Die Informationen Auf Dieser Website Stellen Keine Medizinische Beratung Dar. Wir Verkaufen Nichts. Die Richtigkeit Der Übersetzung Wird Nicht Garantiert. Haftungsausschluss
Antineoplastik, GnRH -Agonisten
Lupron Depot
Drogenzusammenfassung
Was ist Lupron Depot?
Lupron Depot (Leuprolidacetat für die Depotsuspension) ist eine künstliche Form des Gonadotropin-freisetzenden Hormons (GNRH), die bei Männern verwendet wird, um die Symptome von Prostatakrebs zu behandeln. Lupron Depot wird bei Frauen verwendet, um Symptome von zu behandeln Endometriose (Überwachsen der Gebärmutterfutter außerhalb der Uterus ) oder Uterusmyome und wird auch verwendet, um die frühreife (früh einsetzende) Pubertät sowohl bei männlichen als auch bei weiblichen Kindern zu behandeln.
Was sind Nebenwirkungen von Lupron Depot?
Lupron Depot may cause serious side effects including:
- Nesselsucht
- Schwierigkeiten beim Atmen
- Schwellung Ihrer Gesichtslippen Zunge oder Hals
- schwerer Schwindel
- Schneller Herzschlag
- Fieber
- Halsschmerzen
- Brennen in deinen Augen
- Hautschmerzen
- Rot oder lila Hautausschlag, der sich ausbreitet und das Blasen- und Schälen verursacht
- Plötzliche schwere Kopfschmerzen
- Erbrechen
- Probleme mit Ihren Augen oder Sehen
- Stimmung oder Verhalten
- Knochenschmerzen
- Bewegungsverlust in einem Teil Ihres Körpers
- Schwellung
- Schnelle Gewichtszunahme
- Beschlagnahme
- weinende Zauber
- Wut
- Reizbarkeit
- Plötzliche Brustschmerzen oder Beschwerden
- Keuchen
- Trockener Husten
- schmerzhaftes oder schwieriges Urinieren
- Erhöhter Durst
- erhöhtes Wasserlassen
- Hunger
- Trockener Mund
- Fruchtiger Atemgeruch
- Schmerz oder ungewöhnliche Empfindungen im Rücken
- Taubheit
- Schwäche
- Gefühl in deinen Beinen oder Füßen
- Muskelschwäche
- Nutzungsverlust
- Darmverlust oder Blase Kontrolle
- Brustschmerzen oder Druck
- Schmerzen, die sich auf Ihren Kiefer oder Ihre Schulter ausbreiten
- Brechreiz
- Schwitzen
- plötzliche Taubheit
- Schwäche (especially on one side of your body)
- Plötzliche schwere Kopfschmerzen and
- verschwommene Rede
Holen Sie sich sofort medizinische Hilfe, wenn Sie eines der oben aufgeführten Symptome haben.
Zu den häufigen Nebenwirkungen des Lupron -Depots gehören:
- Hitzewallungen (Flushing)
- Erhöhtes Schwitzen
- Nachtschweiß
- Schüttelfrost
- feuchte Haut
- Müdigkeit
- Schwellung of the ankles/feet
- erhöhtes Wasserlassen at night
- Mental/Stimmungsveränderungen (z. B. Stimmungsschwankungen)
- Schwindel
- Reaktionen der Injektionsstelle (brennende Rötung schmerzhafter Schwellung stechen Abszess )
- Akne
- Erhöhtes Wachstum des Gesichtshaares
- Durchbruchblutungen bei einem weiblichen Kind in den ersten 2 Monaten der LUPRON -Depotbehandlung
- Schwäche
- Brechreiz
- Durchfall
- Verstopfung
- Magenschmerzen
- Hautrötung/ Juckreiz/ Skalierung
- Gelenk- oder Muskelschmerzen
- vaginaler Juckreiz oder Entladung
- Brustschwellung oder Zärtlichkeit
- Hodenschmerzen
- Impotenz
- Interesse des Sexs an Sex
- Schlafprobleme (Schlaflosigkeit)
- Ausschlag (einschließlich eines schmerzhaften Ausschlags mit Fieber)
- Speicherprobleme
- Blasen/Wunden
- Gesichtsschwellung
- Vaginitis
- Gewichtszunahme
- Kopfschmerzen
Suchen Sie medizinische Versorgung oder rufen Sie auf einmal 911 an, wenn Sie die folgenden schwerwiegenden Nebenwirkungen haben:
- Schwerwiegende Augensymptome wie plötzlicher Sehverlust verschwommenes Sehen Tunnel Sehschmerzen oder Schwellungen oder Halos in der Umgebung des Lichts;
- Schwerwiegende Herzsymptome wie schnelle unregelmäßige oder pochende Herzschläge; Flattern in deiner Brust; Kurzatmigkeit; und plötzlich Schwindel Benommenheit oder ohnmächtig;
- Starke Kopfschmerzen Verwirrung verwirrt Spracharm oder Bein Schwäche Schwierigkeiten beim Verlust der Koordination unstabil sehr steifes Muskeln hoher Fieber problemlos Schwitzen oder Zittern.
Dieses Dokument enthält nicht alle möglichen Nebenwirkungen und andere können auftreten. Wenden Sie sich an Ihren Arzt nach zusätzlichen Informationen zu Nebenwirkungen.
Dosierung für Lupron Depot
Die empfohlene Dosis von Lupron Depot 22,5 mg für die 3-Monats-Verabreichung ist alle 12 Wochen eine Injektion. Die empfohlene Dosis von Lupron Depot 30 mg für die 4-Monats-Verabreichung ist alle 16 Wochen eine Injektion. Es wird unter Arztaufsicht verabreicht.
Welche Medikamentensubstanzen oder Nahrungsergänzungsmittel interagieren mit Lupron Depot?
Andere Medikamente können mit Lupron Depot interagieren. Sagen Sie Ihrem Arzt alle Medikamente und Nahrungsergänzungsmittel, die Sie verwenden.
Lupron Depot During Schwangerschaft and Breastfeeding
Lupron Depot must not be used during pregnancy. It may harm a fetus. If you become pregnant or think you may be pregnant inform your doctor. Consult your doctor to discuss birth Kontrolle. Non-hormonal birth Kontrolle methods are recommended. It is unknown if this drug passes into breast milk. Because the effects on a nursing infant are unknown breastfeeding is not recommended.
Weitere Informationen
Unser Lupron -Depot (Leuprolidacetat für Depotsuspension) Nebenwirkungen Arzneimittelzentrum bietet eine umfassende Übersicht über verfügbare Arzneimittelinformationen über die potenziellen Nebenwirkungen bei der Einnahme dieses Medikaments.
FDA -Drogeninformationen
- Drogenbeschreibung
- Indikationen
- Nebenwirkungen
- Warnungen
- Überdosis
- Klinische Pharmakologie
- Medikamentenhandbuch
Beschreibung für Lupron Depot
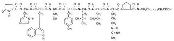
Leuprolidacetat ist ein synthetisches Nonapeptid-Analogon des natürlich vorkommenden Gonadotropin-Releasing-Hormons (GNRH). Das Analogon besitzt eine größere Potenz als das natürliche Hormon. Der chemische Name ist 5-Oxo-L-Prolyl-L-Histidyl-L-Tryptophyl-L-Seryl-L-Tyrosyl-D-Leucyl-L-Leucyll-Arginyl-N-Ethyl-L-Prolinamid-Acetat (Salz) mit der folgenden strukturellen Formel:
|
Das Lupron-Depot 7,5 mg für eine 1-Monats-Verabreichung ist in einer vorgefüllten Dual-Kammer-Spritze verfügbar, die sterile lyophilisierte Mikrokugeln enthält, die beim Mischung mit Verdünnung zu einer Suspension wird, die als monatliche intramuskuläre Injektion gedacht ist.
Die vordere Kammer des Lupron-Depots 7,5 mg für eine vorgefüllte zweikammer-Spritze von 1 Monaten enthält Leuprolidacetat (NULL,5 mg) Gelatine (NULL,3 mg) dl-lactic und Glykolsäuren Copolyer (NULL,2 mg) und D-Mannit (NULL,2 MG). Die zweite Verdünnungskammer enthält Carboxymethylcellulose-Natrium (5 mg) D-Mannitol (50 mg) Polysorbat 80 (1 mg) Wasser zur Injektion USP und Gletscher Essigsäure USP zur Kontrolle pH.
Das Lupron-Depot 22,5 mg für die 3-Monats-Verabreichung ist in einer vorgefüllten Dual-Kammer-Spritze erhältlich, die sterile lyophilisierte Mikrokugeln enthält, die beim Mischung mit Verdünnung zu einer Suspension werden, die als intramuskuläre Injektion bestimmt ist, die alle 12 Wochen einmal verabreicht werden soll.
Die vordere Kammer des Lupron-Depots 22,5 mg für die 3-monatige vorgefüllte Dual-Kammer-Spritze enthält Leuprolidacetat (NULL,5 mg) Polylactsäure (NULL,6 mg) und Dmannit (NULL,9 mg). Die zweite Verdünnungskammer enthält Carboxymethylcellulose-Natrium (NULL,5 mg) D-Mannitol (NULL,0 mg) Polysorbat 80 (NULL,5 mg) Wasser für Injektion USP und Gletscher Essigsäure USP zur Kontrolle pH.
Das Lupron-Depot 30 mg für die 4-Monats-Verabreichung ist in einer vorgefüllten Dual-Kammer-Spritze erhältlich, die sterile lyophilisierte Mikrokugeln enthält, die beim Mischung mit Verdünnung zu einer Suspension werden, die als intramuskuläre Injektion bestimmt ist, die alle 16 Wochen verabreicht werden soll.
