Die Informationen Auf Dieser Website Stellen Keine Medizinische Beratung Dar. Wir Verkaufen Nichts. Die Richtigkeit Der Übersetzung Wird Nicht Garantiert. Haftungsausschluss
ADHS -Agenten
Strattera
Drogenzusammenfassung
Was ist Strattera?
Strattera (Atomoxetin) ist ein selektiver Noradrenalin -Wiederaufnahmehemmer, der zur Behandlung verschrieben wird Aufmerksamkeitsdefizit -Hyperaktivitätsstörung ( ADHS ). Strattera ist als erhältlich Generika .
Was sind Nebenwirkungen von Strattera?
Häufige Nebenwirkungen von Strattera sind:
- Probleme beim Schlafen (Schlaflosigkeit)
- Trockener Mund
- Husten
- Verringerter Appetit
- Magenverstimmung
- Übelkeit oder Erbrechen
- Schwindel
- Schläfrigkeit
- Reizbarkeit
- Verstopfung
- Hautausschlag
- Juckreiz
- Erhöhte Menstruationskrämpfe und
- sexuelle Nebenwirkungen einschließlich
- Impotenz
- Interessenverlust am Sex oder
- Probleme mit einem Orgasmus.
- Schwierigkeiten zu urinieren
- ungewöhnlich schneller oder unregelmäßiger Herzschlag
- Ohnmacht oder
- Taubheit oder Kribbeln.
Dosierung für Strattera
Die Strattera-Dosis reicht von 40 mg/Tag bis 100 mg/Tag in 1-2 geteilten Dosen.
Welche Drogensubstanzen oder Nahrungsergänzungsmittel interagieren mit Strattera?
Strattera kann mit interagieren mit Albuterol Amiodaron Bupropion Celecoxib Cimetidin Doxorubicin Metoclopramid Quinidin Ritonavir Ranitidin Terbinafin -Antidepressiva Antihistaminika oder sleep medicines. Tell your doctoder all medication Und supplements you use.
Strattera während der Schwangerschaft und des Stillens
Strattera kann schwere Leberverletzungen verursachen. Es gibt keine angemessenen Untersuchungen von Strattera bei schwangeren Frauen, und es ist nicht bekannt, ob Strattera in menschlicher Muttermilch sekretiert wird. Sagen Sie Ihrem Arzt, wenn Sie schwanger sind oder vorhaben, schwanger zu werden oder wenn Sie stillen, bevor Sie Strattera verwenden.
Weitere Informationen
Unser Strattera Side Effects Drug Center bietet einen umfassenden Überblick über die verfügbaren Arzneimittelinformationen über die potenziellen Nebenwirkungen bei der Einnahme dieses Medikaments.
FDA -Drogeninformationen
- Drogenbeschreibung
- Indikationen
- Dosierung
- Nebenwirkungen
- Wechselwirkungen mit Arzneimitteln
- Warnungen
- Überdosis
- Kontraindikationen
- Klinische Pharmakologie
- Medikamentenhandbuch
WARNUNG
Selbstmordgedanken bei Kindern und Jugendlichen
Stattera (Atomoxetin) erhöhte das Risiko einer Suizidgedanken in Kurzzeitstudien bei Kindern oder Jugendlichen mit Aufmerksamkeitsdefizit/Hyperaktivitätsstörung (ADHS). Jeder, der die Verwendung von Strattera in einem Kind oder Jugendlichen in Betracht zieht, muss dieses Risiko mit dem klinischen Bedarf in Einklang bringen. Mit ADHS auftretende Komorbiditäten können mit einem Anstieg des Risikos für Selbstmordgedanken und/oder Verhalten verbunden sein. Patienten, die mit der Therapie begonnen werden, sollten eng auf Selbstmord (Suiziddenken und Verhalten) klinische Verschlechterung oder ungewöhnliche Verhaltensänderungen überwacht werden. Familien und Pflegekräfte sollten über die Notwendigkeit einer engen Beobachtung und Kommunikation mit dem Prescriber beraten werden. Strattera ist für ADHS bei pädiatrischen und erwachsenen Patienten zugelassen. Strattera ist nicht für eine schwere depressive Störung zugelassen. Poolierte Analysen kurzfristiger (6 bis 18 Wochen) placebokontrollierter Studien mit Strattera bei Kindern und Jugendlichen (insgesamt 12 Studien mit über 2200 Patienten, darunter 11 Studien in ADHS und 1 Studie bei Enuresis), haben ein höheres Risiko einer Selbstmordideen während der Behandlung bei denjenigen, die Strattera erhalten, im Vergleich zu Placebo ein höheres Risiko einer Selbstmordideen ergeben. Das durchschnittliche Risiko einer Suizidgedanken bei Patienten, die Strattera erhielten, betrug 0,4% (5/1357 Patienten) im Vergleich zu keiner mit Placebo-behandelten Patienten (851 Patienten). In diesen Versuchen traten keine Selbstmorde auf [siehe WARNUNGS AND VORSICHTSMASSNAHMEN ].
