Die Informationen Auf Dieser Website Stellen Keine Medizinische Beratung Dar. Wir Verkaufen Nichts. Die Richtigkeit Der Übersetzung Wird Nicht Garantiert. Haftungsausschluss
Cephalosporine, 3. Generation
Omnicef
Drogenzusammenfassung
Was ist Omnicef?
Omnicef (Cefdinir) ist ein Cephalosporin -Antibiotikum, das zur Behandlung vieler verschiedener Arten von Infektionen, die durch Bakterien verursacht werden, verwendet. Der Markenname Omnicef ist in den USA Omnicef eingestellt, ist in erhältlich generisches bilden.
Was sind Nebenwirkungen von Omnicef?
Zu den häufigen Nebenwirkungen von Omnicef gehören:
- Durchfall
- Brechreiz
- Erbrechen
- Magenschmerzen
- Verdauungsstörungen
- Kopfschmerzen
- Schwindel
- Windelausschlag bei einem Kind, das flüssiges Cefdinir einnimmt
- Juckreiz
- Hautausschlag oder
- vaginaler Juckreiz oder
- Entladung .
Sagen Sie Ihrem Arzt, wenn Sie schwerwiegende Nebenwirkungen von Omnicef haben, einschließlich wässriger oder blutiger Durchfall Brustschmerz Fieber Kälte Körperschmerzen Gelbsucht (vergilbt der Haut oder Augen); Fieber Halsschmerzen und Kopfschmerzen mit einem schweren blasigen Schälen und roten Hautausschlag; Erhöhter Durstverlust von Appetitschwellungen Gewichtszunahme anfühlt kurz atemisch oder weniger als gewöhnlich oder gar nicht.
Suchen Sie medizinische Versorgung oder rufen Sie auf einmal 911 an, wenn Sie die folgenden schwerwiegenden Nebenwirkungen haben:
- Schwerwiegende Augensymptome wie plötzlicher Sehverlust verschwommenes Sehen Tunnel Sehschmerzen oder Schwellungen oder Halos in der Umgebung des Lichts;
- Schwerwiegende Herzsymptome wie schnelle unregelmäßige oder pochende Herzschläge; Flattern in deiner Brust; Kurzatmigkeit; und plötzlich Schwindel Benommenheit oder ohnmächtig;
- Starke Kopfschmerzen Verwirrung verwirrt Spracharm oder Bein Schwäche Schwierigkeiten beim Verlust der Koordination unstabil sehr steifes Muskeln hoher Fieber problemlos Schwitzen oder Zittern.
Dieses Dokument enthält nicht alle möglichen Nebenwirkungen und andere können auftreten. Wenden Sie sich an Ihren Arzt nach zusätzlichen Informationen zu Nebenwirkungen.
Dosierung für Omnicef
Die empfohlene Dosierung von Cefdinir für Infektionen bei Erwachsenen und Jugendlichen reicht von 300 mg und 600 mg ein oder zweimal täglich. Die Dauer der Behandlungen reicht von 5 bis 10 Tagen.
Welche Drogensubstanzen oder Nahrungsergänzungsmittel interagieren mit Omnicef?
Cefdinir kann mit Probenecid- oder Vitamin- oder Mineralpräparaten interagieren, die Eisen enthalten. Andere Medikamente können mit Cefdinir interagieren. Sagen Sie Ihrem Arzt alle verschreibungspflichtigen und rezeptfreien Medikamente und Nahrungsergänzungsmittel, die Sie verwenden.
Omnicef während der Schwangerschaft und Stillen
Cefdinir sollte nur bei der Verschreibung während der Schwangerschaft verwendet werden. Dieses Medikament geht nicht in Muttermilch. Wenden Sie sich vor dem Stillen an Ihren Arzt.
Weitere Informationen
Unser Omnicef (CEFDINIR) -Seitwirkungsdrogenzentrum bietet einen umfassenden Überblick über die verfügbaren Arzneimittelinformationen über die potenziellen Nebenwirkungen bei der Einnahme dieses Medikaments.
FDA -Drogeninformationen
- Drogenbeschreibung
- Indikationen
- Dosierung
- Nebenwirkungen
- Wechselwirkungen mit Arzneimitteln
- Warnungen
- Vorsichtsmaßnahmen
- Überdosis
- Klinische Pharmakologie
- Medikamentenhandbuch
Beschreibung für Omnicef
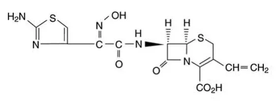
Omnicef (Cefdinir) -Kapseln und Omnicef (Cefdinir) für die orale Suspension enthalten den Wirkstoff Cefdinir ein semisynthetisches Cephalosporin erweitertes Spektrum zur oralen Verabreichung. Chemisch Cefdinir ist [6R- [6α 7β (z)]-7-[[(2-Amino-4-Thiazolyl) (Hydroxyimino) Acetyl Amino] 3-Ethenyl-8-Oxo-5-thia-1-Azabicyclo [4.2.0] Okt-2-Carboxylicsäure. Cefdinir ist ein weißes bis leicht bräunlich-gelbes Feststoff. Es ist in verdünnten Salzsäure leicht löslich und sparsam löslich in 0,1 m pH 7,0 Phosphatpuffer. Die empirische Formel ist c 14 H 13 N 5 O 5 S 2 und das Molekulargewicht beträgt 395,42. Cefdinir hat die nachstehend gezeigte strukturelle Formel:
|
Omnicef -Kapseln enthalten 300 mg Cefdinir und die folgenden inaktiven Zutaten: Carboxymethylcellulose Calcium NF; Polyoxyl 40 Stearat NF; und Magnesiumstearat NF. Die Kapselschalen enthalten FD
Omnicef für die orale Suspension nach Rekonstitution enthält 125 mg Cefdinir pro 5 ml oder 250 mg Cefdinir pro 5 ml und die folgenden inaktiven Zutaten: Saccharose NF; Zitronensäure USP; Natriumcitrat USP; Natriumbenzoat NF; Xanthan Gum NF; Guar Gum NF; künstliche Erdbeer- und Creme -Aromen; Siliziumdioxid NF; und Magnesiumstearat NF.
Verwendet für Omnicef
Um die Entwicklung von medikamentenresistenten Bakterien zu verringern und die Wirksamkeit von Omnicef und anderen antibakteriellen Arzneimitteln aufrechtzuerhalten, sollte Omnicef nur zur Behandlung oder Verhinderung von Infektionen verwendet werden, die nachgewiesen oder stark vermutet werden, dass sie durch anfällige Bakterien verursacht werden. Wenn Kultur- und Anfälligkeitsinformationen verfügbar sind, sollten sie bei der Auswahl oder Modifizierung der antibakteriellen Therapie in Betracht gezogen werden. In Ermangelung solcher Daten können lokale Epidemiologie- und Empfindlichkeitsmuster zur empirischen Auswahl der Therapie beitragen.
Omnicef (Cefdinir) -Kapseln und Omnicef (Cefdinir) zur oralen Suspension sind für die Behandlung von Patienten mit leichten bis mittelschweren Infektionen angezeigt, die durch anfällige Stämme der benannten Mikroorganismen unter den unten aufgeführten Bedingungen verursacht werden.
Erwachsene und Jugendliche
Lungenentzündung mit der Gemeinschaft erworben
verursacht von Haemophilus Influenzae (einschließlich β-Lactamase produzierter Stämme) Haemophilus parainfluenzae (einschließlich β-Lactamase produzierter Stämme) Streptococcus pneumoniae (nur Penicillin-szeptible Stämme) und Moraxella catarrhalis (einschließlich β-Lactamase produzierter Stämme) (sehen Klinische Studien ).
Akute Exazerbationen chronischer Bronchitis
verursacht von Haemophilus Influenzae (einschließlich β-Lactamase produzierter Stämme) Haemophilus parainfluenzae (einschließlich β-Lactamase produzierter Stämme) Streptococcus pneumoniae (nur Penicillin-szeptible Stämme) und Moraxella catarrhalis (einschließlich β-Lactamase produzierter Stämme).
Akute Kiefer -Sinusitis
verursacht von Haemophilus Influenzae (einschließlich β-Lactamase produzierter Stämme) Streptococcus pneumoniae (nur Penicillin-szeptible Stämme) und Moraxella catarrhalis (einschließlich βlactamase produzierender Stämme).
NOTIZ: Informationen zur Verwendung bei pädiatrischen Patienten finden Sie unter Pädiatrische Verwendung Und Dosierung und Verwaltung .
Pharyngitis/Mandelentzündung
verursacht von Streptococcus pyogenes (sehen Klinische Studien ).
NOTIZ: Cefdinir wirksam bei der Ausrottung von S. Pyogenes S. Pyogenes
Unkomplizierte Haut- und Hautstrukturinfektionen
verursacht von Staphylococcus aureus (einschließlich β-Lactamase produzierter Stämme) Und Streptococcus pyogenes .
