Die Informationen Auf Dieser Website Stellen Keine Medizinische Beratung Dar. Wir Verkaufen Nichts. Die Richtigkeit Der Übersetzung Wird Nicht Garantiert. Haftungsausschluss
Wie funktionieren Anti-Anginal-Agenten?
Innopran XL
Drogenzusammenfassung
Was ist InnoRan XL?
Innopran XL (Propranololhydrochlorid) ist ein Beta-Blocker zur Behandlung von Tremors-Angina (Brustschmerzen) Hypertonie (Bluthochdruck) Herzrhythmuserkrankungen und andere Herz- oder Kreislaufbedingungen. Innopran XL wird auch zur Behandlung oder Vorbeugung verwendet Herzinfarkt und die Schwere und Häufigkeit von Migränekopfschmerzen zu verringern.
Was sind Nebenwirkungen von InnoScan XL?
Zu den häufigen Nebenwirkungen von Innoprans XL gehören:
- Schwindel
- Benommenheit oder
- Müdigkeit, wenn sich der Körper an die Medikamente anpasst
Andere Nebenwirkungen von Innopran XL sind:
- Brechreiz
- Erbrechen
- Magenschmerzen
- Magenkrämpfe
- Durchfall
- Verstopfung
- Sehveränderungen
- Probleme beim Schlafen (Schlaflosigkeit)
- ungewöhnliche Träume
- Verringerter Sexualtrieb
- Impotenz Und
- Schwierigkeiten haben einen Orgasmus
Suchen Sie medizinische Versorgung oder rufen Sie auf einmal 911 an, wenn Sie die folgenden schwerwiegenden Nebenwirkungen haben:
- Schwerwiegende Augensymptome wie plötzlicher Sehverlust verschwommenes Sehen Tunnel Sehschmerzen oder Schwellungen oder Halos in der Umgebung des Lichts;
- Schwerwiegende Herzsymptome wie schnelle unregelmäßige oder pochende Herzschläge; Flattern in deiner Brust; Kurzatmigkeit; und plötzliche Schwindel -Benommenheit oder ohnmächtig;
- Starke Kopfschmerzen Verwirrung verwirrt Spracharm oder Bein Schwäche Schwierigkeiten beim Verlust der Koordination unstabil sehr steifes Muskeln hoher Fieber problemlos Schwitzen oder Zittern.
Dieses Dokument enthält nicht alle möglichen Nebenwirkungen und andere können auftreten. Wenden Sie sich an Ihren Arzt nach zusätzlichen Informationen zu Nebenwirkungen.
Dosierung für Innoopran XL
Die Startdosis von Innopoprans XL beträgt 80 mg, kann jedoch an eine Dosis von 120 mg eingestellt werden. Nehmen Sie sich vor dem Schlafengehen einmal täglich entweder mit leerem Magen oder mit Nahrung konsequent.
Welche Medikamentensubstanzen oder Nahrungsergänzungsmittel interagieren mit InnoScan XL?
Innopran XL kann mit Clonidin digitalis interagieren Dobutamin Haloperidol Isoproterenol Blutverdünner Antidepressiva Mao -Inhibitoren Aspirin oder andere NSAIDs (nichtsteroidale entzündungshemmende Medikamente) Doxazosin-Prazosin-Terazosin-Herzmedikamente Amiodaron Propafenon Chinidin oder ACE-Inhibitoren. Sagen Sie Ihrem Arzt alle Medikamente und Nahrungsergänzungsmittel, die Sie verwenden.
Innopran XL während der Schwangerschaft oder Stillen
Während der Schwangerschaft sollte die Innoprans XL nur bei Verschreibungen verwendet werden. Säuglinge, die diesem Medikament während der Schwangerschaft ausgesetzt sind, können niedriges Geburtsgewicht niedrigem Blutzucker oder langsames Atmen/Herzschlag aufweisen. Besprechen Sie die Risiken und Vorteile mit Ihrem Arzt. Dieses Medikament geht in die Muttermilch. Wenden Sie sich vor dem Stillen an Ihren Arzt.
Weitere Informationen
Unsere Innopopran XL (Propranololhydrochlorid) -Seiten -Arzneimittelzentrum bietet eine umfassende Übersicht über verfügbare Arzneimittelinformationen über die potenziellen Nebenwirkungen bei der Einnahme dieses Medikaments.
Nebenwirkungen von Omnicef in Kleinkindern
FDA -Drogeninformationen
- Drogenbeschreibung
- Indikationen
- Dosierung
- Nebenwirkungen
- Wechselwirkungen mit Arzneimitteln
- Warnungen
- Überdosis
- Klinische Pharmakologie
- Medikamentenhandbuch
WARNUNG
Herzischämie nach abrupter Abnahme
Nach einer abrupten Abnahme der Therapie mit Beta-Blockern-Verschlechtern von Angina-Pektoris und Myokardinfarkt sind aufgetreten.
Bei der Abnahme chronisch verabreichtes Innooprans XL, insbesondere bei Patienten mit ischämischer Herzerkrankungen, reduzieren die Dosis die Dosis allmählich über einen Zeitraum von 1 bis 2 Wochen und überwachen die Patienten. Wenn sich die Angina deutlich verschlechtert oder eine akute Koronarinsuffizienz entwickelt, wird zumindest vorübergehend die Therapie fortgesetzt und andere Maßnahmen ergreifen, die für die Behandlung instabiler Angina geeignet sind. Warnen Sie die Patienten vor Unterbrechung oder Abnahme der Therapie ohne Anmeldungen des Arztes.
Da die Erkrankung der Koronararterien häufig ist und nicht erkannt werden kann, vermeiden Sie abrupte Abnahme der XL -Therapie in der Innooprans, selbst bei Patienten, die nur wegen Bluthochdruck behandelt werden. (Sehen WARNUNGS AND VORSICHTSMASSNAHMEN ).