Beschreibung für Strattera
Strattera ® (Atomoxetin) ist ein selektiver Noradrenalin -Wiederaufnahmehemmer. Atomoxetin HCl ist das R (-) -Isomer, wie durch Röntgenbeugung bestimmt. Die chemische Bezeichnung lautet (-)- N -Methyl-3-phenyl-3- ( o -Tolyloxy) -Propylaminhydrochlorid. Die molekulare Formel ist c 17 H 21 Nein • HCl, das einem Molekulargewicht von 291,82 entspricht. Die chemische Struktur ist:
|
Atomoxetin HCl ist ein weißes bis praktisch weißer Feststoff, der eine Löslichkeit von 27,8 mg/ml in Wasser aufweist.
Strattera capsules are intended foder oderal administration only.
Jede Kapsel enthält Atomoxetin -HCl -äquivalent zu 10 18 25 40 60 80 oder 100 mg Atomoxetin. Die Kapseln enthalten auch vorgelatinisierte Stärke und Dimethicon. Die Kapselschalen enthalten gelatine Natriumlaurylsulfat und andere inaktive Inhaltsstoffe. Die Kapselschalen enthalten auch eine oder mehrere der folgenden:
Fd
Verwendet für Strattera
Aufmerksamkeitsdefizit/Hyperaktivitätsstörung (ADHS)
Strattera is indicated foder the treatment of Aufmerksamkeitsdefizit/Hyperaktivitätsstörung (ADHS).
Die Wirksamkeit von Strattera-Kapseln wurde in sieben klinischen Studien bei ambulanten Patienten mit ADHS festgelegt: vier 6 bis 9-wöchige Studien bei pädiatrischen Patienten (6 bis 18 Jahre) zwei 10-wöchige Studien bei Erwachsenen und eine Erhaltungsstudie in Pädiatrie (6 bis 15 Jahre) [siehe Klinische Studien ].
Diagnostische Überlegungen
Eine Diagnose von ADHS (DSM-IV) impliziert das Vorhandensein von hyperaktiven impulsiven oder unaufmerksamen Symptomen, die eine Beeinträchtigung verursachen und vor 7 Jahren vorhanden waren. Die Symptome müssen anhaltend sein müssen schwerer sein, als bei Personen auf einem vergleichbaren Entwicklungsniveau typischerweise beobachtet wird. in der sozialen akademischen oder beruflichen Funktionsweise und muss in zwei oder mehr Umgebungen vorhanden sein, z. Schule (oder Arbeit) und zu Hause. Die Symptome dürfen von einer anderen psychischen Störung nicht besser berücksichtigt werden.
Die spezifische Ätiologie von ADHS ist unbekannt und es gibt keinen einzigen diagnostischen Test. Eine angemessene Diagnose erfordert die Verwendung nicht nur medizinischer, sondern auch von besonderen psychologischen Bildungs- und sozialen Ressourcen. Lernen kann beeinträchtigt werden oder auch nicht. Die Diagnose muss auf einer vollständigen Anamnese und Bewertung des Patienten und nicht nur auf dem Vorhandensein der erforderlichen Anzahl von DSM-IV-Eigenschaften beruhen.
