Die Informationen Auf Dieser Website Stellen Keine Medizinische Beratung Dar. Wir Verkaufen Nichts. Die Richtigkeit Der Übersetzung Wird Nicht Garantiert. Haftungsausschluss
Medikamente
Effizient
Drogenzusammenfassung
Was ist effizient?
Effient (Prasugrel) ist ein Thrombozytengesellschaften, das verhindert Blutgerinnsel Wird verwendet, um Blutgerinnsel bei Menschen mit akutem Koronarsyndrom zu verhindern, die sich nach einem kürzlichen Herzinfarkt oder Schlaganfall und bei Menschen mit bestimmten Erkrankungen des Herzens oder der Blutgefäße ein Eingriff durchführen.
Was sind Nebenwirkungen von Effient?
Nebenwirkungen von Effient sind:
- Eine erhöhte Tendenz zur Blutung
- Kopfschmerzen
- Schwindel
- Rückenschmerzen
- Kleinere Brustschmerzen
- müde Gefühl
- Ermüdung
- Brechreiz
- Husten
- hoher oder niedriger Blutdruck (Bluthochdruck oder Hypotonie)
- Kurzatmigkeit
- langsame Herzfrequenz
- Ausschlag
- Fieber
- Schwellung oder Schmerzen in den Extremitäten und
- Durchfall.
Suchen Sie medizinische Versorgung oder rufen Sie auf einmal 911 an, wenn Sie die folgenden schwerwiegenden Nebenwirkungen haben:
- Schwerwiegende Augensymptome wie plötzlicher Sehverlust verschwommenes Sehen Tunnel Sehschmerzen oder Schwellungen oder Halos in der Umgebung des Lichts;
- Schwerwiegende Herzsymptome wie schnelle unregelmäßige oder pochende Herzschläge; Flattern in deiner Brust; Kurzatmigkeit; und plötzliche Schwindel -Benommenheit oder ohnmächtig;
- Starke Kopfschmerzen Verwirrung verwirrt Spracharm oder Bein Schwäche Schwierigkeiten beim Verlust der Koordination unstabil sehr steifes Muskeln hoher Fieber problemlos Schwitzen oder Zittern.
Dieses Dokument enthält nicht alle möglichen Nebenwirkungen und andere können auftreten. Wenden Sie sich an Ihren Arzt nach zusätzlichen Informationen zu Nebenwirkungen.
Dosierung für effient
Die effiziente Behandlung wird als einzelne 60 mg orale Belastungsdosis begonnen und dann einmal täglich mit 10 mg oral fortgesetzt. Patienten, die effizient einnehmen, sollten ebenfalls einnehmen Aspirin (75 mg bis 325 mg) täglich.
Welche Medikamentensubstanzen oder Nahrungsergänzungsmittel interagieren mit Effient?
Effient kann mit NSAIDs (nichtsteroidalen entzündungshemmenden Medikamenten) oder Warfarin interagieren. Sagen Sie Ihrem Arzt alle Medikamente und Nahrungsergänzungsmittel, die Sie verwenden.
Effzeugt während der Schwangerschaft und des Stillens
Es gibt keine angemessenen und gut kontrollierten Studien zur effizienten Anwendung bei schwangeren Frauen, obwohl Studien an Tieren keine Hinweise auf den sich entwickelnden Fötus zeigten. Effient sollte während der Schwangerschaft nur dann verwendet werden, wenn der potenzielle Nutzen für die Mutter das potenzielle Risiko für den Fötus rechtfertigt. Es ist nicht bekannt, ob Prasugrel in der Muttermilch ausgeschieden ist.
Weitere Informationen
Unsere effiziente Nebenwirkungen Arzneimittelzentrum bietet einen umfassenden Überblick über die verfügbaren Arzneimittelinformationen über die potenziellen Nebenwirkungen bei der Einnahme dieses Medikaments.
FDA -Drogeninformationen
- Drogenbeschreibung
- Indikationen
- Nebenwirkungen
- Wechselwirkungen mit Arzneimitteln
- Warnungen
- Überdosis
- Klinische Pharmakologie
- Medikamentenhandbuch
WARNUNG
Blutungsrisiko
- Effient kann signifikante manchmal tödliche Blutungen verursachen [siehe Warnungen und Vorsichtsmaßnahmen und Nebenwirkungen].
- Verwenden Sie bei Patienten mit aktiven pathologischen Blutungen oder einer Vorgeschichte von vorübergehender ischämischer Angriff oder Schlaganfall nicht effient [siehe Kontraindikationen].
- Bei Patienten wird Effient ≥ 75 Jahre im Allgemeinen nicht empfohlen, da das Risiko für tödliche und intrakranielle Blutungen und unsicherer Nutzen außer in Situationen mit hohem Risiko (Patienten mit Diabetes oder Vorgeschichte früherer MI), bei denen sein Effekt größer ist und seine Verwendung in bestimmten Bevölkerungsgruppen zu sein scheint, berücksichtigt werden kann [siehe in bestimmten Bevölkerungsgruppen].
- Beginnen Sie bei Patienten, die wahrscheinlich eine dringende Bypass -Transplantatoperation der Koronararterien (CABG) durchlaufen, nicht effizient. Wenn möglich, mindestens 7 Tage vor jeder Operation effientieren [siehe Warnungen und Vorsichtsmaßnahmen].
- Zusätzliche Risikofaktoren für Blutungen sind: Körpergewicht <60 kg; propensity to bleed; concomitant use of medications that increase the risk of bleeding (e.g. warfarin heparin fibrinolytic therapy chronic use of non-steroidal anti-inflammatory drugs [NSAIDs]) [see WARNUNGS AND VORSICHTSMASSNAHMEN].
- Verdächtige Blutungen bei jedem Patienten, der blutgreifend ist und kürzlich eine koronare Angiographie perkutaner Koronarintervention (PCI) oder andere chirurgische Eingriffe bei der Einstellung von Effient (siehe Warnungen und Vorsichtsmaßnahmen] unterzogen hat.
- Wenn möglich, Blutungen ohne Absetzen von Effient zu bewältigen. Das Absetzen von Effient insbesondere in den ersten Wochen nach dem akuten Koronarsyndrom erhöht das Risiko für nachfolgende kardiovaskuläre Ereignisse [siehe Warnungen und Vorsichtsmaßnahmen].
Beschreibung für effient
Effient contains prasugrel a thienopyridine class inhibitor of platelet activation and aggregation mediated by the P2Y 12 ADP -Rezeptor. Effient wird als Hydrochloridsalz formuliert, ein Racemat, das chemisch als 5-[(1RS) -2-Cyclopropyl-1- (2-Fluorphenyl) -2-oxethyl] -4567-Tetrahydridieno [32-c] Pyridin-2-Acetatathydrochlorid-Hydrochlorid [32-c] -Pyridin-2-yl-Acetatathydrochlorid bezeichnet wird. Prasugrel Hydrochlorid hat die empirische Formel C. 20 H 20 Fno 3 S • HCl, das ein Molekulargewicht von 409,90 darstellt. Die chemische Struktur von Prasugrel -Hydrochlorid lautet:
|
Prasugrel -Hydrochlorid ist ein weißes bis praktisch weißer Feststoff. Es ist bei pH 2 bei pH 3 bis 4 löslich und bei pH 6 bis 7,5 praktisch unlöslich. Es löst sich auch in Methanol frei und ist in 1- und 2-Propanol und Aceton leicht löslich. Es ist praktisch unlöslich in Diethylether und Ethylacetat.
Effient ist für die orale Verabreichung als 5-mg- oder 10-mg-längliche hexagonale filmbeschichtete, nicht bewertete Tabletten auf jeder Seite erhältlich. Jedes gelbe 5-mg-Tablet wird mit 5,49 mg Prasugrel-Hydrochlorid-äquivalent zu 5-mg-Prasugrel und jedem beige 10-mg-Tablet mit 10,98 mg Prasugrel-Hydrochlorid-Hydrochlorid-Tablette hergestellt.
Andere Inhaltsstoffe sind Mannitol-Hypromellose mit niedrig substituiertem Hydroxypropylcellulose-mikrokristallinem Cellulose-Saccharose-Stearat und Glyceryl-Behenat. Die Farbbeschichtungen enthalten Lactose-Hypromellose-Titan-Dioxid-Triacetin-Eisenoxidgelb und Eisenoxidrot (nur in effizienter 10-mg-Tablette).
Verwendet für Effient
Akutes Koronarsyndrom
Effient ® ist angezeigt, um die Geschwindigkeit von thrombotischen Lebenslaufereignissen (einschließlich Stent -Thrombose) bei Patienten mit akutem Koronarsyndrom (ACS) zu verringern, die mit perkutaner Koronarintervention (PCI) wie folgt behandelt werden sollen:
Patienten mit instabiler Angina (UA) oder Nicht-ST-Elevation-Myokardinfarkt (NSTEMI).
Patienten mit ST-Elevation-Myokardinfarkt (STEMI), wenn sie mit primären oder verzögerten PCI behandelt werden.
Es wurde gezeigt, dass Effient die Rate eines kombinierten Endpunkts des nicht tödlichen Myokardinfarkts (MI) oder des nicht tödlichen Schlaganfalls im Vergleich zu Clopidogrel verringert. Der Unterschied zwischen den Behandlungen wurde vorwiegend von MI ohne Unterschied zu Schlaganfällen und geringem Unterschied zum CV -Tod angetrieben [siehe Klinische Studien ].
Dosierung für effient
Initiieren Sie eine effiziente Behandlung als einzelne 60 mg orale Belastungsdosis und fahren Sie dann einmal täglich mit 10 mg oral fort. Patienten, die effizient einnehmen, sollten auch täglich Aspirin (75 mg bis 325 mg) einnehmen [siehe Wechselwirkungen mit Arzneimitteln Und Klinische Pharmakologie ]. Effient kann mit oder ohne Nahrung verabreicht werden [siehe Klinische Pharmakologie Und Klinische Studien ].
Timing der Ladedosis
In der klinischen Studie, in der die Wirksamkeit und Sicherheit von Effient festgestellt wurde, wurde die Lastdosis von Effient erst verabreicht, wenn bei UA/NSTEMI -Patienten und bei Stemi -Patienten, die mehr als 12 Stunden nach Beginn von Symptomen aufwiesen, eine Koronaranatomie festgelegt wurde. Bei Stemi -Patienten, die innerhalb von 12 Stunden nach Beginn des Symptoms auftreten Klinische Studien ]. For the small fraction of patients that required urgent CABG after treatment with Effizient the risk of significant bleeding was substantial. Although it is generally recommended that antiplatelet therapy be administered promptly in the management of ACS because many cardiovascular events occur within hours of initial presentation in a trial of 4033 NStemi patients no clear benefit was observed when Effizient loading dose was administered prior to diagnostic coronary angiography compared to at the time of PCI; however risk of bleeding was increased with early administration in patients undergoing PCI or early CABG.
