Die Informationen Auf Dieser Website Stellen Keine Medizinische Beratung Dar. Wir Verkaufen Nichts. Die Richtigkeit Der Übersetzung Wird Nicht Garantiert. Haftungsausschluss
Antihistaminika, Ophthalmic
Zaditor
Drogenzusammenfassung
Was ist Zaditor?
Zaditor (Ketotifen -Fumarat) Ophthalmische Lösung ist ein Antihistaminer, das zur Behandlung der durch Allergie gegen Staubpollentiere oder andere Allergene verursachten Augen verwendet wird. Zaditor ist in erhältlich generisches bilden.
Was sind Nebenwirkungen von Zaditor?
Zu den häufigen Nebenwirkungen von Zaditor gehören:
- Brennen/Stechen/Reizungen des Auges
- Auge Trockenheit
- Kopfschmerzen
- Stickige/ laufende Nase
- schlechter Geschmack in deinem Mund und
- Erhöhte Empfindlichkeit gegenüber Licht.
Sagen Sie Ihrem Arzt, ob Sie unwahrscheinlich, aber ernsthafte Nebenwirkungen von Zaditor haben, einschließlich:
macht Plan B dich müde müde
- Augenschmerzen
- erhöhte Rötung oder Schwellung des Auges oder
- Sehprobleme.
Suchen Sie medizinische Versorgung oder rufen Sie auf einmal 911 an, wenn Sie die folgenden schwerwiegenden Nebenwirkungen haben:
- Schwerwiegende Augensymptome wie plötzlicher Sehverlust verschwommenes Sehen Tunnel Sehschmerzen oder Schwellungen oder Halos in der Umgebung des Lichts;
- Schwerwiegende Herzsymptome wie schnelle unregelmäßige oder pochende Herzschläge; Flattern in deiner Brust; Kurzatmigkeit; und plötzliche Schwindel -Unbeschwertheit oder ohnmächtig;
- Starke Kopfschmerzen Verwirrung verwirrt Spracharm oder Bein Schwäche Schwierigkeiten beim Verlust der Koordination unstabil sehr steifes Muskeln hoher Fieber problemlos Schwitzen oder Zittern.
Dieses Dokument enthält nicht alle möglichen Nebenwirkungen und andere können auftreten. Wenden Sie sich an Ihren Arzt nach zusätzlichen Informationen zu Nebenwirkungen.
Dosierung für Zaditor
Die Dosis von Zaditor für Erwachsene und Kinder ab 3 Jahren und älter: 1 täglich zwei zweimal täglich alle 8-12 Stunden nicht mehr als zweimal pro Tag.
Welche Drogensubstanzen oder Nahrungsergänzungsmittel interagieren mit Zaditor?
Andere Medikamente können mit Zaditor Ophthalmic interagieren. Erzählen Sie Ihrem Arzt von all den von Ihnen verwendeten verschreibungspflichtigen und rezeptfreien Medikamenten und Nahrungsergänzungsmitteln.
Zaditor During Schwangerschaft Und Breastfeeding
Während der Schwangerschaft sollte Zaditor nur bei Verschreibungen verwendet werden. Es ist nicht bekannt, ob dieses Medikament in die Muttermilch übergeht. Wenden Sie sich vor dem Stillen an Ihren Arzt.
Weitere Informationen
Unser Zaditor (Ketotifen Fumarat) Ophthalmic Lösung Nebenwirkungen Arzneimittelzentrum bietet eine umfassende Übersicht über verfügbare Arzneimittelinformationen über die potenziellen Nebenwirkungen bei der Einnahme dieses Medikaments.
FDA -Drogeninformationen
- Drogenbeschreibung
- Indikationen
- Nebenwirkungen
- Warnungen
- Überdosis
- Klinische Pharmakologie
- Medikamentenhandbuch
Jetzt im Freien erhältlich (OTC); Kein Rezept benötigt.
Beschreibung für Zaditor
Zaditor® (ketotifen fumarate) is an antihistamine eye drop to relieve itchy eyes due to allergens.
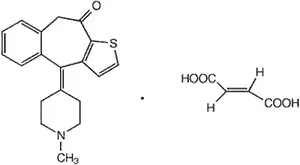
Zaditor® (Ketotifen Fumarat) ist eine sterile ophthalmische Lösung, die Ketotifen zur topischen Verabreichung an den Augen enthält. Ketotifen Fumarat ist ein fein kristallines Pulver mit einer empirischen Formel von C 23 H 23 NEIN 5 S und ein Molekulargewicht von 425,50.
|
Etablierter Name: Ketotifen -Fumarat -Ophthalmie -Lösung
Chemischer Name: 4- (1-Methyl-4-Piperidyliden) -4 H -Benzo [45] Cyclohepta [12- b ] Thiophen-10 (9 H )-Einer Wasserstofffumarat
Jede Ml von Zaditor (Ketotifen Fumarat)
Aktiv: 0,345 mg Ketotifen Fumarat entsprechen 0,25 mg Ketotifen.