Für den unaufmerksamen Typ müssen mindestens 6 der folgenden Symptome mindestens 6 Monate lang bestehen bleiben: Mangel an Aufmerksamkeit für Details/unachtsame Fehler mangelnde nachhaltige Aufmerksamkeit schlechte Zuhörer, die bei Aufgaben nicht einhalten, vermeidet Aufgaben, die anhaltende mentale Anstrengungen erforderlich sind, die leicht vergesslich abgelenkt werden. Für den hyperaktiven impulsiven Typ müssen mindestens 6 der folgenden Symptome mindestens 6 Monate lang bestehen bleiben: Zappeln/Winden, die den Sitz unangemessener Lauf-/Kletternschwierigkeiten mit ruhigen Aktivitäten unterwegs übermäßig sprechende Antworten lassen, können es kaum erwarten, sich aufdringlich zu drehen. Für eine kombinierte Typdiagnose müssen sowohl unaufmerksame als auch hyperaktiv-impulsive Kriterien erfüllt sein.
Notwendigkeit eines umfassenden Behandlungsprogramms
Strattera is indicated as an integral part of a total treatment program foder ADHS that may include other measures (psychological educational social) foder patients with this syndrome. Drug treatment may not be indicated foder all patients with this syndrome. Drug treatment is not intended foder use in the patient who exhibits symptoms secondary to environmental factoders Und/oder other primary psychiatric disoderders including Psychose. Appropriate educational placement is essential in children Und adolescents with this diagnosis Und psychosocial intervention is often helpful. When remedial measures alone are insufficient the decision to prescribe drug treatment medication will depend upon the physician’s assessment of the chronicity Und severity of the patient’s symptoms.
Dosierung für Strattera
Akute Behandlung
Dosierung von Kindern und Jugendlichen bis zu 70 kg Körpergewicht
Strattera should be initiated at a total daily dose of approximately 0.5 mg/kg Und increased after a minimum of 3 days to a target total daily dose of approximately 1.2 mg/kg administered either as a single daily dose in the moderning oder as evenly divided doses in the moderning Und late afternoon/early evening. No additional benefit has been demonstrated foder doses higher than 1.2 mg/kg/day [see Klinische Studien ].
Die gesamte tägliche Dosis bei Kindern und Jugendlichen sollte 1,4 mg/kg oder 100 mg nicht überschreiten, je nachdem, was weniger ist.
Dosierung von Kindern und Jugendlichen über 70 kg Körpergewicht und Erwachsene
Strattera should be initiated at a total daily dose of 40 mg Und increased after a minimum of 3 days to a target total daily dose of approximately 80 mg administered either as a single daily dose in the moderning oder as evenly divided doses in the moderning Und late afternoon/early evening. After 2 to 4 additional weeks the dose may be increased to a maximum of 100 mg in patients who have not achieved an optimal response. There are no data that suppodert increased effectiveness at higher doses [see Klinische Studien ].
Die maximal empfohlene Gesamtdosis bei Kindern und Jugendlichen über 70 kg und Erwachsene beträgt 100 mg.
Aufrechterhaltung/erweiterte Behandlung
Es ist allgemein vereinbart, dass die pharmakologische Behandlung von ADHS über längere Zeiträume erforderlich sein kann. Der Vorteil der Aufrechterhaltung pädiatrischer Patienten (6-15 Jahre im Alter von 6 bis 15 Jahren) mit ADHS auf Strattera nach einer Reaktion in einem Dosisbereich von 1,2 bis 1,8 mg/kg/Tag wurde in einer kontrollierten Studie nachgewiesen. Patienten, die Strattera in der Wartungsphase zugeordnet waren, wurden im Allgemeinen in derselben Dosis fortgesetzt, um eine Reaktion in der offenen Etikettphase zu erreichen. Der Arzt, der Strattera für längere Zeiträume verwenden möchte Klinische Studien ].
Allgemeine Dosierungsinformationen
Strattera may be taken with oder without food.
Strattera can be discontinued without being tapered.
Strattera capsules are not intended to be opened they should be taken whole [see Patienteninformationen ]. The safety of single doses over 120 mg Und total daily doses above 150 mg have not been systematically evaluated.
Bildschirm auf bipolare Störung vor dem Start von Strattera
Vor der Initiierung der Behandlung mit Strattera -Screen -Patienten für eine persönliche oder familiäre Vorgeschichte bipolarer Störungen Manie oder Hypomanie [siehe WARNUNGS AND VORSICHTSMASSNAHMEN ].