Pädiatrische Patienten
Akute bakterielle Mittelohrentzündung Medien verursacht von Haemophilus Influenzae (einschließlich β-Lactamase produzierter Stämme) Streptococcus pneumoniae (nur Penicillin-szeptible Stämme) und Moraxella catarrhalis (einschließlich β-Lactamase produzierter Stämme).
Nebenwirkungen hoher Östrogenspiegel
Pharyngitis/Mandelentzündung
verursacht von Streptococcus pyogenes (sehen Klinische Studien ).
NOTIZ: Cefdinir wirksam bei der Ausrottung von S. Pyogenes S. Pyogenes
Unkomplizierte Haut- und Hautstrukturinfektionen
verursacht von Staphylococcus aureus (einschließlich β-Lactamase produzierter Stämme) Und Streptococcus pyogenes .
Dosierung für Omnicef
(sehen Indikationen und Nutzung für Angegebene Krankheitserreger )
Kapseln
Die empfohlene Dosierung und Dauer der Behandlung von Infektionen bei Erwachsenen und Jugendlichen werden in der folgenden Tabelle beschrieben. Die gesamte tägliche Dosis für alle Infektionen beträgt 600 mg. Eine einmal tägliche Dosierung für 10 Tage ist genauso effektiv wie die Biddosierung. Einmal tägliche Dosierung wurde bei Lungenentzündung oder Hautinfektionen nicht untersucht. Daher sollten Omnicef -Kapseln bei diesen Infektionen zweimal täglich verabreicht werden. Omnicef -Kapseln können ohne Rücksicht auf die Mahlzeiten eingenommen werden.
Erwachsene und Jugendliche (Age 13 Years Und Older)
| Art der Infektion | Dosierung | Dauer |
| Lungenentzündung mit der Gemeinschaft erworben | 300 mg Q12H | 10 Tage |
| Akute Exazerbationen chronischer Bronchitis | 300 mg Q12H or 600 mg q24h | 5 bis 10 Tage 10 Tage |
| Akute Kiefer -Sinusitis | 300 mg Q12H or 600 mg q24h | 10 Tage 10 Tage |
| Pharyngitis/Mandelentzündung | 300 mg Q12H or 600 mg q24h | 5 bis 10 Tage 10 Tage |
| Unkomplizierte Haut- und Hautstrukturinfektionen | 300 mg Q12H | 10 Tage |
Pulver für orale Suspension
Die empfohlene Dosierung und Dauer der Behandlung von Infektionen bei pädiatrischen Patienten werden in der folgenden Tabelle beschrieben. Die gesamte tägliche Dosis für alle Infektionen beträgt 14 mg/kg bis zu einer maximalen Dosis von 600 mg pro Tag. Eine einmal tägliche Dosierung für 10 Tage ist genauso effektiv wie die Biddosierung. Einmal täglich wurde bei Hautinfektionen nicht untersucht. Daher sollte Omnicef für die orale Suspension bei dieser Infektion zweimal täglich verabreicht werden. Omnicef für die orale Suspension kann ohne Rücksicht auf die Mahlzeiten verabreicht werden.
Pädiatrische Patienten (Age 6 Months Through 12 Years)
| Art der Infektion | Dosierung | Dauer |
| Akute bakterielle Mittelohrentzündung Medien | 7 mg/kg Q12H oder | 5 bis 10 Tage 10 Tage |
| Akute Kiefer -Sinusitis | 7 mg/kg Q12H oder | 10 Tage 10 Tage |
| Pharyngitis/Mandelentzündung | 7 mg/kg Q12H oder | 5 bis 10 Tage 10 Tage |
| Unkomplizierte Haut- und Hautstrukturinfektionen | 7 mg/kg Q12H | 10 Tage |
Omnicef für orale Suspensionspädiatrische Dosierungstabelle
| Gewicht | 125 mg/5 ml | 250 mg/5 ml |
| 9 kg/20 lbs | 2,5 ml Q12H oder 5 ml Q24H | Verwenden Sie 125 mg/5 ml Produkt |
| 18 kg/40 lbs | 5 ml Q12H oder 10 ml Q24H | 2,5 ml Q12H oder 5 ml Q24H |
| 27 kg/60 lbs | 7,5 ml Q12H oder 15 ml Q24H | 3,75 ml Q12H oder 7,5 ml Q24H |
| 36 kg/80 lbs | 10 ml Q12H oder 20 ml Q24H | 5 ml Q12H oder 10 ml Q24H |
| ≥ 43 kg a /95 lbs | 12 ml Q12H oder 24 ml Q24H | 6 ml Q12H oder 12 ml Q24H |
| a Pädiatrische Patienten, die 43 kg wiegen, sollten die maximale tägliche Dosis von 600 mg erhalten. |
Patienten mit Niereninsuffizienz
Bei erwachsenen Patienten mit Kreatinin -Clearance <30 mL/min the dose of cefdinir should be 300 mg given once daily.
Die Kreatinin -Clearance ist bei ambulanten Patienten schwer zu messen. Die folgende Formel kann jedoch verwendet werden, um die Kreatinin -Clearance (CLCR) bei erwachsenen Patienten abzuschätzen. Damit Schätzungen gültige Serumkreatininspiegel sind, sollten die Nierenfunktionsniveaus der stationären State widerspiegeln.
| Männer: | (Gewicht in kg) x (140 - Alter) |
| (72) x Serumkreatinin | |
| Frauen | CLCR = 0,85 × über den Wert |
Wo die Kreatinin -Clearance im Alter von ml/min in Jahren ist. 4
Die folgende Formel kann verwendet werden, um die Kreatinin -Clearance bei pädiatrischen Patienten abzuschätzen:
Clcr = K × Körperlänge oder Höhe/ Serumkreatinin
wobei K = 0,55 für pädiatrische Patienten älter als 1 Jahr 5 Und 0.45 für infants (up to 1 year) 6 .
In der obigen Gleichung befindet sich die Kreatinin -Clearance in ml/min/1,73 m² Körperlänge oder -höhe in Zentimetern und das Serumkreatinin in mg/dl.
Für pädiatrische Patienten mit einer Kreatinin -Clearance von <30 mL/min/1.73 m² the dose of cefdinir should be 7 mg/kg (up to 300 mg) given once daily.
Patienten mit Hämodialyse
Die Hämodialyse entfernt Cefdinir aus dem Körper. Bei Patienten, die bei chronischer Hämodialyse aufrechterhalten wurden, beträgt das empfohlene anfängliche Dosierungsregime jeden zweiten Tag eine Dosis von 300 mg oder 7 mg/kg.
Am Ende jeder Hämodialyse -Sitzung sollte 300 mg (oder 7 mg/kg) verabreicht werden. Nachfolgende Dosen (300 mg oder 7 mg/kg) werden dann jeden zweiten Tag verabreicht.
Anweisungen zum Mischen von Omnicef für die orale Aufhängung
| Finale | Finale | Wassermenge | Richtungen |
| 125 mg/5 ml | 60 | 38 ml 63 ml | Tippen Sie auf die Flasche, um Pulver zu lockern und dann Wasser in 2 Portionen hinzuzufügen. Nach jedem Aliquot gut schütteln. |
| 250 mg/5 ml | 60 | 38 ml 63 ml | Tippen Sie auf die Flasche, um Pulver zu lockern und dann Wasser in 2 Portionen hinzuzufügen. Nach jedem Aliquot gut schütteln. |
Nach dem Mischen kann die Federung bei Raumtemperatur (25 ° C/77 ° F) gelagert werden. Der Behälter sollte dicht geschlossen gehalten und die Federung vor jeder Verabreichung gut geschüttelt werden. Die Suspendierung kann 10 Tage lang verwendet werden, wonach ein ungenutzter Teil verworfen werden muss.
Wie geliefert
Omnicef -Kapseln 300 mg Cefdinir als Lavendel- und türkisfarbene Kapseln, die mit dem Produktnamen eingeprägt sind, sind wie folgt erhältlich:
60 Kapseln/Flasche NDC 0074-3769-60
OMNI-PAC ™ -Karton von 3-Nutzungseinheiten 5-Tage-10-Kapsel-Blisterkarten NDC 0074-3769-30
Omnicef für die orale Suspendierung ist eine cremefarbene Pulverformulierung, die bei rekonstituiertem wie angegeben 125 mg Cefdinir/5 ml oder 250 mg Cefdinir/5 ml enthält. Die rekonstituierten Suspensionen haben eine cremefarbene Farbe und ein Erdbeergeschmack. Das Pulver ist wie folgt erhältlich:
125 mg/5 ml
60-ml-Flaschen NDC 0074-3771-60
100-ml-Flaschen NDC 0074-3771-13
250 mg/5 ml 60-ml-Flaschen NDC 0074-6151-60
100-ml-Flaschen NDC 0074-6151-13
Lagern Sie die Kapseln und nicht ausgelasteten Pulver bei 25 ° C (77 ° F); Exkursionen, die auf 15 ° -30 ° C (59 ° -86 ° F) zulässig sind [siehe USP-kontrollierte Raumtemperatur]. Sobald rekonstituiert wurde, kann die orale Aufhängung 10 Tage lang bei kontrollierter Raumtemperatur gelagert werden.