Die vordere Kammer des Lupron-Depots 30 mg für die 4-Monats-Verabreichung, die eine zweikammer-Spritze vorgefüllt hat, enthält Leuprolidacetat (30 mg) Polyltsäure (NULL,8 mg) und D-Mannitol (NULL,9 mg). Die zweite Verdünnungskammer enthält Carboxymethylcellulose -Natrium (NULL,5 mg) Dmannitol (NULL,0 mg) Polysorbat 80 (NULL,5 mg) Wasser für Injektions USP und Gletscher Essigsäure USP zur Kontrolle pH.
Das Lupron-Depot 45 mg für die 6-Monats-Verabreichung ist in einer vorgefüllten Dual-Kammer-Spritze verfügbar, die sterile lyophilisierte Mikrokugeln enthält, die beim Mischung mit Verdünnung zu einer Suspension werden, die als intramuskuläre Injektion bestimmt ist, die alle 24 Wochen verabreicht werden soll.
Die vordere Kammer des Lupron-Depots 45 mg für die 6-monatige vorgefüllte Doppelkammerspritze enthält Leuprolidacetat (45 mg) Polylinsäure (NULL,9 mg) D-Mannit (NULL,7 mg) und Stearinsäure (NULL,1 mg). Die zweite Verdünnungskammer enthält Carboxymethylcellulose-Natrium (NULL,5 mg) D-Mannitol (NULL,0 mg) Polysorbat 80 (NULL,5 mg) Wasser für Injektion USP und Gletscher Essigsäure USP zur Kontrolle pH.
Nebenwirkungen von Nizoral Anti -Dandruff -Shampoo
Verwendung für Lupron Depot
Das Lupron-Depot-PED ist für die Behandlung von pädiatrischen Patienten mit zentraler vorzeitiger Pubertät (CPP) angezeigt.
Dosierung für Lupron Depot
Wichtige Dosierungsinformationen
- Lupron Depot-Ped muss von einem Gesundheitsberuf verabreicht werden.
- Individualisieren Sie die Dosis von Lupron-Depot-PED für jeden Patienten.
- Wählen Sie die entsprechende Ped-Spritze von Lupron-Depot für die beabsichtigte Dosierfrequenz und verabreichen Sie es intramuskulär.
- Jede LUPRON-Depot-Ped-Stärke und -formulierung weist unterschiedliche Freisetzungseigenschaften auf. Verwenden Sie keine Teilspritzen oder eine Kombination von Spritzen, um eine bestimmte Dosis zu erreichen.
- Bei unzureichender Unterdrückung von Hypophysen -Gonadotropinen und peripheren Sexualsteroiden mit maximaler Dosierung betrachten andere verfügbare Gonadotropin -Freisetzung von Agonisten, die zur Behandlung der zentralen Pubertät angegeben sind.
- Einstellung von Lupron Depot-Ped im angemessenen Alter der Pubertät.
Dosierung und empfohlene Überwachung für eine Verabreichung von 1 Monaten
- Verwalten Sie die LUPRON-Depot-PED 7,5 mg 11,25 mg oder 15 mg für eine Verabreichung von 1 Monaten als intramuskuläre eindosierte intramuskuläre Injektion im Monat.
- Die Startdosis basiert auf dem Gewicht des Patienten (siehe Tabelle 1).
Tabelle 1. Dosierungsempfehlungen basierend auf dem Körpergewicht für Lupron Depot-PED für eine Verabreichung von 1 Monaten
| Körpergewicht | Einmal monatlich empfohlene Dosierung |
| Weniger als oder gleich 25 kg | 7,5 mg |
| Größer als 25 kg bis zu 37,5 kg | 11,25 mg |
| Größer als 37,5 kg | 15 mg |
- Die Dosierung muss möglicherweise mit Änderungen des Körpergewichts angepasst werden.
- Wenn eine angemessene hormonelle und klinische Unterdrückung nicht erreicht wird, erhöht die Startdosis die Dosierung auf die nächste verfügbare höhere Dosis (z. B. 11,25 mg oder 15 mg bei der nächsten monatlichen Injektion).
- Überwachen Sie die Reaktion mit einem GnRH -Stimulationstest basales Luteinisierungshormon (LH) oder Serumkonzentration von Sexualsteroidspiegeln, die 1 bis 2 Monate nach Beginn der Therapie mit sich ändernden Dosen oder weiter als klinisch angemessen beurteilt wurden, um die Aufrechterhaltung der Wirksamkeit zu bestätigen.
- Bewerten Sie die Größe (zur Berechnung der Wachstumsrate) und das Knochenalter alle 6 bis 12 Monate.
Dosierung und empfohlene Überwachung für die 3-Monats-Verabreichung
- Verwenden Sie für 3-Monats-Verabreichung alle drei Monate (12 Wochen) als intramuskuläre Injektion mit einem einzigen Dosis eine lupron-Depot-PED 11,25 mg oder 30 mg.
- Überwachen Sie die Reaktion mit einem GnRH -Stimulationstest basale LH- oder Serumkonzentration der Sexualsteroidwerte in den Monaten 2 bis 3 Monaten 6 und weiter als klinisch angemessen beurteilt, um die Aufrechterhaltung der Wirksamkeit zu bestätigen.
- Bewerten Sie die Größe (zur Berechnung der Wachstumsrate) und das Knochenalter alle 6 bis 12 Monate.
Dosierung und empfohlene Überwachung für die 6-Monats-Verabreichung
- Verwenden Sie für 6-Monats-Verabreichung alle sechs Monate (24 Wochen) als intramuskuläre Injektion mit einem Dosis 45 mg LUPRON Depot-PED.
- Überwachen Sie die Reaktion mit einem GnRH -Stimulationstest basale LH- oder Serumkonzentration der Sexualsteroidspiegel in den Monaten 5 bis 6 und weiter als klinisch angemessen bezeichnet, um die Aufrechterhaltung der Wirksamkeit zu bestätigen.
- Bewerten Sie die Größe (zur Berechnung der Wachstumsrate) und das Knochenalter alle 6 bis 12 Monate.
Wichtige Verwaltungsanweisungen
- LUPRON DEPOT-PED als intramuskuläre eindosierte Injektion in den anterioren Oberschenkel oder die Schulter der Glutealfläche verabreichen.
- Drehen Sie die Injektionsstellen innerhalb desselben Region von einer Injektion zur nächsten.
- Unmittelbar nach der Rekonstitution injizieren. Verwerfen Sie, wenn Sie nicht innerhalb von 2 Stunden verwendet werden.
Rekonstitutionsanweisungen
|
Abbildung 1
Das LUPROLOC -Sicherheitsgerät sollte nach der Produktinjektion aktiviert werden. Siehe Schritt 9 (Abbildung 7).
|
Abbildung 2
|
Abbildung 3
|
Abbildung 4
|
Abbildung 5
Notiz
Aspiriertes Blut wäre direkt unterhalb der Luer -Lock -Verbindung sichtbar, wenn ein Blutgefäß versehentlich durchdrungen wird. Wenn das gegenwärtige Blut durch den transparenten Luproloc gesehen werden kann ® Sicherheitsvorrichtung. Wenn Blut vorhanden ist, entfernen Sie die Nadel sofort. Injizieren Sie die Medikamente nicht. (Abbildung 6)
|
Abbildung 6
|
Abbildung 7
- Inspizieren Sie visuell das Lupron-Depot-Ped-Pulver und das Verdünnungsmittel. Verwenden Sie die Spritze nicht, wenn Klumpen oder Cabing ersichtlich ist. Eine dünne Pulverschicht an der Wand der Spritze wird vor dem Mischen mit dem Verdünnungsmittel als normal angesehen. Das Verdünnung sollte klar und frei von Partikeln erscheinen. Verwenden Sie das Verdünnungsmittel nicht, wenn es nicht klar ist oder es Partikel gibt.
- Um sich auf die Einspritzung vorzubereiten, schrauben Sie den weißen Kolben in den Endstopper, bis sich der Stopper zu drehen beginnt. (Siehe Abbildung 1 und Abbildung 2)
- Halten Sie die Spritze aufrecht. Lassen Sie die Verdünnung frei, indem Sie den Kolben 6 bis 8 Sekunden lang langsam schieben, bis sich der erste Stopper an der blauen Linie in der Mitte des Laufs befindet. (Abbildung 3)
- Halten Sie die Spritze aufrecht. Mischen Sie das Pulver gründlich, indem Sie die Spritze sanft schütteln, bis das Pulver eine gleichmäßige Suspension bildet. Die Suspendierung wird milchig erscheinen. Wenn das Pulver an den Stopper haftet oder auf das Cabing/Klumpen vorhanden ist, tippen Sie mit dem Finger auf die Spritze, um sich zu dispergieren. Verwenden Sie nicht, wenn eines Pulvers nicht in die Suspension geraten ist. (Abbildung 4)
- Halten Sie die Spritze aufrecht. Ziehen Sie die entgegengesetzte Hand die Nadelkappe nach oben, ohne sich zu verdrehen.
- Halten Sie die Spritze aufrecht. Bringen Sie den Kolben vor, um die Luft aus der Spritze auszuschalten. Jetzt ist die Spritze in die Injektion bereit.
- Nach dem Reinigen der Injektionsstelle mit einem Alkoholabstrich die intramuskuläre Injektion durch Einfügen der Nadel in einem Winkel von 90 Grad in den Deltamus -Glutealbereich oder den vorderen Oberschenkel. (Abbildung 5)
- Intieren Sie den gesamten Inhalt der Spritze unmittelbar nach der Rekonstitution intramuskulär. Die Suspendierung setzt sich nach der Rekonstitution sehr schnell ab.