Beschreibung für Innopran xl
Innopran XL enthält Propranololhydrochlorid, ein nichtselektives Beta-adrenerge Rezeptor-Blockierungsmittel für die orale Verabreichung als Produkt in der Extended-Freisetzung. Innopran XL ist als 80-mg- und 120-mg-Kapseln erhältlich, die Perlen mit nachhaltiger Freisetzung enthalten. Jeder der Perlen enthält Propranololhydrochlorid und ist mit Dualmembranen beschichtet. Diese Membranen sollen die Freisetzung von Propranololhydrochlorid für mehrere Stunden nach Einnahme der anhaltenden Freisetzung von Propranolol verzögern.
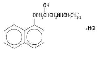
Der Wirkstoff in Innoprans XL ist ein synthetisches Beta-adrenerge Rezeptorblockierungsmittel, das chemisch als 1- (Isopropylamino) -3- (1-Naphthyloxy) -2-Propanolhydrochlorid beschrieben wird. Seine strukturelle Formel ist:
|
Propranololhydrochlorid ist ein stabiler weißer kristalliner Feststoff, der in Wasser und Ethanol leicht löslich ist. Sein Molekulargewicht beträgt 295,81. Jede Kapsel für die orale Verabreichung enthält Zuckerbereiche Ethylcellulose -Povidon -Hypomellose -Phthalat -Diethylphthalat -Hypomellose -Polyethylenglykol -Gelatin -Titan -Dioxid und schwarzes Eisenoxid. Zusätzlich enthalten die innopoprans xl 120-mg-Kapseln gelbes Eisenoxid.
Verwendungen für Innoopran XL
Innopran XL ist für die Behandlung von Bluthochdruck mit niedrigerem Blutdruck angezeigt. Die Senkung des Blutdrucks verringert das Risiko tödlicher und nicht tödlicher kardiovaskulärer Ereignisse hauptsächlich Schlaganfälle und Myokardinfarkten. Diese Vorteile wurden in kontrollierten Studien mit blutdrucksenkenden Medikamenten aus einer Vielzahl von pharmakologischen Klassen einschließlich Beta-Blockern beobachtet.
Die Kontrolle des Bluthochdrucks sollte Teil des umfassenden kardiovaskulären Risikomanagements sein, einschließlich einer geeigneten Lipidkontrolle -Diabetes -Management -Antithrombotherapie Raucherentwöhnung und begrenzte Natriumaufnahme. Viele Patienten benötigen mehr als ein Medikament, um Blutdruckziele zu erreichen. Spezifische Ratschläge zu Zielen und das Management finden Sie in veröffentlichten Richtlinien wie dem gemeinsamen Nationalkomitee des Nationalen Blutdruckausbildungsprogramms zur Bewertung und Behandlung von Bluthochdruck (JNC).
Zahlreiche blutdrucksenkende Medikamente aus einer Vielzahl von pharmakologischen Klassen und mit unterschiedlichen Wirkmechanismen wurden in randomisierten kontrollierten Studien gezeigt, um die kardiovaskuläre Morbidität und Mortalität zu verringern, und es kann der Schluss gezogen werden, dass es sich um eine Blutdruckreduktion und keine andere pharmakologische Eigenschaft der Medikamente handelt, die für diese Vorteile weitgehend verantwortlich sind. Der größte und beständigste kardiovaskuläre Ergebnisvorteil war eine Verringerung des Schlaganfallrisikos, aber es wurden auch regelmäßig eine Verringerung des Myokardinfarkts und der kardiovaskulären Mortalität beobachtet.
Ein erhöhter systolischer oder diastolischer Druck verursacht ein erhöhtes kardiovaskuläres Risiko, und der absolute Risikoanstieg pro mm Hg ist bei höheren Blutdrucks höher, sodass selbst eine geringe Reduzierung schwerer Hypertonie einen erheblichen Nutzen bringen kann. Die relative Risikominderung durch Blutdruckreduktion ist in den Populationen mit unterschiedlichem absolutem Risiko ähnlich, sodass der absolute Nutzen bei Patienten mit höherem Risiko unabhängig von ihrer Bluthochdruck (z.
Einige blutdrucksenkende Medikamente haben bei schwarzen Patienten kleinere Blutdruckeffekte (als Monotherapie), und viele blutdrucksenkende Medikamente haben zusätzliche zugelassene Indikationen und Wirkungen (z. B. auf die Herzinsuffizienz oder die diabetische Nierenerkrankung). Diese Überlegungen können die Auswahl der Therapie leiten.
Dosierung für Innoopran XL
Innopran XL sollte einmal täglich vor dem Schlafengehen verabreicht werden und konsequent entweder auf leeren Magen oder mit Nahrung eingenommen werden. Initiieren Sie die Dosierung bei 80 mg und täglich auf 120 mg täglich, wenn dies für die Blutdruckkontrolle erforderlich ist. Dosen über 120 mg haben keine zusätzlichen Auswirkungen auf den Blutdruck [siehe Klinische Studien ]. Eine vollständige blutdrucksenkende Reaktion wird normalerweise innerhalb von 2 bis 3 Wochen erreicht.
Wie geliefert
Dosierung Forms And Strengths
Innopran XL Die Kapseln der erweiterten Freisetzung werden als Kapseln geliefert, die entweder 80 mg oder 120 mg Propranololhydrochlorid enthalten, die mit Innoopran XL gedruckt sind. Zusätzlich ist die 80 mg-Festigkeit eine graue/weiße Kapsel, die mit 80 und 2 segmentierten Bändern gedruckt ist, während die 120 mg-Festigkeit eine graue/cremefarbene Kapsel ist, die mit 120 und 3 segmentierten Bändern gedruckt ist.
Lagerung und Handhabung
Innopran XL (Propranololhydrochlorid) Die Kapseln der erweiterten Freisetzung werden als Kapseln geliefert, die entweder 80 mg oder 120 mg Propranololhydrochlorid enthalten. Sie sind wie folgt erhältlich:
80 mg : Eine graue/weiße Kapsel, die mit „Innopopran XL“ „80“ und 2 segmentierten Bändern gedruckt ist, ist in Flaschen mit 30 Kapseln erhältlich ( NDC 62559-590-30) und professionelle Proben von 7 Kapseln (Kapseln ( NDC 62559-590-77) und 14 Kapseln (Kapseln ( NDC 62559-590-14).