Dosierung bei Patienten mit niedrigem Gewicht
Im Vergleich zu Patienten mit Gewicht von ≥ 60 kg Patienten, die wiegen <60 kg have an increased exposure to the active metabolite of Prasugrel Und an increased risk of bleeding on a 10 mg once daily maintenance dose.
Erwägen Sie bei Patienten die Erhaltungsdosis auf 5 mg <60 kg. The effectiveness Und safety of the 5 mg dose have not been prospectively studied [see WARNUNGS AND VORSICHTSMASSNAHMEN Nebenwirkungen Und Klinische Pharmakologie ].
Wie geliefert
Dosierungsformen und Stärken
Effient 5 mg ist als gelb länglicher hexagonaler filmbeschichteter, nicht bewertetes Tablet mit 5121 auf einer Seite und 3 parallel gewölbten Linien, gefolgt von einer 5 auf der anderen Seite.
Effient 10 mg ist als beige verlängerte hexagonale filmbeschichtete, nicht bewertete Tablet mit 5123 auf einer Seite und 3 parallel gewölbten Linien, gefolgt von einer 10 auf der anderen Seite.
Effizient (Prasugrel) ist in den folgenden Stärken Farben Debossing und Präsentationen als längliche hexagonale filmbeschichtete Tafel-Tabletten erhältlich:
| MERKMALE | Stärken | |
| 5 mg | 10 mg | |
| Tabletfarbe | GELB | BEIGE |
| Tablet -Debossing | 5 | 10 |
| Tablet -Debossing | 5121 | 5123 |
| Präsentationen und NDC -Codes | ||
| Flaschen von 30 | 0713-0881-30 | 0713-0882-30 |
Lagerung und Handhabung
Speichern Sie bei 25 ° C (77 ° F); Exkursionen, die auf 15 ° bis 30 ° C (59 ° bis 86 ° F) zulässig sind [siehe USP -kontrollierte Raumtemperatur ].
Behalten und geben Sie nur in Originalbehälter auf. Halten Sie den Behälter geschlossen und entfernen Sie die Trockenmittel nicht aus der Flasche. Brechen Sie das Tablet nicht.
Vermarktet von Cosette Pharmaceuticals Inc. South Plainfield NJ 07080. Überarbeitet: Februar 2022
Nebenwirkungen for Effizient
Die folgenden schwerwiegenden Nebenwirkungen werden auch an anderer Stelle in der Kennzeichnung erörtert:
- Blutung [siehe WARNUNG BOXED Und WARNUNGS AND VORSICHTSMASSNAHMEN ]
- Thrombotische thrombozytopenische Purpura [siehe WARNUNGS AND VORSICHTSMASSNAHMEN ]
- Überempfindlichkeit einschließlich Angioödem [siehe WARNUNGS AND VORSICHTSMASSNAHMEN ]
Klinische Studien Erfahrung
Die Sicherheit bei Patienten mit ACS wurde in einer Clopidogrel-kontrollierten Studie Triton-Timi 38 bewertet, in der 6741 Patienten mit Effient (60 mg Ladendosis und 10 mg einmal täglich) behandelt wurden, wurden für einen Median von 14,5 Monaten (5802 Patienten für über 6 Monate behandelt; 4136 Patienten wurden mehr als 1 Jahr lang behandelt). Die mit Effient behandelte Bevölkerung betrug 27 bis 96 Jahre alt und zu 92% kaukasisch. Alle Patienten in der Triton-Timi 38-Studie sollten Aspirin erhalten. Die Dosis von Clopidogrel in dieser Studie betrug eine Ladendosis von 300 mg und 75 mg einmal täglich.
Da klinische Studien unter stark unterschiedlichen Bedingungen durchgeführt werden, die in den klinischen Studien eines Arzneimittels beobachtet werden, können nicht direkt mit den in anderen klinischen Studien beobachteten Raten verglichen werden, die die in der Praxis beobachteten Raten nicht widerspiegeln.
Drogenabbruch
Die Rate des Studienmedikamentenabbruchs aufgrund unerwünschter Reaktionen betrug 7,2% für Effient und 6,3% für Clopidogrel. Blutungen waren die häufigste nachteilige Reaktion, die zum Absetzen des Arzneimittels für beide Arzneimittel (NULL,5% für Effient und 1,4% für Clopidogrel) führte.
Ist Clonidin ein Calciumkanalblocker
Blutung
Blutung Unrelated To CABG Surgery
In Triton-Timi waren 38 Gesamtraten von Timi-Major- oder geringfügigen Blutungen, die nicht mit der Bypass-Transplantatoperation der Koronararterien (CABG) in Zusammenhang stehen, signifikant höher als bei Clopidogrel, wie in Tabelle 1 gezeigt.
Tabelle 1: Nicht-CABG-bezogene Blutung * (Triton-Timi 38)
| Effient (%) (N = 6741) | Clopidogrel (%) (N = 6716) | |
| Timi Major oder kleinere Blutungen | 4.5 | 3.4 |
| Timi Major Bluting † | 2.2 | 1.7 |
| Lebensbedrohlich | 1.3 | 0.8 |
| Tödlich | 0.3 | 0.1 |
| Symptomatische intrakranielle Blutung (ICH) | 0.3 | 0.3 |
| Inotrope benötigen | 0.3 | 0.1 |
| Erfordernde chirurgische Interventionen | 0.3 | 0.3 |
| Transfusion erforderlich (≥4 Einheiten) | 0.7 | 0.5 |
| Timi -Minor -Blutungen † | 2.4 | 1.9 |
| Patienten können in mehr als einer Reihe gezählt werden. Siehe 5.1 zur Definition. |
Abbildung 1 zeigt nicht kabbulierte TIMI-Haupt- oder geringfügige Blutungen. Die Blutungsrate ist anfangs am höchsten, wie in Abbildung 1 gezeigt (Einschub: Tage 0 bis 7) [siehe WARNUNGS AND VORSICHTSMASSNAHMEN ].
Blutung By Weight And Alter
In Triton-Timi 38 nicht kabbulierte TIMI-Haupt- oder geringfügige Blutungsraten bei Patienten mit den Risikofaktoren von ≥ 75 Jahren und Gewicht <60 kg are shown in Table 2.
| Major/Moll | TÖDLICH | |||
| Effient * (%) | Clopidogrel † (%) | Effient * (%) | Clopidogrel † (%) | |
| GEWICHT <60 KG (N=308 Effizient N=356 Clopidogrel) | 10.1 | 6.5 | 0.0 | 0.3 |
| Gewicht ≥ 60 kg (n = 6373 effient n = 6299 clopidogrel) | 4.2 | 3.3 | 0.3 | 0.1 |
| Alter <75 years (N=5850 Effizient N=5822 clopidogrel) | 3.8 | 2.9 | 0.2 | 0.1 |
| Alter ≥75 years (N=891 Effizient N=894 clopidogrel) | 9.0 | 6.9 | 1.0 | 0.1 |
| 10 mg Erststandsdosis 75 mg Clopidogrel -Wartungsdosis |
Blutung Related To CABG
In Triton-Timi 38 437 Patienten, die im Verlauf der Studie ein Thienopyridin erhielten. Die Rate der CABG-bezogenen TIMI-Major- oder geringfügigen Blutungen betrug 14,1% für die Effient-Gruppe und 4,5% in der Clopidogrel-Gruppe (siehe Tabelle 3). Das höhere Risiko für blutende Nebenwirkungen bei Patienten, die mit effizientem behandelt wurden, dauerte bis zu 7 Tage nach der jüngsten Dosis von Studienmedikamenten.
Tabelle 3: CABG-bezogene Blutung * (Triton-Timi 38)
| Effient (%) (N = 213) | Clopidogrel (%) (N = 224) | |
| Timi Major oder kleinere Blutungen | 14.1 | 4.5 |
| Timi Major Bluting | 11.3 | 3.6 |
| Tödlich | 0.9 | 0 |
| Reoperation | 3.8 | 0.5 |
| Transfusion von ≥5 Einheiten | 6.6 | 2.2 |
| Intrakranielle Blutung | 0 | 0 |
| Timi -kleinere Blutungen | 2.8 | 0.9 |
| Patienten können in mehr als einer Reihe gezählt werden. |
Blutung Reported As Adverse Reactions
Hämorrhagische Ereignisse, die als unerwünschte Reaktionen bei Triton-Timi 38 berichteten, waren für Effient und Clopidogrel: Epistaxis (NULL,2% 3,3%) gastrointestinale Blutung (NULL,5% 1,0%) Hämoptyse (NULL,6% 0,5%) subkutaner Hämatom (NULL,5%) nach der Prokozedural-Hämoritus (NULL,5%). Blutung (NULL,3% 0,2%) Perikarderguss/Blutung/Tamponade (NULL,3% 0,2%) und Netzhautblutungen (NULL,0% 0,1%).
ist Xanax schlecht für Ihren Körper
Malignitäten
Während Triton-Timi wurden 38 neu diagnostizierte Malignitäten bei 1,6% bzw. 1,2% der mit Prasugrel bzw. Clopidogrel behandelten Patienten gemeldet. Die Standorte, die zu den Unterschieden beitrugen, waren in erster Linie Dickdarm und Lunge. In einer weiteren klinischen Phase -3 -Studie mit ACS -Patienten, die nicht PCI unterzogen wurden, in denen Daten für Malignitäten prospektiv neu diagnostizierte Malignitäten in 1,8% und 1,7% der mit Prasugrel und Clopidogrel behandelten Patienten gesammelt wurden. Der Standort der Malignitäten war zwischen den Behandlungsgruppen mit Ausnahme von Malignitäten im kolorektalen Malignitäten ausgeglichen. Die Raten der kolorektalen malignen Erkrankungen betrugen 0,3% Prasugrel 0,1% Clopidogrel und die meisten wurden während der Untersuchung von GI -Blutungen oder Anämie nachgewiesen. Es ist unklar, ob diese Beobachtungen kausal verwandt sind, das Ergebnis eines erhöhten Nachweiss aufgrund von Blutungen oder zufälligen Vorkommen.
Andere unerwünschte Ereignisse
Bei Triton-Timi waren 38 gemeinsame und andere wichtige nicht hämorrhagische unerwünschte Ereignisse für Effient bzw. Clopidogrel: schwere Thrombozytopenie (NULL,06% 0,04%) Anämie (NULL,2% 2,0%) Abnormale hepatische Funktion (NULL,22% 0,27%) Allergische Reaktionen (NULL,36%).
Tabelle 4 fasst die unerwünschten Ereignisse zusammen, die von mindestens 2,5% der Patienten gemeldet wurden.
