Die Informationen Auf Dieser Website Stellen Keine Medizinische Beratung Dar. Wir Verkaufen Nichts. Die Richtigkeit Der Übersetzung Wird Nicht Garantiert. Haftungsausschluss
Decarboxylase -InhibitorenStalevo
Drogenzusammenfassung
Was ist Stalevo?
Stalevo (Carbidopa Levodopa und Entacapon) ist eine Kombination mehrerer Medikamente zur Behandlung von Parkinson -Symptomen wie Zittern der Muskelsteifigkeit und der schlechten Muskelkontrolle. Levodopa wird in eine Chemikalie umgewandelt, die genannt wird Dopamin im Gehirn. Symptome von Parkinson -Krankheit kann durch Dopamin mit niedrigem Spiegel im Gehirn verursacht werden. Carbidopa verhindern, dass Levodopa abgebaut wird, bevor es das Gehirn erreichen und wirksam werden kann. Bei Verwendung mit Carbidopa und Levodopa erhöht Entacapon die Levodopa -Spiegel im Körper.
Was sind Nebenwirkungen von Stalevo?
Stalevo
- Nesselsucht
- Schwierigkeiten beim Atmen
- Schwellung Ihrer Gesichtslippen Zunge oder Hals
- Neue oder verschlechterende Muskelkrampf
- stark erhöhtes Augenblinken oder Zucken
- Ohnmacht
- Durchfall
- Sehveränderungen
- verschwommenes Sehen
- Augenschmerzen
- Schwere Bauchschmerzen
- Schwarze oder terry Stühle
- Erbrochenes, das wie Kaffeegelände aussieht
- Muskelschmerzen Zartheit oder Schwäche
- Änderung der Urinmenge
- Stimmungsänderungen
- Verwirrung
- Halluzinationen
- Selbstmordgedanken
- hartnäckig Halsschmerzen
- einfache Blutungen oder Blutergüsse
- ungewöhnliche Müdigkeit
- Kribbeln der Hände oder Füße
- ungewöhnliche starke Drang (erhöhte sexuelle Glücksspiele)
- Brustschmerzen
- Fieber
- ungewöhnliche Muskelsteifheit
- schwere Verwirrung
- Schwitzen
- schneller oder unregelmäßiger Herzschlag
- Schnelle Atmung und
- schwerer Schwindel
Holen Sie sich sofort medizinische Hilfe, wenn Sie eines der oben aufgeführten Symptome haben.
Zu den häufigen Nebenwirkungen von Stalevo gehören:
- Durchfall
- Brechreiz
- Erbrechen
- Kopfschmerzen
- Schwindel
- Schläfrigkeit
- verschwommenes Sehen
- Magenschmerzen oder Störungen
- Appetitverlust
- Verstopfung
- Trockener Mund
- Änderungen in Ihrem Geschmackssinn
- Hautausschlag oder Juckreiz
- Ungewöhnliche Hautveränderungen
- Muskelkrämpfe
- Rückenschmerzen
- Agitation
- Angst
- Schwierigkeiten zu schlafen (Schlaflosigkeit) oder
- seltsame Träume.
Sagen Sie Ihrem Arzt, wenn Sie ernsthafte Nebenwirkungen von Stalevo haben, einschließlich:
- Unfreiwillige Bewegungen (insbesondere zuckend des Augenlids)
- Ohnmacht or falling
- Schwierigkeiten beim Schlucken
- Magen-/Bauchschmerzen
- hartnäckig Durchfall
- Sehveränderungen (including verschwommenes Sehen)
- Schwarz/Terry -Stühle
- Muskelschmerzen
- Änderungen der Urinmenge
- Veränderungen für geistige/stimmungsvolle (wie Verwirrung Halluzinationen Gedanken an Selbstmord)
- Anzeichen einer Infektion (z. B. anhaltend Halsschmerzen) oder
- ungewöhnliche starke Drang (z. B. erhöhtes Glücksspiel erhöhte sexuelle Dränge).
Suchen Sie medizinische Versorgung oder rufen Sie auf einmal 911 an, wenn Sie die folgenden schwerwiegenden Nebenwirkungen haben:
- Schwerwiegende Augensymptome wie plötzlicher Sehverlust verschwommenes Sehen Tunnel Sehschmerzen oder Schwellungen oder Halos in der Umgebung des Lichts;
- Schwerwiegende Herzsymptome wie schnelle unregelmäßige oder pochende Herzschläge; Flattern in deiner Brust; Kurzatmigkeit; und plötzlich Schwindel Benommenheit oder ohnmächtig;
- Starke Kopfschmerzen Verwirrung verwirrt Spracharm oder Bein Schwäche Schwierigkeiten beim Verlust der Koordination unstabil sehr steifes Muskeln hoher Fieber problemlos Schwitzen oder Zittern.
Dieses Dokument enthält nicht alle möglichen Nebenwirkungen und andere können auftreten. Wenden Sie sich an Ihren Arzt nach zusätzlichen Informationen zu Nebenwirkungen.
Dosierung für Stalevo
Die optimale tägliche Dosierung von Stalevo muss für jeden Patienten bestimmt werden. Die Therapie sollte nach der gewünschten therapeutischen Reaktion individualisiert und angepasst werden.
Welche Drogensubstanzen oder Nahrungsergänzungsmittel interagieren mit Stalevo?
Stalevo kann mit Apomorphincholestyramin interagieren Dobutamin Epinephrin Isoniazid Isoproterenol Methyldopa Metoclopramid Papaverin Phenytoin Probenecid Antibiotika Blutdruck Medikamente Antidepressiva Medikamente zur Behandlung psychiatrischer Erkrankungen Kalt- oder Allergie-Medizin Narkotiker Schlaftabletten Muskelrelaxer Medizin für Anfälle oder Anti-Angst-Medikamente. Sagen Sie Ihrem Arzt alle Medikamente, die Sie einnehmen.
Stalevo während der Schwangerschaft und Stillen
Stalevo sollte nur bei der Verschreibung während der Schwangerschaft verwendet werden. Levodopa geht in die Muttermilch. Es ist nicht bekannt, ob Carbidopa oder Entacapone in die Muttermilch gelangen. Wenden Sie sich vor dem Stillen an Ihren Arzt.
Weitere Informationen
Unser Stalevo (Carbidopa Levodopa und Entacapone) -Famvo -Nebenwirkungen Arzneimittelzentrum bietet eine umfassende Übersicht über verfügbare Arzneimittelinformationen über die potenziellen Nebenwirkungen bei der Einnahme dieses Medikaments.FDA -Drogeninformationen
- Drogenbeschreibung
- Indikationen
- Nebenwirkungen
- Wechselwirkungen mit Arzneimitteln
- Warnungen
- Überdosis
- Klinische Pharmakologie
- Medikamentenhandbuch
Beschreibung für Stalevo
Stalevo ist eine Kombination aus Carbidopa Levodopa und Entacapone zur Behandlung der Parkinson -Krankheit.
Carbidopa Ein Inhibitor der aromatischen Aminosäure -Decarboxylierung ist eine weiße kristalline Verbindung, die in Wasser mit einem Molekulargewicht von 244,3 leicht löslich ist. Es ist chemisch als (-)-L- (α-Hydrazino- (α-methyl-β- (34-dihydroxybenzol) -Propansäuremonohydrat (34-Dihydroxybenzol) bezeichnet. Seine empirische Formel ist C 10 H 14 N 2 O 4 ·H 2 O und seine strukturelle Formel lautet:
|
Der Tablettengehalt wird in Bezug auf wasserfreies Carbidopa mit einem Molekulargewicht von 226,3 ausgedrückt.
Levodopa Eine aromatische Aminosäure ist eine weiße kristalline Verbindung, die in Wasser mit einem Molekulargewicht von 197,2 leicht löslich ist. Es ist chemisch als (-)-L- & agr; -Ainino-β- (34-Dihydroxybenzol) -Propansäure bezeichnet. Seine empirische Formel ist c 9 H 11 NEIN 4 und seine strukturelle Formel lautet:
|
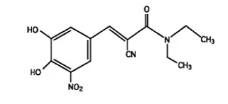
Entacapon Ein COMT-Inhibitor ist eine Nitro-Catechol-strukturierte Verbindung mit einem Molekulargewicht von 305,3. Der chemische Name von Entacapon lautet (e) -2-cyano-3- (34-dihydroxy-5-nitrophenyl) -nn-diethyl- 2-Propenamid. Seine empirische Formel ist c 14 H 15 N 3 O 5 und seine strukturelle Formel lautet:
|
Stalevo wird als Tabletten in 6 Stärken geliefert:
Stalevo 50: 12,5 mg Carbidopa 50 mg Levodopa und 200 mg Entacapone
Stalevo 75: 18,75 mg Carbidopa 75 mg Levodopa und 200 mg Entacapone
Stalevo 100: 25 mg Carbidopa 100 mg Levodopa und 200 mg Entacapone
Stalevo125: 31,25 mg Carbidopa 125 mg Levodopa und 200 mg Entacapone
Stalevo 150: 37,5 mg Carbidopa 150 mg Levodopa und 200 mg Entacapone
Stalevo 200: 50 mg Carbidopa 200 mg Levodopa und 200 mg Entacapone
Inaktive Zutaten: Maisstärke Croscarmellose Natriumglycerin 85% Hypromellose Magnesiumstearat Mannitolpolysorbat 80 Povidon -Saccharose -Rot -Eisenoxid und Titandioxid. Stalevo 50 Stalevo 100 und Stalevo 150 enthalten auch gelbes Eisenoxid.
Verwendung für Stalevo
Stalevo ist für die Behandlung der Parkinson -Krankheit angezeigt.
Stalevo kann verwendet werden:
- Zu ersetzen (mit äquivalenten Stärken jeder der drei Komponenten) Carbidopa/Levodopa und Entacapon, die zuvor als einzelne Produkte verabreicht wurden.
- Um die Carbidopa/Levodopa-Therapie (ohne Entacapon) zu ersetzen, wenn Patienten die Anzeichen und Symptome des Abnutzung von Endosis aufweisen und wenn sie eine totale tägliche Dosis von Levodopa von 600 mg oder weniger eingenommen haben und keine Dyskinesien hatten.
Dosierung für Stalevo
Stalevo sollte als Ersatz für Patienten verwendet werden, die bereits in äquivalenten Dosen von Carbidopa/Levodopa und Entacapon stabilisiert wurden. Einige Patienten, die in einer bestimmten Dosis von Carbidopa/Levodopa stabilisiert wurden, können jedoch mit Stalevo behandelt werden unten ). Die Therapie sollte nach der gewünschten therapeutischen Reaktion individualisiert und angepasst werden.
Dosierungsinformationen
Die optimale tägliche Dosierung von Stalevo muss durch sorgfältige Titration bei jedem Patienten bestimmt werden.
Die klinische Erfahrung mit täglichen Dosen über 1600 mg Entacapone ist begrenzt. Die maximal empfohlene tägliche Stalevo -Dosis hängt von der verwendeten Stärke ab. Die maximale Anzahl von Tabletten, die in einem Zeitraum von 24 Stunden verwendet werden sollen, ist mit der höchsten Festigkeit (Stalevo 200) geringer als bei niedrigeren Stärken (siehe Tabelle 1). Studien zeigen, dass die periphere DOPA -Decarboxylase von Carbidopa mit ca. 70 mg pro Tag bis 100 mg pro Tag gesättigt ist. Patienten, die weniger als diese Menge an Carbidopa erhalten, haben eher Übelkeit und Erbrechen.
Tabelle 1: Maximal empfohlene Stalevo-Dosis in 24 Stunden
| Stalevo -Dosierungsstärke | Maximale Anzahl von Tabletten in 24 Stunden |
| Stalevo 50 Stalevo 75 Stalevo 100 Stalevo 125 Stalevo 150 | 8 |
| Stalevo 200 | 6 |
Umwandlung von Patienten von Carbidopa Levodopa und Entacapone in Stalevo
Patienten, die derzeit mit Entacapon 200 mg mit jeder Dosis der Carbidopa/Levodopa-Tablette nicht erweiterter Freisetzung behandelt werden, können auf die entsprechende Festigkeit von Stalevo wechseln, die die gleichen Mengen an Levodopa und Carbidopa enthalten. Beispielsweise können Patienten, die eine Tablette Carbidopa/Levodopa 25 mg/100 mg und eine Tablette Entacapon 200 mg bei jeder Verabreichung erhalten, zu einem einzelnen Stalevo 100 -Tabletten (mit 25 mg Carbidopa 100 mg Levodopa und 200 mg Entacapon) wechseln.
Umwandlung von Patienten aus Carbidopa- und Levodopa -Produkten in Stalevo
Es gibt keine Erfahrung beim Transfer von Patienten, die derzeit mit Formulierungen von Carbidopa/Levodopa oder Carbidopa/Levodopa -Produkten behandelt wurden, die nicht in einem Verhältnis von Carbidopa von 1: 4 zu Levodopa kombiniert sind.