120 mg : Eine graue/cremefarbene Kapsel, die mit „Innopopran XL“ „120“ und 3 segmentierten Bändern geprägt ist, ist in Flaschen mit 30 Kapseln erhältlich ( NDC 62559-591-30) und professionelle Proben von 7 Kapseln (Kapseln ( NDC 62559-591-77) und 14 Kapseln (Kapseln ( NDC 62559-591-14).
Lagerung
Speichern Sie bei 25 ° C (77 ° F); Exkursionen zu 15 ° und 30 ° C (59 ° und 86 ° F) [siehe USP -kontrollierte Raumtemperatur] in einem dicht geschlossenen Behälter.
Verteilt von: Ani Pharmaceuticals Inc. Baudette MN 56623. Überarbeitet: Dezember 2023.
Nebenwirkungen for InnoPran XL
Klinische Studien Erfahrung
Da klinische Studien unter stark unterschiedlichen Bedingungen durchgeführt werden, die in den klinischen Studien eines Arzneimittels beobachtet werden, können in den klinischen Studien eines anderen Arzneimittels nicht direkt mit den Raten verglichen werden und spiegeln möglicherweise nicht die in der Praxis beobachteten Raten wider.
Nebenwirkungen mit einer Geschwindigkeit von ≥3% ohne die in den in den Innopopopopopristen XL-Placebo-kontrollierten Hypertonie kontrollierten Placebo angetroffenen Reaktionen, die häufiger gemeldet werden, sind in Tabelle 1 gezeigt.
Tabelle 1. Behandlungsmesser unerwünschte Reaktionen bei ≥3% der Probanden
Allergische Reaktion auf Augmentinausschlagbilder
| Körpersystem | Placebo (N = 88) | Innopran XL | |
| 80 mg (N = 89) | 120 mg (N = 85) | ||
| Ermüdung | 3 (3%) | 4 (5%) | 6 (7%) |
| Schwindel (außer Schwindel) | 2 (2%) | 6 (7%) | 3 (4%) |
| Verstopfung | 0 | 3 (3%) | 1 (1%) |
Nachmarkterfahrung
Zusätzlich zu den aus klinischen Studien gemeldeten unerwünschten Reaktionen wurden die folgenden Reaktionen während der Verwendung von Innopoprans XL nach dem Marktmarkt identifiziert. Da diese Reaktionen freiwillig aus einer Population unsicherer Größe berichtet werden, ist es nicht immer möglich, ihre Häufigkeit zuverlässig abzuschätzen oder ein kausales Verhältnis zur Arzneimittelexposition herzustellen.
Die folgenden nachteiligen Reaktionen wurden beobachtet und wurden unter Verwendung von Formulierungen von Propranolol anhaltender oder sofortiger Freisetzung berichtet.
Allergisch: Überempfindlichkeitsreaktionen einschließlich anaphylaktischer/anaphylaktoid -Reaktionen; Pharyngitis und Agranulozytose; Erythematöses Hautausschlag Fieber in Kombination mit schmerzenden und Halsschmerzen Laryngospasmus und Atemnot.
Autoimmun: Systemischer Lupus erythematodes (SLE).
Herz -Kreislauf: Verschärfung der arteriellen Erkrankung der peripheren arteriellen Erkrankung Arterieninsuffizienz normalerweise des Raynaud -Typs.
Zentralnervensystem: Leuchte
Magen -Darm: Übelkeit erbrechen epigastrische Notabdominal -Krämpfe -Durchfall -Mesenterial -Arterien -Thrombose Ischämische Kolitis.
REGOURIANARY: Männliche Impotenz; Peyronie -Krankheit.
Hämatologisch: Agranulozytose Nicht -Thrombozytopenische Purpura thrombozytopenische Purpura.
Muskuloskelett: Myopathie Myotonie.
Haut und Schleimhäute: Stevens-Johnson-Syndrom Toxic epidermale Nekrolyse Trockene Augen pexiativ Dermatitis erythem multiforme urtikaria alopecia schletähnliche Reaktionen und Psoriasisiformen-Hautausschläge.
Wechselwirkungen mit Arzneimitteln for InnoPran XL
Pharmakokinetische Wechselwirkungen mit Arzneimitteln
Auswirkungen von Propranolol auf andere Medikamente
Warfarin
Warfarin concentrations are increased when administered with propranolol. Monitor prothrombin time accordingly [see Klinische Pharmakologie ].
Propafenon
Die gleichzeitige Verabreichung von Propranolol erhöht die Plasmakonzentrationen von Propafenon. Überwachen Sie die Patienten auf Symptome einer übermäßigen Exposition gegenüber Propafenon, einschließlich Bradykardie und Haltungshypotonie [siehe Klinische Pharmakologie ].
Auswirkungen anderer Arzneimittel auf Propranolol
CYP2D6 CYP1A2- und CYP2C19 -Inhibitoren
CYP2D6-Inhibitoren (z. B. Bupropion-Fluoxetin-Paroxetin-Quinidin) CYP1A2-Inhibitoren (z. Patienten auf Bradykardie und Hypotonie überwachen [siehe Klinische Pharmakologie ].
CYP1A2- und CYP2C19 -Induktoren
CYP1A2 -Induktoren (z. B. Phenytoin Montelukast Rauchen) und CYP2C19 Klinische Pharmakologie ].
Cholestyramin und Colestipol
Co-verabreichtes Cholestyramin oder Colestipol reduziert die Plasmakonzentrationen von gemeinsam verabreichtem Propranolol, was zu Wirksamkeitsverlust führen kann [siehe Klinische Pharmakologie ].
