettungsmedikamenten unterstützten die Wirksamkeit von Symbicort 160/4,5.

Exazerbationen

Die Studien 3 und 4 wurden in erster Linie entwickelt, um den Effekt von Symbicort 160/4,5 auf COPD -Exazerbationen zu bewerten.

Studie 3

Dies war eine 6-monatige aktive Kontrollstudie, die durchgeführt wurde, um den Effekt von Symbicort 160/4,5 im Vergleich zu Formoterol 4,5 mcg zu bewerten, die als 2 Inhalationen zweimal täglich über die Rate von mittelschweren und schweren COPD-Exazerbationen verabreicht wurden. COPD -Exazerbationen wurden als Verschlechterung von 2 oder mehr wichtigen Symptomen (Dyspnoe Sputum Volumen -Sputum Farbe/Purulenz) oder eine Verschlechterung eines 1 -Haupt -Symptoms zusammen mit mindestens 1 der kleinen Symptome: Halsschmerzen Erkältungen (Nasalentladung und/oder nasale Überlastung) Fieber ohne andere Ursache erhöhtes Huskälte für mindestens 2 Konsequenzen. COPD -Exazerbationen wurden als mittelschwerer Schweregrad berücksichtigt, wenn die Behandlung von Symptomen mit systemischen Kortikosteroiden (≥3 Tage) und/oder Antibiotika erforderlich war und als schwerwiegend angesehen wurde, wenn Krankenhausaufenthalte erforderlich waren. In der Studie wurden 1219 Probanden zu Symbicort 160/4,5 (606) und Formoterol 4,5 mcg (613) randomisiert, von denen 57% männlich und 92% kaukasisch waren. Sie hatten ein Durchschnittsalter von 64 Jahren und eine mittlere Rauchergeschichte von 39 Packjahren, wobei 46% als aktuelle Raucher identifiziert wurden. Bei der Durchlauf des mittleren Post-Bronchodilator % prognostizierte der normale FEV 1 betrug 48,7% (Bereich: 16,0% bis 78,1%) und die Patienten hatten im Vorjahr eine Anamnese von mindestens 1 COPD -Exazerbation, die mit systemischen Kortikosteroiden und/oder Krankenhauseinweisung behandelt wurden. Alle Probanden wurden zweimal täglich mit Symbicort 160/4,5 zwei Inhalationen während einer 4-wöchigen Einlaufzeit vor der zugewiesenen Versuchsbehandlung behandelt.

Studie 4

Dies war eine 12-monatige aktive Kontrollstudie, die 811 Probanden umfasste, die mit Symbicort 160/4,5 oder Formoterol 4,5 mcg behandelt wurden, die zwei zweimal täglich als 2 Inhalationen verabreicht wurden. Die Studie wurde durchgeführt, um die Verringerung der COPD -Verschlechterung bei Patienten mit COPD zu bewerten. COPD -Exazerbationen wurden als Verschlechterung der COPD definiert, die einen Verlauf von oralen Steroiden für die Behandlung und/oder Krankenhausaufenthalte erforderte. In dieser Studie wurden 407 Probanden zu Symbicort 160/4,5 und 404 zu Formoterol 4,5 mcg randomisiert, von denen 61% männlich und 83% kaukasisch waren. Sie hatten ein Durchschnittsalter von 63 Jahren und eine mittlere Rauchergeschichte von 45 Packjahren, wobei 36% als aktuelle Raucher identifiziert wurden. Bei der Durchlauf des mittleren Post-Bronchodilator % prognostizierte der normale FEV 1 betrug 37,8% (Bereich: 11,75% bis 76,50%) und eine Vorgeschichte von mindestens 1 COPD -Exazerbation im Vorjahr, das mit systemischen Kortikosteroiden und/oder Antibiotika behandelt wurde.

In Studie 3 mit Symbicort 160/4,5 behandelte Probanden hatten zwei zweimal täglich zwei Inhalationen eine signifikant niedrigere jährliche Rate an mittelschwerer/schwerer COPD -Exazerbationen im Vergleich zu Formoterol 4,5 mcg mit einer Verringerung von 26% (95% CI: 9% 39%). In Studie 4 wurde auch bei Probanden, die mit Symbicort 160/4,5 behandelt wurden, eine signifikant niedrigere jährliche Rate an Exazerbationen im Vergleich zu Formoterol 4,5 mcg mit einer Reduzierung von 35% (95% CI: 20% 47%) beobachtet (Tabelle 8).