Hergestellt von: CEPH International Corporation Carolina Puerto Rico 00986. Für: Abbvie Inc. North Chicago IL 60064 USA. Unter Lizenz von: Astellas Pharma Inc. Tokyo Japan. Überarbeitet Nov 2015
Nebenwirkungen für Omnicef
Unerwünschte Ereignisse
Klinische Studien - Omnicef -Kapseln (Patienten für Erwachsene und jugendliche Patienten)
In klinischen Studien wurden 5093 Patienten mit Erwachsenen und Jugendlichen (3841 US und 1252 Nicht-US) mit der empfohlenen Dosis von Cefdinir-Kapseln (600 mg/Tag) behandelt. Die meisten unerwünschten Ereignisse waren mild und selbstlimitierend. Es wurden keine Todesfälle oder dauerhaften Behinderungen auf Cefdinir zurückgeführt. Einhundert siebenundvierzig von 5093 (3%) Patienten stellten die Medikamente ein, da die Ermittler von unerwünschten Ereignissen wahrscheinlich wahrscheinlich oder definitiv mit der Cefdinir-Therapie verbunden sind. Die Unterbrechungen bestanden hauptsächlich für Magen -Darm -Störungen in der Regel durch Durchfall oder Übelkeit. Neunzehn von 5093 (NULL,4%) Patienten wurden aufgrund des ausschließenden Gedankens im Zusammenhang mit der Verabreichung von Cefdinir abgesetzt.
In den USA wurden die folgenden unerwünschten Ereignisse von Forschern möglicherweise wahrscheinlich oder definitiv mit Cefdinir-Kapseln in mehreren dosierten klinischen Studien (n = 3841 Cefdinir-behandelte Patienten) angesehen:
Unerwünschte Ereignisse im Zusammenhang mit Cefdinir -Kapseln US -Studien bei erwachsenen und jugendlichen Patienten (n = 3841) a
| Inzidenz ≥ 1% | Durchfall | 15% |
| Vaginalmoniliasis | 4% der Frauen | |
| Brechreiz | 3% | |
| Kopfschmerzen | 2% | |
| Bauchschmerzen | 1% | |
| Vaginitis | 1% of women | |
| Häufigkeit <1% but> 0,1% | Ausschlag | 0,90% |
| Dyspepsie | 0,70% | |
| Blähung | 0,70% | |
| Erbrechen | 0,70% | |
| Abnormale Stühle | 0,30% | |
| Anorexie | 0,30% | |
| Verstopfung | 0,30% | |
| Schwindel | 0,30% | |
| Trockener Mund | 0,30% | |
| Asthenie | 0,20% | |
| Schlaflosigkeit | 0,20% | |
| Leukorrhoe | 0,2% der Frauen | |
| Moniliasis | 0,20% | |
| Pruritus | 0,20% | |
| Schläfrigkeit | 0,20% | |
| a 1733 Männer 2108 Frauen |
Die folgenden Veränderungen des Laborwerts möglicher klinischer Signifikanz unabhängig von der Beziehung zur Therapie mit Cefdinir wurden in klinischen Studien in den USA beobachtet:
Laborwertveränderungen, die bei Cefdinir -Kapseln US -Studien bei erwachsenen und jugendlichen Patienten beobachtet wurden (n = 3841)
| Inzidenz ≥ 1% | ↑ Urinleukozyten | 2% |
| ↑ Urinprotein | 2% | |
| ↑ Gamma-Glutamyltransferase a | 1% | |
| ↓ Lymphozyten ↑ Lymphozyten | 1% 0.2% | |
| ↑ Mikrohematurie | 1% | |
| Häufigkeit <1% but> 0,1% | ↑ Glucosea | 0,90% |
| ↑ Uringlukose | 0,90% | |
| ↑ Weiße Blutkörperchen ↓ Weiße Blutkörperchen | 0,9% 0,7% | |
| ↑ Alanin Aminotransferase (ALT) | 0,70% | |
| ↑ Eosinophile | 0,70% | |
| ↑ Urinspezifisches Gewicht ↓ Urinspezifisches Gewicht a | 0,6% 0,2% | |
| ↓ Bicarbonat a | 0,60% | |
| ↑ Phosphor ↓ Phosphorusa | 0,6% 0,3% | |
| ↑ Aspartat Aminotransferase (AST) | 0,40% | |
| ↑ Alkalische Phosphatase | 0,30% | |
| ↑ Blut Harnstoffstickstoff (Brötchen) | 0,30% | |
| ↓ Hämoglobin | 0,30% | |
| ↑ Polymorphonukleare Neutrophile (PMNs) ↓ PMNs | 0,3% 0,2% | |
| ↑ Bilirubin | 0,20% | |
| ↑ Laktat -Dehydrogenase a | 0,20% | |
| ↑ Blutplättchen | 0,20% | |
| ↑ Kalium a | 0,20% | |
| ↑ Urin pH a | 0,20% | |
| a N <3841 für these parameters |
Klinische Studien - Omnicef für die orale Suspension (pädiatrische Patienten)
In klinischen Studien wurden 2289 pädiatrische Patienten (1783 US und 506 Nicht-US) mit der empfohlenen Dosis der Cefdinir-Suspension (14 mg/kg/Tag) behandelt. Die meisten unerwünschten Ereignisse waren mild und selbstlimitierend. Es wurden keine Todesfälle oder dauerhaften Behinderungen auf Cefdinir zurückgeführt. Vierzig von 2289 (2%) Patienten ließen Medikamente aufgrund von unerwünschten Ereignissen ein, die von den Forschern als wahrscheinlich oder definitiv mit der Cefdinir -Therapie verbunden sind. Die Unterbrechungen dauerten hauptsächlich bei gastrointestinalen Störungen in der Regel durch Durchfall. Fünf von 2289 (NULL,2%) Patienten wurden aufgrund des ausschließenden Gedankens im Zusammenhang mit der Verabreichung von Cefdinir abgesetzt.
In den USA wurden die folgenden unerwünschten Ereignisse von Forschern möglicherweise wahrscheinlich oder definitiv mit Cefdinir-Suspension in klinischen Studien mehrerer Dosierung (n = 1783 cefdinirteed-Patienten) angesehen:
Unerwünschte Ereignisse im Zusammenhang mit Cefdinir Suspension US -Studien bei pädiatrischen Patienten (n = 1783) a
| Inzidenz ≥ 1% | Durchfall | 8% |
| Ausschlag | 3% | |
| Erbrechen | 1% | |
| Häufigkeit <1% but> 0,1% | Hautmoniliasis | 0,90% |
| Bauchschmerzen | 0,80% | |
| Leukopenie b | 0,30% | |
| Vaginalmoniliasis | 0,3% der Mädchen | |
| Vaginitis | 0,3% der Mädchen | |
| Abnormale Stühle | 0,20% | |
| Dyspepsie | 0,20% | |
| Hyperkinesie | 0,20% | |
| Erhöhte Ast b | 0,20% | |
| Makulopapulärer Ausschlag | 0,20% | |
| Brechreiz | 0,20% | |
| a 977 Männer 806 Frauen b Laboränderungen wurden gelegentlich als unerwünschte Ereignisse gemeldet. |
Hinweis: Bei den jüngsten pädiatrischen Patienten waren sowohl bei Cefdinir- als auch bei kontrollbehandelten Patienten die Durchfallraten von Durchfall und Hautausschlägen höher. Die Inzidenz von Durchfall bei mit Cefdinir behandelten Patienten ≤ 2 Jahren betrug 17% (95/557), verglichen mit 4% (51/1226) in den Jahren> 2 Jahre. Die Inzidenz von Hautausschlag (hauptsächlich Windelausschlag bei den jüngeren Patienten) betrug 8% (43/557) bei Patienten ≤ 2 Jahre, verglichen mit 1% (8/1226) in den Jahren> 2 Jahre.