Dosierung in bestimmten Populationen
Dosierungsanpassung an Patienten mit Leberbeeinträchtigten Patienten
Für diejenigen ADHS-Patienten mit einer Dosierungsanpassung von Leberinsuffizienz (HI) wird wie folgt empfohlen: Für Patienten mit moderatem HI (Child-Pugh-Klasse B) sollten Anfangs- und Zieldosen auf 50% der normalen Dosis (für Patienten ohne HI) reduziert werden. Bei Patienten mit schwerer HI-(Child-Pugh-Klasse C) sollten die anfängliche Dosis und die Zieldosen auf 25% des Normalen reduziert werden [siehe Verwendung in bestimmten Populationen ].
Dosierungsanpassung für die Verwendung mit einem starken CYP2D6 -Inhibitor oder bei Patienten, von denen bekannt ist, dass sie CYP2D6 -PMS sind
Bei Kindern und Jugendlichen bis zu 70 kg Körpergewicht verabreicht starke CYP2D6 -Inhibitoren, z. Paroxetin -Fluoxetin und Chinidin oder bei Patienten, von denen bekannt ist, dass sie CYP2D6 PMs sind, sollten bei 0,5 mg/kg/Tag initiiert werden und erst auf die übliche Zieldosis von 1,2 mg/kg/Tag erhöht werden, wenn sich die Symptome nach 4 Wochen nicht verbessern und die anfängliche Dosis gut toleriert ist.
Bei Kindern und Jugendlichen über 70 kg Körpergewicht und Erwachsene verabreichten starke CYP2D6 -Inhibitoren, z. Paroxetinfluoxetin und Chinidin Strattera sollten bei 40 mg/Tag initiiert werden und nur auf die übliche Zieldosis von 80 mg/Tag erhöht werden, wenn sich die Symptome nach 4 Wochen nicht verbessern und die anfängliche Dosis gut vertragen.
Wie geliefert
Dosierung Foderms And Strengths
Jede Kapsel enthält Atomoxetin -HCl -äquivalent zu 10 mg (undurchsichtigem weißem undurchsichtigem Weiß) 18 mg (gold undurchsichtigem Weiß) 25 mg (opaken blau und undurchsichtigem Weiß) 40 mg (opaken blau und undurchsichtigem blauem blauem Blau) 60 mg (opaque blau Gold) 80 mg (opaque braun opaque weiß).
Was ist die Dosierung für Aspirin?
Lagerung und Handhabung
| Strattera ® Kapseln | 10 mg a | 18 mg a | 25 mg a | 40 mg a | 60 mg a | 80 mg a | 100 mg a |
| Farbe | Undurchsichtiges weißes undurchsichtiges Weiß | Goldenes undurchsichtiges Weiß | Undurchsichtiger blau und undurchsichtiger Weiß | Undurchsichtiger blau und undurchsichtiges Blau | Und undurchsichtiges blaues Gold | Undurchsichtiger brauner undurchsichtiger Weiß | Undurchsichtiger brauner undurchsichtiger Braun |
| Identifikation | Lilly 3227 | Lilly 3238 | Lilly 3228 | Lilly 3229 | Lilly 3239 | Lilly 3250 | Lilly 3251 |
| 10 mg | 18 mg | 25 mg | 40 mg | 60 mg | 80 mg | 100 mg | |
| NDC -Codes: | |||||||
| Flaschen von 30 | 0002-322730 | 0002-323830 | 0002-322830 | 0002-322930 | 0002-323930 | 0002-325030 | 0002-325130 |
| a Atomoxetin -Basisäquivalent. |
Speichern Sie bei 25 ° C (77 ° F); Exkursionen, die auf 15 ° bis 30 ° C (59 ° bis 86 ° F) zulässig sind [siehe USP -kontrollierte Raumtemperatur].
Vermarktet von: Lilly USA LLC Indianapolis in 46285 USA. Überarbeitet: Januar 2022
Nebenwirkungen foder Strattera
Klinische Studien Erfahrung
Strattera was administered to 5382 children oder adolescent patients with ADHS Und 1007 adults with ADHS in clinical studies. During the ADHS clinical trials 1625 children Und adolescent patients were treated foder longer than 1 year Und 2529 children Und adolescent patients were treated foder over 6 months.