Tabelle 8: chronisch obstruktive Lungenerkrankung Exazerbationen

Behandlung n Jährliche Ratenschätzung Ratenverhältnis Symbicort 160/4,5 gegen Formoterol 4,5 mcg
Schätzen 95% dort
Studie 3
Symbicort 160/4,5 606 0.94 0.74 0,61 0,91
Formoterol 4,5 mcg 613 1.27
Studie 4
Symbicort 160/4,5 404 0.68 0.65 0,53 0,80
Formoterol 4,5 mcg 403 1.05
N - Anzahl der Patienten, die in die Wirksamkeitsanalyse einbezogen werden.

Die gesundheitsbezogene Lebensqualität wurde unter Verwendung des St. George's Respiratory Fragebogens (SGRQ) in beiden COPD-Exazerbationsstudien gemessen.

In Studie 3 waren die SGRQ-Responderraten in 6 Monaten (definiert als eine Verbesserung des Score von 4 oder mehr als Schwelle) 40% und 33% für Symbicort 160/4,5 und Formoterol 4,5 mcg mit einem Quotenverhältnis von 1,5 (95% CI: 1,0 2,0) für Symbicort 160/4,5 vs. Formoterol 4,5 mcg. In Studie 4 betrugen die Responder-Raten bei 12 Monaten 50% und 49% für Symbicort 160/4,5 bzw. Formoterol 4,5 mcg mit einer Gewinnschwindigkeit von 1,0 (95% CI: 0,8 14) für Symbicort 160/4,5 vs. Formoterol 4,5 mcg.

Patienteninformationen für Symbicort

Symbicort
(Sim-Bi-Kort) (Budesonid 80 MCG und Formoterol Fumarat Dihydrat 4,5 mcg) Inhalation Aerosol

Symbicort
(Sim-Bi-Kort) (Budesonid 160 MCG und Formoterol Fumarat Dihydrat 4,5 mcg) Inhalation Aerosol

Was ist Symbicort?

Symbicort combines an inhaled corticosteroid medicine (ICs) budesonide Und a long-acting beta2-adrenergic agonist (LABA) medicine formoterol.

  • Inhalierte Kortikosteroide tragen dazu bei, Entzündungen in der Lunge zu verringern. Entzündungen in der Lunge können zu Atemproblemen führen.
  • LABA -Medikamente werden bei Menschen mit chronisch obstruktiver Lungenerkrankung (COPD) und Asthma eingesetzt. LABA -Medikamente helfen, die Muskeln um die Atemwege in Ihrer Lunge zu entspannen, um Symptome wie Keuchen -Hustenkiste und Atemnot zu verhindern. Diese Symptome können auftreten, wenn sich die Muskeln um die Atemwege verschärfen. Das macht es schwer zu atmen. In schweren Fällen kann das Keuchen Ihre Atmung stoppen und zum Tod führen, wenn sie nicht sofort behandelt werden.

Symbicort is not used to relieve sudden breathing problems Und will not replace a rescue Inhalator. Symbicort is used for asthma Und COPD as follows:

  • Asthma: Symbicort is used to control symptoms of asthma Und prevent symptoms such as Keuchen in adults Und children ages 6 Und older. Symbicort contains formoterol. LABA medicines such as formoterol when used alone increase the risk of death Und hospitalizations from asthma problems. Symbicort contains an ICs Und a LABA. When an ICs Und LABA are used together there is not a significant increased risk in hospitalizations Und death from asthma problems. Symbicort is not for adults Und children with asthma who are well controlled with an asthma-control medicine such as a low to medium dose of an ICs. Symbicort is for adults Und children with asthma who need both an ICs Und LABA medicine.
    Es ist nicht bekannt, ob Symbicort bei Kindern im Alter von weniger als 6 Jahren mit Asthma sicher und wirksam ist.
  • COPD: COPD is a long-term (chronic) lung disease that includes chronic bronchitis emphysema or both. Symbicort 160/4,5 mcg is used long-term as 2 inhalations 2 times each day to improve symptoms of COPD for better breathing Und to reduce the number of flare-ups (the worsening of your COPD symptoms for several days).