Patienten mit mittelschwerer oder schwerer Dyskinesien oder mehr als 600 mg der Levodopa -Komponente pro Tag erfordern wahrscheinlich eine Verringerung ihrer täglichen Levodopa -Dosis, wenn Entacapone hinzugefügt wird. Da die Dosisanpassung der einzelnen Carbidopa- oder Levodopa-Komponente mit Fixed-Dosis-Produkten nicht möglich ist, titrieren die Patienten zunächst in eine tolerierte Dosis und erfüllen ihren individuellen therapeutischen Bedarf anhand eines separaten Carbidopa/Levodopa-Tablets (1: 4-Verhältnis) plus ein Entacapon-Tablet. Sobald die individuelle Dosis des Patienten mit Carbidopa/Levodopa plus Entacapon -Dosis unter Verwendung von zwei separaten Tabletten festgelegt wurde; Schalten Sie den Patienten auf ein entsprechendes einzelnes Tablet Stalevo.
Wenn weniger Levodopa erforderlich ist, verringern Sie die tägliche DOS -Dosierung von Carbidopa/Levodopa entweder durch Verringerung der Stärke von Stalevo bei jeder Verabreichung oder durch Verringerung der Verabreichungshäufigkeit durch Verlängerung der Zeit zwischen den Dosen.
Gleichzeitige Anwendung mit anderen Anti-Parkinson-Arzneimitteln
Anticholinerge Mittel Dopamin Agonisten Monoaminoxidase (MAO) - B -Inhibitoren Amantadin und andere Standardmedikamente für die Parkinson -Krankheit können gleichzeitig angewendet werden, während Stalevo verabreicht wird. Es können jedoch Dosierungsanpassungen des gleichzeitigen Medikaments oder der Stalevo erforderlich sein.
Abnahme oder Unterbrechung der Dosierung
Vermeiden Warnungen und Vorsichtsmaßnahmen ].
Wichtige Verwaltungsanweisungen
Teilen Sie keine Stalevo -Tabletten auf und kauen Sie keine Tabletten. Verwalten Sie in jedem Dosierintervall nur ein Tablet. Alle Stärken von Stalevo enthalten 200 mg Entacapon. Das Kombinieren mehrerer Tabletten oder Teile von Tabletten, um eine höhere Levodopa -Dosis zu erreichen, kann zu einer Überdosis von Entacapon führen.
Stalevo mit oder ohne Nahrung verabreichen. Eine fettreiche kalorienfreie Mahlzeit kann die Absorption von Levodopa jedoch um etwa 2 Stunden verzögern [siehe Klinische Pharmakologie ].
Wie geliefert
Dosierungsformen und Stärken
Jede Stalevo-Tablette in 6 Eindosisstärken enthält Carbidopa und Levodopa in einem Verhältnis von 1: 4 und eine 200 mg-Dosis Entacapon. Stalevo (Carbidopa Levodopa und Entacapone) wird in den folgenden 6 Stärken als filmbeschichtete Tabletten zur oralen Verabreichung geliefert:
Stalevo 50 Filmbeschichtete Tabletten mit 12,5 mg Carbidopa 50 mg Levodopa und 200 mg Entacapon. Die runden zwei konvex geformten Tabletten sind bräunlich- oder grau-rot ungehörte und geprägte LCE 50 auf einer Seite.
Stalevo 75 Filmbeschichtete Tabletten mit 18,75 mg Carbidopa 75 mg Levodopa und 200 mg Entacapon. Die ovalshapten Tabletten sind hellbräunig, rot, ungehüpft und mit Code LCE 75 auf einer Seite geprägt.
Stalevo 100 Filmbeschichtete Tabletten mit 25 mg Carbidopa 100 mg Levodopa und 200 mg Entacapon. Die ovalshapten Tabletten sind bräunlich- oder grau-rote, ungehüpfte und geprägte LCE 100 auf einer Seite.
Stalevo 125 Filmbeschichtete Tabletten mit 31,25 mg Carbidopa 125 mg Levodopa und 200 mg Entacapon. Die ovalen Tabletten sind hellbräunisch rot, ungehüpft und mit Code LCE 125 auf einer Seite geprägt.
Stalevo 150 Filmbeschichtete Tabletten mit 37,5 mg Carbidopa 150 mg Levodopa und 200 mg Entacapon. Die länglichen tabletten aus legländerförmigen Tabletten sind bräunlich- oder grau-rote, ungehüpfte und geprägte LCE 150 auf einer Seite.
Stalevo 200 Filmbeschichtete Tabletten mit 50 mg Carbidopa 200 mg Levodopa und 200 mg Entacapon. Die ovalen Tabletten sind dunkelbräugige rot, ungehüpft und auf der einen Seite geprägt.
Lagerung und Handhabung
Stalevo (Carbidopa Levodopa und Entacapone) wird in den folgenden sechs Stärken als filmbeschichtete Tabletten zur oralen Verabreichung geliefert:
Stalevo 50 film-coated tablets enthält 12,5 mg Carbidopa 50 mg Levodopa und 200 mg Entacapon.
Die runden zwei konvex geformten Tabletten sind bräunlich- oder grau-rot ungehörte und geprägte LCE 50 auf einer Seite.
HDPE -Flasche mit 100 Tabletten NDC 52427-805-01
Stalevo 75 film-coated tablets enthält 18,75 mg Carbidopa 75 mg Levodopa und 200 mg Entacapon.
Die ovalen Tabletten sind hellbräunisch rot, ungehüpft und mit Code LCE 75 auf einer Seite geprägt.
HDPE -Flasche mit 100 Tabletten NDC 52427-809-01
Stalevo 100 film-coated tablets enthält 25 mg Carbidopa 100 mg Levodopa und 200 mg Entacapon.
Die ovalen Tabletten sind bräunlich- oder grau-rot ungehörte und geprägte LCE 100 auf einer Seite.
HDPE -Flasche mit 100 Tabletten NDC 52427-816-01
Stalevo 125 film-coated tablets enthält 31,25 mg Carbidopa 125 mg Levodopa und 200 mg Entacapon.
Die ovalen Tabletten sind hellbräunisch rot, ungehüpft und mit Code LCE 125 auf einer Seite geprägt.
HDPE -Flasche mit 100 Tabletten NDC 52427-827-01
Stalevo 150 film-coated tablets enthält 37,5 mg Carbidopa 150 mg Levodopa und 200 mg Entacapon.
Die länglichen tabletten aus legländerförmigen Tabletten sind bräunlich- oder grau-rote, ungehüpfte und geprägte LCE 150 auf einer Seite.
HDPE -Flasche mit 100 Tabletten NDC 52427-834-01
Stalevo 200 film-coated tablets enthält 50 mg Carbidopa 200 mg Levodopa und 200 mg Entacapon.
Die ovalen Tabletten sind dunkelbräugige rot, ungehüpft und auf der einen Seite geprägt.
HDPE -Flasche mit 100 Tabletten NDC 52427-842-01
Speichern Sie bei 25 ° C (77 ° F); Exkursionen, die auf 15 ° C bis 30 ° C (59 ° F bis 86 ° F) zulässig sind.
[Sehen USP -kontrollierte Raumtemperatur .]
In engstem Container (USP) geben.
Hergestellt von: Orion Corporation Orion Pharma Orionintie 1 FI-02200 Espoo Finnland. Verteilt von: Almatica Pharma LLC Morristown NJ 07960 USA. Überarbeitet: Mai 2020
Nebenwirkungen for Stalevo
Die folgenden nachteiligen Reaktionen werden in den Warnungen und Vorsichtsmaßnahmen der Kennzeichnung ausführlicher erörtert:
- Während der Aktivitäten des täglichen Lebens und der Schläfrigkeit einschlafen [siehe Warnungen und Vorsichtsmaßnahmen ]
- Hypotonie /orthostatische Hypotonie und Synkope [siehe Warnungen und Vorsichtsmaßnahmen ]
- Dyskinesie [siehe Warnungen und Vorsichtsmaßnahmen ]
- Depression und Selbstmord [siehe Warnungen und Vorsichtsmaßnahmen ]
- Halluzinationen/psychotisches Verhalten [siehe Warnungen und Vorsichtsmaßnahmen ]
- Impulskontrolle und/oder zwanghaftes Verhalten [siehe Warnungen und Vorsichtsmaßnahmen ]
- Abzugsbemerhalt-Hyperpyrexie und Verwirrung [siehe Warnungen und Vorsichtsmaßnahmen ]
- Durchfall und Kolitis [siehe Warnungen und Vorsichtsmaßnahmen ]
- Rhabdomyolyse [siehe Warnungen und Vorsichtsmaßnahmen ]
- Peptic Ulkuserkrankung [siehe Warnungen und Vorsichtsmaßnahmen ]
Klinische Studien Erfahrung
Because clinical trials are conducted under widely varying conditions the incidence of adverse reactions (number of unique patients experiencing an adverse reaction associated with treatment/total number of patients treated) observed in the clinical trials of a drug cannot be directly compared to the incidence of adverse reactions in the clinical trials of another drug and may not reflect the incidence of adverse reactions observed in clinical practice.
Entacapone
Die am häufigsten beobachteten unerwünschten Reaktionen (Inzidenz mindestens 3% größer als Placebo-Inzidenz) in den doppelblinden Carbidopa-Levodopa-Placebo-kontrollierten Studien mit Entacapon (n = 1003 Patienten) assoziiert mit der Verwendung von mit Carbopalenevodopon allein bei der Häufigkeit von Placidopalevodopon angesehenen Patienten. Bauchschmerzen erbrechen trockener Mund und Urinverfärbung.
Die Inzidenz für die Behandlungsdifferenz für vorzeitige Studienabnahme von Entacapon mit Levodopa und DOPA-Decarboxylase-Inhibitor in den doppelblinden placebokontrollierten Studien betrug 5%. Die Inzidenz für Behandlungsunterschiede für die häufigsten Ursachen des Studienabbruchs betrug 2% bei Durchfall und 1% für andere spezifische Nebenwirkungen, einschließlich psychiatrischer Gründe, die Dyskinesie/ Hyperkinesie Übelkeit oder Bauchschmerzen haben.
Unerwünschte Reaktionsinzidenz in kontrollierten klinischen Studien von Entacapone
Tabelle 2 listet die Behandlung auf aufkommende Nebenwirkungen, die bei mindestens 1% der Patienten auftraten, die mit Carbidopa/Levodopa und 200 mg Entacapon behandelt wurden, die an den doppelblinden placebokontrollierten Studien teilnahmen und die in dieser Gruppe numerisch häufiger waren als in der Carbidopa/Levodopa-Plus-Placebo-Gruppe. In diesen Studien wurde Entacapone oder Placebo zu Carbidopa/Levodopa (oder Benserazid/Levodopa) gegeben.
Tabelle 2: Zusammenfassung von Patienten mit unerwünschten Reaktionen nach Beginn der Verabreichung von Versuchsmedikamenten in der Entacapone -Gruppe und größer als Placebo
| Nebenreaktion der Systemorganklasse | Carbidopa/levodopa plus entacapone (n = 603) % der Patienten | Carbidopa/Levodopa Placebo (n = 400) % der Patienten |
| Haut- und Anhängestörungen | ||
| Schwitzen nahm zu | 2 | 1 |
| Erkrankungen des Bewegungsapparates | ||
| Rückenschmerzen | 5 | 3 |
| Zentral- und periphere Nervensystemstörungen | ||
| Dyskinesie | 25 | 15 |
| Hyperkinesie | 10 | 5 |
| Hypokinesie | 9 | 8 |
| Schwindel | 8 | 6 |
| Besondere Sinne andere Störungen | ||
| Perversion schmecken | 1 | 0 |
| Psychiatrische Störungen | ||
| Angst | 2 | 1 |
| Schläfrigkeit | 2 | 0 |
| Agitation | 1 | 0 |
| Magen -Darm -Systemstörungen | ||
| Brechreiz | 14 | 8 |
| Durchfall | 10 | 4 |
| Bauchschmerzen | 8 | 4 |
| Verstopfung | 6 | 4 |
| Erbrechen | 4 | 1 |
| Mund trocken | 3 | 0 |
| Dyspepsie | 2 | 1 |
| Blähung | 2 | 0 |
| Gastritis | 1 | 0 |
| Magen -Darm -Störungen Nr | 1 | 0 |
| Störungen des Atemsystems | ||
| Dyspnoe | 3 | 1 |
| Blutung und Gerinnung Störungen | ||
| Purpura | 2 | 1 |
| Harnsystemstörungen | ||
| Urinverfärbung | 10 | 0 |
| Körper als Ganz-Generalstörungen | ||
| Ermüdung | 6 | 4 |
| Asthenie | 2 | 1 |
| Widerstandsmechanismus Störungen | ||
| Infektionsbakterien | 1 | 0 |
Nachmarkterfahrung
Die folgenden spontanen Berichte über unerwünschte Ereignisse, die zeitlich mit Entacapone oder Stalevo assoziiert sind, wurden seit der Markteinführung identifiziert und sind in Tabelle 2 nicht aufgeführt. Da diese Reaktionen freiwillig aus einer Population unbekannter Größe gemeldet werden, ist es nicht immer möglich, ihre Häufigkeit zuverlässig zu schätzen oder die kausale Beziehung zu Entacapon- oder Stalevo -Exposition zu ermitteln.