Tabelle 4: Nicht-hemorrhagische Behandlung aufstrebende unerwünschte Ereignisse, die von mindestens 2,5% der Patienten in beiden Gruppen gemeldet wurden
| Effient (%) (N = 6741) | Clopidogrel (%) (N = 6716) | |
| HYPERTONIE | 7.5 | 7.1 |
| Hypercholesterinämie/Hyperlipidämie | 7.0 | 7.4 |
| Kopfschmerzen | 5.5 | 5.3 |
| Rückenschmerzen | 5.0 | 4.5 |
| Dyspnoe | 4.9 | 4.5 |
| Brechreiz | 4.6 | 4.3 |
| Schwindel | 4.1 | 4.6 |
| Husten | 3.9 | 4.1 |
| Hypotonie | 3.9 | 3.8 |
| Ermüdung | 3.7 | 4.8 |
| Nicht kardiale Brustschmerzen | 3.1 | 3.5 |
| Vorhofflimmern | 2.9 | 3.1 |
| Bradykardie | 2.9 | 2.4 |
| Leukopenie ( <4 x 10 9 WBC */l) | 2.8 | 3.5 |
| Ausschlag | 2.8 | 2.4 |
| Pyrexie | 2.7 | 2.2 |
| Peripheres Ödem | 2.7 | 3.0 |
| Schmerzen in der Extremität | 2.6 | 2.6 |
| Durchfall | 2.3 | 2.6 |
| WBC = weiße Blutkörperchen |
Nachmarkterfahrung
Die folgenden nachteiligen Reaktionen wurden während der Verwendung von Effient nach der Annahme identifiziert. Da diese Reaktionen freiwillig aus einer Population unsicherer Größe berichtet werden, ist es nicht immer möglich, ihre Häufigkeit zuverlässig abzuschätzen oder ein kausales Verhältnis zur Arzneimittelexposition herzustellen.
Blut- und Lymphsystemstörungen - Thrombozytopenie thrombotische thrombozytopenische Purpura (TTP) [siehe WARNUNGS AND VORSICHTSMASSNAHMEN Und Patientenberatungsinformationen ]
Immunsystemstörungen - Überempfindlichkeitsreaktionen einschließlich Anaphylaxie [siehe Kontraindikationen ]
Wechselwirkungen mit Arzneimitteln for Effizient
Warfarin
Die gleichzeitige Verabreichung von Effient und Warfarin erhöht das Blutungsrisiko [siehe WARNUNGS AND VORSICHTSMASSNAHMEN Und Klinische Pharmakologie ].
Nichtsteroidale entzündungshemmende Medikamente
Die gleichzeitige Verabreichung von Effient und NSAIDs (chronisch verwendet) können das Blutungsrisiko erhöhen [siehe WARNUNGS AND VORSICHTSMASSNAHMEN ].
Opioide
Wie bei anderen oralen P2Y 12 -Inhibitoren verzögern und verringern Sie die Absorption des aktiven Metaboliten von Prasugrel, vermutlich aufgrund einer verlangsamten Magenentleerung [siehe Klinische Pharmakologie ]. Betrachten Sie die Verwendung eines parenteralen Anti-PlaSelet-Mittel bei Patienten mit akutem Koronarsyndrom, die eine gleichzeitige Verabreichung von Morphin oder anderen Opioidagonisten benötigen.
Andere begleitende Medikamente
Effizient can be administered with drugs that are inducers or inhibitors of cytochrome P450 enzymes [see Klinische Pharmakologie ].
Effizient can be administered with Aspirin (75 mg to 325 mg per day) heparin GPIIb/IIIa inhibitors statins digoxin Und drugs that elevate gastric pH including proton pump inhibitors Und H2 blockers [see Klinische Pharmakologie ].
Warnungen für Effient
Eingeschlossen als Teil der VORSICHTSMASSNAHMEN Abschnitt.
Vorsichtsmaßnahmen für effient
Allgemeines Blutungsrisiko
Thienopyridine einschließlich effizienter Erhöhung des Blutungsrisikos. Mit den Dosierschemata, die in Tritontimi 38 Timi (Thrombolyse in Myokardinfarkt) verwendet werden <5 g/dL) bleeding events were more common on Effizient than on clopidogrel [see Nebenwirkungen ]. The bleeding risk is highest initially as shown in Figure 1 (events through 450 days; inset shows events through 7 days).
Abbildung 1: Nicht-CABG-verwandte Timi-Major- oder geringfügige Blutungsereignisse
|
Verdächtige Blutungen bei jedem Patienten, der blutgreifend ist und kürzlich eine Koronarangiographie PCI CABG oder andere chirurgische Eingriffe unterzogen hat, auch wenn der Patient keine offenen Anzeichen von Blutungen aufweist.
Verwenden Sie bei Patienten mit aktivem Vorbeugen vor TIA oder Schlaganfall nicht effient [siehe Kontraindikationen ].
Andere Risikofaktoren für die Blutung sind
Alter ≥75 years. Because of the risk of bleeding (including fatal bleeding) Und uncertain effectiveness in patients ≥75 years of age use of Effizient is generally not recommended in these patients except in high-risk situations (patients with diabetes or history of myocardial infarction) where its effect appears to be greater Und its use may be considered [see Nebenwirkungen Verwendung in bestimmten Populationen Klinische Pharmakologie Und Klinische Studien ].
CABG oder ein anderes chirurgisches Verfahren [siehe WARNUNGS AND VORSICHTSMASSNAHMEN ].
Körpergewicht <60 kg. Consider a lower (5 mg) maintenance dose [see Dosierung und Verwaltung Nebenwirkungen Und Verwendung in bestimmten Populationen ].
Neigung zu Blutungen (z. B. jüngste Trauma Jüngste Operation neuer oder rezidivierender gastrointestinaler (GI) Blutungswirkungswirksame Ulkuserkrankungen schwere Leberbeeinträchtigung oder mittelschwere bis schwere Nierenbeeinträchtigungen) [siehe Nebenwirkungen Und Verwendung in bestimmten Populationen ].
Medikamente, die das Blutungsrisiko erhöhen (z. B. orale Antikoagulanzien chronische Anwendung nichtsteroidaler entzündungshemmender Medikamente [NSAIDs] und fibrinolytische Wirkstoffe). Aspirin und Heparin wurden häufig in Triton-Timi 38 verwendet [siehe Wechselwirkungen mit Arzneimitteln Und Klinische Studien ].
Thienopyridine hemmen die Thrombozytenaggregation für die Lebensdauer des Thrombozyten (7-10 Tage), sodass das Zurückhalten einer Dosis nicht nützlich sein wird, um ein Blutungsereignis oder das Risiko einer Blutung im Zusammenhang mit einem invasiven Verfahren im Zusammenhang mit einem invasiven Verfahren zu erfüllen. Da die Halbwertszeit von Prasugrels aktivem Metaboliten im Verhältnis zur Lebensdauer der Thrombozyten kurz ist, kann es möglich sein, die Hämostase durch Verabreichung exogener Blutplättchen wiederherzustellen; Thrombozytentransfusionen innerhalb von 6 Stunden nach der Ladedosis oder 4 Stunden nach der Wartungsdosis können jedoch weniger effektiv sein.
Bypass-Transplantatchirurgie der Koronararterie im Zusammenhang mit der Blutung
Das Blutungsrisiko ist bei Patienten erhöht, die Effient erhalten, die sich CABG unterziehen. Wenn möglich, sollte Effient mindestens 7 Tage vor CABG eingestellt werden.
Von den 437 Patienten, die sich während des Triton-Timi CABG unterzogen hatten, betrugen die Raten der CABG-bezogenen TIMI-Major- oder geringfügigen Blutungen 14,1% in der Effient-Gruppe und 4,5% in der Clopidogrel-Gruppe [siehe Nebenwirkungen ]. Das höhere Risiko für Blutungsereignisse bei Patienten, die mit effizientem behandelt wurden, bestand bis zu 7 Tagen von der jüngsten Dosis von Studienmedikamenten. Bei Patienten, die innerhalb von 3 Tagen vor CABG ein Thienopyridin erhalten, betrugen die Häufigkeit von TIMI -Haupt- oder geringfügigen Blutungen 26,7% (12 von 45 Patienten) in der Effient -Gruppe im Vergleich zu 5,0% (3 von 60 Patienten) in der Clopidogrel -Gruppe. Bei Patienten, die innerhalb von 4 bis 7 Tagen vor CABG ihre letzte Dosis Thienopyridin erhielten, nahmen die Frequenzen in der Prasugrel -Gruppe auf 11,3% (9 von 80 Patienten) und 3,4% (3 von 89 Patienten) in der Clopidogrel -Gruppe ab.
Fangen Sie bei Patienten, die wahrscheinlich dringend CABG unterziehen, nicht effient. CABG-bedingte Blutungen können mit Transfusion von Blutprodukten einschließlich gepackter roter Blutkörperchen und Blutplättchen behandelt werden. Thrombozytentransfusionen innerhalb von 6 Stunden nach der Ladedosis oder 4 Stunden nach der Wartungsdosis können jedoch weniger effektiv sein.
Absetzen von Effient
Absetzen von Thienopyridinen einschließlich Effient für aktive Schlaganfälle für die elektive Chirurgie oder TIA. Die optimale Dauer der Thienopyridin -Therapie ist unbekannt. Bei Patienten, die mit PCI und Stentplatzierung behandelt werden, vermittelt vorzeitige Abnahme eines Treffpunkts, einschließlich Thienopyridinen ein erhöhtes Risiko für Myokardinfarkt und Tod von Stent -Thrombose. Patienten, die eine vorzeitige Abnahme eines Thienopyridin benötigen, haben ein erhöhtes Risiko für Herzereignisse. Die Therapieverluste sollten vermieden werden, und wenn Thienopyridines aufgrund eines unerwünschten Ereignisses vorübergehend eingestellt werden müssen, sollten sie so bald wie möglich neu gestartet werden [siehe Kontraindikationen Und WARNUNGS AND VORSICHTSMASSNAHMEN ].
Thrombotische Thrombozytopenische Purpura (TTP)
TTP wurde unter Verwendung von Effient gemeldet. TTP kann nach kurzer Exposition auftreten ( <2 weeks). TTP is a serious condition that can be fatal Und requires urgent treatment including plasmapheresis (plasma exchange). TTP is characterized by thrombocytopenia microangiopathic hemolytic anemia (schistocytes [fragment red blood cells] seen on peripheral smear) neurological findings renal dysfunction Und Fieber [see Nebenwirkungen ].
Überempfindlichkeit einschließlich Angioödem
Überempfindlichkeit, einschließlich Angioödems Kontraindikationen Und Nebenwirkungen ].
Patientenberatungsinformationen
Raten Sie dem Patienten, die von der FDA zugelassene Patientenkennzeichnung zu lesen ( Medikamentenhandbuch ).
Verwaltung
- Raten Sie den Patienten, keine effizienten Tabletten zu brechen.
