Die Informationen Auf Dieser Website Stellen Keine Medizinische Beratung Dar. Wir Verkaufen Nichts. Die Richtigkeit Der Übersetzung Wird Nicht Garantiert. Haftungsausschluss



Triumeq

Drogenzusammenfassung

Was ist Triumeq?

Triumeq (Abacavir Dolutegravir und Lamivudin) ist eine Kombination eines Integrase -Strang -Transfer -Inhibitors (INTI) und zwei Nukleosidanaloga zur Behandlung des menschlichen Immundefizienzvirus Typ 1 (HIV1).

Was sind Nebenwirkungen für Triumeq?

Triumeq



  • Nesselsucht
  • Schwierigkeiten beim Atmen
  • Schwellung Ihrer Gesichtslippen Zunge oder Hals
  • Fieber
  • Ausschlag
  • Brechreiz
  • Erbrechen
  • Durchfall
  • Magenschmerzen
  • Allgemeines krankes Gefühl
  • Extreme Müdigkeit
  • Körperschmerzen
  • Kurzatmigkeit
  • Husten
  • Halsschmerzen
  • ungewöhnliche Muskelschmerzen
  • Probleme beim Atmen
  • Magenschmerzen
  • unregelmäßige Herzfrequenz
  • Schwindel
  • kalt fühlen
  • Schwäche
  • Müdigkeit
  • Schwellung um Ihren Mittelteil
  • Rechtsseitige Schmerzen im oberen Bauch
  • Appetitverlust
  • dunkler Urin
  • Tonfarbene Stühle
  • Gelben der Haut oder Augen ( Gelbsucht )
  • Brustschmerzen oder Druck
  • Schmerzen, die sich auf Ihren Kiefer oder Ihre Schulter ausbreiten und
  • Schwitzen

Holen Sie sich sofort medizinische Hilfe, wenn Sie eines der oben aufgeführten Symptome haben.



Zu den häufigen Nebenwirkungen von Triumeq gehören:

  • Schlaflosigkeit
  • Kopfschmerzen
  • Ermüdung
  • Durchfall
  • Brechreiz
  • Erbrechen
  • Fieber
  • Appetitverlust
  • Niedrige Energie
  • Albträume oder abnormale Träume
  • abnormale Körperfettverteilung
  • Taubheit und Kribbeln
  • Überempfindlichkeitsreaktionen (Fieber -Hautausschlagkürze des Atemhustens oder Halsschmerzen)
  • Gelenkschmerzen oder Schwellung
  • Muskelschmerzen
  • Extremitätsschwellung
  • Depression
  • Schwindel and
  • Spinnengefühl (Schwindel).

Suchen Sie medizinische Versorgung oder rufen Sie auf einmal 911 an, wenn Sie die folgenden schwerwiegenden Nebenwirkungen haben:



  • Schwerwiegende Augensymptome wie plötzlicher Sehverlust verschwommenes Sehen Tunnel Sehschmerzen oder Schwellungen oder Halos in der Umgebung des Lichts;
  • Schwerwiegende Herzsymptome wie schnelle unregelmäßige oder pochende Herzschläge; Flattern in deiner Brust; Kurzatmigkeit; und plötzlich Schwindel Benommenheit oder ohnmächtig;
  • Starke Kopfschmerzen Verwirrung verwirrt Spracharm oder Bein Schwäche Schwierigkeiten beim Verlust der Koordination unstabil sehr steifes Muskeln hoher Fieber problemlos Schwitzen oder Zittern.

Dieses Dokument enthält nicht alle möglichen Nebenwirkungen und andere können auftreten. Wenden Sie sich an Ihren Arzt nach zusätzlichen Informationen zu Nebenwirkungen.

Dosierung für Triumeq

Die erwachsene Dosis von Triumeq ist täglich eine Tablette.

Welche Medikamentensubstanzen oder Nahrungsergänzungsmittel interagieren mit Triumeq?

Triumeq kann mit Dofetilid und anderen Medikamenten interagieren. Sagen Sie Ihrem Arzt alle Medikamente und Nahrungsergänzungsmittel, die Sie verwenden.

Triumeq während der Schwangerschaft und Stillen

Während der Schwangerschaft sollte Triumeq nur eingenommen werden, wenn sie verschrieben werden. Weil Muttermilch übertragen werden kann HIV nicht stillen.

Weitere Informationen

Unsere Triumeq (Abacavir DoluteGravir und Lamivudin) Nebenwirkungen Arzneimittelzentrum bietet eine umfassende Übersicht über verfügbare Arzneimittelinformationen über die potenziellen Nebenwirkungen bei der Einnahme dieses Medikaments.

FDA -Drogeninformationen

WARNUNG

Überempfindlichkeitsreaktionen und Verschlechterungen der Hepatitis B

Überempfindlichkeitsreaktionen

Bei Abacavir ist eine schwerwiegende und manchmal tödliche Überempfindlichkeitsreaktionen mit mehreren Organbeteiligung aufgetreten, eine Komponente von Triumeq und Triumeq PD (Abacavir Dolutegravir und Lamivudin). Patienten, die das HLA-B*5701-Allel tragen WARNUNGS AND VORSICHTSMASSNAHMEN ].

Triumeq und Triumeq PD sind bei Patienten mit einer vorherigen Überempfindlichkeitsreaktion auf Abacavir und bei HLA-B*5701-positiven Patienten kontraindiziert Kontraindikationen WARNUNGS AND VORSICHTSMASSNAHMEN ]. Alle Patienten sollten vor der Initiierung der Therapie mit Triumeq oder Triumeq PD oder der Reinitiation der Therapie mit Triumeq oder Triumeq PD auf das HLA-B*5701-Allel untersucht werden, es sei denn, die Patienten haben eine zuvor dokumentierte HLA-B*5701 Allelbewertung. Discontinue Triumeq or Triumeq PD immediately if a hypersensitivity reaction is suspected regardless of HLA-B*5701 status and even when other diagnoses are possible [sehen Kontraindikationen WARNUNGS AND VORSICHTSMASSNAHMEN ].

Nach einer Überempfindlichkeitsreaktion auf Triumeq oder Triumeq PD starten Sie Triumeq oder Triumeq PD oder ein anderes Abacavir-haltiges Produkt niemals neu, da schwerwiegendere Symptome einschließlich des Todes innerhalb von Stunden auftreten können. Ähnliche schwere Reaktionen traten auch selten nach der Wiedereinführung von Abacavir-haltigen Produkten bei Patienten auf, die keine Überempfindlichkeit von Abacavir in der Anamnese haben [siehe WARNUNGS AND VORSICHTSMASSNAHMEN ].

Verschlechterungen von Hepatitis B

Alle Patienten mit HIV-1 sollten vor oder beim Initiieren von Triumeq oder Triumeq PD auf das Vorhandensein eines Hepatitis-B-Virus (HBV) getestet werden. Es wurde berichtet, dass die Entstehung von lamivudinresistenten HBV-Varianten mit lamivudinhaltigen antiretroviralen Regimen assoziiert ist. Wenn Triumeq oder Triumeq PD bei Patienten mit HIV-1 und HBV verwendet werden, sollte eine zusätzliche Behandlung für eine angemessene Behandlung von chronischem HBV in Betracht gezogen werden. Ansonsten betrachten Sie ein alternatives Regime.

Bei Patienten, die mit HBV und HIV-1 koinfiziert sind, wurden über schwere akute Exazerbationen von Hepatitis B berichtet und haben Lamivudin eine Bestandteil von Triumeq und Triumeq PD abgebrochen. Überwachen Sie die Leberfunktion bei diesen Patienten genau und leiten Sie gegebenenfalls die Anti-HBV-Behandlung ein [siehe WARNUNGS AND VORSICHTSMASSNAHMEN ].

Beschreibung für Triumeq

Triumeq und Triumeq PD

Triumeq und Triumeq PD enthalten ein Insti (Dolutegravir) und 2 Nukleosidanaloga (Abacavir und Lamivudin) mit hemmender Aktivität gegen HIV.

Jede filmbeschichtete Tablette von Triumeq für den oralen Gebrauch enthält 600 mg Abacavir (als 702 mg Abacavir-Sulfat) 50 mg Dolutegravir (NULL,6 mg Dolutegravir-Natrium) und 300 mg Lamivudin. Die inaktiven Inhaltsstoffe von Triumeq-Tabletten umfassen D-Mannit-Magnesium-Stearat-mikrokristallines Cellulose-Povidon und Natriumstärkeglykolat. Die Tablettenfilmbeschichtung enthält die inaktiven Inhaltsstoffe, Eisenoxid-Eisen-Eisen-Eisenoxid-Rot-Makrogol/PEG-Polyvinylalkohol-Teil-hydrolysierter Talk- und Titanoxid.

Jede filmbeschichtete Tablette von Triumeq PD für die orale Suspension enthält 60 mg Abacavir (als 70,2 mg Abacavirsulfat) 5 mg Dolutegravir (NULL,26 mg Dolutegravir-Natrium) und 30 mg Lamivudin. Die inaktiven Inhaltsstoffe von Triumeq -PD -Tabletten umfassen Acesulfame -Kalium -Crospovidon -mikrokristalline Cellulose -Povidon -K29/32 -mikrokristalline Cellulose -Natrium -Stärkglykolat -Sodaryl -Fumarat -Staryl -Fumarat -Sternbeer -Sternbeer -Sternbeer -Sternbeer -Sternbeer -Sternbeer -Supo -Supocrium -Povidon. Das Tablettenfilmbezug enthält die inaktiven Inhaltsstoffe: Eisen-Oxidgelb-Makrogol/PEG-Polyvinylalkohol-Teil hydrolysiertes Talk und Titandioxid.

Abacavir Sulfat

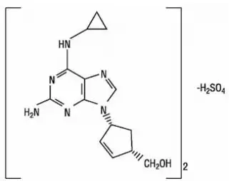
Der chemische Name von Abacavirsulfat ist (1 Du weisst ) -4- [2-Amino-6- (Cyclopropylamino) -9 H -Purin-9- yl] -2-cyclopenten-1-methanolsulfat (Salz) (2: 1). Es hat eine molekulare Formel von (c 14 H 18 N 6 O) 2 • h 2 ALSO 4 and a molecular weight of 670.76 g/mol. Es hat die folgende strukturelle Formel:

Dolutegravir -Natrium

Der chemische Name von Dolutegravir -Natrium ist Natrium (4 R 12a S ) -9-{[(24- DiFluorphenyl) methyl] carbamoyl} -4-methyl-68-dioxo-34681212a-Hexahydro-2 H Pyrido [1'2 ': 45] Pyrazino [21-b] [13] Oxazin-7-ette. Die empirische Formel ist c 20 H 18 F 2 N 3 Sie 5 und das Molekulargewicht beträgt 441,36 g/mol. Es hat die folgende strukturelle Formel:

Dolutegravir -Natrium ist ein weißes bis hellgelbes Pulver und in Wasser leicht löslich.

Lamivudin

Der chemische Name von Lamivudin ist (2RCIS) -4-Amino-1- (2-Hydroxymethyl-13-oxathiolan-5-yl)-(1H) -Pyrimidin-2-One. Lamivudin ist das (-) Enantiomer eines Dideoxyanalogon von Cytidin. Lamivudin wurde auch als (-) 2'3'-Dideoxy-3'-Thyycytidin bezeichnet. Es hat eine molekulare Formel von C 8 H 11 N 3 O 3 S und ein Molekulargewicht von 229,3 g/mol. Es hat die folgende strukturelle Formel:

Lamivudin is a white to off-white crystalline solid and is soluble in water.

Verwendung für Triumeq

Triumeq und Triumeq PD sind für die Behandlung von HIV-1-Infektionen bei Erwachsenen und bei pädiatrischen Patienten im Alter von mindestens 3 Monaten und einem Gewicht von mindestens 6 kg angegeben.

Einschränkungen der Nutzung

Triumeq und Triumeq PD allein werden bei Patienten mit Resistenz-assoziierter Integrase-Substitutionen oder klinisch vermutetem Integrase-Strang-Transfer-Inhibitor (Insti) nicht empfohlen, da die Dosis von Dolutegravir in Triumeq und Triumeq PD in diesen Subpopulationen nicht ausreicht. Siehe vollständige Verschreibungsinformationen für Tivicay (Dolutegravir).

Dosierung für Triumeq

Screening auf HLA-B*5701 Allel vor der Einleitung von Triumeq

Screen WARNUNG BOXED WARNUNGS AND VORSICHTSMASSNAHMEN ].

Tests vor oder bei der Einleitung der Behandlung mit Triumeq

Vor oder bei der Einleitung von Triumeq- oder Triumeq -PD -Testpatienten für HBV -Infektionen [siehe WARNUNGS AND VORSICHTSMASSNAHMEN ].

Überblick über Triumeq -Dosierungsformen

Triumeq ist in zwei Dosierungsformen erhältlich. Ersetzen Sie keine Triumeq-Tabletten und Triumeq-PD-Tabletten durch Milligramm pro Milligramm aufgrund unterschiedlicher pharmakokinetischer Profile für die Dolutegravir-Komponente durch unterschiedliche pharmakokinetische Profile [sehen WARNUNGS AND VORSICHTSMASSNAHMEN Klinische Pharmakologie ].

  • Triumeq -Tabletten: 600 mg Abacavir 50 mg Dolutegravir und 300 mg Lamivudin. Triumeq wird bei Erwachsenen und pädiatrischen Patienten mit einem Gewicht von mindestens 25 kg empfohlen [siehe Dosierung und Verwaltung ].
  • Triumeq -PD -Tabletten zur oralen Suspension: 60 mg Abacavir 5 mg Dolutegravir und 30 mg Lamivudin. Triumeq PD wird bei pädiatrischen Patienten mit einem Gewicht von 6 kg bis weniger als 25 kg empfohlen. [sehen Dosierung und Verwaltung ].
  • Da Triumeq PD eine Tablette mit fester Dosis ist und die Dosierung einzelner Komponenten nicht eingestellt werden kann, kann dies zu einer suboptimalen Dosierung für Patienten mit einem Gewicht von ≥ 25 kg führen. Triumeq PD wird bei Patienten mit einem Gewicht von 25 kg oder mehr nicht empfohlen [siehe Dosierung und Verwaltung ].

Empfohlene Dosierung bei Erwachsenen

Triumeq ist ein Kombinationsprodukt mit fester Dosis, das 600 mg Abacavir 50 mg Dolutegravir und 300 mg Lamivudin enthält. Das empfohlene Dosierungsschema von Triumeq bei Erwachsenen ist eine Tablette, die einmal täglich oral mit oder ohne Nahrung ist. Verwenden Sie bei Erwachsenen keine Triumeq PD.

Empfohlene Dosierungs- und Verabreichungsanweisungen für pädiatrische Patienten mit einem Gewicht von mindestens 6 kg

Das für pädiatrische Patienten empfohlene Dosierungs- und Dosierungsformular variiert nach Gewicht, wie in Tabelle 1 unten gezeigt.

Tabelle 1: Empfohlene Dosierung von Triumeq -Tabletten und Triumeq -PD -Tabletten zur oralen Suspension bei pädiatrischen Patienten

Körpergewicht Triumeq Tabletsa Triumeq PD b Anzahl der Tablets Gesamtzahl der täglichen Dosis
6 kg bis <10 kg Nicht empfohlen 3 Tabletten einmal täglich 180 mg Abacavir 15 mg Dolutegravir und 90 mg Lamivudin einmal täglich
10 kg bis <14 kg Nicht empfohlen 4 Tabletten einmal täglich 240 mg Abacavir 20 mg Dolutegravir und 120 mg Lamivudin einmal täglich
14 kg bis <20 kg Nicht empfohlen 5 Tabletten einmal täglich 300 mg Abacavir 25 mg Dolutegravir und 150 mg Lamivudin einmal täglich
20 kg bis <25 kg Nicht empfohlen 6 Tabletten einmal täglich 360 mg Abacavir 30 mg Dolutegravir und 180 mg Lamivudin einmal täglich
≥25 kg 1 Tablet einmal täglich Nicht empfohlen 600 mg Abacavir 50 mg Dolutegravir und 300 mg Lamivudin
a Triumeq ist ein Kombinationsprodukt mit fester Dosis, das 600 mg Abacavir 50 mg Dolutegravir und 300 mg Lamivudin enthält.
b Triumeq PD is a fixed-dose combination product containing 60 mg of abacavir 5 mg of dolutegravir and 30 mg of lamivudine.

Verwalten Triumeq PD Tabletten zur oralen Suspension mit oder ohne Nahrung. Patienten (oder Pflegekräfte anweisen) Streiten Sie die Tabletten für die orale Suspension in 20 ml Trinkwasser (Wenn Sie 4 5 oder 6 Tabletten für die orale Suspension verwenden) oder 15 ml (bei Verwendung von 3 Tabletten zur oralen Aufhängung) im mitgelieferten Tasse; Wirbieren Sie die Federung, damit keine Klumpen übrig bleiben. Nachdem die volle Dispersion die orale Suspension innerhalb von 30 Minuten nach dem Mischen verabreicht [siehe Anweisungen zur Verwendung ]. Nicht swallow the tablets for oral suspension whole and do not chew cut or crush the tablets.

Ist Naproxen 500 mg ein Schmerzmittel

Für Kinder kann die mitgelieferte Tasse, die nicht in der Lage ist, eine angemessene Spritze zu verwenden, zur Verabreichung der oralen Suspension verwendet werden.

Verwalten Triumeq tablet with or without food. Nicht chew cut or crush the tablet.

Dosierungsempfehlung mit bestimmten gleichzeitigen Medikamenten

Die Dolutegravir -Dosis in Triumeq (50 mg) und Triumeq PD (5 mg) ist unzureichend, wenn sie mit Medikamenten zusammengefasst sind, die in Tabelle 2 aufgeführt sind, die die Dolutegravir -Konzentrationen verringern können; Das folgende Dolutegravir -Dosierungsregime wird empfohlen.

Tabelle 2: Dosierungsempfehlungen für Triumeq und Triumeq PD mit koadministierten Medikamenten

Koadministeriertes Medikament Dosierungsempfehlung
Efavirenz Fosamprrenavir/Ritonavir Tipranavir/Ritonavir Carbamazepin oder Rifampin Bei Erwachsenen und bei pädiatrischen Patienten mit einem Gewicht von mindestens 25 kg beträgt das empfohlene Dolutegravir -Dosierungsregime zweimal täglich 50 mg. Somit sollte ein zusätzliches Tivicay-50-mg-Tablet, das von Triumeq abgetrennt wurde, entnommen werden.
Bei pädiatrischen Patienten mit einem Gewicht von 6 kg bis <25 kg Eine zusätzliche Gewichtsdosis von Dolutegravir sollte durch 12 Stunden von Triumeq PD abgetrennt werden.
  • 6 bis <10 kg: administer an additional 15-mg dose of dolutegravir (3 TIVICAY PD tablets for oral suspension) 12 hours after Triumeq PD.
  • 10 bis <14 kg: administer an additional 20-mg dose of dolutegravir (4 TIVICAY PD tablets for oral suspension) 12 hours after Triumeq PD
  • 14 bis <20 kg: administer an additional 25-mg dose of dolutegravir (5 TIVICAY PD tablets for oral suspension) 12 hours after Triumeq PD
  • 20 bis <25 kg: administer an additional 30-mg dose of dolutegravir (6 TIVICAY PD tablets for oral suspension) 12 hours after Triumeq PD.

Nicht empfohlen, weil es an Dosierungsanpassung mangelt

Da Triumeq und Triumeq PD Fixed-Dosis-Tabletten sind und nicht dosis einbereitete Triumeq und Triumeq PD sind, werden in:

  • Patienten mit Kreatinin -Clearance <30 mL/min and pediatric patients with a similar degree of renal impairment based on age-appropriate renal function assessment. There are no data available on the use of lamivudine a component of Triumeq and Triumeq PD in pediatric patients with renal impairment [sehen Verwendung in bestimmten Populationen ].
  • Patienten mit leichter Leberbeeinträchtigung. Triumeq und Triumeq PD sind bei Patienten mit mittelschwerer oder schwerer Leberbeeinträchtigung kontraindiziert [siehe Kontraindikationen Verwendung in bestimmten Populationen ].

Wie geliefert

Dosierungsformen und Stärken

Triumeq Tabletten sind lila biconvex oval und auf einer Seite mit 572 TRI. Jede filmbeschichtete Tablette enthält 600 mg Abacavir (als Abacavir-Sulfat) 50 mg Dolutegravir (als Dolutegravir-Natrium) und 300 mg Lamivudin [siehe BESCHREIBUNG ].

Triumeq PD Tabletten für die orale Suspension sind gelbe, kapselförmige, mit SV-WTU auf einer Seite entlarvte, mit SV-WTU entlarvte, gelben Kapsel-förmige, mit SV-WTU. Jede filmbeschichtete Tablette enthält 60 mg Abacavir (als Abacavir-Sulfat) 5 mg Dolutegravir (als Dolutegravir-Natrium) und 30 mg Lamivudin [siehe BESCHREIBUNG ].

Lagerung und Handhabung

Triumeq tablets

Triumeq tablets are purple oval film-coated biconvex tablets debossed with 572 Tri on one side and contain 600 mg of abacavir (as abacavir sulfate) 50 mg of dolutegravir (as dolutegravir sodium) and 300 mg lamivudine.

Flasche mit 30 Tabletten mit Trockenmittel und kinderresistenter Schließung. NDC 49702-231-13.

Im Originalpaket vor Feuchtigkeit schützen und die Flasche fest geschlossen halten. Entfernen Sie die Trockenmittel nicht.

Speichern Sie bei 20 ° C bis 25 ° C (68 ° F bis 77 ° F); Exkursionen zwischen 15 ° C und 30 ° C (59 ° F bis 86 ° F). [Sehen USP -kontrollierte Raumtemperatur ].

Triumeq PD Tablets For Oral Suspension

Triumeq PD Tabletten für die orale Suspension sind gelbe kapselförmige, mit SV-WTU auf einer Seite entzückte filmbeschichtete, kapselförmige, mit SV-WTU entlarvte und enthalten 60 mg Abacavir (als Abacavir-Sulfat) 5 mg Dolutegravir (als Dolutegravir-Sodium) und 30 mg Lamivudine.

Flasche mit 90 Tabletten ( NDC 49702-272-59) mit trockener und kinderresistenter Schließung. Jede Flasche ist als Kit (NDC 49702-258-37) mit einer 40-ml-Dosierungsbecher verpackt.

Speichern Sie bei 20 ° C bis 25 ° C (68 ° F bis 77 ° F); Exkursionen zwischen 15 ° C und 30 ° C (59 ° F bis 86 ° F). [Sehen USP -kontrollierte Raumtemperatur ]. Store and dispense in the original bottle protect from moisture and keep the bottle tightly closed. Nicht remove desiccant.