Es wurde über Hepatitis mit hauptsächlich cholestatischen Merkmalen berichtet.
Auswirkungen von Geschlecht und Alter auf unerwünschte Reaktionen
In der Geschwindigkeit der nachteiligen Reaktionen wurden keine Unterschiede festgestellt, die allein nach Alter oder Geschlecht auf Entacapone zurückzuführen sind.
Wechselwirkungen mit Arzneimitteln for Stalevo
Mao -Inhibitoren
Patienten, die nichtselektive MAO -Inhibitoren und Carbidopa Levodopa und Entacapon erhalten, können ein Risiko eines erhöhten adrenergen Tons ausgesetzt sein. Daher ist die Verwendung von Stalevo bei Patienten, die nichtselektive MAO -Inhibitoren erhalten, kontraindiziert [siehe Kontraindikationen ].
Medikamente metabolisiert von Catechol-o-methyltransferase (COMT)
Medikamente, die von COMT wie Isoproterol-Epinephrin-Noradrenalin-Dopamin-Dopamin-Dobutamin-Alpha-methyldopa-Apomorphin-Isoetherin und Bitolterol metabolisiert werden, sollten bei Patienten, die Entacapon erhalten, unabhängig von der Verabreichung (einschließlich der Indexuswesen). Möglicherweise ist die Verteilung von Verhaltensänderungen (einschließlich des Verhaltens des Verhaltens) und die Verabreichung von Verhaltensweisen. Möglicherweise. Warnungen und Vorsichtsmaßnahmen ].
Antihypertensive Wirkstoffe
Symptomatisch Haltungshypotonie ist aufgetreten, als Carbidopa/Levodopa zur Behandlung von Patienten zugesetzt wurde, die blutdrucksenkende Medikamente erhielten. Bei Beginn der Therapie mit einer Stalevo -Dosierungsanpassung des blutdrucksenkenden Arzneimittels kann erforderlich sein.
Trizyklische Antidepressiva
Es gab Berichte über unerwünschte Reaktionen, einschließlich Bluthochdruck und Dyskinesie, die sich aus der gleichzeitigen Verwendung von trizyklischen Antidepressiva und Carbidopa/Levodopa ergeben.
Dopamin -D2 -Rezeptorantagonisten
Dopamin -D2 -Rezeptorantagonisten (z. B. Metoclopramid -Phänothiazine -Butyrophenone Risperidon) können die therapeutischen Wirkungen von Levodopa verringern.
Isoniazid
Isoniazid may reduce the therapeutic effects of levodopa a dose increase may be necessary.
Phable
Es wurde berichtet, dass die vorteilhaften Wirkungen von Levodopa bei der Parkinson -Krankheit durch Phenytoin umgekehrt sind. Patienten, die Phenytoin mit Carbidopa/Levodopa einnehmen, sollten sorgfältig auf den Verlust der therapeutischen Reaktion beobachtet werden. Die Stalevo -Dosierung sollte als klinisch benötigte Patienten erhöht werden, die Phenytoin erhalten.
Papaverin
Es wurde berichtet, dass die vorteilhaften Wirkungen von Levodopa bei der Parkinson -Krankheit von Papaverin umgekehrt wurden. Patienten, die Papaverin mit Carbidopa/Levodopa einnehmen, sollten sorgfältig auf den Verlust der therapeutischen Reaktion beobachtet werden. Die Stalevo -Dosierung sollte bei Patienten, die Papaverin erhalten, als klinisch benötigt werden.
Eisensalze
Eisensalze oder Multi -Vitamine, die Eisensalze enthalten, sollten mit Vorsicht koadministriert werden. Eisensalze können Chelate mit Levodopa carbidopa und entacapon bilden und folglich die Bioverfügbarkeit von Levodopa carbidopa und entacapone verringern.
Medikamente, von denen bekannt ist, dass sie die Glucuronidation der giliären Ausscheidung und die Darm-Beta-Glucuronidase stören
Da die meisten Ausscheidungen von entacapon über die sind sogar Vorsicht werden gewarnt, wenn Arzneimittel, von denen bekannt ist, dass sie die Glucuronidation der biliären Ausscheidung beeinträchtigen, und die intestinale Beta-Glucuronidase gleichzeitig mit Entacapon verabreicht werden. Dazu gehören Probenecid -Cholestyramin und einige Antibiotika (z. B. Erythromycin Rifampicin Ampicillin und Chloramphenicol).
Medikamente metabolisiert über CYP2C9 (z. B. Coumadin)
Die Dosierung von Stalevo sollte bei Patienten, die über CYP2C9 metabolisiert werden, als klinisch benötigt anhand von anderen Arzneimitteln angepasst werden. Eine Interaktionsstudie bei gesunden Freiwilligen entacapone erhöhte die AUC von R-Warfarin im Durchschnitt um 18% und die INR-Werte im Durchschnitt um 13%. Es wurden Fälle von erhöhtem INR bei Patienten mit Warfarin während der Verwendung von Entacapone nach der Annahme gemeldet. Daher wird die Überwachung von INR empfohlen, wenn Patienten, die Warfarin erhalten, eine Stalevo -Behandlung eingeleitet wird.
Warnungen für Stalevo
Eingeschlossen als Teil der VORSICHTSMASSNAHMEN Abschnitt.
Vorsichtsmaßnahmen für Stalevo
Die in diesem Abschnitt beschriebenen nachteiligen Reaktionen beziehen sich auf mindestens einer der Komponenten von Stalevo (d. H. Levodopa carbidopa und/oder entacapone), die auf der Sicherheitserfahrung in klinischen Studien (insbesondere von Pivotal -Studien) oder im Postmarktieren beruhen.
Bei Aktivitäten des täglichen Lebens und Somnolence einschlafen
Patienten mit Parkinson -Krankheit, die mit Stalevo oder anderen Carbidopa/Levodopa -Produkten behandelt wurden, haben berichtet, dass sie plötzlich ohne vorherige Warnung vor Schläfrigkeit eingeschlafen sind, während sie sich mit Aktivitäten des täglichen Lebens (einschließlich des Betriebs von Kraftfahrzeugen) befassten. Einige dieser Episoden führten zu Unfällen. Obwohl viele dieser Patienten eine Schläfrigkeit berichteten, als sie Entzacapone nahmen, nahmen einige keine Warnzeichen wie übermäßige Schläfrigkeit wahr und glaubten, dass sie unmittelbar vor dem Ereignis aufmerksam waren. Es wurde berichtet, dass einige dieser Ereignisse bis zu einem Jahr nach Beginn der Behandlung auftreten.
Schläfrigkeit was reported in 2% of patients taking entacapone Und 0% in placebo in controlled trials. It is reported that falling asleep while engaged in activities of daily living always occurs in a setting of pre-existing somnolence although patients may not give such a history. For this reason prescribers should reassess patients for Schläfrigkeit or sleepiness especially since some of the events occur well after the start of treatment. Prescribers should also be aware that patients may not acknowledge Schläfrigkeit or sleepiness until directly questioned about Schläfrigkeit or sleepiness during specific activities. Patients who have already experienced somnolence Und/or an episode of sudden sleep onset should not participate in these activities during treatment with Stalevo.
Bevor Sie die Behandlung mit Stalevo initiieren, raten Sie den Patienten über das Potenzial, Schläfrigkeit zu entwickeln und speziell nach Faktoren zu fragen, die dieses Risiko erhöhen können, wie z. Wenn ein Patient die tägige Schläfrigkeit oder Episoden des Einschlafens bei Aktivitäten entwickelt, die eine aktive Teilnahme (z. B. Gespräche essen usw.) erfordern, sollte normalerweise Stalevo abgesetzt werden [siehe Dosierung und Verwaltung Und Warnungen und Vorsichtsmaßnahmen ]. If the decision is made to continue Stalevo patients should be advised not to drive Und to avoid other potentially dangerous activities. There is insufficient information to establish whether dose reduction will eliminate episodes of falling asleep while engaged in activities of daily living.
Orthostatische Hypotonie und Synkope
Berichte über Synkope waren bei Patienten in beiden Behandlungsgruppen, die eine vorherige Episode einer dokumentierten Hypotonie hatten, im Allgemeinen häufiger (obwohl die durch die Geschichte erhaltenen Synkope -Episoden selbst nicht mit Vital -Vorzeichen -Messung dokumentiert waren). Bei Patienten, die mit Arzneimitteln behandelt werden, die mit Arzneimitteln behandelt werden, die den zentralen dopaminergen Ton einschließlich Stalenevo erhöhen, werden hypotonie -orthostatische Hypotonie und Synkope beobachtet.
Dyskinesie
Dyskinesie (involuntary movements) may occur or be exacerbated at lower dosages Und sooner with Stalevo than with preparations containing only carbidopa Und levodopa. The occurrence of dyskinesias may require dosage reduction.
In zentralen Studien betrug die Inzidenz der Behandlungsdifferenz von Dyskinesie 10% und für Carbidopa-Levodopa plus 200 mg Entacapon. Obwohl die Verringerung der Levodopa -Dosis diese Nebenwirkung verbessert, erlebten viele Patienten in kontrollierten Studien trotz einer Verringerung ihrer Levodopa -Dosis häufige Dyskinesien weiter. Die Behandlungsunterschiede in der Inzidenz des Studienentzugs für Dyskinesie betrug 1% bei Carbidopa-Levodopa-Inentacapon.
Depression und Selbstmord
Alle Patienten sollten sorgfältig auf die Entwicklung von Depressionen mit gleichzeitigen Selbstmord -Tendenzen beobachtet werden. Patienten mit früheren oder aktuellen Psychosen sollten mit Vorsicht behandelt werden.
Halluzinationen und/oder psychotisches Verhalten
Die dopaminerge Therapie bei Patienten mit Parkinson -Krankheit wurde mit Halluzinationen in Verbindung gebracht. Halluzinationen führten zum Absetzen des Arzneimittels und zum vorzeitigen Entzug aus klinischen Studien bei 0,8% und 0% der Patienten, die mit Carbidopa Levodopa Entacapon bzw. Carbidopa Levodopa behandelt wurden. Halluzinationen führten zu einem Krankenhausaufenthalt bei 1,0% und 0,3% der Patienten in den Gruppen carbidopa levodopa entacapon bzw. carbidopa levodopa. Agitation trat bei 1% der Patienten auf, die mit Carbidopa Levodopa entacapon behandelt wurden und 0% mit Carbidopa Levodopa behandelt wurden.
Impulskontrolle und/oder zwanghaftes Verhalten
Nach dem Stempel berichten, dass Patienten, die mit Anti-Parkinson-Medikamenten behandelt wurden, einen intensiven Drang zum Spielen von verstärkten sexuellen Drängen erleben können, unkontrolliert Geld und andere intensive Dränge auszugeben. Patienten können diese Drang möglicherweise nicht kontrollieren, während ein oder mehrere der Medikamente, die im Allgemeinen für die Behandlung der Parkinson -Krankheit verwendet werden und die den zentralen dopaminergen Tonus erhöhen, einschließlich Entacapone, die mit Levodopa und Carbidopa eingenommen wurden. In einigen Fällen wurde zwar nicht alle diese Dränge aufgehört, als die Dosis von Anti-Parkinson-Medikamenten reduziert oder abgebrochen wurde. Da Patienten diese Verhaltensweisen möglicherweise nicht als abnormal erkennen, ist es für Verschreiber wichtig, Patienten oder ihre Pflegekräfte spezifisch nach der Entwicklung neuer oder erhöhter Glücksspiele sexuelle Dränge unkontrollierte Ausgaben oder andere Drang zu fordern, während sie mit Entacapone behandelt werden. Ärzte sollten eine Dosisreduktion in Betracht ziehen oder Stalevo stoppen, wenn ein Patient solche Takte entwickelt, während er Stalevo einnimmt [siehe Dosierung und Verwaltung Warnungen und Vorsichtsmaßnahmen ].
Abzugs-auferlegend Hyperpyrexie und Verwirrung
Fälle von Hyperpyrexie und Verwirrung, die dem neuroleptischen malignen Syndrom (NMS) ähneln, wurden in Verbindung mit der Dosisreduktion oder dem Entzug der Therapie mit Carbidopa Levodopa und Entacapon berichtet. In einigen Fällen wurden jedoch über Hyperpyrexie und Verwirrung nach Beginn der Behandlung mit Entacapone berichtet. Hyperpyrexie und Verwirrung sind ungewöhnlich, aber sie können lebensbedrohlich mit einer Vielzahl von Merkmalen sein, darunter Hyperpyrexie/Fieber/Hyperthermie-Muskelsteifigkeit unfreiwillige Bewegungen verändert die Bewusstlosigkeit/mentale Status verändert die autonomische Dysfunktion Tachykardien Tachykardien Tachypnea Sweeasing Hyper- oder Hypotuation und Hypotusionsfundungen abnöschliche Labor-Labokiniten (° C). Leukozytose -Myoglobinurie und erhöhtes Serum -Myoglobin).