Pharmakodynamische Arzneimittel-Drogen-Wechselwirkungen
Adrenerge Agonisten: Beta-Blocker können die blutdrucksenkenden Wirkungen von Clonidin und Rückprallhypertonie entstehen, wenn Clonidin abrupt zurückgezogen wird. Wenn Clonidin und ein Beta-Blocker mehr Tage vor dem Rückzug von Clonidin den Beta-Blocker abziehen.
Alpha -Blocker
Die gleichzeitige Verabreichung von Beta-Blockern mit Alpha-Blocker (z. B. Prazosin) wurde mit einer Verlängerung der Hypotonie und der Synkope der ersten Dosis in Verbindung gebracht.
Dobutamin
Propranolol kann die Empfindlichkeit gegenüber Dobutamin -Stress -Echokardiographie bei Patienten verringern, die sich für eine Myokardischämie bewerten.
Antidepressiva
Die blutdruckende Wirkung von MAO-Inhibitoren oder trizyklischen Antidepressiva kann bei der Verabreichung mit Beta-Blockern verschärft werden. Überwachen Sie die Patienten auf Haltungshypotonie.
Nichtsteroidale entzündungshemmende Medikamente
Nichtsteroidale entzündungshemmende Medikamente (NSAIDs) können die blutdrucksenkende Wirkung von Beta-Adrenorezeptor-Blockern abschwächen. Blutdruck überwachen.
Warnungen für Innoopran XL
Eingeschlossen als Teil der 'VORSICHTSMASSNAHMEN' Abschnitt
Vorsichtsmaßnahmen für Innoprans XL
Herzischämie nach abrupter Abnahme
Nach einer abrupten Abnahme der Therapie mit Beta-Blockern-Verschlechtern von Angina-Pektoris und Myokardinfarkt sind aufgetreten.
Bei der Abnahme chronisch verabreichtes Innooprans XL, insbesondere bei Patienten mit ischämischer Herzerkrankungen, reduzieren die Dosis die Dosis allmählich über einen Zeitraum von 1 bis 2 Wochen und überwachen die Patienten. Wenn sich die Angina deutlich verschlechtert oder eine akute Koronarinsuffizienz entwickelt, wird zumindest vorübergehend die Therapie fortgesetzt und andere Maßnahmen ergreifen, die für die Behandlung instabiler Angina geeignet sind. Warnen Sie die Patienten vor Unterbrechung oder Abnahme der Therapie ohne Anmeldungen des Arztes.
Da die Erkrankung der Koronararterien häufig ist und nicht erkannt werden kann, vermeiden Sie abrupte Abnahme der XL -Therapie in der Innooprans, selbst bei Patienten, die nur wegen Bluthochdruck behandelt werden.
Herzversagen
Beta-Blocker wie Innopran XL können eine Depression der Myokardkontraktilität verursachen und Herzinsuffizienz und kardiogener Schock auslösen. Wenn Anzeichen oder Symptome einer Herzinsuffizienz entwickeln, behandeln Sie den Patienten gemäß empfohlenen Richtlinien. Es kann notwendig sein, die Dosis des Innooprans XL zu senken oder sie abzustellen.
Während der großen Operation aufrechterhalten
Eine chronisch verabreichte Beta-Blocking-Therapie einschließlich InnoScran XL sollte vor einer größeren Operation nicht routinemäßig zurückgezogen werden. Die beeinträchtigte Fähigkeit des Herzens, auf reflex adrenerge Stimuli zu reagieren, kann jedoch die Risiken einer Vollnarkose und chirurgischen Eingriffe erhöhen.
Hypoglykämie
Beta-Blocker können frühzeitige Warnanzeichen einer Hypoglykämie wie Tachykardie verhindern und das Risiko für schwere oder längere Hypoglykämie zu irgendeinem Zeitpunkt während der Behandlung erhöhen, insbesondere bei Patienten mit Diabetes mellitus oder Kindern und Patienten, die fasten (d. H. Operation, ohne regelmäßig zu essen oder zu erbrechen). Wenn eine schwere Hypoglykämie auftritt, sollten Patienten angewiesen werden, eine Notfallbehandlung zu suchen.
Thyrotoxikose
Innopran XL may mask clinical signs of hyperthyroidism such as tachycardia. Avoid abrupt withdrawal of beta-blockade which may precipitate a thyroid storm.
Bradykardie
Bradykardie including sinus pause heart block Und cardiac arrest have occurred with the use of Innopran XL. Patients with first-degree atrioventricular block sinus node dysfunction or conduction disorders (including Wolff-Parkinson-White) may be at increased risk. The concomitant use of beta-adrenergic blockers Und non-dihydropyridine calcium channel blockers (e.g. verapamil Und diltiazem) digoxin or clonidine increases the risk of significant bradycardia. Monitor heart rate Und rhythm in patients receiving Innopran XL. If severe bradycardia develops reduce or stop Innopran XL.
Reduzierte Wirksamkeit von Adrenalin bei der Behandlung von Anaphylaxie
Mit mit BEMRENERGIC Blocker behandelte Patienten, die mit Epinephrin für eine schwere anaphylaktische Reaktion behandelt wurden, können weniger auf die typischen Dosen von Adrenalin reagieren. Bei diesen Patienten berücksichtigen andere Medikamente (z. B. Glucagon intravenösen Flüssigkeiten).
Nichtklinische Toxikologie
Karzinogenese -Mutagenese -Beeinträchtigung der Fruchtbarkeit
Karzinogenese
In Studien zur Ernährungsverabreichung, in denen Mäuse und Ratten mit Propranolol HCl für bis zu 18 Monate in Dosen von bis zu 150 mg/kg/Tag behandelt wurden, gab es keine Hinweise auf eine medikamentenbedingte Tumorentstehung. Auf einer Körperoberfläche ist diese Dosis in der Maus und der Ratte etwa gleich und etwa doppelt so hoch wie die MRHD von 640 mg Propranolol HCl.