Inaktiv: Glycerin -Natriumhydroxid/Salzsäure (pH -pH) und gereinigtes Wasser.
Konservierungsmittel: Benzalkoniumchlorid 0,01%. Es hat einen pH-Wert von 4,4 bis 5,8 und eine Osmolalität von 210-300 MOSM/kg.
Verwendung für Zaditor
Zaditor® (Ketotifen -Fumarat -Ophthalmic -Lösung) ist für die vorübergehende Vorbeugung des Juckens des Auges aufgrund einer allergischen Bindehautentzündung angezeigt.
Dosierung für Zaditor
Erwachsene und Kinder 3 Jahre und älter: Legen Sie den betroffenen Auge (en) zweimal täglich alle 8-12 Stunden nicht mehr als zweimal pro Tag.
Kinder unter 3 Jahren: Konsultieren Sie einen Arzt.
Wie geliefert
Zaditor (Ketotifen Fumarat) erhält in einer 5-ml-Flasche, die eine 30-tägige Versorgung enthält, wenn sie wie angegeben dosiert.
Lagerung
Lagern Sie bei 4 °- 25 ° C (39 °- 77 ° F).
Novartis Pharmaceuticals Corporation
Ein Gesundheitsplatz
East Hannover New Jersey 07936-1080
So verwenden Sie Nasacort Nasenspray
Nebenwirkungen für Zaditor
In kontrollierten klinischen Studien wurden konjunktive Injektionskopfschmerzen und Rhinitis bei einer Inzidenz von 10 bis 25%berichtet. Das Auftreten dieser Nebenwirkungen war im Allgemeinen mild. Einige dieser Ereignisse ähnelten der zugrunde liegenden Augenerkrankung, die untersucht wurde.
Die folgenden Augen- und Nicht-Ocular-Nebenwirkungen wurden bei einer Inzidenz von weniger als 5%gemeldet:
Okular: Allergische Reaktionen Brennen oder Stechen konjunktivitis trockene Augen Augenschmerzen Augenlid -Störung Juckreiz Keratitis Trauerstörung Mydrias Photophobie und Ausschlag.
Nicht-Ocular: Grippyndrom -Pharyngitis.
Wechselwirkungen mit Arzneimitteln für Zaditor
Keine Informationen zur Verfügung gestellt.
Warnungen für Zaditor
Nur für den topischen ophthalmischen Gebrauch. Nicht für Injektion oder mündliche Verwendung.
Vorsichtsmaßnahmen für Zaditor
Sehen Patienteninformationen Abschnitt.
Karzinogenese -Mutagenese -Beeinträchtigung der Fruchtbarkeit
Ketotifen Fumarat wurde als nicht-mutagener in einer Batterie von festgestellt in vitro Und vergeblich Mutagenitätstests, einschließlich: Ames -Test in vitro Chromosomenaberrationstest mit V79 -chinesischen Hamsterzellen vergeblich Mikronukleus -Assay bei Maus und Maus dominant tödlicher Test.
Behandlung männlicher Ratten mit oralen Ketotifendosen ³ 10 mg/kg/Tag oral [6667 -mal die maximal empfohlene menschliche Augendosis von 0,0015 mg/kg/Tag auf mg/kg -Basis (MRHOD)] für 70 Tage vor der Paarung führte zu einer Mortalität und einer Verringerung der Fruchtbarkeit. Die Behandlung mit Ketotifen beeinträchtigte die Fertilität bei weiblichen Ratten, die 15 Tage vor der Paarung bis zu 50 mg/kg/Tag Ketotifen (33333 -mal) erhielten.
Beste Unterkunft in Austin, Texas
Schwangerschaft
Schwangerschaft Category C
Die orale Behandlung schwangerer Kaninchen während der Organogenese mit 45 mg/kg/Tag Ketotifen (30000 -fache des MRHOD) führte zu einer erhöhten Inzidenz einer verzögerten Ossifikation der Sternebrae. Bei Kaninchen wurden jedoch keine Effekte beobachtet, die mit bis zu 15 mg/kg/Tag (10000 -mal der MRHOD) behandelt wurden. Eine ähnliche Behandlung von Ratten während der Organogenese mit 100 mg/kg/Tag Ketotifen (66667 -mal der MRHOD) ergab keine biologisch relevanten Effekte.