Wenn ein Patient seine tägliche Stalevo -Dosis absetzen oder verringern muss Dosierung und Verwaltung ]. Specific methods for tapering entacapone have not been systematically evaluated.
Durchfall And Colitis
In klinischen Studien mit Entacapon -Durchfall entwickelten sich bei 60 von 603 (NULL,0%) und 16 von 400 (NULL,0%) der mit 200 mg Entacapon oder Placebo behandelten Patienten in Kombination mit Levodopa und DOPA -Decarboxylase -Inhibitor. Bei Patienten, die mit Entacapon -Durchfall behandelt wurden, war der Schweregrad im Allgemeinen leicht bis mittelschwer (NULL,6%), wurde jedoch in 1,3%als schwerwiegend angesehen. Durchfall führte zu einem Entzug bei 10 von 603 (NULL,7%) Patienten 7 (NULL,2%) mit leichter und mittelschwerer Durchfall und 3 (NULL,5%) mit schwerem Durchfall. Durchfall nach Absetzen von Entacapon im Allgemeinen aufgelöst. Zwei Patienten mit Durchfall wurden ins Krankenhaus eingeliefert. Typischerweise präsentiert sich Durchfall innerhalb von 4 bis 12 Wochen nach Beginn von Entacapone, aber es kann bereits in der ersten Woche und erst in der ersten Woche nach Beginn der Behandlung erscheinen. Durchfall kann mit einer Gewichtsverlustdehydration und Hypokaliämie verbunden sein.
Nach dem Stempeln hat gezeigt, dass Durchfall ein Anzeichen einer medikamenteninduzierten mikroskopischen Kolitis sein kann, hauptsächlich lymphozytische Kolitis. In diesen Fällen war Durchfall in der Regel mit moderatem bis schwerem Wasser und nicht blutig, in Zeiten, die mit Dehydrating-Bauchschmerzen und Hypokaliämie verbunden sind. In den meisten Fällen wurden Durchfall und andere Colitis-bedingte Symptome aufgelöst oder signifikant verbessert, wenn die Behandlung von Entacapon gestoppt wurde. Bei einigen Patienten mit Biopsie bestätigte Colitis -Durchfall aufgelöst oder nach Absetzen von Entacapon signifikant verbessert, trat jedoch nach der Rücknahme mit Entacapon wieder auf.
Wenn ein längerer Durchfall vermutet wird, dass er mit Stalevo zusammenhängt, sollte das Medikament abgesetzt und eine angemessene medizinische Therapie berücksichtigt werden. Wenn die Ursache eines längeren Durchfalls unklar bleibt oder nach dem Anhalten von Entacapon fortgesetzt wird, sollten weitere diagnostische Untersuchungen einschließlich Koloskopie und Biopsien in Betracht gezogen werden.
Rhabdomyolyse
Es wurden Fälle einer schweren Rhabdomyolyse mit Entacapon berichtet, wenn sie in Kombination mit Carbidopa und Levodopa verwendet werden. Eine schwere längere motorische Aktivität einschließlich Dyskinesie kann möglicherweise die Rhabdomyolyse verantwortlich verantwortlich machen. Die meisten Fälle manifestierten sich in Myalgie und erhöhten Werte von Kreatinphosphokinase (CPK) und Myoglobin. Einige der Reaktionen umfassten auch Fieber und/oder Veränderung des Bewusstseins. Es ist auch möglich, dass die Rhabdomyolyse auf das bei der entsgnulierte Hyperpyrexie und Verwirrung beschriebene Syndrom zurückzuführen sein kann [siehe Warnungen und Vorsichtsmaßnahmen ].
Wechselwirkung mit von COMT metabolisiertem Arzneimittel
Medikamente, von denen bekannt ist, dass sie von COMT wie Isoproterenol-Epinephrin-Noradrenphrin-Dopamin-Dobutamin-Alpha-Methyldopa-Apomorphin-Isoetherin und Bitolterol Alpha-methyldopa-Apomorphin und Bitolterol verabreicht werden. Bei Patienten, die Entacapon erhalten.
Fibrotische Komplikationen
Bei einigen Patienten, die mit mit ErgOT abgeleiteten dopaminergen Wirkstoffen behandelt wurden, wurden Fälle von Retroperitonealfibrose -Infiltraten infiltriert. Diese Komplikationen können sich lösen, wenn das Medikament abgesetzt wird, aber eine vollständige Auflösung tritt nicht immer auf. Obwohl diese unerwünschten Reaktionen mit der Ergolinstruktur dieser Verbindungen zusammenhängen können, wurde auch eine mögliche kausale Rolle von Nichtgot -abgeleiteten Arzneimitteln (z. B. Entacapon levodopa) in Betracht gezogen, die die dopaminerge Aktivität erhöhen. Die erwartete Inzidenz von fibrotischen Komplikationen ist so niedrig, dass Entacapon diese Komplikationen bei Raten verursachte, die denen anderer dopaminerger Therapien ähnlich sind, ist unwahrscheinlich, dass sie in einer Kohorte der Größe, die während seiner klinischen Entwicklung Entacapone ausgesetzt war, nachgewiesen worden wäre. Während der klinischen Entwicklung von Entacapon wurden vier Fälle von Lungenfibrose berichtet. 3 dieser Patienten wurden auch mit Pergolid und 1 mit Bromocriptin behandelt. Die Behandlungsdauer mit Entacapone lag zwischen 7 Monaten und 17 Monaten.
Peptische Ulkuserkrankung
Wie bei der Levodopa -Behandlung mit Stalevo kann die Möglichkeit der oberen gastrointestinalen Blutung bei Patienten mit einer Vorgeschichte von Magengeschwüren erhöhen.
Hepatische Beeinträchtigung
Patienten mit Leberbeeinträchtigungen sollten mit Vorsicht behandelt werden [siehe Klinische Pharmakologie ]. As with levodopa periodic evaluation of hepatic function is recommended during extended therapy.
Labortests
Anomalien in Labortests können Erhöhungen von Leberfunktionstests wie alkalischer Phosphatase -SGOT (AST) SGPT (ALT) -Laktikusdehydrogenase und Bilirubin umfassen. Es wurde ebenfalls Abnormalitäten des Blutharnstoffstickstoffs und des positiven Coombs -Tests berichtet. Häufige Spiegel an Blutharnstoff -Stickstoffkreatinin und Harnsäure sind während der Verabreichung von Stalevo niedriger als bei Levodopa.
Stalevo may cause a false-positive reaction for urinary ketone bodies when a test tape is used for determination of ketonuria . This reaction will not be altered by boiling the urine specimen. False-negative tests may result with the use of glucose-oxidase methods of testing for glucosuria. Cases of falsely diagnosed pheochromocytoma in patients on carbidopa/levodopa therapy have been reported very rarely.
Bei der Interpretation des Plasma- und Urinspiegels von Katecholaminen und ihren Metaboliten bei Patienten auf Carbidopa/Levodopa -Therapie sollte Vorsicht geboten werden.
Patientenberatungsinformationen
Bei Aktivitäten des täglichen Lebens und Somnolence einschlafen
Beraten Sie den Patienten über das Potenzial für sedierende Effekte, die mit Stalevo verbunden sind, einschließlich Schläfchen und die Möglichkeit, einzuschlafen, während sie sich mit Aktivitäten des täglichen Lebens befassen. Da Somnolence eine häufige nachteilige Reaktion mit potenziell schwerwiegenden Konsequenzen sein kann, die Patienten nicht fahren sollten, die ein Kraftfahrzeug betreiben, betreiben schwer Warnungen und Vorsichtsmaßnahmen ]. Advise patients that if increased somnolence or episodes of falling asleep during activities of daily living (e.g. conversations eating driving a motor vehicle etc.) are experienced at any time during treatment they should not drive or participate in potentially dangerous activities until they have contacted their physician.
Raten Sie den Patienten, mit ihrem Gesundheitswesen zu sprechen, bevor Sie Alkohol sedierende Medikamente oder andere ZNS -Depressiva (z. B. Benzodiazepine -Antipsychotika -Antidepressiva usw.) einnehmen, da die möglichen additiven Wirkungen in Kombination mit Stalevo in Kombination mit Stalevo sind.
Orthostatische Hypotonie und Synkope
Raten Sie den Patienten, dass sie symptomatische (oder asymptomatische) Haltungshypotonie oder nicht verärgerte Hypotonie entwickeln können, während sie Stalevo einnehmen. Hypotonie/orthostatische Hypotonie kann während der Ersttherapie häufiger auftreten. Die Patienten sollten nach dem Sitzen oder Liegen nicht schnell steigen, insbesondere wenn sie dies über längere Zeit und insbesondere bei der Einleitung einer Behandlung mit Stalevo tun.
Beraten Sie den Patienten über das Synkopepotential bei Patienten mit Dopaminagonisten. Aus diesem Grund informieren die Patienten über die Möglichkeit einer Synkope bei der Einnahme von Stalevo [siehe Warnungen und Vorsichtsmaßnahmen ].
Dyskinesies
Informieren Sie die Patienten, dass Stalevo bereits vorbestehende Dyskinesien verursachen und/oder verschlimmern kann [siehe Warnungen und Vorsichtsmaßnahmen ].
Halluzinationen und/oder psychotisches Verhalten
Informieren Sie Patienten, dass Halluzinationen und andere psychotische Verhaltensweisen bei der Einnahme von Stalevo auftreten können [siehe Warnungen und Vorsichtsmaßnahmen ].
Impulskontrolle und/oder zwanghaftes Verhalten
Beraten Sie den Patienten, dass sie impulskontrollieren und/oder zwanghaftes Verhalten aufnehmen können, während sie eines oder mehrere der Medikamente zur Behandlung der Parkinson -Krankheit einschließlich Stalevo einnehmen. Fragen Sie die Patienten nach der Entwicklung neuer oder erhöhter Glücksspiele sexuelle Drang nach unkontrollierten Ausgaben oder anderen intensiven Drängen, während sie mit Stalevo behandelt werden. Raten Sie den Patienten, ihren Arzt oder ihren Gesundheitsdienstleister zu informieren, wenn sie neue oder erhöhte Glücksspiele auftreten. Ärzte sollten eine Dosisreduktion in Betracht ziehen oder das Medikament stoppen, wenn ein Patient solche Takte entwickelt, während er Stalevo einnimmt [siehe Warnungen und Vorsichtsmaßnahmen ].
Abzugs-auferlegend Hyperpyrexie und Verwirrung
Beraten Sie den Patienten, dass sie Fieber und Verwirrung als Teil eines Syndroms entwickeln können, das NMS ähnelt, und möglicherweise mit anderen klinischen Merkmalen (z. B. Autonomische Dysfunktion Hyper- oder Hypotonie usw.). Dieses Fieber- und Verwirrungssyndrom kann insbesondere bei der Dosisreduktion oder des Entzugs von Stalevo auftreten, kann sich aber auch nach Beginn der Behandlung entwickeln. Raten Sie den Patienten, sich an ihren Gesundheitsdienstleister zu wenden, wenn sie die Stalevo -Dosis absetzen oder verringern möchten, und sich an einen Gesundheitsdienstleister zu wenden, wenn sie Fieber und Verwirrung entwickeln [siehe Warnungen und Vorsichtsmaßnahmen ].
Durchfall And Colitis
Informieren Sie die Patienten darüber, dass Durchfall mit Stalevo auftreten kann, und es kann einen verzögerten Beginn haben. Manchmal kann ein längerer Durchfall durch Colitis (Entzündung des Dickdarms) verursacht werden. Patienten mit Durchfall sollten Flüssigkeiten trinken, um eine angemessene Flüssigkeitszufuhr aufrechtzuerhalten und auf Gewichtsverlust zu überwachen. Wenn mit Stalevo verbundenes Durchfall ein längeres Absetzen des Arzneimittels zu einer Auflösung führt. Wenn der Durchfall fortgesetzt wird, nachdem Stalevo gestoppt wird, können weitere diagnostische Untersuchungen erforderlich sein. In einigen Fällen kann Durchfall mit Colitis in Verbindung gebracht werden [siehe Warnungen und Vorsichtsmaßnahmen ].
Rhabdomyolyse
Raten Sie den Patienten, dass sie Rhabdomyolyse und Myalgie entwickeln können, wenn sie eine längere motorische Aktivität einschließlich Dyskinesie erleben. Dieses Ereignis kann auch mit Fieber und Verwirrung in Verbindung gebracht werden [siehe Warnungen und Vorsichtsmaßnahmen ].
Brechreiz And Erbrechen
Informieren Sie die Patienten, dass Stalevo Übelkeit verursachen kann und Erbrechen während der Ersttherapie häufiger auftreten und eine Dosisanpassung erfordern.
