Die Informationen Auf Dieser Website Stellen Keine Medizinische Beratung Dar. Wir Verkaufen Nichts. Die Richtigkeit Der Übersetzung Wird Nicht Garantiert. Haftungsausschluss



Tussionex

Drogenzusammenfassung

Was ist Tussionex?

Tussionex (Chlorpheniramin und Hydrocodon) ist ein Kombination gegen Antihistaminikum/Antitussive, das zur symptomatischen Behandlung von Kalt- und Allergiesymptomen verschrieben wird.

Was sind Nebenwirkungen von Tussionex?

Zu den häufigen Nebenwirkungen von Tussionex gehören:



  • Benommenheit
  • Schwindel
  • Schläfrigkeit
  • Probleme beim Konzentrieren
  • Stimmungsänderungen
  • Angst
  • verschwommenes Sehen
  • Verstopfung
  • Brechreiz
  • Erbrechen
  • Appetitverlust
  • Trockener Mund oder Hals
  • Schwitzen
  • Juckreiz oder Hautausschlag und
  • gestörte Koordination.

Wenden Sie sich an Ihren Arzt, wenn Sie ernsthafte Nebenwirkungen von Tussionex haben, einschließlich:



  • flache Atmung
  • Brust -Enge
  • schmerzhaftes oder schwieriges Urinieren
  • Veränderungen für geistige/stimmige Veränderungen (z.
  • Magen-/Bauchschmerzen
  • Schneller/langsamer/unregelmäßiger Herzschlag oder
  • ungewöhnliches Verhalten.

Suchen Sie medizinische Versorgung oder rufen Sie auf einmal 911 an, wenn Sie die folgenden schwerwiegenden Nebenwirkungen haben:

  • Schwerwiegende Augensymptome wie plötzlicher Sehverlust verschwommenes Sehen Tunnel Sehschmerzen oder Schwellungen oder Halos in der Umgebung des Lichts;
  • Schwerwiegende Herzsymptome wie schnelle unregelmäßige oder pochende Herzschläge; Flattern in deiner Brust; Kurzatmigkeit; und plötzliche Schwindel -Unbeschwertheit oder ohnmächtig;
  • Starke Kopfschmerzen Verwirrung verwirrt Spracharm oder Bein Schwäche Schwierigkeiten beim Verlust der Koordination unstabil sehr steifes Muskeln hoher Fieber problemlos Schwitzen oder Zittern.

Dieses Dokument enthält nicht alle möglichen Nebenwirkungen und andere können auftreten. Wenden Sie sich an Ihren Arzt nach zusätzlichen Informationen zu Nebenwirkungen.



Dosierung für Tussionex

Die übliche Dosis von Tussionex beträgt 5 ml zweimal täglich.

Welche Medikamentensubstanzen oder Nahrungsergänzungsmittel interagieren mit Tussionex?

Tussionex kann mit anderen Medikamenten interagieren, die Schläfrigkeit (Betäubungsmittel Schlaftabletten Muskelrelaxer und Medikamente gegen Anfälle Depressionen oder Angst) verursachen können, alle anderen Kalt- oder Allergie -Medikamente Atropin -Benztropin -Dimenhydrinat von Methscopolamin Scopolamin Bronchodilatatoren Glycopyrratherzinat mapenzinat mapenzinat mapenzolatemapenzolatarter Blase oder Harnmedikamente Reizdarmmedikamente oder MAO -Inhibitoren. Sagen Sie Ihrem Arzt alle Medikamente und Nahrungsergänzungsmittel, die Sie verwenden.

Tussionex während der Schwangerschaft oder Stillen

Tussionex sollte während der Schwangerschaft nicht verwendet werden, da es im Fötus nachteilige Auswirkungen haben kann, es sei denn, der potenzielle Nutzen überwiegt das potenzielle unbekannte Risiko für den Fötus. Tussionex wird in menschlicher Muttermilch sekretiert und kann bei der Neugeborenen nachteilige Auswirkungen haben. Wenden Sie sich vor dem Stillen an Ihren Arzt.

Weitere Informationen

Unser Tussionex -Nebenwirkungen Medical Center bietet einen umfassenden Überblick über verfügbare Arzneimittelinformationen über die potenziellen Nebenwirkungen bei der Einnahme dieses Medikaments.

FDA -Drogeninformationen

WARNUNG

Risiken aus der gleichzeitigen Verwendung mit Benzodiazepinen oder anderen ZNS -Depressiva

Die gleichzeitige Verwendung von Opioiden mit Benzodiazepin oder anderen Zentralnervensystemen (ZNS) Depressiva einschließlich Alkohol kann zu einer tiefgreifenden Atemwirtdepression und Tod führen (siehe WARNUNGS Und Wechselwirkungen mit Arzneimitteln ). Vermeiden Sie die Verwendung von Opioidhustenmedikamenten bei Patienten, die Benzodiazepine einnehmen, andere ZNS -Depressiva oder Alkohol.

Beschreibung für Tussionex

Jede 5 ml Tussionex Pennkinetic EXTRENTED-Freisetzung enthält Hydrocodon polistirexxent zu 10 mg Hydrocodon-Bitartrat und Chlorpheniramin polistirex entspricht 8 mg Chlorpheniramin-Maleat. Hydrocodon ist ein zentral wirkendes narkotisches Antitussive. Chlorpheniramin ist ein Antihistaminikum. Tussionex Pennkinetic Extended Release Suspension ist nur für den oralen Gebrauch.