Hergestellt für: Viiv Healthcare Durham NC 27701. Überarbeitet: Apr 2024

Nebenwirkungen for Triumeq

Die folgenden Nebenwirkungen werden in anderen Abschnitten der Kennzeichnung erörtert:

  • Schwerwiegende und manchmal tödliche Überempfindlichkeitsreaktion [siehe Boxwarnung WARNUNGS AND VORSICHTSMASSNAHMEN ].
  • Verschlechterungen von Hepatitis B [siehe Boxwarnung WARNUNGS AND VORSICHTSMASSNAHMEN ].
  • Hepatotoxizität [siehe WARNUNGS AND VORSICHTSMASSNAHMEN ].
  • Laktatazidose und schwere Hepatomegalie mit Steatose [siehe WARNUNGS AND VORSICHTSMASSNAHMEN ].
  • Immunrekonstitutionssyndrom [siehe WARNUNGS AND VORSICHTSMASSNAHMEN ].
  • Myokardinfarkt [siehe WARNUNGS AND VORSICHTSMASSNAHMEN ].

Klinische Studien Erfahrung

Da klinische Studien unter stark unterschiedlichen Bedingungen durchgeführt werden, die in den klinischen Studien eines Arzneimittels beobachtet werden, können in den klinischen Studien eines anderen Arzneimittels nicht direkt mit den Raten verglichen werden und spiegeln möglicherweise nicht die in der klinischen Praxis beobachteten Raten wider.

Klinische Studien bei Erwachsenen

Schwerwiegende und tödliche Abacavir-assoziierte Überempfindlichkeitsreaktionen

In klinischen Studien sind bei Abacavir eine Komponente von Triumeq und Triumeq PD aufgetreten, die schwerwiegende und manchmal tödliche Überempfindlichkeitsreaktionen aufgetreten sind [siehe Boxwarnung WARNUNGS AND VORSICHTSMASSNAHMEN ]. These reactions have been characterized by 2 or more of the following signs or symptoms: (1) Fieber; (2) Ausschlag; (3) gastrointestinal symptoms (including Brechreiz Erbrechen Durchfall or abdominal pain); (4) constitutional symptoms (including generalized malaise Ermüdung or achiness); (5) respiratory symptoms (including dyspnea Husten or pharyngitis). Almost all abacavir hypersensitivity reactions include Fieber and/or Ausschlag as part of the syndrome.

Andere Anzeichen und Symptome umfassten Lethargie -Kopfschmerzen Myalgie -Ödeme Arthralgie und Parästhesie. Anaphylaxie Leberversagen Nierenversagen Hypotonie Erwachsener Atemnotssyndrom -Myolyse und Tod sind in Verbindung mit diesen Überempfindlichkeitsreaktionen aufgetreten. Die physikalischen Befunde umfassten Lymphadenopathie -Schleimhautmembranläsionen (Bindehautentzündung und Mundgeschwüre) sowie makulopapuläre oder Urtikarialausschlag (obwohl einige Patienten andere Arten von Hautausschlägen hatten und andere keinen Ausschlag hatten). Es gab Berichte über Erythema multiforme. Zu den Laboranomalien gehörten erhöhte Leberchemikalien erhöhte Kreatinphosphokinase erhöhte Kreatinin und Lymphopenie und abnormale Röntgenbefunde (überwiegend infiltriert, die lokalisiert waren).

Schwerwiegende Dolutegravir -Überempfindlichkeitsreaktionen

In klinischen Studien sind Überempfindlichkeitsreaktionen mit Dolutegravir, einem Bestandteil von Triumeq und Triumeq PD, aufgetreten [siehe WARNUNGS AND VORSICHTSMASSNAHMEN ]. These hypersensitivity reactions have been characterized by Ausschlag constitutional findings and sometimes organ dysfunction including liver injury.

Zusätzliche Behandlung mit Behandlungsmedise (ADRs) unter Verwendung von Triumeq

Die Sicherheitsbewertung von Triumeq basiert in erster Linie auf den Datenanalysen einer randomisierten internationalen multizentrischen Doppelblind-Aktive-kontrollierten Studie (ING114467) und unterstützt durch Daten in behandlungsverkundten Insti-naiven Probanden aus dem Segeln (ING111762) und von Daten aus anderen Behandlungsnähten. Siehe vollständige Verschreibungsinformationen für Tivicay.

Behandlungsnaive Probanden:

Bei einzelnen 833 erwachsenen Probanden wurden randomisiert und erhielten mindestens eine Dosis entweder Dolutegravir (Tivicay) 50 mg mit Fixed-Dosis-Abacavir und Lamivudin (Epzicom) (n = 414) oder mit fester Dosis Efavirenz/Emtricitabin/Tenofovir (n = 414) oder fester Dosis. bis Woche 144). Durch 144 Wochen betrug die Rate der unerwünschten Ereignisse, die zum Absetzen führten, bei Probanden, die Tivicay Epzicom erhielten, 4% und 14% bei Probanden, die einmal täglich Atripla erhielten.

Bei mindestens 2% der Probanden in beiden Behandlungsarms von Single sind in Tabelle 3 vorgesehene Behandlung mit mittelschwerer bis schwerer Intensität beobachtet.

Tabelle 3. Behandlungsmesser unerwünschte Arzneimittelreaktionen von mindestens moderatem Intensität (Klassen 2 bis 4) und mindestens 2% Häufigkeit bei behandlungsnaiven Probanden in Einzels (Woche 144 Analyse)

Nebenwirkungen Tivicay Epzicom
Einmal täglich
(n = 414)
Atripla
Einmal täglich
(n = 419)
Psychiatrisch
3% 3%
1% 2%
<1% 2%
Nervensystem
<1% 5%
2% 2%
Magen -Darm
<1% 3%
<1% 2%
Allgemeine Störungen
2% 2%
Haut und subkutanes Gewebe
a <1% 6%
Ohr und Labyrinth
0 2%
a Beinhaltet gepoolte Begriffe: Ausschlag Ausschlag für verallgemeinertes Ausschlag für Makula-Ausschlag aus dem Makula, der makulo-papuläre Hautausschläge und den Ausbruch der Drogenausbrüche makulo-papulär.
Probanden mit Behandlungen

Sailing ist eine internationale Doppelblindstudie an von Insti-naiven antiretroviralen Behandlungen erwachsenen Probanden. Die Probanden wurden randomisiert und erhielten entweder Tivicay 50 mg einmal täglich oder Raltegravir 400 mg zweimal täglich mit Ermittlungshintergrund, bestehend aus bis zu 2 Wirkstoffen, darunter mindestens einem voll aktiven Wirkstoff. Nach 48 Wochen stimmte die Rate der unerwünschten Ereignisse, die zum Absetzen führten, mit der in der allgemeinen Behandlungsnaivpopulation beobachteten Patientenpopulation überein. Siehe vollständige Verschreibungsinformationen für Tivicay.

Die in der Untergruppe der Probanden beobachteten ADRs, die Tivicay-Epzicom erhielten, stimmten im Allgemeinen mit denen überein, die in der gesamten Behandlung von Behandlung zu einer Behandlung beobachtet wurden.

Weniger häufige Nebenwirkungen, die in klinischen Studien beobachtet wurden

Die folgenden nachteiligen Reaktionen traten in auf <2% of treatment-naive or treatment-experienced subjects in any one trial. These events have been included because of their seriousness and/or assessment of potential causal relationship.

Magen -Darm Disorders: Bauchschmerzen Bauchdehnungsdehnung Abdominalbeschwerde Dyspepsie Flatulenz Gastroösophagealer Reflux Erkrankung Oberer Bauchschmerzen Erbrechen.

Allgemeine Störungen: Fieber -Lethargie.

Lebererkrankungen: Hepatitis.

Stoffwechsel- und Ernährungsstörungen: Magersucht Hypertriglyceridämie.

Erkrankungen des Bewegungsapparates: Arthralgia myositis.

Nervensystem Disorders: Schläfrigkeit.

Psychiatrisch Disorders: Selbstmordgesprächsverhalten oder Abschluss. Diese Ereignisse wurden hauptsächlich bei Probanden mit einer bereits bestehenden Vorgeschichte von Depressionen oder anderen psychiatrischen Erkrankungen beobachtet. Albtraum und Schlafstörung.

Nieren- und Harnstörungen: Nierenbehinderung.

Haut und subkutanes Gewebe Disorders: Pruritus.

Laboranomalien : Behandlungsnaive Probanden: Ausgewählte Laboranomalien (Klassen 2 bis 4) mit einem Verschlechterungsgrad von Basislinie und der schlimmsten Toxizität in mindestens 2% der Probanden in Single sind in Tabelle 4 dargestellt.

Tabelle 4. Ausgewählte Laboranomalien (Klassen 2 bis 4) bei behandlungsnaiven Probanden in Single (Woche 144 Analyse)

Laboranomalie Tivicay Epzicom
Einmal täglich
(n = 414)
Atripla
Einmal täglich
(n = 419)
ALLE
3% 5%
1% <1%
Ast
3% 4%
1% 3%
Kreatinkinase
5% 3%
7% 8%
Hyperglykämie
9% 6%
2% <1%
Lipase
11% 11%
5% 4%
Gesamtneutrophile
4% 5%
<0.75 x 109) 3% 3%
ALLE = Alanine aminotransferase Ast = Aspartate aminotransferase ULN = upper limit of normal.

Tabelle 5. Mittlere Änderung von der Ausgangswert bei schnellen Lipidwerten bei behandlungsnaiven Probanden bei einer einzigen (Woche 144 Analyse a )

Lipid Tivicay Epzicom
Einmal täglich
(n = 414)
Atripla
Einmal täglich
(n = 419)
Cholesterin (Mg/DL) 24.0 26.7
HDL -Cholesterin (Mg/DL) 5.4 7.2
LDL Cholesterin (Mg/DL) 16.0 14.6
Triglyceride (mg/dl) 13.6 31.9
HDL = Hochdichte Lipoprotein LDL = Lipoprotein mit niedriger Dichte.
a Die Probanden zu lipidsenkenden Wirkstoffen zu Studienbeginn wurden von diesen Analysen ausgeschlossen (Tivicay Epzicom: n = 30 und Atripla: n = 27). 22 Probanden initiierten nach dem Baseline einen lipidsenkenden Wirkstoff; Ihre letzten Fast-On-Behandlungswerte (vor Beginn des Agenten) wurden verwendet, unabhängig davon, ob er den Agenten eingestellt hat (Tivicay Epzicom: n = 36 und Atripla: n = 36).
Probanden mit Behandlungen

Das bei Segeln beobachtete Laboranomalien waren im Allgemeinen ähnlich wie in den Behandlungsnasern beobachteten Beobachtungen.

Hepatitis-C-Virus-Koinfektion

In Single durften die Pivotal Phase 3-Studienpersonen mit Hepatitis-C-Virus-Koinfektion einbeziehen, sofern die Basisleber-Chemie-Tests die 5-fache der Obergrenze des Normalen nicht überschritten haben; Probanden mit Hepatitis B-Koinfektion wurden ausgeschlossen. Insgesamt war das Sicherheitsprofil bei Probanden mit Hepatitis-C-Virus-Koinfektion der bei Probanden ohne Hepatitis-C-Koinfektion beobachtet, obwohl die Raten von Aspartataminotransferase (AST) und Alanin-Aminotransferase (ALT) -Anormalen beider Behandlung mit Hepatitis-C-Virus-Co-Infektion höher waren. Die Abnormalitäten der Klassen 2 bis 4 Alt bei Hepatitis C mit koinfiziertem HIV-mono-infizierten Probanden, die Triumeq erhielten, wurden bei 15% und 2% (vs. 24% bzw. 4% der mit Atripla behandelten Probanden) (Woche 96 Analyse) [siehe WARNUNGS AND VORSICHTSMASSNAHMEN ]. Sehen also full prescribing information for TIVICAY.

Änderungen im Serumkreatinin:

Es wurde gezeigt, dass Dolutegravir das Serumkreatinin aufgrund der Hemmung der tubulären Sekretion von Kreatinin erhöht, ohne die nierenglomeruläre Funktion zu beeinflussen [siehe Klinische Pharmakologie ]. Increases in serum creatinine occurred within the first 4 weeks of treatment and remained stable through 144 weeks. In SINGLE a mean change from baseline of 0.14 mg/dL (range: -0.25 mg/dL to 0.81 mg/dL) was observed after 144 weeks of treatment. Creatinine increases were similar in treatment-experienced subjects.

Abacavir und Lamivudin

Laboranomalien, die in klinischen Studien mit Ziagen beobachtet wurden (in Kombination mit einer anderen antiretroviralen Behandlung), waren Anämie Neutropenie Leberfunktionstestanomalien und Erhöhungen von Kreatinphosphokinase (CPK) Blutzucker und Triglyceride . Zusätzliche Laboranomalien, die in klinischen Studien von Epivir (in Kombination mit einer anderen antiretroviralen Behandlung) beobachtet wurden, waren Thrombozytopenie und erhöhte Spiegel von Bilirubin -Amylase und Lipase.

Klinische Studien Erfahrung In Pädiatrische Themen

Abacavir Dolutegravir und Lamivudin

Die Sicherheit von Triumeq PD und Triumeq bei pädiatrischen Probanden mit HIV-1-Infektion mit einem Gewicht von mindestens 6 kg wurde in der IMPAACT-Studie 2019 bewertet. Dies war eine multizentrische, nicht komparative Studie mit pädiatrischen Probanden mit HIV-1-Infektion, die unter 12 Jahren unter 12 Jahren war. In diesem Versuch wurden siebenundfünfzig Probanden mit einem Gewicht von mindestens 6 kg bis weniger als 40 kg aufgenommen [siehe Verwendung in bestimmten Populationen Klinische Pharmakologie Klinische Studien ]. Overall the safety data in this pediatric study was similar to that seen in adults.

Die Sicherheitsanalyse in Woche 48 umfasste 57 Probanden mit mindestens 6 kg bei der Einschreibung, die die empfohlene Dosis (nach Gewicht festgelegt) und Formulierung erhalten haben. Diese Analyse zeigte, dass 26% der Probanden klinische Nebenwirkungen auftraten. Die häufigsten Nebenwirkungen wurden als Laboranomalien eingestuft und umfassten eine verminderte glomeruläre Filtrationsrate (n = 13 23%) erhöhte Blutkreatinin (n = 10 18%) und erhöhte ALT (n = 3 5%). Alle anderen nachteiligen Reaktionen traten mit einer Geschwindigkeit von auf <2% of participants. Two subjects reported Grade 3 or 4 adverse reactions. One subject an 8-year-old female who weighed 22 kg at baseline experienced Grade 3 increased blood creatinine and Grade 3 decreased glomerular filtration rate. By Week 48 the glomerular filtration rate was improving and the events did not lead to drug discontinuation. Another subject a 7-year-old male who weighed 20 kg at baseline experienced drug-induced liver injury with Grade 4 increased ALLE and Ast following 36 weeks of treatment with Triumeq PD. Clinical signs or symptoms of hepatitis were not reported and ALLE and Ast values normalized after Triumeq PD was discontinued.

Abacavir und Lamivudin

Die Sicherheit von einmal täglich im Vergleich zur zweimal täglichen Dosierung von Abacavir und Lamivudin, die entweder einzelne Produkte oder als Epzicom verabreicht wurden, wurde im Arrow-Versuch bewertet (n = 336). Die primäre Sicherheitsbewertung in der Studie von Arrow (COL105677) basierte auf unerwünschten Ereignissen der Klasse 3 und 4. Ein Ereignis der Hepatitis der 4 Grad 4 in der einst täglichen Kohorte wurde vom Ermittler als ungewöhnliche Kausalität angesehen, und alle anderen unerwünschten Ereignisse der Klasse 3 oder 4 wurden vom Ermittler nicht in Verbindung gebracht. Bei pädiatrischen Probanden wurden im Vergleich zu historischen Daten bei Erwachsenen keine zusätzlichen Sicherheitsprobleme identifiziert.

Dolutegravir

Die Sicherheit von Dolutegravir bei pädiatrischen Probanden mit HIV-1 Verwendung in bestimmten Populationen Klinische Pharmakologie ]. Overall the safety data in this pediatric study was similar to that seen in adults.

Impaact P1093 ist eine laufende multizentrische nicht-Vergleichsstudie mit pädiatrischen Probanden mit HIV-1-Infektion im Alter von HIV-1 <18 years. One hundred and forty-two subjects weighing at least 6 kg were enrolled in this trial [sehen Verwendung in bestimmten Populationen Klinische Pharmakologie Klinische Studien ].

Die Sicherheitsanalyse bis in Woche 24 umfasste 60 Probanden mit mindestens 6 kg bei der Einschreibung, die die empfohlene Dosis (bestimmt nach Gewicht und Alter) und Formulierung erhielten. Diese Analyse zeigte, dass 13% der Probanden Nebenwirkungen auftraten. Die von mehr als einem Probanden berichteten Nebenwirkungen von Grad 1 bis 2 war das entzündliche Immunrekonstitutionssyndrom (n = 2). Es wurden keine unerwünschten Reaktionen Grad 3 oder 4 gemeldet. Keine nachteiligen Reaktionen führten zum Absetzen.

Die in mehr als einem Probanden mit einem Gewicht von mindestens 6 kg bei der Aufnahme gemeldeten Laboranomalien waren verringert, verringerte das Blutbicarbonat (n = 3) erhöhte Lipase (n = 2) und erhöhte Blutkalium (n = 2). Diese Laborereignisse wurden nicht als drogenbezogen angesehen. Veränderungen im medianen Serumkreatinin waren ähnlich wie bei Erwachsenen.

Nachmarkterfahrung

Zusätzlich zu den aus klinischen Studien gemeldeten unerwünschten Reaktionen wurden während der Verwendung des Nachmarkts mit einem oder mehreren der Komponenten von Triumeq und Triumeq PD die folgenden nachteiligen Reaktionen identifiziert. Da diese Reaktionen freiwillig aus einer Population unsicherer Größe berichtet werden, ist es nicht immer möglich, ihre Häufigkeit zuverlässig abzuschätzen oder ein kausales Verhältnis zur Arzneimittelexposition herzustellen.

Blut- und Lymphsysteme

Aplastische Anämie -Anämie (einschließlich reine rote Zellaplasie und schwere Anämien, die zur Therapie voranschreiten) Lymphadenopathie Splenomegalie.

Verdauungs

Stomatitis.

Magen -Darm

Pankreatitis.

Allgemein

Schwäche.

Lebererkrankungen

Akute Leberversagen Lebertransplantation [siehe WARNUNGS AND VORSICHTSMASSNAHMEN ].

Überempfindlichkeit

Sensibilisierungsreaktionen (einschließlich Anaphylaxie) Urtikaria [siehe WARNUNGS AND VORSICHTSMASSNAHMEN Klinische Studien Erfahrung ].

Untersuchungen

Gewicht nahm zu.

Stoffwechsel- und Ernährungsstörungen

Hyperlaktämie.

Muskuloskelett

CPK -Erhöhung Muskelschwäche Myalgie Rhabdomyolyse.

Nervös

Parästhesie periphere Neuropathie -Anfälle.

Psychiatrisch

Angst.

Atemweg

Abnormale Atemgeräusche/Keuchen.

Haut

Alopecia erythema multiforme. Verdacht auf das Stevens-Johnson-Syndrom (SJS) und die toxische epidermale Nekrolyse (zehn) wurden bei Patienten berichtet, die Abacavir hauptsächlich in Kombination mit Medikamenten erhalten, von denen bekannt ist, dass sie mit SJS bzw. zehn assoziiert sind. Aufgrund der Überschneidung klinischer Anzeichen und Symptome zwischen Überempfindlichkeit gegenüber Abacavir und SJS und Ten und der Möglichkeit der Möglichkeiten mehrerer Arzneimittelempfindlichkeit bei einigen Patienten, die Abacavir abgesetzt und in solchen Fällen nicht neu gestartet werden sollte [siehe Klinische Studien Erfahrung ].

Wechselwirkungen mit Arzneimitteln for Triumeq

Wirkung von Dolutegravir auf die Pharmakokinetik anderer Wirkstoffe

In vitro Dolutegravir inhibierte die organischen Kationentransporter der Nieren (OCT) 2 (IC) 50 = 1,93 microm) und Multidrug- und Toxin -Extrusionstransporter (Mate) 1 (IC 50 = 6,34 microm). Vergeblich Dolutegravir hemmt die tubuläre Sekretion von Kreatinin durch Hemmung von OCT2 und möglicherweise MATE1. Dolutegravir kann die Plasmakonzentrationen von Arzneimitteln erhöhen, die über Oct2 oder MATE1 (Dofetilid Dalfampridin und Metformin) eliminiert wurden [siehe Kontraindikationen Etablierte und andere potenziell signifikante Wechselwirkungen mit Arzneimitteln ].

In vitro Dolutegravir inhibierte den basolateralen Nierentransporter organischen Anionentransporter (OAT) 1 (IC 50 = 2.12 microm) und oat3 (IC 50 = 1,97 microm). Jedoch vergeblich Dolutegravir veränderte die Plasmakonzentrationen von Tenofovir- oder Para-Amino-Hippurate-Substraten von OAT1 und OAT3 nicht.

In vitro Dolutegravir hemmte nicht (IC 50 > 50 microM) the following: cytochrome P450 (CYP)1A2 CYP2A6 CYP2B6 CYP2C8 CYP2C9 CYP2C19 CYP2D6 CYP3A uridine diphosphate (UDP)-glucuronosyl transferase (UGT)1A1 UGT2B7 P-glycoprotein (P-gp) breast cancer resistance protein (BCRP) sogar Salzexportpumpe (BSEP) organischer Anionentransporter Polypeptid (OATP) 1B1 OATP1B3 OCT1 oder Multidrug -Resistenzprotein (MRP) 2 oder MRP4. In -vitro Dolutegravir induzierte CYP1A2 CYP2B6 CYP3A4 nicht. Basierend auf diesen Daten und den Ergebnissen von Arzneimittelwechselwirkungsstudien wird nicht erwartet, dass Dolutegravir die Pharmakokinetik von Arzneimitteln beeinflusst, die Substrate dieser Enzyme oder Transporter sind.

In Arzneimittelwechselwirkungsstudien hatte Dolutegravir keine klinisch relevante Wirkung auf die Pharmakokinetik der folgenden Medikamente: Tenofovir -Methadon -Midazolam -Rilpivirin- und orale Kontrazeptiva, die norstimierte und Ethinylstradiol enthielten. Die Verwendung von Cross-Study-Vergleiche mit historischen pharmakokinetischen Daten für jedes interagierende Arzneimittel-Dolutegravir schien die Pharmakokinetik der folgenden Medikamente nicht zu beeinflussen: Atazanavir Darunavir Efavirenz etravirine fosamprrenavir lopinavir ritonavir und boceprevir.