Die orale Behandlung schwangerer Ratten (bis zu 100 mg/kg/Tag oder 66667 Mal der MRHOD) und Kaninchen (bis zu 45 mg/kg/Tag oder 30000 -fache der MRHOD) während der Organogenese führte nicht zu einer biologisch relevanten Embryofetal -Toxizität. In den Nachkommen der Ratten, die von Tag 15 der Schwangerschaft bis zum 21. Tag nach einer Ketotifen mit 50 mg/kg/Tag (33333 -mal der MRHOD) oral eingestuft wurden, wurde ein maternal toxisches Behandlungsprotokoll der postnatalen Sterblichkeit leicht erhöht und das Körpergewicht in den ersten vier Tagen nach dem Teil nach dem Teil wurde leicht verringert.
Pflegemütter
Ketotifen -Fumarat wurde bei der Muttermilch bei Ratten nach oraler Verabreichung identifiziert. Es ist nicht bekannt, ob die topische Augenverabreichung zu einer ausreichenden systemischen Absorption führen könnte, um nachweisbare Mengen in der Muttermilch zu erzeugen. Trotzdem ist Vorsicht geboten, wenn Ketotifen -Fumarat an eine stillende Mutter verabreicht wird.
Pädiatrische Verwendung
Sicherheit und Wirksamkeit bei pädiatrischen Patienten unter 3 Jahren wurden nicht festgestellt.
Überdosierungsinformationen für Zaditor
Die orale Einnahme des Inhalts einer 5 -ml -Flasche wäre äquivalent zu 1,725 mg Ketotifen -Fumarat. Klinische Ergebnisse haben nach der Einnahme von bis zu 20 mg Ketotifen -Fumarat keine schwerwiegenden Anzeichen oder Symptome gezeigt.
Kontraindikationen für Zaditor
Zaditor® (Ketotifen Fumarat) ist bei Personen mit einer bekannten Überempfindlichkeit gegenüber allen Komponenten dieses Produkts kontraindiziert.
Klinische Pharmakologie for Zaditor
Ketotifen ist ein relativ selektiver, nicht wettbewerbsfähiger Histamin-Antagonist (H1-Rezeptor) und Mastzellstabilisator. Ketotifen hemmt die Freisetzung von Mediatoren aus Zellen, die an Überempfindlichkeitsreaktionen beteiligt sind. Eine verminderte Chemotaxis und Aktivierung von Eosinophilen wurde ebenfalls nachgewiesen.
Es wurde gezeigt, dass Ketotifen nach der topischen Augenverwaltung eine geringe systemische Exposition aufweist. Eine Studie mit 15 gesunden Freiwilligen dosierte bilateral mit Ketotifen -Fumarat -Ophthalmic -Lösung zweimal täglich 14 Tage lang die Plasmakonzentrationen im Allgemeinen unterhalb der Quantifizierungsgrenze des Assays (Assay ( <20 pg/mL).
In menschlichen Bindehautallergen -Challenge -Studien zaditor® (Ketotifen -Fumarat) war bei der Verhinderung des mit allergischen Konjunktivitis im Zusammenhang mit allergischen Bindehautentzündung signifikant wirksameren als Placebo. Die Wirkung von Ketotifen erfolgt schnell, wobei ein Effekt innerhalb von Minuten nach der Verabreichung beobachtet wird.
Wie lange können Sie Nashorn nehmen?
Patienteninformationen für Zaditor
Was ist Zaditor?
Zaditor (ketotifen fumarate ophthalmic solution 0.025%) is an over-the-counter (OTC) antihistamine eye drop that relieves itchy eyes due to allergens. It's the first OTC eye drop strong enough to last up to 12 hours with just one drop. Previously available only with a prescription Zaditor (ketotifen fumarate) is now available OTC in original prescription strength.
Was ist der Unterschied zwischen Zaditor (Ketotifen Fumarat) und führender OTC -Antihistaminikum -Augentropfen?
Mit Zaditor (Ketotifen Fumarat) können Sie eine schnell effektive Erleichterung mit nur einem Tropfen erwarten, der bis zu 12 Stunden dauert, während die führenden OTC-Augentropfen nur bis zu 4-6 Stunden entlasten. Einige OTC -Juckreizprodukte enthalten auch Rötungsreliever (Vasoconstrictors), die durch wiederholte Verwendung tatsächlich dazu führen können, dass Ihre Augen nach der Auswirkung des Vasokonstriktors noch röten werden. Dies wird als Rebound -Effekt bezeichnet. Zaditor (Ketotifen Fumarat) arbeitet anders als diese Art von Produkten. Es stoppt den Juckreiz an der Quelle, indem es auch Histamine blockiert (eine Chemikalie, die vom Körper während einer allergischen Reaktion hergestellt wird), die juckende Augen verursacht, aber die Blutgefäße nicht direkt schränkt. Mit Zaditor (Ketotifen Fumarat) müssen Sie sich aufgrund des Rückpralleffekts keine Sorgen machen, Ihre Symptome zu verschlimmern.