Da klinische Studien unter stark unterschiedlichen Bedingungen durchgeführt werden, die in den klinischen Studien eines Arzneimittels beobachtet werden, können in den klinischen Studien eines anderen Arzneimittels nicht direkt mit den Raten verglichen werden und spiegeln möglicherweise nicht die in der Praxis beobachteten Raten wider.
Klinische Studien von Kindern und Jugendlichen
Gründe für den Absetzen der Behandlung aufgrund nachteiliger Reaktionen in klinischen und jugendlichen klinischen Studien
In akuten und jugendlichen placebokontrollierten Versuchen von 3,0% (48/1613) von Atomoxetin-Probanden und 1,4% (13/945) Placebo-Probanden wurden wegen unerwünschter Reaktionen unterbrochen. Für alle Studien (einschließlich Open-Label- und Langzeitstudien) 6,3% der Patienten mit umfangreichem Metabolizer (EM) und 11,2% der Patienten mit schlechter Metabolizer (PM) wurden aufgrund einer Nebenwirkung abgebrochen. Bei Strattera-behandelten Patienten Reizbarkeit (NULL,3% n = 5); Schläfrigkeit (NULL,3% n = 5); Aggression (NULL,2% n = 4); Übelkeit (NULL,2% n = 4); Erbrechen (NULL,2% n = 4); Bauchschmerzen (NULL,2% n = 4); Verstopfung (NULL,1% n = 2); Ermüdung (NULL,1% n = 2); sich abnormal fühlen (NULL,1% n = 2); und Kopfschmerzen (NULL,1% n = 2) waren die Gründe für die Abnahme von mehr als 1 Patienten.
Anfälle
Strattera has not been systematically evaluated in pediatric patients with seizure disoderder as these patients were excluded from clinical studies during the product’s premarket testing. In the clinical development program seizures were repoderted in 0.2% (12/5073) of children whose average age was 10 years (range 6 to 16 years). In these clinical trials the seizure risk among pooder metabolizers was 0.3% (1/293) compared to 0.2% (11/4741) foder extensive metabolizers.
Häufig beobachtete Nebenwirkungen bei akuten und jugendlichen placebokontrollierten Versuchen
Häufig beobachtete Nebenwirkungen, die mit der Verwendung von Strattera (Inzidenz von 2% oder mehr) verbunden sind und bei einer äquivalenten Inzidenz bei mit Placebo behandelten Patienten (StRattera-Inzidenz größer als Placebo) nicht beobachtet wurden) sind in Tabelle 2 aufgeführt. Die Ergebnisse waren in der BID und der QD-Studie ähnlich, außer wie in Tabelle 3 gezeigt. Die am häufigsten beobachteten unerwünschten Reaktionen bei Patienten, die mit Strattera behandelt wurden (Inzidenz von 5% oder mehr und mindestens doppelt so hoch wie bei Placebo -Patienten für Bid- oder QD -Dosierung), waren: Übelkeit Erbrechener Erbrechen minderte den Appetit -Bauchschmerz und die Somnolenz (siehe Tabellen 2 und 3).
Zusätzliche Daten aus klinischen ADHS -Studien (kontrolliert und unkontrolliert) haben gezeigt Kontraindikationen Und WARNUNGS AND VORSICHTSMASSNAHMEN ].
