Die Informationen Auf Dieser Website Stellen Keine Medizinische Beratung Dar. Wir Verkaufen Nichts. Die Richtigkeit Der Übersetzung Wird Nicht Garantiert. Haftungsausschluss



Haldol Decanoate

Drogenzusammenfassung

Was ist Haldol Decanoate?

Haldol Decanoat (Haloperidol Decanoat) ist eine Antipsychotikerin zur Behandlung von Schizophrenie. Haldol Decanoate ist in erhältlich generisches bilden.

Was sind Nebenwirkungen von Haldol Decanoate?

Haldol Decanoate



  • Nesselsucht
  • Schwierigkeiten beim Atmen
  • Schwellung Ihrer Gesichtslippen Zunge oder Hals
  • Muskelkrampf oder Steifheit
  • Unruhe
  • Maskenartiger Gesichtsausdruck
  • sabbern
  • Penis -Erektion, die schmerzhaft ist oder mehr als 4 Stunden dauert
  • Gesichtsmuskel zucken
  • Zungenschub
  • Kautbewegungen
  • Puffing oder Puckering Ihres Monats
  • Unkontrollierbares Schütteln
  • Fieber
  • Muskelschmerzen oder Zärtlichkeit
  • Schwäche
  • schwere Müdigkeit
  • schwere Verwirrung
  • Schwitzen
  • schneller oder unregelmäßiger Herzschlag
  • dunkler Urin
  • Änderungen der Urinmenge
  • anhaltende Übelkeit oder Erbrechen
  • Magenschmerzen
  • vergilbt der Augen oder Haut (Gelbsucht)
  • Anfälle
  • anhaltend Halsschmerzen
  • langsamer Herzschlag
  • schwerer Schwindel
  • Brustschmerzen und
  • Ohnmacht

Holen Sie sich sofort medizinische Hilfe, wenn Sie eines der oben aufgeführten Symptome haben.



Zu den häufigen Nebenwirkungen von Haldol Decanoat gehören:

  • Schwindel
  • Schläfrigkeit
  • Schwierigkeiten zu urinieren
  • Probleme beim Schlafen
  • Kopfschmerzen
  • Angst und
  • Schmerzen an der Injektionsstelle.

Sagen Sie Ihrem Arzt, wenn Sie ernsthafte Nebenwirkungen von Haldol Decanoate haben, einschließlich:



  • Muskelkrampf/Steifheit
  • zittern (Zittern)
  • Unruhe
  • maskenähnliche Gesichtsausdruck oder
  • sabbern.

Suchen Sie medizinische Versorgung oder rufen Sie auf einmal 911 an, wenn Sie die folgenden schwerwiegenden Nebenwirkungen haben:

  • Schwerwiegende Augensymptome wie plötzlicher Sehverlust verschwommenes Sehen Tunnel Sehschmerzen oder Schwellungen oder Halos in der Umgebung des Lichts;
  • Schwerwiegende Herzsymptome wie schnelle unregelmäßige oder pochende Herzschläge; Flattern in deiner Brust; Kurzatmigkeit; und plötzliche Schwindel -Benommenheit oder ohnmächtig;
  • Starke Kopfschmerzen Verwirrung verwirrt Spracharm oder Bein Schwäche Schwierigkeiten beim Verlust der Koordination unstabil sehr steifes Muskeln hoher Fieber problemlos Schwitzen oder Zittern.

Dieses Dokument enthält nicht alle möglichen Nebenwirkungen und andere können auftreten. Wenden Sie sich an Ihren Arzt nach zusätzlichen Informationen zu Nebenwirkungen.

Welche Drogensubstanzen oder Nahrungsergänzungsmittel interagieren mit Haldol Decanoat?

In seltenen Fällen kann Haldol -Dekanoat Ihren Grad einer bestimmten Chemikalie (Prolaktin) erhöhen. Bei Frauen kann dieser Anstieg des Prolaktins dazu führen, dass unerwünschte Muttermilch übersehen/gestoppt werden oder Schwierigkeiten schwanger werden. Bei Männern kann dies zu einer geringeren Unfähigkeit der sexuellen Fähigkeiten führen, Spermien oder vergrößerte Brüste zu erzeugen. Sagen Sie Ihrem Arzt, wenn Sie eines dieser Symptome entwickeln. Bei Männern in dem unwahrscheinlichen Event haben Sie eine schmerzhafte oder längere Erektion (mehr als 4 Stunden) Hör auf, Haldol Decanoate zu verwenden, und es können unmittelbare medizinische Hilfe oder dauerhafte Probleme auftreten.

Dosierung für Haldol Decanoat

Die Dosierung von Haldol Decanoat sollte 3 ml pro Injektion nicht überschreiten. Sprechen Sie mit Ihrem Arzt über Ihre individuelle Dosierungsempfehlung. Andere Medikamente wie Amiodaron Erythromycin Belladonna -Alkaloide Warfarin Lithium levodopa rifampin diphenhydramin codein risperidon und trazodon können mit Haldol -Decanoat interagieren. Sagen Sie Ihrem Arzt alle Medikamente, die Sie verwenden. Hören Sie nicht auf, Haldol Decanoate plötzlich ohne Rücksprache mit Ihrem Arzt zu nehmen. Bei der Einnahme von Haldol -Dekanoat ist Vorsicht geboten, wenn Sie älter sind.

Haldol Decanoat während der Schwangerschaft und des Stillens

Wenn Sie schwanger sind, nehmen Sie nur Haldol Decanoate ein, wenn der Nutzen das potenzielle Risiko für den Fötus überwiegt. Verwenden Sie Haldol Decanoate nicht, wenn Sie stillen.

Wie viel Modafinil sollte ich nehmen

Weitere Informationen

Unser Haldol Decanoat (Haloperidol Decanoat) -Verzusammenstellungsmittelzentrum bietet einen umfassenden Überblick über die verfügbaren Arzneimittelinformationen über die potenziellen Nebenwirkungen bei der Einnahme dieses Medikaments.