Auswirkung anderer Wirkstoffe auf die Pharmakokinetik von Dolutegravir

Dolutegravir is metabolized by UGT1A1 with some contribution from CYP3A. Dolutegravir is also a substrate of UGT1A3 UGT1A9 BCRP and P-gp in vitro. Arzneimittels that induce those enzymes and transporters may decrease dolutegravir plasma concentrations and reduce the therapeutic effect of dolutegravir.

Die gleichzeitige Verabreichung von Dolutegravir und anderen Arzneimitteln, die diese Enzyme hemmen, können die Dolutegravir -Plasmakonzentrationen erhöhen.

Etravirine significantly reduced plasma concentrations of dolutegravir but the effect of etravirine was mitigated by coadministration of lopinavir/ritonavir or darunavir/ritonavir and is expected to be mitigated by atazanavir/ritonavir (Table 6) [see Wechselwirkungen mit Arzneimitteln Klinische Pharmakologie ].

In vitro Dolutegravir war kein Substrat von OATP1B1 oder OATP1B3.

Darunavir/Ritonavir Lopinavir/Ritonavir Rilpivirine Tenofovir Boceprevir Prednison Rifabutin und Omeprazol hatten keinen klinisch signifikanten Einfluss auf die Pharmakokinetik von Dolutegravir.

Etablierte und andere potenziell signifikante Wechselwirkungen mit Arzneimitteln

Es gab keine Wechselwirkungsversuche für Arzneimittel, die mit den Abacavir Dolutegravir- und Lamivudin-Kombinationstabletten mit fester Dosis durchgeführt wurden.

Informationen zu potenziellen Arzneimittelwechselwirkungen mit den einzelnen Komponenten von Triumeq und Triumeq PD finden Sie nachstehend. Diese Empfehlungen basieren entweder auf Arzneimittelinteraktionsstudien oder auf vorhergesagten Wechselwirkungen aufgrund des erwarteten Ausmaßes der Wechselwirkung und des Potenzials für schwerwiegende unerwünschte Ereignisse oder des Wirksamkeitsverlustes. [Sehen Kontraindikationen Klinische Pharmakologie .]

Tabelle 6. Etablierte und andere potenziell signifikante Arzneimittelwechselwirkungen für Dolutegravir: Veränderungen der Dosi

Begleitende Drogenklasse:
Drogenname
Auswirkung auf die Konzentration Klinischer Kommentar
HIV-1 Antiviral Agents
Nicht-Nukleosid-Reverse-Transkriptase-Inhibitor:
a
↓ Dolutegravir Die Verwendung von Triumeq oder Triumeq PD mit Etravirin ohne gleichzeitige Verabreichung von Atazanavir/Ritonavir Darunavir/Ritonavir oder Lopinavir/Ritonavir wird nicht empfohlen.
Nicht-Nukleosid-Reverse-Transkriptase-Inhibitor:
a
↓ Dolutegravir Bei Erwachsenen und bei pädiatrischen Patienten Wiegen Sie mindestens 25 kg Stellen Sie die Dolutegravir -Dosis zweimal täglich auf 50 mg ein. Eine weitere 50-mg-Dosis Tivicay sollte durch 12 Stunden von Triumeq getrennt werden.

Bei pädiatrischen Patienten 6 bis <25 kg Eine zusätzliche Gewichtsdosis von Dolutegravir sollte durch 12 Stunden von Triumeq PD abgetrennt werden.
  • 6 bis <10 kg: administer an additional 15-mg dose of dolutegravir (3 TIVICAY PD tablets for oral suspension) 12 hours after Triumeq PD
  • 10 bis <14 kg: administer an additional 20-mg dose of dolutegravir (4 TIVICAY PD tablets for oral suspension) 12 hours after Triumeq PD
  • 14 bis <20 kg: administer an additional 25-mg dose of dolutegravir (5 TIVICAY PD tablets for oral suspension) 12 hours after Triumeq PD
  • 20 bis <25 kg: administer an additional 30-mg dose of dolutegravir (6 TIVICAY PD tablets for oral suspension) 12 hours after Triumeq PD.
Nicht-Nukleosid-Reverse-Transkriptase-Inhibitor:
↓ Dolutegravir Vermeiden Sie die gleichzeitige Verabreichung mit Triumeq oder Triumeq PD, da es nicht genügend Daten gibt, um die Dosierungsempfehlungen abzugeben.
Protease -Inhibitor:
a
a
↓ Dolutegravir Bei Erwachsenen und bei pädiatrischen Patienten Wiegen Sie mindestens 25 kg Stellen Sie die Dolutegravir -Dosis zweimal täglich auf 50 mg ein. Eine zusätzliche 50-mg-Dosis Tivicay sollte durch 12 Stunden von Triumeq getrennt werden.

Bei pädiatrischen Patienten 10 bis <25 kg Eine zusätzliche Gewichtsdosis von Dolutegravir sollte durch 12 Stunden von Triumeq PD abgetrennt werden.
  • 6 bis <10 kg: administer an additional 15-mg dose of dolutegravir (3 TIVICAY PD tablets for oral suspension) 12 hours after Triumeq PD
  • 10 bis <14 kg: administer an additional 20-mg dose of dolutegravir (4 TIVICAY PD tablets for oral suspension) 12 hours after Triumeq PD
  • 14 bis <20 kg: administer an additional 25-mg dose of dolutegravir (5 TIVICAY PD tablets for oral suspension) 12 hours after Triumeq PD
  • 20 bis <25 kg: administer an additional 30-mg dose of dolutegravir (6 TIVICAY PD tablets for oral suspension) 12 hours after Triumeq PD.
Andere Agenten
Antiarrhythmie:
↑ Dofetilid Die gleichzeitige Verabreichung ist mit Triumeq und Triumeq PD kontraindiziert [siehe Kontraindikationen ].
Kaliumkanalblocker:
↑ Dalfampridin Erhöhte Dalfampridin -Spiegel erhöhen das Risiko von Anfällen. Die potenziellen Vorteile der gleichzeitigen Einnahme von Dalfampridin mit Triumeq oder Triumeq PD sollten gegen das Risiko von Anfällen bei diesen Patienten berücksichtigt werden.
Carbamazepin a ↓ Dolutegravir Bei Erwachsenen und bei pädiatrischen Patienten Wiegen Sie mindestens 25 kg Stellen Sie die Dolutegravir -Dosis zweimal täglich auf 50 mg ein. Eine zusätzliche 50-mg-Dosis Tivicay sollte durch 12 Stunden von Triumeq getrennt werden.

Bei pädiatrischen Patienten 6 bis <25 kg Eine zusätzliche Gewichtsdosis von Dolutegravir sollte durch 12 Stunden von Triumeq PD abgetrennt werden.
  • 6 bis <10 kg: administer an additional 15-mg dose of dolutegravir (3 TIVICAY PD tablets for oral suspension) 12 hours after Triumeq PD
  • 10 bis <14 kg: administer an additional 20-mg dose of dolutegravir (4 TIVICAY PD tablets for oral suspension) 12 hours after Triumeq PD
  • 14 bis <20 kg: administer an additional 25-mg dose of dolutegravir (5 TIVICAY PD tablets for oral suspension) 12 hours after Triumeq PD
  • 20 bis <25 kg: administer an additional 30-mg dose of dolutegravir (6 TIVICAY PD tablets for oral suspension) 12 hours after Triumeq PD.
Oxcarbazepin
Phable
Phenobarbital
St. Johns Würze ( Hypericum Perforatum )
↓ Dolutegravir Vermeiden Sie die gleichzeitige Verabreichung mit Triumeq oder Triumeq PD, da es nicht genügend Daten gibt, um die Dosierungsempfehlungen abzugeben.
Medikamente, die polyvalente Kationen enthalten (z. B. mg oder al):
a oder Abführmittel

↓ Dolutegravir Verwalten Triumeq or Triumeq PD 2 hours before or 6 hours after taking medications containing polyvalent cations.
Orale Kalzium- und Eisenpräparate einschließlich Multivitamine, die Kalzium oder Eisen enthalten a ↓ Dolutegravir Bei der Einnahme mit Food Triumeq oder Triumeq PD und Nahrungsergänzungsmitteln oder Multivitaminen, die Kalzium oder Eisen enthalten, können gleichzeitig eingenommen werden. Unter Fastenbedingungen sollte Triumeq oder Triumeq PD 2 Stunden vor oder 6 Stunden nach der Einnahme von Kalzium oder Eisen eingenommen werden.
Metformin a ↑ Metformin In den Verschreibungsinformationen für Metformin finden Sie die Nutzen und das Risiko einer gleichzeitigen Verwendung von Triumeq oder Triumeq PD und Metformin.
Rifampin a ↓ Dolutegravir Bei Erwachsenen und bei pädiatrischen Patienten Wiegen Sie mindestens 25 kg Stellen Sie die Dolutegravir -Dosis zweimal täglich auf 50 mg ein. Eine weitere 50-mg-Dosis Tivicay sollte durch 12 Stunden von Triumeq getrennt werden.

Bei pädiatrischen Patienten 6 bis <25 kg Eine zusätzliche Gewichtsdosis von Dolutegravir sollte durch 12 Stunden von Triumeq PD abgetrennt werden.
  • 6 bis <10 kg: administer an additional 15-mg dose of dolutegravir (3 TIVICAY PD tablets for oral suspension) 12 hours after Triumeq PD
  • 10 bis <14 kg: administer an additional 20-mg dose of dolutegravir (4 TIVICAY PD tablets for oral suspension) 12 hours after Triumeq PD
  • 14 bis <20 kg: administer an additional 25-mg dose of dolutegravir (5 TIVICAY PD tablets for oral suspension) 12 hours after Triumeq PD
  • 20 bis <25 kg: administer an additional 30-mg dose of dolutegravir (6 TIVICAY PD tablets for oral suspension) 12 hours after Triumeq PD.
a Sehen Klinische Pharmakologie Tabelle 8 oder Tabelle 10 für die Größe der Wechselwirkung.
Methadon

Abacavir

In einer Studie mit 11 HIV-1-infizierten Probanden, die die Methadon-Wartungstherapie mit 600 mg Abacavir zweimal täglich erhielten (doppelt so doppelt so Klinische Pharmakologie ]. This alteration will not result in a methadone dose modification in the majority of patients; however an increased methadone dose may be required in a small number of patients.

Sorbit

Lamivudin

Die gleichzeitige Verabreichung einzelner Dosen von Lamivudin und Sorbit führte zu einer sorbitol-dosisabhängigen Verringerung der Lamivudin-Expositionen. Wenn möglich vermeiden Klinische Pharmakologie ].

Riociguat

Abacavir

Die gleichzeitige Verabreichung mit Triumeq führte zu einer erhöhten Exposition von Riokiguaten, die das Risiko für unerwünschte Reaktionen von Riokiguaten erhöhen können [siehe Klinische Pharmakologie ]. The riociguat dose may need to be reduced. Sehen full prescribing information for ADEMPAS (riociguat).

Warnungen für Triumeq

Eingeschlossen als Teil der VORSICHTSMASSNAHMEN Abschnitt.

Vorsichtsmaßnahmen für Triumeq

Überempfindlichkeitsreaktionen

Überempfindlichkeit reactions have been reported with the use of abacavir or dolutegravir components of Triumeq and Triumeq PD.

Abacavir

Bei Abacavir-haltigen Regimen sind schwerwiegende und manchmal tödliche Überempfindlichkeitsreaktionen aufgetreten. Siehe vollständige Verschreibungsinformationen für Ziagen (Abacavir).

Abacavir hypersensitivity reactions have included multi-organ failure and anaphylaxis and typically occurred within the first 6 weeks of treatment with abacavir (median time to onset was 9 days); although abacavir hypersensitivity reactions have occurred any time during treatment [sehen Nebenwirkungen ]. Patients who carry the HLA-B*5701 allele are at a higher risk of abacavir hypersensitivity reactions; although patients who do not carry the HLA-B*5701 allele have developed hypersensitivity reactions. Überempfindlichkeit to abacavir was reported in approximately 206 (8%) of 2670 patients in 9 clinical trials with abacavir-containing products where HLA-B*5701 screening was not performed. The incidence of suspected abacavir hypersensitivity reactions in clinical trials was 1% when subjects carrying the HLA-B*5701 allele were excluded. In any patient treated with abacavir the clinical diagnosis of hypersensitivity reaction must remain the basis of clinical decision making.

Aufgrund des Potenzials für schwere schwerwiegende und möglicherweise tödliche Überempfindlichkeitsreaktionen mit Abacavir:

  • Alle Patienten sollten vor der Initiierung der Therapie mit Triumeq oder Triumeq PD oder der Reinitiation der Therapie mit Triumeq oder Triumeq PD auf das HLA-B*5701-Allel untersucht werden, es sei denn, die Patienten haben eine zuvor dokumentierte HLA-B*5701 Allelbewertung.
  • Triumeq and Triumeq PD are contraindicated in patients with a prior hypersensitivity reaction to abacavir and in HLA-B*5701-positive patients.
  • Bevor Sie mit Triumeq oder Triumeq PD beginnen, überprüfen Sie die Anamnese der Krankengeschichte für vorherige Exposition gegenüber Abacavir-haltigem Produkt. Starten Sie niemals Triumeq oder Triumeq PD oder ein anderes Abacavir-haltiges Produkt nach einer Überempfindlichkeitsreaktion auf Abacavir unabhängig vom HLA-B*5701-Status.
  • To reduce the risk of a life-threatening hypersensitivity reaction regardless of HLA-B*5701 status discontinue TRIUMEQ or TRIUMEQ PD immediately if a hypersensitivity reaction is suspected even when other diagnoses are possible (e.g. acute onset respiratory diseases such as pneumonia bronchitis pharyngitis or influenza; gastroenteritis; or reactions to other medications). Der klinische Status einschließlich Leberchemien sollte überwacht und eine angemessene Therapie eingeleitet werden.
  • Wenn eine Überempfindlichkeitsreaktion nicht ausgeschlossen werden kann, starten Sie Triumeq oder Triumeq PD oder andere abacavirhaltige Produkte nicht neu, da schwerwiegendere Symptome, die lebensbedrohliche Hypotonie und Tod umfassen können, innerhalb von Stunden auftreten können.
  • Klinisch ist es nicht möglich zu bestimmen, ob eine Überempfindlichkeitsreaktion mit Triumeq oder Triumeq PD durch Abacavir oder Dolutegravir verursacht wird. Starten Sie daher niemals Triumeq oder Triumeq PD oder ein anderes Produkt abacavir- oder dolutegravir-haltiges Produkt bei Patienten, die aufgrund einer Überempfindlichkeitsreaktion die Therapie mit Triumeq oder Triumeq PD gestoppt haben.
  • Wenn eine Überempfindlichkeitsreaktion ausgeschlossen wird, können Patienten Triumeq oder Triumeq PD neu starten. Selten Patienten, die Abacavir aus anderen Gründen als Symptomen einer Überempfindlichkeit gestoppt haben, haben auch innerhalb weniger Stunden nach der Wiedereinstellung der Abacavir-Therapie lebensbedrohliche Reaktionen aufgenommen. Daher wird eine Wiedereinführung von Triumeq oder Triumeq PD oder einem anderen Abacavir-haltigen Produkt nur empfohlen, wenn die medizinische Versorgung leicht zugegriffen werden kann.
  • Eine Medikamentenhandbuch und eine Warnkarte, die Informationen über die Erkennung von Abacavir -Überempfindlichkeitsreaktionen liefert, sollte mit jedem neuen Rezept und jeder Nachfüllung abgegeben werden.
Dolutegravir

Überempfindlichkeit reactions have been reported and were characterized by Ausschlag constitutional findings and sometimes organ dysfunction including liver injury. The events were reported in <1% of subjects receiving TIVICAY in Phase 3 clinical trials. Discontinue Triumeq or Triumeq PD and other suspect agents immediately if signs or symptoms of hypersensitivity reactions develop (including but not limited to severe Ausschlag or Ausschlag accompanied by Fieber general malaise Ermüdung muscle or joint aches blisters or peeling of the skin oral blisters or lesions conjunctivitis facial edema hepatitis Eosinophilie Angioödem Schwierigkeit Atem).

Der klinische Status einschließlich Leberaminotransferasen sollte überwacht und eine angemessene Therapie initiiert werden. Verzögerung bei der Beendigung der Behandlung mit Triumeq oder Triumeq PD oder anderen Verdächtigen nach Beginn der Überempfindlichkeit kann zu einer lebensbedrohlichen Reaktion führen.

Klinisch ist es nicht möglich zu bestimmen, ob eine Überempfindlichkeitsreaktion mit Triumeq oder Triumeq PD durch Abacavir oder Dolutegravir verursacht wird. Starten Sie daher niemals Triumeq oder Triumeq PD oder ein anderes Produkt abacavir- oder dolutegravir-haltiges Produkt bei Patienten, die aufgrund einer Überempfindlichkeitsreaktion die Therapie mit Triumeq oder Triumeq PD gestoppt haben.

Patienten, die mit HIV-1 und HBV mitkinfiziert wurden: Entstehung von lamivudinresistenten HBV und das Risiko einer Nachbehandlungsverlängerung von HBV

Alle Patienten mit HIV-1 sollten vor oder beim Initiieren von Triumeq oder Triumeq PD auf das Vorhandensein von HBV getestet werden.

Entstehung von lamivudinresistenten HBV

Sicherheit und Wirksamkeit von Lamivudin wurde nicht zur Behandlung von chronischem HBV bei Probanden festgelegt, die doppelt mit HIV-1 und HBV infiziert sind. Bei HBV-Varianten, die mit einer Resistenz gegen Lamivudin verbunden sind, wurde bei HIV-1-infizierten Probanden berichtet, die in Gegenwart einer gleichzeitigen Infektion mit HBV lamivudinhaltige antiretrovirale Regime erhalten haben. Wenn eine Entscheidung getroffen wird, Triumeq oder Triumeq PD an Patienten mit HIV-1 und HBV zu verabreichen, sollte eine zusätzliche Behandlung für eine angemessene Behandlung von chronischem HBV in Betracht gezogen werden. Ansonsten betrachten Sie ein alternatives Regime.

Schwere akute Exazerbationen von HBV bei Patienten, die mit HIV-1 und HBV koinfiziert wurden

Bei Patienten, die mit HIV-1 und HBV koinfiziert sind, wurden über schwere akute Exazerbationen von HBV berichtet, die Lamivudin enthalten, und können durch Absetzen von Triumeq oder Triumeq PD auftreten. Patienten, die gemeinsam mit HIV-1 und HBV infiziert sind, die Triumeq oder Triumeq PD absetzen, sollten mindestens einige Monate nach der Beendigung der Behandlung mit Triumeq oder Triumeq PD mindestens einige Monate lang mit der klinischen und laborischen Follow-up überwacht werden. Wenn eine angemessene Einleitung einer Anti-HBV-Therapie eine angemessene Initiierung von Patienten mit fortgeschrittener Lebererkrankung oder Zirrhose sein kann, kann die Exazerbation von Hepatitis nach der Behandlung zu einer Dekompensation von Lebern und zu Leberversagen führen.

Hepatotoxizität

Bei Patienten, die ein dolutegravirhaltiges Regime erhalten Nebenwirkungen ]. Patients with underlying hepatitis B or C may be at increased risk for worsening or development of transaminase elevations with use of Triumeq or Triumeq PD [sehen Nebenwirkungen ]. In some cases the elevations in transaminases were consistent with immune reconstitution syndrome or hepatitis B reactivation particularly in the setting where anti-hepatitis therapy was withdrawn. Cases of hepatic toxicity including elevated serum liver biochemistries hepatitis and acute liver failure have also been reported in patients including pediatric patients receiving a dolutegravir-containing regimen who had no pre-existing hepatic disease or other identifiable risk factors. Arzneimittel-induced liver injury leading to liver transplant has been reported with Triumeq. Monitoring for hepatotoxicity is recommended.

Laktatazidose und schwere Hepatomegalie mit Steatose

Laktatazidose und schwere Hepatomegalie mit Steatose, einschließlich tödlicher Fälle, wurden unter Verwendung von Nukleosidanaloga einschließlich Abacavir und Lamivudin (Komponenten von Triumeq und Triumeq PD) berichtet. Ein Großteil dieser Fälle war bei Frauen. Weiblicher Sex und Fettleibigkeit können Risikofaktoren für die Entwicklung von Laktatazidose und schwerer Hepatomegalie mit Steatose bei Patienten sein, die mit antiretroviralen Nukleosidanaloga behandelt wurden. Siehe vollständige Verschreibungsinformationen für Ziagen (Abacavir) und Epivir (Lamivudin). Die Behandlung mit Triumeq oder Triumeq -PD sollte bei einem Patienten, der klinische oder Laborbefunde entwickelt, die auf eine Laktatazidose oder eine ausgeprägte Hepatotoxizität hindeutet, die Hepatomegalie und Steatose umfassen kann, auch ohne ausgeprägte Transaminase -Erhöhungen aufgehoben werden.

Risiko von Nebenwirkungen oder Verlust der virologischen Reaktion aufgrund von Arzneimittelwechselwirkungen

Die gleichzeitige Verwendung von Triumeq oder Triumeq PD und anderen Arzneimitteln kann zu bekannten oder potenziell signifikanten Arzneimittelwechselwirkungen führen, von denen einige zu einigen führen können [siehe Kontraindikationen Wechselwirkungen mit Arzneimitteln ]:

  • Verlust der therapeutischen Wirkung von Triumeq oder Triumeq PD und mögliche Entwicklung von Resistenz.
  • Mögliche klinisch signifikante Nebenwirkungen von größeren Expositionen von gleichzeitigen Arzneimitteln.

Sehen Table 6 for steps to prevent or manage these possible and known significant drug interactions including dosing recommendations. Consider the potential for drug interactions prior to and during therapy with Triumeq or Triumeq PD review concomitant medications during therapy with Triumeq or Triumeq PD and monitor for the adverse reactions associated with the concomitant drugs.

Immunrekonstitutionssyndrom

Immunrekonstitutionssyndrom wurde bei Patienten berichtet, die mit einer antiretroviralen Therapie mit Kombination behandelt wurden, einschließlich Triumeq oder Triumeq PD. Während der Anfangsphase der kombinierten antiretroviralen Behandlungspatienten, deren Immunsystem reagieren Cytomegalovirus Pneumocystis jirovecii pneumonie [PCP] oder Tuberkulose), die eine weitere Bewertung und Behandlung erforderlich machen können.

Es wurde auch berichtet, dass bei Autoimmunerkrankungen (wie Graves's-Krankheitspolymyositis-Guillain-Barré-Syndrom-Autoimmunhepatitis) auch bei der Einstellung der Immunrekonstitution auftritt. Die Zeit zum Beginn ist jedoch variabler und kann viele Monate nach Beginn der Behandlung auftreten.