Mutagenese
Basierend auf unterschiedlichen Ergebnissen von AMES -Tests, die von verschiedenen Laboratorien durchgeführt wurden S. Typhimurium die 1538 abseihen).
Kann ich Benadryl mit Loratadin nehmen?
Beeinträchtigung der Fruchtbarkeit
Propranololeffekte auf die Fruchtbarkeit sind ebenfalls eindeutig. In einer Studie wurden keine Auswirkungen auf die Fruchtbarkeit mit männlichen und weiblichen Ratten berichtet, die Propranolol -HCl in ihren Diäten mit Konzentrationen von bis zu 0,05% (etwa 50 mg/kg Körpergewicht und weniger als die MRHD) aus 60 Tagen vor der Paarung und während der Schwangerschaft und in der Schwangerschaft und der Lactation für 2 Generationen). Anomalien und verminderte Testosteron; Alle Effekte waren innerhalb von 60 Tagen nach Abbruch von Propranolol vollständig reversibel. Eine separate Studie an männlichen Mäusen, die orales Propranolol (10 oder 15 mg/kg Körpergewicht) in Wasser erhielten, berichteten, dass beide Dosen die Spermatogenese beeinträchtigen und die Spermienmotilität verringerten; Weniger Frauen wurden schwanger und schwangere Frauen hatten weniger Implantationsstellen und lebensfähige Feten. Darüber hinaus wurden bei weiblichen Kaninchen in dreistündigen Intervallen (8-mal täglich etwa doppelt so hoch wie in etwa dem MHRD) die Spermienzahlen in den Ovidukten reduziert und weniger Spermien an die Eier wurden in den Ovidukten reduziert und weniger Spermien wurden in den Dreistündungen injiziert.
Verwendung in bestimmten Populationen
Schwangerschaft
Risikozusammenfassung
Eine längere Erfahrung mit Propranolol bei schwangeren Frauen über mehrere Jahrzehnte, die auf veröffentlichten interventionellen und Beobachtungsstudien beruhen, haben kein Medikamentenrisiko für schwere Geburtsfehler Fehlgeburten oder andere nachteilige mütterliche Ergebnisse identifiziert. Bradykardie-Hypoglykämie und Atemdepression wurden unter Verwendung von Beta-Blockern einschließlich Propranolol beobachtet in der Gebärmutter in der Nähe der Lieferung. Es gibt inkonsistente Berichte über die intrauterine Wachstumsbeschränkung bei der Verwendung von Beta-Blocker, einschließlich Propranolol während der Schwangerschaft. Unbehandelte Hypertonie während der Schwangerschaft kann zu schwerwiegenden nachteiligen Ergebnissen für die Mutter und den Fötus führen (siehe Klinische Überlegungen Und Daten ).
Das geschätzte Hintergrundrisiko für schwere Geburtsfehler und Fehlgeburt für die angegebene Bevölkerung ist unbekannt. Alle Schwangerschaften haben ein Hintergrundrisiko für einen Verlust von Geburtsfehlern oder andere nachteilige Ergebnisse. In der US -allgemeinen Bevölkerung beträgt das geschätzte Hintergrundrisiko für größere Geburtsfehler und eine Fehlgeburt bei klinisch anerkannten Schwangerschaften 2% bis 4% bzw. 15% bis 20%.
Klinische Überlegungen
Krankheitsassoziierte mütterliche und/oder embryo/fetale Risiko
Hypertonie in der Schwangerschaft erhöht das Risiko der Mütter für Schwangerschaftsdiabetes vor der Eklampsie vorzeitige Entbindung und Entbindung Komplikationen (z. B. Notwendigkeit eines Kaiserschnitts und postpartaler Blutung) Hypertonie erhöht das fetale Risiko für intrauterine Wachstumsrestriktion und intrauteriner Todesfälle. Schwangere Frauen mit Bluthochdruck sollten sorgfältig überwacht und entsprechend behandelt werden.
Nebenwirkungen von fetalen/Neugeborenen
Propranolol überquert die Plazenta. Neugeborene, die von Müttern geboren wurden, die während der Schwangerschaft Propranolol erhalten, können für Bradykardienhypoglykämie und Atemdepression gefährdet sein. Überwachen Sie Neugeborene, die während der Schwangerschaft Propanolol ausgesetzt sind, und verwalten Sie entsprechend.
Daten
Tierdaten
In einer Reihe von Reproduktions- und Entwicklungstoxikologiestudien wurde Ratten durch Gavage oder in der Ernährung während der gesamten Schwangerschaft und Laktation Propranolol verabreicht. Bei Dosen von 150 mg/kg/Tag, jedoch nicht bei Dosen von 80 mg/kg/Tag (entspricht der maximal empfohlenen empfohlenen oralen täglichen Dosis des Menschen (MRHD) auf einer Basis der Körperoberfläche, war mit Embryotoxizität (reduzierte Wurfgröße und erhöhten Resorptionsrate) sowie mit dem Wohlbefinden der Neuerung (Todesfälle) verbunden. Propranolol HCl wurde auch (im Futter) an Kaninchen (während der Schwangerschaft und der Laktation) in Dosen von bis zu 150 mg/kg/Tag (etwa das Fünffache des MRHD) verabreicht. Es wurden keine Anzeichen für Embryo oder Neugeborenen -Toxizität festgestellt.
Stillzeit
Risikozusammenfassung
Propranolol ist in der Muttermilch bei niedrigem Niveau vorhanden, aber das damit verbundene Risiko für ein gestilltes Kind ist unbekannt. Es gibt keine Daten zu den Auswirkungen von Propranolol auf die Milchproduktion.
Die Entwicklungs- und gesundheitlichen Vorteile des Stillens sollten zusammen mit dem klinischen Bedarf der Mutter nach Innoopran XL und potenziellen nachteiligen Auswirkungen des gestillten Kindes aus dem Inneren XL oder aus dem zugrunde liegenden mütterlichen Zustand berücksichtigt werden.