FDA -Drogeninformationen

WARNUNG

Eine erhöhte Mortalität bei älteren Patienten mit Demenz-bedingter Psychose: ältere Patienten mit Demenz-bedingten Psychose, die mit Antipsychotika behandelt wurden, haben ein erhöhtes Risiko für das Todesrisiko. Analysen von siebzehn placebokontrollierten Studien (modaler Dauer von 10 Wochen) bei Patienten, die atypische Antipsychotika einnahmen, zeigten ein Risiko eines Todes bei medikamentenbehandelten Patienten mit dem 1,6-fachen des 1,7-fachen des Todesrisikos bei mit Placebo behandelten Patienten. Im Verlauf einer typischen 10-wöchigen kontrollierten Studie betrug die Todesrate bei mit Drogen behandelten Patienten etwa 4,5%, verglichen mit einer Rate von etwa 2,6% in der Placebo-Gruppe. Obwohl die Todesursachen variiert wurden, schienen die meisten Todesfälle entweder kardiovaskulär (z. B. plötzlicher Todesfall -Herzversagen) oder infektiös (z. B. Lungenentzündung) in der Natur zu sein. Beobachtungsstudien legen nahe, dass ähnlich wie eine atypische Behandlung mit Antipsychotika mit konventionellen Antipsychotika die Mortalität erhöhen kann. Das Ausmaß, in dem die Ergebnisse einer erhöhten Mortalität in Beobachtungsstudien auf das Antipsychotika im Gegensatz zu einigen Merkmalen der Patienten zurückgeführt werden können, ist nicht klar. Haldol Decanoat (Haloperidol Decanoat) ist nicht für die Behandlung von Patienten mit Demenz-bedingter Psychose zugelassen (siehe WARNUNGS ).

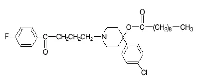
Beschreibung für Haldol Decanoate

Haloperidol Decanoat ist der Decanoatester des Butyrophenon -Haldols (Haloperidol). Es hat eine deutlich erweiterte Wirkungdauer. Es ist in Sesamöl in steriler Form für die intramuskuläre (IM) -injektion erhältlich. Die strukturelle Formel von Haloperidol Decanoat 4- (4-Chlorphenyl) -1- [4- (4-Fluorphenyl) -4-Oxobutyl] -4 Piperidinyl-Decanoat ist:

Haloperidol Decanoat ist in Wasser fast unlöslich (NULL,01 mg/ml), aber in den meisten organischen Lösungsmitteln löslich.

Jedes Ml Haldol -Decanoat (Haloperidol Decanoat) 50 für die IM -Injektion enthält 50 mg Haloperidol (als Haloperidol -Decanoat 70,52 mg) in einem Sesamölfahrzeug mit 1,2% (W/V) Benzylalkohol als Vorbehalt.

Jedes Ml Haldol -Decanoat (Haloperidol Decanoat) 100 für die IM -Injektion enthält 100 mg Haloperidol (als Haloperidol Decanoat 141,04 mg) in einem Sesamölfahrzeug mit 1,2% (W/V) Benzylalkohol als Vorbehalt.

Verwendung für Haldol Decanoate

Haldol Decanoat (Haloperidol Decanoat) 50 und Haldol Decanoat (Haloperidol Decanoat) 100 sind für die Behandlung schizophrener Patienten angezeigt, die eine verlängerte parenterale Antipsychotherapie benötigen.

Dosierung für Haldol Decanoat

Haldol Decanoat (Haloperidol Decanoat) 50 und Haldol Decanoat (Haloperidol Decanoat) 100 sollten durch eine tiefe intramuskuläre Injektion verabreicht werden. Eine 21 -Gauge -Nadel wird empfohlen. Das maximale Volumen pro Injektionsstelle sollte 3 ml nicht überschreiten. Nicht intravenös verabreichen .

Parenterale Arzneimittel sollten vor der Verabreichung visuell auf Partikel und Verfärbungen untersucht werden, wenn Lösung und Behälter dies zulassen.

Haldol Decanoat (Haloperidol Decanoat) 50 und Haldol Decanoat (Haloperidol Decanoat) 100 dienen zur Verwendung bei schizophrenen Patienten, die eine längere parenterale Antipsychotherapie benötigen. Diese Patienten sollten zuvor bei Antipsychotika stabilisiert werden, bevor sie eine Umwandlung in Haloperidol Decanoat in Betracht ziehen. Darüber hinaus wird empfohlen, dass Patienten, die für die Haloperidol-Decanoat-Therapie in Betracht gezogen werden, behandelt wurden und gut kurzwirtschaftliche Haldol (Haloperidol) tolerieren, um die Möglichkeit einer unerwarteten nachteiligen Empfindlichkeit gegenüber Haloperidol zu verringern. Während der Anfangszeit der Dosisanpassung ist eine enge klinische Überwachung erforderlich, um das Risiko einer Überdosierung oder Wiederaufnahme der psychotischen Symptome vor der nächsten Injektion zu minimieren. Während der Dosisanpassung oder der Exazerbation der Symptome der Schizophrenie-Haloperidol-Decanoat-Therapie können durch kurzwirkende Formen von Haloperidol ergänzt werden.

Die Dosis von Haldol Decanoat (Haloperidol Decanoat) 50 oder Haldol Decanoat (Haloperidol Decanoat) 100 sollte in Bezug auf seinen Haloperidol -Gehalt ausgedrückt werden. Die Startdosis von Haloperidol -Dekanoat sollte auf der körperlichen Verfassung des Patienten und der Reaktion auf frühere Antipsychotherapie beruhen. Der bevorzugte Ansatz zur Bestimmung der minimalen effektiven Dosis besteht darin, mit niedrigeren Anfangsdosen zu beginnen und die Dosis nach Bedarf nach oben anzupassen. Bei Patienten, die zuvor auf niedrigen Dosen von Antipsychotika (z. B. bis zu 10 mg/Tag orales Haloperidol) aufrechterhalten wurden, wird empfohlen, dass die anfängliche Dosis von Haloperidol-Decanoat 10-15-fache der vorherigen täglichen Dosis in oralen Haloperidol-Äquivalenten beträgt. Begrenzte klinische Erfahrung deuten darauf hin, dass niedrigere Anfangsdosen angemessen sein können.