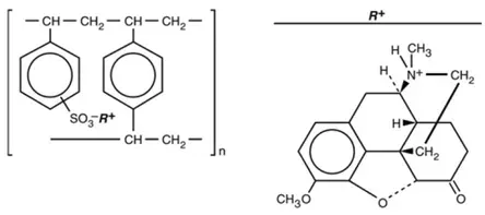
Hydrocodon Polistirex

Sulfoniertes Styrol-Divinylbenzol-Copolymerkomplex mit 45α-Epoxy-3-Methoxy-17-Methylmorphinan-6-One.

Chlorpheniramin Polistirex

Sulfoniertes Styrol-Divinylbenzol-Copolymerkomplex mit 2- [P-Chlor-α- [2- (Dimethylamino) Ethyl]-Benzyl] Pyridin.

Inaktive Zutaten

Ascorbinsäure d

Verwendung für Tussionex

Die Tussionex Pennkinetic-Suspension verlängerte Hemmung ist zur Linderung von Husten und Symptomen der oberen Atemwege im Zusammenhang mit Allergie oder Erkältung bei Erwachsenen und Kindern ab 6 Jahren.

Dosierung für Tussionex

Es ist wichtig, dass Tussionex mit einem genauen Messgerät gemessen wird (sehen VORSICHTSMASSNAHMEN Patienteninformationen ).

Ein Dosierungslöffel ist mit dem 4 -Unzen -Produkt (115 ml) ausgestattet. Eine Seite des Löffels ist für eine 2,5 -ml -Dosis. Die andere Seite des Löffels ist für eine 5 -ml -Dosis. Füllen Sie die Seite des Löffels für die vorgeschriebene Dosis. Nicht überfüllen. Nach jedem Gebrauch mit Wasser abspülen.

Für Vorschriften, bei denen ein Dosierungslöffel kein Apotheker bereitgestellt wird, kann ein Apotheker ein geeignetes Messgerät bereitstellen und Anweisungen zur Messung der richtigen Dosis bereitstellen. Ein Haushalts -Teelöffel ist kein genaues Messgerät und kann zu Überdosierung führen.

Jede 5 ml Tussionex Pennkinetic EXTRENTED-Freisetzung enthält Hydrocodon polistirexxent zu 10 mg Hydrocodon-Bitartrat und Chlorpheniramin polistirex, äquivalent zu 8 mg Chlorpheniramin-Maleat. Vor dem Gebrauch gut schütteln. Spülen Sie das Messgerät nach jedem Gebrauch mit Wasser aus.

Erwachsene und Kinder ab 12 Jahren

5 ml alle 12 Stunden; 10 ml in 24 Stunden nicht überschreiten.

Kinder 6-11 Jahre alt

2,5 ml alle 12 Stunden; 5 ml innerhalb von 24 Stunden nicht überschreiten.

Diese Medizin ist bei Kindern unter 6 Jahren kontraindiziert (siehe Kontraindikationen ).

Wie geliefert

Tussionex Pennkinetic (Hydrocodon Polistirex und Chlorpheniramin polistirexx) verlängerte Freisetzung von 10 mg Hydrocodon-Bitartrat und 8 mg Chlorpheniramin Maleate pro 5 ml ist eine goldfarbene Suspension, die als:

  • NDC 53014-548-01 4 Unzen Bernsteinplastikflasche mit 115 ml Suspension. Jede Flasche wird mit einem Plastikdosierungslöffel geliefert, der für die Messung von 2,5 ml und 5 ml Dosen kalibriert ist.

Für medizinische Informationen

Kontakt: Abteilung für medizinische Angelegenheiten
Telefon: (866) 822-0068
Fax: (770) 970-8859

Lagerung

Auf 20 bis 25 ° (68 bis 77 ° F) aufbewahren; Exkursionen zu 15 bis 30 ° C (59 bis 86 ° F) [siehe USP -kontrollierte Raumtemperatur].

Hergestellt für: UCB Inc. Smyrna GA 30080. Überarbeitet: Januar 2017

Nebenwirkungen for Tussionex

Magen -Darm -Störungen

Übelkeit und Erbrechen können auftreten; Sie sind im Ambulatory häufiger als bei liegenden Patienten. Eine längere Verabreichung der Tussionex-Pennkinetik-Aufhängung verlängert, kann Verstopfung erzeugen.

Allgemeine Erkrankungen und Verwaltungsortbedingungen

Tod

Störungen des Nervensystems

Sedierung Schläfrigkeit geistige trübe Lethargie Beeinträchtigung der mentalen und körperlichen Leistung Angst Angst Dysphorie Euphorie Schwindel psychische Abhängigkeit Stimmungsänderungen.

Nieren- und Harnstörungen

Mit Opiaten wurden Harnlamerkrallen von Vesical Phinkter und Harnretention berichtet.

Atemstillstand und Mediastinalstörungen

Trockenheit des Pharynx gelegentlich Enge der Brust und der Atemdepression (siehe Kontraindikationen ).

Die Tussionex-Pennkinetic-Suspension mit verlängerter Freisetzung kann eine dosisbedingte Atemdepression erzeugen, indem sie direkt auf Hirnstamm-Atmungszentren wirken (siehe ÜBERDOSIS ). Use of Tussionex Pennkinetik Extended-Release Suspension in children less than 6 years of age has been associated with fatal respiratory depression. Overdose with Tussionex Pennkinetik Extended- Release Suspension in children 6 years of age Und older in adolescents Und in adults has been associated with fatal respiratory depression.

Haut- und subkutane Gewebeerkrankungen

Rasches Tamitus.