- Die Nadel zurückziehen. Sobald die Spritze zurückgezogen wurde, aktivieren Sie den Luproloc sofort ® Sicherheitsvorrichtung, indem der Pfeil mit dem Daumen oder dem Finger auf das Schloss nach oben in Richtung der Nadelspitze drückt, wie es dargestellt ist, bis die Nadelabdeckung des Sicherheitsgeräts vollständig über die Nadel verlängert und ein Klick gehört oder gefühlt wird. (Abbildung 7)
Wie geliefert
Dosierungsformen und Stärken
Für Depotsuspension : Ein weißes lyophilisiertes Pulver, das in einer vorgefüllten eindosierten Dual-Kammer-Spritze mit einer farblosen Verdünnung geliefert wird, ist erhältlich wie folgt:
- Für eine 1-monatige Verwaltung : 7,5 mg 11,25 mg oder 15 mg Leuprolidacetat
- Für die 3-Monats-Verwaltung : 11,25 mg oder 30 mg Leuprolidacetat
- Für 6-monatige Administration : 45 mg Leuprolidacetat
Lupron Depot-Ped Für die Depotsuspension wird in einer einzelnen Dosis vorgefüllte Dual-Kammer-Spritze mit einem weißen lyophilisierten Pulver und einem farblosen Verdünnungsmittel für die Rekonstitution wie folgt (Tabelle 8) enthalten:
Tabelle 8. Lupron Depot-Ped-Produktpräsentationen
| Lupron Depot-Ped 7,5 mg 11,25 mg or 15 mg for 1-Month Administration | ||
| Kit -Typ | Stärke | NDC -Nummer |
| 1-Monats-Kit | 7,5 mg | NDC 0074-2108-03 |
| 11,25 mg | NDC 0074-2282-03 | |
| 15 mg | NDC 0074-2440-03 | |
| Lupron Depot-Ped 11,25 mg or 30 mg for 3-Month Administration | ||
| 11,25 mg | NDC 0074-3779-03 | |
| Lupron Depot-Ped 7,5 mg 11,25 mg or 15 mg for 1-Month Administration | ||
| Kit -Typ | Stärke | NDC -Nummer |
| 3-Monats-Kit | 30 mg | NDC 0074-9694-03 |
| Lupron Depot-Ped 45 mg for 6-Month Administration | ||
| 6-Monats-Kit | 45 mg | NDC 0074-3575-01 |
Jedes Kit enthält:
- Eine vorgefüllte eindosierte Dual-Kammer-Spritze mit 23 Gauge 1 ½-Zoll-Nadel mit Luproloc ® Sicherheitsvorrichtung
- ein Kolben
- Zwei Alkoholabfälle
- Bevölkerungsdosis und Frequenzbestätigungseinsatz
- Ein vollständiges Verschreibungsinformationsgehäuse
Lagerung und Handhabung
Vor der Rekonstitutionspagart bei 20 ° C bis 25 ° C (68 ° F bis 77 ° F); Exkursionen zu 15 ° C bis 30 ° C (59 ° F bis 86 ° F) [siehe USP -kontrollierte Raumtemperatur].
Nach der Rekonstitution sofort [siehe Dosierung und Verwaltung ].
Hergestellt für: Abbvie Inc. North Chicago IL 60064 von Takeda Pharmaceutical Company Limited Osaka Japan 540-8645. Überarbeitet: Mai 2025
Nebenwirkungen für Lupron Depot
Die folgenden schwerwiegenden Nebenwirkungen werden hier und anderswo im Etikett beschrieben:
- Der anfängliche Anstieg der Gonadotropin- und Sex -Steroid -Spiegel [siehe Warnungen und Vorsichtsmaßnahmen ].
- Psychiatrische Ereignisse [siehe Warnungen und Vorsichtsmaßnahmen ].
- Krämpfe [siehe Warnungen und Vorsichtsmaßnahmen ].
- Pseudotumor -Cerebri (idiopathische intrakranielle Hypertonie) [siehe Warnungen und Vorsichtsmaßnahmen ]
Klinische Studien Erfahrung
Da klinische Studien unter sehr unterschiedlichen Bedingungen durchgeführt werden, die in den klinischen Studien eines Arzneimittels in den klinischen Studien eines anderen Arzneimittels nicht direkt mit den Raten verglichen werden können, können die in den klinischen Arzneimitteln nicht direkten Reaktionsraten nicht direkt mit den in der Praxis beobachteten Raten verglichen werden.
Lupron Depot-Ped For 1-Month Administration
Lupron Depot-Ped 1-month administration was evaluated in a pivotal open label multicenter study in which 55 (49 female and 6 male) pediatric patients with central precocious puberty were enrolled. The age ranged from 1 to 8 years of age at the beginning of treatment; the mean age for females was 6.8 years (range: 1 to 9 years) and the mean age for males was 7.5 years (range: 4 to 9 years); 61.8% were Caucasian; 20% Black; 1.8% Oriental; and 16.4% Hispanic.
Nebenwirkungen, die bei ≥2% der Patienten auftraten, sind in Tabelle 2 gezeigt.
Tabelle 2. 2. Nebenwirkungen der Reaktionen bei ≥ 2% bei pädiatrischen Patienten mit CPP, die 1 Monate lang Lupron-Depot-PED erhält
| % des Patienten (N = 421) | |
| Reaktionen für Injektionsstelle einschließlich Abszess* | 9 |
| Emotionale Labilität | 5 |
| Kopfschmerzen | 3 |
| Allgemeiner Schmerz | 3 |
| Akne/Seborrhoe | 3 |
| Ausschlag einschließlich Erythema multiforme | 3 |
| Vaginitis/Vaginalblutung/Vaginalausfluss | 3 |
| Vasodilatation | 2 |
| * Die meisten Ereignisse waren leicht oder mäßig im Schweregrad. |
Weniger häufige Nebenwirkungen
Die folgenden nachteiligen Reaktionen wurden bei weniger als 2% der Patienten gemeldet und sind nachstehend durch das Körpersystem aufgeführt.
Körper als Ganzes - Verschlechterung des bereits vorhandenen Tumors und einer verminderten Sehvermögens -Allergie -Reaktionskörper -Geruchs -Fieber -Grippe -Hypertrophie -Infektion;
Herz -Kreislauf -System - Bradykardie Hypertonie periphere Gefäßstörung Synkope;
Verdauungssystem - Verstopfung Dyspepsia Dysphagia Gingivitis erhöhte Appetit -Übelkeit/Erbrechen;
Endokrines System - beschleunigte sexuelle Reife Feminization Goiter;
Hemik- und Lymphsystem - Purpura;
Stoffwechsel- und Ernährungsstörungen - Wachstum verzögerter peripherer Ödeme Gewichtszunahme;
Muskuloskelettsystem - Arthralgia Joint Disorder Myalgia Myopathie;
Nervensystem - Hyperkinesienschläuche;
Psychiatrisches System - Depression Nervosität;
Atmungssystem - Asthma -Epistaxis Pharyngitis Rhinitis Sinusitis;
Integumentäres System (Haut und Anhänge) - Alopezie -Haarstörung Hirsutismus Leukoderma Nagelstörung Hauthypertrophie;
Urogenitalsystem - Gebärmutterhalsstörungen/Neoplasma -Dysmenorrhoe -Gynäkomastie/Bruststörungen Menstruationsstörungen Harninkontinenz.
Labor: Die folgenden Laborereignisse wurden als unerwünschte Reaktionen gemeldet: Antinukleäre Antikörper und erhöhte Sedimentationsrate.
Lupron Depot-Ped For 3-Month Administration
Lupron Depot-Ped for 3-month administration was evaluated in a pivotal open-label multicenter clinical study with 84 randomized pediatric patients with central precocious puberty; 76 (90.5%) were females and 8 (9.5%) were males. The age ranged from 1 to 11 years age at the beginning of treatment; 80/84 (95.2%) were 5 years or older and female patients were younger than male; the mean age for 11,25 mg and 30 mg groups for females was 7.6 and 7.7 years and for males 9.3 and 9.4 years respectively; 58.3% were Caucasian; 22.6% were Black; 7.1% were Asian; 1.2% were Native Hawaiian or Other Pacific Islander; and 10.7% were Multi-race.
Nebenwirkungen, die bei ≥2% der Patienten auftraten, sind in Tabelle 3 gezeigt.
Tabelle 3. Nebenwirkungen der Reaktionen bei ≥ 2% bei pädiatrischen Patienten mit CPP, die für 3-Monats-Verabreichung Lupron-Depot-PED erhalten.
| % 11,25 mg Alle 3 Monate N = 42 | % 30 mg Alle 3 Monate N = 42 | % Gesamt N = 84 | |
| Injektionsstelle Schmerzen | 19 | 21 | 20 |
| Gewicht nahm zu | 7 | 7 | 7 |
| Kopfschmerzen | 2 | 7 | 5 |
| Stimmung verändert | 5 | 5 | 5 |
| Injektionsstelle Schwellung | 2 | 2 | 2 |
Weniger häufige Nebenwirkungen
The following adverse reactions were reported in one patient and are listed below by system organ class:
Magen -Darm -Störungen - Bauchschmerz Übelkeit;
Allgemeine Erkrankungen und Verwaltungsortbedingungen - Asthenia Gangstörung Injektionsstelle Abszess Sterileinspritzungsstelle Hämatom Injektionsstelle INDIERIONSPEKTIONSPEKTION Wärme Reizbarkeit;
Stoffwechsel- und Ernährungsstörungen - Verringerte Appetitfettleibigkeit;
Muskuloskelett- und Bindegewebestörungen -Muskuloskelettalschmerzen in der Extremität;
Nervensystem Disorders - Schwindel;
Psychiatrische Störungen - Tränenweinen;
Atemstillstand und Mediastinalstörungen - Husten;
Haut- und subkutane Gewebeerkrankungen - Hyperhidrose;
Gefäßstörungen - Pallor.
Lupron Depot-Ped For 6-Month Administration
Lupron Depot-Ped for 6-month administration was evaluated in an open-label multicenter clinical study with 45 pediatric patients with central precocious puberty; 41 (91%) were females and 4 (9%) were males. The baseline age ranged from 4 to 10 years. There were 30 (67%) Caucasian; 7 (16%) Black; and 1 (2%) Asian.
Nebenwirkungen, die bei ≥4 % aller Patienten auftraten, sind in Tabelle 4 gezeigt.
