Die Informationen Auf Dieser Website Stellen Keine Medizinische Beratung Dar. Wir Verkaufen Nichts. Die Richtigkeit Der Übersetzung Wird Nicht Garantiert. Haftungsausschluss
Antibiotika, LincosamidLincocin
Drogenzusammenfassung
Was ist Lincocin?
Lincocin (Lincomycin HCL) ist ein Antibiotikum zur Behandlung schwerer bakterieller Infektionen bei Menschen, die keine Penicillin -Antibiotika erhalten.
Was sind Nebenwirkungen von Lincocin?
Was sind die möglichen Nebenwirkungen von Lincocin?
- Mild bis schwerer Durchfall (sogar Monate nach Ihrer letzten Antibiotika -Dosis)
- Starke Magenschmerzen
- Durchfall, das wässrig oder blutig ist (sogar Monate nach Ihrer letzten Dosis)
- wenig oder gar kein Urinieren
- Blasen oder Geschwüre in Ihrem Mund
- rotes oder geschwollenes Zahnfleisch
- Probleme beim Schlucken
- Gelben der Haut oder Augen ( Gelbsucht )
- Fieber
- Schüttelfrost
- Müdigkeit
- Hautwunden
- Einfach Blutergüsse
- ungewöhnliche Blutungen
- blasse Haut
- kalte Hände und Füße
- Benommenheit Und
- Kurzatmigkeit
Holen Sie sich sofort medizinische Hilfe, wenn Sie eines der oben aufgeführten Symptome haben.
Zu den häufigen Nebenwirkungen von Lincocin gehören:
- Brechreiz
- Erbrechen
- geschwollene oder schmerzhafte Zunge
- vaginaler Juckreiz oder Entladung
- milder Juckreiz oder Hautausschlag
- in den Ohren klingeln
- Schwindel
- Spinngefühl
- Durchfall
- Nesselsucht
- Anal Juckreiz und
- Überempfindlichkeitsreaktionen (Hautschwellungsanaphylaxie).
Sagen Sie Ihrem Arzt, wenn Sie ernsthafte Nebenwirkungen von Lincocin haben, einschließlich Durchfall, die wässrig oder blutig sind. weniger als gewöhnlich urinieren oder gar nicht; Fieber kaltschält den Körperschwere mit Grippesymptomen; schwerer blasigen Schälen und roter Hautausschlag; Ich habe das Gefühl, ohnmächtig zu werden; einfache Blutergüsse oder Blutungen ungewöhnliche Schwäche; oder weiße Flecken oder Wunden in Ihrem Mund oder auf Ihren Lippen.
Suchen Sie medizinische Versorgung oder rufen Sie auf einmal 911 an, wenn Sie die folgenden schwerwiegenden Nebenwirkungen haben:
- Schwerwiegende Augensymptome wie plötzlicher Sehverlust verschwommenes Sehen Tunnel Sehschmerzen oder Schwellungen oder Halos in der Umgebung des Lichts;
- Schwerwiegende Herzsymptome wie schnelle unregelmäßige oder pochende Herzschläge; Flattern in deiner Brust; Kurzatmigkeit; und plötzliche Schwindel -Benommenheit oder ohnmächtig;
- Starke Kopfschmerzen Verwirrung verwirrt Spracharm oder Bein Schwäche Schwierigkeiten beim Verlust der Koordination unstabil sehr steifes Muskeln hoher Fieber problemlos Schwitzen oder Zittern.
Dieses Dokument enthält nicht alle möglichen Nebenwirkungen und andere können auftreten. Wenden Sie sich an Ihren Arzt nach zusätzlichen Informationen zu Nebenwirkungen.
Weitere Informationen
Unsere Lincocin (Lincomycin HCL) -Seit Wirkung Drug Center bietet einen umfassenden Überblick über die verfügbaren Arzneimittelinformationen über die potenziellen Nebenwirkungen bei der Einnahme dieses Medikaments.
FDA -Drogeninformationen
- Drogenbeschreibung
- Indikationen
- Dosierung
- Nebenwirkungen
- Warnungen
- Vorsichtsmaßnahmen
- Überdosis
- Klinische Pharmakologie
- Medikamentenhandbuch
Um die Entwicklung von medikamentenresistenten Bakterien zu verringern und die Wirksamkeit von Lincocin und anderen antibakteriellen Arzneimitteln aufrechtzuerhalten, sollten nur Lincocin verwendet werden, um Infektionen zu behandeln oder zu verhindern, dass nachgewiesene oder stark vermutete Verdacht auf Bakterien verursacht werden.