Wechselwirkungen mit Arzneimitteln for Tussionex

Die Verwendung von Benzodiazepinen-Opioiden Antihistaminika Antipsychotika Anti-Angst-Wirkstoffe oder andere ZNS-Depressiva (einschließlich Alkohol), die gleichzeitig mit Tussionex Pennkinetic Affended-Release-Suspension zu einer additiven ZNS-Depressiva-Wirkung tiefgreifende Innenatmatronen-Depressionenkombinationen führen und sollte geschwenkt werden. WARNUNGS ).

Die Verwendung von MAO -Inhibitoren oder trizyklischen Antidepressiva mit Hydrokodonpräparaten kann die Wirkung des Antidepressivums oder des Hydrokodons erhöhen.

Die gleichzeitige Verwendung anderer Anticholinergika mit Hydrocodon kann lähmende Ileus erzeugen.

Drogenmissbrauch und Abhängigkeit

Die Tussionex Pennkinetic Extended Release Suspension ist ein Narkotikum für Schedule II. Die physische Abhängigkeit und Toleranz der psychischen Abhängigkeit kann sich bei wiederholter Verabreichung von Betäubungsmitteln entwickeln. Daher sollte die Tussionex-Pennkinetic-Suspension mit verlängerter Freisetzung verschrieben und mit Vorsicht verabreicht werden. Es ist jedoch unwahrscheinlich, dass sich die psychische Abhängigkeit entwickelt, wenn die Tussionex-Pennkinetik-Aufhängung für die Behandlung von Husten für kurze Zeit verwendet wird. Physikalische Abhängigkeit Die Erkrankung, in der die fortgesetzte Verabreichung des Arzneimittels erforderlich ist, um das Auftreten eines Entzugssyndroms zu verhindern, nimmt nur nach mehreren Wochen der anhaltenden oralen Betäubungsmittelverwendung klinisch signifikante Anteile an, obwohl sich nach einigen Tagen der Betäubungsmitteltherapie ein leichte Grad an körperlicher Abhängigkeit entwickeln kann.

Warnungen for Tussionex

Risiko aus gleichzeitiger Verwendung mit Benzodiazepinen oder anderen ZNS -Depressiva

Die gleichzeitige Verwendung von Opioiden, einschließlich Tussionex Pennkinetic-Suspension mit Benzodiazepinen oder anderen ZNS-Depressiva, einschließlich Alkohol, kann zu einer tiefgreifenden Atemdepression des Atemwegs und dem Tod führen. Aufgrund dieser Risiken vermeiden Sie die Verwendung von Opioidhustenmedikamenten bei Patienten, die Benzodiazepine einnehmen Wechselwirkungen mit Arzneimitteln ).

Beobachtungsstudien haben gezeigt, dass die gleichzeitige Anwendung von Opioidanalgetika und Benzodiazepinen das Risiko einer medikamentenbedingten Mortalität im Vergleich zur Verwendung von Opioiden allein erhöht. Aufgrund ähnlicher pharmakologischer Eigenschaften ist es angemessen, ein ähnliches Risiko bei gleichzeitiger Verwendung von Opioidhusten -Medikamenten und Benzodiazepinen zu erwarten, die andere ZNS -Depressiva oder Alkohol.

Beraten Sie sowohl Patienten als auch Pflegepersonen über das Risiko einer Atemdepression und Sedierung, wenn die Tussionex-Pennkinetik-Suspension mit Benzodiazepinen Alkohol oder anderen ZNS-Depressiva verwendet wird (siehe VORSICHTSMASSNAHMEN Informationen für Patienten ).

Atemdepression

Wie bei allen Betäubungsmitteln erzeugt die Tussionex Pennkinetic Extended Release Suspension dosisbedingte Atemdepressionen, indem sie direkt auf Hirnstamm-Atmungszentren wirken. Hydrocodon beeinflusst das Zentrum, das den Atemrhythmus steuert und unregelmäßige und periodische Atmung erzeugt. Es ist vorsichtig zu sein, wenn die Tussionex-Pennkinetik-Auslösersuspension postoperativ und bei Patienten mit Lungenerkrankung oder bei Depressionen der Beatmungsfunktion verwendet wird. Wenn eine Atemdepression auftritt ÜBERDOSIS ).

Kopfverletzung und erhöhten Intrakranialdruck

Die respiratorischen Depressivumseffekte von Betäubungsmitteln und ihre Fähigkeit zur Erhöhung des Cerebrospinalflüssigkeitsdrucks können in Gegenwart einer Kopfverletzung andere intrakranielle Läsionen oder eine bereits bestehende Erhöhung des Intrakraniellendrucks deutlich übertrieben sein. Darüber hinaus erzeugen Betäubungsmittel unerwünschte Reaktionen, die den klinischen Verlauf von Patienten mit Kopfverletzungen verdecken können.

Akute Bauchbedingungen

Die Verabreichung von Betäubungsmitteln kann die Diagnose oder den klinischen Verlauf von Patienten mit akuten Bauchbedingungen verdecken.

Obstruktive Darmkrankheit

Die chronische Verwendung von Betäubungsmitteln kann zu einer obstruktiven Darmerkrankung insbesondere bei Patienten mit zugrunde liegender Darmmotilitätsstörung führen.

Hat Meloxicam Aspirin darin?

Pädiatrische Verwendung

Die Verwendung der Tussionex-Pennkinetic-Suspension verlängerte die Auslöser ist bei Kindern im Alter von weniger als 6 Jahren kontraindiziert (siehe Kontraindikationen ).