Frauen und Männer des Fortpflanzungspotentials
Unfruchtbarkeit
Männer
Basierend auf den veröffentlichten Literaturblockern einschließlich Propranolol kann erektile Dysfunktion verursachen. Bei Ratten hemmt Propranolol die Spermatogenese [siehe Nichtklinische Toxikologie ].
Pädiatrische Verwendung
Sicherheit und Wirksamkeit von Propranolol bei pädiatrischen Patienten wurde nicht festgestellt.
Geriatrische Verwendung
In klinischen Studien von Innoprans XL wurden keine ausreichenden Anzahl von Probanden ab 65 Jahren und mehr enthalten, um festzustellen, ob sie anders als jüngere Probanden reagieren. Andere gemeldete klinische Erfahrung haben keine Unterschiede in den Antworten zwischen älteren und jüngeren Patienten identifiziert. Im Allgemeinen sollte die Dosisauswahl für einen älteren Patienten vorsichtig sein, normalerweise am unteren Ende des Dosierungsbereichs, der die größere Häufigkeit einer verringerten Nieren- oder Herzfunktion von Lebern und einer gleichzeitigen Erkrankung oder einer anderen medikamentösen Therapie widerspiegelt.
Japan in sieben Tagen
Nierenbehinderung
Die Exposition gegenüber Propanolol ist bei Patienten mit Nierenbeeinträchtigungen erhöht. Initiieren Sie die XL -Therapie der Innoprans -XL bei Patienten mit einer beeinträchtigten Nierenfunktion bei der niedrigsten Dosis (80 mg) einmal täglich und überwachen die Patienten auf eine ausgeprägte Bradykardie und Hypotonie [siehe Klinische Pharmakologie ].
Hepatische Beeinträchtigung
Die Exposition gegenüber Propranolol ist bei Patienten mit Leberbeeinträchtigung erhöht. Initiieren Sie die XL -Therapie der Innoprans -XL bei Patienten mit einer beeinträchtigten Leberfunktion bei der niedrigsten Dosis (80 mg) einmal täglich und überwachen die Patienten auf eine deutliche Bradykardie und Hypotonie [siehe Klinische Pharmakologie ].
Überdosierungsinformationen für Innoopran XL
Die meisten Überdosierungen von Propranolol sind mild und reagieren auf unterstützende Versorgung.
Propranolol ist nicht signifikant dialyzierbar.
Hypotonie und Bradykardie wurden nach einer Überdosierung von Propranolol berichtet und sollten angemessen behandelt werden. Glucagon kann starke inotrope und chronotrope Wirkungen ausüben und kann besonders nützlich für die Behandlung von Hypotonie oder depressiven Myokardfunktion nach einer Überdosierung von Propranolol sein.
Glucagon sollte als 50 bis 150 mcg/kg intravenös verabreicht werden, gefolgt von einem kontinuierlichen Tropfen von 1 bis 5 mg/Stunde für einen positiven chronotropen Effekt. Isoproterenol -Dopamin- oder Phosphodiesterase -Inhibitoren können ebenfalls nützlich sein. Epinephrin kann jedoch unkontrollierte Hypertonie hervorrufen. Bradykardie kann mit Atropin oder Isoproterenol behandelt werden. Eine schwerwiegende Bradykardie erfordert möglicherweise ein vorübergehendes Herzstempel.
Überwachen Sie den Elektrokardiogramm -Impulsblutdruck -Neurobehavioralstatus und die Aufnahme und den Ausgleichen. Isoproterenol und Aminophyllin können für Bronchospasmus verwendet werden.
Kontraindikationen für Innoopran XL
Innopran XL is contraindicated in patients with:
- Kardiogener Schock oder dekompensierter Herzinsuffizienz
- Sinus Bradykardie Sinus Syndrom und größer als ein Block ersten Grades, es sei denn, ein ständiger Herzschrittmacher ist vorhanden
- Bronchial -Asthma
- Bekannte Überempfindlichkeit (z. B. anaphylaktische Reaktion) gegen Propranololhydrochlorid oder eine der Bestandteile des Innooprans XL
Klinische Pharmakologie for InnoPran XL
Wirkungsmechanismus
Der Mechanismus der blutdrucksenkenden Wirkung von Propranolol wurde nicht festgestellt. Zu den Faktoren, die zur blutdrucksenkenden Wirkung beitragen, gehören: (1) verringerte Herzzeitvolumen (2) Hemmung der Reninfreisetzung durch die Nieren und (3) Verringerung des tonischen sympathischen Nervenabflusses aus vasomotorischen Zentren im Gehirn. Obwohl der gesamte periphere Resistenz zunächst zunimmt, steigt es mit chronischer Verwendung in oder unter dem Vorbehandlungsniveau an. Die Auswirkungen von Propranolol auf das Plasmavolumen scheinen geringfügig und etwas variabel zu sein.
Pharmakodynamik
Propranolol ist ein nichtselektives Beta-adrenerge Rezeptor-Blockierungsmittel, das keine andere Aktivität des autonomen Nervensystems besitzt. Es konkurriert speziell mit Beta-adrenergen Rezeptor-stimulierenden Wirkstoffen für verfügbare Rezeptorstellen. Von den 2 Enantiomeren von Propranolol blockiert die S-Enantiomer Beta-adrenerge Rezeptoren. Wenn der Zugang zu Beta-Rezeptor-Stellen durch Propranolol-chronotrope inotrope und vasodilatatorische Reaktionen auf die Beta-adrenerge Stimulation blockiert wird, werden proportional verringert. Bei Dosierungen, die größer als für Beta-Blockade-Propranolol erforderlich sind, übt auch eine quinidinähnliche oder anästhetische Membranwirkung aus, die das Herzwirkungspotential beeinflusst. Die Bedeutung der Membranwirkung bei der Behandlung von Arrhythmien ist ungewiss.