Verwenden Sie nicht Symbicort:

  • plötzliche schwerwiegende Symptome von Asthma oder COPD.
  • Wenn Sie allergisch gegen die Zutaten in Symbicort sind. Eine Liste von Zutaten in Symbicort siehe das Ende dieser Broschüre für eine Liste von Zutaten.

Bevor Sie Symbicort verwenden, teilen Sie Ihrem Gesundheitsdienstleister alle Ihre medizinischen Erkrankungen mit, einschließlich, wenn Sie:

  • Herzprobleme haben.
  • hohen Blutdruck haben.
  • Anfälle haben.
  • Schilddrüsenprobleme haben.
  • Diabetes haben.
  • Leberprobleme haben.
  • Osteoporose haben.
  • ein Immunsystemproblem haben.
  • haben Augenprobleme wie erhöhten Druck im Augenglaukom oder Katarakte.
  • sind allergisch gegen Medikamente.
  • Haben Sie eine Art viraler bakterieller Pilz oder parasitäre Infektion.
  • sind Hühnerpocken oder Masern ausgesetzt.
  • sind schwanger oder planen, schwanger zu werden. Es ist nicht bekannt, ob Symbicort Ihrem ungeborenen Baby schaden kann.
  • stillen. Budesonid, einer der Wirkstoffe in Symbicort, geht in die Muttermilch. Sie und Ihr Gesundheitsdienstleister sollten entscheiden, ob Sie Symbicort während des Stillens einnehmen.

Teilen Sie Ihrem Gesundheitsdienstleister von allen Medikamenten mit, die Sie einnehmen, einschließlich verschreibungspflichtiger und rezeptfreier Arzneimittel-Vitamine und Kräuterpräparate. Symbicort und bestimmte andere Medikamente können miteinander interagieren. Dies kann schwerwiegende Nebenwirkungen verursachen. Sagen Sie Ihrem Gesundheitsdienstleister vor allem, wenn Sie Antimykotika- oder Anti-HIV-Medikamente einnehmen.

Kennen Sie alle Medikamente, die Sie einnehmen. Führen Sie eine Liste und zeigen Sie sie Ihrem Gesundheitsdienstleister und Apotheker jedes Mal, wenn Sie ein neues Medikament erhalten.

Wie soll ich Symbicort verwenden?

Sehen Sie sich die Schritt-für-Schritt-Anweisungen an, um Symbicort am Ende dieser Blätterblattinformation zu verwenden. Verwenden Sie Symbicort nicht, es sei denn, Ihr Gesundheitsdienstleister hat Sie beigebracht und Sie verstehen alles. Fragen Sie Ihren Gesundheitsdienstleister oder Apotheker, wenn Sie Fragen haben.