Bei pädiatrischen Patienten sowie bei Erwachsenen reagiert das Atemzentrum dosisabhängig auf die Depressivumwirkung von narkotischen Hustensuppressiva. Bei der Verabreichung von Tussionex-Pennkinetik-Suspensionen für pädiatrische Patienten ab 6 Jahren und älter sollte Vorsicht geboten werden. Überdosierung oder gleichzeitige Verabreichung von Tussionex-Pennkinetik-Suspensionen mit anderen Atembeschreibungen können das Risiko einer Atemdepression bei pädiatrischen Patienten erhöhen. Das Verhältnis von Nutzen zu Risiko sollte insbesondere bei pädiatrischen Patienten mit Atemwegspirnien (z. B. Kruppe) sorgfältig berücksichtigt werden (siehe VORSICHTSMASSNAHMEN ).

Vorsichtsmaßnahmen for Tussionex

Allgemein

Vorsicht wird bei der Verschreibung dieses Arzneimittels bei Patienten mit Schmalwinkel empfohlen Glaukom Asthma oder Prostata -Hypertrophie.

Patienten mit besonderem Risiko

Wie bei jedem Narkotikmittel sollte die Tussionex-Pennkinetik-Aufhängung von Pennkinetik mit Vorsicht bei älteren Menschen oder geschwächten Patienten und bei Patienten mit schwerer Beeinträchtigung der Hypothyreose von Hypothyreose von Leber oder Nierenfunktion Addison-Prostatikhypertrophie oder Harnral-Striktur verwendet werden. Die üblichen Vorsichtsmaßnahmen sollten beobachtet werden und die Möglichkeit einer Atemdepression im Auge behalten werden.

Informationen für Patienten

Raten Sie dem Patienten, die von der FDA zugelassene Patientenkennzeichnung zu lesen ( Medikamentenhandbuch ).

Gleichzeitige Verwendung mit Benzodiazepinen oder anderen ZNS -Depressiva

Informieren Sie Patienten und Betreuer, dass potenziell tödliche additive Effekte auftreten können, wenn Tussionex pennkinetische Verlängerungserscheinungssuspension bei Benzodiazepinen oder anderen ZNS-Depressiva einschließlich Alkohol verwendet wird. Aufgrund dieses Risikos sollten Patienten die gleichzeitige Verwendung von Tussionex-Pennkinetik-Suspensionen mit Benzodiazepinen oder anderen ZNS-Depressiva, einschließlich Alkohol, vermeiden (siehe WARNUNGS Und Wechselwirkungen mit Arzneimitteln ).

Neurologische Nebenwirkungen

Beraten Sie den Patienten, dass die Tussionex-Pennkinetik-Suspension mit verlängerter Freisetzung deutliche Schläfrigkeit erzeugen und die für die Ausführung potenziell gefährlicher Aufgaben wie das Fahren eines Autos oder Betriebsmaschinen erforderlichen mentalen und/oder körperlichen Fähigkeiten beeinträchtigen kann. Beraten Sie den Patienten, während der Behandlung mit Tussionex Pennkinetic-Suspension mit Tussionex-Pennkinetik zu fahren oder zu operieren.

Dosierungsanweisungen

Raten Sie den Patienten, die Tussionex-Pennkinetik-Suspension mit anderen Flüssigkeiten nicht zu verdünnen und sich nicht mit anderen Arzneimitteln zu mischen, da dies die Harzbindung verändern und die Absorptionsrate ändern kann, die möglicherweise die Toxizität erhöht.

Beraten Sie den Patienten, dass die Tussionex-Pennkinetik-Suspension mit einer genauen Messvorrichtung gemessen werden sollte. Ein Haushalts -Teelöffel ist kein genaues Messgerät und kann zu Überdosierung führen. Ein Dosierungslöffel ist mit dem 4 -Unzen -Produkt (115 ml) ausgestattet. Eine Seite des Löffels ist für eine 2,5 -ml -Dosis. Die andere Seite des Löffels ist für eine 5 -ml -Dosis. Weisen Sie den Patienten an, die Seite des Löffels für die vorgeschriebene Dosis zu füllen. Der Löffel sollte nicht überfüllt sein. Spülen Sie nach jedem Gebrauch die Messvorrichtung ab oder dosieren Sie Löffel.

Alternativ kann ein Apotheker ein geeignetes Messgerät empfehlen und Anweisungen zur Messung der richtigen Dosis geben.

Hustenreflex

Hydrocodon unterdrückt den Hustenreflex; Wie bei allen Betäubungsmitteln sollte Vorsicht geboten werden, wenn tussionex pennkinetische Verlängerungspreis-Suspension postoperativ und bei Patienten mit Lungenerkrankung verwendet wird.

Karzinogenese -Mutagenese -Beeinträchtigung der Fruchtbarkeit

Karzinogenitätsmutagenität und Fortpflanzungsstudien wurden nicht mit Tussionex Pennkinetic Extended Release Suspension durchgeführt.

Schwangerschaft

Teratogene Wirkungen

Schwangerschaft Category C

Es wurde gezeigt, dass Hydrocodon in Hamstern teratogen ist, wenn sie in den Dosen 700 -fach der menschliche Dosis angegeben sind. Es gibt keine angemessenen und gut kontrollierten Studien bei schwangeren Frauen. Die Tussionex Pennkinetic-Suspension mit verlängerter Freisetzung sollte während der Schwangerschaft nur dann angewendet werden, wenn der potenzielle Nutzen das potenzielle Risiko für den Fötus rechtfertigt.