Die folgenden Veränderungen des Laborwerts möglicher klinischer Signifikanz unabhängig von der Beziehung zur Therapie mit Cefdinir wurden in klinischen Studien in den USA beobachtet:
Laborwertveränderungen der möglichen klinischen Signifikanz, die bei Cefdinir -Suspensionsstudien bei pädiatrischen Patienten beobachtet wird (n = 1783)
| Inzidenz ≥ 1% | ↑ Lymphozyten ↓ Lymphozyten | 2% 0.8% |
| ↑ Alkalische Phosphatase | 1% | |
| ↓ Bicarbonat a | 1% | |
| ↑ Eosinophile | 1% | |
| ↑ Laktat -Dehydrogenase | 1% | |
| ↑ Blutplättchen | 1% | |
| ↑ PMNs ↓ PMNs | 1% 1% | |
| ↑ Urinprotein | 1% | |
| Häufigkeit <1% but> 0,1% | ↑ Phosphor ↓ Phosphor | 0,9% 0,4% |
| ↑ Urin pH | 0,80% | |
| ↓ weiße Blutkörperchen ↑ Weiße Blutkörperchen | 0,7% 0,3% | |
| ↓ Kalzium a | 0,50% | |
| ↓ Hämoglobin | 0,50% | |
| ↑ Urinleukozyten | 0,50% | |
| ↑ Monozyten | 0,40% | |
| ↑ AST | 0,30% | |
| ↑ Kalium a | 0,30% | |
| ↑ Urinspezifische Schwerkraft ↓ Urinspezifische Gewicht | 0,3% 0,1% | |
| ↓ Hämatokrit a | 0,20% | |
| a N = 1387 für diese Parameter |
Nachmarkterfahrung
The following adverse experiences and altered laboratory tests regardless of their relationship to cefdinir have been reported during extensive postmarketing experience beginning with approval in Japan in 1991: shock anaphylaxis with rare cases of fatality facial and laryngeal edema feeling of suffocation serum sickness-like reactions conjunctivitis stomatitis Stevens-Johnson syndrome toxic epidermal necrolysis exfoliative dermatitis erythema multiforme erythema nodosum acute hepatitis cholestasis fulminant hepatitis hepatic failure jaundice increased amylase acute enterocolitis bloody diarrhea hemorrhagic colitis melena pseudomembranous colitis pancytopenia granulocytopenia leukopenia thrombocytopenia idiopathic thrombocytopenic purpura hämolytische Anämie akute Atemversagen Asthmatische Angriffsmedikamik-induzierte Pneumonie Eosinophile Pneumonia idiopathisch interstitielle Pneumonie Fever akute Nierenversagen Nephropathie Blutungsneuchtigkeit Tendenz Tendenzkoagulation Erkrankung Disseminierte intravaskuläre Koagulation obere gi-geschwanzte peptic ulculculculculculculculculation peptic ulculculculculculculculus peptika Cefdinir-diclofenac-Wechselwirkung Herzversagen Brustschmerzen Myokardinfarkt Hypertonie Unwillkürliche Bewegungen und Rhabdomyolyse.
Unerwünschte Ereignisse der Cephalosporin -Klasse
Die folgenden unerwünschten Ereignisse und veränderten Labortests wurden für Cephalosporinclass -Antibiotika im Allgemeinen berichtet:
Allergische Reaktionen Anaphylaxie Stevens-Johnson-Syndrom Erythema multiforme toxische epidermale Nekrolyse Nierenfunktionsstörung toxische Nephropathie hepatische Dysfunktion einschließlich cholestase aplastischer Anämie Hämolytik-Anämie-Hämastopenie und AGRHAGE-TEST AGRANINY GLUCOSUSUSUSUSUSUSUSUSUSUSUSUSUSUSUSUSUSUSUSUSUSUSUSUMUSUSUSUSUSUSUSUSUSUMUSUSUSUSUSUSUSUSUSUSUSUSUSUSUSUSUSUSUSUSUMUSUSUSUSUSUSUMUSUSUMUSUSUMUSUSUMUSUMISULE. Die Symptome der pseudomembranösen Kolitis können während oder nach der Behandlung von Antibiotika beginnen (siehe Warnungen ).
Mehrere Cephalosporine wurden an Anfällen beteiligt, insbesondere bei Patienten mit Nierenbeeinträchtigung, wenn die Dosierung nicht verringert wurde (siehe Dosierung und Verwaltung Und Überdosierung ). If seizures associated with drug therapy occur the drug should be discontinued. Anticonvulsant therapy can be given if clinically indicated.
Wechselwirkungen mit Arzneimitteln für Omnicef
Antazida (Aluminium- oder Magnesiumhalte)
Die gleichzeitige Verabreichung von 300-mg-Cefdinir-Kapseln mit 30 ml Maalox® TC-Suspension verringert die Rate (CMAX) und das Ausmaß (AUC) der Absorption um ungefähr 40%. Die Zeit, um Cmax zu erreichen, verlängert sich ebenfalls um 1 Stunde. Es gibt keine signifikanten Auswirkungen auf die Cefdinir -Pharmakokinetik, wenn das Antazid 2 Stunden vor oder 2 Stunden nach Cefdinir verabreicht wird. Wenn während der Omnicef -Therapie Antazida benötigt wird, sollte Omnicef mindestens 2 Stunden vor oder nach der Antazida eingenommen werden.
Probenecid
Wie bei anderen β-Lactam-Antibiotika hemmt das Probenecid die Nierenausscheidung von Cefdinir, was zu einer ungefähren Verdoppelung bei AUC führt. Ein 54% iger Zunahme des Spitzen-Cefdinir-Plasmasspiegels und zu einer 50% igen Verlängerung der scheinbaren Eliminierung t ½.
Eisenpräparate und Lebensmittel mit Eisen befestigt
Eine gleichzeitige Verabreichung von Cefdinir mit einem therapeutischen Eisenpräparat mit 60 mg elementarem Eisen (als FESO4) oder Vitaminen, die mit 10 mg elementarem Eisen ergänzt sind, verringerte das Ausmaß der Absorption um 80% bzw. 31%. Wenn während der Omnicef -Therapie Eisenpräparate benötigt werden, sollte Omnicef mindestens 2 Stunden vor oder nach der Ergänzung eingenommen werden.
Die Wirkung von Lebensmitteln, die mit elementarem Eisen (hauptsächlich eisengerüste Frühstücksflocken) auf Cefdinir-Absorption stark angeregt wurden, wurde nicht untersucht.
Gleichzeitig verabreichtes Eisen-Säuglingsformel (NULL,2 mg Elementar Iron/6 oz) hat keinen signifikanten Einfluss auf die Cefdinir-Pharmakokinetik. Daher kann Omnicef für die orale Suspension mit eiserner Säuglingsformel verabreicht werden.
Bei Patienten, die Cefdinir erhielten, gab es Berichte über rötliche Stühle. In vielen Fällen erhielten die Patienten auch Eisen-haltige Produkte. Die rötliche Farbe ist auf die Bildung eines nicht absorbierbaren Komplexes zwischen Cefdinir oder seinen Breakdown -Produkten und Eisen im Magen -Darm -Trakt zurückzuführen.
Wechselwirkungen zwischen Arzneimittel und Labor-/Labortest
Eine falsch positive Reaktion für Ketone im Urin kann mit Tests mit Nitroprussid, nicht jedoch mit denen, die Nitroferricyanid verwenden, auftreten. Die Verabreichung von Cefdinir kann zu einer falsch positiven Reaktion für Glukose im Urin unter Verwendung von Clinitest® Benedicts Lösung oder Fehling-Lösung führen. Es wird empfohlen, Glukosetests basierend auf enzymatischen Glukoseoxidase-Reaktionen (wie Clinistix® oder TES-Tape®) zu verwenden. Es ist bekannt, dass Cephalosporine gelegentlich einen positiven direkten Coombs -Test induzieren.
Warnungen für Omnicef
Vor der Therapie mit Omnicef (Cefdinir) sollte eine sorgfältige Untersuchung durchgeführt werden, um festzustellen, ob der Patient frühere Überempfindlichkeitsreaktionen auf Cefdinir andere Cephalosporine Penicillins oder andere Arzneimittel hatte. Wenn Cefdinir penicillin-sensitiven Patienten gegeben werden soll, sollte eine Cross-Hypersensitivität bei β-Lactam-Antibiotika eindeutig dokumentiert und bei bis zu 10% der Patienten mit Penicillin-Allergie auftreten. Wenn eine allergische Reaktion auf Cefdinir auftritt, sollte das Medikament abgesetzt werden. Eine schwerwiegende akute Überempfindlichkeitsreaktionen kann eine Behandlung mit Epinephrin und anderen Notfallmaßnahmen erfordern, einschließlich intravenöser Sauerstoffflüssigkeiten intravenöser Antihistaminika Corticosteroide Pressoramine und Atemwegsmanagement als klinisch angegeben.
Clostridium difficile Assoziiertes Durchfall (CDAD) wurde unter Verwendung von nahezu allen antibakteriellen Wirkstoffen, einschließlich Omnicef, berichtet und kann von leichten Durchfall bis zu tödlicher Kolitis reichen. Die Behandlung mit antibakteriellen Wirkstoffen verändert die normale Flora des Dickdarms C. schwierig .
C. schwierig Produziert Toxine A und B, die zur Entwicklung von CDAD beitragen. Hypertoxin produzieren Stämme von C. schwierig verursachen erhöhte Morbidität und Mortalität, da diese Infektionen gegenüber der antimikrobiellen Therapie refraktär sein können und möglicherweise eine Kolektomie erfordern. CDAD muss bei allen Patienten berücksichtigt werden, die nach antibakterieller Verwendung mit Durchfall auftreten. Eine sorgfältige Anamnese ist erforderlich, da CDAD über zwei Monate nach der Verabreichung von Antibakterienmeistern berichtet wurde.