Tabelle 4. Nebenwirkungen der Reaktionen bei ≥ 4% bei pädiatrischen Patienten mit CPP, die für 6-Monats-Verabreichung Lupron-Depot-PED erhalten.
| Gesamt (N = 45) N (%) | |
| Reaktionen für Injektionsstelle a | 35 (78%) |
| Kopfschmerzen b | 15 (33%) |
| Psychiatrische Ereignisse c | 10 (22%) |
| Bauchschmerzen d | 8 (18%) |
| Durchfall e | 7 (16%) |
| Blutung f | 6 (13%) |
| Übelkeit und Erbrechen | 6 (13%) |
| Pyrexie | 6 (13%) |
| Pruritus g | 5 (11%) |
| Schmerzen in der Extremität | 4 (9%) |
| Ausschlag | 3 (7%) |
| Rückenschmerzen | 3 (7%) |
| Bandverstauchung | 3 (7%) |
| Gewicht nahm zu | 3 (7%) |
| Bruch h | 2 (4%) |
| Brustzeit i | 2 (4%) |
| Schlaflosigkeit j | 2 (4%) |
| Brustschmerzen | 2 (4%) |
| Hyperhidrose | 2 (4%) |
| a Reaktionen für Injektionsseiten B- Kopfschmerzen includes the preferred terms Kopfschmerzen and cluster Kopfschmerzen c Psychiatrische Ereignisse umfassen die bevorzugten Begriffe beeinflussen affektive Störungen Aggression Weinen depressiv d Bauchschmerzen beinhalten die bevorzugten Begriffe Bauchschmerzen Bauchschmerzen obere und abdominale Beschwerden e Durchfall includes the preferred terms gastroenteritis and Durchfall f Blutung includes the preferred terms contusion epistaxis hematochezia and injection site bruising g Pruritus includes the preferred terms pruritus vulvovaginal pruritus nasal pruritus h Bruch includes the preferred terms ankle Bruch and tibia Bruch i Brustzeit includes the preferred terms breast pain and Brustzeit j Schlaflosigkeit includes the preferred terms initial insomnia and insomnia |
Nachmarkterfahrung
Die folgenden nachteiligen Reaktionen wurden während der Verwendung von Leuprolidacetat oder Lupron-Depot-PED bei pädiatrischen Patienten identifiziert. Da diese Reaktionen freiwillig aus einer Population unsicherer Größe berichtet werden, ist es nicht immer möglich, ihre Häufigkeit zuverlässig abzuschätzen oder ein kausales Verhältnis zur Arzneimittelexposition herzustellen.
Allergische Reaktionen: anaphylaktische Hautausschlag Urtikaria und Photosensitivitätsreaktionen.
Allgemein: Die Erhöhung des Schmerzgewichts des Brustkorbs verringerte die Appetitermüdung.
Laboranomalien: Verringerte WBC.
Stoffwechsel: Diabetes mellitus.
Bewegungsapparat und Bindegewebe: Tenosynovitis-ähnliche Symptome schwere Muskelschmerzen Arthralgie-Epiphysiolyse-Muskelkrämpfe Myalgie.
Veröffentlichte Literatur- und Nachmarkterberichte zeigen, dass die Knochenmineraldichte während der GnRH -Therapie bei pädiatrischen Patienten mit zentraler vorzeitiger Pubertät abnehmen kann. Veröffentlichte Studien zeigen, dass nach Absetzen der Therapie die nachfolgende Knochenmasse -Abgrenzung erhalten bleibt und die Spitzenknochenmasse in der späten Adoleszenz nicht betroffen zu sein scheint.
Hydrocod/Aceta 5
Neurologisch: Neuropathie periphere Krampf -Insomnia Pseudotumor Cerebri (idiopathische intrakranielle Hypertonie).
Psychiatrische Störungen: emotionale Labilität wie Weinen von Reizbarkeit Ungeduld Wut und Aggression. Depressionen einschließlich seltener Berichte über Selbstmordgedanken und Versuche. Viele, aber nicht alle diese Patienten hatten in der Vergangenheit psychiatrische Krankheiten oder andere Komorbiditäten mit einem erhöhten Risiko für Depressionen.
Dinge, die man in Bristol, England unternehmen kann
Fortpflanzungssystem: Vaginalblutung Brustvergrößerung.
Atemweg: Dyspnoe
Haut und subkutanes Gewebe: Reaktionen zur Injektionsstelle, einschließlich Induration und Abszess -Spülen -Hyperhidrose.
Gefäßstörungen: Hypertonie -Hypotonie.
Arzneimittelinteraktionen für Lupron Depot
Wechselwirkungen mit Arzneimitteln
Mit Lupron Depot-PED wurden keine studienartigen Wechselwirkungsstudien auf pharmakokinetischem Arzneimittelmedikament durchgeführt [siehe Klinische Pharmakologie ].
Wechselwirkungen zwischen Arzneimitteln und Labor-Testen
Die Verabreichung von Lupron-Depot-PED in therapeutischen Dosen führt zu einer Unterdrückung des Hypophysen-Gonadensystems. Daher können diagnostische Tests von Gonadotrop- und Gonadenfunktionen von Hypophysen während der Behandlung und bis zu sechs Monate nach Absetzen von Lupron-Depot-PED betroffen sein. Die normale Hypophysen-Gonaden-Funktion wird normalerweise innerhalb von sechs Monaten nach der Behandlung mit dem LUPRON-Depot-PED wiederhergestellt.
Warnungen für Lupron Depot
Eingeschlossen als Teil der 'VORSICHTSMASSNAHMEN' Abschnitt
Vorsichtsmaßnahmen für Lupron Depot
Erster Anstieg der Gonadotropine und Sex -Steroidspiegel
Während der frühen Phase der Therapie oder nach den nachfolgenden Dosen können Gonadotropine und Sexualsteroide aufgrund einer vorübergehenden stimulierenden Wirkung des Arzneimittels über die Grundlinie steigen [siehe Klinische Pharmakologie ]. Therefore an increase in clinical signs and symptoms of puberty including vaginal Blutung may be observed during the first weeks of therapy or after subsequent doses [see Nebenwirkungen ].
Psychiatrische Ereignisse
Psychiatric events have been reported in patients taking GnRH agonists including LUPRON DEPOT-PED. Postmarking reports with this class of drugs include symptoms of emotional lability such as crying irritability impatience anger and aggression. Monitor for development or worsening of psychiatric symptoms during treatment with LUPRON DEPOT-PED [see Nebenwirkungen ].
Krämpfe
Nach dem Stempelberichten über Krämpfe wurden bei Patienten, die GnRH-Agonisten wie Lupron Depot-PED erhielten, beobachtet. Dazu gehörten Patienten mit Anomalien oder Tumoren des Zentralnervensystems mit der Epilepsie -zerebrovaskuläre Erkrankungen mit Anomalien des Zentralnervensystems und Patienten mit begleitenden Medikamenten, die mit Krämpfen wie Bupropion und SSRIs in Verbindung gebracht wurden. Bei Patienten wurden auch Krämpfe in Abwesenheit einer der oben genannten Erkrankungen berichtet [siehe Nebenwirkungen ].
Pseudotumor -Cerebri (idiopathische intrakranielle Hypertonie)
Pseudotumor-Cerebri (idiopathische intrakranielle Hypertonie) wurde bei pädiatrischen Patienten berichtet, die GnRH-Agonisten wie Lupron Depot-PED erhalten. Überwachen Sie die Patienten auf Anzeichen und Symptome von Pseudotumor -Cerebri, einschließlich Kopfschmerzen Papiertema verschwommenes Sehverlust von Sichtschmerzen hinter dem Auge oder Schmerzen mit Augenbewegung Tinnitus Schwindel und Übelkeit.
Patientenberatungsinformationen
Raten Sie dem Patienten, die von der FDA zugelassene Patientenkennzeichnung (Medikamentenhandbuch) zu lesen.
Symptome nach anfänglicher Verabreichung von Lupron Depot-Ped
Informieren Sie die Patienten und Betreuer, dass während der frühen Phase der Therapie mit Lupron -Depot -Gonadotropinen und Sexualsteroiden aufgrund der anfänglichen stimulierenden Wirkung des Arzneimittels über die Grundlinie steigen. Daher kann ein Anstieg der klinischen Anzeichen und Symptome der Pubertät beobachtet werden. Weisen Sie die Patienten und Pflegekräfte an, den Arzt zu benachrichtigen, wenn diese Symptome über den zweiten Monat nach der Verabreichung von Lupron Depot-Ped weitergehen [siehe Warnungen und Vorsichtsmaßnahmen ].
Psychiatrische Ereignisse
Informieren Sie Patienten und Betreuer darüber, dass psychiatrische Ereignisse bei Patienten berichtet wurden, die GNRH -Agonisten wie Leuprolidacetat einnehmen. Zu den Ereignissen gehören emotionale Labilität wie Weinen von Reizbarkeit Ungeduld Wut und Aggression. Weisen Sie die Patienten und Pflegekräfte an, die Entwicklung oder Verschlechterung psychiatrischer Symptome einschließlich Depressionen während der Behandlung mit Lupron-Depot-PED zu überwachen [siehe Warnungen und Vorsichtsmaßnahmen ].
Krämpfe
Informieren Sie Patienten und Betreuer, dass bei Patienten, die GnRH -Agonisten wie Leuprolidacetat erhalten, Berichte über Krämpfe beobachtet wurden. Patienten mit Anfällen mit Anomalien oder Tumoren des Zentralnervensystems von Zentralnervensystemen und Patienten mit begleitenden Medikamenten, die mit Krämpfen ein erhöhtes Risiko haben [siehe Warnungen und Vorsichtsmaßnahmen ].
Pseudotumor -Cerebri (idiopathische intrakranielle Hypertonie)
Informieren Sie Patienten und Betreuer, dass Berichte über Pseudotumor-Cerebri (idiopathische intrakranielle Hypertonie) bei pädiatrischen Patienten beobachtet wurden, die GnRH-Agonisten wie Lupron-Depot-PED erhielten. Beraten Sie Patienten und Betreuer, Kopfschmerzen und Sehvermögen zu überwachen, wie z. B. verschwommenes Sehvermögen doppelter Sehverlust von Sehschmerzen hinter dem Auge oder Schmerzen, wobei die Augenbewegung in den Ohren schwindelig und übel klingelt. Beraten Sie Patienten und Pflegepersonen, sich an ihren Gesundheitsdienstleister zu wenden, wenn der Patient eines dieser Symptome entwickelt [siehe Warnungen und Vorsichtsmaßnahmen ].