Nichtteratogene Wirkungen

Babys, die von Müttern geboren wurden, die vor der Entbindung regelmäßig Opioide eingenommen haben, sind physisch abhängig. Die Entzugszeichen umfassen Reizbarkeit und übermäßige weinende Zittern hyperaktive Reflexe erhöhten die Stühle, die die Hocker Niese gählernen Erbrechen und Fieber. Die Intensität des Syndroms korreliert nicht immer mit der Dauer der mütterlichen Opioidkonsum oder der Dosis.

Arbeit und Entbindung

Wie bei der gesamten Betäubungsmittelverabreichung von Tussionex Pennkinetic, die die Mutter kurz vor der Entbindung an die Mutter erhöht, kann bei den Neugeborenen ein gewisses Maß an Atemdepression führen, insbesondere wenn höhere Dosen verwendet werden.

Pflegemütter

Es ist nicht bekannt, ob dieses Medikament in Muttermilch ausgeschieden ist. Da viele Medikamente in Muttermilch und aufgrund des Potenzials für schwerwiegende Nebenwirkungen bei Säuglingen von Tussionex Pennkinetic-Suspendierung in Krankenpflege eine Entscheidung getroffen werden sollten, ob die Krankenpflege eingestellt oder das Medikament unter Berücksichtigung der Bedeutung des Arzneimittels für die Mutter eingestellt werden soll.

Pädiatrische Verwendung

Die Verwendung der Tussionex-Pennkinetic-Suspension verlängerte die Auslöser ist bei Kindern im Alter von weniger als 6 Jahren kontraindiziert (siehe Kontraindikationen Und Nebenwirkungen Atemweg Brust- und Mediastinalstörungen ).

Tussionex Pennkinetic Af. WARNUNGS Pädiatrische Verwendung ).

Geriatrische Verwendung

Klinische Studien mit Tussionex umfassten nicht eine ausreichende Anzahl von Probanden im Alter von 65 Jahren und mehr, um festzustellen, ob sie anders als jüngere Probanden reagieren. Andere gemeldete klinische Erfahrung haben keine Unterschiede in den Antworten zwischen älteren und jüngeren Patienten identifiziert. Im Allgemeinen sollte die Dosisauswahl für einen älteren Patienten vorsichtig sein, normalerweise am unteren Ende des Dosierungsbereichs, der die größere Häufigkeit einer verringerten Nieren- oder Herzfunktion von Lebern und einer gleichzeitigen Erkrankung oder einer anderen medikamentösen Therapie widerspiegelt.

Es ist bekannt, dass dieses Medikament von der Niere wesentlich ausgeschieden wird, und das Risiko toxischer Reaktionen auf dieses Medikament kann bei Patienten mit beeinträchtigter Nierenfunktion höher sein. Da ältere Patienten mit größerer Wahrscheinlichkeit eine verminderte Nierenfunktionspflege haben, sollten die Selektion der Dosis durchgeführt werden, und es kann nützlich sein, die Nierenfunktion zu überwachen.

Überdosierungsinformationen für Tussionex

Anzeichen und Symptome

Eine schwerwiegende Überdosierung mit Hydrocodon ist durch Atemdepression (eine Abnahme der Atemwegsrate und/oder das Gezeitenvolumen Cheyne-Stokes-Atmung Cyanose) gekennzeichnet, die extreme Somnolenz voranschreiten, die zu Stupor- oder Koma-Skelettmuskel-Schlucken kalt und kalt und entlastet und manchmal Bradycardia und Hypotosa. Obwohl Miose für die mydriassis in der betäubenden Überdosierung bei terminaler Narkose oder schwerer Hypoxie charakteristisch ist. Bei schwerer Überdosierung kann der Kreislauf des Kreislaufs und des Todes auftreten. Die Manifestationen der Chlorpheniramin -Überdosierung können von Depressionen des Zentralnervensystems bis zur Stimulation variieren.

Behandlung

Die Wiederherstellung des angemessenen Atemaustauschs durch Bereitstellung eines Patentländerwegs und der Institution der assistierten oder kontrollierten Belüftung sollte die primäre Aufmerksamkeit erregt werden. Der narkotische Antagonist -Naloxonhydrochlorid ist ein spezifisches Gegenmittel gegen Atemdepression, das sich aus Überdosierung oder ungewöhnlicher Empfindlichkeit gegenüber Narkotikern einschließlich Hydrocodon ergeben kann. Daher sollte eine angemessene Dosis von Naloxonhydrochlorid vorzugsweise gleichzeitig auf dem intravenösen Weg mit Bemühungen um die Wiederbelebung der Atemwege verabreicht werden. Da die Wirkungsdauer von Hydrocodon in dieser Formulierung den des Antagonisten überschreiten kann, sollte der Patient unter fortgesetzter Überwachung gehalten werden, und wiederholte Dosen des Antagonisten sollten nach Bedarf verabreicht werden, um eine angemessene Atmung aufrechtzuerhalten. Weitere Informationen finden Sie in vollständigen Verschreibungsinformationen für Naloxonhydrochlorid. Ein Antagonist sollte ohne klinisch signifikante Atemdepression nicht verabreicht werden. Intravenöse Sauerstoffflüssigkeiten Vasopressoren und andere unterstützende Maßnahmen sollten wie angegeben eingesetzt werden. Die Magenentleerung kann nützlich sein, um das nicht absorbierte Medikament zu entfernen.

Kontraindikationen für Tussionex

Die Tussionex Pennkinetic-Suspension verlängerte Freisetzung ist bei Patienten mit bekannter Allergie oder Empfindlichkeit gegenüber Hydrocodon oder Chlorpheniramin kontraindiziert.