Verschiedene Formulierungen sind nicht ersetzt

Triumeq and Triumeq PD are not bioequivalent and are not substitutable on a milligramper- milligram basis [sehen Klinische Pharmakologie ]. If a pediatric patient switches from the tablets for oral suspension to the tablets the dosage must be adjusted [sehen Dosierung und Verwaltung ]. Incorrect dosing of a given formulation may result in underdosing and loss of therapeutic effect and possible development of resistance or possible clinically significant adverse reactions from greater exposure to the individual components.

Myokardinfarkt

Mehrere prospektive beobachtende epidemiologische Studien haben einen Zusammenhang mit der Verwendung von Abacavir und dem Risiko eines Myokardinfarkts (MI) berichtet. Metaanalysen randomisierter kontrollierter klinischer Studien haben im Vergleich zu Kontrollpersonen kein übermäßiges MI-Risiko bei mit Abacavir behandelten Probanden beobachtet. Bisher gibt es keinen etablierten biologischen Mechanismus, um einen möglichen Risikoanstieg zu erklären. Insgesamt zeigen die verfügbaren Daten aus den Beobachtungsstudien und aus kontrollierten klinischen Studien Inkonsistenz; Daher ist der Nachweis für eine kausale Beziehung zwischen Abacavir und dem MI -Risiko nicht schlüssig.

Als Vorsichtsmaßnahme sollte das zugrunde liegende Risiko einer koronaren Herzerkrankung bei der Verschreibung antiretroviraler Therapien einschließlich Abacavir und Maßnahmen zur Minimierung aller modifizierbaren Risikofaktoren (z. Diabetes mellitus Rauchen).

Patientenberatungsinformationen

Raten Sie dem Patienten, die von der FDA zugelassene Patientenkennzeichnung zu lesen ( Medikamentenhandbuch and Anweisungen zur Verwendung ).

Wechselwirkungen mit Arzneimitteln

Triumeq or Triumeq PD may interact with many drugs; therefore advise patients to report to their healthcare provider the use of any other prescription or nonprescription medication or herbal products including St. John’s wort [sehen Kontraindikationen WARNUNGS AND VORSICHTSMASSNAHMEN Wechselwirkungen mit Arzneimitteln ].

Überempfindlichkeit Reaction

Patienten informieren

  • Dass ein Medikamentenleitfaden und eine Warnkarte die Symptome der Abacavir -Überempfindlichkeitsreaktion und andere Produktinformationen zusammenfassen, wird vom Apotheker mit jedem neuen Rezept und der Nachfüllung von Triumeq oder Triumeq -PD abgegeben und den Patienten, das Patienten mit dem Medikamentenführer und der Warnkarte zu lesen, jedes Mal zu erhalten, um neue Informationen über Triumeq oder Triumeq PD zu erhalten. Der vollständige Text des Medikamentenhandbuchs wird am Ende dieses Dokuments nachgedruckt.
  • die Warnkarte mit sich tragen.
  • wie man eine Überempfindlichkeitsreaktion identifiziert [siehe WARNUNGS AND VORSICHTSMASSNAHMEN Medikamentenhandbuch ].
  • Wenn sie Symptome entwickeln, die mit einer Überempfindlichkeitsreaktion übereinstimmen, sollten sie ihren Gesundheitsdienstleister sofort bezeichnen, um festzustellen, ob sie aufhören sollten, Triumeq oder Triumeq PD einzunehmen.
  • dass eine Überempfindlichkeitsreaktion sich verschlechtern und zu einem Krankenhausaufenthalt oder zum Tod führen kann, wenn Triumeq oder Triumeq PD nicht sofort abgesetzt werden.
  • Um Triumeq oder Triumeq-PD oder ein anderes Abacavir-haltiges Produkt nach einer Überempfindlichkeitsreaktion nicht neu zu starten, da schwerwiegendere Symptome innerhalb von Stunden auftreten können und lebensbedrohliche Hypotonie und Tod umfassen können.
  • Wenn sie eine Überempfindlichkeitsreaktion haben, sollten sie ungenutzte Triumeq- oder Triumeq -PDs entsorgen, um das Neustart von Abacavir zu vermeiden.
  • dass eine Überempfindlichkeitsreaktion normalerweise reversibel ist, wenn sie sofort nachgewiesen wird und Triumeq oder Triumeq PD sofort gestoppt werden.
  • Wenn sie Triumeq oder Triumeq PD aus anderen Gründen als Symptomen einer Überempfindlichkeit unterbrochen haben (z. B. diejenigen, die eine Unterbrechung der Arzneimittelversorgung haben), kann eine schwerwiegende oder tödliche Überempfindlichkeitsreaktion bei der Wiedereinführung von Abacavir auftreten.
  • Triumeq oder Triumeq PD oder ein anderes Abacavir-haltiges Produkt ohne medizinische Konsultation nicht neu zu starten und nur dann, wenn die medizinische Versorgung vom Patienten oder anderen zugänglich ist.
  • Um Triumeq oder Triumeq PD oder ein anderes dolutegravirhaltiges Produkt nach einer Überempfindlichkeitsreaktion auf Triumeq oder Triumeq PD nicht neu zu starten.
Hepatotoxizität

Informieren Sie die Patienten, dass Hepatotoxizität mit Dolutegravir, einem Bestandteil von Triumeq und Triumeq PD, berichtet wurde [siehe WARNUNGS AND VORSICHTSMASSNAHMEN Nebenwirkungen ]. Inform patients that monitoring for hepatotoxicity during therapy with Triumeq or Triumeq PD is recommended.

Schwere akute Exazerbationen von Hepatitis bei Patienten mit HBV-Co-Infektion

Beraten Sie, dass alle Patienten mit HIV-1 vor oder beim Initiieren von Triumeq oder Triumeq PD auf das Vorhandensein von HBV getestet werden. Beraten Sie die Patienten, die mit HIV-1 und HBV zusammen infiziert sind, dass sich in einigen Fällen eine Verschlechterung der Lebererkrankung aufgetreten hat, wenn die Behandlung mit Lamivudin abgesetzt wurde.

Raten Sie den Patienten, Änderungen des Regimes mit ihrem Arzt zu erörtern [siehe WARNUNGS AND VORSICHTSMASSNAHMEN ].

Laktatazidose/Hepatomegalie

Informieren die Patienten, dass einige HIV -Medikamente, einschließlich Triumeq und Triumeq PD, eine seltene, aber schwerwiegende Erkrankung bezeichnen können WARNUNG BOXED WARNUNGS AND VORSICHTSMASSNAHMEN ].

Immunrekonstitutionssyndrom

Beraten Sie den Patienten, ihren Gesundheitsdienstleister sofort über Anzeichen und Symptome einer Infektion zu informieren, da eine Entzündung einer früheren Infektion kurz nach der kombinierten antiretroviralen Therapie auftreten kann, einschließlich der Beginn von Triumeq oder Triumeq PD [siehe WARNUNGS AND VORSICHTSMASSNAHMEN ].

Triumeq Tablets And Triumeq PD Tablets For Oral Suspension Are Not Bioequivalent

Beraten Sie den Patienten, dass Triumeq und Triumeq PD nicht bioäquivalent sind und nicht milligramm pro Milligramm ersetzt werden. Beraten Sie den Patienten oder ihrem Pfleger, dass Patienten, die zur oralen Suspension zu den Tabletten von den Tabletten wechseln, die Dosis anpassen müssen [siehe Dosierung und Verwaltung A WARNUNGS AND VORSICHTSMASSNAHMEN ].

Schwangerschaftsregister

Informieren Sie die Patienten, dass es ein antiretrovirales Schwangerschaftsregister gibt, um die fetalen Ergebnisse bei Personen zu überwachen, die während der Schwangerschaft Triumeq ausgesetzt sind [siehe Verwendung in bestimmten Populationen ].

Stillzeit

Informieren Sie Personen mit HIV-1-Infektion darüber, dass die potenziellen Risiken des Stillens: (1) HIV-1-Übertragung (bei HIV-1-negativen Säuglingen) umfassen (2), die Virusresistenz (bei HIV-1-positiven Säuglingen) entwickeln, und (3) Nebenwirkungen bei einem gestillten Kind, ähnlich wie bei Erwachsenen, die bei Erwachsenen zu sehen sind [siehe [siehe [siehe [siehe [siehe [siehe [siehe) [siehe [siehe [siehe [siehe [siehe [siehe) [siehe [siehe [siehe [siehe [siehe [siehe) [siehe [siehe [siehe [siehe [siehe) Verwendung in bestimmten Populationen ].

Verwaltungsanweisungen

Um zu vermeiden, dass ein Dosierungsfehler die falsche Formulierung von Triumeq verwendet Dosierung und Verwaltung WARNUNGS AND VORSICHTSMASSNAHMEN Wie geliefert / Lagerung und Handhabung ].

Informieren Sie Patienten und Betreuer, dass Triumeq -PD -Tabletten zur oralen Suspension in Trinkwasser dispergiert werden sollten und nicht geschnitten oder ganz geschluckt werden sollten [siehe Dosierung und Verwaltung ]. Inform patients and caregivers that an appropriate-sized syringe may be used to administer the oral suspension if the patient is unable to use the supplied cup [sehen Dosierung und Verwaltung ].

Weisen Sie die Patienten und Betreuer an, dass, wenn eine Dosis Triumeq oder Triumeq PD vermisst wird, um sie zu nehmen, sobald sie sich erinnern. Beraten Sie Patienten und Pflegepersonen, die nächste Dosis nicht zu verdoppeln oder mehr als die verschriebene Dosis zu nehmen [siehe Dosierung und Verwaltung ].

Verfügbarkeit von Medikamentenhandbuch

Weisen Sie die Patienten und Pflegekräfte an, den Medikamentenhandbuch zu lesen, bevor Sie Triumeq oder Triumeq PD starten und jedes Mal erneut lesen, wenn das Rezept erneuert wird. Weisen Sie die Patienten an, ihren Arzt oder Apotheker zu informieren, wenn sie ein ungewöhnliches Symptom entwickeln, oder wenn ein bekanntes Symptom besteht oder sich verschlechtert.

Lagerung

Weisen Sie die Patienten und Pflegekräfte an, Triumeq- und Triumeq -PD -Tabletten für die orale Suspension im ursprünglichen Paket vor Feuchtigkeit zu speichern und die Flasche fest zu halten. Entfernen Sie die Trockenmittel nicht.

Epivir Epzicom Tivicay Tivicay PD Triumeq Triumeq PD und Ziaggen sind Marken, die der VIIV Healthcare Group of Companies gehören oder an die VIIV Healthcare Group lizenziert werden.

Epivir-HBV ist eine Marke, die der GSK-Gruppe von Unternehmen gehört oder der für Unternehmensgruppen lizenziert wird.

Die anderen aufgeführten Marken sind Marken, die ihren jeweiligen Eigentümern gehören oder für ihre jeweiligen Eigentümer lizenziert werden und nicht der Viiv Healthcare Group von Unternehmensgruppen gehören oder an die VIIV Healthcare -Unternehmen lizenziert werden. Die Hersteller dieser Marken sind nicht mit der Viiv Healthcare Group von Unternehmen oder ihren Produkten verbunden.

Nichtklinische Toxikologie

Karzinogenese -Mutagenese -Beeinträchtigung der Fruchtbarkeit

Karzinogenität

Dolutegravir

Zweijährige Karzinogenitätsstudien bei Mäusen und Ratten wurden mit Dolutegravir durchgeführt. Mäusen wurden Dosen von bis zu 500 mg/kg verabreicht und Ratten wurden Dosen von bis zu 50 mg/kg verabreicht. Bei Mäusen wurden bei den höchsten getesteten Dosen keine signifikanten Anstieg der Inzidenz von medikamentenbedingten Neoplasien beobachtet, was zu einer dolutegravir-AUC-Exposition von etwa dem 26-fachen höher als bei Menschen bei der empfohlenen Dosis von 50 mg einmal täglich führte. Bei Ratten wurden bei der höchsten getesteten Dosis keine Erhöhung der Inzidenz von medikamentenbedingten Neoplasmen beobachtet, was zu einer 17-fachen Dolutegravir-AUC-Exposition und einer 30-fachen höheren bei Männern bzw. Frauen bei Menschen bei der empfohlenen Dosis von 50 mg einmal täglich führte.

Abacavir

Abacavir was administered orally at 3 dosage levels to separate groups of mice and rats in 2-year carcinogenicity studies. Results showed an increase in the incidence of malignant and non-malignant tumors. Malignant tumors occurred in the preputial gland of males and the clitoral gland of females of both species and in the liver of female rats. In addition non-malignant tumors also occurred in the liver and Schilddrüse von weiblichen Ratten. Diese Beobachtungen wurden bei systemischen Expositionen im Bereich von 7- bis 28 -fachen der menschlichen Exposition bei der empfohlenen Dosis von 600 mg durchgeführt.

Lamivudin

Langzeitkarzinogenitätsstudien mit Lamivudin bei Mäusen und Ratten zeigten keine Hinweise auf karzinogenes Potential bei Expositionen bis 12-mal (Mäuse) und 57-mal (Ratten) Die menschlichen Expositionen bei der empfohlenen Dosis von 300 mg.

Mutagenität

Dolutegravir

Dolutegravir was not genotoxic in the bacterial reverse mutation assay mouse lymphoma assay or in the vergeblich rodent micronucleus assay.

Abacavir

Abacavir induced chromosomal aberrations both in the presence and absence of metabolic activation in an in vitro cytogenetic study in human lymphocytes. Abacavir was mutagenic in the absence of metabolic activation although it was not mutagenic in the presence of metabolic activation in an L5178Y mouse lymphoma assay. Abacavir was clastogenic in males and not clastogenic in females in an vergeblich mouse bone marrow micronucleus assay.

Abacavir was not mutagenic in bacterial mutagenicity assays in the presence and absence of metabolic activation.

Lamivudin

Lamivudin was mutagenic in an L5178Y mouse lymphoma assay and clastogenic in a cytogenetic assay using cultured human lymphocytes. Lamivudin was not mutagenic in a microbial mutagenicity assay in an in vitro cell transformation assay in a rat micronucleus test in a rat bone marrow cytogenetic assay and in an assay for unscheduled DNA synthesis in rat liver.

Beeinträchtigung der Fruchtbarkeit

Dolutegravir abacavir or lamivudine did not affect male or female fertility in rats at doses associated with exposures approximately 44 9 or 112 times (respectively) higher than the exposures in humans at the doses of 50 mg 600 mg and 300 mg (respectively).

Verwendung in bestimmten Populationen

Schwangerschaft

Schwangerschaft Exposure Registry

Es gibt ein Schwangerschafts -Expositionsregister, das die Schwangerschaftsergebnisse bei Personen überwacht, die während der Schwangerschaft Triumeq ausgesetzt sind. Gesundheitsdienstleister werden ermutigt, Patienten zu registrieren, indem sie das Antiretroviral-Schwangerschaftsregister (APR) unter 1-800-258-4263 bezeichnen.

Risikozusammenfassung

Daten von zwei laufenden Geburtsgeburtsüberwachungsstudien in Botswana und Eswatini, zu denen zusammen über 14000 Personen, die während der Schwangerschaft bewertet wurden Daten ).

Es gibt unzureichende menschliche Daten zur Verwendung von Triumeq während der Schwangerschaft, um ein drogenassoziiertes Risiko für Geburtsfehler und Fehlgeburten definitiv zu bewerten. Die verfügbaren menschlichen Daten aus dem APR mit den einzelnen Komponenten von Triumeq weisen jedoch kein erhöhtes Risiko für Geburtsfehler hin (siehe Daten ). The background risk for major birth defects for the indicated population is unknown. In the U.S. general population the estimated background rate for major birth defects and miscarriage in clinically recognized pregnancies is 2% to 4% and 15% to 20% respectively.

In Animal Reproduction Studies wurden bei systemischen Expositionen (AUC) weniger als (Kaninchen) und ungefähr 50 -mal (Ratten) die Exposition beim Menschen an der empfohlenen menschlichen Dosis (RHD) (siehe Daten ). Oral administration of abacavir to pregnant rats during organogenesis resulted in fetal malformations and other embryonic and fetal toxicities at exposures 35 times the human exposure (AUC) at the RHD. No adverse developmental effects were observed following oral administration of abacavir to pregnant rabbits during organogenesis at exposures approximately 9 times the human exposure (AUC) at the RHD. Oral administration of lamivudine to pregnant rabbits during organogenesis resulted in embryolethality at a human exposure (AUC) similar to the RHD; however no adverse development effects were observed with oral administration of lamivudine to pregnant rats during organogenesis at plasma concentrations (Cmax) 35 times the RHD (see Daten ).

Daten

Menschliche Daten

Dolutegravir

Beobachtungsstudien: Die erste Zwischenanalyse aus einer laufenden Studie zur Überwachung der Geburtsergebnis in Botswana identifizierte einen Zusammenhang zwischen Dolutegravir und ein erhöhtes Risiko für Neuralrohrdefekte, wenn Dolutegravir zum Zeitpunkt der Empfängnis und in der frühen Schwangerschaft verabreicht wurde. Eine anschließende Analyse wurde auf einer größeren Kohorte aus der Studie zur Überwachung der Geburt in Botswana durchgeführt und über 9460 Personen, die Dolutegravir ausgesetzt waren, bei der Konzeption 23664 Personen, die nicht-dolutegravir-haltigen Personen und 170723 HIV-negativen Personen ausgesetzt waren. Die Prävalenz von Neuralrohrdefekten bei Säuglingen, die an Personen übermittelt wurden, die bei der Empfängnis Dolutegravir einnehmen, betrug 0,11% (95% CI: 0,05-0,19%). Die beobachtete Prävalenzrate unterschied sich nicht signifikant von der von Säuglingen, die an Personen übermittelt wurden, die nicht dolutegravirhaltige Regime (NULL,11% 95% CI: 0,07-0,16%) oder an HIV-negative Personen (NULL,06% 95% CI: 0,05-0,0,08%) einnahmen.

Die Studie zur Überwachung von Eswatini-Geburtsgeborenen umfasst 9743 Personen, die Dolutegravir bei der Empfängnis ausgesetzt sind. Die Prävalenz von Neuralrohrdefekten bei Säuglingen, die an Personen übermittelt wurden, die bei der Empfängnis Dolutegravir einnahmen, betrug 0,08% (95% CI: 0,04-0,16%). Die beobachtete Prävalenzrate unterschied sich nicht signifikant von der von Säuglingen, die an Personen übermittelt wurden, die nicht dolutegravirhaltige Regime (NULL,22% 95% CI: 0,06-0,56%) oder an HIV-negative Personen (NULL,08% 95% CI: 0,06-0,12%) einnahmen. Die beobachtete Prävalenz von Neuralrohrdefekten bei Säuglingen, die an Personen übermittelt wurden, die nicht dolutegravirhaltige Regime einnahmen, hatte aufgrund einer geringen Stichprobengröße ein breites Konfidenzintervall.

Die Einschränkungen dieser Studien zur Überwachung dieser Geburtsergebnisse umfassen unzureichende Daten, um festzustellen, ob die Basismerkmale zwischen den Studiengruppen ausgeglichen wurden, oder um andere Faktoren wie die Verwendung von Folsäure während des Vorurteilens oder im ersten Trimesterperiode zu bewerten.

Antiretrovirales Schwangerschaftsregister

Basierend auf prospektiven Berichten an den APR von über 1300 Expositionen gegenüber Dolutegravir während der Schwangerschaft, was zu Lebendgeburten (einschließlich 874 im ersten Trimester) führte, betrug die Prävalenz von Defekten bei Lebendgeburten 3,3% (95% CI: 2,2% bis 4,7%). Exposition des zweiten/dritten Trimesters gegenüber Dolutegravir-haltigen Regimen. In der US -Referenzbevölkerung des Metropolitan Atlanta Congenital Defektprogramm (MACDP) betrug die Geburtsfehlerrate im Hintergrund 2,7%.

Dolutegravir has been shown to cross the placenta. In a clinical trial in Uganda and South Africa in women during the last trimester of pregnancy receiving dolutegravir 50 mg einmal täglich the ratio of median dolutegravir concentration in fetal umbilical cord to that in maternal peripheral plasma was 1.21 (range 0.51-2.11) (n = 15).

Abacavir

Basierend auf prospektiven Berichten an den APR von über 2800 Expositionen gegenüber Abacavir während der Schwangerschaft, die zu Lebendgeburten führten (einschließlich 1455 im ersten Trimester), gab es keinen Unterschied zwischen dem Gesamtrisiko von Geburtsfehlern für Abacavir im Vergleich zur Geburtsfehlermangel von 2,7% in der US -Referenzbevölkerung des MACDP. Die Prävalenz von Defekten bei Lebendgeburten betrug 3,2% (95% CI: 2,4% bis 4,3%), nachdem das erste Trimester gegen Abacavir-haltige Therapien und 3,0% (95% CI: 2,2% bis 4,1%) nach Exposition gegenüber dem zweiten/dritten Trimester in Abacavir-enthaltende Regime ausgesetzt waren.

Abacavir has been shown to cross the placenta and concentrations in neonatal plasma at birth were essentially equal to those in maternal plasma at delivery [sehen Klinische Pharmakologie ].

Lamivudin

Basierend auf prospektiven Berichten an den APR von über 13000 Expositionen gegenüber Lamivudin während der Schwangerschaft, die zu Lebendgeburten führten (einschließlich 5613 im ersten Trimester), gab es keinen Unterschied zwischen dem Gesamtrisiko von Geburtsfehlern für Lamivudin im Vergleich zur Geburtsfehlermangel von 2,7% in der US -Referenzbevölkerung des MACDP. Die Prävalenz von Geburtsfehlern bei Lebendgeburten betrug 3,1% (95% CI: 2,6% bis 3,6%), nachdem das erste Trimester gegen Lamivudin-enthaltende Regime und 2,9% (95% CI: 2,5% 3,3%) nach Exposition gegenüber dem zweiten/dritten Trimester zu lamivudinhaltigen Regimenen.

Lamivudin pharmacokinetics were studied in pregnant women during 2 clinical trials conducted in South Africa. The trials assessed pharmacokinetics in 16 women at 36 weeks’ gestation using 150 mg lamivudine twice daily with zidovudine 10 women at 38 weeks’ gestation using 150 mg lamivudine twice daily with zidovudine and 10 women at 38 weeks’ gestation using lamivudine 300 mg twice daily without other antiretrovirals. These trials were not designed or powered to provide efficacy information. Lamivudin concentrations were generally similar in maternal neonatal and umbilical cord serum samples. In a subset of subjects amniotic fluid specimens were collected following natural rupture of membranes and confirmed that lamivudine crosses the placenta in humans. Based on limited data at delivery median (range) amniotic fluid concentrations of lamivudine were 3.9-fold (1.2- to 12.8-fold) greater compared with paired maternal serum concentration (n = 8).