WARNUNG
Clostridium difficile Assoziiertes Durchfall (CDAD) wurde unter Verwendung von nahezu allen antibakteriellen Wirkstoffen, einschließlich Lincocin, berichtet und kann einen Schweregrad von leichten Durchfall bis zu tödlicher Kolitis haben. Die Behandlung mit antibakteriellen Wirkstoffen verändert die normale Flora des Dickdarms C. schwierig .
Da die Lincomycin -Therapie mit schwerer Kolitis in Verbindung gebracht wurde, die tödlich enden kann, sollte sie schwerwiegende Infektionen vorbehalten sein Indikationen Abschnitt. Es sollte nicht bei Patienten mit nicht bakteriellen Infektionen wie den meisten Infektionen der oberen Atemwege angewendet werden.
C. Difficile Produziert Toxine A und B, die zur Entwicklung von CDAD beitragen. Hypertoxin produzieren Stämme von C. schwierig verursachen erhöhte Morbidität und Mortalität, da diese Infektionen gegenüber der antimikrobiellen Therapie refraktär sein können und möglicherweise eine Kolektomie erfordern. CDAD muss bei allen Patienten berücksichtigt werden, die nach antibakterieller Verwendung mit Durchfall auftreten. Eine sorgfältige Anamnese ist erforderlich, da CDAD über zwei Monate nach der Verabreichung von Antibakterienmeistern berichtet wurde.
Wenn CDAD vermutet wird oder bestätigt wird C. schwierig Möglicherweise muss eingestellt werden. Geeignete Antibakterienbehandlung von Flüssigkeits- und Elektrolytmanagementprotein Supplementation von C. schwierig Und surgical evaluation should be instituted as clinically indicated.
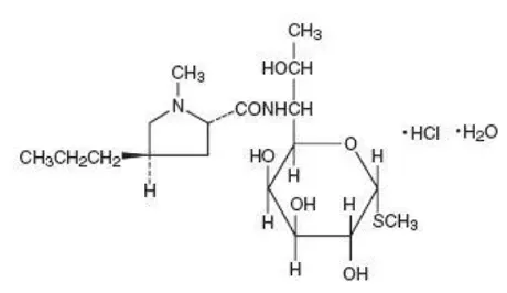
Beschreibung für Lincocin
Die sterile Lincocin -Lösung enthält Lincomycinhydrochlorid, das monohydrierte Salz von Lincomycin A Substanz, das durch das Wachstum eines Mitglieds des Mitglieds erzeugt wird Lincolnensis Gruppe von Streptomyces Lincolnensis (Fam. Streptomycetaceae ). Der chemische Name für Lincomycinhydrochlorid ist Methyl 68-Dideoxy-6- (1-Methyl-trans-4-Propyl-L2-Pyrolidincarboxamido) -1-thio-d-Eerythro-D-Galacto-Octopyranosid-Monohydrochlorid-Monohyhydriat. Die molekulare Formel von Lincomycinhydrochlorid ist c 18 H 34 N 2 O 6 S.HCl.H 2 O und das Molekulargewicht beträgt 461.01.
Die strukturelle Formel ist unten dargestellt:
|
Lincomycinhydrochlorid ist ein weißes oder praktisch weißes kristallines Pulver und ist geruchlos oder hat einen schwachen Geruch. Seine Lösungen sind saur und dextrorotatorisch. Lincomycinhydrochlorid ist in Wasser frei löslich; Löslich in Dimethylformamid und in Aceton sehr leicht löslich.
Verwendung für Lincocin
Lincocin ist bei der Behandlung schwerwiegender Infektionen aufgrund anfälliger Stämme von Streptokokken -Pneumokokken und Staphylococci angezeigt. Seine Verwendung sollte penicillin-allergischem Patienten oder anderen Patienten vorbehalten sein, für die im Urteil des Arztes ein Penicillin unangemessen ist. Wegen des Risikos von CDAD, wie in der beschrieben WARNUNG BOXED Vor der Auswahl von Lincomycin sollte der Arzt die Art der Infektion und die Eignung anderer Alternativen berücksichtigen.