Pharmakokinetik
Absorption
Propranolol ist hoch lipophil und wird nach oraler Verabreichung fast vollständig absorbiert. Es wird jedoch durch die Leber einen hohen Erstpassstoffwechsel unterzogen und im Durchschnitt nur etwa 25% des Propranolols erreichen die systemische Kreislauf.
Eine eindosierte Studie zur Nahrungsmitteleffekt an 36 gesunden Probanden zeigte, dass eine mit Innoopran XL um 22 Uhr verabreichte Fettmehl. erhöhte die Verzögerungszeit von 3 auf 5 Stunden und die Zeit, um die maximale Konzentration von 11,5 auf 15,4 Stunden zu erreichen, ohne dass sich die AUC auswirkt.
Nach der Verabreichung von Innopoprans XL mit mehreren Dosis um 22 Uhr. Unter Fastenbedingungen lag die Verzögerungszeit zwischen 4 und 5 Stunden und die Plasmakonzentrationen der Propranolol -Peak -Plasma wurden ungefähr 12 bis 14 Stunden nach der Dosierung erreicht. Die Propranolol -Trogspiegel wurden 24 bis 27 Stunden nach der Dosierung erreicht und nach der nächsten Dosis 3 bis 5 Stunden lang bestehen.
Die Propanololspiegel der Plasma zeigten nach einer einzelnen und mehreren Verabreichung von 80 120 und 160 mg Innoprans-XL dosis-proportionale Anstieg.
Bei stationärem Zustand unterschieden sich die Bioverfügbarkeit einer 160 mg Dosis von Innoprans XL und Propranololhydrochlorid langwirksamen Kapseln nicht signifikant.
Verteilung
Ungefähr 90% des zirkulierenden Propranolols sind an Plasmaproteine (Albumin und Alpha1 -Säureglykoprotein) gebunden. Die Bindung ist enantiomer-selektiv. Das S-Isomer ist bevorzugt an Alpha1-Glykoprotein gebunden und das R-Isomer bevorzugt an Albumin gebunden. Das Volumen der Verteilung von Propranolol beträgt ungefähr 4 Liter.
Stoffwechsel und Eliminierung
Propranolol wird ausgiebig metabolisiert, wobei die meisten Metaboliten im Urin erscheinen. Propranolol wird durch 3 Primärrouten metabolisiert: aromatische Hydroxylierung (hauptsächlich 4-Hydroxylierung) N-Dealkylierung, gefolgt von einer weiteren Seitungskettenoxidation und direkter Glucuronidation. Es wurde geschätzt, dass die prozentualen Beiträge dieser Routen zum Gesamtstoffwechsel 42% 41% bzw. 17%, jedoch mit erheblicher Variabilität zwischen Individuen beträgt. Die 4 Hauptmetaboliten sind Propranolol-Glucuronid-Naphthyloxylaktinsäure und Glucuronsäure sowie Sulfatkonjugate von 4-Hydroxy-Propranolol.
In vitro Studien haben gezeigt, dass die aromatische Hydroxylierung von Propranolol hauptsächlich durch polymorphes CYP2D6 katalysiert wird. Die Seitkettenoxidation wird hauptsächlich durch CYP1A2 und in gewissem Maße durch CYP2D6 vermittelt. 4-Hydroxy-Propranolol ist ein schwacher Inhibitor von CYP2D6.
Propranolol ist auch ein Substrat für CYP2C19 und ein Substrat für den Darm-Efflux-Transporter P-Glykoprotein (P-GP). Studien legen jedoch nahe, dass P-GP für die Darmabsorption von Propranolol im üblichen therapeutischen Dosisbereich nicht dosisbegrenzt ist.
Bei gesunden Probanden wurde kein Unterschied zwischen CYP2D6-umfassenden Metabolisierern (EMS) und schlechten Metabolisatoren (PMS) in Bezug auf orale Clearance oder Eliminierungs Halbwertszeit beobachtet. Die partielle Clearance zu 4-Hydroxy-Propranolol war signifikant höher und die Naphthyloxylaktinsäure war in EMS signifikant niedriger als PMs.
Bei normalen Probanden, die orale Dosen von Racemic Propranolol S-Enantiomer-Konzentrationen erhielten, übertrafen die des R-Enantiomers infolge des stereoselektiven Leberstoffwechsels um 40 bis 90%.
Die Eliminierungs Halbwertszeit von Propranolol betrug ungefähr 8 Stunden.
Spezifische Populationen
Pädiatrisch
Die Pharmakokinetik von InnoScan XL wurde bei Patienten unter 18 Jahren nicht untersucht.
zu viel Tylenol -Nebenwirkungen einnehmen
Geriatrisch
Die Pharmakokinetik von InnoScan XL wurde bei Patienten, die älter als 65 Jahre sind, nicht untersucht. In einer Studie über 12 ältere Menschen (62 bis 79 Jahre) und 12 junge (25 bis 33 Jahre), gesunde Probanden, wurde die Clearance des S-Enantiomers von Propranolol bei älteren Menschen verringert. Zusätzlich wurden die Halbwertszeiten beider R-and-Spropranolol bei älteren Menschen im Vergleich zu den Jungen (11 Stunden gegenüber 5 Stunden) verlängert.
Geschlecht
In einer Dosis-Proportional-Studie wurde die Pharmakokinetik von InnoRran XL bei 22 männlichen und 14 weiblichen gesunden Freiwilligen bewertet. Nach einzelnen Dosen unter Fastenbedingungen lagen die mittleren AUC und Cmax für Frauen im gesamten Dosierungsbereich um etwa 49% und 16% höher. Die mittlere Eliminierungs Halbwertszeit war bei Frauen länger als bei Männern (11 Stunden gegenüber 7,5 Stunden).
Wettrennen
Eine Studie, die an 12 weißen und 13 afroamerikanischen männlichen Probanden durchgeführt wurde, die Propranolol mit sofortiger Freisetzung einnahmen, zeigte, dass die Clearance von R- und S-Propranolol bei stationärem Zustand bei afroamerikanischen Afroamerikanern etwa 76% und 53% höher war als bei Weiße.