- Erinnern Sie die Patienten daran, Effient nicht einzustellen, ohne ihn zuerst mit dem Arzt zu besprechen, der Effient verschrieben hat [siehe WARNUNGS AND VORSICHTSMASSNAHMEN ].
- Informieren Sie die Patienten, um in dem Behälter, in dem er kommt, effizient zu halten, und halten Sie den Behälter eng mit dem grauen Zylinder (Trockenmittel) im Inneren geschlossen.
Blutung
Patienten darüber informieren, dass sie:
- wird leichter blauen und bluten.
- wird länger als gewöhnlich dauern, um zu bluten.
- sollte unerwartete längere oder übermäßige Blutungen oder Blut in ihrem Stuhl oder Urin melden [siehe WARNUNGS AND VORSICHTSMASSNAHMEN ].
Thrombotische Thrombozytopenische Purpura
- Informieren Sie die Patienten, dass TTP eine seltene, aber schwerwiegende Erkrankung ist, die mit effientem gemeldet wurde.
- Weisen Sie die Patienten an, eine schnelle medizinische Hilfe zu erhalten, wenn sie Symptome von TTP aufweisen, die sonst nicht erklärt werden können [siehe WARNUNGS AND VORSICHTSMASSNAHMEN ].
Überempfindlichkeit
Informieren Sie die Patienten, dass sie Überempfindlichkeitsreaktionen durchführen können, und um sofortige medizinische Hilfe zu suchen, wenn Anzeichen und Symptome einer Überempfindlichkeitsreaktion auftreten. Patienten, die Überempfindlichkeitsreaktionen auf andere Thienopyridiner hatten, können überempfindliche Reaktionen auf effiziente Überempfindlichkeitsreaktionen aufweisen.
Invasive Verfahren
Patienten anweisen zu:
- Informieren Sie Ärzte und Zahnärzte, dass sie effizient einnehmen, bevor ein invasives Verfahren geplant ist [siehe WARNUNGS AND VORSICHTSMASSNAHMEN ].
- Teilen Sie dem Arzt mit, dass er das invasive Verfahren durchführt, um mit dem verschreibenden Gesundheitswesen zu sprechen, bevor er Effient aufhält.
Begleitmedikamente
Bitten Sie die Patienten, alle rezeptfreien Medikamente aufzulisten. Wechselwirkungen mit Arzneimitteln ].
Nichtklinische Toxikologie
Karzinogenese -Mutagenese -Beeinträchtigung der Fruchtbarkeit
Karzinogenese
In einer 2-jährigen Rattenstudie mit Prasugrel in oralen Dosen von bis zu 100 mg/kg/Tag wurden keine zusammengesetzten Tumoren beobachtet (> 100-mal so empfohlene therapeutische Expositionen beim Menschen [basierend auf Plasmakapletten gegen den Hauptausgleich des menschlichen Metaboliten]). Es gab eine erhöhte Inzidenz von Tumoren (hepatozelluläre Adenome) bei Mäusen, die 2 Jahre lang hohen Dosen ausgesetzt waren (> 250 -mal die menschliche Metabolitenexposition).
Mutagenese
Prasugrel war in zwei In -vitro -Tests (Ames Bacterial -Gen -Mutationstest -Clastogenitätstest in chinesischen Hamsterfibroblasten) und in einem In -vivo -Test (Mikronukleus -Test durch intraperitoneale Route bei Mäusen) nicht genotoxisch.
Beeinträchtigung der Fruchtbarkeit
Prasugrel hatte keinen Einfluss auf die Fruchtbarkeit männlicher und weiblicher Ratten bei oralen Dosen von bis zu 300 mg/kg/Tag (80 -mal der menschlichen Major -Metabolitenexposition bei einer täglichen Dosis von 10 mg Prasugrel).
Verwendung in bestimmten Populationen
Schwangerschaft
Risikozusammenfassung
Es gibt keine Daten mit effizientem Einsatz bei schwangeren Frauen, um ein drogenassoziiertes Risiko zu informieren. In tierischen Fortpflanzungs- und Entwicklungstoxikologiestudien wurden keine strukturellen Fehlbildungen beobachtet, in denen Ratten und Kaninchen während der Organogenese in Dosen von bis zu 30 -fachen der empfohlenen therapeutischen Expositionen beim Menschen Prasugrel verabreicht wurden [siehe Daten ]. Due to the mechanism of action of Effizient Und the associated identified risk of bleeding consider the benefits Und risks of Effizient Und possible risks to the fetus when prescribing Effizient to a pregnant woman [see WARNUNG BOXED Und WARNUNGS AND VORSICHTSMASSNAHMEN ].
Das Hintergrundrisiko von schweren Geburtsfehlern und Fehlgeburten für die angegebene Bevölkerung ist unbekannt. Das Hintergrundrisiko in der allgemeinen Bevölkerung schwerer Geburtsfehler beträgt 2-4% und bei Fehlgeburt 15-20% der klinisch anerkannten Schwangerschaften.
Daten
Tierdaten
In embryo-fetalen Entwicklungsstudien wurden schwangere Ratten und Kaninchen Prasugrel in maternal toxischen oralen Dosen entspricht, die mehr als das 40-fache der menschlichen Exposition entsprechen. Es wurde eine leichte Abnahme des Körpergewichts des Fötus beobachtet, es gab jedoch keine strukturellen Fehlbildungen bei beiden Arten. In vorgeburtlichen und postnatalen Rattenstudien hatte die Behandlung von Müttern mit Prasugrel keinen Einfluss auf die Verhaltens- oder Fortpflanzungsentwicklung der Nachkommen in Dosen mehr als das 150 -fache der menschlichen Exposition.
Schrottkathedrale
Stillzeit
Risikozusammenfassung
Es gibt keine Informationen über das Vorhandensein von Prasugrel in der Muttermilch die Auswirkungen auf das gestillte Kind oder die Auswirkungen auf die Milchproduktion. In Rattenmilch wurden Metaboliten von Prasugrel gefunden [siehe Daten ]. The developmental Und health benefits of breastfeeding should be considered along with the mother's clinical need for Effizient Und any potential adverse effects on the breastfed child from Effizient or from the underlying maternal condition.
Daten
Tierdaten
Nach einer oralen 5 mg/kg-Dosis von [14c] -Prasugrel zu stillenden Rattenmetaboliten von Prasugrel wurden in der Muttermilch und des Blutes nachgewiesen.
Pädiatrische Verwendung
Sicherheit und Wirksamkeit bei pädiatrischen Patienten wurden nicht festgestellt.
In einer randomisierten, placebokontrollierten Studie wurde das Hauptziel der Verringerung der Rate der vaso-okklusiven Krise (schmerzhafte Krise oder des akuten Brustsyndroms) bei pädiatrischen Patienten im Alter von 2 bis weniger als 18 Jahren mit Sichelzellenanämie nicht erfüllt.
Geriatrische Verwendung
Bei Triton-Timi waren 38,5% der Patienten ≥ 65 Jahre und 13,2% ≥ 75 Jahre. Das Blutungsrisiko stieg mit zunehmendem Alter in beiden Behandlungsgruppen zunehmend, obwohl das relative Blutungsrisiko (effizient im Vergleich zu Clopidogrel) in den Altersgruppen ähnlich war.
Patienten ≥ 75 Jahre, die effiziente 10 mg erhielten, hatten ein erhöhtes Risiko für tödliche Blutungsereignisse (NULL,0%) im Vergleich zu Patienten, die Clopidogrel erhielten (NULL,1%). Bei Patienten trat bei 7 Patienten (NULL,8%) eine symptomatische intrakranielle Blutung von ≥ 75 Jahren auf, die effizient und bei 3 Patienten (NULL,3%), die Clopidogrel erhielten. Aufgrund des Blutungsrisikos und weil die Wirksamkeit bei Patienten ≥ 75 Jahre ungewiss ist [siehe Klinische Studien ] Die Verwendung von Effient wird bei diesen Patienten im Allgemeinen nicht empfohlen, außer in Situationen mit hohem Risiko (Diabetes und Vergangenheit der Myokardinfarkt), in denen seine Auswirkung größer zu sein scheint und die Verwendung berücksichtigt werden kann [siehe WARNUNGS AND VORSICHTSMASSNAHMEN Klinische Pharmakologie Und Klinische Studien ].
Niedriges Körpergewicht
In Triton-Timi hatten 38 4,6% der mit Effient behandelten Patienten das Körpergewicht <60 kg. Individuals with body weight <60 kg had an increased risk of bleeding Und an increased exposure to the active metabolite of Prasugrel [see Dosierung und Verwaltung WARNUNGS AND VORSICHTSMASSNAHMEN Und Klinische Pharmakologie ]. Erwägen Sie bei Patienten die Erhaltungsdosis auf 5 mg <60 kg. The effectiveness Und safety of the 5 mg dose have not been prospectively studied [see Dosierung und Verwaltung Und Klinische Pharmakologie ].
Nierenbehinderung
Für Patienten mit Nierenbeeinträchtigung ist keine Dosierungsanpassung erforderlich. Es gibt nur begrenzte Erfahrung bei Patienten mit Nierenerkrankungen im Endstadium, aber solche Patienten haben im Allgemeinen ein höheres Blutungsrisiko [siehe WARNUNGS AND VORSICHTSMASSNAHMEN A Klinische Pharmakologie ].
Hepatische Beeinträchtigung
Bei Patienten mit leichter bis mittelschwerer Leberbeeinträchtigung (Child-Pugh-Klasse A und B) ist keine Dosierungsanpassung erforderlich. Die Pharmakokinetik und Pharmakodynamik von Prasugrel bei Patienten mit schwerer Lebererkrankung wurden nicht untersucht, aber solche Patienten haben im Allgemeinen ein höheres Blutungsrisiko [siehe WARNUNGS AND VORSICHTSMASSNAHMEN Und Klinische Pharmakologie ].
Stoffwechselstatus
Bei gesunden Probanden Patienten mit stabiler Atherosklerose und Patienten mit ACS, die Prasugrel erhielten, gab es keinen relevanten Effekt der genetischen Variation von CYP2B6 CYP2C9 CYP2C19 oder CYP3A5 auf die Pharmakokinetik der aktiven Metaboliten von Prasugrel oder deren Hemmung der Plätteletaggregation.
Überdosierungsinformationen für Effient
Anzeichen und Symptome
Die Blutplättchenhemmung durch Prasugrel ist schnell und irreversibel für die Lebensdauer der Thrombozyten und ist im Falle einer Überdosis wahrscheinlich nicht erhöht. Bei Ratten wurde die Letalität nach Verabreichung von 2000 mg/kg beobachtet. Zu den Symptomen einer akuten Toxizität bei Hunden gehörten Ermense erhöhte Serum -alkalische Phosphatase und hepatozelluläre Atrophie. Zu den Symptomen einer akuten Toxizität bei Ratten gehörten die unregelmäßige Atmung der Mydriasis verringerte die Lokomotoraktivität Ptosis Staffelende Gang und Trauerung.