  • Verwenden Sie Symbicort genau wie vorgeschrieben. Verwenden Sie Symbicort nicht öfter als vorgeschrieben. Symbicort comes in 2 strengths. Your healthcare provider has prescribed the strength that is best for you. Note the differences between Symbicort Und your other inhaled medications including the differences in prescribed use Und physical appearance.
  • Kinder sollten Symbicort mit der Hilfe eines Erwachsenen verwenden, wie es vom Gesundheitsdienstleister des Kindes angewiesen wird.
  • Symbicort should be taken every day as 2 puffs in the morning Und 2 puffs in the evening about 12 hours apart.
  • Wenn Sie eine Dosis Symbicort verpassen, sollten Sie Ihre nächste Dosis gleichzeitig mitnehmen.
  • Spülen Sie Ihren Mund mit Wasser aus und spucken Sie das Wasser nach jeder Dosis (2 Puffs) Symbicort aus. Schlucken Sie das Wasser nicht. Dies wird dazu beitragen, die Chance zu verringern, eine Pilzinfektion (Thrush) in Mund und Hals zu bekommen.
  • Wenn Sie zu viel Symbicort nehmen, rufen Sie Ihren Gesundheitsdienstleister an oder gehen sofort in die nächstgelegene Krankenhaus -Notaufnahme, wenn Sie ungewöhnliche Symptome wie die Verschlechterung der Schmerzen in der Schmerzen in der Bruststeigerung auf die Herzfrequenz oder die Schüttung haben.
  • Sprühen Sie Symbicort nicht in Ihre Augen. Wenn Sie versehentlich Symbicort in Ihren Augen bekommen, spülen Sie Ihre Augen mit Wasser aus und wenn Rötung oder Reizung anhält, konsultieren Sie Ihren Gesundheitsdienstleister.
  • Änderen oder stoppen Sie keine Medikamente, die zur Kontrolle oder Behandlung Ihrer Atemprobleme verwendet werden. Ihr Gesundheitsdienstleister wechselt Ihre Medikamente nach Bedarf.
  • Während Sie Symbicort 2 Mal pro Tag verwenden, verwenden Sie keine anderen Medikamente, die aus irgendeinem Grund eine LABA enthalten. Fragen Sie Ihren Gesundheitsdienstleister oder Apotheker, ob eine Ihrer anderen Medikamente LABA -Medikamente sind.
  • Symbicort does not relieve sudden symptoms. Always have a rescue Inhalator medicine with you to treat sudden symptoms. If you do not have a rescue Inhalator call your healthcare provider to have one prescribed for you.
  • Rufen Sie Ihren Gesundheitsdienstleister an oder erhalten Sie sofort medizinische Versorgung, wenn:
    • Ihre Atemprobleme verschlechtern sich mit Symbicort.
    • Sie müssen Ihre Rettungsinhalatormedizin öfter als gewöhnlich anwenden.
    • Ihre Rettungsinhalatormedizin funktioniert nicht so gut für Sie, um Symptome zu lindern.
    • Ihr Spitzenströmungsmesserergebnis nimmt ab. Ihr Gesundheitsdienstleister sagt Ihnen die Zahlen, die für Sie geeignet sind.
    • Ihre Symptome verbessern sich nicht, nachdem Sie Symbicort 1 Woche regelmäßig verwendet haben.

Was sind die möglichen Nebenwirkungen von Symbicort?

Symbicort may cause serious side effects including:

  • Die Verwendung von zu viel Laba -Medizin kann verursachen:
    • Brustschmerzen
    • Erhöhter Blutdruck
    • ein schneller und unregelmäßiger Herzschlag
    • Kopfschmerzen
    • Tremor
    • Nervosität
  • Pilzinfektion in Ihrem Mund oder Hals (Thrush). Spülen Sie Ihren Mund mit Wasser aus, ohne zu schlucken, nachdem Sie Symbicort verwendet haben, um Ihre Wahrscheinlichkeit von Soor zu verringern.
  • Lungenentzündung Und other lower respiratory tract infections. Menschen mit COPD haben eine höhere Chance, eine Lungenentzündung und andere Lungeninfektionen zu bekommen. Inhalierte Kortikosteroide können die Wahrscheinlichkeit erhöhen, eine Lungenentzündung zu erhalten. Rufen Sie Ihren Gesundheitsdienstleister an, wenn Sie eines dieser Symptome feststellen:
    • Erhöhung der Schleimproduktion (Sputum)
    • Änderung der Schleimfarbe
    • Fieber
    • Schüttelfrost
    • Erhöhter Husten
    • Erhöhte Atemprobleme
  • Immunsystemeffekte und eine höhere Chance für Infektionen. Teilen Sie Ihrem Gesundheitsdienstleister über Anzeichen von Infektionen wie:
    • Fieber
    • Schmerz
    • Körperschmerzen
    • Schüttelfrost
    • müde fühlen
    • Brechreiz
    • Erbrechen
  • Nebenniereninsuffizienz. Nebenniereninsuffizienz ist ein Zustand, bei dem die Nebennieren nicht genügend Steroidhormone herstellen. Dies kann passieren, wenn Sie aufhören, orale Kortikosteroid -Medikamente einzunehmen und mit inhalierten Kortikosteroidmedizin zu beginnen.
  • Erhöhtes Keuchen gleich nach der Einnahme von Symbicort. Haben Sie immer einen Rettungsinhalator bei sich, um plötzliches Keuchen zu behandeln.
  • Schwerwiegende allergische Reaktionen, darunter Hautsaugs, die das Gesichtsmund und die Zunge und die Atemprobleme anschwellen. Rufen Sie Ihren Gesundheitsdienstleister an oder erhalten Sie eine medizinische Notfallversorgung, wenn Sie Symptome einer schwerwiegenden allergischen Reaktion erhalten.
  • Mineraldichte niedrigerer Knochen. Dies kann bei Menschen passieren, die eine hohe Chance auf eine niedrige Knochenmineraldichte (Osteoporose) haben. Ihr Gesundheitsdienstleister sollte Sie während der Behandlung mit Symbicort überprüfen.
  • Verlangsamte Wachstum bei Kindern. Das Wachstum eines Kindes sollte regelmäßig bei Verwendung von Symbicort überprüft werden.
  • Augenprobleme einschließlich Glaukom und Katarakten. Sie sollten regelmäßige Augenuntersuchungen bei der Verwendung von Symbicort durchführen.
  • Schwellung Ihrer Blutgefäße. Dies kann bei Menschen mit Asthma passieren. Sagen Sie Ihrem Gesundheitsdienstleister sofort, wenn Sie:
    • ein Gefühl von Stiften und Nadeln oder
    • Grippeähnliche Symptome Taubheit Ihrer Arme oder Beine
    • Schmerz Und swelling of the sinuses
    • Ausschlag
  • Abnahme des Blutkaliumspiegels (Hypokaliämie).
  • Erhöhung des Blutzuckerspiegels (Hyperglykämie).