Wenn CDAD vermutet wird oder bestätigt wird C. schwierig Möglicherweise muss eingestellt werden. Geeignete Antibakterienbehandlung von Flüssigkeits- und Elektrolytmanagementprotein Supplementation von C. schwierig Und surgical evaluation should be instituted as clinically indicated.
Vorsichtsmaßnahmen für Omnicef
Allgemein
Die Verschreibung von Omnicef in Abwesenheit einer nachgewiesenen oder stark vermuteten bakteriellen Infektion oder einer prophylaktischen Indikation ist unwahrscheinlich, dass es dem Patienten einen Nutzen bringt und das Risiko für die Entwicklung von medikamentenresistenten Bakterien erhöht.
Wie bei anderen Breitband-Antibiotika kann eine verlängerte Behandlung zum möglichen Auftreten und Überwachsen resistenter Organismen führen. Eine sorgfältige Beobachtung des Patienten ist wesentlich. Wenn während der Therapie eine Superinfektion auftritt, sollte eine geeignete alternative Therapie verabreicht werden.
Cefdinir sollte wie bei anderen Antimikrobiellen (Antibiotika) mit breitem Spektrum bei Personen mit Kolitis Vorsicht vorgeschrieben werden.
Bei Patienten mit vorübergehender oder anhaltender Niereninsuffizienz (Kreatinin -Clearance <30 mL/min) the total daily dose of OMNICEF should be reduced because high Und prolonged plasma concentrations of cefdinir can result following recommended doses (sehen Dosierung und Verwaltung ).
Karzinogenese -Mutagenese -Beeinträchtigung der Fruchtbarkeit
Das krebserzeugende Potential von Cefdinir wurde nicht bewertet. Im bakteriellen Reverse-Mutation-Assay (AMES) oder des Punktmutationsassays beim Hypoxanthin-Guanin-Phosphoribosyltransferase Locus (HGPRT) in V79-chinesischen Hamster-Lungenzellen wurden keine mutagenen Wirkungen beobachtet. Es wurden keine klastogenen Wirkungen beobachtet in vitro Im Strukturchromosomen -Aberrationstest in V79 chinesischen Hamster -Lungenzellen oder vergeblich im Mikronukleus -Assay im Mausknochenmark. Bei Ratten wurden die Fruchtbarkeit und die Fortpflanzungsleistung durch Cefdinir bei oralen Dosen von bis zu 1000 mg/kg/Tag nicht beeinflusst (70 -mal die menschliche Dosis basierend auf Mg/kg/Tag 11 -mal basierend auf Mg/m²/Tag).
Schwangerschaft
Teratogene Wirkungen
Schwangerschaft Category B
Cefdinir war bei Ratten bei oralen Dosen von bis zu 1000 mg/kg/Tag (70 -mal die menschliche Dosis auf der Grundlage von Mg/mg/m²/Tag) nicht teratogen, basierend auf mg/m²) oder bei Kaninchen bei oralen Dosen bis zu 10 mg/kg/Tag (NULL,7 -mal. Die mütterliche Toxizität (verringerte Körpergewichtszunahme) wurde bei Kaninchen bei maximal tolerierter Dosis von 10 mg/kg/Tag ohne nachteilige Auswirkungen auf die Nachkommen beobachtet. Ein verringertes Körpergewicht trat bei Rattenfeten bei ≥ 100 mg/kg/Tag und bei Ratten -Nachkommen bei ≥ 32 mg/kg/Tag auf. Es wurden keine Auswirkungen auf mütterliche Fortpflanzungsparameter oder das Überlebensentwicklungsverhalten oder die Fortpflanzungsfunktion der Nachkommen beobachtet.
Es gibt jedoch keine angemessenen und gut kontrollierten Studien bei schwangeren Frauen. Da Studien zur Reproduktion von Tieren nicht immer der menschlichen Reaktion vorhersagen, sollte dieses Medikament nur dann während der Schwangerschaft angewendet werden, wenn sie eindeutig benötigt werden.
Arbeit und Entbindung
Cefdinir wurde nicht zur Verwendung während der Arbeit und zur Entbindung untersucht.
Pflegemütter
Nach der Verabreichung einzelner 600-mg-Dosen wurde Cefdinir bei menschlicher Muttermilch nicht nachgewiesen.
Pädiatrische Verwendung
Sicherheit und Wirksamkeit bei Neugeborenen und Säuglingen, die weniger als 6 Monate alt sind, wurden nicht festgestellt. Die Verwendung von Cefdinir zur Behandlung von akuter Sinusitis von Maxillär bei pädiatrischen Patienten (6 Monate bis 12 Jahre) wird durch Hinweise aus angemessenen und gut kontrollierten Studien bei Erwachsenen und Jugendlichen die ähnliche Pathophysiologie der akuten Sinusitis bei erwachsenen und pädiatrischen Patienten und pädiatrischen Patienten und pädiatrische Patienten in der pädiatrischen Daten bei der pädiatrischen Daten in der Pediatriktion gestützt.
Geriatrische Verwendung
Die Wirksamkeit ist bei geriatrischen Patienten und jüngeren Erwachsenen vergleichbar. Während Cefdinir in allen Altersgruppen in klinischen Studien gut vertragen wurde, hatten Geriatrische Patienten eine geringere Rate unerwünschter Ereignisse, einschließlich Durchfall als jüngere Erwachsene. Die Dosisanpassung bei älteren Patienten ist nicht erforderlich, es sei denn, die Nierenfunktion ist deutlich beeinträchtigt (siehe Dosierung und Verwaltung ).
Überdosierungsinformationen für Omnicef
Informationen zur Cefdinir -Überdosierung beim Menschen sind nicht verfügbar. In akuten Nagetoxizität untersucht eine einzelne orale 5600-mg/kg-Dosis keine nachteiligen Auswirkungen. Giftige Anzeichen und Symptome nach Überdosierung mit anderen β-Lactam-Antibiotika umfassten Übelkeit erbrechen epigastrische Notfalldurchfall und Krämpfe. Die Hämodialyse entfernt Cefdinir aus dem Körper. Dies kann bei einer schweren toxischen Reaktion durch Überdosierung nützlich sein, insbesondere wenn die Nierenfunktion beeinträchtigt wird.
Kontraindikationen für Omnicef
OMNICEF (cefdinir) is contraindicated in patients with known allergy to the cephalosporin class of antibiotics.
Klinische Pharmakologie für Omnicef
Pharmakokinetik und Arzneimittelstoffwechsel
Absorption
Orale Bioverfügbarkeit
Maximale Plasma -Cefdinir -Konzentrationen treten 2 bis 4 Stunden nach der Dose nach Kapsel oder Suspensionsverabreichung auf. Die Plasma-Cefdinir-Konzentrationen nehmen mit der Dosis zu, die Erhöhungen sind jedoch von 300 mg (7 mg/kg) bis 600 mg (14 mg/kg) weniger als Dosis-Proportional. Nach der Verabreichung der Suspendierung an gesunde Erwachsene beträgt die Bioverfügbarkeit von Cefdinir im Vergleich zu Kapseln 120%. Die geschätzte Bioverfügbarkeit von Cefdinir -Kapseln beträgt 21% nach Verabreichung einer 300 -mg -Kapseldosis und 16% nach Verabreichung einer 600 -mg -Kapseldosis. Die geschätzte absolute Bioverfügbarkeit der Cefdinir -Suspension beträgt 25%. Es wurde gezeigt, dass Cefdinir orale Suspension von 250 mg/5 ml Stärke bei gesunden Erwachsenen unter Nüchternbedingungen bioäquivalent ist.
Wirkung von Nahrung
Die Cmax und AUC von Cefdinir aus den Kapseln sind bei der Verabreichung eines fettreichen Mahlzeit um 16% bzw. 10% reduziert. Bei Erwachsenen mit einer oralen Suspension von 250 mg/5 ml mit einem fettreichen Mehl werden Cmax und AUC von Cefdinir um 44% bzw. 33% reduziert. Das Ausmaß dieser Reduktionen ist wahrscheinlich nicht klinisch signifikant, da die Sicherheits- und Wirksamkeitsstudien zur oralen Suspension bei pädiatrischen Patienten ohne Rücksicht auf die Nahrungsaufnahme durchgeführt wurden. Daher kann Cefdinir ohne Rücksicht auf die Nahrung eingenommen werden.