Ersttherapie

Die Umwandlung von oralem Haloperidol in Haloperidol -Decanoat kann durch Verwendung einer anfänglichen Dosis von Haloperidol -Decanoat erreicht werden, die 10- bis 20 -fache der vorherigen täglichen Dosis in oralen Haloperidoläquivalenten beträgt.

Bei Patienten, die ältere Menschen in niedrigen oralen Haloperidol -Dosen (z. B. bis zu 10 mg/Tag orales Haloperidol) geschwächt oder stabil sind, ist ein Bereich von 10 bis 15 -fachen der vorherigen täglichen Dosis in oralen Haloperidoläquivalenten für die anfängliche Umwandlung geeignet.

Sulfameth Trimethoprim 800 160 mg TB

Bei Patienten, die zuvor auf höheren Dosen von Antipsychotika aufrechterhalten wurden, für die ein niedriges Dosisansatz ein Wiederauftreten der psychiatrischen Dekompensation besteht, und bei Patienten, deren langfristige Verwendung von Haloperidol zu einer Toleranz gegenüber dem Medikament 20-fachen der vorherigen täglichen Dosis bei oralen Haloperidol-Äquivalenten bei der ersten Bekehrung bei der Titration nach unten berücksichtigt werden sollte.

Die anfängliche Dosis von Haloperidol -Dekanoat sollte unabhängig von früheren Anforderungen an die Antipsychotika nicht über 100 mg überschreiten. Wenn die Umwandlung daher mehr als 100 mg Haloperidol -Decanoat als anfängliche Dosis erfordert, sollte diese Dosis in zwei Injektionen verabreicht werden, d. H. maximal 100 mg, gefolgt von dem Gleichgewicht in 3 bis 7 Tagen.

Erhaltungstherapie

Die Wartungsdosis von Haloperidol -Dekanoat muss aufgrund der therapeutischen Reaktion mit Titration nach oben oder unten individualisiert werden. Der übliche Wartungsbereich beträgt das 10- bis 15 -fache der vorherigen täglichen Dosis in oralen Haloperidol -Äquivalenten, die von der klinischen Reaktion des Patienten abhängen.

Haldol Decanoate (Haloperidol Decanoate) Dosierungsempfehlungen

Patienten Monatlich
1. Monat
Wartung
Stabilisiert bei niedrigen täglichen oralen Dosen
(bis zu 10 mg/Tag)
Ältere oder geschwächte
10-15 x tägliche orale Dosis 10-15 x Vorherige tägliche orale Dosis
Hohe Dosis
Risiko eines Rückfalls
Tolerant gegenüber oraler Haloperidol
20 x tägliche orale Dosis 10-15 x Vorherige tägliche orale Dosis

Eine enge klinische Überwachung ist während der Initiierung und Stabilisierung der Haloperidol -Dekanoat -Therapie erforderlich. Haloperidol Decanoat wird normalerweise monatlich oder alle 4 Wochen verabreicht. Die Variation der Patientenreaktion kann jedoch eine Anpassung des Dosierungsintervalls sowie der Dosis bestimmen (siehe Klinische Pharmakologie ).

Die klinische Erfahrung mit Haloperidol -Decanoat in Dosen von mehr als 450 mg pro Monat war begrenzt.

Wie geliefert

Haldol® (Haloperidol) Decanoat 50 für IM -Injektion 50 mg Haloperidol als 70,52 mg pro ml Haloperidol Decanoat - NDC 0045-0253 10 x 1 ml Ampuls und 3 x 1 ml Ampuls.

Haldol® (Haloperidol) Decanoat 100 für IM -Injektion 100 mg Haloperidol als 141,04 mg pro ml Haloperidol Decanoat - NDC 0045-0254 5 x 1 ml Ampuls.

Lagern Sie bei kontrollierter Raumtemperatur (15 ° -30 ° C 59 ° -86 ° F). Nicht kühlen oder einfrieren.

Vor Licht schützen.

Hergestellt von: Jansen Pharmaceutica N.V. Biere Belgien. Verteilt von: orthodox Pharmaceutical Inc. Raritan NJ 08869. FDA Rev. Datum: 14.08.14/2

Nebenwirkungen for Haldol Decanoate

Nebenwirkungen nach der Verabreichung von Haldol Decanoat (Haloperidol Decanoat) 50 oder Haldol Decanoat (Haloperidol Decanoat) sind die von Haldol (Haloperidol). Da sich mit Haldol umfangreiche Erfahrung angesammelt hat, werden für diese Verbindung sowie für Haloperidol -Dekanoat die nachteiligen Reaktionen angegeben. Wie bei allen injizierbaren Medikamenten wurden mit Haloperidol Decanoat lokale Gewebereaktionen berichtet.

Herz -Kreislauf -Effekte

Tachykardie -Hypotonie und Bluthochdruck wurden berichtet. Die QT -Verlängerung und/oder ventrikuläre Arrhythmien wurden zusätzlich zu EKG -Musteränderungen berichtet WARNUNGS Und VORSICHTSMASSNAHMEN ).

Fälle von plötzlichem und unerwartetem Tod wurden in Verbindung mit der Verwaltung von Haldol gemeldet. Die Art der Beweise macht es unmöglich, endgültig zu bestimmen, welche Rolle ein Haldol im Ergebnis der gemeldeten Fälle spielte. Die Möglichkeit, dass Haldol den Tod verursachte, kann natürlich nicht ausgeschlossen werden, aber es ist zu beachten, dass ein plötzlicher und unerwarteter Tod bei psychotischen Patienten auftreten kann, wenn sie unbehandelt bleiben oder wenn sie mit anderen Antipsychotika behandelt werden.