Tabelle 2: Häufige Behandlungs - auffällige Nebenwirkungen, die mit der Verwendung von Strattera in akuten (bis zu 18 Wochen) Kinder- und Jugendversuchen verbunden sind
| Nebenwirkungen a | Prozentsatz der Patienten, die die Reaktion melden | |
| Strattera (N = 1597) | Placebo (N = 934) | |
| Magen -Darm -Störungen | ||
| b | 18 | 10 |
| 11 | 6 | |
| 10 | 5 | |
| Allgemeine Erkrankungen und Verwaltungsortbedingungen | ||
| 8 | 3 | |
| 6 | 3 | |
| 2 | 1 | |
| Untersuchungen | ||
| 3 | 0 | |
| Stoffwechsel und Ernährungsstörungen | ||
| 16 | 4 | |
| 3 | 1 | |
| Störungen des Nervensystems | ||
| 19 | 15 | |
| c | 11 | 4 |
| 5 | 2 | |
| Haut- und subkutane Gewebeerkrankungen | ||
| 2 | 1 | |
| a Reaktionen von mindestens 2% der mit Atomoxetin behandelten Patienten und größer als Placebo. Die folgenden Reaktionen erfüllten dieses Kriterium nicht, sondern wurden von mehr mit Atomoxetin behandelten Patienten als mit Placebo-behandelte Patienten berichtet und stehen möglicherweise mit Atomoxetinbehandlung zusammen: Blutdruck erhöhte das Erwachen am frühen Morgen (terminale Schlaflosigkeit), die Mydriasis Sinus Tachykardie Asthenia Palpitations Stimmungsschwinge Stimmungsschwinge und Dysspepsien spülen. Die folgenden Reaktionen wurden von mindestens 2% der mit Atomoxetin behandelten Patienten berichtet und gleich oder weniger als Placebo: Pharyngolaryngeal -Schmerz Schlaflosigkeit (Insomnia enthält die Begriffe, die initiale Schlaflosigkeit mit mittlerer Schlaflosigkeit innern). Die folgende Reaktion erfüllte dieses Kriterium nicht, sondern zeigt eine statistisch signifikante Dosisbeziehung: Pruritus. b Bauchschmerzen umfassen die Begriffe: Bauchschmerzen Oberbauch Schmerz Magen Beschwerden Bauchbeschwerden Epigastrische Beschwerden. c Schläfrigkeit umfasst die Begriffe: Sedierung Somnolence. |
Tabelle 3: Häufige Behandlungsempfänger-Nebenwirkungen im Zusammenhang mit der Verwendung von Strattera in akuten (bis zu 18 Wochen) Kinder- und Jugendversuchen im Zusammenhang
| Nebenwirkungen | Prozentsatz der Patienten, die sich aus Bid -Studien melden | Prozentsatz der Patienten melden sich aus QD -Studien | ||
| Strattera (N = 715) | Placebo (N = 434) | Strattera (N = 882) | Placebo (N = 500) | |
| Magen -Darm -Störungen | ||||
| a | 17 | 13 | 18 | 7 |
| 11 | 8 | 11 | 4 | |
| 7 | 6 | 13 | 4 | |
| b | 2 | 1 | 1 | 0 |
| Allgemeine Störungen | ||||
| 6 | 4 | 9 | 2 | |
| Psychiatrische Störungen | ||||
| c | 2 | 0 | 1 | 1 |
| a Bauchschmerzen umfassen die Begriffe: Bauchschmerzen Oberbauch Schmerz Magen Beschwerden Bauchbeschwerden Epigastrische Beschwerden. b Verstopfung entsprach nicht der statistischen Signifikanz beim Breslow-Day-Test, ist jedoch aufgrund der pharmakologischen Plausibilität in der Tabelle enthalten. c Stimmungsschwankungen trafen die statistische Signifikanz beim Breslow-Day-Test bei 0,05 nicht, aber der p-Wert war <0.1 (trend). |
Die folgenden Nebenwirkungen traten bei mindestens 2% der CYP2D6 -Patienten von Kindern und Jugendlichen auf und waren bei PM -Patienten statistisch signifikant häufiger im Vergleich zu CYP2D6 EM -Patienten: Schlaflosigkeit (11% der PMS 6% der EMS); Das Gewicht nahm ab (7% der PMS 4% der EMS); Verstopfung (7% der PMS 4% der EMS); Depression 1 (7% der PMS 4% der EMS); Tremor (5% der PMS 1% der EMS); Exporiation (4% der PMS 2% der EMS); mittlere Schlaflosigkeit (3% der PMS 1% der EMS); Bindehautentzündung (3% der PMS 1% der EMS); Synkope (3% der PMS 1% der EMS); Am frühen Morgen erwachen (2% der PMS 1% der EMS); mydriassis (2% der PMS 1% der EMS); Sedierung (4% der PMS 2% der EMS).
1 Die Depression umfasst die folgenden Begriffe: Depression Depression Depression depressive Symptome depressive Stimmungsdysphorie.