Die angegebenen chirurgischen Eingriffe sollten in Verbindung mit einer antibakteriellen Therapie durchgeführt werden.
Lincocin kann gleichzeitig mit anderen antimikrobiellen Wirkstoffen verabreicht werden, wenn sie angegeben sind.
Lincocin ist bei der Behandlung kleinerer bakterieller Infektionen oder Virusinfektionen nicht angegeben.
Was wird Synthroid zur Behandlung verwendet?
Um die Entwicklung von medikamentenresistenten Bakterien zu verringern und die Wirksamkeit von Lincocin und anderen antibakteriellen Arzneimitteln aufrechtzuerhalten, sollten nur Lincocin verwendet werden, um Infektionen zu behandeln oder zu verhindern, dass nachgewiesene oder stark vermutete Verdacht auf anfällige Bakterien verursacht werden. Wenn Kultur- und Anfälligkeitsinformationen verfügbar sind, sollten sie bei der Auswahl oder Modifizierung der antibakteriellen Therapie in Betracht gezogen werden. In Ermangelung solcher Daten können lokale Epidemiologie- und Empfindlichkeitsmuster zur empirischen Auswahl der Therapie beitragen.
Dosierung for Lincocin
Wenn ein signifikanter Durchfall während der Therapie auftritt, sollte Lincocin abgesetzt werden. (sehen WARNUNG BOXED )
Intramuskulär
Erwachsene
Schwerwiegende Infektionen - 600 mg (2 ml) intramuskulär alle 24 Stunden. Schwerere Infektionen - 600 mg (2 ml) intramuskulär alle 12 Stunden oder öfter. Pädiatrische Patienten über 1 Monat im Alter: Schwerwiegende Infektionen - Eine intramuskuläre Injektion von 10 mg/kg (5 mg/lb) alle 24 Stunden. Schwerere Infektionen - Eine intramuskuläre Injektion von 10 mg/kg (5 mg/lb) alle 12 Stunden oder öfter.
Intravenös
Erwachsene
Die intravenöse Dosis wird durch die Schwere der Infektion bestimmt. Für schwerwiegende Infektionen werden alle 8 bis 12 Stunden Dosen von 600 mg Lincomycin (2 ml Lincocin) bis 1 Gramm verabreicht. Bei schwereren Infektionen müssen diese Dosen möglicherweise erhöht werden. In lebensbedrohlichen Situationen wurden tägliche intravenöse Dosen von bis zu 8 Gramm gegeben. Intravenös doses are given on the basis of 1 Gramm of lincomycin diluted in not less than 100 ml of appropriate solution (see PHYSICAL COMPATIBILITIES) Und infused over a period of not less than one hour.
Polyethylenglykolpulver für orale Lösung
| Dosis | Vol. Verdünnung | Zeit |
| 600 mg | 100 ml | 1 Stunde |
| 1 Gramm | 100 ml | 1 Stunde |
| 2 Gramm | 200 ml | 2 Std |
| 3 Gramms | 300 ml | 3 Std |
| 4 Gramms | 400 ml | 4 Stunden |
Diese Dosen können so oft wie erforderlich bis zur Grenze der maximal empfohlenen täglichen Dosis von 8 Gramm Lincomycin wiederholt werden.
Pädiatrische Patienten über 1 Monat alt: 10 bis 20 mg/kg/Tag (5 bis 10 mg/lb/Tag), abhängig vom Schweregrad der Infektion können in geteilte Dosen infundiert werden, wie oben beschrieben für Erwachsene.
NOTIZ: Es sind schwere kardiopulmonale Reaktionen aufgetreten, wenn Lincocin mit größerer als der empfohlenen Konzentration und Geschwindigkeit verabreicht wurde (siehe VORSICHTSMASSNAHMEN ).
Subkonjunktivalinjektion
0,25 ml (75 mg) injizierte subkonjunktival injizierte Augenflüssigkeitskonzentrationen von antibakteriellen (mindestens 5 Stunden dauern), die für die meisten anfälligen Pathogene ausreichen.
Patienten mit Nierenbehinderung
Wenn bei Personen mit schwerer Nierenbeeinträchtigung eine geeignete Dosis 25 bis 30% der empfohlenen Patienten mit normalerweise funktionierenden Nieren beträgt (siehe VORSICHTSMASSNAHMEN ).