Anweisungen zur Verwendung
Weisen Sie die Patienten an, Stalevo nur wie verschrieben zu nehmen. Weisen Sie die Patienten an, in jedem Dosierungsintervall nur ein einzelnes Stalevo -Tablet zu nehmen. Weisen Sie die Patienten an, nicht mehrere Tabletten oder zusätzliche Teile von Tabletten zu nehmen, um eine höhere Dosis Levodopa zu erreichen. Raten Sie den Patienten, keine Stalevo zu teilen oder zu kauen.
Informieren Sie den Patienten, dass Stalevo eine Formulierung von Carbidopa/Levodopa in Kombination mit Entacapone ist, die für die Freisetzung von Zutaten innerhalb von 30 Minuten nach Einnahme ausgelegt ist. Es ist wichtig, dass Stalevo in regelmäßigen Abständen gemäß dem vom Arzt beschriebenen Zeitplan eingenommen wird. Vorsicht des Patienten, das verschriebene Dosierungsregime nicht zu ändern und keine zusätzlichen Antiparkinson -Medikamente hinzuzufügen, einschließlich anderer Carbidopa/Levodopa -Präparationen, ohne den Arzt zuerst zu konsultieren.
Beraten Sie Patienten, dass am Ende des Dosierungsintervalls jedoch Episoden (Abnutzung des Arzneimitteleffekts) auftreten, aber zu jederzeit unvorhersehbar auf Episoden auftreten können. Raten Sie dem Patienten, einen Gesundheitsdienstleister über mögliche Behandlungsanpassungen zu informieren, wenn eine solche Reaktion für den Alltag des Patienten ein Problem darstellt.
Beraten Sie den Patienten, dass dunkle Färbung (rotes Braun oder Schwarz) im Speichelurin oder im Schweiß nach der Einnahme von Stalevo auftreten kann. Obwohl die Farbe klinisch unbedeutende Kleidungsstücke zu sein scheint.
Beraten Sie den Patienten, dass eine Änderung der Ernährung zu Lebensmitteln mit hohem Protein die Absorption von Levodopa verzögern kann. Übermäßiger Säure verzögert auch die Magenentleerung und verzögert so die Absorption von Levodopa. Eisensalze (wie in Multi-Vitamin-Tabletten) können auch die Wirksamkeit von Stalevo verringern.
Schwangerschaft
Weisen Sie die Patienten an, ihren Gesundheitsdienstleister zu benachrichtigen, wenn sie schwanger werden oder beabsichtigen, während der Therapie schwanger zu werden [siehe Verwendung in bestimmten Populationen ].
Stillzeit
Weisen Sie die Patienten an, ihren Gesundheitsdienstleister zu benachrichtigen, wenn sie ein Stillen beabsichtigen oder ein Kind stillen [siehe Verwendung in bestimmten Populationen ].
Nichtklinische Toxikologie
Karzinogenese -Mutagenese -Beeinträchtigung der Fruchtbarkeit
Karzinogenese
Bei Ratten führte die orale Verabreichung von Carbidopa-Levodopa 2 Jahre lang keine Hinweise auf eine Karzinogenität bei Dosen von ungefähr 2-mal (Carbidopa) -4-mal (Levodopa) Die maximal empfohlene menschliche Dosis (MRHD).
Zweijährige Karzinogenitätsstudien von Entacapon wurden bei Mäusen und Ratten durchgeführt. Bei Mäusen wurde bei oralen Dosen von 100 200 und 400 mg/kg/Tag keine Zunahme der Tumoren beobachtet. Bei der höchsten Dosis waren die getesteten Plasma -Expositionen (AUC) 4 -mal höher als beim Menschen bei der maximal empfohlenen täglichen Dosis (MRDD) von 1600 mg. Bei Ratten verabreichten orale Dosen von 20 90 oder 400 mg/kg/Tag eine erhöhte Inzidenz von Nieren -tubulären Adenomen und Karzinomen bei Männern bei der höchsten getesteten Dosis. Plasma -AUCs bei der höheren Dosis, die nicht mit erhöhten Nierentumoren (90 mg/kg/Tag) assoziiert ist, betrugen ungefähr fünffache 5 -fach beim Menschen bei der MRDD von Entacapon.
Das krebserzeugende Potential von Entacapon, das in Kombination mit Carbidopa-Levodopa verabreicht wurde, wurde nicht bewertet.
Mutagenese
Carbidopa war in der In -vitro -Bakterien -Reverse -Mutation (AMES) -Test in Gegenwart und Abwesenheit einer metabolischen Aktivierung und im In -vitro -Maus -Lymphom -Thymidin -Kinase (TK) -Test in Abwesenheit einer metabolischen Aktivierung. Carbidopa war im In -vivo -Maus -Mikronukleus -Assay negativ.
Entacapone was mutagenic Und clastogenic in the in vitro mouse lymphoma tk assay in the presence Und absence of metabolic activation Und was clastogenic in cultured human lymphocytes in the presence of metabolic activation. Entacapone either alone or in combination with carbidopa-levodopa was negative in the in vivo mouse micronucleus Und in the Ames assays.
Beeinträchtigung der Fruchtbarkeit
In Fortpflanzungsstudien wurden keine Auswirkungen auf die Fruchtbarkeit bei Ratten gefunden, die Carbidopa-Levodopa in Dosen von ungefähr 2-mal (Carbidopa) -4-mal (Levodopa) der MRHD erhielten.
Bei Ratten, die oral mit Entacapon (bis zu 700 mg/kg/Tag) behandelt wurden, wurden keine Auswirkungen auf die Fruchtbarkeit oder die allgemeine Fortpflanzungsleistung beobachtet. Die Plasmaexpositionen (AUC) bei der höchsten getesteten Dosis betrugen ungefähr 30 -mal so, dass sie beim Menschen am MRHD von Entacapone waren. Eine verzögerte Paarung war bei Frauen bei der höchsten getesteten Dosis offensichtlich.
Verwendung in bestimmten Populationen
Schwangerschaft
Risikozusammenfassung
Es gibt keine angemessenen Daten zum Entwicklungsrisiko im Zusammenhang mit der Verwendung von Stalevo bei schwangeren Frauen. Bei der Verabreichung von Carbidopa-Levodopa oder Entacapon während der Schwangerschaft war die Verabreichung von Carbidopa-Levodopa während der Schwangerschaft mit der Entwicklungstoxizität, einschließlich erhöhter Inzidenzen von fetalen Fehlbildungen, verbunden (siehe Daten ). Das geschätzte Hintergrundrisiko für schwere Geburtsfehler und eine Fehlgeburt in der angegebenen Bevölkerung ist unbekannt. In der US -allgemeinen Bevölkerung betragen die geschätzten Hintergrundrisiken schwerer Geburtsfehler und Fehlgeburt bei klinisch anerkannten Schwangerschaften 2 bis 4% bzw. 15 bis 20%.
Daten
Tierdaten
In nichtklinischen Studien, in denen Carbidopa-Levodopa schwangeren Tieren verabreicht wurde, wurden bei Kaninchen bei allen Dosen und Verhältnissen von Carbidopa-Levodopa, die von 10 Mal lagen, bei allen Dosen und Verhältnissen von Carbidopa-Levodopa, die 10 Mal lagen (Carbidopa) -5-Zeit (Levodopa), bei 20 Zeiten (Carbidopa). (MRHD) von 1600 mg/Tag. Bei Ratten gab es eine Rücknahme der Anzahl der lebenden Welpen, die von Dämmen geliefert wurden, die ungefähr zweimal (Carbidopa) -Five-Zeiten (Levodopa) der MRHD während der gesamten Organogenese erhielten. Bei Mäusen, die bis zu 20-mal so hoch wie die MRHD von Carbidopa-Levodopa wurden, wurden keine Auswirkungen auf Fehlbildungsfrequenzen beobachtet.
In Embryo-fetalen Entwicklungsstudien von Entacapon erhielten schwangere Tiere während der Organogenese Dosen von bis zu 1000 mg/kg/Tag (Ratten) oder 300 mg/kg/Tag (Kaninchen). Erhöhte Inzidenzen der fetalen Variationen waren in Würdern von Ratten erkennbar, die mit der höchsten Dosis ohne offene Anzeichen einer mütterlichen Toxizität behandelt wurden. Die mit dieser Dosis verbundene mütterliche Plasma -Entacapon -Exposition (AUC) betrug ungefähr das 34 -fache bei Menschen am MRHD. Erhöhte Häufigkeiten von Abtreibungen und späten/Gesamtresorptionen und verringerten fetalen Gewichten wurden in den Würfen von Kaninchen beobachtet, die mit maternal toxischen Dosen von 100 mg/kg/Tag behandelt wurden (Plasma -Aucs weniger als das beim Menschen am MRHD) oder größer. In diesen Studien gab es keine Erhöhungen der Missbildungsraten.
Als Entacapon vor der Paarung an weibliche Ratten verabreicht wurde und während der frühen Schwangerschaft eine erhöhte Inzidenz von fetalen Augenanomalien (Makrophthalmie -Mikrophthalmie -Anophthalmie) wurde in den Lätzen von Dämmen beobachtet, die mit Dosen von 160 mg/kg/Tag behandelt wurden. Die Verabreichung von bis zu 700 mg/kg/Tag (Plasma -AUCs 28 -mal, die beim Menschen am MRHD) an Ratten während des letzten Teils der Schwangerschaft und in der gesamten Laktation keine Hinweise auf Entwicklungsbeeinträchtigungen in den Nachkommen erbrachten.
Stillzeit
Risikozusammenfassung
Levodopa wurde in der Muttermilch nach Verabreichung von Carbidopa-Levodopa nachgewiesen. Es gibt keine Daten zum Vorhandensein von Entacapon oder Carbidopa in der Muttermilch. Die Hemmung der Laktation kann jedoch auftreten, da Levodopa die Sekretion von Prolaktin verringert [siehe Klinische Pharmakologie ]. Carbidopa Und entacapone are excreted in rat milk. In lactating rat oral administration of radiolabeled entacapone resulted in levels of entacapone Und/or metabolites in milk up to 2 to 3 times that in plasma. The developmental Und health benefits of breastfeeding should be considered along with the mother's clinical need for Stalevo Und any potential adverse effects on the breastfed infant from Stalevo or from the underlying maternal condition.
Pädiatrische Verwendung
Sicherheit und Wirksamkeit bei pädiatrischen Patienten wurden nicht festgestellt.
Geriatrische Verwendung
Von der Gesamtzahl der Probanden in klinischen Studien von Stalevo waren 43,8% 65 Jahre alt und über 7,2% 75 Jahre alt und älter. Es wurden keine allgemeinen Unterschiede in der Sicherheit oder Wirksamkeit zwischen diesen Probanden und jüngeren Probanden beobachtet, und andere gemeldete klinische Erfahrung haben keine Unterschiede in den Antworten zwischen älteren und jüngeren Patienten identifiziert. Eine größere Empfindlichkeit einiger älterer Personen kann jedoch nicht ausgeschlossen werden.
Stalevo tablets have not been studied in Parkinson -Krankheit patients or in healthy volunteers older than 75 years [see Klinische Pharmakologie ].
Nierenbehinderung
Nierenbeeinträchtigungen wirken sich nicht auf die Pharmakokinetik von Entacapone aus. Es gibt keine Studien zur Pharmakokinetik von Levodopa und Carbidopa bei Patienten mit Nierenbeeinträchtigung [siehe Klinische Pharmakologie ].
Hepatische Beeinträchtigung Or Biliary Obstruction
Es gibt keine Studien zur Pharmakokinetik von Carbidopa und Levodopa bei Patienten mit Leberbeeinträchtigungen. Stalevo sollte vorsichtig an Patienten mit Gallenobstruktion oder Lebererkrankung verabreicht werden, da die biliäre Ausscheidung der Hauptweg der Ausscheidung von Entacapon und Leberbeeinträchtigungen hatte, die einen signifikanten Einfluss auf die Pharmakokinetik von Entacapon hatten, als 200 mg Entacapon allein verabreicht wurde. Klinische Pharmakologie ].
Überdosierungsinformationen für Stalevo
Anzeichen und Symptome einer Überdosierung
In der veröffentlichten Literatur werden nur sehr wenige Fälle von Überdosierung mit Levodopa gemeldet. Basierend auf den verfügbaren Informationen werden die akuten Symptome der Überdosierung von Levodopa und DOPA -Decarboxylase -Inhibitor aus der dopaminergen Überstimulation auftreten. Dosen einiger Gramm können zu ZNS -Störungen mit zunehmender Wahrscheinlichkeit einer kardiovaskulären Störung (z. B. Hypotonie -Tachykardie) und schwereren psychiatrischen Problemen bei höheren Dosen führen. Ein isolierter Bericht über die Rhabdomyolyse und eine andere der vorübergehenden Niereninsuffizienz legen nahe, dass eine Überdosierung von Levodopa zu systemischen Komplikationen nach dopaminerger Überstimulation führen kann.