CNS -Effekte

Extrapyramidale Symptome (EPS)

EPS während der Verabreichung von Haldol (Haloperidol) wurde in den ersten Tagen der Behandlung häufig häufig berichtet. EPS kann im Allgemeinen als Parkinson-ähnliche Symptome Akathisia oder Dystonie (einschließlich Opisthotonos und okulogyrischer Krise) eingestuft werden. Während alle bei relativ niedrigen Dosen auftreten können, treten sie häufiger und mit höherer Schwere bei höheren Dosen auf. Die Symptome können mit Dosisreduktionen oder Verabreichung von Antiparkinson -Arzneimitteln wie Benztropin -Mesylat -USP oder Trihexyphenidylhydrochlorid USP kontrolliert werden. Es ist zu beachten, dass anhaltende EPs gemeldet wurden; Das Medikament muss in solchen Fällen möglicherweise abgesetzt werden.

Dystonie

Klasseneffekt: Die Symptome einer Dystonie verlängerten abnormalen Kontraktionen von Muskelgruppen können bei anfälligen Personen in den ersten Tagen der Behandlung auftreten. Dystonische Symptome umfassen: Krampf der Halsmuskeln, die manchmal zu Enge des Hals und der Schwierigkeitsgrad der Schwierigkeiten bei der Atmung und/oder dem Vorsprung der Zunge führen. Während diese Symptome bei niedrigen Dosen auftreten können, treten sie häufiger und mit höherer Schwere mit hoher Potenz und höheren Dosen der Antipsychotika der ersten Generation auf. Bei Männern und jüngeren Altersgruppen wird ein erhöhtes Risiko einer akuten Dystonie beobachtet.

Entzug aufstrebende neurologische Anzeichen

Im Allgemeinen haben Patienten, die kurzfristige Therapie erhalten, keine Probleme mit abruptem Absetzen von Antipsychotika. Einige Patienten mit Erhaltung der Behandlung haben jedoch nach abrupten Rückzug transiente dyskinetische Anzeichen. In bestimmten Fällen sind die dyskinetischen Bewegungen nicht von dem nachstehend unter verspäteten Dyskinesien beschriebenen Syndrom mit Ausnahme der Dauer nicht zu unterscheiden. Obwohl die langweiligen Eigenschaften von Haloperidol-Dekanoat einen allmählichen Entzug bieten, ist nicht bekannt, ob der allmähliche Entzug von Antipsychotika die Auftreten des Auftretens von aufstrebenden neurologischen Anzeichen verringert.

Verspätete Dyskinesie

Wie bei allen Antipsychotika wurde Haldol mit anhaltender Dyskinesien in Verbindung gebracht. Bei einigen Patienten, die aus potenziell irreversiblen unfreiwilligen Dyskinetikbewegungen besteht, kann bei einigen Patienten mit einer Langzeittherapie mit Haloperidol Decanoat oder nach dem Abbruch der Arzneimitteltherapie auftreten. Das Risiko scheint bei älteren Patienten mit hochdosischer Therapie, insbesondere bei Frauen, größer zu sein. Die Symptome sind anhaltend und bei einigen Patienten irreversibel. Das Syndrom ist durch rhythmische unfreiwillige Bewegungen der Zungengesichtsmündung oder des Kiefers gekennzeichnet (z. Manchmal können diese von unwillkürlichen Bewegungen der Extremitäten und des Kofferraums begleitet werden.

Es ist keine wirksame Behandlung für verspätete Dyskinesie bekannt; Antiparkinson -Mittel lindern normalerweise nicht die Symptome dieses Syndroms. Es wird vermutet, dass alle Antipsychotika abgesetzt werden, wenn diese Symptome auftreten. Sollte es notwendig sein, die Behandlung wieder zu steigern oder die Dosierung des Wirkstoffs zu erhöhen oder auf ein anderes Antipsychotikum zu wechseln, kann dieses Syndrom maskiert werden.

Was ist ein anderer Name für Lorazepam

Es wurde berichtet, dass eine feine Vermikularbewegung der Zunge ein frühes Zeichen einer verspäteten Dyskinesie sein kann und dass sich das gesamte Syndrom möglicherweise nicht entwickelt, wenn das Medikament zu diesem Zeitpunkt gestoppt wird.

Verspätete Dystonie

Es wurde ebenfalls eine verspätete Dystonie gemeldet, die nicht mit dem obigen Syndrom assoziiert ist. Eine verspätete Dystonie ist durch verzögertes Beginn von Chorei- oder dystonischen Bewegungen gekennzeichnet und hat das Potenzial, irreversibel zu werden.

Andere ZNS -Effekte

Schlaflosigkeit Unruhe Angst Euphorie Agitation Schläfrigkeit Depression Lethargie Kopfschmerz Vertigo Grand Mal-Anfälle Verschlimmerung von psychotischen Symptomen, einschließlich Halluzinationen und katatonischem Verhaltenszustand, die auf den Entzug von Arzneimitteln und/oder die Behandlung mit Anticholinergika reagieren können.

Körper als Ganzes

Neuroleptisches maligneres Syndrom (NMS) -Hyperpyrexie und Wärmeschlag wurden mit Haldol berichtet. (Sehen WARNUNGS Weitere Informationen zu NMS. )

Hämatologische Wirkungen

Berichte schienen das Auftreten einer leichten und normalerweise vorübergehenden Leukopenie- und Leukozytose -minimalen Abnahme der Anämie der roten Blutkörperchen oder einer Tendenz zur Lymphomonozytose angeführt zu haben. Es wurde selten berichtet, dass Agranulozytose bei der Verwendung von Haldol und dann nur in Verbindung mit anderen Medikamenten aufgetreten ist.

Lebereffekte

Eine beeinträchtigte Leberfunktion und/oder Gelbsucht wurden gemeldet.

Dermatologische Reaktionen

Makulopapuläre und aknoriforme Hautreaktionen und isolierte Fälle von Photosensitivität und Haarverlust.

Endokrine Störungen

Laktation Brust Engorgeement Mastalgie Menstruationsunregelmäßigkeiten Gynäkomastie Impotenz Erhöhte Libido -Hyperglykämie Hypoglykämie und Hyponatriämie.