Die häufigsten Nebenwirkungen von Symbicort sind:

Menschen mit Asthma:

  • Halsreizung
  • Kopfschmerzen
  • Infektion der oberen Atemwege
  • Halsschmerzen
  • Entzündung der Schleimhöhlen der Nebenhöhlen
  • Grippe (Sinusitis)
  • Nasenüberlastung
  • Rückenschmerzen
  • Erbrechen
  • Magenbeschwerden
  • Drossel in Mund und Hals. Spülen Sie Ihren Mund mit Wasser aus, ohne nach dem Gebrauch zu schlucken

Menschen mit COPD:

  • Halsreizung.
  • Drossel in Mund und Hals. Spülen Sie Ihren Mund mit Wasser aus, ohne nach dem Gebrauch zu schlucken.
  • Infektion und Entzündung der Schleimhäute der Bronchialrohre (Bronchitis).
  • Entzündung von Schleimhäuten in den Nebenhöhlen (Sinusitis).
  • Infektion der oberen Atemwege.

Teilen Sie Ihrem Gesundheitsdienstleister über jeden Nebeneffekt mit, der Sie stört oder der nicht verschwindet.

Dies sind nicht alle möglichen Nebenwirkungen von Symbicort.

Rufen Sie Ihren Arzt an, um medizinische Beratung zu Nebenwirkungen zu erhalten. Sie können die FDA bei 1-800-FDA-1088 Nebenwirkungen melden.

Sie können AstraZeneca auch Nebenwirkungen unter 1-800-236-9933 melden.

Wie soll ich Symbicort aufbewahren?

  • Lagern Sie Symbicort bei Raumtemperatur zwischen 20 ° C bis 25 ° C.
  • Lagern Sie Symbicort mit dem Mundstück nach unten.
  • Der Inhalt Ihres Symbicort Canister steht unter Druck. Stechen oder werfen Sie den Kanister nicht in einen Feuer oder eine Verbrennungsanlage. Verwenden Sie es nicht in der Nähe von Hitze oder offener Flamme. Die Lagerung über 120 ° F kann dazu führen, dass der Kanister platzt.
  • Werfen Sie Symbicort weg, wenn die Theke Null (0) oder 3 Monate nach dem Entnommen von Symbicort aus seinem Folienbeutel erreicht, je nachdem, was an erster Stelle steht.
  • Halten Sie Symbicort und alle Medikamente außerhalb der Reichweite der Kinder.

Allgemeine Informationen über die sichere und effektive Verwendung von Symbicort.

Medikamente werden manchmal für andere Zwecke als die in einem Patienteninformationsblatt aufgeführten Zwecke verschrieben. Verwenden Sie Symbicort nicht für eine Erkrankung, für die es nicht vorgeschrieben wurde. Geben Sie anderen Menschen keine Symbikorin an, auch wenn sie die gleichen Symptome haben, die Sie haben. Es kann ihnen schaden.