Klinische Studien für Erwachsene
Gründe für den Absetzen der Behandlung aufgrund unerwünschter Reaktionen in akuten, placebokontrollierten Studien für Erwachsene
In den akuten adulten placebokontrollierten Studien 11,3% (61/541) Atomoxetin-Probanden und 3,0% (12/405) wurden Placebo-Probanden wegen unerwünschter Reaktionen eingestellt. Unter Strattera-behandelten Patienten mit Schlaflosigkeit (NULL,9% n = 5); Übelkeit (NULL,9% n = 5); Brustschmerzen (NULL,6% n = 3); Ermüdung (NULL,6% n = 3); Angst (NULL,4% n = 2); erektile Dysfunktion (NULL,4% n = 2); Stimmungsschwankungen (NULL,4% n = 2); Nervosität (NULL,4% n = 2); Herzklopfen (NULL,4% n = 2); und Harnretention (NULL,4% n = 2) waren die Gründe für die Abnahme von mehr als 1 Patienten.
Anfälle
Strattera has not been systematically evaluated in adult patients with a seizure disoderder as these patients were excluded from clinical studies during the product’s premarket testing. In the clinical development program seizures were repoderted on 0.1% (1/748) of adult patients. In these clinical trials no pooder metabolizers (0/43) repoderted seizures compared to 0.1% (1/705) foder extensive metabolizers.
Häufig beobachtete Nebenwirkungen in akuten, placebokontrollierten Studien für Erwachsene
Am häufigsten beobachteten unerwünschten Reaktionen, die mit der Verwendung von Strattera (Inzidenz von 2% oder mehr) verbunden sind und bei einer äquivalenten Inzidenz bei Placebo-behandelten Patienten (Strathu-Inzidenz größer als Placebo) sind, sind in Tabelle 4 aufgeführt. Die am häufigsten beobachteten bei Patienten, die mit Strattera behandelt wurden, sind die am häufigsten beobachteten. erektile Dysfunktion und Urinzögern (siehe Tabelle 4).
Zusätzliche Daten aus klinischen ADHS -Studien (kontrolliert und unkontrolliert) haben gezeigt, dass ungefähr 5 bis 10% der erwachsenen Patienten potenziell klinisch wichtige Veränderungen der Herzfrequenz (≥ 20 Schläge pro min) oder Blutdruck (≥ 15 bis 20 mm Hg) auftraten [siehe Kontraindikationen Und WARNUNGS AND VORSICHTSMASSNAHMEN ].
Tabelle 4: Häufige Behandlungsversorgungsnachtungsreaktionen im Zusammenhang mit der Verwendung von Strattera in akuten (bis zu 25 Wochen) Erwachsenenversuchen im Zusammenhang
| Nebenwirkungen a | Prozentsatz der Patienten, die die Reaktion melden | |
| Strattera (N = 1697) | Placebo (N = 1560) | |
| Herzerkrankungen | ||
| 3 | 1 | |
| Magen -Darm -Störungen | ||
| 20 | 5 | |
| 26 | 6 | |
| 8 | 3 | |
| b | 7 | 4 |
| 4 | 2 | |
| 4 | 2 | |
| Allgemeine Erkrankungen und Verwaltungsortbedingungen | ||
| 10 | 6 | |
| 3 | 0 | |
| 2 | 1 | |
| 5 | 3 | |
| 2 | 1 | |
| Untersuchungen | ||
| 2 | 1 | |
| Stoffwechsel und Ernährungsstörungen | ||
| 16 | 3 | |
| Störungen des Nervensystems | ||
| 8 | 3 | |
| c | 8 | 5 |
| 3 | 0 | |
| Psychiatrische Störungen | ||
| 4 | 3 | |
| 15 | 8 | |
| d | 3 | 1 |
| 3 | 1 | |
| Nieren- und Harnstörungen | ||
| e | 6 | 1 |
| 2 | 0 | |
| Fortpflanzungssystem und Bruststörungen | ||
| f | 8 | 1 |
| g | 3 | 2 |
| f | 4 | 1 |
| Haut- und subkutane Gewebeerkrankungen | ||
| 4 | 1 | |
| Gefäßstörungen | ||
| 3 | 0 | |