Parenterale Arzneimittel sollten vor der Verabreichung visuell auf Partikel und Verfärbungen untersucht werden, wenn Lösung und Behälter dies zulassen.
Wie geliefert
Lagerung und Handhabung
Lincocin (Lincomycin Injection USP) ist in den folgenden Festigkeits- und Paketgrößen als sterile klare und farblose Lösung erhältlich:
| Verkaufseinheit | Konzentration |
| NDC 0009-0555-01 oder NDC 0009-0104-04 2 ml Mehrfachdosis-Fläschchen | 600 mg/2 mL (300 mg/ml) |
| NDC 0009-0555-02 oder NDC 0009-0107-04 10 ml Mehrfachdosis-Fläschchen | 3000 mg/10 ml (300 mg/ml) |
Jedes Ml Lincocin enthält 300 mg Lincomycin (äquivalent zu 340 mg Lincomycinhydrochlorid USP); Auch Benzylalkohol 9,45 mg als Konservierungsmittel hinzugefügt.
Lagern Sie bei kontrollierter Raumtemperatur von 20 ° bis 25 ° C (68 ° bis 77 ° F) [siehe USP].
Von Pharmacia verteilt
Nebenwirkungen für Lincocin
Die folgenden nachteiligen Reaktionen wurden unter Verwendung von Lincomycin berichtet.
Magen -Darm -Störungen
Durchfall Übelkeit erbrechen Glossitis Stomatitis Bauchschmerzen Bauchbeschwerden † Analpruritus
Haut- und subkutane Gewebeerkrankungen
Toxische epidermale Nekrolyse Stevens-Johnson-Syndrom akute verallgemeinerte exanthematöse Pustulose Dermatitis Bullous Dermatitis Exfoliativ erythem multiforme (siehe WARNUNGS ) Ausschlag Urtikaria
Infektionen und Befall
Vaginalinfektion Pseudomembran Colitis Clostridioides difficile Kolitis (siehe WARNUNGS )
Blut- und Lymphsystemstörungen
Pancytopenia Agranulozytose Aplastische Anämie Leukopenie Neutropenie Thrombozytopenische Purpura
Immunsystemstörungen
Anaphylaktische Reaktion (siehe WARNUNGS ) Angioödem -Serumkrankheit
Lebererkrankungen
Gelbsucht Der Leberfunktionstest stieg abnormale Transaminasen
Nieren- und Harnstörungen
Nierenbehinderung Oligurie Proteinurie Azotämie
Herzerkrankungen
Kardio-respiratorische Verhaftung (siehe Dosierung und Verwaltung )
Gefäßstörungen
Hypotonie (siehe Dosierung und Verwaltung ) thrombophlebitis †
Ohr- und Labyrinthstörungen
Schwindel Tinnitus
Neurologische Störungen
Kopfschmerz Schwindel -Somnolence
Allgemeine Erkrankungen und Verwaltungsortbedingungen
Spritzstelle Abszess Steril ‡ Injektionsstelle Verhinderung ‡ Injektionsstelle Schmerzen ‡ Injektionsstelle Irritation ‡
† Das Ereignis wurde mit intravenöser Injektion berichtet.
‡ Berichtet mit intramuskulärer Injektion.
Wechselwirkungen zwischen Arzneimitteln für Lincocin
Es wurde gezeigt, dass Lincomycin neuromuskuläre Blockierungseigenschaften aufweist, die die Wirkung anderer neuromuskulärer Blockiermittel verbessern können. Daher sollte es bei Patienten, die solche Wirkstoffe erhalten, mit Vorsicht verwendet werden.
Warnungen for Lincocin
Siehe WARNUNG BOXED.
Clostridioides difficile assoziiertes Durchfall
Clostridioides difficile Assoziiertes Durchfall (CDAD) wurde unter Verwendung von nahezu allen antibakteriellen Wirkstoffen, einschließlich Lincomycin, berichtet und kann von leichten Durchfall bis zu tödlicher Kolitis in Schweregrad reichen. Die Behandlung mit antibakteriellen Wirkstoffen verändert die normale Flora des Dickdarms C. schwierig .