Cefdinir -Kapseln
Cefdinir-Plasmakonzentrationen und pharmakokinetische Parameterwerte nach Verabreichung von einzelnen 300- und 600-mg-oralen Dosen von Cefdinir an erwachsene Probanden sind in der folgenden Tabelle dargestellt:
Mittelwert (± SD) Plasma cefdinir pharmakokinetische Parameterwerte nach Verabreichung von Kapseln an erwachsene Probanden
| Dosis | Cmax (μg/ml) | tmax (hr) | AUC (μg • HR/ml) |
| 300 mg | 1,6 (NULL,55) | 2,9 (NULL,89) | 7.05 (2.17) |
| 600 mg | 2,87 (NULL,01) | 3 (NULL,66) | 11.1 (NULL,87) |
Cefdinir -Suspension
Cefdinir-Plasmakonzentrationen und pharmakokinetische Parameterwerte nach Verabreichung von einzelnen 7- und 14 mg/kg oralen Dosen Cefdinir an pädiatrische Probanden (Alter 6 Monate bis 12 Jahre) sind in der folgenden Tabelle dargestellt:
Mittelwert (± SD) Plasma cefdinir pharmakokinetische Parameterwerte nach Verabreichung der Suspension an pädiatrische Probanden
| Dosis | Cmax (μg/ml) | tmax (hr) | AUC (μg • HR/ml) |
| 7 mg/kg | 2,3 (NULL,65) | 2,2 (NULL,6) | 8.31 (NULL,5) |
| 14 mg/kg | 3,86 (NULL,62) | 1,8 (NULL,4) | 13,4 (2.64) |
Multiple Dosierung
Valproinsäure Nebenwirkungen langfristig
Cefdinir akkumuliert im Plasma nach einer einst oder zweimal täglichen Verabreichung an Probanden mit normaler Nierenfunktion nicht.
Verteilung
Das mittlere Verteilungsvolumen (VDAREA) von Cefdinir bei erwachsenen Probanden beträgt 0,35 l/kg (± 0,29); Bei pädiatrischen Probanden (Alter von 6 Monaten bis 12 Jahren) beträgt Cefdinir Vdarea 0,67 l/kg (± 0,38). Cefdinir ist 60% bis 70% an Plasmaproteine sowohl bei erwachsenen als auch bei pädiatrischen Probanden gebunden. Die Bindung ist unabhängig von der Konzentration.
Hautblase
Bei erwachsenen Probanden wurden maximale Blasenflüssigkeits-Cefdinir-Konzentrationen von 0,65 (NULL,33-1,1) und 1,1 (NULL,49-1,9) μg/ml 4 bis 5 Stunden nach Verabreichung von 300- bzw. 600 mg Dosen beobachtet. Der Mittelwert (± SD) Blister Cmax und AUC (0-∞) betrugen 48% (± 13) und 91% (± 18) der entsprechenden Plasmawerte.
Mandelgewebe
Bei erwachsenen Patienten, die eine elektive Tonsillektomie unterzogen wurden, betrugen die jeweiligen medianen Mandelsgewebe-Cefdinir-Konzentrationen 4 Stunden nach Verabreichung von einzelnen 300- und 600-mg-Dosen 0,25 (NULL,220,46) und 0,36 (NULL,22-0,80) μg/g. Die mittleren Mandelgewebekonzentrationen betrugen 24% (± 8) entsprechende Plasmakonzentrationen.
Sinusgewebe
Bei erwachsenen Patienten, die sich für einen elektiven Oberkiefer- und Ethmoid-Sinuschirurgie unterziehen <0.12 ( < 0.12-0.46) Und 0.21 ( < 0.12-2.0) μg/g. Mean sinus tissue concentrations were 16% (± 20) of corresponding plasma concentrations.
Lungengewebe
Bei erwachsenen Patienten, die sich diagnostische Bronchoskopie unterzogen, die jeweils mediane Bronchialschleimhaut Cefdinir-Konzentrationen 4 Stunden nach Verabreichung von einzelnen 300- und 600-mg-Dosen 0,78 betrugen (NULL,78 ( <0.06-1.33) Und 1.14 ( < 0.06-1.92) μg/mL Und were 31% (± 18) of corresponding plasma concentrations. Respective median epithelial lining fluid concentrations were 0.29 ( < 0.3-4.73) Und 0.49 ( < 0.3-0.59) μg/mL Und were 35% (± 83) of corresponding plasma concentrations.
Mittelohrflüssigkeit
Bei 14 pädiatrischen Patienten mit akuten bakteriellen Mittelohrentzündungsmedien jeweils 3 Stunden nach Verabreichung von Einzel- und 14-mg/kg <0.09-0.94) Und 0.72 (0.14-1.42) μg/mL. Mean middle ear fluid concentrations were 15% (± 15) of corresponding plasma concentrations.
CSF
Daten zur Cefdinir -Penetration in die menschliche Cerebrospinalflüssigkeit sind nicht verfügbar.
Roadtrip durch die Neuenglandstaaten
Stoffwechsel und Ausscheidung
Cefdinir ist nicht merklich metabolisiert. Die Aktivität ist in erster Linie auf das Medikament der Eltern zurückzuführen. Cefdinir wird hauptsächlich über die Nierenausscheidung mit einer mittleren Plasma-Eliminierungs-Halbwertszeit (T½) von 1,7 (± 0,6) Stunden beseitigt. Bei gesunden Probanden mit normaler Nierenfunktion beträgt die Nieren-Clearance 2,0 (± 1,0) ml/min/kg und eine scheinbare orale Clearance 11,6 (± 6,0) und 15,5 (± 5,4) ml/min/kg nach Dosen von 300- bzw. 600 mg. Der mittlere Prozentsatz der Dosis erholte sich im Urin nach 300- und 600-mg-Dosen unverändert im Urin und beträgt 18,4% (± 6,4) bzw. 11,6% (± 4,6). Die Cefdinir -Clearance ist bei Patienten mit Nierenfunktionsstörungen verringert (siehe Besondere Populationen - Patienten mit Niereninsuffizienz ).
Da die Nierenausscheidung der vorherrschende Weg der Eliminierungsdosis ist Dosierung und Verwaltung ).
Besondere Populationen
Patienten mit Niereninsuffizienz
Die Cefdinir -Pharmakokinetik wurde bei 21 erwachsenen Probanden mit unterschiedlichem Nierenfunktionsgrad untersucht. Die Verringerung der Cefdinir -Eliminationsrate scheinbare orale Clearance (CL/F) und die Nieren -Clearance waren ungefähr proportional zur Verringerung der Kreatinin -Clearance (CLCR). Infolgedessen waren die Plasma -Cefdinir -Konzentrationen bei Probanden mit Nierenbeeinträchtigung länger bestehen als bei Personen ohne Nierenbeeinträchtigung. Bei Probanden mit CLCR zwischen 30 und 60 ml/min Cmax und T½ erhöhten sich um ungefähr 2-fach und AUC um ungefähr 3-fach. In Themen mit CLCR <30 mL/min Cmax increased by approximately 2-fold t½ by approximately 5fold Und AUC by approximately 6-fold. Dosierung adjustment is recommended in patients with markedly compromised renal function (creatinine clearance < 30 mL/min; see Dosierung und Verwaltung ).
Hämodialyse
Die Cefdinir -Pharmakokinetik wurde bei 8 erwachsenen Probanden untersucht, die sich einer Hämodialyse unterzogen. Die Dialyse (4 Stunden Dauer) entfernte 63% Cefdinir aus dem Körper und reduzierte scheinbare Eliminierungsstunden von 16 (± 3,5) auf 3,2 (± 1,2) Stunden. Eine Dosierungsanpassung wird in dieser Patientenpopulation empfohlen (siehe Dosierung und Verwaltung ).
Lebererkrankung
Da Cefdinir überwiegend renal eliminiert ist und nicht merklich metabolisierte Studien bei Patienten mit Leberbeeinträchtigung durchgeführt hat, wurden keine Wertminderung durchgeführt. Es ist nicht zu erwarten, dass in dieser Bevölkerung eine Dosierungsanpassung erforderlich ist.
Geriatrische Patienten
Die Auswirkung des Alters auf die Pharmakokinetik von Cefdinir nach einer einzigen 300-mg-Dosis wurde in 32 Probanden 19 bis 91 Jahre bewertet. Die systemische Exposition gegenüber Cefdinir war bei älteren Probanden (n = 16) Cmax um 44% und AUC um 86% erheblich erhöht. Dieser Anstieg war auf eine Verringerung der Cefdinir -Clearance zurückzuführen. Das scheinbare Verteilungsvolumen wurde ebenfalls verringert, daher wurden keine nennenswerten Veränderungen der scheinbaren Elimination beobachtet (ältere Menschen: 2,2 ± 0,6 Stunden gegenüber jung: 1,8 ± 0,4 Stunden). Da sich gezeigt hat <30 mL/min see Patienten mit Niereninsuffizienz above ).
Geschlecht und Rasse
Die Ergebnisse einer Metaanalyse der klinischen Pharmakokinetik (n = 217) zeigten keinen signifikanten Einfluss von Geschlecht oder Rasse auf die Cefdinir-Pharmakokinetik.