Magen -Darm -Effekte

Anorexie -Verstopfung Durchfall Durchfall Hypersalivation Dyspepsie Übelkeit und Erbrechen.

Autonomische Reaktionen

Trockener Mund verschwommenes Sehvermögen Harnretention Diaphorese und Priapismus.

Atemwegseffekte

Laryngospasmus Bronchospasmus und erhöhte Atemtiefe.

Besondere Sinne

Katarakten Retinopathie und Sehstörungen.

Nachmarktereignisse

Hyperammonämie wurde bei einem 5 1/2 Jahre alten Kind mit Citrullinämie einer ererbten Störung der Ammoniakausscheidung nach der Behandlung mit Haldol berichtet.

Wechselwirkungen mit Arzneimitteln for Haldol Decanoate

Ein enzephalopathisches Syndrom (gekennzeichnet durch Tremslosigkeit von Schwäche und Verwirrung extrapyramidale Symptome Leukozytose erhöhte Serumenzyme Bun und FBS), gefolgt von irreversiblen Hirnschäden, ist bei einigen Patienten aufgetreten, die mit Lithium plus Haldol behandelt wurden. Eine kausale Beziehung zwischen diesen Ereignissen und der gleichzeitigen Verabreichung von Lithium und Haldol wurde nicht hergestellt; Patienten, die eine solche kombinierte Therapie erhalten, sollten jedoch genau überwacht werden, um einen frühen Hinweis auf neurologische Toxizität und Behandlung abzubauen, wenn solche Anzeichen auftreten.

Wie bei anderen Antipsychotika sollte beachtet werden, dass Haldol in der Lage sein kann, ZNS -Depressiva wie Anästhesistopiate und Alkohol zu potenzieren.

In einer Studie mit 12 schizophrenen Patienten wurden orale Haloperidol- und Rifampin -Plasma -Haloperidol -Spiegel mit einem Mittelwert von 70% verringert und die Durchschnittswerte für die kurze psychiatrische Bewertungsskala von Ausgangswert erhöht. Bei 5 anderen schizophrenen Patienten, die mit oralem Haloperidol behandelt wurden, und Rifampin-Abbruch von Rifampin führten zu einem durchschnittlichen 3,3-fachen Anstieg der Haloperidolkonzentrationen. Daher ist eine sorgfältige Überwachung des klinischen Status erforderlich, wenn Rifampin bei mit Haloperidol behandelten Patienten verabreicht oder eingestellt wird.

Warnungen for Haldol Decanoate

Erhöhte Mortalität bei älteren Patienten mit Demenz-bedingter Psychose

Ältere Patienten mit Demenz-bezogenen Psychose, die mit Antipsychotika behandelt wurden, haben ein erhöhtes Todesrisiko. Haldol Decanoat (Haloperidol Decanoat) ist nicht für die Behandlung von Patienten mit Demenz-bedingter Psychose zugelassen (siehe WARNUNG BOXED ).

Herz -Kreislauf -Effekte

Es wurden Fälle von plötzlichen Todesvertretungen und Torsades de Pointes bei Patienten, die Haloperidol erhielten, berichtet. Höher als empfohlene Dosen jeglicher Formulierung und intravenöser Verabreichung von Haloperidol scheinen mit einem höheren Risiko für QT-Prolongation und Torsades de Pointes verbunden zu sein. Obwohl Fälle auch in Abwesenheit von prädisponierenden Faktoren berichtet wurden, wird bei der Behandlung von Patienten mit anderen QT-Verbindungsbedingungen (einschließlich Elektrolyt-Ungleichgewicht [insbesondere Hypokaliämie und Hypomagneämie] Medikamente, von denen bekannt ist, dass die qt-zugrunde liegenden Herzanomalien-Hypothyroidismus und das familiäre QT-Syndrom zugrunde liegen, vorsichtig. Haldol Decanoat (Haloperidol Decanoat) darf nicht intravenös verabreicht werden .

Verspätete Dyskinesie

Ein Syndrom, das aus potenziell irreversiblen unfreiwilligen dyskinetischen Bewegungen besteht, kann bei Patienten, die mit Antipsychotika behandelt werden, entwickeln. Obwohl die Prävalenz des Syndroms bei älteren Menschen am höchsten zu sein scheint, insbesondere ältere Frauen, ist es unmöglich, sich auf die Prävalenzschätzungen zu verlassen, um zu Beginn der antipsychotischen Behandlung vorherzusagen, die Patienten wahrscheinlich das Syndrom entwickeln. Ob Antipsychotika sich in ihrem Potenzial unterscheiden, eine verspätete Dyskinesie zu verursachen, ist unbekannt.

Es wird angenommen, dass sowohl das Risiko einer Verspätungsdyskinesie als auch die Wahrscheinlichkeit, dass sie irreversibel werden wird, mit der Dauer der Behandlung und der gesamten kumulativen Dosis antipsychotischer Medikamente, die dem Patientenerhöhung verabreicht werden, zunehmen. Das Syndrom kann sich jedoch nach relativ kurzen Behandlungszeiten bei niedrigen Dosen weitaus seltener entwickeln.

Es ist keine Behandlung für festgelegte Fälle von Verspätungsdyskinesien bekannt, obwohl das Syndrom teilweise oder vollständig überweisen kann, wenn die Antipsychotika zurückgezogen wird. Die Antipsychotika selbst kann jedoch die Anzeichen und Symptome des Syndroms unterdrücken (oder teilweise unterdrücken) und dadurch möglicherweise den zugrunde liegenden Prozess maskieren. Die Auswirkung, die die symptomatische Unterdrückung auf den langfristigen Verlauf des Syndroms hat, ist unbekannt.