C. schwierig Produziert Toxine A und B, die zur Entwicklung von CDAD beitragen. Hypertoxin produzieren Stämme von C. schwierig verursachen erhöhte Morbidität und Mortalität, da diese Infektionen gegenüber der antimikrobiellen Therapie refraktär sein können und möglicherweise eine Kolektomie erfordern.
CDAD muss bei allen Patienten berücksichtigt werden, die nach antibakterieller Verwendung mit Durchfall auftreten. Eine sorgfältige Anamnese ist erforderlich, da CDAD über zwei Monate nach der Verabreichung von Antibakterienmeistern berichtet wurde.
Wenn CDAD vermutet wird oder bestätigt wird C. schwierig Möglicherweise muss eingestellt werden. Geeignete Antibakterienbehandlung von Flüssigkeits- und Elektrolytmanagementprotein Supplementation von C. schwierig Und surgical evaluation should be instituted as clinically indicated.
Überempfindlichkeit
Schwere Überempfindlichkeitsreaktionen, einschließlich anaphylaktischer Reaktionen und schwerer kutaner Nebenwirkungen (SCAR) wie Stevens-Johnson-Syndrom (SJS), toxische epidermale Nekrolyse (zehn) akute verallgemeinerte exanthematische Pustulose (AGEP), die bei Patienten erhalten wurden, wurden bei Patienten erhalten. Wenn eine anaphylaktische Reaktion oder eine schwere Hautreaktion auftritt, sollte Lincocin abgesetzt werden und eine angemessene Therapie eingeleitet werden. (sehen Nebenwirkungen )
Benzylalkoholtoxizität bei pädiatrischen Patienten (nach Luft schnappendes Syndrom)
Lincocin enthält Benzylalkohol als Konservierungsmittel.
Was ist die höchste Dosis Oxycodon
Der konservative Benzylalkohol wurde mit schwerwiegenden unerwünschten Ereignissen in Verbindung gebracht, darunter das nach Luft schnappende Syndrom und Tod bei pädiatrischen Patienten. Obwohl normale therapeutische Dosen dieses Produkts normalerweise Mengen an Benzylalkohol liefern, die wesentlich niedriger sind als die in Verbindung mit dem nach Luft schnappenden Syndrom, ist die Mindestmenge an Benzylalkohol, bei der Toxizität auftreten kann, nicht bekannt. Das Risiko einer Benzylalkoholtoxizität hängt von der verabreichten Menge und der Kapazität der Leber und der Nierenkapazität zur Entgiftung der Chemikalie ab. Vorzeitige Säuglinge mit niedrigem Geburtsgewicht können eher Toxizität entwickeln.
Für den Einsatz bei Meningitis unzureichend
Obwohl Lincomycin in die Cerebrospinalflüssigkeitskonzentrationen von Lincomycin im CSF in cerebrospinalen Flüssigkeitskonzentrationen diffundiert zu sein scheint, kann es für die Behandlung von Meningitis unzureichend sein.
Vorsichtsmaßnahmen for Lincocin
Allgemein
Die bisherige Überprüfung der Erfahrungen legt nahe, dass eine Untergruppe älterer Patienten mit schwerer schwerer Krankheit durch Durchfall weniger gut vertragen kann. Wenn Lincocin bei diesen Patienten angezeigt wird, sollten sie sorgfältig auf Änderungen der Darmfrequenz überwacht werden.
Lincocin sollte bei Personen mit Magen -Darm -Erkrankungen, insbesondere bei Colitis, mit Vorsicht vorgeschrieben werden.
Lincocin sollte bei Patienten mit Asthma oder signifikanten Allergien mit Vorsicht verwendet werden.
Bestimmte Infektionen können zusätzlich zur antibakteriellen Therapie Inzision und Entwässerung oder andere angegebene chirurgische Eingriffe erfordern.
Die Verwendung von Lincocin kann zu einem Überwachsen von nicht merkwürdigen Organismen führen, insbesondere von Hefen. Sollten Superinfektionen auftreten, sollten geeignete Maßnahmen ergriffen werden, wie in der klinischen Situation angezeigt. Bei Patienten mit bereits bestehend Candida Infektionen erfordern, dass eine Therapie mit Lincocin -zuschließender antimykotischer Behandlung erforderlich ist.