Mikrobiologie
Wirkungsmechanismus
Wie bei anderen Cephalosporinen resultiert die bakterizide Aktivität von Cefdinir aus der Hemmung der Zellwandsynthese. Cefdinir ist in Gegenwart einiger, aber nicht aller β-Lactamase-Enzyme stabil. Infolgedessen sind viele gegen Penicilline resistente Organismen und einige Cephalosporine anfällig für Cefdinir.
Resistenzmechanismus
Die Resistenz gegen Cefdinir erfolgt hauptsächlich durch die Hydrolyse durch einige β-Lactamasen-Veränderung von Penicillin-bindenden Proteinen (PBPS) und eine verminderte Permeabilität. Cefdinir ist gegen die meisten Stämme von Enterobacter spp. Pseudomonas spp. Enterococcus spp. Penicillin-resistente Streptokokken und Methicillin-resistente Staphylokokken. β-Lactamase-negative Ampicillin-resistente (BLNAR) H. Influenzae-Stämme sind typischerweise für Cefdinir nicht empfindlich.
Antimikrobielle Aktivität
Es wurde gezeigt, dass Cefdinir gegen die meisten Stämme der folgenden Mikroorganismen aktiv ist in vitro Und in clinical infections as described in Indikationen und Nutzung .
Grampositive Bakterien
Staphylococcus aureus (Nur Methicillin-szeptible Stämme)
Streptococcus pneumoniae (Nur Penicillin-Susempfindlichkeitsstämme)
Streptococcus pyogenes
Gramnegative Bakterien
Haemophilus Influenzae
Haemophilus parainfluenzae
Moraxella catarrhalis
Die folgende in vitro Daten sind verfügbar, aber ihre klinische Bedeutung ist unbekannt.
Cefdinir -Exponate in vitro minimale inhibitorische Konzentrationen (MICs) von 1 mcg/ml oder weniger gegen (≥ 90%) Stämme der folgenden Mikroorganismen; Die Sicherheit und Wirksamkeit von Cefdinir bei der Behandlung klinischer Infektionen aufgrund dieser Mikroorganismen wurde jedoch in angemessenen und gut kontrollierten klinischen Studien nicht festgelegt.
Grampositive Bakterien
Staphylococcus epidermidis (Nur Methicillin-szeptible Stämme)
Streptococcus agalactiae
Viridans Group Streptococci
Gramnegative Bakterien
Citrobacter koseri
Sie zeigten Chill
Klebsiella pneumoniae
Proteus wunderbar
Anfälligkeitstestmethoden
Wenn verfügbar ist, sollte das klinische mikrobiologische Labor regelmäßig Berichte bereitstellen, die das regionale/lokale Anfälligkeitsprofil potenzieller nosokomialer und gemeinschafts erworbenes Krankheitserreger beschreiben. Diese Berichte sollten dem Arzt bei der Auswahl eines antibakteriellen Arzneimittels zur Behandlung helfen.
Verdünnungstechniken
Quantitative Methoden werden verwendet, um antimikrobielle minimale Hemmkonzentrationen (MICs) zu bestimmen. Diese Mikrofone liefern Schätzungen der Anfälligkeit von Bakterien gegenüber antimikrobiellen Verbindungen. Die MICs sollten unter Verwendung einer standardisierten Testmethode ermittelt werden 1 (Brühe und/oder Agar). Die MIC -Werte sollten gemäß den in Tabelle 1 angegebenen Kriterien interpretiert werden.
Technische Verbreitung
Quantitative Methoden, die die Messung von Zonendurchmessern erfordern, liefern auch reproduzierbare Schätzungen der Anfälligkeit von Bakterien gegenüber antimikrobiellen Verbindungen. Die Zonengröße sollte unter Verwendung einer standardisierten Methode bestimmt werden. 2 Das Verfahren verwendet Papierscheiben, die mit 5 mcg Cefdinir imprägniert sind, um die Anfälligkeit von Bakterien zu testen. Die Kriterien für die Diffusionsdiffusionsdifferenzierung sind in Tabelle 1 angegeben.
Tabelle 1: Interpretationskriterien für Anfälligkeitstest für Cefdinir
| Mikroorganismen a | Minimale Hemmkonzentration (MCG/ml) | Zonendurchmesser (mm) | ||||
| S | I | R | S | I | R | |
| Haemophilus Influenzae | ≤ 1 | — | — | ≥ 20 | — | — |
| Haemophilus parainfluenzae | ≤ 1 | — | — | ≥ 20 | — | — |
| Moraxella catarrhalis | ≤ 1 | 2 | ≥ 4 | ≥ 20 | 17 - 19 | ≤ 16 |
| Streptococcus pneumoniae b | ≤ 0,5 | 1 | ≥ 2 | — | — | — |
| Streptococcus pyogenes | ≤ 1 | 2 | ≥ 4 | ≥ 20 | 17 - 19 | ≤ 16 |
| a Streptococci anderer als St. Pneumoniae Das sind anfällig für Penicillin (MIC ≤ 0,12 mcg/ml) können als anfällig für Cefdinir angesehen werden. b St. Pneumoniae Das sind anfällig für Penicillin (MIC ≤ 0,06 mcg/ml) können als anfällig für Cefdinir angesehen werden. Isolate von S. pneumoniae, die gegen eine 1-μg-Oxacillin-Scheibe mit Oxacillinzonengrößen ≥ 20 mm getestet wurden, sind anfällig für Penicillin und können als anfällig für Cefdinir angesehen werden. Es wird nicht empfohlen, Cefdinir gegen Cefdinir gegen Penicillin-Intermediate oder Penicillin-resistente Isolate zu empfehlen. Zuverlässige Interpretationskriterien für Cefdinir sind nicht verfügbar. |
Die Anfälligkeit von Staphylococci gegenüber Cefdinir kann durch das Testen von Penicillin und entweder Cefoxitin oder Oxacillin abgeleitet werden. Staphylococci -anfällig für Oxacillin (Cefoxitin) kann als anfällig für Cefdinir angesehen werden. 3
Ein Anfälligkeitsbericht zeigt, dass antimikrobielles Wachstum des Erregers wahrscheinlich hemmt, wenn die antimikrobielle Verbindung die Konzentrationen an der Stelle der Infektion erreicht, die zur Hemmung des Wachstums des Erregers erforderlich ist. Ein mittlerer Bericht zeigt an, dass das Ergebnis als zweifellos angesehen werden sollte und wenn der Mikroorganismus nicht vollständig für alternative klinisch realisierbare Medikamente anfällig ist, sollte der Test wiederholt werden. Diese Kategorie impliziert eine mögliche klinische Anwendbarkeit an Körperstellen, an denen das Arzneimittel physiologisch konzentriert ist oder in Situationen, in denen eine hohe Arzneimitteldosis angewendet werden kann. Diese Kategorie bietet auch eine Pufferzone, die verhindert, dass kleine, unkontrollierte technische Faktoren wichtige Diskrepanzen in der Interpretation verursachen. Ein Bericht über resistent zeigt, dass das antimikrobielle Wachstum des Erregers nicht wahrscheinlich hemmt, wenn die antimikrobielle Verbindung die Konzentrationen erreicht, die normalerweise an der Infektionsstelle erreichbar sind. Eine andere Therapie sollte ausgewählt werden.
Qualitätskontrolle
Standardisierte Anfälligkeitstestverfahren erfordern die Verwendung von Laborkontrollen, um die Genauigkeit und Präzision der im Assay verwendeten Versorgung und Reagenzien zu überwachen und sicherzustellen, und die Techniken der einzelnen Durchführung des Tests. 123 Standard -Cefdinir -Pulver sollte den folgenden Bereich von MIC -Werten liefern, wie in Tabelle 2 angegeben. Für die Diffusionstechnik unter Verwendung einer 5 mcg -Festplatte sollten die Kriterien in Tabelle 2 erreicht werden.