Empfehlungen zur spezifischen Behandlung
Thrombozytentransfusion kann die Gerinnungsfähigkeit wiederherstellen. Der aktive Metabolit von Prasugrel wird wahrscheinlich nicht durch Dialyse entfernt.
Kontraindikationen für Effient
Aktive Blutung
Effizient is contraindicated in patients with active pathological bleeding such as peptic ulcer or intracranial hemorrhage (ICH) [see WARNUNGS AND VORSICHTSMASSNAHMEN Und Nebenwirkungen ].
Vorher transienter ischämischer Angriff oder Schlaganfall
Effient ist bei Patienten mit früherer vorübergehender ischämischer Angriff (TIA) oder einem Schlaganfall kontraindiziert. In Triton-Timi 38 (Studie zur Bewertung der Verbesserung der therapeutischen Ergebnisse durch Optimierung der Thrombozytenhemmung mit Prasugrel) Patienten mit TIA oder ischämischem Schlaganfall (> 3 Monate vor der Aufnahme) hatten eine höhere Rate an Schlaganfall (NULL,5%; von 4,2%, von denen 4,2% Thrombotranien waren und 2,3% intrakraler Hämorrhagen [° Chagel) und 2,3% intrakraler Hämorrhagen [° Chagel) und bei 2,3% intrakraler Hämorrhagen [° Chagel) und bei 2,3% intrakraler Hämorrhagen [° Chagel) und bei 2,3% der Intrakrel. (NULL,2%; alle thrombotisch). Bei Patienten ohne eine solche Anamnese betrug die Häufigkeit von Schlaganfall 0,9% (NULL,2% ICH) bzw. 1,0% (NULL,3% ICH) mit Effient bzw. Clopidogrel. Patienten mit ischämischem Schlaganfall innerhalb von 3 Monaten nach dem Screening und Patienten mit hämorrhagischer Schlaganfall wurden zu irgendeinem Zeitpunkt von Triton-Timi 38 ausgeschlossen. Patienten mit einem Schlaganfall oder TIA, während sie im Allgemeinen im Allgemeinen eine Therapie absetzen sollten [siehe Nebenwirkungen Und Klinische Studien ].
Überempfindlichkeit
Effizient is contraindicated in patients with hypersensitivity (e.g. anaphylaxis) to Prasugrel or any component of the product [see Nebenwirkungen ].
Klinische Pharmakologie for Effizient
Wirkungsmechanismus
Prasugrel is an inhibitor of platelet activation and aggregation through the irreversible binding of its active metabolite to the P2Y 12 class of ADP receptors on platelets.
Pharmakodynamik
Prasugrel erzeugt die Hemmung der Thrombozytenaggregation auf 20 & mgr; m oder 5 & mgr; m ADP, gemessen durch Lichtübertragungs -Aggregometrie. Nach einer 60 -mg -Beladungsdosis von Effient hatten ungefähr 90% der Patienten 1 Stunde mindestens 50% Hemmung der Thrombozytenaggregation. Die maximale Thrombozytenhemmung betrug etwa 80% (siehe Abbildung 2). Die mittlere Hemmung der Thrombozytenaggregation aus der Steady-State betrug nach einer Dosis von 3 bis 5 Tagen bei 10 mg täglich nach einer Ladendosis von 60 mg etwa 70%.
2: Hemmung (Mittelwert ± SD) von 20 μM ADP-induzierter Thrombozytenaggregation (IPA) gemessen durch Lichtübertragungsaggregometrie nach Prasugrel 60 mg
|
Die Thrombozytenaggregation kehrt allmählich über 5-9 Tage nach Absetzen von Prasugrel zu den Grundlinienwerten zurück, die eher eine neue Thrombozytenproduktion als die Pharmakokinetik von Prasugrel widerspiegeln. Das Absetzen von Clopidogrel 75 mg und die Initiierung einer Prasugrel -10 -mg -Wartungsdosis mit oder ohne Prasugrel -Ladendosis führt zu einer Abnahme von 14 Prozentpunkten bei maximaler Thrombozytenaggregation (MPA) bis Tag 7. Diese Verringerung von MPA ist allein nicht größer als die typischerweise von einer 10 mg -Wartungsdosis von PRASUGEL. Die Beziehung zwischen der Hemmung der Thrombozytenaggregation und der klinischen Aktivität wurde nicht hergestellt.
5 mg Patienten mit niedrigem Körpergewicht Patienten
Bei Patienten mit stabiler Erkrankung der Koronararterie mittlere Thrombozyung bei Probanden <60 kg taking 5 mg Prasugrel was similar to that of subjects ≥60 kg taking 10 mg Prasugrel. The relationship between inhibition of platelet aggregation Und clinical activity has not been established.
Pharmakokinetik
Prasugrel ist ein Prodrug und wird schnell zu einem pharmakologisch aktiven Metaboliten und inaktiven Metaboliten metabolisiert. Der aktive Metaboliten hat eine Eliminierungs-Halbwertszeit von etwa 7 Stunden (Bereich 2-15 Stunden). Patienten mit stabilen Atherosklerose und Patienten, die sich einer PCI unterziehen, zeigen eine ähnliche Pharmakokinetik.
Absorption und Bindung
Nach oraler Verabreichung ≥ 79% der Dosis wird absorbiert. Die Absorption und der Metabolismus sind schnell mit den Spitzenplasmakonzentrationen (C max) des aktiven Metaboliten, der ungefähr 30 Minuten nach der Dosierung auftritt. Die Exposition des aktiven Metaboliten (AUC) steigt über den Dosisbereich von 5 bis 60 mg etwas mehr als proportional an. Wiederholte tägliche Dosen von 10 mg führen nicht zur Akkumulation des aktiven Metaboliten. In einer Studie mit gesunden Probanden wurde die AUC des aktiven Metaboliten mit einer einzigen 15 mg-Dosis durch ein hochkarätiges kalorienreiches Mehl nicht beeinflusst, aber C Max wurde um 49% verringert und T max von 0,5 auf 1,5 Stunden erhöht. Effient kann ohne Rücksicht auf Lebensmittel verabreicht werden. Der aktive Metabolit ist etwa 98% an menschliches Serumalbumin gebunden.
Stoffwechsel und Eliminierung
Prasugrel wird nach oraler Verabreichung in Plasma nicht nachgewiesen. Es wird im Darm schnell hydrolysiert zu einem Thiolacton, das dann durch einen einzelnen Schritt in hauptsächlich durch CYP3A4 und CYP2B6 und in geringerem Maße durch CYP2C9 und CYP2C19 in den aktiven Metabolit umgewandelt wird. Die Schätzungen des scheinbaren Verteilungsvolumens des aktiven Metaboliten von Prasugrel lagen zwischen 44 und 68 l, und die Schätzungen der scheinbaren Clearance lagen bei gesunden Probanden und Patienten mit stabiler Atherosklerose zwischen 112 und 166 l/h. Der aktive Metaboliten wird durch S-Methylierung oder Konjugation mit Cystein auf zwei inaktive Verbindungen metabolisiert. Die wichtigsten inaktiven Metaboliten sind stark an menschliche Plasmaproteine gebunden. Ungefähr 68% der Prasugrel -Dosis werden im Urin und 27% in den Kot als inaktive Metaboliten ausgeschieden.
Spezifische Populationen
Geriatrische Patienten
In einer Studie mit 32 gesunden Probanden im Alter zwischen 20 und 80 Jahren hatte er keinen signifikanten Einfluss auf die Pharmakokinetik des aktiven Metaboliten von Prasugrem oder der Hemmung der Thrombozytenaggregation. In Triton-Timi 38 war die mittlere Exposition (AUC) des aktiven Metaboliten bei Patienten ≥ 75 Jahre um 19% höher als bei Patienten <75 years of age. In a study in subjects with stable atherosclerosis the mean exposure (AUC) to the active metabolite of Prasugrel in subjects ≥75 years old taking a 5 mg maintenance dose was approximately half that seen in subjects 45 to 64 years old taking a 10 mg maintenance dose [see WARNUNGS AND VORSICHTSMASSNAHMEN Und Verwendung in bestimmten Populationen ].
Körpergewicht
Die mittlere Exposition (AUC) gegenüber dem aktiven Metaboliten ist bei Probanden mit einem Körpergewicht von etwa 30 bis 40% höher <60 kg than in those weighing ≥60 kg. In a study in subjects with stable atherosclerosis the AUC of the active metabolite on average was 38% lower in subjects <60 kg taking 5 mg (N=34) than in subjects ≥60 kg taking 10 mg (N=38) [see Dosierung und Verwaltung WARNUNGS AND VORSICHTSMASSNAHMEN Nebenwirkungen Und Verwendung in bestimmten Populationen ].
Männliche und weibliche Patienten
Pharmakokinetik of Prasugrel's active metabolite is similar in men Und women.
Rassistische oder ethnische Gruppen
Die Exposition bei Fächern afrikanischer und hispanischer Abstammung ähnelt der in Kaukasiern. In klinischen Pharmakologiestudien nach Anpassung des Körpergewichts war das AUC des aktiven Metaboliten bei chinesischen japanischen und koreanischen Probanden um ungefähr 19% höher als bei kaukasischen Probanden.
Rauchen
Pharmakokinetik of Prasugrel's active metabolite is similar in smokers Und nonsmokers.
Patienten mit Nierenbehinderung
Pharmakokinetik of Prasugrel's active metabolite Und its inhibition of platelet aggregation is similar in patients with moderate renal impairment (CrCL=30 to 50 mL/min) Und healthy subjects. In patients with end-stage renal disease exposure to the active metabolite (both C max Und AUC (0-t last)) was about half that in healthy controls Und patients with moderate renal impairment [see WARNUNGS AND VORSICHTSMASSNAHMEN Und Verwendung in bestimmten Populationen ].
Patienten mit Leberbehinderung
Pharmakokinetik of Prasugrel's active metabolite Und inhibition of platelet aggregation was similar in patients with mild to moderate hepatic impairment compared to healthy subjects. The pharmacokinetics Und pharmacodynamics of Prasugrel's active metabolite in patients with severe hepatic disease have not been studied [see WARNUNGS AND VORSICHTSMASSNAHMEN Und Verwendung in bestimmten Populationen ].
Arzneimittelinteraktionsstudien
Potenzial für andere Medikamente, um Prasugrel zu beeinflussen
Inhibitoren von CYP3A
Ketoconazol (400 mg täglich) Ein selektiver und starker Inhibitor von CYP3A4 und CYP3A5 beeinflusste keine prasugrel-vermittelte Hemmung der Thrombozytenaggregation oder das AC-AUC und T Max des aktiven Metaboliten, verringerten den C max um 34% bis 46%. Daher wird nicht erwartet Wechselwirkungen mit Arzneimitteln ].