Die Verwendung der Tussionex-Pennkinetik-Suspension verlängerte Auslöser ist aufgrund des Risikos einer tödlichen Atemdepression bei Kindern im Alter von weniger als 6 Jahren kontraindiziert.

Klinische Pharmakologie for Tussionex

Hydrocodon ist ein semisynthetisches narkotisches Antitussive und analgetisch mit mehreren Aktionen, die qualitativ denen von Codein ähneln. Der genaue Wirkungsmechanismus von Hydrocodon und anderen Opiaten ist nicht bekannt; Es wird jedoch angenommen, dass Hydrocodon direkt auf das Hustenzentrum reagiert. In übermäßigen Dosen werden Hydrocodon wie andere Opiumderivate die Atmung drücken. Die Auswirkungen von Hydrocodon in therapeutischen Dosen auf das Herz -Kreislauf -System sind unbedeutend. Hydrocodon kann Miosis -Euphorie und physische und psychische Abhängigkeit produzieren.

Chlorpheniramin ist ein Antihistaminikum (H) 1 Rezeptorantagonist), der auch anticholinerge und beruhigende Aktivität besitzt. Es verhindert, dass freigesetztes Histamin die Kapillaren erweitert und Ödeme der Atemschleimhaut verursacht.

Die Hydrocodon-Freisetzung aus der Tussionex Pennkinetic EXTRENDED-Freisetzung wird durch das Pennkinetischen System gesteuert, ein Arzneimittelabgabesystem für erweiterte Freisetzung, das eine Ionenaustauschpolymermatrix mit einer diffusionsrate limitierenden durchlässigen Beschichtung kombiniert. Die Chlorpheniraminfreisetzung wird durch die Verwendung eines Ionenaustauschpolymersystems verlängert.

Nach mehreren Dosierung mit Tussionex-Pennkinetik-Aufhängebersuspensions-Hydrocodon-Mittelwert (S.D.) trat die Spitzenplasmakonzentrationen von 22,8 (NULL,9) ng/ml nach 3,4 Stunden auf. Chlorpheniramin -Mittelwert (S.D.) Peak -Plasmakonzentrationen von 58,4 (NULL,7) ng/ml traten 6,3 Stunden nach mehreren Dosierungen auf. Spitzen-Plasmaspiegel, die mit einem Sirup mit sofortiger Freisetzung erhalten wurden, traten bei ca. 1,5 Stunden für Hydrocodon und 2,8 Stunden für Chlorpheniramin auf. Es wurde berichtet, dass die Plasma-Halbwertszeiten von Hydrocodon und Chlorpheniramin ungefähr 4 bzw. 16 Stunden beträgt.

Patienteninformationen für Tussionex

Tussionex ®
Pennkinetik ®
(Tuss-i-Necks Pen-Ki -n-Tik)
(Hydrocodon Polistirex und Chlorpheniramin Polistirex) Verlängerung

Was sind die wichtigsten Informationen, die ich über die Tussionex Pennkinetic-Aufhängung erweitert werden sollte?

  • Die Einnahme von Tussionex-Pennkinetik-Suspensionen mit Benzodiazepinen oder anderen Depressiva des Zentralnervensystems, einschließlich Alkohol, kann zu schweren Problemen mit Schläfrigkeit (Atemdepression) Koma und Tod führen.
  • Tussionex Pennkinetik Extended-Release Suspension can cause you to be drowsy. Avoid driving a car or operating machinery during treatment with Tussionex Pennkinetik Extended-Release Suspension.
  • Frauen, die stillen, sollten mit ihrem Gesundheitsdienstleister sprechen, bevor sie die Tussionex Pennkinetic-Suspendierung in der Extension nehmen.
  • Rufen Sie Ihren Gesundheitsdienstleister an oder erhalten Sie sofort medizinische Hilfsmittel, wenn jemand, der die Tussionex Pennkinetic EXTRENTED-Freisetzung annimmt, eines der folgenden Symptome hat:
    • Erhöhte Schläfrigkeit
    • Verwirrung
    • Schwierigkeiten beim Atmen
    • flache Atmung
    • Schlaffheit
    • Ihr Baby hat Schwierigkeiten zu stillen
  • Halten Sie die Tussionex-Pennkinetic-Suspension an einem sicheren Ort von Kindern. Ein versehentlicher Einsatz durch ein Kind ist ein medizinischer Notfall und kann zum Tod führen. Wenn ein Kind versehentlich die Tussionex-Pennkinetik-Aufhängung verlängert wird, erhalten Sie sofort medizinische Hilfsmittel.
  • Tussionex Pennkinetik Extended-Release Suspension can cause serious side effects Tussionex Pennkinetik Extended-Release Suspension can cause serious side effects including death.
  • Nehmen Sie die Tussionex Pennkinetic Extended Release Suspension genau wie von Ihrem Gesundheitsdienstleister vorgeschrieben. Wenn Sie die falsche Dosis von Tussionex Pennkinetic Extended-Freisetzungsaufhängung einnehmen, können Sie überdosieren und sterben.
  • Tussionex Pennkinetik Extended-Release Suspension is not for children under 6 years of age.

Was ist die Tussionex Pennkinetic-Suspension mit verlängerter Freisetzung?