Tierdaten

Dolutegravir

Dolutegravir was administered orally to pregnant rats and rabbits (up to 1000 mg/kg/day) on Gestation Days 6 bis 17 and 6 bis 18 respectively and to rats on Gestation Day 6 bis lactation/postpartum Day 20. No adverse effects on embryo-fetal (rats and rabbits) or pre/post-natal (rats) development were observed up to the highest dose tested. During organogenesis systemic exposures (AUC) to dolutegravir in rabbits were less than the exposure in humans at the RHD and in rats were approximately 50 times the exposure in humans at the RHD. In the rat pre/postnatal development study decreased body weight of the developing offspring was observed during lactation at a maternally toxic dose (approximately 50 times human exposure at the RHD).

Abacavir

Abacavir was administered orally to pregnant rats (at 100 300 and 1000 mg/kg/day) and rabbits (at 125 350 or 700 mg/kg/day) during organogenesis (on Gestation Days 6 through 17 and 6 through 20 respectively). Fetal malformations (increased incidences of fetal anasarca and skeletal malformations) or developmental toxicity (decreased fetal body weight and crown-rump length) were observed in rats at doses up to 1000 mg/kg/day resulting in exposures approximately 35 times the human exposure (AUC) at the RHD. No developmental effects were observed in rats at 100 mg/kg/day resulting in exposures (AUC) 3.5 times the human exposure at the recommended daily dose. In a fertility and early embryofetal development study conducted in rats (at 60 160 or 500 mg/kg/day) embryonic and fetal toxicities (increased resorptions decreased fetal body weights) or toxicities to the offspring (increased incidence of stillbirth and lower body weights) occurred at doses up to 500 mg/kg/day. No developmental effects were observed in rats at 60 mg/kg/day resulting in exposures (AUC) approximately 4 times the human exposure at the RHD. Studies in pregnant rats showed that abacavir is transferred to the fetus through the placenta. In pregnant rabbits no developmental toxicities and no increases in fetal malformations occurred at up to the highest dose evaluated resulting in exposures (AUC) approximately 9 times the human exposure at the RHD.

Lamivudin

Lamivudin was administered orally to pregnant rats (at 90 600 and 4000 mg/kg/day) and rabbits (at 90 300 and 1000 mg/kg/day and at 15 40 and 90 mg/kg/day) during organogenesis (on Gestation Days 7 through 16 [rat] and 8 through 20 [rabbit]). No evidence of fetal malformations due to lamivudine was observed in rats and rabbits at doses producing plasma concentrations (Cmax) approximately 35 times higher than human exposure at the recommended daily dose. Evidence of early embryolethality was seen in the rabbit at systemic exposures (AUC) similar to those observed in humans but there was no indication of this effect in the rat at plasma concentrations (Cmax) 35 times higher than human exposure at the recommended daily dose. Studies in pregnant rats showed that lamivudine is transferred to the fetus through the placenta. In the fertility/pre- and postnatal development study in rats lamivudine was administered orally at doses of 180 900 and 4000 mg/kg/day (from prior to mating through postnatal Day 20). In the study development of the offspring including fertility and reproductive performance were not affected by the maternal administration of lamivudine.

Stillzeit

Risikozusammenfassung

Abacavir dolutegravir and lamivudine are present in human milk. There is no information on the effects of Triumeq or its components on the breastfed infant or the effects of the drug on milk production.

Pädiatrische Verwendung

Die klinischen Daten, die die Verwendung von Triumeq und Triumeq PD bei pädiatrischen Patienten mit HIV-1-Infektion im Alter von mindestens 3 Monaten im Alter von mindestens 6 kg unterstützen, stammt aus den folgenden zuvor durchgeführten pädiatrischen Studien unter Verwendung von Triumeq und Triumeq PD oder der einzelnen Komponenten:

  • Die Sicherheitspharmakokinetik und Virostatikum Die Aktivität (Wirksamkeit) von Triumeq und Triumeq PD wurde durch eine offene multizentrische klinische Studie (IMPAACT 2019) festgelegt, in der HIV-1-infizierte Behandlung mit Behandlung von Behandlung oder Behandlungen oder Behandlungen mit HIV-1 infiziert wurde, oder mit der Behandlung von Behandlungen, die jünger als 12 Jahre wie ein Gewicht von mindestens 6 kg bis zu weniger als 40 kg wurden, wurden mit Triumesq oder Triums. Nebenwirkungen Klinische Pharmakologie Klinische Studien ].
  • Die Sicherheit und Wirksamkeit von einmal täglich Abacavir und Lamivudin wurde mit einer randomisierten multizentrischen Studie (Pfeil [COL105677) in HIV-1-infizierten Behandlungs-Na-V-Probanden im Alter von 3 Monaten bis 17 Jahren mit einem Erstlinienregime, das Abacavir und Lamivudin unter Verwendung der Kombination von Epivir und Ziagagen und EPICOCOM [siehe Lamivudine [siehe EPIPICEL und EPICICOM [siehe Lamivudin), festgelegt hat. Nebenwirkungen Klinische Studien ].
  • Die Sicherheitspharmakokinetik und Virostatikum activity (efficacy) of TIVICAY and TIVICAY PD were established through an ongoing open-label multicenter dose-finding clinical trial (IMPAACT P1093) in which HIV-1â€infected treatment-naive or treatment-experienced INSTI-naive pediatric and adolescent subjects aged 4 weeks to <18 years and weighing at least 3 kg were treated with TIVICAY or TIVICAY PD plus optimized background therapy [sehen Nebenwirkungen Klinische Pharmakologie Klinische Studien ].
  • Zusätzliche Pharmakokinetikdaten wurden in 2 pharmakokinetischen Substudien in Odyssey bewertet, eine laufende offene Label-Randomisierte ohne Inferioritätsstudie zur Bewertung der Sicherheitseffizienz und der pharmakokinetischen Parameter von Tivicay oder Tivicay PD plus zwei Nukleosid-Reverse-Transkriptase-Inhibitoren (NRTIS) (NRTIS) (NRTIS) (NRTIS) (NRTIS) (NRTIS) (NRTIS) (NRTIS) (NRTIS) (NRTIS) (NRTIS) (NRTIS) (NRTIS) (NRTIS) (NRTIS) (NRTIS) ()af ° C (hauptsächlich pädiatrische Probanden unter 18 Jahren [siehe Klinische Pharmakologie ].

Insgesamt ist das Sicherheits- und Wirksamkeitsprofil von Triumeq und Triumeq PD bei pädiatrischen Patienten vergleichbar mit der bei Erwachsenen beobachteten. Es sind keine Daten zur Verwendung von Lamivudin bei pädiatrischen Patienten mit Nierenbeeinträchtigung verfügbar [siehe Dosierung und Verwaltung WARNUNGS AND VORSICHTSMASSNAHMEN Nebenwirkungen Verwendung in bestimmten Populationen Klinische Pharmakologie Klinische Studien ].

Die Sicherheit und Wirksamkeit von Triumeq PD wurde bei pädiatrischen Patienten im Alter von weniger als 3 Monaten oder einem Gewicht von weniger als 6 kg nicht festgestellt.

Geriatrische Verwendung

Klinische Studien mit Abacavir Dolutegravir oder Lamivudin umfassten nicht eine ausreichende Anzahl von Probanden im Alter von 65 Jahren, um festzustellen, ob sie anders als jüngere Probanden reagieren. Im Allgemeinen sollte bei der Verabreichung von Triumeq bei älteren Patienten Vorsicht genommen werden Klinische Pharmakologie ].

Patienten mit beeinträchtigter Nierenfunktion

Triumeq and Triumeq PD are not recommended for Patienten mit Kreatinin -Clearance <30 mL/min and pediatric patients with a similar degree of renal impairment based on ageappropriate assessment of renal function because Triumeq and Triumeq PD are fixed-dose combinations and the dosage of the individual components cannot be adjusted. If a dose reduction of lamivudine a component of Triumeq and Triumeq PD is required for Patienten mit Kreatinin -Clearance <30 mL/min and in pediatric patients with a similar degree of renal impairment based on age-appropriate assessment of renal function then the individual components should be used [sehen Klinische Pharmakologie ].

Patients with a creatinine clearance between 30 and 49 mL/min receiving TRIUMEQ may experience a 1.6- to 3.3-fold higher lamivudine exposure (AUC) than patients with a creatinine clearance ≥50 mL/min. Es gibt keine Sicherheitsdaten aus randomisierten kontrollierten Studien, in denen Triumeq mit den einzelnen Komponenten bei Patienten mit einer Kreatinin-Clearance zwischen 30 und 49 ml/min verglichen wurde und dosisbereinigte Lamivudin erhielt. Darüber hinaus sind keine Daten zur Verwendung von Lamivudin bei pädiatrischen Patienten mit Nierenbeeinträchtigung verfügbar. In den ursprünglichen registrativen Versuchen in Lamivudin in Kombination mit Zidovudin wurden höhere Lamivudin -Expositionen mit höheren Raten hämatologischer Toxizitäten (Neutropenie und Anämie) verbunden <1% of subjects.

Patienten mit einer anhaltenden Kreatinin-Clearance zwischen 30 und 49 ml/min oder pädiatrischer Patienten mit einem ähnlichen Grad an Nierenbeeinträchtigung, der auf einer altersgerechten Bewertung der Nierenfunktion basiert und Triumeq oder Triumeq-PD erhalten, sollten auf hämatologische Toxizitäten überwacht werden. Wenn neue oder verschlechterende Neutropenie oder Anämie eine Dosisanpassung von Lamivudin pro Lamivudin -Verschreibungsinformationen entwickeln, wird empfohlen. Wenn die Einstellung der Lamivudindosis angegeben ist, sollte Triumeq oder Triumeq PD abgesetzt werden und die einzelnen Komponenten sollten zum Bau des Behandlungsschemas verwendet werden.

Patienten mit beeinträchtigter Leberfunktion

Triumeq and Triumeq PD are fixed-dose combinations and the dosage of the individual components cannot be adjusted. If a dose reduction of abacavir a component of Triumeq and Triumeq PD is required for patients with mild hepatic impairment (Child-Pugh Score A) then the individual components should be used [sehen Klinische Pharmakologie ].

Die Sicherheitswirksamkeit und die pharmakokinetischen Eigenschaften von Abacavir wurden bei Patienten mit mittelschwerer (Kinder-Pugh-Score B) oder schwerer (Kinder-Pugh-Score C) nicht festgelegt. Daher sind Triumeq und Triumeq PD bei diesen Patienten kontraindiziert [siehe Kontraindikationen ].

Überdosierungsinformationen für Triumeq

Es gibt keine spezifische Behandlung für Überdosierung mit Triumeq oder Triumeq PD. Wenn eine Überdosierung auftritt, sollte der Patient überwacht und nach Bedarf standardmäßige unterstützende Behandlung angewendet werden.

Dolutegravir

Da Dolutegravir stark an Plasmaproteine ​​gebunden ist, ist es unwahrscheinlich, dass es durch Dialyse erheblich entfernt wird.

Abacavir

Es ist nicht bekannt, ob Abacavir durch Peritonealdialyse oder Hämodialyse entfernt werden kann.

Lamivudin

Da eine vernachlässigbare Menge an Lamivudin durch (4-Stunden-) Hämodialyse kontinuierliche ambulante Peritonealdialyse und automatisierte Peritonealdialyse entfernt wurde, ist nicht bekannt, ob eine kontinuierliche Hämodialyse einen klinischen Nutzen bei einer Überdosis-Ereignis von Lamivudinen liefern würde.

Kontraindikationen für Triumeq

Triumeq and Triumeq PD are contraindicated in patients:

  • die das HLA-B*5701 Allel haben [siehe WARNUNGS AND VORSICHTSMASSNAHMEN ].
  • mit vorheriger Überempfindlichkeitsreaktion auf Abacavir Dolutegravir [siehe WARNUNGS AND VORSICHTSMASSNAHMEN ] oder Lamivudin.
  • Empfangen von Dofetilid aufgrund des Potenzials für erhöhte Dofetilid-Plasmakonzentrationen und das Risiko für schwerwiegende und/oder lebensbedrohliche Ereignisse mit gleichzeitiger Verwendung von Dolutegravir [siehe Wechselwirkungen mit Arzneimitteln ].
  • mit mittelschwerer oder schwerer Leberbeeinträchtigung [siehe Verwendung in bestimmten Populationen ].

Klinische Pharmakologie for Triumeq

Wirkungsmechanismus

Triumeq and Triumeq PD are a fixed-dose combination of the HIV-1 antiretroviral agents Abacavir Dolutegravir und Lamivudin [sehen Mikrobiologie ].

Pharmakodynamik

Auswirkungen auf das Elektrokardiogramm

Für Dolutegravir wurde eine gründliche QT -Studie durchgeführt. Weder die Auswirkungen von Abacavir noch Lamivudin als einzelne Einheiten oder die Kombination von Abacavir Dolutegravir und Lamivudin auf das QT -Intervall wurden bewertet.

In einer randomisierten placebokontrollierten Kreuz-Over-Studie erhielten 42 gesunde Probanden eine orale eindosierte orale Verabreichung von Placebo-Dolutegravir 250-mg-Suspension (Expositionen ca. 3 €esfalte der 50-mg-Dosis einmal tägliche Dosis im stationären Zustand) und Moxifloxacin 400 mg (aktive Kontrolle) in zufälliger Sequenz. Nach der Einstellung der Grundlinie und der Placebo betrug die maximale mittlere qTC-Änderung basierend auf der Fridericia-Korrekturmethode (QTCF) für Dolutegravir 2,4 ms (1-seitiger 95% oberer CI: 4,9 ms). Dolutegravir verlängerte das QTC -Intervall nicht über 24 Stunden nach der Dose.

Auswirkungen auf die Nierenfunktion

Der Effekt von Dolutegravir auf die Nierenfunktion wurde in einem offenen, placebokontrollierten, placebokontrollierten 3-Arm-Versuch bei gesunden Probanden (n = 37) bewertet, der Dolutegravir 50 mg einmal täglich (n = 12) Doluteegravir zweimal täglich (n = 13) oder ein einmal täglich (n = 12) für 14 Tage erhielt. Eine Abnahme der Kreatinin-Clearance, die durch eine 24-Stunden-Urinsammlung bestimmt wurde, wurde nach 14 Tagen Behandlung bei Probanden, die einmal täglich 50 mg (9% Abnahme) und 50 mg zweimal täglich (13% Abnahme) erhielten, beobachtet. Keine Dolutegravir-Dosis hatte einen signifikanten Einfluss auf die tatsächliche glomeruläre Filtrationsrate (bestimmt durch die Clearance von Sondenmedikamenten-IOHEXOL) oder einen wirksamen Nierenplasmafluss (bestimmt durch die Clearance von Sondenmedikamenten-Para-Amino-Hippurate) im Vergleich zum Placebo.

Pharmakokinetik

Pharmakokinetik In Adults

Eine Triumeq-Tablette war ein Dolutegravir (Tivicay) -Tablette (50 mg) plus ein Abacavir- und Lamivudin-Kombinationstablette (EPICICOM) bei gesunden Probanden (n = 62).

Triumeq tablets and Triumeq PD tablets for oral suspension are bioequivalent for the abacavir and lamivudine components but not for the dolutegravir component. The relative dolutegravir bioavailability of Triumeq PD is approximately 1.7-fold higher than Triumeq; therefore the 2 dosage forms are not substitutable on a milligram-per-milligram basis [sehen Dosierung und Verwaltung WARNUNGS AND VORSICHTSMASSNAHMEN ]. The relative dolutegravir bioavailability is expected to be similar between Triumeq PD and TIVICAY PD.

Abacavir

Nach oraler Verabreichung wird Abacavir schnell absorbiert und ausgiebig verteilt. Nach oraler Verabreichung einer einzelnen Dosis von 600 mg Abacavir in 20 Probanden betrug Cmax 4,26 ± 1,19 mcg/ml (Mittelwert ± SD) und Auc∞ 11,95 ± 2,51 mcg • Stunde/ml. Die Bindung von Abacavir an menschliche Plasmaproteine ​​beträgt ungefähr 50% und war unabhängig von der Konzentration. Totalblut- und Plasma-Arzneimittel-bezogene Radioaktivitätskonzentrationen zeigen identisch und zeigen, dass Abacavir leicht in Erythrozyten verteilt. Die primären Eliminierung von Abacavir sind der Metabolismus durch Alkoholdehydrogenase zur Bildung der 5'-Carboxylsäure und der Glucuronyltransferase zur Bildung des 5'-Glucuronids. In Einzeldosisversagen betrug die beobachtete Eliminierungs Halbwertszeit (T½) 1,54 ± 0,63 Stunden. Nach der intravenösen Verabreichung betrug die Gesamtdauer von 0,80 ± 0,24 l/h/kg (Mittelwert ± SD).

Dolutegravir

Nach oraler Verabreichung von Dolutegravir -Peak -Plasmakonzentrationen wurde 2 bis 3 Stunden nach der Dose beobachtet. Mit einem einmal täglich dosierten pharmakokinetischen Steady-Zustand wird innerhalb von ungefähr 5 Tagen mit durchschnittlichen Akkumulationsverhältnissen für AUC-Cmax und C24 H im Bereich von 1,2 bis 1,5 erreicht. Dolutegravir ist in vitro ein P-GP-Substrat. Die absolute Bioverfügbarkeit von Dolutegravir wurde nicht festgestellt. DoluteGravir ist hoch gebunden (≥ 98,9%) an menschliche Plasmaproteine ​​basierend auf In -vivo -Daten, und die Bindung ist unabhängig von der Plasmakonzentration von Dolutegravir. Das scheinbare Verteilungsvolumen (VD/F) nach einer einmal täglichen Verabreichung von 50 mg wird auf 17,4 l auf der Grundlage einer pharmakokinetischen Population geschätzt.

Dolutegravir is primarily metabolized via UGT1A1 with some contribution from CYP3A. After a single oral dose of [ 14 C] Dolutegravir 53% der gesamten oralen Dosis werden in den Kot unverändert ausgeschieden. Einunddreißig Prozent der gesamten oralen Dosis werden in den Urin ausgeschieden, der durch ein Etherglucuronid von Dolutegravir (NULL,9% der Gesamtdosis) dargestellt wird, ein Metabolit, der durch Oxidation am Benzylkohlenstoff (NULL,0% der Gesamtdosis) und des hydrolytischen N-Dealkylationsprodukts (NULL,6% der Gesamtdosis) gebildet wird. Die Niereneladung von unveränderten Arzneimitteln war <1% of the dose. Dolutegravir has a terminal half-life of approximately 14 hours and an apparent clearance (CL/F) of 1.0 L/h based on population pharmacokinetic analyses.

Die pharmakokinetischen Eigenschaften von Dolutegravir wurden bei gesunden erwachsenen Probanden und HIV-1-infizierten erwachsenen Probanden bewertet. Die Exposition gegenüber Dolutegravir war im Allgemeinen zwischen gesunden Probanden und HIV-1-Infizierten ähnlich.

Tabelle 7: Dolutegravir Steady-State Pharmakokinetische Parameterschätzungen bei HIV-1-infizierten Erwachsenen

Parameter 50 mg einmal täglich geometrischer Mittel (%CV)
AUC (0-24) (mcg^h/ml) 53,6 (27)
CMAX (MCG/ML) 3.67 (20)
Cmin (MCG/ml) 1.11 (46)

Cerebrospinalflüssigkeit (CSF)

Bei 11 behandlungsnaiven Probanden auf Dolutegravir 50 mg täglich plus Abacavir/Lamivudin betrug die mittlere Dolutegravir-Konzentration in CSF 18 ng/ml (Bereich: 4 ng/ml bis 23,2 ng/ml) 2 bis 6 Stunden nach der 2-wöchigen Behandlung. Die klinische Relevanz dieses Befundes wurde nicht festgestellt.

Lamivudin

Das Lamivudin der oralen Verabreichung wird schnell absorbiert und umfassend verteilt. Nach einer oralen Verabreichung von Lamivudin mit mehreren Dosen 300 mg einmal täglich betrug Cmax (CMAXSS) 2,04 ± 0,54 mcg/ml (Mittelwert ± SD) und der 24-Stunden-stationäre AUC (AUC24S). Die Bindung an Plasmaprotein ist niedrig. Ungefähr 70% einer intravenösen Dosis Lamivudin werden als unveränderter Arzneimittel im Urin gewonnen. Der Stoffwechsel von Lamivudin ist ein geringfügiger Eliminierungsweg. Beim Menschen ist der einzige bekannte Metabolit der Trans-Sulfoxid-Metabolit (ungefähr 5% einer oralen Dosis nach 12 Stunden). In den meisten Einzeldosis-Versuchen mit Plasmabiltung bis zu 48 oder 72 Stunden nach der Dosierung der beobachteten mittleren Eliminations Halbwertszeit (T½) lag zwischen 13 und 19 Stunden. In HIV-1 betrug die infizierte Probanden die Gesamtfreiheit von 398,5 ± 69,1 ml/min (Mittelwert ± SD).

Auswirkung von Nahrungsmitteln auf die orale Absorption

Triumeq or Triumeq PD may be taken with or without food. Overall when compared with fasted conditions administration of Triumeq to healthy adult subjects with a high-fat meal  (53% fat 869 calories) resulted in decreased Cmax for abacavir and increased Cmax and AUC for dolutegravir. Lamivudin exposures were not affected by food. With a high-fat meal the Cmax of abacavir decreased 23% and the Cmax and AUC of dolutegravir increased 37% and 48% respectively. When compared with fasted conditions administration of Triumeq PD to healthy adult subjects with a high-fat meal (50% fat 917 calories) resulted in decreased Cmax for abacavir (55%) dolutegravir (29%) and lamivudine (36%). AUCs for all 3 components were not affected by food.

Spezifische Populationen

Patienten mit Nierenbehinderung

Die Pharmakokinetik für die einzelnen Komponenten von Triumeq und Triumeq PD wurde bei Patienten mit Nierenbeeinträchtigung bewertet (siehe die US -amerikanischen Verschreibungsinformationen für die einzelnen Abacavir -Dolutegravir- und Lamivudin -Komponenten).

Patienten mit Leberbehinderung

Die Pharmakokinetik für die einzelnen Komponenten von Triumeq und Triumeq PD wurde bei Patienten mit unterschiedlichem Grad an Leberbeeinträchtigungen bewertet (siehe die US -amerikanischen Verschreibungsinformationen für die individuellen Abacavir -Dolutegravir- und Lamivudin -Komponenten).

Schwangere Frauen

Abacavir

Abacavir pharmacokinetics were studied in 25 pregnant women during the last trimester of pregnancy receiving abacavir 300 mg twice daily. Abacavir exposure (AUC) during pregnancy was similar to those in postpartum and in HIV-infected non-pregnant historical controls. Consistent with passive diffusion of abacavir across the placenta abacavir concentrations in neonatal plasma cord samples at birth were essentially equal to those in maternal plasma at delivery.