Angesichts dieser Überlegungen sollten Antipsychotika auf eine Weise verschrieben werden, die am wahrscheinlichsten das Auftreten einer verspäteten Dyskinesie minimiert. Eine chronische Antipsychotika sollte im Allgemeinen Patienten vorbehalten sein, die an einer chronischen Krankheit leiden, von der bekannt ist nicht verfügbar oder angemessen. Bei Patienten, die eine chronische Behandlung benötigen, sollte die kleinste Dosis und die kürzeste Dauer der Behandlung, die ein zufriedenstellendes klinisches Ansprechen erzeugt, gesucht werden. Die Notwendigkeit einer fortgesetzten Behandlung sollte regelmäßig neu bewertet werden.

Wenn Anzeichen und Symptome einer verspäteten Dyskinesie bei einem Patienten auf Antipsychotika auftreten, sollten Arzneimittelabbruch in Betracht gezogen werden. Einige Patienten müssen jedoch trotz des Vorhandenseins des Syndroms behandelt werden. (Weitere Informationen zur Beschreibung der Verspätungsdyskinesie und ihrer klinischen Erkennung finden Sie unter Nebenwirkungen . )

Neuroleptisches maligneres Syndrom (NMS)

Ein potenziell tödlicher Symptomkomplex, das manchmal als neuroleptisches maligneres Syndrom (NMS) bezeichnet wird, wurde in Verbindung mit Antipsychotika berichtet. Klinische Manifestationen von NMS sind Hyperpyrexia -Muskelsteifigkeit veränderten den psychischen Status (einschließlich katatonischer Anzeichen) und Hinweise auf autonome Instabilität (unregelmäßiger Puls oder Blutdruck -Tachykardie -Diaphorese und Herzdysrhythmien). Zusätzliche Anzeichen können erhöhte Kreatinphosphokinase -Myoglobinurie (Rhabdomyolyse) und sein Akutes Nierenversagen .

Die diagnostische Bewertung von Patienten mit diesem Syndrom ist kompliziert. Bei der Ankunft einer Diagnose ist es wichtig, Fälle zu identifizieren, in denen die klinische Präsentation sowohl schwere medizinische Erkrankungen (z. B. systemische Infektion usw. Lungenentzündungen usw.) als auch unbehandelte oder unzureichende extrapyramiktale Anzeichen und Symptome (EPS) umfasst. Weitere wichtige Überlegungen in der Differentialdiagnose sind zentrales anticholinerge Toxizitäts -Hitzschlag -Wirkstoff -Arzneimittelfieber und Pathologie des primären Zentralnervensystems (CNS).

Die Behandlung von NMS sollte 1) sofortiges Absetzen von Antipsychotika und anderen Medikamenten umfassen, die für die gleichzeitige Therapie nicht wesentlich sind. Es gibt keine allgemeine Übereinstimmung über spezifische pharmakologische Behandlungsschemata für unkomplizierte NMs.

Wenn ein Patient nach der Genesung von NMS eine Antipsychotikalmedikamentenbehandlung benötigt, sollte die potenzielle Wiedereinführung der medikamentösen Therapie sorgfältig berücksichtigt werden. Der Patient sollte sorgfältig überwacht werden, da über ein rezidiviertes NMS berichtet wurde.

Hyperpyrexie und Hitzschlag, die nicht mit dem obigen Symptomkomplex verbunden sind, wurden ebenfalls mit Haldol berichtet.

Allgemein

Eine Reihe von Fällen von Bronchopneumonie, die einige tödlich sind, haben die Verwendung von Antipsychotika einschließlich Haldol (Haloperidol) verfolgt. Es wurde postuliert, dass Lethargie und ein verringertes Durstgefühl aufgrund einer zentralen Hemmung zu einer Dehydrationshämokonzentration und einer verringerten Lungenbeatmung führen können. Wenn die oben genannten Anzeichen und Symptome insbesondere bei älteren Menschen auftreten, sollte der Arzt daher umgehend eine Sanierungstherapie einrichten.

Obwohl nicht mit Haldol berichtet wurde, wurde das Serumcholesterinspiegel und/oder Hautveränderungen und Augenveränderungen bei Patienten berichtet, die chemisch verwandte Arzneimittel erhalten.

Welche Art von Medizin ist Lexapro

Vorsichtsmaßnahmen for Haldol Decanoate

Haldol Decanoat (Haloperidol Decanoate) 50 und Haldol Decanoat (Haloperidol Decanoate) 100 sollten den Patienten vorsichtig verabreicht werden:

- Bei schweren kardiovaskulären Störungen aufgrund der Möglichkeit einer vorübergehenden Hypotonie und/oder der Ausfällung von Anginalschmerzen. Sollte eine Hypotonie auftreten und ein Vasopressor erforderlich sein sollte, sollte kein Epinephrin verwendet werden, da Haldol (Haloperidol) seine Vasopressoraktivität blockieren kann und eine paradoxe Verringerung des Blutdrucks auftreten kann. Stattdessen sollte Metaraminol Phenylephrin oder Noradrenalin verwendet werden.

- Empfangen von Antikonvulsiva -Medikamenten mit Anfällen von Anfällen oder mit EEG -Anomalien, da Haldol die krampfhafte Schwelle senken kann. Wenn angegeben, sollten eine angemessene antikonvulsive Therapie gleichzeitig aufrechterhalten werden.

-Mit bekannten Allergien oder mit allergischen Reaktionen auf Drogen.

-Reciving -Antikoagulanzien seit einem isolierten Fall von Interferenzen mit den Wirkungen eines Antikoagulans (Phenindion).

Wenn ein gleichzeitiges Antiparkinson -Medikament erforderlich ist, muss es möglicherweise fortgesetzt werden, nachdem Haldol Decanoat (Haloperidol Decanoat) 50 oder Haldol Decanoat (Haloperidol Decanoat) 100 wegen der längeren Wirkung von Haloperidol -Decanoat abgebrochen wird. Wenn beide Medikamente gleichzeitig extrapyramidale Symptome auftreten können. Der Arzt sollte den möglichen Anstieg des intraokularen Drucks berücksichtigen, wenn Antiparkinson -Wirkstoffe mit Haloperidol Decanoat gleichzeitig mit Haloperidol -Decanoat verabreicht werden.