Die COMT-Hemmung durch Entacapon-Behandlung ist dosisabhängig. Eine massive Überdosis von Entacapon kann theoretisch eine 100% ige Hemmung des COMT-Enzyms bei Menschen erzeugen, wodurch die O-Methylierung endogener und exogener Katecholen verhindert wird.
In klinischen Studien betrug die höchste Einzeldosis von Entacapon, die dem Menschen verabreicht wurde, 800 mg, was zu einer Plasmakonzentration von 14,1 mcg pro ml führte. Die höchste tägliche Dosis, die dem Menschen gegeben wurde, war 2400 mg in einer Studie mit 400 mg sechsmal täglich mit Carbidopa/Levodopa für 14 Tage bei 15 Parkinson -Patienten und in einer anderen Studie als 800 mg dreimal täglich für 7 Tage bei 8 gesunden Freiwilligen. Bei dieser täglichen Dosis betrug die Spitzenplasmakonzentrationen von Entacapon durchschnittlich 2,0 mcg pro ml (45 Minuten im Vergleich zu 1,0 mcg pro ml und 1,2 mcg pro ml mit 200 mg Entacapon bei 45 min). Bauchschmerzen und losen Stuhl waren während dieser Studie die am häufigsten beobachteten unerwünschten Ereignisse. Tägliche Dosen von bis zu 2000 mg Entacapon wurden für mindestens 1 Jahr bei 10 Patienten bei 8 Patienten und mindestens 3 Jahre bei 7 Patienten bei 10 Patienten bei 10 Patienten 10 -mal 200 mg mit Carbidopa/Levodopa oder Benserazid/Levodopa verabreicht. Insgesamt ist die klinische Erfahrung mit täglichen Dosen über 1600 mg begrenzt.
Management der Überdosierung
Der Krankenhausaufenthalt wird empfohlen und allgemeine unterstützende Maßnahmen sollten zusammen mit sofortiger Magenspülung und wiederholten Dosen Holzkohle im Laufe der Zeit eingesetzt werden. Dies kann die Eliminierung von Entacapon insbesondere durch Verringern seiner Absorption und Reabsorption durch den GI -Trakt beschleunigen. Intravenöse Flüssigkeiten sollten mit Bedacht verabreicht werden und ein angemessener Atemweg erhalten.
Die Kreislauf- und Nierenfunktion der Atemwege sollte überwacht und angemessene unterstützende Maßnahmen angewendet werden. Die elektrokardiographische Überwachung sollte eingeführt und der Patient sorgfältig für die Entwicklung von Arrhythmien beobachtet werden. Bei Bedarf sollte eine angemessene antiarrhythmische Therapie angegeben werden. Die Möglichkeit, dass der Patient möglicherweise andere Medikamente eingenommen hat, die das Risiko von Wechselwirkungen zwischen Arzneimitteln (insbesondere von Katechol-strukturierten Medikamenten) erhöht haben, sollte berücksichtigt werden. Bisher wurde keine Erfahrung mit Dialyse gemeldet; Daher ist sein Wert in der Überdosierung nicht bekannt. Es ist unwahrscheinlich, dass Hämodialyse oder Hämoperfusion die Entacapon -Spiegel aufgrund seiner hohen Bindung an Plasmaproteine verringern. Pyridoxin ist nicht wirksam bei der Umkehrung der Wirkungen von Stalevo.
Kontraindikationen für Stalevo
Stalevo is contraindicated in patients:
- Einnahme von nichtselektiven Monoaminoxidase -Inhibitoren (MAO) (z. B. Phenelzin und Tranylcypromin). Diese nichtselektiven MAO -Inhibitoren müssen mindestens zwei Wochen vor der Initiierung der Therapie mit Stalevo abgesetzt werden.
- Mit schmaler Winkel Glaukom .
Klinische Pharmakologie for Stalevo
Wirkungsmechanismus
Levodopa
Aktuelle Nachweise deuten darauf hin, dass die Symptome der Parkinson -Krankheit mit der Erschöpfung von Dopamin im Corpus -Striatum zusammenhängen. Die Verabreichung von Dopamin ist bei der Behandlung der Parkinson-Krankheit unwirksam, da es die Blut-Hirn-Schranke nicht überschreitet. Levodopa der Stoffwechselvorläufer von Dopamin überquert jedoch die Blut-Hirn-Schranke und wird vermutlich in Dopamin im Gehirn umgewandelt. Es wird angenommen, dass dies der Mechanismus ist, bei dem Levodopa die Symptome der Parkinson -Krankheit lindert.
Carbidopa
Wenn Levodopa oral verabreicht wird, wird es in extracerebralen Geweben schnell dekarboxyliert zu Dopamin, so dass nur ein kleiner Teil einer bestimmten Dosis unverändert zum Zentralnervensystem transportiert wird. Carbidopa hemmt die Decarboxylierung von peripheren Levodopa, sodass mehr Levodopa für die Entbindung an das Gehirn zur Verfügung steht.
Entacapone
Entacapone is a selective Und reversible inhibitor of catechol-O-methyltransferase (COMT).
COMT katalysiert die Übertragung der Methylgruppe von S-Adenosyl-L-Methionin auf die Phenolgruppe von Substraten, die eine Katecholstruktur enthalten. Physiologische Substrate von COMT umfassen Dopa -Katecholamine (Dopamin -Noradrenalin und Epinephrin) und deren hydroxylierte Metaboliten. Wenn die Dekarboxylierung von Levodopa durch Carbidopa COMT zum Hauptmetabolisierungsenzym für Levodopa wird, katalysiert sein Metabolismus zu 3-Methoxy-4-Hydroxy-L-Phenylalanin (3-OMD).
Pharmakokinetik
Die Pharmakokinetik von Stalevo -Tabletten wurde bei gesunden Probanden (45 Jahre bis 75 Jahre) untersucht. Insgesamt nach Verabreichung der entsprechenden Dosen von Levodopa carbidopa und entacapon als Stalevo oder als Carbidopa und Levodopa -Produkt sowie Comtan (Entacapon) -Tabletten sind die mittleren Plasmakonzentrationen von Levodopa carbidopa und Entacapon vergleichbar.
Absorption und Verteilung
Sowohl Levodopa als auch Entacapon werden schnell absorbiert und beseitigt und ihr Verteilungsvolumen ist mäßig klein. Carbidopa wird im Vergleich zu Levodopa und Entacapon etwas langsamer absorbiert und eliminiert. Die Absorption von Levodopa carbidopa und entacapon gibt es besonders in Bezug auf seine Cmax.
Die Lebensmitteleffekt auf der Stalevo-Tablette wurde nicht bewertet. Da Levodopa mit bestimmten Aminosäuren um den Transport über die Darmwand konkurriert, kann die Absorption von Levodopa bei einigen Patienten nach dem Essen einer hohen Proteinmahlzeit beeinträchtigt werden. Mahlzeiten, die reich an großen neutralen Aminosäuren sind, können die Absorption von Levodopa verzögern und verringern [siehe Patientenberatungsinformationen ].
Levodopa
Die pharmakokinetischen Eigenschaften von Levodopa nach der Verabreichung von Einzeldosis-Stalevo-Tabletten (Carbidopa Levodopa und Entacapon) sind in Tabelle 3 zusammengefasst.
Tabelle 3: pharmakokinetische Eigenschaften von Levodopa mit unterschiedlichen Tablettenstärken von Stalevo (Mittelwert ± SD)
| Tablettenstärke | AUC0-∞ (nanogram•h per mL) | Cmax (Nanogramm pro ml) | Tmax (h) |
| 12,5 mg pro 50 mg pro 200 mg | 1040 ± 314 | 470 ± 154 | 1,1 ± 0,5 |
| 25 mg pro 100 mg pro 200 mg | 2910 ± 715 | 975 ± 247 | 1,4 ± 0,6 |
| 37,5 mg pro 150 mg pro 200 mg | 3770 ± 1120 | 1270 ± 329 | 1,5 ± 0,9 |
| 50 mg pro 200 mg pro 200 mg | 6115 ± 1536 | 1859 ± 455 | 1,76 ± 0,7 |
Levodopa is bound to plasma protein only to a minor extent (about 10% to 30%).
Carbidopa
Nach der Verabreichung von Stalevo als einzelne Dosis an gesunde männliche und weibliche Probanden wurde die Spitzenkonzentration von Carbidopa im Durchschnitt innerhalb von 2,5 Stunden bis 3,4 Stunden erreicht. Der mittlere CMAX lag zwischen etwa 40 Nanogramm pro ml bis 225 Nanogramm pro ml und dem mittleren AUC aus 170 Nanogramm • H pro ml bis 1200 Nanogramm • H pro ml mit unterschiedlichen Stalevo -Stärken, die 12,5 mg 25 mg 37,5 mg oder 50 mg Carbidopa liefern.
Carbidopa is approximately 36% bound to plasma protein.
Entacapone
Nach der Verabreichung von Stalevo als einzelne Dosis an gesunde männliche und weibliche Probanden wurde die Spitzenkonzentration von Entacapon im Plasma im Durchschnitt innerhalb von 0,8 Stunden bis 1,2 Stunden erreicht. Der mittlere Cmax von Entacapon betrug etwa 1200 Nanogramm pro ml bis 1500 Nanogramm pro ml und das AUC 1250 -Nanogramm • H pro ml bis 1750 Nanagramm • H pro ml nach Verabreichung verschiedener Stalevo -Stärken, die alle 200 mg Entacapon bereitstellen.
Die Plasmaproteinbindung von Entacapon beträgt 98% gegenüber dem Konzentrationsbereich von 0,4 mcg pro ml bis 50 mcg pro ml. Entacapone bindet hauptsächlich an Serumalbumin.
Stoffwechsel und Eliminierung
Levodopa
Die Eliminierungshälfte von Levodopa Die aktive Einheit der Antiparkinson-Aktivität betrug 1,7 Stunden (Bereich 1,1 Stunden bis 3,2 Stunden).
Levodopa is extensively metabolized to various metabolites. Two major pathways are decarboxylation by dopa decarboxylase (DDC) Und O-methylation by COMT.
Carbidopa
Die Eliminierungshälfte von Carbidopa betrug durchschnittlich 1,6 Stunden bis 2 Stunden (Bereich 0,7 Stunden bis 4,0 Stunden).
Carbidopa is metabolized to two main metabolites (α-methyl-3-methoxy-4-hydroxyphenylpropionic acid Und α-methyl- 34-dihydroxyphenylpropionic acid). These 2 metabolites are primarily eliminated in the urine unchanged or as glucuronide conjugates. Unchanged carbidopa accounts for 30% of the total urinary excretion.
Entacapone
Die Eliminierungshälfte von Entacapon betrug durchschnittlich 0,8 Stunden bis 1 Stunde (NULL,3 Stunden bis 4,5 Stunden).
Entacapone is almost completely metabolized prior to excretion with only a very small amount (0.2% of dose) found unchanged in urine. The main metabolic pathway is isomerization to the cis-isomer the only active metabolite. Entacapone Und the cis-isomer are eliminated in the urine as glucuronide conjugates. The glucuronides account for 95% of all urinary metabolites (70% as parent Und 25% as cis-isomer glucuronides). The glucuronide conjugate of the cis-isomer is inactive. After oral administration of a 14 C-markierte Dosis von Entacapon 10% des markierten Elternteils und der Metaboliten werden in Urin und 90% in Kot ausgeschieden.
Aufgrund der kurzen Eliminierungshälfte tritt keine echte Akkumulation von Levodopa oder Entacapon auf, wenn sie wiederholt verabreicht werden.
Nierenbehinderung
Entacapone
Die Pharmakokinetik von Entacapon wurde nach einer einzigen 200 mg Entacapon -Dosis bei Probanden mit normalen mittelschweren und stark beeinträchtigten Nierenfunktionen ohne Levodopa und DOPA -Decarboxylase -Inhibitor mit gleichzeitiger Verwaltung untersucht. Es wurden keine signifikanten Auswirkungen der Nierenfunktion auf die Pharmakokinetik von Entacapon gefunden.
Levodopa And carbidopa
Keine Studien zur Pharmakokinetik von Levodopa und Carbidopa bei Patienten mit Nierenbeeinträchtigung.
Hepatische Beeinträchtigung
Entacapone
Die Leberbeeinträchtigung hatte einen signifikanten Einfluss auf die Pharmakokinetik von Entacapone, als 200 mg Entacapon allein verabreicht wurde. Eine einzelne 200-mg-Dosis von Entacapon ohne Levodopa und DOPA-Decarboxylase-Inhibitor zeigte bei Patienten mit Alkoholismus und Leberbeeinträchtigungen (n = 10) im Vergleich zu normalen Probanden (n = 10) eine etwa zweifache 2-fach höhere AUC- und Cmax-Werte. Alle Patienten hatten durch Alkohol verursachte Biopsie-geprobte Leberzirrhose. Nach Angaben der Kinder-Pugh-Bewertung hatten 7 Patienten mit Lebererkrankungen eine leichte Leberbeeinträchtigung und 3 Patienten hatten eine mäßige Leberbeeinträchtigung. Da nur etwa 10% der Entacapon -Dosis als Elternverbindung im Urin ausgeschieden werden und die konjugierte Glucuronid -biliäre Ausscheidung der Hauptweg der Ausscheidung dieses Arzneimittels zu sein scheint. Stalevo sollte Patienten mit gallen Obstruktion oder Lebererkrankung mit Versorgung verabreicht werden.