Lamivudin

Lamivudin pharmacokinetics were studied in 36 pregnant women during 2 clinical trials conducted in South Africa. Lamivudin pharmacokinetics in pregnant women were similar to those seen in non-pregnant adults and in postpartum women. Lamivudin concentrations were generally similar in maternal neonatal and umbilical cord serum samples.

Pädiatrische Patienten

Die Pharmakokinetik von Triumeq Triumeq PD (Abacavir Dolutegravir und Lamivudin) und ihre individuellen Komponenten wurden bei pädiatrischen Probanden bewertet.

Abacavir Dolutegravir And Lamivudin

Die Pharmakokinetik von Triumeq und Triumeq PD wurde in der Impaact 2019 -Studie bewertet. Steady-State Plasmaexposition in Dosen nach Gewichtsbande sind in Tabelle 8 zusammengefasst [siehe Verwendung in bestimmten Populationen Klinische Studien ].

Die Gesamtbelastung von Abacavir Dolutegravir und Lamivudin in den empfohlenen Dosen für Triumeq PD und Triumeq befinden sich innerhalb der beobachteten Expositionsbereiche in den empfohlenen Dosen einzelner Produkte bei Erwachsenen und Pädiatrie. Siehe die Verschreibungsinformationen für Epivir Tivicay und Ziagen für pharmakokinetische Informationen zu Lamivudin -Dolutegravir bzw. Abacavir bei pädiatrischen Patienten.

Tabelle 8: Zusammenfassung der pharmakokinetischen Parameter bei pädiatrischen HIV-1-Infizierten (IMPAACT 2019-Studie)

Arzneimittel Gewichtsband Dosis a einzelner Einheiten in Triumeq oder Triumeq PD n Pharmakokinetischer Parameter Geometrischer Mittelwert (%CV)
CMAX (MCG/ML) AUC0-24H (MCG • H/ml) C24H (ng/ml)
Abacavir 6 bis <10 kg 180 mg einmal täglich Triumeq PD 7 7.30 (20) 17.7 (34) 3 (128)
10 bis <14 kg 240 mg einmal täglich Triumeq PD 7 8.36 (44) 19,8 (51) 5 (127)
14 bis <20 kg 300 mg einmal täglich Triumeq PD 7 6.26 (31) 15.1 (40) 3 (108)
20 bis <25 kg 360 mg einmal täglich Triumeq PD 7 6.65 (28) 17.4 (19) 4 (85)
25 bis <40 kg 600 mg einmal täglich Triumeq 7 9.04 (22) 25.7 (15) 11 (229)
Dolutegravir 6 bis <10 kg 15 mg einmal täglich Triumeq PD 7 7.40 (28) 75,9 (34) 910 (68)
10 bis <14 kg 20 mg einmal täglich Triumeq PD 7 8,85 (21) 91.0 (36) 1220 (77)
14 bis <20 kg 25 mg einmal täglich Triumeq PD 7 7.04 (17) 71,4 (23) 790 (44)
20 bis <25 kg 30 mg einmal täglich Triumeq PD 7 7.29 (17) 84,4 (26) 1350 (95)
25 bis <40 kg 50 mg einmal täglich Triumeq 7 6.25 (21) 71,8 (14) 980 (28)
Lamivudin 6 bis <10 kg 90 mg einmal täglich Triumeq PD 7 2.29 (40) 10.7 (46) 55 (39)
10 bis <14 kg 120 mg einmal täglich Triumeq PD 7 3.55 (19) 14.2 (24) 46 (48)
14 bis <20 kg 150 mg einmal täglich Triumeq PD 7 2,92 (23) 13.0 (16) 58 (37)
20 bis <25 kg 180 mg einmal täglich Triumeq PD 7 2,99 (32) 14.5 (17) 60 (18)
25 bis <40 kg 300 mg einmal täglich Triumeq 7 4.15 (29) 21,7 (26) 84 (35)
%CV -Variationskoeffizient, der als Prozentsatz ausgedrückt wird.
a Die relative Dolutegravir-Bioverfügbarkeit von Triumeq-PD-Tabletten für die orale Suspension beträgt ~ 1,7- die von Triumeq-Tabletten.
Geriatrische Patienten

Bevölkerungsanalysen unter Verwendung gepoolter pharmakokinetischer Daten aus Erwachsenenstudien zeigten, dass das Alter keine klinisch relevanten Auswirkungen auf die Pharmakokinetik von Dolutegravir hatte. Die Pharmakokinetik von Abacavir oder Lamivudin wurde bei Probanden, die älter als 65 Jahre sind, nicht untersucht.

Männliche und weibliche Patienten

Es gibt keine signifikanten oder klinisch relevanten geschlechtsspezifischen Unterschiede in der Pharmakokinetik der einzelnen Komponenten (Dolutegravir Abacavir oder Lamivudin) basierend auf den verfügbaren Informationen, die für jede der einzelnen Komponenten analysiert wurden.

Rassengruppen

Es gibt keine signifikanten oder klinisch relevanten rassistischen Unterschiede in der Pharmakokinetik der einzelnen Komponenten (Dolutegravir Abacavir oder Lamivudin) basierend auf den verfügbaren Informationen, die für jede der einzelnen Komponenten analysiert wurden.

Arzneimittel Interaction Studies

Die beschriebenen Arzneimittelwechselwirkungsstudien wurden mit Dolutegravir Abacavir und/oder Lamivudin als einzelne Einheiten durchgeführt; Unter Verwendung der Kombination von Abacavir Dolutegravir und Lamivudin wurden keine Arzneimittel -Wechselwirkungsstudien durchgeführt. Zwischen Dolutegravir Abacavir und Lamivudin werden keine klinisch signifikanten Arzneimittelwechselwirkungen erwartet.

Dosierungsempfehlungen infolge etablierter und anderer potenziell signifikanter Wechselwirkungen mit Arzneimitteln mit den einzelnen Komponenten von Triumeq und Triumeq PD sind in Abschnitt 7.3 bereitgestellt [siehe Wechselwirkungen mit Arzneimitteln ].

Tabelle 9: Zusammenfassung der Wirkung von Dolutegravir auf die Pharmakokinetik von koadministierten Arzneimitteln

Koadministeriertes Medikament(s) and Dosis(s) Dosis of Dolutegravir n Geometrisches mittleres Verhältnis (90% CI) der pharmakokinetischen Parameter des koadministierten Arzneimittels mit/ohne Dolutegravir NO Effekt = 1,00
Cmax AUC Cτ oder C24
Ethinyl -Östradiol 0,035 mg 50 mg zweimal täglich 15 0.99
(NULL,91 bis 1,08)
1.03
(NULL,96 bis 1,11)
1.02
(NULL,93 bis 1,11)
Metformin 500 mg twice daily 50 mg einmal täglich 15 a 1.66
(NULL,53 bis 1,81)
1.79
(NULL,65 bis 1,93)
-
Metformin 500 mg twice daily 50 mg zweimal täglich 15 a 2.11
(NULL,91 bis 2,33)
2.45
(2.25 bis 2,66)
-
Methadon 16 bis 150 mg 50 mg zweimal täglich 11 1.00
(NULL,94 bis 1,06)
0.98
(NULL,91 bis 1,06)
0.99
(NULL,91 bis 1,07)
Midazolam 3 mg 25 mg einmal täglich 10 - 0.95
(NULL,79 bis 1,15)
-
Norelgestromin 0,25 mg 50 mg zweimal täglich 15 0.89
(NULL,82 bis 0,97)
0.98
(NULL,91 bis 1,04)
0.93
(NULL,85 bis 1,03)
Rilpivirine 25 mg einmal täglich 50 mg einmal täglich 16 1.10
(NULL,99 bis 1,22)
1.06
(NULL,98 bis 1,16)
1.21
(1.07 bis 1,38)
Tenofovir disoproxil fumarat 300 mg einmal täglich 50 mg einmal täglich 15 1.09
(NULL,97 bis 1,23)
1.12
(1.01 bis 1,24)
1.19
(1.04 bis 1,35)
a Die Anzahl der Probanden repräsentiert die maximale Anzahl von Probanden, die bewertet wurden.

Tabelle 10: Zusammenfassung der Wirkung von koadministierten Arzneimitteln auf die Pharmakokinetik von Dolutegravir

Koadministeriertes Medikament(s) and Dosis(s) Dosis of Dolutegravir n Geometrisches mittleres Verhältnis (90% CI) von dolutegravir pharmakokinetischen Parametern mit/ohne koadministerierte Arzneimittel ohne Effekt = 1,00
Cmax AUC Cτ oder C24
Atazanavir 400 mg einmal täglich 30 mg einmal täglich 12 1.50
(NULL,40 bis 1,59)
1.91
(NULL,80 bis 2.03)
2.80
(2.52 bis 3.11)
Atazanavir/Ritonavir 300/100 mg einmal täglich 30 mg einmal täglich 12 1.34
(NULL,25 bis 1,42)
1.62
(NULL,50 bis 1,74)
2.21
(NULL,97 bis 2.47)
Darunavir/Ritonavir 600/100 mg zweimal täglich 30 mg einmal täglich 15 0.89
(NULL,83 bis 0,97)
0.78
(NULL,72 bis 0,85)
0.62
(NULL,56 bis 0,69)
Efavirenz 600 mg einmal täglich 50 mg einmal täglich 12 0.61
(NULL,51 bis 0,73)
0.43
(NULL,35 bis 0,54)
0.25
(NULL,18 bis 0,34)
Etravirine 200 mg zweimal täglich 50 mg einmal täglich 16 0.48
(NULL,43 bis 0,54)
0.29
(NULL,26 bis 0,34)
0.12
(NULL,09 bis 0,16)
Etravirine Darunavir/Ritonavir 200 mg 600/100 mg zweimal täglich 50 mg einmal täglich 9 0.88
(NULL,78 bis 1,00)
0.75
(NULL,69 bis 0,81)
0.63
(NULL,52 bis 0,76)
ETRAVIRINE LOPINAVIR/RITONAVIR 200 mg 400/100 mg zweimal täglich 50 mg einmal täglich 8 1.07
(1.02 bis 1,13)
1.11
(1.02 bis 1,20)
1.28
(1.13 bis 1,45)
Fosamprrenavir/Ritonavir 700 mg/100 mg zweimal täglich 50 mg einmal täglich 12 0.76
(NULL,63 bis 0,92)
0.65
(NULL,54 bis 0,78)
0.51
(NULL,41 bis 0,63)
Lopinavir/Ritonavir 400/100 mg zweimal täglich 30 mg einmal täglich 15 1.00
(NULL,94 bis 1,07)
0.97
(NULL,91 bis 1,04)
0.94
(NULL,85 bis 1,05)
Rilpivirine 25 mg einmal täglich 50 mg einmal täglich 16 1.13
(1.06 bis 1,21)
1.12
(1.05 bis 1,19)
1.22
(1.15 bis 1,30)
Tenofovir 300 mg einmal täglich 50 mg einmal täglich 15 0.97
(NULL,87 bis 1,08)
1.01
(NULL,91 bis 1,11)
0.92
(NULL,82 bis 1,04)
Tipranavir/Ritonavir 500/200 mg zweimal täglich 50 mg einmal täglich 14 0.54
(NULL,50 bis 0,57)
0.41
(NULL,38 bis 0,44)
0.24
(NULL,21 bis 0,27)
Antazida
(Maalox) gleichzeitige Verabreichung
50 mg Einzeldosis 16 0.28
(NULL,23 bis 0,33)
0.26
(NULL,22 bis 0,32)
0.26
(NULL,21 bis 0,31)
Antazida
(Maalox) 2 h nach Dolutegravir
50 mg Einzeldosis 16 0.82
(NULL,69 bis 0,98)
0.74
(NULL,62 bis 0,90)
0.70
(NULL,58 bis 0,85)
Boceprevir 800 mg alle 8 h 50 mg einmal täglich 13 1.05
(NULL,96 bis 1,15)
1.07
(NULL,95 bis 1,20)
1.08
(NULL,91 bis 1,28)
Calciumcarbonat 1200 mg gleichzeitige Verabreichung
(fast)
50 mg Einzeldosis 12 0.63
(NULL,50 bis 0,81)
0.61
(NULL,47 bis 0,80)
0.61
(NULL,47 bis 0,80)
Calciumcarbonat 1200 mg gleichzeitige Verabreichung
(Fed)
50 mg Einzeldosis 11 1.07
(NULL,83 bis 1,38)
1.09
(NULL,84 bis 1,43)
1.08
(NULL,81 bis 1,42)
Calciumcarbonat 1200 mg 2 h nach Dolutegravir 50 mg Einzeldosis 11 1.00
(NULL,78 bis 1,29)
0.94
(NULL,72 bis 1,23)
0.90
(NULL,68 bis 1,19)
Carbamazepin 300 mg twice daily 50 mg einmal täglich 16 c 0.67
(NULL,61 bis 0,73)
0.51
(NULL,48 bis 0,55)
0.27
(NULL,24 bis 0,31)
Eisenfumarat 324 mg gleichzeitige Verabreichung
(fast)
50 mg Einzeldosis 11 0.43
(NULL,35 bis 0,52)
0.46
(NULL,38 bis 0,56)
0.44
(NULL,36 bis 0,54)
Eisenfumarat 324 mg gleichzeitige Verabreichung
(Fed)
50 mg Einzeldosis 11 1.03
(NULL,84 bis 1,26)
0.98
(NULL,81 bis 1,20)
1.00
(NULL,81 bis 1,23)
Eisenfumarat 324 mg 2 h nach Dolutegravir 50 mg Einzeldosis 10 0.99
(NULL,81 bis 1,21)
0.95
(NULL,77 bis 1,15)
0.92
(NULL,74 bis 1,13)
Multivitamin
(Ein-a-Tag) Simultane Administration
50 mg Einzeldosis 16 0.65
(NULL,54 bis 0,77)
0.67
(NULL,55 bis 0,81)
0.68
(NULL,56 bis 0,82)
Omeprazol 40 mg einmal täglich 50 mg Einzeldosis 12 0.92
(NULL,75 bis 1,11)
0.97
(NULL,78 bis 1,20)
0.95
(NULL,75 bis 1,21)
Prednison 60 mg einmal täglich mit Taper 50 mg einmal täglich 12 1.06
(NULL,99 bis 1,14)
1.11
(1.03 bis 1,20)
1.17
(1.06 bis 1,28)
Rifampin a 600 mg einmal täglich 50 mg zweimal täglich 11 0.57
(NULL,49 bis 0,65)
0.46
(NULL,38 bis 0,55)
0.28
(NULL,23 bis 0,34)
Rifampin b 600 mg einmal täglich 50 mg zweimal täglich 11 1.18
(1.03 bis 1,37)
1.33
(NULL,15 bis 1,53)
1.22
(1.01 bis 1,48)
Rifabutin 300 mg einmal täglich 50 mg einmal täglich 9 1.16
(NULL,98 bis 1,37)
0.95
(NULL,82 bis 1,10)
0.70
(NULL,57 bis 0,87)
a Der Vergleich wird Rifampin mit Dolutegravir 50 mg zweimal täglich im Vergleich zu Dolutegravir 50 mg zweimal täglich eingenommen.
b Der Vergleich wird Rifampin mit Dolutegravir 50 mg zweimal täglich im Vergleich zu Dolutegravir 50 mg einmal täglich eingenommen.
c Die Anzahl der Probanden repräsentiert die maximale Anzahl von Probanden, die bewertet wurden.
Abacavir Or Lamivudin

Die beschriebenen Arzneimittelwechselwirkungen basieren auf Studien, die mit Abacavir oder Lamivudin als einzelne Einheiten durchgeführt wurden.

Wirkung von Abacavir und Lamivudin auf die Pharmakokinetik anderer Wirkstoffe

In vitro studies have shown that abacavir has potential to inhibit CYP1A1 and limited potential to inhibit metabolism mediated by CYP3A4. Lamivudin does not inhibit or induce CYP3A4. Abacavir and lamivudine do not inhibit or induce other CYP enzymes (such as CYP2C9 or CYP2D6). Based on in vitro study results abacavir and lamivudine at therapeutic drug exposures are not expected to affect the pharmacokinetics of drugs that are substrates of the following transporters: OATP1B1/3 BCRP or P-gp OCT1 OCT2 OCT3 (lamivudine only) or MATE1 and MATE2-K.

Abacavir Dolutegravir And Lamivudin

Es wird berichtet, dass die gleichzeitige Verabreichung einer einzelnen Dosis von Riokiguaten (NULL,5 mg) an HIV-1-Infizierte, die Triumeq erhielten, im Vergleich zur Riociguat AUC (∞), die bei gesunden Probanden aufgrund von CYP1A1-Hemmung durch Abacavir berichtet wurde, die Riociguat AUC (∞) erhöht. Die genaue Größe der Zunahme der Riokiguat -Exposition wurde aufgrund der Ergebnisse von zwei Studien nicht vollständig charakterisiert [siehe Wechselwirkungen mit Arzneimitteln ].

Auswirkung anderer Wirkstoffe auf die Pharmakokinetik von Abacavir oder Lamivudin

In vitro abacavir is not a substrate of OATP1B1 OATP1B3 OCT1 OCT2 OAT1 MATE1 MATE2-K MRP2 or MRP4; therefore drugs that modulate these transporters are not expected to affect abacavir plasma concentrations. Abacavir is a substrate of BCRP and P-gp in vitro; however considering its absolute bioavailability (83%) modulators of these transporters are unlikely to result in a clinically relevant impact on abacavir concentrations.

Lamivudin is a substrate of MATE1 MATE2-K and OCT2 in vitro. Trimethoprim (an inhibitor of these drug transporters) has been shown to increase lamivudine plasma concentrations. This interaction is not considered clinically significant as no dose adjustment of lamivudine is needed.

Lamivudin is a substrate of P-gp and BCRP; however considering its absolute bioavailability (87%) it is unlikely that these transporters play a significant role in the absorption of lamivudine. Therefore coadministration of drugs that are inhibitors of these efflux transporters is unlikely to affect the disposition and elimination of lamivudine.

Ethanol

Abacavir has no effect on the pharmacokinetic properties of ethanol. Ethanol decreases the elimination of abacavir causing an increase in overall exposure.

Interferon Alfa

In einem Versuch mit 19 gesunden männlichen Probanden gab es keine signifikante pharmakokinetische Wechselwirkung zwischen Lamivudin und Interferon Alfa.

Methadon

In einer Studie mit 11 HIV-1-Infizierten, die eine Methadon-Wartungstherapie (40 mg und 90 mg täglich) mit 600 mg Abacavir zweimal täglich (doppelt so groß wie die derzeit empfohlene Dosis) erhielten Wechselwirkungen mit Arzneimitteln ]. The addition of methadone has no clinically significant effect on the pharmacokinetic properties of abacavir.

Ribavirin

In vitro data indicate ribavirin reduces phosphorylation of lamivudine stavudine and zidovudine. However no pharmacokinetic (e.g. plasma concentrations or intracellular triphosphorylated active metabolite concentrations) or pharmacodynamic (e.g. loss of HIV-1/HCV [hepatitis C virus] virologic suppression) interaction was observed when ribavirin and lamivudine (n = 18) stavudine (n = 10) or zidovudine (n = 6) were coadministered as part of a multi-drug regimen to HIV-1/HCV co-infected subjects.

Sorbit (Excipient)

Lamivudin and sorbitol solutions were coadministered to 16 healthy adult subjects in an open-label randomized-sequence 4-period crossover trial. Each subject received a single 300-mg dose of lamivudine oral solution alone or coadministered with a single dose of 3.2 g 10.2 g or 13.4 g of sorbitol in solution. Coadministration of lamivudine with sorbitol resulted in dose-dependent decreases of 20% 39% and 44% in the AUC(0-24); 14% 32% and 36% in the AUC(∞); and 28% 52% and 55% in the Cmax; of lamivudine respectively.

Abacavir Lamivudin Zidovudine

Fünfzehn HIV-1-Infizierte wurden in eine Crossover-gestaltete Arzneimittel-Interaktionsstudie eingeschlossen, in der einzelne Dosen von Abacavir (600 mg) Lamivudin (150 mg) und Zidovudin (300 mg) allein oder in Kombination bewertet wurden. Die Analyse zeigte keine klinisch relevanten Veränderungen in der Pharmakokinetik von Abacavir unter Zugabe von Lamivudin oder Zidovudin oder der Kombination von Lamivudin und Zidovudin. Die Lamivudin -Exposition (AUC verringerte sich um 15%) und die Exposition gegenüber Zidovudin (AUC stieg um 10%) zeigte mit gleichzeitiger Abacavir keine klinisch relevanten Veränderungen.

Lamivudin And Zidovudine

Bei 12 asymptomatischen HIV-1-infizierten erwachsenen Patienten wurden keine klinisch signifikanten Veränderungen der Pharmakokinetik von Lamivudin oder Zidovudin beobachtet, die in Kombination mit mehreren Dosen von Lamivudin (300 mg) eine einzige Dosis Zidovudin (200 mg) in Kombination mit mehreren Dosen von Lamivudin (300 mg) beobachtet wurden.

Die Auswirkungen anderer koadministierter Medikamente auf Abacavir oder Lamivudin sind in Tabelle 11 angegeben.

Tabelle 11: Wirkung von koadministierten Arzneimitteln auf Abacavir oder Lamivudin

Koadministeriertes Medikament and Dosis Arzneimittel and Dosis n Konzentrationen von Abacavir oder Lamivudin Konzentration des koadministierten Arzneimittels
AUC Variabilität
Ethanol 0.7 g/kg Abacavir Single 600 mg 24 ↑ 41% 90% CI: 35% sind 48% a
Nelfinavir 750 mg alle 8 h x 7 bis 10 Tage Lamivudin Single 150 mg 11 ↑ 10% 95% CI: 1% sind 20%
Trimethoprim 160 mg/ Sulfamethoxazol 800 mg täglich x 5 Tage Lamivudin Single 300 mg 14 ↑ 43% 90% CI: 32% sind 55%
↑ = erhöhen; ↔ = keine signifikante Veränderung.
a Die Wechselwirkung für Arzneimittelmedikamente wurde nur bei Männern bewertet.

Mikrobiologie

Wirkungsmechanismus

Dolutegravir

Dolutegravir inhibits HIV integrase by binding to the integrase active site and blocking the strand transfer step of retroviral DNA integration which is essential for the HIV replication cycle. Strand transfer biochemical assays using purified recombinant HIV-1 integrase and pre-processed substrate DNA resulted in IC50 values of 2.7 nM and 12.6 nM.