Reaktionen für Injektionsstelle
Informieren Sie Patienten und Pflegepersonen darüber, dass in den Injektionsstellen verbundene Nebenwirkungen auftreten können, wie z. Raten Sie den Patienten, sich an ihren Gesundheitsdienstleister zu wenden, wenn sie vor Hautausschlägen oder schweren Reaktionen auf Injektionsstelle auftreten [siehe Nebenwirkungen ].
Schwangerschaft
Lupron Depot-Ped is contraindicated in pregnancy. If the patient becomes pregnant while taking the drug the patient should be informed of the potential risk to the fetus [see Verwendung in bestimmten Populationen ].
Einhaltung des Dosierungsplans
Informieren Sie die Betreuer über die Bedeutung der Einhaltung des Dosierungsplans von Lupron Depot-Ped [siehe Dosierung und Verwaltung ].
Nichtklinische Toxikologie
Karzinogenese -Mutagenese -Beeinträchtigung der Fruchtbarkeit
Eine zweijährige Karzinogenitätsstudie wurde bei Ratten und Mäusen durchgeführt. Bei Ratten wurde nach 24 Monaten eine dosisbedingte Erhöhung der gutartigen Hypophysenhyperplasie und gutartiger Hypophyse-Adenome festgestellt, als dem Medikament bei hohen täglichen Dosen (NULL,6 bis 4 mg/kg) subkutan verabreicht wurde. Es gab eine signifikante, aber nicht dosisbedingte Erhöhung der Pankreas-Inselzelladenome bei Frauen und von testikulären interstitiellen Zelladenomen bei Männern (höchste Inzidenz in der Gruppe mit niedriger Dosis). Bei Mäusen wurden in einer Dosis von bis zu 60 mg/kg für zwei Jahre keine Leuprolidacetat-induzierten Tumoren oder Hypophysenanomalien beobachtet.
Mutagenitätsstudien wurden mit Leuprolidacetat unter Verwendung von Bakterien- und Säugetiersystemen durchgeführt. Diese Studien lieferten keine Hinweise auf ein mutagenes Potenzial.
Verwendung in bestimmten Populationen
Schwangerschaft
Risikozusammenfassung
Lupron Depot-Ped is contraindicated in pregnancy [see Kontraindikationen ].
Lupron Depot-Ped may cause fetal harm when administered to a pregnant woman based on findings from animal studies and the drug’s mechanism of action [see Klinische Pharmakologie ]. The available data from published clinical studies and case reports and from the pharmacovigilance database on exposure to Lupron Depot-Ped during pregnancy are insufficient to assess the risk of major birth defects miscarriage or adverse maternal or fetal outcomes. Based on animal reproduction studies Lupron Depot-Ped may be associated with an increased risk of pregnancy complications including early pregnancy loss and fetal harm. In animal reproduction studies subcutaneous administration of leuprolide acetate to rabbits during the period of organogenesis caused embryo-fetal toxicity decreased fetal weights and a dose-dependent increase in major fetal abnormalities in animals at doses less than the recommended human dose based on body surface area using an estimated daily dose. A similar rat study also showed increased fetal mortality and decreased fetal weights but no major fetal abnormalities at doses less than the recommended human dose based on body surface area using an estimated daily dose (see Daten ).
Das geschätzte Hintergrundrisiko für schwere Geburtsfehler und Fehlgeburt für die angegebene Bevölkerung ist unbekannt. In der US -Allgemeinbevölkerung beträgt das geschätzte Hintergrundrisiko für schwere Geburtsfehler und eine Fehlgeburt bei klinisch anerkannten Schwangerschaften 2% -4% bzw. 15% -20%.
Daten
Tierdaten
Bei der Verabreichung am Tag 6 der Schwangerschaft bei Testdosierungen von 0,00024 mg/kg 0,0024 mg/kg und 0,024 mg/kg (Dosen, die weniger als die empfohlene menschliche Dosis) zu Kaninchen leuprolidacetat produzierten, die eine dosisbedingte Erhöhung der Skelett und die Fusion der Segel- und Fusionsfusionsfukte und die Fusion der Segel und Fusion des Skels und der Fusion des Skeletts und der Fusion des Skels und der Fusion des Skeletts und der Fusion des Skels und der Fusion haben. Ähnliche Studien an Ratten zeigten keinen Anstieg der fetalen Fehlbildungen. Es gab eine erhöhte fetale Mortalität und verringerte die fetalen Gewichte mit den beiden höheren Dosen von Leuprolidacetat bei Kaninchen und mit der höchsten Dosis (NULL,024 mg/kg) bei Ratten.
Stillzeit
Risikozusammenfassung
Es gibt keine Daten über das Vorhandensein von Leuprolidacetat in Tier- oder Muttermilch. Die Auswirkungen auf die gestillten Säuglinge oder die Auswirkungen auf die Milchproduktion. Die Entwicklungs- und gesundheitlichen Vorteile des Stillens sollten zusammen mit dem klinischen Bedürfnis der Mutter nach Lupron-Depot-PED und potenziellen nachteiligen Auswirkungen des gestillten Kindes aus Lupron-Depot-PED oder aus dem zugrunde liegenden mütterlichen Zustand auf das gestillte Säugling berücksichtigt werden.
Frauen und Männer des Fortpflanzungspotentials
Schwangerschaft Testing
Ausschließen der Schwangerschaft bei Frauen mit Reproduktionspotential vor dem Initiieren von Lupron Depoting, wenn klinisch angezeigt [siehe Schwangerschaft ].
Empfängnisverhütung
Frauen
Lupron Depot-Ped may cause embryo-fetal harm when administered during pregnancy. Lupron Depot-Ped is not a contraceptive. If contraception is indicated advise females of reproductive potential to use a non-hormonal method of contraception during treatment with Lupron Depot-Ped [see Schwangerschaft ].
Unfruchtbarkeit
Basierend auf den pharmakodynamischen Wirkungen der Verringerung der Sekretion von Gonadensteroiden wird bei der Behandlung mit Lupron-Depot-PED die Fertilität von Fertilität voraussichtlich verringert. Klinische und pharmakologische Studien bei Erwachsenen (> 18 Jahre) mit Leuprolidacetat und ähnliche Analoga haben die Reversibilität der Fruchtbarkeitsunterdrückung gezeigt, wenn das Arzneimittel nach kontinuierlicher Verabreichung in Zeiten von bis zu 24 Wochen abgesetzt wird [siehe Klinische Pharmakologie ].
Es gibt keine Hinweise darauf, dass die Schwangerschaftsraten nach Absetzen von Lupron-Depot-PED betroffen sind.
Tierstudien (präpubertäre und erwachsene Ratten und Affen) mit Leuprolidacetat und anderen GnRH -Analoga haben eine funktionelle Erholung der Fruchtbarkeitsunterdrückung gezeigt.
Pädiatrische Verwendung
Die Sicherheit und Wirksamkeit von Lupron-Depot-PED zur Behandlung von CPP wurde bei pädiatrischen Patienten ab 1 Jahren und älter eingerichtet. Die Verwendung von Lupron-Depot-PED für diese Indikation wird durch Beweise aus zwei zentralen klinischen Studien von 139 pädiatrischen Patienten mit zentraler frühreifer Pubertät mit einer Altersspanne von 1 bis 11 Jahren gestützt [siehe Klinische Studien ]. The safety and effectiveness of Lupron Depot-Ped have not been established in pediatric patients less than 1 year old.
Überdosierungsinformationen für Lupron Depot
Es sind keine spezifischen Gegenmittel für Lupron Depot-PED bekannt. Wenden Sie sich an die Giftkontrolle (1-800222-1222), um die neuesten Empfehlungen zu erhalten.
In Fällen von Überdosierungsstandards sollten die Überwachungs- und Managementprinzipien befolgt werden.
Kontraindikationen für Lupron Depot
- Überempfindlichkeit gegenüber GnRH -GnRH -Agonisten oder einer der Hilfsstoffe in Lupron Depoted. Anaphylaktische Reaktionen auf synthetische GnRH- oder GnRH -Agonisten wurden berichtet [siehe Nebenwirkungen ].
- Schwangerschaft: Lupron Depot-Ped may cause fetal harm [see Verwendung in bestimmten Populationen ].
Klinische Pharmakologie for Lupron Depot
Wirkungsmechanismus
Leuprolidacetat Ein GnRH -Agonist wirkt als potenter Inhibitor der Gonadotropinsekretion (LH und Follikel stimulierendes Hormon (FSH)), wenn sie in therapeutischen Dosen kontinuierlich verabreicht werden.
Pharmakodynamik
Nach einer anfänglichen Stimulation der GnRH -Rezeptoren führt die chronische Verabreichung von Leuprolidacetat zu einer Herunterregulierung der GnRH -Rezeptoren, die die Freisetzung von LH und FSH und die daraus resultierende Unterdrückung der Ovarial- und Hodenproduktion von Östradiol bzw. Testosteron entspricht. Diese inhibitorische Wirkung ist nach Absetzen der medikamentösen Therapie reversibel.
Pharmakokinetik
Absorption
Lupron Depot-Ped for 1-month Administration
Nach einem einzelnen Lupron-Depot-PED 7,5 mg für 1-Monats-Verabreichung an erwachsene Patienten betrug die mittlere Leuprolid-Plasmakonzentration von Peak Leuprolid fast 20 ng/ml nach 4 Stunden und ging nach 4 Wochen auf 0,36 ng/ml ab. In intaktem Leuprolid und einem inaktiven Major -Metabolit konnten jedoch nicht durch den in der Studie verwendeten Assay unterschieden werden. Bei der chronischen Verabreichung von LUPRON Depot-PED-PED-PED-PED-PED-PED-PED-PED-PED-PED-PED-Verabreichung wurden jedoch die Testosteronspiegel bei der chronischen LUPRON-Depot-PED-Verabreichung jedoch beibehalten.