Levodopa And Carbidopa
Es gibt keine Studien zur Pharmakokinetik von Levodopa und Carbidopa bei Patienten mit Leberbeeinträchtigungen.
Geriatrische Verwendung
In den Pharmakokinetikstudien, die an gesunden Freiwilligen nach einer einzigen Dosis von Carbidopa-Levodopa- und Entacapon (als Stalevo oder als separate Carbidopa/Levodopa- und Comtan-Tabletten) durchgeführt wurden:
Levodopa
Die AUC von Levodopa ist bei älteren Menschen (60 Jahre bis 75 Jahre) signifikant (durchschnittlich 10% bis 20%) als jüngere Probanden (45 Jahre bis 60 Jahre). Es gibt keinen signifikanten Unterschied im Cmax von Levodopa zwischen jüngeren (45 Jahren bis 60 Jahren) und älteren Probanden (60 Jahre bis 75 Jahre).
Carbidopa
Es gibt keinen signifikanten Unterschied in Cmax und AUC von Carbidopa zwischen jüngeren (45 Jahren bis 60 Jahren) und älteren Probanden (60 Jahre bis 75 Jahre).
Entacapone
Die AUC von Entacapon ist bei älteren Menschen (60 Jahre bis 75 Jahre) signifikant (durchschnittlich 15%) als jüngere Probanden (45 Jahre bis 60 Jahre). Es gibt keinen signifikanten Unterschied in der Cmax von Entacapon zwischen jüngeren (45 Jahren bis 60 Jahren) und älteren Probanden (60 Jahre bis 75 Jahre).
Geschlecht
Pharmakokinetik following a single dose of carbidopa levodopa Und entacapone together either as Stalevo or as separate carbidopa/levodopa Und Comtan tablets in healthy volunteers (age range 45 years to 74 years):
Levodopa
Die Plasmaexposition (AUC und Cmax) von Levodopa ist bei Frauen signifikant höher als bei Männern (durchschnittlich 40% für AUC und 30% für Cmax). Diese Unterschiede werden hauptsächlich durch Körpergewicht erklärt. Andere veröffentlichte Literatur zeigten auch nach Korrektur des Körpergewichts einen signifikanten Geschlechtseffekt (höhere Konzentrationen bei Frauen).
Carbidopa
Es gibt keinen geschlechtsspezifischen Unterschied in der Pharmakokinetik von Carbidopa.
Entacapone
Es gibt keinen geschlechtsspezifischen Unterschied in der Pharmakokinetik von Entacapone.
Arzneimittelinteraktionsstudien
Metabolisiert von COMT metabolisiert
Wenn eine einzelne 400 -mg -Dosis von Entacapon zusammen mit intravenöser Isoprenalin (Isoproterenol) und Epinephrin ohne koadministratierte Levodopa und DOPA -Decarboxylase -Inhibitor bei der maximalen Veränderung der Herzfrequenz während der Infusion bei etwa 50% und 80% höher als mit Placebo für isoprenales und isoprenaler und isoprenaler Veränderungen verabreicht wurde.
Medikamente, von denen bekannt ist, dass sie von COMT metabolisiert werden Wechselwirkungen mit Arzneimitteln ].
Medikamente über CYP2C9 metabolisiert
Aufgrund seiner Affinität zu CYP2C9 In -vitro kann entacapon möglicherweise medizinische Produkte mit dem von diesem Isoenzym abhängigen Stoffwechsel stören. In einer Interaktionsstudie an gesunden Freiwilligen entacapone erhöhte sich Entacapone im Durchschnitt um 18% und die INR-Werte im Durchschnitt um 13% [siehe Wechselwirkungen mit Arzneimitteln ].
Hormonspiegel
Es ist bekannt, dass die Inhaltsstoffe in Stalevo -Levodopa die Prolaktinsekretion drücken und den Wachstumshormonspiegel erhöhen.
Klinische Studien
Die Wirksamkeit von Entacapon als Ergänzung zu Levodopa bei der Behandlung der Parkinson-Krankheit wurde in drei 24-wöchigen multizentrischen, randomisierten, doppelblind-placebokontrollierten Studien an Patienten mit Parkinson-Krankheit erstellt. In 2 dieser Studien (Studien 1 und 2) schwankte die Krankheit der Patienten, d. H. Trotz optimaler Levodopa -Therapie wurde dokumentierte Perioden von ON -Zeiträumen (Zeiträume relativ guter Funktionieren) und außerhalb (Zeiträume relativ schlechtem Funktionieren) gekennzeichnet. Nach 6 Monaten Behandlung gab es auch eine Entzugsfrist. In der dritten Studie mussten Patienten keine Schwankungen hatten. Vor dem kontrollierten Teil dieser Studien wurden die Patienten 2 Wochen bis 4 Wochen auf Levodopa stabilisiert.
Es gibt nur begrenzte Erfahrung mit Entacapone bei Patienten, bei denen keine Schwankungen auftreten.
In den Studien 1 und 2 wurden die Patienten randomisiert, um Placebo oder Entacapon 200 mg mit jeder Dosis von Carbidopa/Levodopa verabreicht zu haben (bis zu zehnmal täglich, aber die Patienten hatten durchschnittlich 4 Dosen bis 6 Dosen pro Tag). Der doppelblinde Teil beider Studien betrug 6 Monate. Die Patienten verzeichneten regelmäßig die Zeit, die in den Ein- und Aus- und Auslandsagebüchern während der gesamten Dauer der Studie aufgewendet wurde. In einer Studie, die in den nordischen Ländern durchgeführt wurde, war die primäre Ergebnismaßnahme die gesamte mittlere Zeit, die im State während eines 18 -stündigen Tagebuchs (6 Uhr morgens bis Mitternacht) verbracht wurde. In der anderen Studie war die primäre Ergebnismaßnahme der Anteil der wachsenden Zeit, die über 24 Stunden im Staat verbracht wurde.
Zusätzlich zu der primären Ergebnismessung wurde die Zeit, die im Außenverteidiger verbracht wurde, und die Patienten wurden auch von Unterabschnitten der Unified Parkinson-Krankheitsbewertungsskala (UPDRs) bewertet, eine häufig verwendete Multi-El-Bewertungsskala, die zur Beurteilung der Mentationstätigkeit (Teil I) Aktivitäten der täglichen Lebensuntersuchung (Teil II) (Teil III) (Teil IV) und Teile (Teil IV. Die globale Bewertung eines Forschungs- und Patienten-Anteils eines klinischen Zustands eines subjektiven 7-Punkte-Maßstabs zur Bewertung der globalen Funktionen bei der Parkinson-Krankheit; und die Änderung der täglichen Carbidopa/Levodopa -Dosis.
ist ascorbinsäure schlecht für Sie
In Studie 1 171 wurden die Patienten in 16 Zentren in Finnland Norway Schweden und Dänemark (Studie 1) randomisiert, die alle gleichzeitig Levodopa plus DOPA -Decarboxylase -Inhibitor (entweder Carbidopa/Levodopa oder Benserazid/Levodopa) erhielten. In Studie 2 205 Patienten wurden die Patienten in 17 Zentren in Nordamerika (USA und Kanada) randomisiert; Alle Patienten erhielten gleichzeitig Carbidopa/Levodopa.
In den folgenden Tabellen (Tabelle 4 und Tabelle 5) werden die Ergebnisse dieser beiden Studien angezeigt:
Tabelle 4: Wirksamkeitsergebnisse von Studie 1
| Hauptmaßnahme aus dem Tagebuch (von einem 18-stündigen Tagebuchtag) | |||
| Grundlinie | Wechseln Sie von der Grundlinie im 6. Monat* | p-Wert gegen Placebo | |
| Stunden der wachen Zeit an | |||
| Placebo | 9.2 | 0,1 | - |
| Entacapone | 9.3 | 1.5 | weniger als 0,001 |
| Pünktliche Dauer nach der ersten Am -Dosis (HRS) | |||
| Placebo | 2.2 | 0.0 | - |
| Entacapone | 2.1 | 0,2 | weniger als 0,05 |
| Sekundäre Maßnahmen aus dem Tagebuch (aus einem 18-stündigen Tagebuchtag) † † | |||
| Stunden Wachzeit frei | |||
| Placebo | 5.3 | 0.0 | - |
| Entacapone | 5.5 | -1.3 | weniger als 0,001 |
| Anteil der Wachzeit auf ‡ (%) | |||
| Placebo | 63.8 | 0,6 | - |
| Entacapone | 62.7 | 9.3 | weniger als 0,001 |
| Levodopa Total Daily Dose (mg) | |||
| Placebo | 705 | 14 | - |
| Entacapone | 701 | -87 | weniger als 0,001 |
| Häufigkeit der täglichen Aufnahme von Levodopa | |||
| Placebo | 6.1 | 0,1 | - |
| Entacapone | 6.2 | - 0,4 | weniger als 0,001 |
| Andere sekundäre Maßnahmen | |||
| Grundlinie | Wechseln Sie vom Ausgangswert im 6. Monat 6 | p-Wert gegen Placebo | |
| Der globale (insgesamt) % des Ermittlers verbesserte sich | |||
| Placebo | - | 28 | - |
| Entacapone | - | 56 | weniger als 0,01 |
| Der globale (insgesamt) % des Patienten verbesserte sich | |||
| Placebo | - | 22 | - |
| Entacapone | - | 39 | N.S.¶ |
| UPDRS Gesamt | |||
| Placebo | 37.4 | -1.1 | - |
| Entacapone | 38.5 | -4.8 | weniger als 0,01 |
| UPDRS Motor | |||
| Placebo | 24.6 | -0.7 | - |
| Entacapone | 25.5 | -3.3 | weniger als 0,05 |
| Updrs adl | |||
| Placebo | 11.0 | -0.4 | - |
| Entacapone | 11.2 | -1.8 | weniger als 0,05 |
| *Bedeuten; Die monatlichen 6-Werte repräsentieren den Durchschnitt der Wochen 8 16 und 24 durch protokolldefinierte Ergebnismaß. † P -Werte für sekundäre Maßnahmen sind nominale p -Werte ohne Anpassung an Multiplizität. ‡ Kein Endpunkt für diese Studie, sondern der primäre Endpunkt in der nordamerikanischen Studie. §At mindestens eine Kategorie Änderung am Endpunkt. Nicht bedeutend. |
Tabelle 5: Wirksamkeitsergebnisse von Studie 2
| Hauptmaßnahme aus Heimtagebuch (für einen 24-Stunden-Tagebuchtag) | |||
| Grundlinie | Wechseln Sie von der Grundlinie im 6. Monat* | p-Wert gegen Placebo | |
| Prozent der wachen Zeit auf | |||
| Placebo | 60.8 | 2.0 | - |
| Entacapone | 60.0 | 6.7 | weniger als 0,05 |
| Sekundäre Maßnahmen aus dem Tagebuch (für einen 24-Stunden-Tagebuchtag) † † | |||
| Stunden Wachzeit frei | |||
| Placebo | 6.6 | -0.3 | - |
| Entacapone | 6.8 | -1.2 | weniger als 0,01 |
| Stunden der wachen Zeit an | |||
| Placebo | 10.3 | 0,4 | - |
| Entacapone | 10.2 | 1.0 | N.S. ‡ |
| Levodopa Total Daily Dose (mg) | |||
| Placebo | 758 | 19 | - |
| Entacapone | 804 | -93 | weniger als 0,001 |
| Häufigkeit der täglichen Aufnahme von Levodopa | |||
| Placebo | 6.0 | 0,2 | - |
| Entacapone | 6.2 | 0.0 | N.S. ‡ |
| Andere sekundäre Maßnahmen† | |||
| Grundlinie | Wechseln Sie vom Ausgangswert im 6. Monat 6 | p-Wert gegen Placebo | |
| Der globale (insgesamt) % des Ermittlers verbesserte sich | |||
| Placebo | - | 21 | - |
| Entacapone | - | 34 | weniger als 0,05 |
| Der globale (insgesamt) % des Patienten verbesserte sich | |||
| Placebo | - | 20 | - |
| Entacapone | - | 31 | weniger als 0,05 |
| UPDRS Gesamt¶ | |||
| Placebo | 35.6 | 2.8 | - |
| Entacapone | 35.1 | -0.6 | weniger als 0,05 |
| UPDRS Motor ¶ | |||
| Placebo | 22.6 | 1.2 | - |
| Entacapone | 22.0 | -0.9 | weniger als 0,05 |
| Updrs adl¶ | |||
| Placebo | 11.7 | 1.1 | - |
| Entacapone | 11.9 | 0.0 | weniger als 0,05 |
| *Bedeuten; Die monatlichen 6-Werte repräsentieren den Durchschnitt der Wochen 8 16 und 24 durch protokolldefinierte Ergebnismaß. † P -Werte für sekundäre Maßnahmen sind nominale p -Werte ohne Anpassung an Multiplizität. ‡ Nicht signifikant. §At mindestens eine Kategorie Änderung am Endpunkt. ¶Score -Veränderung am Endpunkt ähnlich wie bei der nordischen Studie. |
Die Auswirkungen auf die Zeit unterschieden sich nicht nach dem Schweregrad der Erkrankung des Geschlechts bei der Studie Levodopa -Dosis und gleichzeitiger Behandlung mit Dopaminagonisten oder Selegilin.