Die Serum Halbwertszeit von Lincomycin kann bei Patienten mit schwerer Nierenbeeinträchtigung im Vergleich zu Patienten mit normaler Nierenfunktion verlängert werden. Bei Patienten mit Leberfunktionsstörungen kann die Serum-Halbwertszeit doppelt länger sein als bei Patienten mit normaler Leberfunktion.
Patienten mit schwerer Nierenbeeinträchtigung und/oder Leberbeeinträchtigungen sollten mit Vorsicht und Serumlinie-Linkocin-Konzentrationen dosiert werden, die während einer hochdosierten Therapie überwacht werden. (sehen Dosierung und Verwaltung )
Lincomycin muss vor der intravenösen Infusion verdünnt werden. Für intravenöse Infusion infundieren Sie über mindestens 60 Minuten, wie in der Anweisung Dosierung und Verwaltung Abschnitt. Nicht als intravenöser Bolus verabreichen. Schwere kardiopulmonale Reaktionen sind größer als die empfohlene Konzentration und Geschwindigkeit.
Es ist unwahrscheinlich, dass Lincocin in Ermangelung einer nachgewiesenen oder stark vermuteten bakteriellen Infektion oder einer prophylaktischen Indikation dem Patienten einen Nutzen bringt und das Risiko für die Entwicklung von medikamentenresistenten Bakterien erhöht.
Labortests
Während einer längeren Therapie mit Lincocin -periodischen Leber- und Nierenfunktionstests und Blutzahlen sollten durchgeführt werden.
Dextrose 50 IV drängen auf Hypoglykämie
Karzinogenese -Mutagenese -Beeinträchtigung der Fruchtbarkeit
Das krebserzeugende Potential von Lincomycin wurde nicht bewertet.
Lincomycin war in den Ames nicht mutagener mutagen Salmonellen Reversion -Assay oder die V79 Chinesischen Hamster -Lungenzellen am HGPRT -Ort. Es induzierte keine DNA -Strangbrüche in den chinesischen Hamster -Lungenzellen von V79, gemessen durch alkalische Elution oder chromosomale Anomalien in kultivierten menschlichen Lymphozyten. Vergeblich Lincomycin war sowohl in den Ratten- als auch in den Maus-Mikronukleus-Assays negativ und induzierte keine sexuellen rezessiven letalen Mutationen in den Nachkommen von Männern Drosophila . Lincomycin verursachte jedoch außerplanmäßige DNA -Synthesen in frisch isolierten Rattenhepatozyten.
Eine Beeinträchtigung der Fruchtbarkeit wurde bei männlichen oder weiblichen Ratten nicht beobachtet 2 ).
Schwangerschaft
Es gibt keine angemessenen und gut kontrollierten Studien bei schwangeren Frauen. Die sterile Lincocin -Lösung enthält Benzylalkohol als Konservierungsmittel. Benzylalkohol kann die Plazenta überqueren. Sehen WARNUNGS . Lincocin sollte während der Schwangerschaft nur bei Bedarf verwendet werden.
Teratogene Wirkungen
In einer Studie mit 60 schwangeren Frauen -Nabel -Serumkonzentrationen betrugen ungefähr 25% der mütterlichen Serumkonzentrationen, was darauf hinweist, dass Lincomycin die Plazenta überschreitet und keine wesentliche Akkumulation in der Fruchtwasserflüssigkeit auftrat. Erfahrung mit 345 geburtshilflichen Patienten, die Lincocin erhielten, zeigten keine negativen Auswirkungen auf die Schwangerschaft.
Es gab keine Hinweise auf Teratogenität, wenn Lincomycin während des Zeitraums der wichtigsten Organogenese in Dosen von bis zu 5000 mg/kg (ungefähr das 6 -fache der maximal empfohlenen menschlichen Dosis [MRHD] basierend auf dem Vergleich von Körperoberflächen) während des Zeitraums der schweren Organogenese in der Ernährung an schwangere Sprague -Dawley -Ratten verabreicht wurde.
Nichtteratogene Wirkungen
Fortpflanzungsstudien, die bei Ratten durchgeführt wurden, wurden orale Lincomycin in der Ernährung 2 Wochen vor der Paarung während der gesamten Schwangerschaft und der Laktation nicht nachteilig auf das Überleben von Nachkommen von der Geburt bis zum Entwöhnungsabsatz bei Dosen von bis zu 1000 mg/kg (NULL,2 -fach der auf Basis von Körperoberflächenvergleich) bis zu 2 Generationen durchgeführte Auswirkungen.