In einer Studie an pädiatrischen Patienten mit CPP-Dosen von 7,5 mg 11,25 mg und 15,0 mg Lupron-Depot-PED wurden alle 4 Wochen verabreicht. Bei 22 pädiatrischen Patienten wurden die Plasmaspiegel von Leuprolid gemäß den nachstehend zusammengefassten Gewichtskategorien bestimmt:
| Patientengewichtsbereich (kg) | Gruppengewicht Durchschnitt (kg) | Dosis (mg) | Trog Plasma Leuprolidspiegel Mittelwert ± SD (ng/ml)* |
| 20.2 -27.0 | 22.7 | 7.5 | 0,77 ± 0,033 |
| 28.4 -36.8 | 32.5 | 11.25 | 1,25 ± 1,06 |
| 39,3 -57,5 | 44.2 | 15.0 | 1,59 ± 0,65 |
| * Die in Woche 4 unmittelbar vor der Leuprolid -Injektion festgelegten Gruppendurchschnittswerte. Die Arzneimittelspiegel nach 12 und 24 Wochen waren ähnlich wie bei den jeweiligen 4 -wöchigen Werten. |
Lupron Depot-Ped for 3-month Administration
Nach einem einzigen Lupron-Depot-PED 11,25 mg oder 30 mg für die 3-Monats-Verabreichung an pädiatrische Patienten mit CPP-Leuprolidkonzentrationen stieg mit zunehmender Dosis mit einer mittleren Spitzen-Leuprolid-Plasmakonzentration von 19,1 und 52,5 ng/ml bei 1 Stunde für die DOS-Spiegel von 11,25 und 30 mg. Die Konzentrationen gingen dann 2 Wochen nach der Dosierung für die Dosis von 11,25 und 30 mg auf 0,08 und 0,25 ng/ml zurück. Die mittlere Leuprolid -Plasmakonzentration blieb von Monats 1 bis Monat 3 für 11,25- und 30 mg Dosen konstant. Die mittleren Leuprolidkonzentrationen 3 Monate nach der ersten und zweiten Injektionen waren ähnlich, was auf keine Akkumulation von Leuprolid aus der wiederholten Verabreichung hinweist.
Lupron Depot-Ped for 6-month Administration
Nach einer einzigen Injektion von Lupron-Depot-PED 45 mg für die 6-Monats-Verabreichung bei 20 pädiatrischen Patienten mit CPP-mittlere Peak-Plasmakonzentration stieg 1 Stunde nach der Dosis schnell auf 15,7 ng/ml. Nach dem anfänglichen Anstiegsmittelwert sank die Leuprolid -Plasmakonzentration in Woche 24 auf 0,03 ng/ml.
Verteilung
Das mittlere stationäre Verteilungsvolumen von Leuprolid nach intravenöser Bolus-Verabreichung an gesunde männliche Probanden betrug 27 L. In vitro Die Bindung an menschliche Plasmaproteine lag zwischen 43% und 49%.
Beseitigung
Stoffwechsel
Bei gesunden männlichen Probanden, die einen intravenösen 1 mg Bolus Leuprolid verabreicht haben, betrug die mittlere systemische Clearance 7,6 l/h mit einer Halbwertszeit der terminalen Eliminierung von ungefähr 3 Stunden basierend auf einem Zwei-Kompartiment-Modell.
Bei Ratten und Hunden Verabreichung von 14 Es wurde gezeigt, dass C-markiertes Leuprolid zu kleineren inaktiven Peptiden metabolisiert ist; Ein Pentapeptid (Metabolit I) Tripeptide (Metaboliten II und III) und ein Dipeptid (Metabolit IV). Diese Fragmente können weiter katabolisiert werden.
Die bei 5 Prostatakrebspatienten gemessenen Hauptmetaboliten (M-I) -Plasmakonzentrationen erreichten 2 bis 6 Stunden nach der Dosierung die maximale Konzentration und bestand aus ungefähr 6% der Spitzenmedikamentenkonzentration. Eine Woche nach der Dosierung der durchschnittlichen Plasma-M-I-Konzentrationen betrugen ungefähr 20% der mittleren Leuprolidkonzentrationen.
Ausscheidung
Nach Verabreichung von Lupron-Depot 3,75 mg bis 3 Patienten, weniger als 5% der Dosis, wurden als Elternteil und M-I-Metaboliten im Urin gewonnen.
Spezifische Populationen
Die Pharmakokinetik von Lupron Depot-PED wurde bei Patienten mit Leber oder Nierenbeeinträchtigung nicht bestimmt.
Wechselwirkungen mit Drogenmedikamenten
Mit Lupron Depot-PED wurden keine Arzneimittel-Wechselwirkungsstudien auf pharmakokinetischer Wirkstoffe durchgeführt. Leuprolidacetat ist ein Peptid, das von Cytochrom-P-450-Enzymen nicht abgebaut wird. Daher würde nicht zu erwarten, dass die mit Cytochrom-P-450-Enzymen verbundenen Arzneimittelwechselwirkungen auftreten.
Klinische Studien
Lupron Depot-Ped For 1-Month Administration
Die Wirksamkeit von Lupron-Depot-PED wurde in einer zentralen offenen multizentrischen klinischen Studie (NCT00660010) bewertet, bei der 55 pädiatrische Patienten mit zentraler vorzeitiger Pubertät (49 Frauen und 6 Männchen, die bis zum Vorgehen von GnRHA-Behandlung naiv waren, bis zum Alter von der MONTORT-DATE-MONTOLD-DATE-MONTAL-DATE-MONTAL-DATE-MONTAGE-MONTIGE-MONTIGE-MONTAL-DATEN-ZEITS-AUFTEN-BEHALTUNGS-ZEITSBRACHTE ZEUGREGEGEBOTE AUTGEGEBOTE BEHANDELN. 40 Patienten wurden dann nach der Behandlung befolgt (siehe Nachfolgerdaten unten). Das Durchschnittsalter ± SD zu Beginn der Behandlung betrug 7 ± 2 Jahre und die Behandlungsdauer 4 ± 2 Jahre. Das Studienmedikament wurde alle 28 Tage intramuskulär (IM) mit inkrementellen Anpassungen von 3,75 mg bei jedem Klinikbesuch verabreicht. Während der Nachbeobachtungszeit wurde alle 6 Monate eine GnRHA-Stimulationstest durchgeführt, bis eine Pubertätsantwort beobachtet wurde.
Während der Behandlungszeit unterdrückte Lupron-Depot-PED Gonadotropine und Sexualsteroide auf präpubertäre Werte. Unterdrückung von Peak -stimulierten LH -Konzentrationen zu <1.75 mIU/mL was achieved in 96% of patients by month 1. Five patients required increased doses of study drug to achieve or retain LH suppression. The number and percentage of patients with suppression of peak stimulated LH < 1.75 mIU/mL and mean ± SD peak stimulated LH over time is shown in Table 5. Six months after the treatment period was finished the mean peak stimulated LH was 20.6 ± SD 13.7 mIU/mL (n=30).
Die folgenden Effekte wurden mit der chronischen Verabreichung von Leuprolid festgestellt: Normalisierung der Menstruation (bei Mädchen) und Stabilisierung des linearen Wachstums und der Stabilisierung klinischer Anzeichen und Symptome der Pubertät.
Tabelle 5. Anzahl und Prozentsatz der Patienten mit maximaler LH stimuliert LH <1.75 mIU/mL and Mittelwert (SD) Peak LH at each clinic visit
| Wochen im Studium | n mit Peak stimuliert LH <1.75 mIU/mL/ N with a LH measurement for that week | Mittelwert (SD) Peak LH | |
| n/n | % | ||
| Grundlinie | 0/55 | 0% | 35.0 (NULL,32) |
| Woche 4 | 53/55 | 96,4% | 0,8 (NULL,57) |
| Woche 12 | 48/54 | 88,9% | 1.1 (NULL,77) |
| Woche 24 | 48/53 | 90,6% | 0,8 (NULL,79) |
| Woche 36 | 51/54 | 94,4% | 0,6 (NULL,43) |
| Woche 48 | 51/54 | 94,4% | 0,6 (NULL,47) |
| Woche 72 | 52/52 | 100% | 0,5 (NULL,30) |
| Woche 96 | 46/46 | 100% | 0,4 (NULL,33) |
| Woche 120 | 40/40 | 100% | 0,4 (NULL,27) |
| Woche 144 | 36/36 | 100% | 0,4 (NULL,24) |
| Woche 168 | 27/28 | 96,4% | 1.2 (NULL,58) |
| Woche 216 | 18/19 | 94,7% | 0,5 (NULL,90) |
| Woche 240 | 16/17 | 94,1% | 0,4 (NULL,62) |
| Woche 264 | 14/15 | 95,3% | 0,4 (NULL,41) |
| Woche 288 | 11/11 | 100% | 0,3 (NULL,22) |
| Woche 312 | 9/9 | 100% | 0,4 (NULL,20) |
| Woche 336 | 6/6 | 100% | 0,3 (NULL,10) |
| Woche 360 | 6/6 | 100% | 0,3 (NULL,13) |
| Woche 384 | 5/5 | 100% | 0,2 (NULL,10) |
| Woche 408 | 3/3 | 100% | 0,2 (NULL,09) |
| Woche 432 | 2/2 | 100% | 0,3 (NULL,04) |
| Woche 456 | 2/2 | 100% | 0,2 (NULL,04) |
| Woche 480 | 1/1 | 100% | 0,2 (das) |
| Woche 504 | 1/1 | 100% | 0,2 (das) |
Die Unterdrückung (definiert als Regression oder keine Änderung) der klinischen/physikalischen Anzeichen der Pubertät wurde bei den meisten Patienten erreicht. Bei Frauen lag die Unterdrückung der Brustentwicklung in den ersten 5 Jahren der Behandlung zwischen 66,7 und 90,6% der Patienten. Das mittlere stimulierte Östradiol betrug zu Studienbeginn 15,1 pg/ml auf den niedrigeren Nachweisniveau (NULL,0 pg/ml) bis Woche 4 und wurde dort in den ersten 5 Jahren der Behandlung gehalten. Bei Männern lag die Unterdrückung der Genitalentwicklung in den ersten 5 Jahren der Behandlung zwischen 60% und 100% der Patienten. Der Mittelwert stimuliert Testosteron war zu Studienbeginn 347,7 ng/dl und wurde in den ersten 5 Jahren der Behandlung in den Niveaus von nicht mehr als 25,3 ng/dl gehalten.