Abacavir

Abacavir is a carbocyclic synthetic nucleoside analogue. Abacavir is converted by cellular enzymes to the active metabolite carbovir triphosphate (CBV-TP) an analogue of deoxyguanosine-5'-triphosphate (dGTP). CBV-TP inhibits the activity of HIV-1 reverse transcriptase (RT) both by competing with the natural substrate dGTP and by its incorporation into viral DNA.

Lamivudin

Lamivudin is a synthetic nucleoside analogue. Intracellularly lamivudine is phosphorylated to its active 5'-triphosphate metabolite lamivudine triphosphate (3TC-TP). The principal mode of action of 3TC-TP is inhibition of RT via DNA chain termination after incorporation of the nucleotide analogue.

Antivirale Aktivität in der Zellkultur

Dolutegravir

Dolutegravir exhibited Virostatikum activity against laboratory strains of wild-type HIV-1 with mean concentration of drug necessary to affect viral replication by 50% (EC50) values of 0.5 nM (0.21 ng/mL) to 2.1 nM (0.85 ng/mL) in peripheral blood mononuclear cells (PBMCs) and MT-4 cells. Dolutegravir exhibited Virostatikum activity against 13 clinically diverse clade B isolates with a median EC50 value of 0.54 nM (range: 0.41 to 0.60 nM) in a viral susceptibility assay using the integrase coding region from clinical isolates. Dolutegravir demonstrated Virostatikum activity in cell culture against a panel of HIV-1 clinical isolates with median EC50 values of 0.18 nM (n = 3 range: 0.09 to 0.5 nM) 0.08 nM (n = 5 range: 0.05 to 2.14 nM) 0.12 nM (n = 4 range: 0.05 to 0.51 nM) 0.17 nM (n = 3 range: 0.16 bis 0.35 nM) 0.24 nM (n = 3 range: 0.09 to 0.32 nM) 0.17 nM (n = 4 range: 0.07 to 0.44 nM) 0.2 nM (n = 3 range: 0.02 to 0.87 nM) and 0.42 nM (n = 3 range: 0.41 to 1.79 nM) for clades A B C D E F and G and group O viruses respectively. Dolutegravir EC50 values against three HIV-2 clinical isolates in PBMC assays ranged from 0.09 nM to 0.61 nM.

Abacavir

Die antivirale Aktivität von Abacavir gegen HIV-1 wurde in einer Reihe von Zelllinien untersucht, einschließlich in primären Monozyten/Makrophagen und PBMCs. Die EC50-Werte lagen zwischen 3700 und 5800 nm (1 nm = 0,28 ng/ml) bzw. 70 bis 1000 nm gegen HIV-1IIB bzw. HIV-1BAL, und der mittlere EC50-Wert betrug 260 ± 180 nm gegen 8 klinische Isolate. Die medianen EC50 -Werte von Abacavir betrugen 344 nm (Bereich: 14,8 bis 676 nm) 16,9 nm (Bereich: 5,9 bis 27,9 nm) 8,1 nm (Bereich: 1,5 bis 16,7 nm) 356 nm (Bereich: 35,7 bis 396 nm) 105 nm (Bereich: 28,1 bis 16.10. NM (Bereich: 7,1 bis 177 nm) und 282 nm (Bereich: 22,4 bis 598 nm) gegen HIV-1-Kladen A-G und Gruppe O-Viren (n = 3 außer n = 2 für Klade B). Die EC50-Werte gegen HIV-2-Isolate (n = 4) lagen zwischen 24 und 490 nm.

Lamivudin

Die antivirale Aktivität von Lamivudin gegen HIV-1 wurde in einer Reihe von Zelllinien, einschließlich Monozyten und PBMCs unter Verwendung von Standard-Suszeptibilitäts-Assays, bewertet. Die EC50 -Werte lagen im Bereich von 3 bis 15000 nm (1 nm = 0,23 ng/ml). The median EC50 values ​​of lamivudine were 60 nM (range: 20 to 70 nM) 35 nM (range: 30 to 40 nM) 30 nM (range: 20 to 90 nM) 20 nM (range: 3 to 40 nM) 30 nM (range: 1 to 60 nM) 30 nM (range: 20 to 70 nM) 30 nM (range: 3 to 70 nM) and 30 nM (range: 20 to 90 nM) against HIV-1-Kladen A-G und Gruppe O-Viren (n = 3 außer n = 2 für Klade B). Die EC50-Werte gegen HIV-2-Isolate (n = 4) von 3 bis 120 nm in PBMCs. Ribavirin (50000 nm), die bei der Behandlung einer chronischen HCV-Infektion verwendet wurden, verringerte die Anti-HIV-1-Aktivität von Lamivudin um 3,5-fach in MT-4-Zellen.

Antivirale Aktivität in Kombination mit anderen antiviralen Wirkstoffen

Weder Dolutegravir Abacavir noch Lamivudin waren gegen alle getesteten Anti-HIV-Mittel antagonistisch. Siehe vollständige Verschreibungsinformationen für Ziagen (Abacavir) Tivicay (Dolutegravir) und Epivir (Lamivudin).

Resistenz in der Zellkultur

Dolutegravir

Dolutegravir-resistant viruses were selected in cell culture starting from different wild-type HIV-1 strains and clades. Amino acid substitutions E92Q G118R S153F or Y G193E or R263K emerged in different passages and conferred decreased susceptibility to dolutegravir of up to 4-fold.

Abacavir And Lamivudin

HIV-1 isolates with reduced susceptibility to the combination of abacavir and lamivudine have been selected in cell culture with amino acid substitutions K65R L74V Y115F and M184V/I in HIV-1 RT. M184V or I substitutions resulted in high-level resistance to lamivudine and approximately 2-fold decrease in susceptibility to abacavir.  Substitutions K65R L74V or Y115F with M184V or I conferred a 7- to 8-fold reduction in abacavir susceptibility and combinations of three substitutions were required to confer more than an 8-fold reduction in susceptibility.

Resistenz bei klinischen Probanden

Keine Probanden im Behandlungsarm, der Dolutegravir-Epzicom in einer einzelnen (Behandlung von Behandlungen) empfangen hat, hatten eine nachweisbare Abnahme der Anfälligkeit für Dolutegravir oder Hintergrund-NRTIs in der Resistenzanalyse-Untergruppe (n = 11 mit HIV-1-RNA> 400 Kopien/ml bei Versagen oder letzten Besuchs- und Resistenzdaten). Zwei virologische Versagen hatten in Woche 84 und Woche 108 mit 275 Kopien/ml HIV-1-RNA eine Behandlung mit 275 Kopien/ml HIV-1-RNA. In dem Arm, der Dolutegravir Epzicom in der einzigen Studie bis Woche 144 erhielt, wurde keine genotypische Resistenz für die Behandlung von Behandlungen gegen Abacavir und Lamivudin von Triumeq und Triumeq beobachtet. One Art-Na -ve-Subjekt erhielt Triumeq pd in der Pediatric Impaact. 48 Während der fortgesetzten Studienbehandlung. Das Einstiegsproben des Probanden (HIV-1-Subtyp AE) hatte das Vorhandensein einer Basisintegrase-Substitution L74I-Polymorphismus. Genotypische Sequenzierung und phänotypische Analysen scheiterten bei dem bestätigten virologischen Versagen für dieses Thema.

Kreuzresistenz

Dolutegravir

Bei INSTIS wurde eine Kreuzresistenz beobachtet. Die einzelnen Insti-Resistenz-Substitutionen T66K I151L und S153Y verliehen eine 2-fache Abnahme der Dolutegravir-Anfälligkeit (Bereich: 2,3-fach auf das 3,6-fache von der Referenz). Kombinationen mehrerer Substitutionen T66K/L74M E92Q/N155H G140C/Q148R G140S/Q148H R oder K Q148R/N155H T97A/G140S/Q148 und Substitilte bei E138/G140/Q148-DEGRAG: REGAV: REGAV: REGAVE (G140/Q148) (zeigte sich eine Substitutionen in der DOLUTRAGE (zeigte sich) und Substitutionen in der DOLUTEL-SUGLEGTIBILIEN (zeigte sich. 2,5-fach bis 21-fach von der Referenz). In HIV-2-Mutanten Kombinationen von Substitutionen A153G/N155H/S163G und E92Q/T97A/N155H/S163D verliehen 4-fache Abnahmen bei Dolutegravir-Suszeptibilität und E92Q/N155H und G140S/Q148R. jeweils.

Abacavir And Lamivudin

Bei NRTIs wurde eine Kreuzresistenz beobachtet. Die Kombination von Abacavir/Lamivudin hat eine verminderte Anfälligkeit für Viren mit einer K65R -Substitution mit oder ohne M184V/I -Substitution -Viren mit L74V plus der M184V/i -Substitution und Viren mit Thymidin -Analogmutation (TAM) (M41L D67N K70R L210W) (M41L D67N K70R L210W T215Y/F K215Y/F K215Y/F K215Y/F K215Y/F K210W (M41L) gezeigt. E/R/H/Q/N) plus M184V. Eine zunehmende Anzahl von TAMs ist mit einer fortschreitenden Verringerung der Anfälligkeit von Abacavir verbunden.

Tiertoxikologie und/oder Pharmakologie

Die Myokard -Degeneration wurde bei Mäusen und Ratten nach 2 Jahren nach Verabreichung von Abacavir gefunden. Die systemischen Expositionen entsprachen dem 7- bis 21 -fachen der erwarteten systemischen Exposition beim Menschen bei einer Dosis von 600 mg. Die klinische Relevanz dieses Befunds wurde nicht bestimmt.

Klinische Studien

Erwachsene Probanden

Die Wirksamkeit von Triumeq wird durch Daten aus einer randomisierten kontrollierten Studie (Doubleblind über 96 Wochen und Open-Label-Phase von 96 bis 144 Wochen) bei antiretroviralen Behandlungen unterstützt, die einzelne (ING114467 NCT01263015) und andere Studien bei Behandlungsfreunden. Siehe vollständige Verschreibungsinformationen für Tivicay. Die Wirksamkeit von DoluteGravir in Kombination mit mindestens zwei aktiven Hintergrundregimen bei durchlebenden durchweltigen Probanden wird durch Daten aus dem Segeln (ING111762 NCT01231516) unterstützt (siehe die Verschreibungsinformationen für Tivicay).

Behandlungsnaive Probanden

In einzelnen 833 wurden die Probanden randomisiert und erhielten mindestens 1 Dosis von Tivicay 50 mg einmal täglich mit fester Dosis Abacavir und Lamivudin (Epzicom) oder Efavirenz/Emtricitabin/Tenofovir-Disoproxil Fumarat (atripla). Zu Studienbeginn betrug das Durchschnittsalter der Probanden 35 Jahre 16% weiblich 32% nicht-weiße 7% hatten eine Hepatitis-C <350 cells/mm³; these characteristics were similar between treatment groups.

Woche 144 (Open-Label-Phase-Analyse, die der Woche 96 Doppelblindphase nach der Woche nach der einzigen Woche 96 folgte, sind in Tabelle 12 angegeben.

Tabelle 12: â

Tivicay Epzicom Einmal täglich
(n = 414)
Atripla Einmal täglich
(n = 419)
HIV-1 RNA <50 copies/mL 71% 63%
Behandlungsunterschied a 8,3% (95% CI: 2,0% 14,6%) d
Virologische Nichtbeantwortung 10% 7%
Daten in window not <50 copies/mL 4% <1%
Wegen mangelnder Wirksamkeit eingestellt 3% 3%
Aus anderen Gründen eingestellt, während er nicht unterdrückt wird 3% 4%
Keine virologischen Daten 18% 30%
Gründe
Untersuchte Studien-/Studienmedikamente aufgrund von unerwünschtem Ereignis oder Tod b 4% 14%
Aus anderer Gründe abgebrochen Studien-/Studienmedikamente c 12% 13%
Fehlende Daten während des Fensters, aber im Studium 2% 3%
Anteil (%) der Probanden mit HIV-1-RNA <50 copies/mL by Baseline Category
Plasma -Viruslast (Kopien/ml)
≤ 100000 73% 64%
≥100000 69% 61%
Geschlecht
Männlich 72% 66%
Weiblich 69% 48%
Wettrennen
Weiß 72% 71%
Afroamerikaner/afrikanisches Erbe/andere 71% 47%
a Angepasst für vorgegebene Schichtungsfaktoren.
b Beinhaltet Probanden, die aufgrund eines unerwünschten Ereignisses oder eines Todes zu irgendeinem Zeitpunkt eingestellt wurden, wenn dies zu keinen virologischen Daten zur Behandlung während des Analysefensters führte.
c Andere umfassen Gründe wie den Verlust der Einverständniserklärung des Einverständnisses bei der Nachuntersuchung und der Protokollabweichung.
d Der primäre Endpunkt wurde in Woche 48 bewertet und die virologische Erfolgsquote betrug 88% in der Gruppe, die Tivicay erhielt, und 81% in der Atripla -Gruppe mit einer Behandlungsdifferenz von 7,4% und 95% CI von (NULL,5% 12,3%).

Behandlungsunterschieds were maintained across baseline characteristics including baseline viral load CD4+ cell count age gender and race. The adjusted mean changes in CD4+ cell counts from baseline were 378 cells/mm³ in the group receiving Tivicay Epzicom and 332 cells/mm³ for the Atripla group at 144 weeks. The adjusted difference between treatment arms and 95% CI was 46.9 cells/mm³ (15.6 cells/mm³ 78.2 cells/mm³) (adjusted for prespecified stratification factors: baseline HIV-1 RNA and baseline CD4+ cell count).

Behandlungsauslöser

Beim Segeln gab es 715 Probanden in den Wirksamkeits- und Sicherheitsanalysen (siehe vollständige Verschreibungsinformationen für Tivicay). In Woche 48 71% der Probanden, die auf Tivicay plus Hintergrundregime randomisiert wurden, im Vergleich zu 64% der Probanden, die Raltegravir plus Hintergrundregime randomisiert haben, hatten HIV-1-RNA <50 copies/mL (treatment difference and 95% CI: 7.4% [0.7% 14.2%]).

Pädiatrische Themen

Die Wirksamkeit von Triumeq Triumeq PD und/oder ihren einzelnen Komponenten zur Behandlung von HIV-1-Infektionen wurde bei pädiatrischen Patienten untersucht, die in der IMPAACT-Studie 2019 (NCT03760458) aufgenommen wurden (NCT02028676) und IMPAACT P1093-Studie (NCT030287) (NCT030287).

  • Triumeq and Triumeq PD were evaluated in treatment-naive or treatment-experienced HIV-1â€infected subjects younger than 12 years in an open-label multicenter clinical trial (IMPAACT 2019). Subjects were stratified by weight band and enrolled in one of five groups. Fifty-seven subjects with a median age of 6.4 years (range: 1 to 11.3) and median weight of 17 kg (range: 8.2 to 39.3) received the recommended dose (determined by weight) and formulation and contributed to the efficacy analysis at Week 48. At this timepoint 79% of subjects achieved HIV-1 RNA less than 50 copies/mL and 95% achieved HIV-1 RNA less than 200 copies/mL (Snapshot algorithm).
  • Abacavir and lamivudine once daily in combination with a third antiretroviral drug were evaluated in a randomized multicenter trial (ARROW) in treatment-naive pediatric subjects with HIV-1 infection. Subjects randomized to once-daily dosing (n = 336) and who weighed at least 25 kg received abacavir 600 mg and lamivudine 300 mg as either the single entities or as EPZICOM. At Week 96 67% of subjects receiving abacavir and lamivudine once-daily in combination with a third antiretroviral drug had HIV-1 RNA <80 copies/mL.
  • Dolutegravir (TIVICAY or TIVICAY PD) in combination with other antiretroviral drugs was evaluated in treatment-naive or treatment-experienced INSTI-naive HIV-1â€infected subjects aged at least 4 weeks to 18 years in an ongoing open-label multicenter dose-finding clinical trial IMPAACT P1093. Subjects were stratified by age from 4 weeks to younger than 18 years and enrolled in one of five age cohorts.Thirty-six subjects weighing at least 6 kg who received the recommended dose (determined by weight and age) and formulation contributed to the efficacy analysis at Week 48. At this timepoint 72% (26/36) of subjects weighing at least 6 kg achieved HIV-1 RNA <50 copies/mL (Snapshot algorithm).

Patienteninformationen für Triumeq

Triumeq
(Drei-in-Meck)
(Abacavir Dolutegravir und Lamivudin) Tabletten

Triumeq PD
(Tri-Meck auf DE)
(Abacavir Dolutegravir und Lamivudin) Tabletten for oral suspension

Was sind die wichtigsten Informationen, die ich über Triumeq und Triumeq PD wissen sollte?

Triumeq and Triumeq PD can cause serious side effects including:

  • Schwerwiegende allergische Reaktionen (Überempfindlichkeitsreaktion) Dies kann dazu führen, dass der Tod bei Triumeq oder Triumeq PD und anderen Abacavir-haltigen Produkten geschehen ist. Ihr Risiko für diese allergische Reaktion auf Abacavir ist viel höher, wenn Sie eine Genvariation als HLA-B*5701 bezeichnen. Ihr Gesundheitsdienstleister kann eine Blutuntersuchung bestimmen, wenn Sie diese Genvariation haben.

Wenn Sie ein Symptom von 2 oder mehr der folgenden Gruppen erhalten, während Sie Triumeq oder Triumeq PD einnehmen, rufen Sie Ihren Gesundheitsdienstleister sofort an, um herauszufinden, ob Sie die Einnahme von Triumeq oder Triumeq PD aufhören sollten.

Symptome (en)
Gruppe 1 Fieber
Gruppe 2 Ausschlag
Gruppe 3 Übelkeit erbrechen Durchfallabdominalschmerzen (Magenbereich)
Gruppe 4 Allgemeinly ill feeling Extreme Müdigkeit or achiness
Gruppe 5 Kurzatmigkeit Husten Halsschmerzen

Eine Liste dieser Symptome ist auf der Warnkarte, die Ihnen Ihr Apotheker gibt. Tragen Sie diese Warnkarte jederzeit mit.

Wenn Sie Triumeq oder Triumeq PD stoppen, nehmen Sie niemals Triumeq Triumeq PD (Abacavir Dolutegravir und Lamivudin) oder ein anderes Medikament ein, das sich noch einmal abacavir oder dolutegravir (Dovato Epzicom) enthält.

  • Wenn Sie eine allergische Reaktion von ungenutzten Triumeq oder Triumeq PD haben. Fragen Sie Ihren Apotheker, wie Sie Medikamente ordnungsgemäß entsorgen können.
  • Wenn Sie Triumeq Triumeq PD oder andere Abacavir-haltige Medikamente erneut einnehmen, nachdem Sie innerhalb von Stunden eine allergische Reaktion erhalten haben Niedriger Blutdruck oder Tod.
  • Wenn Sie Triumeq oder Triumeq PD aus irgendeinem anderen Grund auch für ein paar Tage einstellen und Sie nicht gegen Triumeq oder Triumeq PD mit Ihrem Gesundheitsdienstleister allergisch sind, bevor Sie es erneut einnehmen. Die Einnahme von Triumeq oder Triumeq PD kann erneut eine schwerwiegende allergische oder lebensbedrohliche Reaktion verursachen, auch wenn Sie noch nie zuvor eine allergische Reaktion darauf hatten.
    Wenn Ihr Gesundheitsdienstleister Ihnen sagt, dass Sie Triumeq oder Triumeq PD erneut mitnehmen können, wenn Sie mit medizinischer Hilfe in der Nähe sind, oder Personen, die einen Gesundheitsdienstleister anrufen können, wenn Sie einen benötigen.
  • Verschlechterung der Infektion des Hepatitis B -Virus (HBV). Ihr Gesundheitsdienstleister testet Sie auf HBV -Infektionen, bevor Sie mit Triumeq oder Triumeq PD behandelt werden. Wenn Sie eine HBV-Infektion haben und Triumeq oder Triumeq PD nehmen, kann Ihr HBV schlechter werden (Flare-up), wenn Sie aufhören, Triumeq oder Triumeq PD zu nehmen. Ein Aufflackern ist, wenn Ihre HBV-Infektion plötzlich schlechter zurückkehrt als zuvor.
    • Laufen Sie nicht aus Triumeq oder Triumeq PD. Füllen Sie Ihr Rezept auf oder sprechen Sie mit Ihrem Gesundheitsdienstleister, bevor Ihr Triumeq oder Triumeq PD verschwunden ist.
    • Stoppen Sie Triumeq oder Triumeq PD nicht, ohne zuerst mit Ihrem Gesundheitsdienstleister zu sprechen.
    • Wenn Sie aufhören, Triumeq oder Triumeq PD zu nehmen, muss Ihr Gesundheitsdienstleister Ihre Gesundheit häufig überprüfen und regelmäßig Blutuntersuchungen für mehrere Monate durchführen, um Ihre Leberfunktion zu überprüfen und Ihre HBV -Infektion zu überwachen. Es kann notwendig sein, Ihnen ein Medikament zur Behandlung von Hepatitis B. zu geben
      Teilen Sie Ihrem Gesundheitsdienstleister über neue oder ungewöhnliche Symptome mit, die Sie möglicherweise haben, nachdem Sie die Einnahme von Triumeq oder Triumeq PD aufhören.
  • Widerstandes HBV. Wenn Sie humane Immunschwäche-Virus-1 (HIV-1) und HBV haben, kann sich der HBV während Ihrer Behandlung mit Triumeq oder Triumeq PD verändern (mutieren) und schwieriger zu behandeln (resistent). Ihr Gesundheitsdienstleister kann Ihnen andere Medikamente zur Behandlung von HBV-Infektionen geben, wenn Sie HIV-1- und HBV-Infektionen haben und Triumeq oder Triumeq PD einnehmen.
  • Weitere Informationen zu Nebenwirkungen finden Sie in den möglichen Nebenwirkungen von Triumeq oder Triumeq PD?

Was ist Triumeq und Triumeq PD?

Triumeq and Triumeq PD are prescription medicines used to treat HIV-1 infection in adults and children who are at least 3 months of age and weigh at least 13.2 pounds (6 kg).

HIV-1 is the virus that causes Acquired Immune Deficiency Syndrome (AIDS).

Triumeq and Triumeq PD contain the prescription medicines Abacavir Dolutegravir und Lamivudin.

  • Triumeq or Triumeq PD should not be used by itself in people who have resistance to certain types of medicines.

Es ist nicht bekannt, ob Triumeq PD bei Kindern, die weniger als 3 Monate alt sind oder weniger als 13,2 Pfund wiegen, sicher und wirksam ist.

Nehmen Sie nicht Triumeq oder Triumeq PD ein, wenn Sie:

  • haben eine bestimmte Art von Genvariation, die als HLA-B*5701-Allel bezeichnet wird. Ihr Gesundheitsdienstleister wird Sie darauf testen, bevor Sie die Behandlung mit Triumeq oder Triumeq PD verschreiben.
  • sind allergisch gegen Abacavir Dolutegravir Lamivudin oder einen der Inhaltsstoffe in Triumeq oder Triumeq PD. Eine vollständige Liste von Zutaten in Triumeq und Triumeq PD finden Sie im Ende dieses Medikamentenleitfadens.
  • Dofetilid nehmen. Die Einnahme von Triumeq- oder Triumeq-PD und Dofetilid kann Nebenwirkungen verursachen, die schwerwiegend oder lebensbedrohlich sein können.
  • haben bestimmte Leberprobleme.