Induktoren von Cytochromen P450
Rifampicin (600 mg täglich), ein starker Induktor von CYP3A und CYP2B6 und ein Induktor von CYP2C9 CYP2C19 und CYP2C8 veränderten die Pharmakokinetik der aktiven Metaboliten von Prasugrem nicht signifikant. Daher wird bekannte CYP3A -Induktoren wie Rifampicin -Carbamazepin und andere Induktoren von Cytochromen P450 keinen signifikanten Einfluss auf die Pharmakokinetik des aktiven Metaboliten von Prasugrel haben [siehe Wechselwirkungen mit Arzneimitteln ].
Medikamente, die den pH -Wert des Magens erhöhen
Die tägliche gleichzeitige Verabreichung von Ranitidin (ein H 2 -Blocker) oder Lansoprazol (ein Protonenpumpeninhibitor) verringerte den C max des Prasugrel -aktiven Metaboliten um 14% bzw. 29%, änderte jedoch nicht die AUC- und T -Max des aktiven Metaboliten des aktiven Metaboliten. In Triton-Timi 38 wurde Effient ohne Berücksichtigung der gleichzeitigen Verabreichung eines Protonenpumpeninhibitors oder des H 2-Blockers verabreicht [siehe Wechselwirkungen mit Arzneimitteln ].
Statine
Atorvastatin (80 mg täglich) Ein von CYP450 3A4 metabolisierter Arzneimittel veränderte die Pharmakokinetik des aktiven Metaboliten von Prasugrem oder der Hemmung der Thrombozytenaggregation nicht [siehe Wechselwirkungen mit Arzneimitteln ].
Heparin
Eine einzelne intravenöse Dosis von unfraktioniertem Heparin (100 Einheiten/kg) veränderte die Koagulation oder die von Prasugrel vermittelte Hemmung der Thrombozytenaggregation nicht signifikant; Die Blutungszeit war jedoch im Vergleich zu beiden Arzneimitteln allein erhöht [siehe Wechselwirkungen mit Arzneimitteln ].
Aspirin
Aspirin 150 mg daily did not alter Prasugrel-mediated inhibition of platelet aggregation; however bleeding time was increased compared with either drug alone [see Wechselwirkungen mit Arzneimitteln ].
Warfarin
Eine signifikante Verlängerung der Blutungszeit wurde beobachtet, als Prasugrel mit 15 mg Warfarin zusammengefasst wurde [siehe Wechselwirkungen mit Arzneimitteln ].
Potenzial für Prasugrel, andere Medikamente zu beeinflussen
In -vitro -Metabolismus -Studien zeigen, dass die Hauptumlaufmetaboliten von Prasugrel wahrscheinlich keine klinisch signifikante Hemmung von CYP1A2 CYP2C9 CYP2C19 CYP2D6 oder CYP3A oder Induktion von CYP1A2 oder CYP3A verursachen.
Durch CYP2B6 metabolisierte Medikamente
Prasugrel ist ein schwacher Inhibitor von CYP2B6. Bei gesunden Probanden verringerte Prasugrel die Exposition gegenüber Hydroxybupropion A CYP2B6-vermittelter Metaboliten von Bupropion um 23% einer Menge, die nicht klinisch signifikant angesehen wird. Es wird nicht erwartet, dass Prasugrel einen signifikanten Einfluss auf die Pharmakokinetik von Arzneimitteln hat, die hauptsächlich von CYP2B6 wie Halothan -Cyclophosphamidpropofol und Nevirapin metabolisiert werden.
Auswirkung auf Digoxin
Die potenzielle Rolle von Prasugrel als PGP -Substrat wurde nicht bewertet. Prasugrel ist kein Inhibitor von PGP, da die Digoxin -Clearance durch die gleichzeitige Verabreichung von Prasugrel nicht beeinflusst wurde [siehe Wechselwirkungen mit Arzneimitteln ].
Morphium
Die gleichzeitige Verabreichung von 5 mg intravenösem Morphin mit 60 mg Ladendosis von Prasugrel bei gesunden Erwachsenen verringerte das C max von Prasugrels aktivem Metaboliten um 31% ohne Veränderung der Max oder Hemmung der ADP-induzierten Thrombozytenaggregation. Die ADP-induzierte Thrombozytenaggregation war nach 60 mg Ladendosis von Prasugrel bei stabilen Patienten mehr als 1 Jahr nach einem ACS, das Morphin war, um bis zu 2 Stunden nach 60 mg Ladendosis. Bei den Patienten mit einer 2-stündigen Verzögerung beim Einsetzen der Thrombozytenaggregation (5 von 11) wurde Max verzögert und die aktiven Metabolitenspiegel der Prasugrel waren nach gleichzeitig mit Morphin signifikant niedriger nach 30 Minuten (5 gegenüber 120 ng/ml).
Pharmakogenomik
Es gibt keinen relevanten Effekt der genetischen Variation von CYP2B6 CYP2C9 CYP2C19 oder CYP3A5 auf die Pharmakokinetik des aktiven Metaboliten von Prasugrem oder der Hemmung der Thrombozytenaggregation.
Klinische Studien
Der klinische Nachweis für die Wirksamkeit von Effient ergibt sich aus dem Triton-Timi 38 (Studie zur Bewertung der Verbesserung der therapeutischen Ergebnisse durch die Optimierung der Thrombozytenhemmung mit Prasugrel). Eine 13608-Patienten mit multiziertem internationalem patienten randomisierten doppelblind-parallelen Parallel-Gruppenstudie mit einem Regime-Therapie mit ACOPIGOGREGICREIPICE-Studie mit ACOPIGREGEL-Studie mit ACOPOGRAGE-BLIND-PIRINICE und ASSERE ACOWOGRAGE-PIRICE-PIRINICE und ASSCHEN ASCOPIGE-BEISPICIGE-PIRINIS-BEHALT ZU EINGEBNIS. Stemi), die mit PCI verwaltet werden sollten. Die Randomisierung wurde für UA/NSTEMI und STEMI geschichtet.
Patienten mit UA/NSTEMI, die sich innerhalb von 72 Stunden nach Beginn der Symptome vorstellen, sollten nach einer Koronarangiographie randomisiert werden. Patienten mit Stemi, die sich innerhalb von 12 Stunden nach Beginn der Symptome präsentieren, konnten vor der Koronarangiographie randomisiert werden. Patienten mit Stemi, die zwischen 12 Stunden und 14 Tagen des Symptome auftreten, sollten nach einer Koronarangiographie randomisiert werden. Die Patienten wurden PCI und für UA/NSTEMI- und STEMI -Patienten unterzogen. Die Ladedosis sollte jederzeit zwischen Randomisierung und 1 Stunde nach dem Verlassen des Katheterisierungslabors verabreicht werden. Wenn Patienten mit Stemi mit thrombolytischer Therapie behandelt wurden, konnte eine Randomisierung nicht auftreten, wenn mindestens 24 Stunden (für TenectePlase -Retplase oder Alteplase) oder 48 Stunden (für Streptokinase) nach gegebener Thrombolytik.
Die Patienten erhielten randomisiert, um Effient (60 mg Ladendosis, gefolgt von 10 mg einmal täglich) oder Clopidogrel (300 mg Ladendosis, gefolgt von 75 mg einmal täglich) mit Verabreichung und Follow-up für mindestens 6 Monate (tatsächlicher Median 14,5 Monate). Die Patienten erhielten auch Aspirin (75 mg bis 325 mg einmal täglich). Andere Therapien wie Heparin und intravenöse Glykoprotein IIB/IIIa (GPIIB/IIIA) -Hemmer wurden nach Ermessen des behandelnden Arztes verabreicht. Orale Antikoagulanzien andere Thrombozytenhemmer und chronische NSAIDs waren nicht erlaubt.
Das primäre Ergebnismaß war die Verbundheit eines nicht tödlichen MI oder nicht tödlichen Schlaganfalls in der UA/NSTEMI -Population. Der Erfolg in dieser Gruppe ermöglichte die Analyse des gleichen Endpunkts in den Gesamt -ACS- und STEMI -Populationen. Nicht tödliche MIS umfasste sowohl MIS MIS, die ausschließlich durch Analyse von Kreatinkinase-Muskel-Gehirn-Veränderungen (CK-MB) als auch durch klinisch offensichtliche (Forscher gemeldete) MIS nachgewiesen wurden. Die Patientenpopulation war zu 92% kaukasisch 26% weiblich und 39% ≥ 65 Jahre. Die mediane Zeit von der Symptombeginn bis zur Untersuchung der Verabreichung von Arzneimitteln betrug 7 Stunden für Patienten mit Stemi und 30 Stunden für Patienten mit UA/NSTEMI. Ungefähr 99% der Patienten wurden PCI unterzogen. Das Studienmedikament wurde verabreicht, nachdem der erste Koronarführer bei etwa 75% der Patienten eingesetzt worden war.
Effizient significantly reduced total endpoint events compared to clopidogrel (see FIGURE 3 Und TABLE 5). The reduction of total endpoint events was driven primarily by a decrease in nonfatal MIs both those occurring early (through 3 days) Und later (after 3 days). Approximately 40% of MIs occurred periprocedurally Und were detected solely by changes in CK-MB. Verwaltung of the clopidogrel loading dose in TRITON-TIMI 38 was delayed relative to the placebo-controlled trials that supported its approval for ACS. Effizient produced higher rates of clinically significant bleeding than clopidogrel in TRITON-TIMI 38 [see Nebenwirkungen ]. Choice of therapy requires balancing these differences in outcome.
Der Behandlungseffekt von Effient war in den ersten Tagen erkennbar und blieb bis zum Ende der Studie bestehen (siehe Abbildung 3). Der Einschub zeigt die Ergebnisse in den ersten 7 Tagen.
Claritin D nicht schläfrige Nebenwirkungen
Abbildung 3: Zeit für das erste Ereignis von CV Death MI oder Schlaganfall (Triton-Timi 38)
|
Die Kaplan-Meier-Kurven (siehe Abbildung 3) zeigen den primären zusammengesetzten Endpunkt des nicht tödlichen MI oder des nicht tödlichen Schlaganfalls im Laufe der Zeit in den UA/NSTEMI- und STEMI-Populationen. In beiden Populationen trennen sich die Kurven innerhalb der ersten Stunden. In der UA/NSTEMI-Population werden die Kurven während der 15-monatigen Nachbeobachtungszeit weiterhin unterschiedlich. In der Stemi-Bevölkerung wurde die frühe Trennung während der 15-monatigen Nachbeobachtungszeit beibehalten, aber nach den ersten Wochen gab es keine progressive Abweichung.
Effizient reduced the occurrence of the primary composite endpoint compared to clopidogrel in both the Ist / snstami Und Stemi populations (see TABLE 5). In patients who survived an on-study myocardial infarction the incidence of subsequent events was also lower in the Effizient group.