Pflegemütter
Es wurde berichtet, dass Lincomycin in Konzentrationen von 0,5 bis 2,4 mcg/ml in der Muttermilch auftritt. Aufgrund des Potenzials für schwerwiegende Nebenwirkungen bei Säuglingen von Lincocin sollte eine Entscheidung getroffen werden, ob die Pflege eingestellt oder die Droge eingestellt werden soll, um die Bedeutung des Arzneimittels für die Mutter zu berücksichtigen.
Pädiatrische Verwendung
Lincocin enthält Benzylalkohol als Konservierungsmittel. Benzyl alcohol has been associated with a fatal Gasping Syndrome in premature infants. See WARNUNGS . Sicherheit und Wirksamkeit bei pädiatrischen Patienten unter dem Alter von einem Monat wurden nicht festgestellt. (sehen Dosierung und Verwaltung )
Überdosierungsinformationen für Lincocin
Die Serumkonzentrationen von Lincomycin werden von Hämodialyse und Peritonealdialyse nicht merklich betroffen.
Kontraindikationen für Lincocin
Lincocin ist bei Patienten kontraindiziert, die zuvor überempfindlich gegenüber Lincomycin oder Clindamycin überempfelt sind.
Klinische Pharmakologie for Lincocin
Intramuskulär administration of a single dose of 600 mg of lincomycin produces average peak serum concentrations of 11.6 mcg/mL at 60 minutes Und maintains therapeutic concentrations for 17 to 20 hours for most susceptible gram-positive organisms. Urinary excretion after this dose ranges from 1.8 to 24.8 percent (mean: 17.3 percent).
Eine zweistündige intravenöse Infusion von 600 mg Lincomycin erreicht durchschnittliche Spitzenserumkonzentrationen von 15,9 mcg/ml und behält für die meisten anfälligen Gram-positiven Organismen 14 Stunden lang therapeutische Konzentrationen auf. Die Harnausscheidung reicht von 4,9 bis 30,3 Prozent (Mittelwert: 13,8 Prozent).
Die biologische Halbwertszeit nach intramuskulärer oder intravenöser Verabreichung beträgt 5,4 ± 1,0 Stunden. Die Serum Halbwertszeit von Lincomycin kann bei Patienten mit schwerer Nierenbeeinträchtigung im Vergleich zu Patienten mit normaler Nierenfunktion verlängert werden. Bei Patienten mit Leberfunktionsstörungen kann die Serum-Halbwertszeit doppelt länger sein als bei Patienten mit normaler Leberfunktion. Hämodialyse und Peritonealdialyse sind bei der Entfernung von Lincomycin aus dem Serum nicht wirksam.
Gewebeverteilungsstudien deuten darauf hin sogar ist ein wichtiger Weg der Ausscheidung. In den meisten Körpergeweben wurden signifikante Konzentrationen nachgewiesen. Obwohl Lincomycin in die CSF -Konzentrationen von Cerebrospinalflüssigkeit (CSF) in der CSF -Konzentration von Lincomycin in der CSF zu diffundieren scheint.
Mikrobiologie
Wirkungsmechanismus
Lincomycin hemmt die bakterielle Proteinsynthese durch Bindung an die 23S -RNA der 50S -Untereinheit des bakteriellen Ribosoms. Lincomycin ist überwiegend bakteriostatisch in vitro .
Widerstand
Zwischen Clindamycin und Lincomycin wurde Kreuzresistenz nachgewiesen. Die Resistenz ist am häufigsten auf die Methylierung spezifischer Nukleotide in der 23S -RNA der 50S -ribosomalen Untereinheit zurückzuführen, die die Kreuzresistenz gegen Makrolide und Streptogramine B (MLSB -Phänotyp) bestimmen kann. Makrolidbeständige Isolate dieser Organismen sollten unter Verwendung des D-Zone-Tests oder einer anderen geeigneten Methode auf induzierbare Resistenz gegen Lincomycin/Clindamycin getestet werden.
Antimikrobielle Aktivität
Es wurde gezeigt, dass Lincomycin gegen die meisten Stämme der folgenden Bakterien aktiv ist beide in vitro Und in clinical infections: (see Indikationen ).