Bevor Sie Triumeq oder Triumeq PD einnehmen, teilen Sie Ihrem Gesundheitsdienstleister alle Ihre medizinischen Erkrankungen mit, einschließlich, wenn Sie:

  • wurden getestet und wissen, ob Sie eine bestimmte Genvariation als HLA-B*5701 haben oder nicht.
  • haben oder hatten Leberprobleme, einschließlich Hepatitis -B- oder C -Virusinfektion.
  • Nierenprobleme haben.
  • Haben Sie Herzprobleme rauchen oder Krankheiten haben, die Ihr Risiko für Herzerkrankungen wie hohem Cholesterinspiegel oder Diabetes erhöhen.
  • Alkohol trinken oder Medikamente einnehmen, die Alkohol enthalten.
  • sind schwanger oder planen, schwanger zu werden. Sprechen Sie mit Ihrem Gesundheitsdienstleister über die Vorteile und das Risiko einer Behandlung mit Triumeq während der Schwangerschaft.

Schwangerschaftsregister. Es gibt ein Schwangerschaftsregister für diejenigen, die während der Schwangerschaft Triumeq einnehmen. Der Zweck dieser Registrierung ist es, Informationen über die Gesundheit von Ihnen und Ihrem Baby zu sammeln. Sprechen Sie mit Ihrem Gesundheitsdienstleister darüber, wie Sie an dieser Registrierung teilnehmen können.

  • stillen oder planen zu stillen. Triumeq geht an Ihr Baby in Ihrer Muttermilch. Sprechen Sie mit Ihrem Gesundheitsdienstleister über die folgenden Risiken für Ihr Baby beim Stillen während der Behandlung mit Triumeq:
    • Das HIV-1-Virus kann an Ihr Baby übergehen, wenn Ihr Baby keine HIV-1-Infektion hat.
    • Das HIV-1-Virus kann schwerer zu behandeln sein, wenn Ihr Baby eine HIV-1-Infektion hat.
    • Ihr Baby kann Nebenwirkungen von Triumeq erhalten.

Teilen Sie Ihrem Gesundheitsdienstleister über alle Medikamente, die Sie einnehmen einschließlich verschreibungspflichtiger und über-the Gegenmedikamente Vitamine und Kräuterpräparate.

Einige Medikamente interagieren mit Triumeq oder Triumeq PD. Behalten Sie eine Liste Ihrer Medikamente, um Ihren Gesundheitsdienstleister und Apotheker zu zeigen, wenn Sie ein neues Medikament erhalten.

  • Sie können Ihren Gesundheitsdienstleister oder Apotheker um eine Liste von Medikamenten bitten, die mit Triumeq oder Triumeq PD interagieren.
  • Nehmen Sie keine neue Medizin ein, ohne Ihrem Gesundheitsdienstleister mitzuteilen. Ihr Gesundheitsdienstleister kann Ihnen sagen, ob es sicher ist, Triumeq oder Triumeq PD mit anderen Medikamenten zu nehmen.

Wie soll ich Triumeq oder Triumeq PD einnehmen?

Lesen Sie die Anweisungen für die Verwendung am Ende dieses Medikamentenhandbuchs für detaillierte Anweisungen zur Herstellung einer Dosis von Triumeq -PD -Tabletten zur oralen Suspension.

  • Nehmen Sie Triumeq oder Triumeq PD genau so, wie Ihr Gesundheitsdienstleister Ihnen sagt, dass Sie es nehmen sollen.
  • Ändern Sie Ihre Dosisschaltermedikamente nicht und nehmen Sie keine Triumeq oder Triumeq PD ein, ohne zuerst mit Ihrem Gesundheitsdienstleister zu sprechen.
  • Triumeq tablets are not the same as Triumeq PD tablets for oral suspension and cannot be substituted for each other. Check to make sure you receive the correct dosage form each time you or your child’s prescription is filled to avoid using the wrong medicine.
  • Der Gesundheitsdienstleister Ihres Kindes verschreibt Triumeq oder Triumeq PD anhand des Gewichts Ihres Kindes.
  • Triumeq PD tablets for oral suspension should be dispersed in drinking water.
  • Kauen Sie keine Triumeq -Tabletten oder Triumeq -PD -Tabletten zur oralen Suspension. Schlucken Sie Triumeq -PD -Tabletten nicht für die mündliche Suspension Ganze.
  • Triumeq or Triumeq PD may be taken with or without food.
  • Wenn Sie Antazida -Abführmittel oder andere Medikamente einnehmen, die Aluminiummagnesium oder gepufferte Medikamente Triumeq oder Triumeq PD enthalten, sollten mindestens 2 Stunden vor oder 6 Stunden nach der Einnahme dieser Medikamente eingenommen werden.
  • Wenn Sie Eisen- oder Kalziumpräparate oder Multivitamin -Nahrungsergänzungsmittel einnehmen müssen, die während der Behandlung mit Triumeq oder Triumeq PD Eisen oder Kalzium durch Mund enthalten:
    • Wenn Sie Triumeq oder Triumeq PD mit Lebensmitteln einnehmen, können Sie diese Nahrungsergänzungsmittel gleichzeitig einnehmen, als Sie Triumeq oder Triumeq PD einnehmen.
    • Wenn Sie Triumeq oder Triumeq PD nicht mit Lebensmitteln einnehmen, nehmen Sie mindestens 2 Stunden vor oder 6 Stunden nach der Einnahme dieser Nahrungsergänzungsmittel Triumeq oder Triumeq PD ein.
  • Wenn Sie eine Dosis Triumeq oder Triumeq PD verpassen, nehmen Sie sie sobald Sie sich erinnern. Nehmen Sie keine 2 Dosen gleichzeitig ein oder nehmen Sie mehr als Ihr Gesundheitsdienstleister auf, dass Sie einnehmen.
  • Bleiben Sie während der Behandlung mit Triumeq oder Triumeq PD unter der Versorgung eines Gesundheitsdienstleisters.
  • Laufen Sie nicht aus Triumeq oder Triumeq PD. Das Virus in Ihrem Blut kann zunehmen und das Virus kann schwieriger zu behandeln. Wenn Ihr Versorgung niedrig läuft, erhalten Sie mehr von Ihrem Gesundheitsdienstleister oder Ihrer Apotheke.
  • Wenn Sie zu viel Triumeq oder Triumeq PD nehmen, rufen Sie Ihren Gesundheitsdienstleister an oder gehen Sie sofort in die nächste Krankenhausaufnahme.

Was sind die möglichen Nebenwirkungen von Triumeq oder Triumeq PD?

Triumeq or Triumeq PD can cause serious side effects including:

  • Sehen Was sind die wichtigsten Informationen, die ich über Triumeq und Triumeq PD wissen sollte?
  • Leberprobleme. Menschen mit einer Vorgeschichte von Hepatitis B oder C -Virus können ein erhöhtes Risiko haben, neue oder verschlechterende Veränderungen in bestimmten Leberfunktionstests während der Behandlung mit Triumeq oder Triumeq PD zu entwickeln. Leberprobleme einschließlich Leberversagen sind auch mit Triumeq oder Triumeq PD bei Menschen ohne Lebererkrankung oder anderen Risikofaktoren aufgetreten. Leberversagen, die zu einer Lebertransplantation führt, wurde auch mit Triumeq berichtet. Ihr Gesundheitsdienstleister kann Blutuntersuchungen durchführen, um Ihre Leber zu überprüfen. Rufen Sie Ihren Gesundheitsdienstleister sofort an, wenn Sie die unten aufgeführten Anzeichen oder Symptome von Leberproblemen entwickeln.
    • Ihre Haut oder der weiße Teil Ihrer Augen werden gelb ( Gelbsucht )
    • dunkler oder teafarbener Urin
    • leichte Stühle (Darmbewegungen)
    • Appetitverlust
    • Brechreiz or Erbrechen
    • Schmerzschmerzen oder Zartheit auf der rechten Seite Ihres Magenbereichs
  • Zu viel Milchsäure in Ihrem Blut (Laktatazise). Zu viel Milchsäure ist ein schwerwiegender medizinischer Notfall, der zum Tod führen kann. Rufen Sie Ihren Gesundheitsdienstleister sofort an, wenn Sie eines der folgenden Symptome erhalten, die Anzeichen einer Laktatazidose sein könnten:
    • Fühlen Sie sich sehr schwach oder müde
    • ungewöhnliche (nicht normale) Muskelschmerzen
    • Probleme beim Atmen
    • Magenschmerzen with Brechreiz and Erbrechen
    • Fühlen Sie sich vor allem in Ihren Armen und Beinen kalt
    • fühle mich schwindelig oder benommen
    • einen schnellen oder unregelmäßigen Herzschlag haben
  • Laktatazidose kann auch zu schweren Leberproblemen führen das kann zum Tod führen. Ihre Leber kann groß werden (Hepatomegalie) und Sie können Fett in Ihrer Leber (Steatose) entwickeln. Rufen Sie Ihren Gesundheitsdienstleister sofort an, wenn Sie die Anzeichen oder Symptome von Leberproblemen erhalten, die oben unter Leberproblemen aufgeführt sind.
  • Es ist möglicherweise wahrscheinlicher, dass Sie eine Laktatazidose oder schwere Leberprobleme bekommen, wenn Sie weiblich oder sehr übergewichtig sind (fettleibig).
  • Änderungen in Ihrem Immunsystem (Immunrekonstitutionssyndrom) kann passieren, wenn Sie anfangen, HIV-1-Medikamente einzunehmen. Ihr Immunsystem kann stärker werden und beginnen, Infektionen zu bekämpfen, die seit langem in Ihrem Körper versteckt sind. Teilen Sie Ihrem Gesundheitsdienstleister sofort mit, wenn Sie neue Symptome haben, nachdem Sie mit der Einnahme von Triumeq oder Triumeq PD beginnen.
  • Herzinfarkt. Einige HIV-1-Medikamente, einschließlich Triumeq oder Triumeq PD Herzinfarkt .
  • Die häufigsten Nebenwirkungen von Triumeq sind:
    • Probleme beim Schlafen
    • Kopfschmerzen
    • Müdigkeit

Dies sind nicht alle möglichen Nebenwirkungen von Triumeq oder Triumeq PD.

Rufen Sie Ihren Arzt an, um medizinische Beratung zu Nebenwirkungen zu erhalten. Sie können die FDA bei 1-800-FDA-1088 Nebenwirkungen melden.

Wie soll ich Triumeq oder Triumeq PD speichern?

  • Lagern Sie Triumeq und Triumeq PD bei Raumtemperatur zwischen 68 ° F und 77 ° F (20 ° C bis 25 ° C) in der ursprünglichen Flasche. Halten Sie die Flasche fest geschlossen und schützen Sie sie vor Feuchtigkeit.
  • Die Flasche Triumeq und Triumeq PD enthält ein Trockenmittelpaket, um Ihre Medizin trocken zu halten (es vor Feuchtigkeit schützen). Entfernen Sie das Trockenmittelpaket nicht aus der Flasche.

Halten Sie Triumeq Triumeq PD und alle Medikamente außerhalb der Reichweite der Kinder.

Allgemein information about the safe and effective use of Triumeq or Triumeq PD.

Medikamente werden manchmal für andere Zwecke als die in einem Medikamentenhandbuch aufgeführten Zwecke verschrieben. Verwenden Sie nicht Triumeq oder Triumeq PD für eine Erkrankung, für die sie nicht verschrieben wurde. Geben Sie anderen Personen keine Triumeq oder Triumeq PD an, auch wenn sie die gleichen Symptome haben, die Sie haben. Es kann ihnen schaden. Sie können Ihren Apotheker oder Gesundheitsdienstleister um Informationen zu Triumeq oder Triumeq PD bitten, die für Angehörige der Gesundheitsberufe geschrieben wurden.

Was sind die Zutaten in Triumeq und Triumeq PD?

Wirkstoffe: Abacavir Dolutegravir und Lamivudin

Inaktive Zutaten:

Triumeq tablets: D-Mannit-Magnesium-Stearatmikrokristallin-Cellulose-Povidon und Natriumstärkeglykolat. Die Tablettenfilmbeschichtung enthält: Eisenoxid schwarzes Eisenoxid Red Macrogol/PEG Polyvinylalkohol-Teil hydrolysierte Talk- und Titanoxid.

Triumeq PD tablets for oral suspension: acesulfame potassium crospovidone mannitol microcrystalline cellulose povidone K29/32 silicified microcrystalline cellulose sodium starch glycolate sodium stearyl fumarate strawberry cream flavor and sucralose.

Die Tablettenfilmbeschichtung enthält: Eisengoxidgelb Macrogol/PEG Polyvinylalkohol-Teil hydrolysiertes Talk und Titandioxid.

Anweisungen zur Verwendung

Triumeq PD
(Tri-Meck auf DE)
(Abacavir Dolutegravir und Lamivudin) Tabletten for oral suspension

Diese Verwendungsanweisungen enthält Informationen zur Einnahme von Triumeq PD.

Lesen Sie diese Anweisungen für die Verwendung, bevor Ihr Kind zum ersten Mal mit Triumeq PD einnimmt, und jedes Mal, wenn Sie eine Nachfüllung erhalten. Es kann neue Informationen geben. Diese Informationen treten nicht an, mit Ihrem Gesundheitsdienstleister über die Krankheit oder Behandlung Ihres Kindes zu sprechen. Sprechen Sie mit Ihrem Gesundheitsdienstleister oder Apotheker, wenn Sie Fragen zur Vorbereitung oder zur Erstellung der vorgeschriebenen Dosis Triumeq PD haben.

Wichtige Informationen, die Sie kennen müssen, bevor Sie Triumeq PD geben müssen

  • Geben Sie Triumeq PD genau so, wie Ihr Gesundheitsdienstleister Ihnen sagt.
  • Jedes Mal, wenn Sie das Rezept Ihres Kindes erhalten, überprüfen Sie die Flasche, um sicherzustellen, dass Sie Triumeq PD erhalten haben. Triumeq -Tabletten sind nicht die gleichen wie Triumeq -PD -Tabletten für die orale Suspension und können nicht gegenseitig ersetzt werden. Wenden Sie sich an Ihren Apotheker oder Gesundheitsdienstleister, wenn Sie nicht das richtige Dosierungsformular erhalten haben.
  • Nicht Kauen Sie die Tabletten für die orale Federung.
  • Wenn Sie vergessen, eine Dosis Triumeq PD zu geben, geben Sie sie sobald Sie sich erinnern. Geben Sie keine 2 Dosen gleichzeitig an oder geben Sie mehr als Ihr Gesundheitsdienstleister verschrieben.
  • Wenn Ihr Kind nicht die vollständige Dosis anruft oder nicht, rufen Sie Ihren Gesundheitsdienstleister an.
  • Wenn Sie zu viel Triumeq PD geben, erhalten Sie sofort medizinische Notfallhilfe.
  • Weitere Informationen zu Triumeq PD finden Sie im Medikamentenhandbuch.

Ihr Paket enthält:

  • Eine Flasche mit 90 Triumeq -PD -Tabletten zur oralen Federung
  • Dosierbecher

Versorgung nicht im Paket enthalten

  • Orale Spritze (optional)

Wenn Ihr Kind den mitgelieferten Dosierbecher nicht verwenden kann Möglicherweise benötigen Sie eine mündliche Spritze die Medizin geben. Sprechen Sie mit Ihrem Gesundheitsdienstleister, um Ratschläge zur Größe der oralen Spritze zu erhalten, die Sie verwenden sollten, um Triumeq PD zu geben.

Sie brauchen auch:

  • Reinigen Trinkwasser.

Vorbereitung auf Triumeq PD

Schritt 1. Wasser gießen

  • Gießen Sie sauberes Trinkwasser in die Tasse. Die Wasservolumenführung in Abbildung A zeigt die für die vorgeschriebene Dosis benötigte Wassermenge siehe Abbildung A.

Verwenden Sie nur Trinkwasser.

Nicht Verwenden Sie andere Getränke oder Lebensmittel, um die Dosis zuzubereiten.

Triumeq PD tablets for oral suspension must be dispersed in drinking water before you give them to Dein Kind.

Abbildung a

Schritt 2. Bereiten Sie das Medikament vor

  • Fügen Sie die vorgeschriebene Anzahl von Tabletten zum Wasser hinzu. Siehe Abbildung B.
  • Die Tasse 1 bis 2 Minuten lang vorsichtig drehen, um die Tabletten zu zerstreuen. Das Medikament wird bewölkt. Achten Sie darauf, die Medizin nicht zu verschütten. Siehe Abbildung C.
  • Überprüfen Sie, ob das Medikament fertig ist. Wenn es einen Tafelklumpen gibt, wirbeln Sie die Tasse, bis sie weg sind.

Abbildung B und Abbildung c

Wenn Sie Medikamente verschütten, beseitigen Sie die Verschüttung.

Werfen Sie den Rest der vorbereiteten Medizin weg und machen Sie eine neue Dosis.

Sie müssen innerhalb von 30 Minuten nach der Vorbereitung der Dosis die Dosis Medizin geben. Wenn es mehr als 30 Minuten herrschte, waschen Sie die gesamte Dosis im Tasse mit Wasser weg und bereiten Sie eine neue Dosis Medizin vor.

Triumeq PD geben

Schritt 3. Geben Sie das Medikament

  • Stellen Sie sicher, dass das Kind aufrecht ist. Geben Sie dem Kind alle vorbereiteten Medikamente. Siehe Abbildung D.
  • Fügen Sie dem Tassenwirbel weitere 15 ml oder weniger Trinkwasser hinzu und geben Sie dem Kind alles.
  • Wiederholen Sie sich, wenn ein Medikament in der Tasse bleibt, um sicherzustellen, dass das Kind die volle Dosis erhält.

Abbildung d

  • Legen Sie die Spitze der oralen Spritze in die vorbereitete Medizin und ziehen Sie alle Medikamente in die Mundspritze, indem Sie am Kolben hochziehen. Siehe Abbildung E.
  • Legen Sie die Spitze der oralen Spritze gegen die Innenseite der Wange des Kindes. Schieben Sie den Kolben vorsichtig nach unten, um die Dosis langsam zu geben. Siehe Abbildung F.
  • Fügen Sie der Tasse weitere 15 ml oder weniger Trinkwasser hinzu und wirbeln Sie. Zeichnen Sie die verbleibende Medizin in die mündliche Spritze und geben Sie dem Kind alles.
  • Wiederholen Sie, ob eine Medizin in der mündlichen Spritze bleibt, um sicherzustellen, dass das Kind die volle Dosis erhält.

Nehmen Sie sich Zeit, damit das Medikament geschluckt wird.

Abbildung E und Abbildung f

Reinigen der Dosierartikel

Schritt 4. Reinigen Sie die Dosierartikel, mit denen Sie Triumeq PD gegeben haben

  • Waschen Sie alle Dosierungsgegenstände mit Wasser. Siehe Abbildung G und Abbildung H.
  • Wenn und orale Spritze verwenden und den Kolben aus den Spritzenteilen getrennt in Wasser herausziehen. Lassen Sie die Teile vollständig trocknen, bevor Sie wieder zusammenbauen und aufbewahren. Siehe Abbildung H.
  • Alle Teile müssen vor der Vorbereitung der nächsten Dosis sauber sein.

Abbildung G und Abbildung h

Speichern von Triumeq PD

  • Lagern Sie Triumeq -PD -Tabletten zur oralen Suspension bei Raumtemperatur zwischen 68 ° F und 77 ° F (20 ° C bis 25 ° C) in der ursprünglichen Flasche. Halten Sie die Flasche fest und schützen Sie vor Feuchtigkeit.
  • Die Triumeq -PD -Flasche enthält ein Trockenmittelpaket, um Ihr Medikament trocken zu halten (schützen Sie sie vor Feuchtigkeit). Entfernen Sie das Trockenmittelpaket nicht aus der Flasche.

Halten Sie Triumeq PD und alle Medikamente außerhalb der Reichweite von Kindern.

Entsorgung von Triumeq PD

Wenn alle Tabletten in der Flasche genommen wurden oder nicht mehr benötigt werden, werfen Sie die Flaschenbecher und die Mundspritze mehr weg. Entsorgen Sie sie mit Ihren örtlichen Richtlinien für Hausmüll. Sie erhalten eine neue Tasse in Ihrem nächsten Rudel.

WARNUNG CARD

Triumeq
(Abacavir Dolutegravir und Lamivudin) Tabletten

Patienten, die Triumeq einnehmen, können eine schwerwiegende allergische Reaktion (Überempfindlichkeitsreaktion) haben, die zum Tod führen kann. Wenn Sie ein Symptom von 2 oder mehr der folgenden Gruppen erhalten, während Sie Triumeq nehmen, rufen Sie Ihren Gesundheitsdienstleister sofort an, um herauszufinden, ob Sie die Einnahme dieses Arzneimittels aufhören sollten.

Symptome (en)
Gruppe 1 Fieber
Gruppe 2 Ausschlag
Gruppe 3 Übelkeit erbrechen Durchfall oder Bauchschmerzen (Magenbereich)
Gruppe 4 Allgemeinly ill feeling Extreme Müdigkeit or achiness
Gruppe 5 Kurzatmigkeit Husten oder Halsschmerzen

Tragen Sie diese Warnkarte immer mit sich, um die Symptome dieser allergischen Reaktion zu erkennen.

(Rückseite der Karte)

WARNUNG CARD

Triumeq (Abacavir Dolutegravir und Lamivudin) Tabletten

Wenn Sie die Behandlung mit Triumeq einstellen müssen, weil Sie eine allergische Reaktion auf Abacavir NIEMALS Triumeq oder andere Abacavir-haltige Medikamente (Ziagen Epzicom Triumeq PD oder Trizivir) einnehmen müssen. Wenn Sie eine allergische Reaktion haben, entsorgen Sie nicht verwendete Triumeq. Fragen Sie Ihren Apotheker, wie Sie Medikamente ordnungsgemäß entsorgen können. Wenn Sie Triumeq oder eine andere Abacavir-haltige Medizin erneut einnehmen, nachdem Sie innerhalb von Stunden eine allergische Reaktion erhalten haben, können Sie lebensbedrohliche Symptome erhalten, die möglicherweise sehr niedrigem Blutdruck oder Tod beinhalten.

Bitte lesen Sie den Medikamentenhandbuch für weitere Informationen zu Triumeq.

Diese Verwendung wurden von der US -amerikanischen Food and Drug Administration genehmigt.