Bei Patienten mit Thyrotoxikose, die auch Antipsychotika -Medikamente erhalten, einschließlich Haloperidol -Decanoat -schwere Neurotoxizität (Starrheit Unfähigkeit, zu gehen oder zu sprechen) auftreten kann.

Wenn Haldol verwendet wird, um Manie bei bipolaren Erkrankungen zu kontrollieren, kann es zu einer schnellen Stimmungsschwung zur Depression kommen.

Karzinogenese -Mutagenese und Beeinträchtigung der Fruchtbarkeit

Im Ames Salmonella -mikrosomalen Aktivierungsassay wurde kein mutagenes Potential von Haloperidol -Decanoat gefunden. Negative oder inkonsistente positive Befunde wurden in erhalten in vitro Und vergeblich Studien zu Auswirkungen von kurzwirksamem Haloperidol auf die Chromosomenstruktur und -zahl. Die verfügbaren zytogenetischen Erkenntnisse gelten als zu inkonsistent, um zu diesem Zeitpunkt schlüssig zu sein.

Karzinogenitätsstudien mit oralem Haloperidol wurden bei Wistar -Ratten (dosiert mit bis zu 5 mg/kg täglich für 24 Monate) und bei Albino -Schweizer Mäusen (dosiert mit bis zu 5 mg/kg täglich für 18 Monate) durchgeführt. In der Rattenstudie war das Überleben in allen Dosisgruppen weniger als optimal, wodurch die Anzahl der Ratten verringert wurde, aus denen das Risiko für die Entwicklung von Tumoren besteht. Obwohl eine relativ größere Anzahl von Ratten bis zum Ende der Studie in hochdosierten männlichen und weiblichen Gruppen überlebte, hatten diese Tiere keine größere Inzidenz von Tumoren als Kontrolltiere. Obwohl diese Studie nicht optimal ist, deutet diese Studie darauf hin, dass das Fehlen eines Haloperidol -Zunahme der Inzidenz von Neoplasien bei Ratten bei Dosen bis zum 20 -fachen der üblichen täglichen menschlichen Dosis für chronische oder resistente Patienten.

Bei weiblichen Mäusen bei 5 und 20 -mal die höchste anfängliche tägliche Dosis für chronische oder resistente Patienten gab es einen statistisch signifikanten Anstieg der Brustdrüsenneoplasie und der Gesamtinzidenz des Tumors; Bei der 20 -fachen der gleichen täglichen Dosis gab es einen statistisch signifikanten Anstieg der Hypophysen -Drüse -Neoplasie. Bei männlichen Mäusen wurden statistisch signifikante Unterschiede in den Inzidenzen von Gesamttumoren oder spezifischen Tumorarten festgestellt.

Antipsychotika erhöhen den Prolaktinspiegel; Die Höhe bleibt während der chronischen Verabreichung bestehen. Gewebekulturexperimente deuten darauf hin, dass ungefähr ein Drittel der Brustkrebserkrankungen des Menschen prolaktinabhängig sind in vitro Ein Faktor potenzieller Bedeutung, wenn die Verschreibung dieser Arzneimittel bei einem Patienten mit zuvor erkanntem Brustkrebs in Betracht gezogen wird. Obwohl Störungen wie Galactorrhoe -Amenorrhoe -Gynäkomastie und Impotenz berichtet wurden, ist die klinische Bedeutung erhöhter Serumprolaktinspiegel für die meisten Patienten unbekannt.

Bei Nagetieren wurde nach chronischer Verabreichung von Antipsychotika ein Anstieg der Brustneoplasmen gefunden. Weder klinische Studien noch epidemiologische Studien, die bisher durchgeführt wurden, haben jedoch einen Zusammenhang zwischen der chronischen Verabreichung dieser Arzneimittel und der Brusttumorentstehung gezeigt; Die verfügbaren Beweise werden als zu begrenzt angesehen, um zu diesem Zeitpunkt schlüssig zu sein.

Verwendung in der Schwangerschaft

Schwangerschaftskategorie C. Nagetiere, die bis zum dreifachen der üblichen maximalen menschlichen Dosis von Haloperidol -Decanoat gegeben wurden, zeigten einen Anstieg der Inzidenz der fetalen Sterblichkeit und der Puppenmortalität. Es wurden keine fetalen Anomalien beobachtet. Gaumenspalte wurde bei Mäusen beobachtet, die orale Haloperidol 15 -mal so hoch wie die übliche maximale menschliche Dosis verabreicht wurden.

Gaumenspalte bei Mäusen scheint eine unspezifische Reaktion auf Stress oder Ernährungsimance sowie auf eine Vielzahl von Medikamenten zu sein, und es gibt keine Hinweise darauf, dass dieses Phänomen für die meisten dieser Wirkstoffe auf vorhersehbares menschliches Risiko in Verbindung gebracht wird.

Es gibt keine angemessenen und gut kontrollierten Studien bei schwangeren Frauen. Es gibt jedoch Berichte über Fälle von Fehlbildungen von Gliedmaßen, die nach der mütterlichen Anwendung von Haldol zusammen mit anderen Arzneimitteln beobachtet wurden, bei denen das teratogene Potential während des ersten Schwangerschaftstrimesters vermutet wurde. Kausalzahlen wurden in diesen Fällen nicht hergestellt. Da diese Erfahrung die Möglichkeit eines fetalen Schadens aufgrund von Haldol -Haloperidol -Dekanoat während der Schwangerschaft oder bei Frauen nicht nur schwanger ausschließt, wenn der Nutzen eindeutig ein potenzielles Risiko für den Fötus rechtfertigt.

Herberge San Jose Costa Rica

Pflegemütter

Da Haloperidol in menschlicher Muttermilch Säuglinge während der medikamentösen Behandlung mit Haloperidol -Dekanoat ausgeschieden werden sollten.

Pädiatrische Verwendung

Sicherheit und Wirksamkeit von Haloperidol -Dekanoat bei Kindern wurde nicht festgestellt.