Bei 19,4% (7/36) Frauen, die zu Studienbeginn keine Menarche nicht erreicht hatten, wurde ein Flare -Effekt von vorübergehenden Blutungen oder Flecken in den ersten 4 Wochen der Behandlung beobachtet. Nach den ersten 4 Wochen und für den Rest der Behandlungsperiode berichteten keine Patienten mit einer Menstruationserblutung, und es wurde nur seltenes Flecken festgestellt.
Das mittlere Verhältnis von Knochenalter zu chronologischem Alter nahm bis zum Ende der Behandlung von 1,5 zu Studienbeginn zu 1,1 ab. Die z-Score der mittleren Höhenstandardabweichung änderte sich am Ende der Behandlungsphase von 1,6 zu Studienbeginn auf 0,7.
Fünfunddreißig (35) Frauen und 5 Männer nahmen an einer Nachbeobachtungszeit nach der Behandlung teil, um die Fortpflanzungsfunktion (bei Frauen) und die endgültige Höhe zu bewerten. Nach 6 Monaten nach der Behandlung kehrten die meisten Patienten auf die pubertären LH-Werte (NULL,9%) zurück, und klinische Anzeichen einer Wiederaufnahme des pubertären Fortschreitens waren mit zunehmender Brustentwicklung bei Mädchen (NULL,7%) und einer Zunahme der Genitalienentwicklung bei Jungen (80%) erkennbar.
Nach der Beendigung der Behandlung wurden regelmäßige Menstruation für alle weiblichen Patienten gemeldet, die während der Nachuntersuchung 12 Jahre alt waren. Die Zwischenzeit bis zur Menstruation betrug ungefähr 1,5 Jahre; Das Durchschnittsalter des Beginns der Menstruation nach der Beendigung der Behandlung betrug 12,9 Jahre.
Von den 40 in der Follow-up-33 bewerteten Patienten wurden beobachtet, bis sie die endgültige oder nahe landvorgende Erwachsenenhöhe erreichten. Diese Patienten hatten eine durchschnittliche Erhöhung der endgültigen Erwachsenengröße im Vergleich zur prognostizierten Ausgangsgröße für Erwachsene. Der mittlere endgültige Standard -Standardabweichungswert für Erwachsenenhöhe betrug -0,2.
Lupron Depot-Ped For 3-Month Administration
Die Wirksamkeit wurde in einer 6-monatigen randomisierten klinischen Open-Label-Studie mit 3-Monats-Formulierungen von Lupron-Depot-PED (NCT00667446) bewertet. 84 Patienten (76 weibliche 8 männliche) zwischen 1 und 11 Jahren erhielten die Lupron-Depot-PED 11,25 mg oder 30 mg für die 3-monatige Verabreichungsformulierung. Jede Dosisgruppe hatte eine gleiche Anzahl von behandlungsnaiven Patienten mit pubertären LH-Spiegeln und Patienten, die zuvor mit GnRHA-Therapien behandelt wurden, die zum Zeitpunkt des Studieneintritts vorpubertären LH-Spiegel hatten. Der Prozentsatz der Patienten mit Unterdrückung von Peak-stimuliertem LH bis <4.0 mIU/mL as determined by assessments at months 2 3 and 6 is 78.6% in the 11,25 mg dose and 95.2% in the 30 mg dose as shown in Table 6.
Tabelle 6. Unterdrückung von Peak-Stimuled LH vom 2. bis 2 bis 6. Monat 6
| Lupron Depot-Ped 11,25 mg Alle 3 Monate | Lupron Depot-Ped 30 mg Alle 3 Monate | |||||
| Parameter | Naiv N = 21 | Abholen a N = 21 | Gesamt N = 42 | Naiv N = 21 | Abholen a N = 21 | Gesamt N = 42 |
| Prozent mit Unterdrückung | 76.2 | 81.0 | 78.6 | 90.5 | 100 | 95.2 |
| 2-seitige 95% CI | 52.8 91.8 | 58.1 94.6 | 63.2 89.7 | 69.6 98.8 | 83,9 100 | 83,8 99,4 |
| A. Zuvor mindestens 6 Monate lang mit GnRHA behandelt, bevor sie sich in der entscheidenden Studie LCP07-167 einschrieben. |
Die mittleren Peakstimulierten LH -Spiegel für alle Besuche werden in den Abbildungen 8 und 9 durch Dosis und Untergruppe (naiv vs. zuvor behandelte Patienten) gezeigt.
Abbildung 8. Der mittlere Peak stimulierte LH für Lupron-Depot-PED 11,25 mg für die 3-Monats-Verabreichung
|
Abbildung 9. mittlerer Peak stimulierte LH für Lupron Depot-Ped 30 mg für die 3-Monats-Verabreichung
Kann Hydrocodon Ihnen Kopfschmerzen bereiten
|
Für die Lupron-Depot-PED 11,25 mg Dosis für die 3-Monats-Verabreichung 93% (39/42) der Patienten und für die 30-mg-Dosis von Lupron-Depot-PED für die 3-monatige Verabreichung hatten 100% (42/42) von Patienten Sexualsteroid (Estradiol oder Testosteron), die auf Prepubertal-Spiegel bei allen Besuchspiegeln angewendet wurden. Die klinische Unterdrückung der Pubertät bei weiblichen Patienten wurde bei 29 von 32 (NULL,6%) und 28 von 34 (NULL,4%) der Patienten in den Gruppen von 11,25 mg und 30 mg im Monat 6 (NULL,4%) beobachtet. Klinische Unterdrückung der Pubertät bei Männern bei den Patienten mit den Patienten mit den Patienten mit den Patienten mit 40%(40%) bei den 11.25 -mg- und 30 -mg -Gruppen mit 30 mg und 30 mg und 30 mg und 30 mg und 30 mg. Alter 29 von 33 (88%) in der 11,25 -mg -Gruppe und 30 von 40 in der 30 -mg -Gruppe (75%) verzeichnete im Vergleich zum Screening das Verhältnis von Knochenalter zu chronologischem Alter im Monat 6.
Lupron Depot-Ped For 6-Month Administration
Die Sicherheit und Wirksamkeit der 6-Monats-Formulierung von Lupron Depot-PED wurde in einer offenen klinischen einarmigen einarmigen multizentrischen Studie (NCT03695237) bewertet.
In der klinischen Studie 27 pädiatrische Patienten mit zentraler vorzeitiger Pubertät (24 Frauen und 3 Männer) naiv für frühere GnRH-Agonistenbehandlung und 18 pädiatrische Patienten mit zentraler vorzeitiger Pubertät (17 Frauen und 1 Männer), die zuvor mit GnRH-Agonist-Therapie (einschließlich 1-3- 6 und 12 Monate) behandelt wurden (einschließlich 1-3- 6 und 12 Monate), erhielten LUPon Depot-PED 45 mg. Das Lupron -Depot von 45 mg wurde in zwei Intervallen im Abstand von 24 Wochen als intramuskuläre Injektion verabreicht.
Der primäre Wirksamkeitsendpunkt des Prozentsatzes von Patienten mit Unterdrückung von Peak-stimuliertem LH bis <4.0 mIU/mL at Woche 24 was achieved in 39/45 (86.7 %) patients (Table 7). Of the patients previously treated with other GnRHa formulations 94,4% remained suppressed at Woche 24.
Tabelle 7. Unterdrückung von Peak-stimuliertem GnRHA-stimuliertem LH in Woche 24
| Parameter | Lupron Depot-Ped 45 mg | ||
| Naiv N = 27 | Abholen a N = 18 | Gesamt N = 45 | |
| Prozent mit Unterdrückung N (%) | 22 (NULL,5) | 17 (NULL,4) | 39 (NULL,7) |
| 95% dort | 61.9 93.7 | 72.7 99,9 | 73,2 95.0 |
| A. Zuvor mindestens 6 Monate mit GNRHA behandelt |
Der mittlere Peak stimulierte LH-Spiegel nahm bei behandelten Patienten und von 2,1 miu/ml bei zuvor behandelten Patienten zu Studienbeginn bis zu 1,6 MIU/ml und 1,5 miu/ml in Woche 4 von 17,4 ml/ml ab. Die Spiegel blieben für alle Besuche bis Woche 48 unterdrückt.
Der Anteil weiblicher Patienten mit Unterdrückung von basalem Östradiol bis <20 pg/mL was 97.4% at Woche 24 and 100% at Woche 48. The proportion of male patients with suppression of Testosteron to <30 ng/dL was 100% at Weeks 24 and 48. Suppression (defined as regression or no change) of the physical signs of puberty was achieved in most patients.
Bei Patienten mit vollständigen Daten für Knochenalter 40 von 45 (NULL,9%) und 42 von 45 (NULL,3%) nahmen das Verhältnis von Knochenalter zu chronologischem Alter in den Wochen 24 bzw. 48 im Vergleich zum Ausgangswert ab.
In der Verlängerung der Studie (Wochen 49 bis 144) 4 von 45 eingeschlossenen Patienten wurden aufgrund mangelnder Wirksamkeit abgesetzt. 23 Patienten hatten in Woche 144 vollständige Daten zur Verfügung; Die LH -Unterdrückung wurde bei allen 23 Patienten beibehalten.