Entzug von Entacapone
In Studie 2 führte der abrupte Entzug von Entacapon ohne Veränderung der Dosis von Carbidopa/Levodopa zu einer signifikanten Verschlechterung der Schwankungen im Vergleich zu Placebo. In einigen Fällen waren die Symptome etwas schlechter als zu Studienbeginn, kehrten jedoch innerhalb von 2 Wochen nach dem durchschnittlichen Anstieg der Levodopa -Dosis durchschnittlich um 80 mg zu ungefähr den Schweregrad der Levodopa zurück. In Studie 1 wurde nach Engacapon -Entzug wie 2 Wochen nach dem Entzug des Arzneimittels eine signifikante Verschlechterung der Parkinson -Symptome beobachtet. In dieser Phase waren die Symptome nach dem Schweregrad der Levodopa -Dosis ungefähr 50 mg annähernd bei Studienbeginn.
In der dritten placebokontrollierten Studie (Studie 3) wurden insgesamt 301 Patienten in 32 Zentren in Deutschland und Österreich randomisiert. In dieser Studie wurde wie in den anderen 2 Studien Entacapone 200 mg mit jeder Dosis von Levodopa und DOPA -Decarboxylase -Inhibitor (bis zu 10 -mal täglich) und UPDRS -Teilen II und III verabreicht, und die tägliche Gesamtmessung der Zeit waren die Hauptmessungen der Wirksamkeit. Die Ergebnisse für die primären Maßnahmen sowie für einige sekundäre Maßnahmen sind in Tabelle 6 dargestellt.
Tabelle 6: Wirksamkeitsergebnisse von Studie 3
| Hauptmaßnahmen | |||
| Grundlinie | Wechseln Sie vom Ausgangswert im 6. Monat 6 | p-Wert gegen Placebo (LOCF) | |
| Updrsadl* | |||
| Placebo | 12.0 | 0,5 | - |
| Entacapone | 12.4 | -0.4 | weniger als 0,05 |
| UPDRS Motor* | |||
| Placebo | 24.1 | 0,1 | - |
| Entacapone | 24.9 | -2.5 | weniger als 0,05 |
| Stunden der wachen Zeit an (Home Diary)† | |||
| Placebo | 10.1 | 0,5 | - |
| Entacapone | 10.2 | 1.1 | N.S. ‡ |
| Sekundäre Maßnahmen§ | |||
| Grundlinie | Wechseln Sie vom Ausgangswert im 6. Monat 6 | p-Wert gegen Placebo | |
| UPDRS Gesamt * | |||
| Placebo | 37.7 | 0,6 | - |
| Entacapone | 39.0 | -3.4 | weniger als 0,05 |
| Prozent der wachen Zeit auf (Home Diary) ** | |||
| Placebo | 59.8 | 3.5 | - |
| Entacapone | 62.0 | 6.5 | N.S. ‡ |
| Stunden Wachzeit frei (Home Diary) | |||
| Placebo | 6.8 | -0.6 | - |
| Entacapone | 6.3 | -1.2 | 0.07 |
| Levodopa Total Daily Dose (mg)* | |||
| Placebo | 572 | 4 | - |
| Entacapone | 566 | -35 | N.S. |
| Häufigkeit der täglichen Aufnahme von Levodopa* | |||
| Placebo | 5.6 | 0,2 | - |
| Entacapone | 5.4 | 0.0 | weniger als 0,01 |
| Global (insgesamt) % verbessert | |||
| Placebo | - | 34 | - |
| Entacapone | - | 38 | N.S. ‡ |
| *Gesamtbevölkerung; Score -Änderung am Endpunkt. † schwankende Bevölkerung mit 5 Dosen bis 10 Dosen; Score -Änderung am Endpunkt. ‡ Nicht signifikant. §P -Werte für sekundäre Maßnahmen sind nominale p -Werte ohne Anpassung an Multiplizität. ¶Totale Bevölkerung; mindestens eine Kategorieänderung am Endpunkt. |
Patienteninformationen für Stalevo
Bei Aktivitäten des täglichen Lebens und Somnolence einschlafen
Beraten Sie den Patienten über das Potenzial für sedierende Effekte, die mit Stalevo verbunden sind, einschließlich Schläfchen und die Möglichkeit, einzuschlafen, während sie sich mit Aktivitäten des täglichen Lebens befassen. Da Somnolence eine häufige nachteilige Reaktion mit potenziell schwerwiegenden Konsequenzen sein kann, die Patienten nicht fahren sollten, die ein Kraftfahrzeug betreiben, betreiben schwer Warnungen und Vorsichtsmaßnahmen ]. Advise patients that if increased somnolence or episodes of falling asleep during activities of daily living (e.g. conversations eating driving a motor vehicle etc.) are experienced at any time during treatment they should not drive or participate in potentially dangerous activities until they have contacted their physician.
Raten Sie den Patienten, mit ihrem Gesundheitswesen zu sprechen, bevor Sie Alkohol sedierende Medikamente oder andere ZNS -Depressiva (z. B. Benzodiazepine -Antipsychotika -Antidepressiva usw.) einnehmen, da die möglichen additiven Wirkungen in Kombination mit Stalevo in Kombination mit Stalevo sind.
Orthostatische Hypotonie und Synkope
Raten Sie den Patienten, dass sie symptomatische (oder asymptomatische) Haltungshypotonie oder nicht verärgerte Hypotonie entwickeln können, während sie Stalevo einnehmen. Hypotonie/orthostatische Hypotonie kann während der Ersttherapie häufiger auftreten. Die Patienten sollten nach dem Sitzen oder Liegen nicht schnell steigen, insbesondere wenn sie dies über längere Zeit und insbesondere bei der Einleitung einer Behandlung mit Stalevo tun.
Beraten Sie den Patienten über das Synkopepotential bei Patienten mit Dopaminagonisten. Aus diesem Grund informieren die Patienten über die Möglichkeit einer Synkope bei der Einnahme von Stalevo [siehe Warnungen und Vorsichtsmaßnahmen ].
Dyskinesies
Informieren Sie die Patienten, dass Stalevo bereits vorbestehende Dyskinesien verursachen und/oder verschlimmern kann [siehe Warnungen und Vorsichtsmaßnahmen ].
Halluzinationen und/oder psychotisches Verhalten
Informieren Sie Patienten, dass Halluzinationen und andere psychotische Verhaltensweisen bei der Einnahme von Stalevo auftreten können [siehe Warnungen und Vorsichtsmaßnahmen ].
Impulskontrolle und/oder zwanghaftes Verhalten
Beraten Sie den Patienten, dass sie impulskontrollieren und/oder zwanghaftes Verhalten aufnehmen können, während sie eines oder mehrere der Medikamente zur Behandlung der Parkinson -Krankheit einschließlich Stalevo einnehmen. Fragen Sie die Patienten nach der Entwicklung neuer oder erhöhter Glücksspiele sexuelle Drang nach unkontrollierten Ausgaben oder anderen intensiven Drängen, während sie mit Stalevo behandelt werden. Raten Sie den Patienten, ihren Arzt oder ihren Gesundheitsdienstleister zu informieren, wenn sie neue oder erhöhte Glücksspiele auftreten. Ärzte sollten eine Dosisreduktion in Betracht ziehen oder das Medikament stoppen, wenn ein Patient solche Takte entwickelt, während er Stalevo einnimmt [siehe Warnungen und Vorsichtsmaßnahmen ].
Abzugs-auferlegend Hyperpyrexie und Verwirrung
Beraten Sie den Patienten, dass sie Fieber und Verwirrung als Teil eines Syndroms entwickeln können, das NMS ähnelt, und möglicherweise mit anderen klinischen Merkmalen (z. B. Autonomische Dysfunktion Hyper- oder Hypotonie usw.). Dieses Fieber- und Verwirrungssyndrom kann insbesondere bei der Dosisreduktion oder des Entzugs von Stalevo auftreten, kann sich aber auch nach Beginn der Behandlung entwickeln. Raten Sie den Patienten, sich an ihren Gesundheitsdienstleister zu wenden, wenn sie die Stalevo -Dosis absetzen oder verringern möchten, und sich an einen Gesundheitsdienstleister zu wenden, wenn sie Fieber und Verwirrung entwickeln [siehe Warnungen und Vorsichtsmaßnahmen ].
Durchfall And Colitis
Informieren Sie die Patienten darüber, dass Durchfall mit Stalevo auftreten kann, und es kann einen verzögerten Beginn haben. Manchmal kann ein längerer Durchfall durch Colitis (Entzündung des Dickdarms) verursacht werden. Patienten mit Durchfall sollten Flüssigkeiten trinken, um eine angemessene Flüssigkeitszufuhr aufrechtzuerhalten und auf Gewichtsverlust zu überwachen. Wenn mit Stalevo verbundenes Durchfall ein längeres Absetzen des Arzneimittels zu einer Auflösung führt. Wenn der Durchfall fortgesetzt wird, nachdem Stalevo gestoppt wird, können weitere diagnostische Untersuchungen erforderlich sein. In einigen Fällen kann Durchfall mit Colitis in Verbindung gebracht werden [siehe Warnungen und Vorsichtsmaßnahmen ].
Rhabdomyolyse
Raten Sie den Patienten, dass sie Rhabdomyolyse und Myalgie entwickeln können, wenn sie eine längere motorische Aktivität einschließlich Dyskinesie erleben. Dieses Ereignis kann auch mit Fieber und Verwirrung in Verbindung gebracht werden [siehe Warnungen und Vorsichtsmaßnahmen ].
Brechreiz And Erbrechen
Informieren Sie die Patienten, dass Stalevo Übelkeit verursachen kann und Erbrechen während der Ersttherapie häufiger auftreten und eine Dosisanpassung erfordern.
Anweisungen zur Verwendung
Weisen Sie die Patienten an, Stalevo nur wie verschrieben zu nehmen. Weisen Sie die Patienten an, in jedem Dosierungsintervall nur ein einzelnes Stalevo -Tablet zu nehmen. Weisen Sie die Patienten an, nicht mehrere Tabletten oder zusätzliche Teile von Tabletten zu nehmen, um eine höhere Dosis Levodopa zu erreichen. Raten Sie den Patienten, keine Stalevo zu teilen oder zu kauen.
Informieren Sie den Patienten, dass Stalevo eine Formulierung von Carbidopa/Levodopa in Kombination mit Entacapone ist, die für die Freisetzung von Zutaten innerhalb von 30 Minuten nach Einnahme ausgelegt ist. Es ist wichtig, dass Stalevo in regelmäßigen Abständen gemäß dem vom Arzt beschriebenen Zeitplan eingenommen wird. Vorsicht des Patienten, das verschriebene Dosierungsregime nicht zu ändern und keine zusätzlichen Antiparkinson -Medikamente hinzuzufügen, einschließlich anderer Carbidopa/Levodopa -Präparationen, ohne den Arzt zuerst zu konsultieren.
Beraten Sie Patienten, dass am Ende des Dosierungsintervalls jedoch Episoden (Abnutzung des Arzneimitteleffekts) auftreten, aber zu jederzeit unvorhersehbar auf Episoden auftreten können. Raten Sie dem Patienten, einen Gesundheitsdienstleister über mögliche Behandlungsanpassungen zu informieren, wenn eine solche Reaktion für den Alltag des Patienten ein Problem darstellt.
Beraten Sie den Patienten, dass dunkle Färbung (rotes Braun oder Schwarz) im Speichelurin oder im Schweiß nach der Einnahme von Stalevo auftreten kann. Obwohl die Farbe klinisch unbedeutende Kleidungsstücke zu sein scheint.
Beraten Sie den Patienten, dass eine Änderung der Ernährung zu Lebensmitteln mit hohem Protein die Absorption von Levodopa verzögern kann. Übermäßiger Säure verzögert auch die Magenentleerung und verzögert so die Absorption von Levodopa. Eisensalze (wie in Multi-Vitamin-Tabletten) können auch die Wirksamkeit von Stalevo verringern.
Schwangerschaft
Weisen Sie die Patienten an, ihren Gesundheitsdienstleister zu benachrichtigen, wenn sie schwanger werden oder beabsichtigen, während der Therapie schwanger zu werden [siehe Verwendung in bestimmten Populationen ].
Stillzeit
Weisen Sie die Patienten an, ihren Gesundheitsdienstleister zu benachrichtigen, wenn sie ein Stillen beabsichtigen oder ein Kind stillen [siehe Verwendung in bestimmten Populationen ].