  • Tussionex Pennkinetik Extended-Release Suspension is a prescription medicine used to treat cough Und upper respiratory symptoms that you can have with allergies or a cold. Tussionex Pennkinetik Extended-Release Suspension is for adults Und children age 6 years Und older. Tussionex Pennkinetik Extended-Release Suspension contains 2 medicines hydrocodone Und chlorpheniramine. Hydrocodone is a narcotic cough suppressant. Chlorpheniramine is an antihistamine.
  • Tussionex Pennkinetik Extended-Release Suspension is a federal controlled substance (CII) because it contains hydrocodone that can be abused or lead to dependence. Halten Sie die Tussionex-Pennkinetik-Suspension an einem sicheren Ort, um Missbrauch und Missbrauch zu verhindern. Der Verkauf oder Verschenken von Tussionex Pennkinetices Extended Release kann anderen schaden und ist gegen das Gesetz. Teilen Sie Ihrem Gesundheitsdienstleister mit, ob Sie missbraucht haben oder auf Alkohol verschreibungspflichtige Medikamente oder Straßenmedikamente angewiesen sind.
  • Tussionex Pennkinetik Extended-Release Suspension is not for children under 6 years of age.

Wer sollte keine Tussionex Pennkinetic-Suspendierung in der Verlängerung nehmen?

  • Nicht Nehmen Sie die Tussionex-Pennkinetic-Suspension mit der Auslöser, wenn Sie in der Tussionex-Pennkinetik-Aufhängung gegen eine der Zutaten allergisch sind. Eine vollständige Liste von Zutaten finden Sie im Ende dieses Medikamentenleitfadens. Möglicherweise haben Sie ein erhöhtes Risiko für eine allergische Reaktion auf Tussionex Pennkinetic Affend-Freisetzung, wenn Sie gegen bestimmte andere Opioidmedikamente allergisch sind.
  • Nicht Geben Sie einem Kind unter 6 Jahren Tussionex Pennkinetic-Suspension mit verlängerter Freisetzung. Es kann zu Atemproblemen führen, die zum Tod führen können.

Bevor Sie die Tussionex Pennkinetic-Suspension mit der Verlängerung der Extended-Freisetzung informieren, informieren Sie Ihren Gesundheitsdienstleister über alle Ihre Erkrankungen, einschließlich, wenn Sie:

  • eine Drogenabhängigkeit haben
  • Lungen- oder Atemprobleme haben
  • hatte eine Kopfverletzung
  • Habe Schmerzen in deinem Magenbereich (Bauch)
  • eine Vorgeschichte von schwerem oder anhaltendem Husten haben
  • Glaukom haben
  • Prostataprobleme haben
  • Haben Sie Probleme mit Ihrem Harnweg (Harnröhrenstriktur)
  • Planen Sie eine Operation
  • Alkohol trinken
  • Nieren- oder Leberprobleme haben
  • Diabetes haben
  • Schilddrüsenprobleme wie Hypothyreose haben
  • Addison -Krankheit
  • sind schwanger oder planen, schwanger zu werden. Es ist nicht bekannt, ob Tussionex Pennkinetic Extended-Freisetzungsaufhängung Ihrem ungeborenen Baby schädigen wird. Sie und Ihr Gesundheitsdienstleister sollten entscheiden, ob Sie während der Schwangerschaft Tussionex Pennkinetic-Suspension mit der Verlängerung der Auslöser einnehmen sollten.
  • stillen oder planen zu stillen. Es ist nicht bekannt, ob die Tussionex Pennkinetic Extended-Freisetzung in Ihre Muttermilch übergeht. Sie und Ihr Gesundheitsdienstleister sollten entscheiden, ob Sie die Tussionex Pennkinetic Affend-Freisetzung oder Stillfeed nehmen. Sie sollten nicht beides tun.

Teilen Sie Ihrem Gesundheitsdienstleister über alle Medikamente, die Sie einnehmen einschließlich verschreibungspflichtiger und rezeptfreier Medikamente Vitamine und Kräuterpräparate.

Die Einnahme von Tussionex-Pennkinetik-Suspensionen mit bestimmten anderen Arzneimitteln kann zu Nebenwirkungen führen oder beeinflussen, wie gut Tussionex Pennkinetic-Suspendierung oder andere Arzneimittel funktioniert. Beginnen oder stoppen Sie andere Medikamente nicht, ohne mit Ihrem Gesundheitsdienstleister zu sprechen.

Sagen Sie Ihrem Gesundheitsdienstleister vor allem, wenn Sie:

  • Nehmen Sie Schmerzmittel wie Betäubungsmittel
  • Nehmen Sie Kalt- oder Allergiemedikamente ein
  • Medikamente gegen psychische Erkrankungen einnehmen (Antipsychotika Anti-Angst)
  • Alkohol trinken
  • Nehmen Sie Medikamente für Depressionen ein, einschließlich Monoaminoxidase -Inhibitoren (Maois) und Tricyclics
  • Nehmen Sie Medikamente für Magen- oder Darmprobleme ein

Fragen Sie Ihren Gesundheitsdienstleister, ob Sie nicht sicher sind, ob Sie eines dieser Medikamente einnehmen.

Wie sollte ich Tussionex Pennkinetic Affend-Freisetzung einnehmen?