Patienteninformationen für Lupron Depot
Lupron Depot-Ped ®
(Loo-Pron Depo pinkig)
(Leuprolidacetat zur Depotsuspension)
Was sind die wichtigsten Informationen, die ich über Lupron Depot-Ped wissen sollte?
Rufen Sie sofort den Arzt Ihres Kindes an, wenn Ihr Kind neue oder sich verschlechternde psychische Symptome oder Probleme hat, während Sie Lupron Depot-Ped einnehmen.
Bei Menschen, die keine dieser Probleme hatten, sind auch Anfälle aufgetreten. Rufen Sie sofort den Arzt Ihres Kindes an, wenn Ihr Kind einen Anfall hat, während Sie Lupron Depot-Ped einnehmen.
- Während der ersten 2 bis 4 Wochen der Behandlung können Lupron Depot-PED zu einem Anstieg einiger Hormone führen. In dieser Zeit können Sie bei Ihrem Kind mehr Anzeichen für die Pubertät einschließlich vaginaler Blutungen feststellen. Rufen Sie Ihren Arzt an, wenn diese Zeichen nach dem zweiten Monat der Behandlung mit Lupron Depot-Ped fortgesetzt werden.
- Einige Menschen, die Gonadotropin einnehmen, die Hormon (GNRH) -Agonisten wie Lupron Depoted freigeben, hatten neue oder verschlechterte mentale (psychiatrische) Probleme. Mentale (psychiatrische) Probleme können emotionale Symptome umfassen wie:
- Weinen
- Reizbarkeit
- Unruhe (Ungeduld)
- Wut
- aggressiv handeln
- Einige Leute, die GnRH-Agonisten wie Lupron Depot-Ped einnehmen, hatten Anfälle. Das Risiko von SEIZEURUREN kann bei Menschen, die:
- eine Geschichte von Anfällen haben
- Habe eine Geschichte der Epilepsie
- eine Vorgeschichte von Gehirn- oder Gehirngefäßproblemen oder Tumoren haben
- nehmen ein Medikament ein, das mit Anfällen wie Bupropion oder selektiven Serotonin -Wiederaufnahmehemmern (SSRIs) verbunden ist
- Ein erhöhter Druck in der Flüssigkeit um das Gehirn kann bei Kindern auftreten, die Gonadotropin-Freisetzung Hormon (GNRH) -Agonisten-Medikamente einschließlich Lupron-Depot-PED einnehmen. Rufen Sie sofort den Arzt Ihres Kindes an, wenn Ihr Kind während der Behandlung mit Lupron Depot-Ped eine der folgenden Symptome hat:
- Kopfschmerzen
- Augenprobleme einschließlich verschwommenes Sehen doppelte Sehvermögen und verringerter Sehvermögen
- Augenschmerzen
- in den Ohren klingeln
- Schwindel
- Brechreiz
Was ist Lupron Depot-Ped?
- Lupron Depot-Ped is an injectable prescription gonadotropin releasing hormone (GnRH) medicine used for the treatment of children with central precocious puberty (CPP).
- Es ist nicht bekannt, ob Lupron Depot-Ped bei Kindern weniger als 1 Jahr sicher ist.
Lupron Depot-Ped should not be taken if your child is:
- Allergisch gegen GnRH-GnRH-Agonisten-Medikamente oder Inhaltsstoffe in Lupron Depot-Ped. Das Ende dieses Medikamentenleitfadens finden Sie in einer vollständigen Liste von Zutaten in Lupron Depot-Ped.
- schwanger oder schwanger. Lupron Depot-Ped kann Geburtsfehler oder Verlust des Babys verursachen. Wenn Ihr Kind schwanger wird, rufen Sie Ihren Arzt an.
Bevor Ihr Kind Lupron Depot-Ped erhält, teilen Sie es seinem Arzt über alle Erkrankungen Ihres Kindes mit, auch wenn sie:
- haben eine Geschichte von mentalen (psychiatrischen) Problemen.
- eine Geschichte von Anfällen haben.
- Habe eine Geschichte der Epilepsie.
- eine Vorgeschichte von Gehirn- oder Gehirngefäßproblemen oder Tumoren haben.
- nehmen ein Medikament ein, das mit Anfällen wie Bupropion oder selektiven Serotonin -Wiederaufnahmehemmern (SSRIs) verbunden ist.
- stillen oder plant still. Es ist nicht bekannt, ob Lupron Depot-Ped in die Muttermilch übergeht.
Erzählen Sie Ihrem Arzt von all den Medikamenten, die Ihr Kind einnimmt einschließlich verschreibungspflichtiger und rezeptfreier Medikamente Vitamine und Kräuterpräparate.
Wie wird Ihr Kind Lupron Depot-Ped erhalten?
- Der Arzt Ihres Kindes sollte Tests durchführen, um sicherzustellen, dass Ihr Kind CPP hat, bevor sie es mit Lupron Depot-Ped behandelt.
- Lupron Depot-Ped is given as a single-dose injection into your child’s muscle each month every 3 months or every 6 months by a doctor or trained nurse. Your doctor will decide how often your child will receive the injection.
- Führen Sie alle geplanten Besuche beim Arzt. Wenn eine geplante Dosis vermisst wird, kann Ihr Kind wieder Anzeichen von Pubertät haben. Der Arzt wird regelmäßige Untersuchungen und Blutuntersuchungen durchführen, um nach Anzeichen der Pubertät zu suchen.
Was sind die möglichen Nebenwirkungen von Lupron Depot-Ped?
Lupron Depot-Ped may cause serious side effects. See Was sind die wichtigsten Informationen, die ich über Lupron Depot-Ped wissen sollte?
Tri Sprinesc Geburtenkontrolle Nebenwirkungen
Die häufigsten Nebenwirkungen von Lupron Depot-Ped, die 1 Mal pro Monat erhalten wurden, sind:
- Reaktionen für Injektionsstelle wie Schmerzschwellungen und Abszess
- Gewichtszunahme
- Schmerzen im gesamten Körper
- Kopfschmerzen
- Akne or red itchy Ausschlag and white scales (seborrhea)
- schwerwiegender Hautausschlag (Erythema multiforme)
- Stimmungsänderungen
- Schwellung of vagina (Vaginitis) vaginal Blutung and vaginal discharge
Zu den häufigsten Nebenwirkungen von Lupron Depot-Ped, die alle 3 Monate erhalten wurden, gehören:
- Reaktionen für Injektionsstelle wie Schmerzen und Schwellungen
- Gewichtszunahme
- Kopfschmerzen
- Stimmungsänderungen
Zu den häufigsten Nebenwirkungen von Lupron Depot-Ped, die alle 6 Monate erhalten wurden, gehören:
- Reaktionen für Injektionsstelle wie Schmerzschwellungen und Abszess
- Kopfschmerzen
- Stimmungsänderungen
- Schmerzen im oberen Bauch
- Durchfall
- Blutung
- Brechreiz and Erbrechen
- Fieber
- Juckreiz
- Schmerzen in der Extremität
- Ausschlag
- Rückenschmerzen
- Bandverstauchung
- Gewichtszunahme
- Bruch
- Brustzeit
- Schwierigkeiten beim Schlafen
- Brustschmerzen
- übermäßiges Schwitzen
Dies sind nicht alle möglichen Nebenwirkungen von Lupron Depot-Ped. Rufen Sie Ihren Arzt für Medicaladvice über Nebenwirkungen an. Sie können die FDA bei 1-800-FDA-1088 Nebenwirkungen melden.
Wie soll ich Lupron Depot-Ped-Injektion aufbewahren?
- Lagern Sie die Injektion von Lupron Depot-PED bei Raumtemperatur zwischen 68 ° F und 77 ° C bis 25 ° C.
- Halten Sie die Injektion von Lupron Depot-Ped und alle Medikamente außerhalb der Reichweite der Kinder.
Allgemeine Informationen über den sicheren und effektiven Einsatz von Lupron Depot-Ped.
Medikamente werden manchmal für andere Zwecke als die in einem Medikamentenhandbuch aufgeführten Zwecke verschrieben. Verwenden Sie das Lupron-Depot-PED nicht für eine Bedingung, für die es nicht vorgeschrieben wurde.
Dieser Medikamentenhandbuch fasst die wichtigsten Informationen über Lupron Depot-PED zusammen. Wenn Sie weitere Informationen wünschen, sprechen Sie mit Ihrem Arzt. Sie können Ihren Apotheker oder Arzt um Informationen zu Lupron Depot-Ped bitten, die für Ärzte oder ausgebildete Krankenschwestern geschrieben wurden.
Was sind die Zutaten in Lupron Depot-Ped?
Lupron Depot-Ped 7,5 mg 11,25 mg or 15 mg for 1-month administration:
Wirkstoffe: Leuprolidacetat zur Depotsuspension
Inaktive Zutaten: Gereinigte Gelatine DL-Blactic- und Glykolsäuren Copolymer D-Mannitol-Carboxymethylcellulose-Natriumpolysorbat 80 Wasser für Injektion USP und Gletscher Essigsäure USP zur Kontrolle pH.
Lupron Depot-Ped 11,25 mg or 30 mg for 3-month administration:
Wirkstoffe: Leuprolidacetat zur Depotsuspension
Inaktive Zutaten: Polylactsäure D-Mannitol-Carboxymethylcellulose-Natriumpolysorbat 80 Wasser zur Injektion USP und Gletscher Essigsäure USP zur Kontrolle pH.
Lupron Depot-Ped 45 mg for 6-month administration:
Wirkstoffe: Leuprolidacetat zur Depotsuspension
Inaktive Zutaten: Polylactsäure D-Mannitol und Stearinsäure Carboxymethylcellulose-Natriumdmannitol-Polysorbat 80 Wasser für Injektion USP und Gletscher Essigsäure-USP zur Kontrolle pH.
Dieser Medikamentenführer wurde von der US -amerikanischen Food and Drug Administration zugelassen.