Geriatrische Verwendung

Klinische Studien von Haloperidol umfassten nicht eine ausreichende Anzahl von Probanden im Alter von 65 Jahren und mehr, um festzustellen, ob sie anders als jüngere Probanden reagieren. Andere berichtete klinische Erfahrung haben nicht konsequent Unterschiede in den Antworten zwischen älteren und jüngeren Patienten identifiziert. Die Prävalenz von Verspätungsdyskinesien scheint jedoch bei älteren Menschen am höchsten zu sein, insbesondere bei älteren Frauen (siehe WARNUNGS Tardive dyskinesia ). Also the pharmacokinetics of haloperidol in geriatric patients generally warrants the use of lower doses (see Dosierung und Verwaltung ).

Überdosierungsinformationen für Haldol Decanoate

Während eine Überdosierung weniger wahrscheinlich mit einem Parenteral auftritt als bei einer oralen Medikamenteninformation, die Haldol (Haloperidol) betrifft, wird nur modifiziert, um die erweiterte Wirkungsdauer von Haloperidol Decanoat widerzuspiegeln.

Manifestationen

Im Allgemeinen wären die Symptome einer Überdosierung eine Übertreibung bekannter pharmakologischer Effekte und Nebenwirkungen, von denen die bekanntesten sein würden: 1) schwere extrapyramidale Reaktionen 2) Hypotonie oder 3) Sedierung. Der Patient würde komatös mit Atemdepression und Hypotonie erscheinen, die schwerwiegend genug sein könnte, um einen schockähnlichen Zustand zu erzeugen. Die extrapyramidalen Reaktionen würden sich durch muskulöse Schwäche oder Starrheit und ein verallgemeinertes oder lokalisiertes Tremor manifestieren, wie durch die ähnlichen oder Agitans -Typen gezeigt. Bei einem zweijährigen Kind trat eher eine Hypertonie mit versehentlicher Überdosierung an und nicht zu einer Hypotonie. Das Risiko von EKG -Veränderungen im Zusammenhang mit Torsade de Pointes sollte berücksichtigt werden.

(Weitere Informationen zu Torsade de Pointes finden Sie unter Nebenwirkungen . )

Behandlung

Da es keine spezifische Gegenmittelbehandlung gibt, unterstützt sie in erster Linie. Ein Patentländer müssen unter Verwendung eines oropharyngealen Atemwegs oder eines Endotrachealrohrs oder in längeren Fällen von Koma durch Tracheotomie eingerichtet werden. Atemdepression kann durch künstliche Atmung und mechanische Atemschutzgeräte entgegengewirkt werden. Hypotonie und Kreislaufkollaps können unter Verwendung von intravenösen Flüssigkeiten Plasma oder konzentriertem Albumin- und Vasopressor -Wirkstoffen wie Metaraminol -Phenylephrin und Noradrenalin entgegengewirkt werden. Epinephrin sollte nicht verwendet werden. Bei schweren extrapyramidalen Reaktionen sollte Antiparkinson -Medikamente verabreicht und mehrere Wochen fortgesetzt und dann allmählich zurückgezogen werden, wenn extrapyramidale Symptome auftreten können. EKG- und Vitalfunktionen sollten insbesondere auf Anzeichen einer q-t-Verlängerung oder Dysrhythmien überwacht werden, und die Überwachung sollte fortgesetzt werden, bis das EKG normal ist. Schwere Arrhythmien sollten mit geeigneten anti-arrhythmischen Maßnahmen behandelt werden.

Kontraindikationen für Haldol Decanoate

Da die pharmakologischen und klinischen Wirkungen von Haldol Decanoat (Haloperidol Decanoat) 50 und Haldol Decanoat (Haloperidol Decanoat) 100 auf Haldol (Haloperidol) zugeordnet werden, als die aktiven Medikamentenwarnungen und zusätzliche Informationen sind diejenigen, die nur von Haldol modifiziert sind, die nur von Haldol modifiziert sind, die nur die längeren Maßnahmen reflektieren.

Haldol ist in schwerer toxischer Depressionen des Zentralnervensystems oder in komatoseen Zuständen aus irgendeinem Ursache und bei Personen, die überempfindlich gegenüber diesem Medikament sind oder Parkinson -Krankheit sind, kontraindiziert.

Klinische Pharmakologie for Haldol Decanoate

Haldol Decanoat (Haloperidol Decanoat) 50 und Haldol Decanoat (Haloperidol Decanoat) 100 sind die lang wirkenden Formen von Haldol (Haloperidol). Die grundlegenden Auswirkungen von Haloperidol -Dekanoat unterscheiden sich nicht von denen von Haldol, mit Ausnahme der Wirkdauer. Haloperidol blockiert die Auswirkungen von Dopamin Und increases its turnover rate; however the precise mechanism of action is unknown.

Die Verabreichung von Haloperidol -Decanoat im Sesamöl führt zu einer langsamen und anhaltenden Freisetzung von Haloperidol. Die Plasmakonzentrationen von Haloperidol steigen allmählich auf etwa 6 Tagen nach der Injektion und fielen danach mit einer scheinbaren Halbwertszeit von etwa 3 Wochen. Nach der dritten oder vierten Dosis werden die Plasmakonzentrationen stationärer State erreicht. Die Beziehung zwischen der Dosis der Haloperidol -Decanoat und der Plasma -Haloperidol -Konzentration ist für Dosen unter 450 mg ungefähr linear. Es ist jedoch zu beachten, dass die Pharmakokinetik von Haloperidol -Decanoat nach intramuskulären Injektionen zwischen den Probanden recht variabel sein kann.

Patienteninformationen für Haldol Decanoate

Haloperidol Decanoat kann die für die Ausführung gefährlichen Aufgaben wie Betriebsmaschinen oder das Fahren eines Kraftfahrzeugs erforderlichen mentalen und/oder körperlichen Fähigkeiten beeinträchtigen. Der ambulante Patient sollte entsprechend gewarnt werden.

Die Verwendung von Alkohol mit diesem Medikament sollte aufgrund möglicher additiver Wirkungen und Hypotonie vermieden werden.