Warum haben Novartis Ophthalmics für die FDA angewendet, um den Zaditor (Ketotifen Fumarat) von Rezept zu OTC zu wechseln?
Seit seiner Einführung in den USA im Jahr 1999 wurde Zaditor (Ketotifen Fumarat) von Millionen für die vorübergehende Vorbeugung von juckenden Augen aufgrund allergischer Konjunktivitis sicher eingesetzt. Durch die Herstellung von Zaditor (Ketotifen Fumarat) können otc-juckende Augenbilder ohne Rezept eine schnell anhaltende Erleichterung von juckenden Augen erleben.
Ist OTC Zaditor (Ketotifen Fumarat) die gleiche Stärke wie die ursprüngliche verschreibungspflichtige Zaditor (Ketotifen Fumarat)?
Ja. Sie können jetzt ohne Rezept von demselben Zaditor der verschreibungspflichtigen Zaditor (Ketotifen Fumarat) profitieren.
Wie sicher ist Zaditor (Ketotifen Fumarat)?
Die FDA hat festgestellt, dass Zaditor (Ketotifen-Fumarat) für die OTC-Verwendung sicher ist, basierend auf der langfristigen Verwendung des Arzneimittels sowie der kontrollierten klinischen Studien, die die ursprüngliche Formel für verschreibungspflichtige Stärke stützten.
Ist Zaditor (Ketotifen Fumarat) für Kinder sicher?
Ja. Zaditor (Ketotifen Fumarat) ist für Kinder im Alter von 3 Jahren sicher.
Kann Zaditor (Ketotifen Fumarat) in beiden Augen verwendet werden?
Zaditor (ketotifen fumarate) should only be applied to the eye or eyes that are affected.
Cipro 500 mg zweimal täglich
Wie wird Zaditor (Ketotifen Fumarat) verabreicht?
Die empfohlene Dosis ist zweimal täglich ein Abfall des betroffenen Auges.
Kann Zaditor (Ketotifen Fumarat) mit Kontaktlinsen verwendet werden?
Ja. Die Kontaktlinsen sollten jedoch vor der Anwendung von Zaditor (Ketotifen -Fumarat) entfernt und mindestens 10 Minuten nach dem Antrag nicht wieder eingeliefert werden.
Behandelt Zaditor (Ketotifen Fumarat) saisonale allergische Konjunktivitis?
Zaditor (ketotifen fumarate) relieves itchy eyes caused by seasonal allergic conjunctivitis.
Behandelt Zaditor (Ketotifen Fumarat) mehrjährige allergische Konjunktivitis?
Zaditor (ketotifen fumarate) relieves itchy eyes caused by perennial allergic conjunctivitis.
Behandelt Zaditor (Ketotifen Fumarat) Pink Eye?
Zaditor (ketotifen fumarate) relieves the symptoms of allergic conjunctivitis which is a type of pink eye. Other causes of pink eye include infectious (viral bacterial Und fungal) inflammatory (rheumatoid arthritis systemic lupus erythematosus etc) Und toxic (chemical Und other irritants). Always consult your health-care professional for proper diagnosis Und treatment.
Wie viel kostet Zaditor (Ketotifen Fumarat)?
Der vorgeschlagene Verkaufspreis für eine 30-tägige Lieferung beträgt 14,99 USD.
Ist Zaditor (Ketotifen Fumarat) durch Versicherung gedeckt?
Typischerweise werden OTC -Medikamente nicht durch die Krankenversicherung abgedeckt.
Was sind einige der Ursachen für juckende Augen?
Juckreizende Augen können durch saisonale oder mehrjährige Allergene wie Pollen -Ragweed -Schimmelpilzstaubstaub und Haustier -Dander verursacht werden. Eine Verschlechterung oder Verlängerung der Symptome sollte von einem medizinischen Fachmann beobachtet werden.
Wann und wo wird Zaditor (Ketotifen Fumarat) OTC verfügbar sein?
Zaditor (ketotifen fumarate) has been available OTC in retail stores since January 2007.
Was ist der Konservierungsmittel in Zaditor (Ketotifen Fumarat)?
Das Konservierungsmittel in Zaditor (Ketotifen Fumarat) ist Benzalkoniumchlorid.
Wie soll Zaditor (Ketotifen Fumarat) gespeichert werden?
Zaditor (ketotifen fumarate) should be stored at temperatures between 39° Und 77° F.
Welche Größe hat der Zaditor (Ketotifen Fumarat) Flasche?
Zaditor (ketotifen fumarate) comes in a 5 ml bottle that contains a 30-day supply if dosed as directed.