Sie können Ihren Gesundheitsdienstleister oder Apotheker um Informationen über Symbicort bitten, die für Angehörige der Gesundheitsberufe geschrieben wurden.

Was sind die Zutaten in Symbicort?

Wirkstoffe: Mikronisierte Budesonid und mikronisierte Formoterol -Fumarat -Dihydrat

Inaktive Inhaltsstoffe: Hydrofluroalkan (HFA 227) Povidon K25 USP und Polyethylenglykol 1000 NF

Anweisungen zur Verwendung

Symbicort
(Sim-Bi-Kort) (Budesonid 80 MCG und Formoterol Fumarat Dihydrat 4,5 mcg) Inhalation Aerosol

Symbicort
(Sim-Bi-Kort) (Budesonid 160 MCG und Formoterol Fumarat Dihydrat 4,5 mcg) Inhalation Aerosol

Abbildung 1

Upright Position - Illustration

Aufrechte Position

Wie man Symbicort verwendet

Befolgen Sie die folgenden Anweisungen für die Verwendung von Symbicort. Sie werden die Medizin einatmen (einatmen). Wenn Sie Fragen haben, stellen Sie Ihren Arzt oder Apotheker.

Vorbereitung Ihres Symbicort -Inhalers zur Verwendung

  1. Nehmen Sie Ihren Symbicort aus dem Feuchtigkeitsschutz-Folienbeutel, bevor Sie ihn zum ersten Mal verwenden, und werfen Sie die Folie weg. Schreiben Sie das Datum, an dem Sie den Folienbeutel auf der Box öffnen.
  2. Ein Zähler ist an der Oberseite des Metallkanisters befestigt. Die Theke zählt jedes Mal, wenn Sie einen Symbikettsschuh veröffentlichen. Der Pfeil zeigt auf die Anzahl der Inhalationen (Puffs), die im Kanister liegen. Der Zähler hört auf, bei Null (0) zu zählen.
  3. Verwenden Sie den Symbicort Canister nur mit dem mit dem Produkt gelieferten Red Symbicort -Inhalator. Teile des Symbicort -Inhalators sollten nicht mit Teilen aus einem anderen Inhalationsprodukt verwendet werden.
  4. Schütteln Sie Ihren Symbicort -Inhalator 5 Sekunden lang kurz vor jedem Gebrauch gut. Entfernen Sie die Mundstücksabdeckung, indem Sie auf beiden Seiten vorsichtig quetschen und dann herausziehen (siehe Abbildung 2). Überprüfen Sie das Mundstück für Fremdkörper vor der Verwendung.

Abbildung 2

Shake your SYMBICORT inhaler well for 5 seconds right before each use - Illustration

5. Vorbereitung Ihres Symbicort Inhalators

Bevor Sie Symbicort zum ersten Mal verwenden, müssen Sie es vorbereiten. Um Symbicort zu promieren, halten Sie es in der aufrechten Position. Siehe Abbildung 1. Schütteln Sie den Symbicort Inhalator 5 Sekunden lang gut. Halten Sie Ihren Symbicort -Inhalator von Ihnen weg und drücken Sie fest und vollständig oben auf der Theke des Symbicort -Inhalators, um ein Testspray freizusetzen. Dann schütteln Sie es dann 5 Sekunden lang erneut und lassen Sie ein zweites Testspray frei. Ihr Symbicort -Inhalator ist jetzt vorbereitet und bereit für den Einsatz. Nachdem Sie den Symbicort -Inhalator zum ersten Mal vorbereitet haben, wird der Zähler entweder 120 oder 60 gelesen, je nachdem, welche Größe Ihnen zur Verfügung gestellt wurde.

Wenn Sie Ihren Symbicort -Inhalator nicht länger als 7 Tage lang nicht verwenden oder wenn Sie ihn fallen lassen, müssen Sie wieder herstellen.

Möglichkeiten, den Symbicort -Inhalator zur Verwendung zu halten

Abbildung 3

Priming your SYMBICORT inhaler - Illustration

ODER

Abbildung 4

Priming your SYMBICORT inhaler - Illustration

Verwenden Sie Ihren Symbicort -Inhalator

6. Schütteln Sie Ihren Symbicort -Inhalator 5 Sekunden lang gut. Entfernen Sie die Mundstücksabdeckung. Überprüfen Sie das Mundstück für Fremdkörper.