Nierenbehinderung
Die Pharmakokinetik von Propranolol nach der Verabreichung von Innoprans XL wurde bei Patienten mit Nierenbeeinträchtigung nicht bewertet. In einer Studie, die an 5 Patienten mit chronischem Nierenversagen durchgeführt wurde, 6 Patienten mit regelmäßiger Dialyse und 5 gesunden Probanden, die eine einzige orale Dosis von 40 mg Propranolol erhielten Probanden (26 ± 1 ng/ml). Die Propranolol -Plasma -Clearance war auch bei Patienten mit chronischem Nierenversagen verringert.
Chronischer Nierenversagen wurde mit einer Abnahme des Arzneimittelstoffwechsels durch Down -Regulation der Leber -Cytochrom -P450 -Aktivität in Verbindung gebracht.
Propranolol ist nicht signifikant dialyzierbar.
Hepatische Beeinträchtigung
Die Pharmakokinetik von Propranolol nach der Verabreichung von Innoprans XL wurde bei Patienten mit Leberbeeinträchtigung nicht bewertet. Propranolol wird jedoch von der Leber ausgiebig metabolisiert. In einer Studie, die bei 7 Patienten mit Zirrhose und 9 gesunde Probanden durchgeführt wurde, die alle 8 Stunden für 7 Dosen 80 mg orales Propranolololol erhielten. Bei der Zirrhose stieg die Halbwertszeit im Vergleich zu 4 Stunden auf 11 Stunden.
Wechselwirkungen mit Drogenmedikamenten
Auswirkungen von Propranolol auf andere Medikamente
Die Wirkung von Propranolol auf die Exposition gegenüber anderen Arzneimitteln ist in Tabelle 2 gezeigt.
Tabelle 2 Einfluss von Propranolol auf andere Medikamente
| Andere Droge | Auswirkung auf ihre Exposition |
| Amidanästhetik (Lidocain Bupivacain Mepivicaine) | Erhöht |
| Warfarin | Erhöht |
| Propafenon | Erhöht> 200% |
| Nifedipin | Erhöht 80% |
| Verapamil | Keiner |
| Pravastatin Lovastatin | Verringerte sich um 20% |
| Fluvastatin | Keiner |
| Zolmitriptan | Erhöht 60% |
| Rizatriptan | Erhöht 80% |
| Thioridazin | Erhöht 370% |
| Diazepam | Erhöht |
| Oxazepam Triazolam Lorazepam Alprazolam | Keiner |
| Theophyllin | Erhöht 70% |
Auswirkungen anderer Arzneimittel auf Propranolol
Die Wirkung von Propranolol auf die Exposition gegenüber anderen Arzneimitteln ist in Tabelle 3 dargestellt.
Tabelle 3 Einfluss anderer Arzneimittel auf die Exposition gegenüber Propanolololol
| Andere Droge | Auswirkung auf die Propanolol -Exposition |
| Inhibitoren von CYP2D6 CYP1A2 oder CYP2C19 | Erhöht |
| Induktoren von CYP1A2 oder CYP2C19 | Verringert |
| Chinidin | Erhöht> 200% |
| Nisoldipin | Erhöht 50% |
| Nicardipin | Erhöht 80% |
| Chlorpromazin | Erhöht 70% |
| Cimetidin | Erhöht 50% |
| Cholestyramin Colestipol | Verringert 50% |
| Alkohol | Erhöht |
| Diazepam | Keiner |
| Verapamil | Keiner |
| Metoclopramid | Keiner |
| Ranitidin | Keiner |
| Lansoprazol | Keiner |
| Omeprazol | Keiner |
| Alkohol | Sich akut erhöhen oder chronisch verringern |
| Propafenon | Erhöht 200% |
| Chinidin | Erhöht 200% |
| Cimetidin | Erhöht 40% |
| Aluminiumhydroxid | Verringert 50% |
| Diazepam | Keiner |
| Nisoldipin nicardipine nifedipine | Erhöht 50-80% |
Klinische Studien
Hypertonie
In einer doppelblinden parallelen Dosis-Wirkungs-Studie bei Patienten mit leichter bis mittelschwerer Hypertonie (n = 434) wurden einmal täglich um 22 Uhr Dosen von Innoprans XL von 80 bis 640 mg eingenommen. Innoprans XL senkt sich signifikant systolischer und diastolischer Blutdruck, wenn Messungen ungefähr 16 Stunden später eingenommen wurden. Der placebo-subtrahierte diastolische Blutdruckeffekt für die 80- und 120-mg-Dosen betrug -3,0 bzw. -4,0 mm Hg. Höhere Dosen von Innopoprans XL (160 640 mg) hatten keine zusätzliche Blutdrucksenkung im Vergleich zu 120 mg. Die blutdrucksenkenden Wirkungen von Innoprans XL wurden bei älteren Menschen (≥ 65 Jahren) und Männern und Frauen beobachtet. Es gab zu wenige nicht-weiße Patienten, um die Wirksamkeit von Innoprans XL bei diesen Patienten zu bewerten.
Patienteninformationen für Innopran XL
- Raten Sie den Patienten, ohne den Rat eines Arztes nicht zu unterbrechen oder zu unterbrechen.
- Beraten Sie Patienten mit Herzversagen, ihren Arzt zu konsultieren, wenn sie Anzeichen oder Symptome einer Verschlechterung einer Herzinsuffizienz wie Gewichtszunahme oder zunehmender Atemnot haben.
- Patienten oder Betreuer darüber informieren, dass ein Risiko besteht Hypoglykämie Wenn Innoprans XL an Patienten gegeben wird, die fasten oder sich übergeben. Weisen Sie Patienten oder Betreuer an, wie sie Anzeichen einer Hypoglykämie überwachen können [siehe WARNUNGS AND VORSICHTSMASSNAHMEN ].
Weitere Produktinformationen finden Sie unter www.anipharmaceuticals.com oder telefonisch unter 1-800-308-6755.