Staphylococcus aureus
Streptococcus pneumoniae
Ace -Enzyme
Die folgende in vitro Daten sind verfügbar, aber ihre klinische Bedeutung ist unbekannt.
Es wurde gezeigt, dass Lincomycin aktiv ist in vitro gegen die folgenden Mikroorganismen; Die Sicherheit und Wirksamkeit von Lincocin bei der Behandlung klinischer Infektionen aufgrund dieser Organismen wurde jedoch in angemessenen und gut kontrollierten Studien nicht festgestellt.
Grampositive Bakterien
CoryNebacterium diphtheriae
Streptococcus pyogenes
Viridans Group Streptococci
Anaerobe Bakterien
Clostridium tetani
Clostridium Perflingens
Empfindlichkeitstest
Für spezifische Informationen zu Suszeptibilitätstest -Interpretationskriterien und zugehörigen Testmethoden und Qualitätskontrollstandards, die von der FDA für dieses Medikament erkannt wurden, siehe: https://www.fda.gov/stic.
Animal Pharmakology
Vergeblich Experimentelle Tierstudien zeigten die Wirksamkeit von Lincocin -Präparaten (Lincomycin) beim Schutz von Tieren, die mit infizierten Tieren infiziert sind Streptococcus viridans β- Hämolytischer Streptokokken Staphylococcus aureus Streptococcus pneumoniae Und Leptospira Pomona . Es war Ineffektiv in Klebsiella Pasteurella Pseudomonas Salmonella Und Shigella Infektionen.
Physische Kompatibilität
Physisch kompatibel für 24 Stunden bei Raumtemperatur, sofern nicht anders angegeben.
Infusionslösungen
5% Dextrose -Injektion
10% Dextrose -Injektion
5% Dextrose und 0,9% Natriumchloridinjektion
10% Dextrose und 0,9% Natriumchloridinjektion
Ringers Injektion
1/6 m Natriumlaktatinjektion
Travert 10%-Elektrolyt Nr. 1 1
Dextran in Kochsalzlösung 6% w/v
Vitamine in Infusionslösungen
B-Komplex
B-Komplex with Ascorbic Acid
Antibakteriell in Infusionslösungen
Penicillin g Natrium (4 Stunden zufriedenstellend)
Cephalothin
Tetracyclin HCl
Cephaloridin
Colistimethate (zufriedenstellend für 4 Stunden)
Ampicillin
Methicillin
Chloramphenicol
Polymyxin B Sulfat
Physisch inkompatibel mit
Novocin
Kanamycin
Es sollte betont werden, dass die kompatiblen und inkompatiblen Bestimmungen physikalische Beobachtungen nur nicht chemische Bestimmungen sind. Eine angemessene klinische Bewertung der Sicherheit und Wirksamkeit dieser Kombinationen wurde nicht durchgeführt.
Patienteninformationen für Lincocin
Die Patienten sollten beraten werden, dass antibakterielle Medikamente einschließlich Lincocin nur zur Behandlung von bakteriellen Infektionen eingesetzt werden sollten. Sie behandeln keine Virusinfektionen (z. B. die Erkältung). Wenn Lincocin zur Behandlung einer bakteriellen Infektion verschrieben wird, sollte Patienten mitgeteilt werden, dass es zwar üblich ist, sich im Verlauf der Therapie besser zu fühlen, sollten die Medikamente genau wie angeführt eingenommen werden. Das Überspringen von Dosen oder Nichtabschließung des gesamten Therapieverlaufs kann (1) die Wirksamkeit der sofortigen Behandlung verringern und (2) die Wahrscheinlichkeit erhöhen, dass Bakterien Resistenz entwickeln und in Zukunft nicht durch Lincocin oder andere antibakterielle Arzneimittel behandelt werden können.
Durchfall ist ein häufiges Problem, das durch antibakterielles Problem verursacht wird, das normalerweise endet, wenn das antibakterielle abgesetzt wird. Manchmal kann nach Beginn der Behandlung mit einem antibakteriellen Patienten wässrige und blutige Stühle (mit oder ohne Magenkrämpfe und Fieber) auch noch zwei oder mehr Monate nach der letzten Dosis des antibakteriellen Dosis entwickeln. Wenn dies auftritt, sollten Patienten so bald wie möglich ihren Arzt kontaktieren.