  • Nehmen Sie die Tussionex Pennkinetic Extended Release Suspension genau so, wie Ihr Gesundheitsdienstleister Ihnen sagt, dass Sie sie nehmen sollen.
  • Ihr Gesundheitsdienstleister wird Ihnen sagen, wie viel Tussionex Pennkinetic Areed-Freisliege-Suspension zu nehmen und wann Sie sie einnehmen sollen. Ändern Sie Ihre Dosis nicht, ohne mit Ihrem Gesundheitsdienstleister zu sprechen.
  • Tussionex Pennkinetic Extended Release Suspension vor jedem Gebrauch schütteln.
  • Nicht Mischen Sie die Tussionex Pennkinetic-Suspension mit anderen Flüssigkeiten oder Medikamenten. Das Mischen kann sich ändern, wie die Tussionex-Pennkinetik-Aufhängung verlängert wird.
  • Tussionex Pennkinetik Extended-Release Suspension can be taken with or without food.
  • Messen Sie nur die Tussionex Pennkinetic-Suspension mit dem Dosierungslöffel, der mit Ihrem Rezept ausgestattet ist. Wenn Sie keinen Dosierungslöffel für Ihr Medikament haben, bitten Sie Ihren Apotheker, Ihnen ein Messgerät zu geben, damit Sie die korrekte Menge an Tussionex-Pennkinetik-Aufhängung erweitert haben. Nicht use a household teaspoon to measure your medicine. You may accidently take too much.
    • Eine Seite des Dosierungslöffels ist für eine 2,5 -ml -Dosis markiert. Die andere Seite des Löffels ist für eine 5 -ml -Dosis markiert. Finden Sie die Seite des Löffels mit der Dosis, die Sie einnehmen.
    • Füllen Sie diese Seite des Löffels, damit das Medikament mit dem Rand des Löffels ausreicht. Überfülle den Löffel nicht.
    • Spülen Sie den Löffel nach jedem Gebrauch mit Wasser aus.
  • Wenn Sie zu viel Tussionex Pennkinetic-Suspension mit verlängerter Freisetzung nehmen, rufen Sie Ihren Gesundheitsdienstleister an oder gehen Sie sofort in die nächste Notaufnahme des Krankenhauses.

Was sollte ich vermeiden, während ich Tussionex Pennkinetic Affend-Freisetzung einnimmt?

  • Tussionex Pennkinetik Extended-Release Suspension can cause you to be drowsy. Avoid driving a car or operating machinery during treatment with Tussionex Pennkinetik Extended-Release Suspension.
  • Vermeiden Sie das Trinken von Alkohol während der Behandlung mit Tussionex Pennkinetic EXTENDED-Freisetzung. Alkohol trinken kann Ihre Chancen auf schwerwiegende Nebenwirkungen erhöhen.

Was sind die möglichen Nebenwirkungen der Tussionex-Pennkinetik-Freisetzung?

Tussionex Pennkinetik Extended-Release Suspension may cause serious side effects including:

  • Siehe Was sind die wichtigsten Informationen, die ich über die Tussionex Pennkinetic-Suspension mit erweiterten Freisetzung wissen sollte?
  • Atemprobleme (Atemdepression), die zum Tod führen können. Rufen Sie Ihren Gesundheitsdienstleister an oder erhalten Sie sofort eine Notfallbehandlung, wenn Sie mehr als gewöhnlich schlafen.
  • Erhöhter intrakranieller Druck.
  • Physische Abhängigkeit oder Missbrauch. Nehmen Sie die Tussionex Pennkinetic Extended Release Suspension genau so, wie Ihr Gesundheitsdienstleister Ihnen sagt, dass Sie sie nehmen sollen. Stopping Tussionex Pennkinetik Extended-Release Suspension suddenly can cause withdrawal symptoms.
  • Darmprobleme einschließlich Verstopfung oder Magenschmerzen.

Zu den häufigsten Nebenwirkungen der Tussionex Pennkinetic EXTENDED-Freisetzung gehören:

  • Schläfrigkeit
  • Verwirrung
  • Brechreiz Und Erbrechen
  • Schwierigkeiten zu urinieren
  • Probleme beim Atmen

Dies sind nicht alle möglichen Nebenwirkungen der Tussionex-Pennkinetik-Freisetzung.

Rufen Sie Ihren Arzt an, um medizinische Beratung zu Nebenwirkungen zu erhalten. Sie können die FDA bei 1-800-FDA-1088 Nebenwirkungen melden.

Wie soll ich Tussionex Pennkinetic-Aufhängung verlängert?

  • Lagern Sie die Tussionex Pennkinetic-Suspension mit längerer Freisetzung bei Raumtemperatur zwischen 68 ° F und 77 ° F (20 ° C bis 25 ° C).
  • Werfen Sie sicher die Medizin, das veraltet ist oder nicht mehr benötigt wird.
  • Halten Sie die Tussionex-Pennkinetic-Suspension und alle Medikamente außerhalb der Reichweite der Kinder.

Allgemein information about the safe Und effective use of Tussionex Pennkinetik Extended- Release Suspension.

Medikamente werden manchmal für andere Zwecke als die in einem Medikamentenhandbuch aufgeführten Zwecke verschrieben. Verwenden Sie keine Tussionex-Pennkinetik-Aufhängung für eine Erkrankung für eine Erkrankung, für die sie nicht verschrieben wurde. Geben Sie anderen Menschen keine Tussionex Pennkinetic-Suspension mit verlängerter Freisetzung an, auch wenn sie die gleichen Symptome haben, die Sie haben. Es kann ihnen schaden. Sie können Ihren Apotheker oder Gesundheitsdienstleister um Informationen über die Tussionex-Pennkinetic-Suspension erweitert, die für Angehörige der Gesundheitsberufe geschrieben wurde.

Was sind die Zutaten in der Tussionex-Pennkinetik-Freisetzung?

Wirkstoff: Hydrocodon Polistirex und Chlorpheniramin Polistirexexex
Inaktive Zutaten: Ascorbinsäure d

Dieser Medikamentenhandbuch wurde von den USA genehmigt.