Tabelle 5: Patienten mit Ergebnisereignissen (CV Death MI Schlaganfall) in Triton-Timi 38
| Patienten mit Ereignissen | Aus Kaplan-Meier-Analyse | |||
| Effient (%) | Clopidogrel (%) | Relative Risikominderung (%) * (95% CI) | P-Wert | |
| Ist / snstami | N = 5044 | N = 5030 | ||
| CV -Tod nicht tödlicher MI oder nicht tödlicher Schlaganfall | 9.3 | 11.2 | 18.0 (7.3 27,4) | 0.002 |
| Lebenslauf Tod | 1.8 | 1.8 | 2.1 (-30,9 26,8) | 0.885 |
| Nicht tödlicher Mi | 7.1 | 9.2 | 23.9 (NULL,7 33.7) | <0.001 |
| Nicht tödlicher Schlaganfall | 0.8 | 0.8 | 2.1 (-51.3 36.7) | 0.922 |
| Stemi | N = 1769 | N = 1765 | ||
| CV -Tod nicht tödlicher MI oder nicht tödlicher Schlaganfall | 9.8 | 12.2 | 20.7 (3.2 35.1) | 0.019 |
| Lebenslauf Tod | 2.4 | 3.3 | 26.2 (-9.4 50.3) | 0.129 |
| Nicht tödlicher Mi | 6.7 | 8.8 | 25.4 (5.2 41.2) | 0.016 |
| Nicht tödlicher Schlaganfall | 1.2 | 1.1 | -9.7 (-104.0 41.0) | 0.77 |
| RRR = (1-Hazard-Verhältnis) ã-100%. Werte mit einer negativen relativen Risikominderung zeigen eine relative Risikoanstieg. |
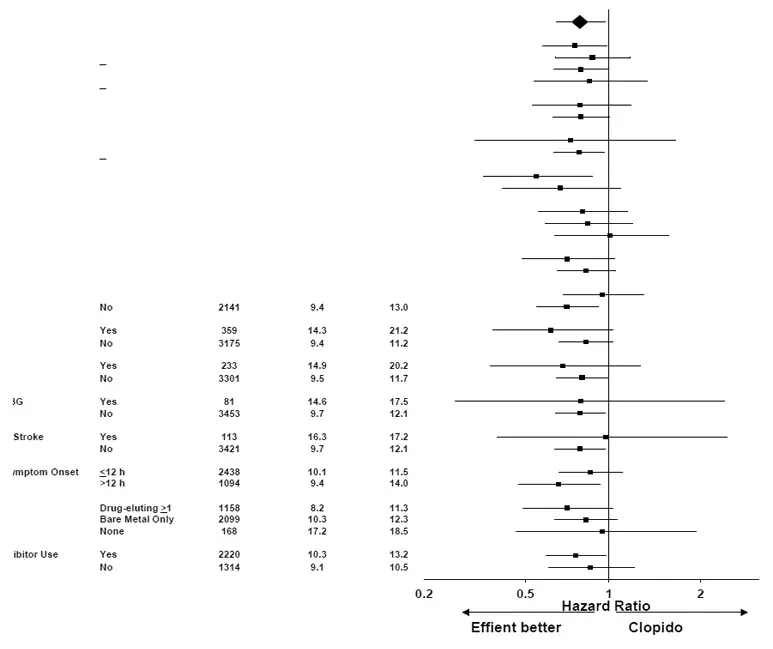
Die Wirkung von Effient in verschiedenen Untergruppen ist in den 4 und 5 dargestellt. Die Ergebnisse sind im Allgemeinen über vorgegebene Untergruppen konsistent, mit Ausnahme von Patienten mit TIA oder Schlaganfall [siehe Kontraindikationen ]. The treatment effect was driven primarily by a reduction in nonfatal MI. The effect in patients ≥75 years of age was also somewhat smaller Und bleeding risk is higher in these individuals [see Nebenwirkungen ]. Sehen below for analyses of patients ≥75 years of age with risk factors.
Abbildung 4: Untergruppenanalysen für die Zeit bis zum ersten Ereignis von CV Death MI oder Schlaganfall (HR und 95% CI; Triton-Timi 38)-UA/Nstemi-Patienten
|
Abbildung 5: Untergruppenanalysen für die Zeit bis zum ersten Ereignis von CV Death MI oder Schlaganfall (HR und 95% CI; Triton-Timi 38) Stemi-Patienten
|
Effizient is generally not recommended in patients ≥75 years of age except in high-risk situations ( Diabetes mellitus oder frühere MI) wenn sein Effekt größer zu sein scheint und seine Verwendung berücksichtigt werden kann. Diese Empfehlungen basieren auf Untergruppenanalysen (siehe Tabelle 6) und müssen mit Vorsicht interpretiert werden, aber die Daten legen nahe, dass Effient ischämische Ereignisse bei solchen Patienten verringert.
Tabelle 6: Untergruppenanalysen für die Zeit bis zum ersten Ereignis von CV Death MI oder Schlaganfall: Patienten
Nebenwirkungen von Tums Ultra 1000
| Effizient | Clopidogrel | Gefahrenquote (95% CI) | |||
| N | % Mit Ereignissen | N | % Mit Ereignissen | ||
| Alter ≥75 | |||||
| Diabetes - Ja | 249 | 14.9 | 234 | 21.8 | 0.64 (NULL,42 0,97) |
| Diabetes - Nr | 652 | 16.4 | 674 | 15.3 | 1.1 (NULL,83 1,43) |
| Alter <75 | |||||
| Diabetes - Ja | 1327 | 10.8 | 1336 | 14.8 | 0.72 (NULL,58 0,89) |
| Diabetes - Nr | 4585 | 7.8 | 4551 | 9.5 | 0.82 (NULL,71 0,94) |
| Alter ≥75 | |||||
| Vorheriger Mi - Ja | 220 | 17.3 | 212 | 22.6 | 0.72 (NULL,47 1,09) |
| Vorheriger Mi - Nein | 681 | 15.6 | 696 | 15.2 | 1.05 (NULL,80 1,37) |
| Alter <75 | |||||
| Vorheriger Mi - Ja | 1006 | 12.2 | 996 | 15.4 | 0.78 (NULL,62 0,99) |
| Vorheriger Mi - Nein | 4906 | 7.7 | 4891 | 9.7 | 0.78 (NULL,68 0,90) |
Es gab 50% weniger Stent -Thrombosen (95% C.I. 32% - 64%; P. P. P. <0.001) reported among patients rUndomized to Effizient (0.9%) than among patients rUndomized to clopidogrel (1.8%). The difference manifested early Und was maintained through one year of follow-up. Findings were similar with bare metal Und drug-eluting stents.
In Triton-Timi reduzierte 38 Prasugrel ischämische Ereignisse (hauptsächlich nicht tödliche MIS) und erhöhte Blutungenereignisse [siehe Nebenwirkungen ] relativ zu Clopidogrel. Die Ergebnisse stimmen mit der beabsichtigten Hemmung der Thrombozytenaggregation durch Prasugrel in den in der Studie verwendeten Dosen überein [siehe Klinische Pharmakologie ]. There is however an alternative explanation: both Prasugrel Und clopidogrel are prodrugs that must be metabolized to their active moieties. Whereas the pharmacokinetics of Prasugrel's active metabolite is not known to be affected by genetic variations in CYP2B6 CYP2C9 CYP2C19 or CYP3A5 the pharmacokinetics of clopidogrel's active metabolite is affected by CYP2C19 genotype Und approximately 30% of Caucasians are reduced metabolizers. Moreover certain proton pump inhibitors widely used in the ACS patient population Und used in TRITONTIMI 38 inhibit CYP2C19 thereby decreasing formation of clopidogrel's active metabolite. Thus reducedmetabolizer status Und use of proton pump inhibitors may diminish clopidogrel's activity in a fraction of the population Und may have contributed to Prasugrel's greater treatment effect Und greater bleeding rate in TRITON-TIMI 38. The extent to which these factors were operational however is unknown.
Patienteninformationen für Effuse
Effizient ®
(EFâ´-FEE-ENT)
(Prasugrel) Tabletten
Was sind die wichtigsten Informationen, die ich über Effient wissen sollte?
Effizient is used to lower your chance of having a heart attack or other serious problems with your heart or blood vessels. But Effizient can cause bleeding which can be serious Und sometimes lead to death. You should not start to take Effizient if it is likely that you will have heart bypass surgery (coronary artery bypass graft surgery or CABG) right away. You have a higher risk of bleeding if you take Effizient Und then have heart bypass surgery.
Was ist effizient?
Effizient is a prescription medicine used to treat people who:
- einen Herzinfarkt oder schwere Brustschmerzen hatten, die auftreten, wenn Ihr Herz nicht genug Sauerstoff bekommt und
- wurden mit einem Verfahren behandelt, das als Angioplastie bezeichnet wird (auch Ballon -Angioplastik genannt).
Effizient is used to lower your chance of having another serious problem with your heart or blood vessels such as another heart attack a stroke Blutgerinnsel in your stent or death.
Blutplättchen sind Blutzellen, die bei normaler Blutgerinnung helfen. Effient hilft, zu verhindern, dass Blutplättchen zusammenkleben und ein Gerinnsel bilden, der eine Arterie oder einen Stent blockieren kann.
Es ist nicht bekannt, ob Effient sicher ist und bei Kindern arbeitet.
Wer sollte nicht effizient sein?
- Nehmen Sie sich nicht effizient, wenn Sie:
- Derzeit haben abnormale Blutungen wie Magen oder Darmblutungen oder Blutungen in Ihrem Kopf
- einen Schlaganfall oder einen Mini-Schlaganfall hatte (auch als transienter ischämischer Angriff oder TIA bekannt)
- sind allergisch gegen Prasugrel oder einen der Inhaltsstoffe in effizientem. Eine Liste von Zutaten in effientieren Sie das Ende dieses Medikamentenleitfadens.
- Holen Sie sich sofort medizinische Hilfe, wenn Sie glauben, einen Schlaganfall oder TIA zu haben. Zu den Symptomen, die Sie möglicherweise mit einem Schlaganfall oder TIA haben, gehören:
- plötzliche Verschlämmung der Sprache
- plötzliche Schwäche oder Taubheit in einem Teil Ihres Körpers
- plötzliche verschwommene Sicht oder plötzliche schwere Kopfschmerzen.
- Wenn Sie einen Schlaganfall oder eine TIA haben, während Sie effizient einnehmen, wird Ihr Arzt wahrscheinlich Ihren Effip stoppen. Befolgen Sie die Anweisungen Ihres Arztes, um Effient zu stoppen. Hören Sie nicht auf, effizient zu nehmen, es sei denn, Ihr Arzt sagt es Ihnen.
- Vor einer Operation sollten Sie mit Ihrem Arzt über die Beendigung von Effient sprechen. Wenn möglich, sollte Effient mindestens 1 Woche (7 Tage) vor einer Operation gestoppt werden, wie der Arzt angewiesen wird, der Ihnen Effient vorgeschrieben hat.