Tabelle 2: Akzeptable Qualitätskontrollbereiche für Cefdinir
| QC -Stamm | Minimale Hemmkonzentration (MCG/ml) | Zonendurchmesser (mm) |
| Sie zeigten Chill ATCC 25922 | 0,12 - 0,5 | 24 - 28 |
| Haemophilus Influenzae ATCC 49766 | 0,12 - 0,5 | 24 - 31 |
| Staphylococcus aureus ATCC 25923 | - - | 25 - 32 |
| Staphylococcus aureus ATCC 29213 | 0,12 - 0,5 | - - |
| Streptococcus pneumoniae ATCC 49619 | 0,03 - 0,25 | 26 - 31 |
Klinische Studien
Bakterielle Lungenentzündung mit der Gemeinschaft erworben
In einer kontrollierten Doppelblindstudie an Erwachsenen und Jugendlichen, die im US-amerikanischen Cefdinir-Angebot durchgeführt wurden, wurde mit 500 mg Cefaclor-BID verglichen. Unter Verwendung strenger Bewertbarkeits- und mikrobiologischer/klinischer Reaktionskriterien 6 bis 14 Tage nach der Therapie wurden die folgenden klinischen Heilungsraten mutmaßliche mikrobiologische Ausrottungsraten und statistische Ergebnisse erzielt:
US-amerikanisch erworbene Lungenentzündungsstudie Cefdinir gegen Cefaclor
| Cefdinir Bid | Cefacor -Zeit | Ergebnis | |
| Klinische Heilungsraten | 150/187 (80%) | 147/186 (79%) | Cefdinir entspricht der Kontrolle |
| Ausrottungsraten | 177/195 (91%) | 184/200 (92%) | Cefdinir entspricht der Kontrolle |
| St. Pneumoniae | 31/31 (100%) | 35/35 (100%) | |
| H. Influenzae | 55/65 (85%) | 60/72 (83%) | |
| M. Catarrhalis | 10/10 (100%) | 11/11 (100%) | |
| H. parainfluenzae | 81/89 (91%) | 78/82 (95%) |
In einer zweiten kontrollierten Forscher-Blind-Studie an Erwachsenen und Jugendlichen, die hauptsächlich in Europa durchgeführt wurden, wurde das Cefdinir-Angebot mit Amoxicillin/Clavulanat 500/125 mg TID verglichen. Unter Verwendung strenger Bewertbarkeits- und klinischer Reaktionskriterien 6 bis 14 Tage nach der Therapie wurden die folgenden klinischen Heilungsraten mutmaßliche mikrobiologische Ausrottungsraten und statistische Ergebnisse erzielt:
Europäische mit der Gemeinschaft erworbene Lungenentzündungsstudie Cefdinir gegen Amoxicillin/Clavulanat
| Cefdinir Bid | Amoxicillin/ Clavulanat Tid | Ergebnis | |
| Klinische Heilungsraten | 83/104 (80%) | 86/97 (89%) | Cefdinir nicht gleichbedeutend mit der Kontrolle |
| Ausrottungsraten | 85/96 (89%) | 84/90 (93%) | Cefdinir entspricht der Kontrolle |
| St. Pneumoniae | 42/44 (95%) | 43/44 (98%) | |
| H. Influenzae | 26/35 (74%) | 21/26 (81%) | |
| M. Catarrhalis | 6/6 (100%) | 8/8 (100%) | |
| H. parainfluenzae | 11/11 (100%) | 12/12 (100%) |
Streptokokken -Pharyngitis/Mandelentzündung
In vier kontrollierten Studien, die in den USA durchgeführt wurden, wurde Cefdinir mit 10 Tagen Penicillin bei erwachsenen jugendlichen und pädiatrischen Patienten verglichen. Zwei Studien (einer bei Erwachsenen und Jugendlichen der andere bei pädiatrischen Patienten) verglichen 10 Tage Cefdinir QD oder die Bieten von 250 mg oder 10 mg/kg QID. Unter Verwendung strenger Bewertbarkeits- und mikrobiologischer/ klinischer Reaktionskriterien 5 bis 10 Tage nach der Therapie wurden die folgenden klinischen Heilungsraten mikrobiologische Ausrottungsraten und statistische Ergebnisse erzielt:
Pharyngitis/Mandelentzündung Studies Cefdinir (10 Tage) vs Penicillin (10 Tage)
| Studie | Wirksamkeitsparameter | Cefdinir | Cefdinir | Penicillin | Ergebnis |
| Erwachsene/ | Ausrottung von S. | 192/210 | 199/217 | 181/217 | Cefdinir überlegen der Kontrolle |
| Klinische Heilungsraten | 199/210 | 209/217 | 193/217 | Cefdinir überlegen der Kontrolle | |
| Pädiatrische Patienten | Ausrottung von S. | 215/228 | 214/227 | 159/227 | Cefdinir überlegen der Kontrolle |
| Klinische Heilungsraten | 222/228 | 218/227 | 196/227 | Cefdinir überlegen der Kontrolle |
Zwei Studien (einer bei Erwachsenen und Jugendlichen der andere bei pädiatrischen Patienten) verglichen 5 Tage Cefdinir, die auf 10 Tage Penicillin 250 mg oder 10 mg/kg QID geboten haben. Unter Verwendung strenger Bewertbarkeits- und mikrobiologischer/klinischer Reaktionskriterien 4 bis 10 Tage nach der Therapie wurden die folgenden klinischen Heilungsraten mikrobiologische Ausrottungsraten und statistische Ergebnisse erzielt:
Pharyngitis/Mandelentzündung Studies Cefdinir (5 days) vs Penicillin (10 Tage)
| Studie | Wirksamkeitsparameter | Cefdinir | Penicillin | Ergebnis |
| Erwachsene/ Jugendliche | Ausrottung von S. Pyogenes | 193/218 (89%) | 176/214 (82%) | Cefdinir entspricht der Kontrolle |
| Klinische Heilungsraten | 194/218 (89%) | 181/214 (85%) | Cefdinir entspricht der Kontrolle | |
| Pädiatrische Patienten | Ausrottung von S. Pyogenes | 176/196 (90%) | 135/193 (70%) | Cefdinir überlegen der Kontrolle |
| Klinische Heilungsraten | 179/196 (91%) | 173/193 (90%) | Cefdinir entspricht der Kontrolle |
Referenzen
1. Clinical and Laboratory Standards Institute (CLSI). Methoden zur Verdünnung antimikrobieller Suszeptibilitätstests für Bakterien, die aerob wachsen; Genehmigter Standard - Zehnte Ausgabe. CLSI-Dokument M07-A10 [2015] Clinical and Laboratory Standards Institute 950 West Valley Road Suite 2500 Wayne Pennsylvania 19087 USA.
2. Clinical and Laboratory Standards Institute (CLSI). Leistungsstandards für antimikrobielle Festplattendiffusionsanfälligkeitstests; Genehmigter Standard - Zwölfte Ausgabe. CLSI-Dokument M02-A12 [2015] Clinical and Laboratory Standards Institute 950 West Valley Road Suite 2500 Wayne Pennsylvania 19087 USA.
3. CLSI. Leistungsstandards für antimikrobielle Suszeptibilitätstests; Fünfundzwanzigste Ergänzung CLSI-Dokument M100-S25 [2015] Clinical and Laboratory Standards Institute 950 West Valley Road Suite 2500 Wayne Pennsylvania 19087 USA.
4. Cockcroft dw gault mh. Vorhersage der Kreatinin -Clearance aus Serumkreatinin. Nephron 1976; 16: 31-41.
5. Schwartz GJ Haycock GB Edelmann CM Spitzer A. Eine einfache Schätzung der glomerulären Filtrationsrate bei Kindern, die aus Körperlänge und Plasma -Kreatinin stammen. Pädiatrie 1976; 58: 259-63.
6. Schwartz GJ Feld LG Langford DJ. Eine einfache Schätzung der glomerulären Filtrationsrate bei Vollzeit-Säuglingen während des ersten Lebensjahres. J Pediatrics 1984; 104: 849-54.
Patienteninformationen für Omnicef
Die Patienten sollten beraten werden, dass antibakterielle Medikamente einschließlich Omnicef nur zur Behandlung von bakteriellen Infektionen eingesetzt werden sollten. Sie behandeln keine Virusinfektionen (z. B. die Erkältung). Wenn Omnicef zur Behandlung einer bakteriellen Infektion verschrieben wird, sollte Patienten mitgeteilt werden, dass es zwar üblich ist, sich im Verlauf der Therapie besser zu fühlen, sollten die Medikamente genau so eingenommen werden, wie es angewiesen ist. Das Überspringen von Dosen oder Nichtabschließung des gesamten Therapieverlaufs kann (1) die Wirksamkeit der sofortigen Behandlung verringern und (2) die Wahrscheinlichkeit erhöhen, dass Bakterien Resistenz entwickeln und in Zukunft nicht durch Omnicef oder andere antibakterielle Arzneimittel behandelt werden können.
Antazida, die Magnesium oder Aluminium enthalten, stören die Absorption von Cefdinir. Wenn diese Art von Antazida während der Omnicef -Therapie benötigt wird, sollte Omnicef mindestens 2 Stunden vor oder nach der Antazida eingenommen werden.
Eisenpräparate einschließlich Multivitaminen, die Eisen enthalten, stören die Absorption von Cefdinir. Wenn während der Omnicef -Therapie Eisenpräparate benötigt werden, sollte Omnicef mindestens 2 Stunden vor oder nach der Ergänzung eingenommen werden.
Die Eisenformel in der Eisenstärke stört die Absorption von Cefdinir nicht signifikant. Daher kann Omnicef für die orale Suspension mit eiserner Säuglingsformel verabreicht werden.
Diabetische Patienten und Betreuer sollten sich bewusst sein, dass die orale Suspension 2,86 g Saccharose pro Teelöffel enthält.
Durchfall is a common problem verursacht von antibiotics which usually ends when the antibiotic is discontinued. Sometimes after starting treatment with antibiotics patients can develop watery Und bloody stools (with or without stomach cramps Und fever) even as late as two or more months after having taken the last dose of the antibiotic. If this occurs patients should contact their physician as soon as possible.