7. Ganze ausatmen (ausatmen). Halten Sie den Symbicort -Inhalator an Ihren Mund. Legen Sie das weiße Mundstück vollständig in Ihren Mund und schließen Sie Ihre Lippen um es herum. Stellen Sie sicher, dass der Symbicort -Inhalator aufrecht ist und dass die Öffnung des Mundstücks in Richtung des Rachens zeigt (siehe Abbildung 5).

Wofür wird die Ascend -Creme verwendet?

Abbildung 5

Using your SYMBICORT inhaler - Illustration

8. Atmen Sie tief und langsam durch Ihren Mund ein (einatmen). Drücken Sie fest und vollständig auf dem Zähler des Symbicort -Inhalators, um das Medikament freizusetzen (siehe Abbildungen 3 und 4).

9. Atem Sie weiter ein. Bevor Sie ausatmen (ausatmen), lassen Sie Ihren Finger vom Oberteil der Theke frei. Halten Sie den Symbicort -Inhalator aufrecht und nehmen Sie aus Ihrem Mund.

10. Schütteln Sie den Symbicort -Inhalator 5 Sekunden lang erneut und wiederholen Sie die Schritte 7 bis 9.

Nachdem Sie Ihren Symbicort -Inhalator verwendet haben

11. Schließen Sie nach dem Gebrauch das Mundstücksabdeckung, indem Sie drücken, bis es an Ort und Stelle klickt.

12. Nach dem Abschluss von Symbicort (2 Puffs) spülen Sie Ihren Mund mit Wasser aus. Spucken Sie das Wasser aus. Schlucken Sie es nicht.

Lesen Sie die Theke

  • Der Pfeil auf der Theke auf der Oberseite des Symbicort -Inhalators weist auf die Anzahl der Inhalationen (Puffs) hin, die in Ihrem Inhalator übrig sind.

SCHALTER

Reading the counter - Illustration
  • Der Zähler zählt jedes Mal, wenn Sie einen Medikamentsschuh freigeben (entweder wenn Sie Ihren Symbicort -Inhalator oder bei der Einnahme der Medizin vorlegen).
  • Wenn sich der Pfeil auf der Theke nähert 20, werden Sie den Beginn eines gelben Bereichs bemerken, in dem Sie wissen, dass es Zeit ist, Ihren Gesundheitsdienstleister für eine Nachfüllung anzurufen.

SCHALTER

When the arrow on the counter approaches 20 - Illustration
  • Es ist wichtig, dass Sie auf die Anzahl der Inhalationen (Puffs) achten, die in Ihrem Symbicort -Inhalator verbleiben, indem Sie den Zähler lesen. Werfen Sie Symbicort weg, wenn der Zähler Null (0) oder 3 Monate nach der Entnahme Ihres Symbicort -Inhalers aus seinem Folienbeutel zeigt, je nachdem, was zuerst kommt. Ihr Symbicort -Inhalator fühlt sich möglicherweise nicht leer an und kann weiter funktionieren, aber Sie erhalten nicht die richtige Menge an Medizin, wenn Sie es weiter verwenden. Verwenden Sie einen neuen Symbicort -Inhalator und befolgen Sie die Anweisungen zum Priming (siehe Anweisung 5 oben).

So reinigen Sie Ihren Symbicort Inhalator

Reinigen Sie das weiße Mundstück Ihres Symbicort -Inhalators alle 7 Tage. Um das Mundstück zu reinigen:

  • Entfernen Sie die graue Mundstückabdeckung
  • Wischen Sie das Innere und außerhalb der weißen Mundstücksöffnung mit einem sauberen trockenen Tuch ab
  • Ersetzen Sie die Mundstücksabdeckung
  • Setzen Sie den Symbicort -Inhalator nicht ins Wasser
  • Versuchen Sie nicht, Ihre auseinander zu nehmen Symbicort Inhalator

Diese Patienteninformationen und -anweisungen für den Einsatz wurden von der US -amerikanischen Food and Drug Administration zugelassen.