Die aufgeführten Marken sind Marken ihrer jeweiligen Eigentümer und keine Marken von Cosette Pharmaceuticals Inc.
Ihr Blutungsrisiko bei der Einnahme von Effient kann höher sein, wenn Sie auch:
- hatten ein Trauma wie Unfall oder Operation
- Magen- oder Darmblutungen, die in letzter Zeit sind oder immer wieder zurückkommen, oder Sie haben ein Magengeschwür
- schwere Leberprobleme haben
- haben mittelschwere bis schwere Nierenprobleme
- Wiegen Sie weniger als 132 Pfund
- Nehmen Sie andere Medikamente ein, die Ihr Blutungsrisiko erhöhen, einschließlich:
- Warfarin Natrium (Coumadin* Jantoven*)
- ein Medikament, das Heparin enthält
- andere Medikamente zur Verhinderung oder Behandlung von Blutgerinnseln
- Regelmäßige tägliche Verwendung von nichtsteroidalen entzündungshemmenden Medikamenten (NSAIDs)
Sagen Sie Ihrem Arzt, wenn Sie eine dieser Medikamente einnehmen. Fragen Sie Ihren Arzt, ob Sie nicht sicher sind, ob Ihr Medikament oben aufgeführt ist.
- Effizient increases your risk of bleeding because it lessens the ability of your blood to clot. While you take Effizient:
- Sie werden leichter blauen und bluten
- Sie haben eher Nasenbluten
- Es wird länger dauern, bis jede Blutung aufhören kann
- Rufen Sie Ihren Arzt sofort an, wenn Sie eines dieser Anzeichen oder Symptome von Blutungen haben:
- unerwartete Blutungen oder Blutungen, die lange dauern
- Blutungen, die schwerwiegend sind oder Sie können nicht kontrollieren
- rosa oder brauner Urin
- roter oder schwarzer Stuhl (sieht aus wie Teer)
- Blutergüsse, die ohne bekannte Ursache auftreten oder größer werden
- Husten up blood or Blutgerinnsel
- Erbrochenes oder Ihr Erbrochenes sieht aus wie Kaffeegelände
- Hören Sie nicht auf, effizient zu nehmen, ohne mit dem Arzt zu sprechen, der es für Sie vorschreibt. Menschen, die mit Angioplastik behandelt werden, einen Stent haben und zu früh aufhören, Effient zu nehmen, haben ein höheres Risiko für ein Blutgerinnsel im Stent, der einen Herzinfarkt oder Sterben hat. Wenn Sie aufhalten müssen, weil Ihr Risiko eines Herzinfarkts höher blutet, kann es höher sein. Sehen Sie, was sind die möglichen Nebenwirkungen von Effient? Weitere Informationen zu Nebenwirkungen.
Was soll ich meinem Arzt sagen, bevor ich effizient einnehme?
Bevor Sie sich effizient nehmen, informieren Sie Ihren Arzt über alle Ihre medizinischen Erkrankungen, einschließlich dessen, wenn Sie:
- Blutungsprobleme haben.
- einen Schlaganfall oder einen Mini-Schlaganfall hatte (auch als transienter ischämischer Angriff oder TIA bekannt).
- sind allergisch gegen Medikamente, einschließlich Clopidogrel (Plavix *) oder Ticlopidinhydrochlorid.
- haben eine Vorgeschichte von Magengeschwüren Darmpolypen Divertikulose.
- Leberprobleme haben.
- Nierenprobleme haben.
- haben kürzlich schwere Verletzungen oder Operationen hatten.
- Planen Sie eine Operation oder ein Zahnverfahren. Sehen Sie, was die wichtigsten Informationen sind, die ich über Effient wissen sollte?
- sind schwanger oder planen schwanger zu werden. Es ist nicht bekannt, ob Effient Ihrem Baby schadet.
- stillen. Es ist nicht bekannt, ob Effient in Ihre Muttermilch übergeht. Sie und Ihr Arzt sollten entscheiden, ob Sie effizient oder stillen. Sie sollten nicht beides tun, ohne mit Ihrem Arzt zu sprechen.
Erzählen Sie all Ihren Ärzten und Zahnärzten, dass Sie effizient einnehmen. Sie sollten mit dem Arzt sprechen, der Ihnen Effient verschrieben hat, bevor Sie Operationen oder invasives Verfahren durchführen. Erzählen Sie Ihrem Arzt von allen Medikamenten, die Sie einnehmen, einschließlich verschreibungspflichtiger und nicht verschreibungspflichtiger Medikamente Vitamine und Kräuterpräparate. Bestimmte Medikamente können Ihr Blutungsrisiko erhöhen. Sehen Sie, was die wichtigsten Informationen sind, die ich über Effient wissen sollte?
Kennen Sie die Medikamente, die Sie einnehmen. Halten Sie eine Liste von ihnen und zeigen Sie sie Ihrem Arzt und Apotheker, wenn Sie ein neues Medikament erhalten.
Wie soll ich effsig werden?
- Nehmen Sie effient genau wie von Ihrem Arzt vorgeschrieben.
- Nehmen Sie jeden Tag effient.
- Sie können mit oder ohne Nahrung effizient einnehmen.
- Teilen Sie keine effizienten Tabletten auf.
- Nehmen Sie sich mit Aspirin wie von Ihrem Arzt angewiesene Aspirin ein.
- Ihr Arzt wird entscheiden, wie lange Sie effient werden sollten. Hören Sie nicht auf, effizient zu nehmen, ohne zuerst mit dem Arzt zu sprechen, der es für Sie verschrieben hat. Sehen Was sind die wichtigsten Informationen, die ich über Effient wissen sollte?
- Wenn Sie eine Dosis verpassen, nehmen Sie effizient, sobald Sie sich erinnern. Wenn es fast Zeit für Ihre nächste Dosis ist, überspringen Sie die verpasste Dosis. Nehmen Sie einfach die nächste Dosis zu Ihrer regulären Zeit. Nehmen Sie keine zwei Dosen gleichzeitig ein, es sei denn, Ihr Arzt sagt es Ihnen.
- Wenn Sie zu viel effizient anrufen, rufen Sie sofort Ihre örtliche Notaufnahme oder Ihr Giftkontrollzentrum an.
- Rufen Sie Ihren Arzt oder Ihren Arzt sofort an, wenn Sie fallen oder sich selbst verletzen, insbesondere wenn Sie Ihren Kopf treffen. Ihr Arzt oder Gesundheitsdienstleister muss Sie möglicherweise überprüfen.
Was sind die möglichen Nebenwirkungen von Effient?
Effizient can cause serious side effects including:
- Sehen Was sind die wichtigsten Informationen, die ich über Effient wissen sollte?
- Ein Blutgerinnungsproblem, das als thrombotischer thrombozytopenischer Purpura (TTP) bezeichnet wird. TTP kann manchmal nach kurzer Zeit (weniger als 2 Wochen) mit Effient auftreten. TTP ist ein Problem mit Blutgerinnung, bei dem sich Blutgerinnsel in Blutgefäßen bilden und im ganzen Körper auftreten können. TTP muss sofort in einem Krankenhaus behandelt werden, weil Sie sterben können. Holen Sie sich sofort medizinische Hilfe, wenn Sie eines dieser Symptome haben und sie nicht durch eine andere Krankheit erklärt werden können:
- Purple Flecken, die Purpura auf der Haut oder Schleimhäute (wie im Mund) aufgrund von Blutungen unter der Haut genannt werden
- Blässe oder Gelbsucht (eine gelbliche Farbe der Haut oder Augen)
- müde oder schwach fühlen
- Fieber
- schnelle Herzfrequenz oder kurzer Atem
- Kopfschmerzen speech changes confusion coma stroke or seizure
- geringe Menge an Urin oder Urin, der in Rosa gesteckt ist oder Blut enthält
- Magenbereich (abdominal) Schmerz Übelkeit Erbrechen oder Durchfall
- visuelle Veränderungen
- Schwerwiegende allergische Reaktionen. Es können schwerwiegende allergische Reaktionen mit effizientem Auftritt auftreten oder wenn Sie eine schwerwiegende allergische Reaktion auf Medikamente hatten, die Thienopyridine als Clopidogrel (Plavix *) oder Ticlopidinhydrochlorid bezeichnen. Holen Sie sich sofort medizinische Hilfe, wenn Sie diese Symptome einer schweren allergischen Reaktion erhalten, während Sie effizient einnehmen.
- Schwellung oder Nesselsucht Ihrer Gesichtslippen in oder um Mund oder Hals um
- Probleme beim Atmen oder Schlucken
- Brustschmerzen oder Druck
- Schwindel or fainting
Sagen Sie Ihrem Arzt, wenn Sie einen Nebeneffekt haben, der Sie stört oder der nicht verschwindet.
Dies sind nicht alle möglichen Nebenwirkungen von Effient. Für weitere Informationen fragen Sie Ihren Arzt oder Apotheker.
Rufen Sie Ihren Arzt an, um medizinische Beratung zu Nebenwirkungen zu erhalten. Sie können die FDA bei 1-800-FDA-1088 Nebenwirkungen melden.
Wie soll ich effizient aufbewahren?
- Halten Sie bei Raumtemperatur zwischen 59 ° F und 86 ° C (15 ° C bis 30 ° C).
- Behalten und geben Sie nur in Originalbehälter auf.
- Halten Sie den Behälter fest mit dem grauen Zylinder im Inneren.
- Schützen effient vor Feuchtigkeit.
Halten Sie effizient und alle Medikamente außerhalb der Reichweite der Kinder.
Allgemeine Informationen über den sicheren und effektiven Einsatz von Effient
Medikamente werden manchmal für andere Zwecke als die in einem Medikamentenhandbuch aufgeführten Zwecke verschrieben. Verwenden Sie nicht effient für eine Erkrankung, für die sie nicht vorgeschrieben wurde. Geben Sie Ihren Menschen nicht effizient an andere Personen, auch wenn sie die gleichen Symptome haben, die Sie haben. Es kann ihnen schaden. Dieser Medikamentenhandbuch fasst die wichtigsten Informationen über Effient zusammen. Wenn Sie weitere Informationen über effizientes Gespräch mit Ihrem Arzt oder Apotheker wünschen.
Was sind die Zutaten effizient?
Wirkstoff: Prasugrel
Inaktive Zutaten: MANNITOL HYPROMELLOSE Niedrig substituierte Hydroxypropylcellulose-mikrokristalline Cellulose-Saccharose-Stearat und Glyceryl-Bäden. Die Farbbeschichtungen enthalten Lactose -Hypromellose -Titan -Dioxid -Triacetin -Eisenoxidgelb und Eisenoxidrot (nur in effizienter 10 mg Tablette).
Dieser Medikamentenführer wurde von der US -amerikanischen Food and Drug Administration zugelassen.