| a Reaktionen von mindestens 2% der mit Atomoxetin behandelten Patienten und größer als Placebo. The following reactions did not meet this criterion but were reported by more atomoxetine-treated patients than placebo-treated patients and are possibly related to atomoxetine treatment: peripheral coldness tachycardia prostatitis testicular pain orgasm abnormal flatulence asthenia feeling cold muscle spasm dysgeusia agitation restlessness micturition urgency pollakiuria pruritus urticaria flushing tremor Menstruation Unregelmäßiger Hautausschlag und Harnretention. Die folgenden Reaktionen wurden von mindestens 2% der mit Atomoxetin behandelten Patienten berichtet und gleich oder weniger als Placebo: Angst -Durchfall -Rückenschmerzen Kopfschmerzen und oropharyngeale Schmerzen. b Bauchschmerzen umfassen die Begriffe: Bauchschmerzen Oberbauch Schmerz Magen Beschwerden Bauchbeschwerden Epigastrische Beschwerden. c Schläfrigkeit umfasst die Begriffe: Sedierung Somnolence. d Schlaflosigkeit umfasst die Begriffe: Schlaflosigkeit initiale Schlaflosigkeit mit mittlerer Schlaflosigkeit und endlose Schlaflosigkeit. e Das Zögern im Urin umfasst die Begriffe: Der Urinfluss im Urin nahm ab. f Basierend auf der Gesamtzahl der Männer (Strattera n = 943; Placebo n = 869). g Basierend auf der Gesamtzahl der Frauen (Strattera n = 754; Placebo n = 691). |
Die folgenden unerwünschten Ereignisse traten bei mindestens 2% der adulten CYP2D6 -Patienten mit schlechter Metabolisser (PM) auf und waren bei PM -Patienten statistisch signifikant häufiger im Vergleich zu CYP2D6 -Patienten mit großem Stoffwechsel (EM): Vision verschwommen (4% der PMS 1% der EMS); Trockener Mund (35% der PMS 17% der EMS); Verstopfung (11% der PMS 7% der EMS); Fühlen Sie sich nervös (5% der PMS 2% der EMS); verminderter Appetit (23% der PMS 15% der EMS); Tremor (5% der PMS 1% der EMS); Schlaflosigkeit (19% der PMS 11% der EMS); Schlafstörung (7% der PMS 3% der EMS); mittlere Schlaflosigkeit (5% der PMS 3% der EMS); Endlosigkeit (3% der PMS 1% der EMS); Harnretention (6% der PMS 1% der EMS); erektile Dysfunktion (21% der PMS 9% der EMS); Ejakulationsstörung (6% der PMS 2% der EMS); Hyperhidrose (15% der PMS 7% der EMS); periphere Kälte (3% der PMS 1% der EMS).
Männliche und weibliche sexuelle Dysfunktion
Atomoxetin scheint bei einigen Patienten die sexuelle Funktion zu beeinträchtigen. Veränderungen in der sexuellen Verlangen sexuelle Leistung und sexuelle Zufriedenheit sind in den meisten klinischen Studien nicht gut bewertet, da sie besondere Aufmerksamkeit benötigen und dass Patienten und Ärzte möglicherweise nur ungern diskutieren. Dementsprechend unterschätzen die Schätzungen der Inzidenz von sexuellen Erfahrungen und Leistungen der sexuellen Erfahrung und der Leistung, die bei der Produktkennzeichnung zitiert werden, die tatsächliche Inzidenz wahrscheinlich. Tabelle 4 oben zeigt die Inzidenz sexueller Nebenwirkungen von mindestens 2% der erwachsenen Patienten, die in placebokontrollierten Studien Strattera einnehmen.
Es gibt keine angemessenen und gut kontrollierten Studien, in denen die sexuelle Dysfunktion bei der Behandlung von Strattera untersucht wird. Es ist zwar schwierig, das genaue Risiko einer sexuellen Funktionsstörung im Zusammenhang mit der Verwendung von Strattera -Ärzten routinemäßig nach solchen möglichen Nebenwirkungen zu erfragen.
Nachmarkte spontane Berichte
Die folgenden nachteiligen Reaktionen wurden während der Verwendung von Strattera nach der Genehmigung identifiziert. Sofern nicht anders angegeben, sind diese nachteiligen Reaktionen bei Erwachsenen, Kindern und Jugendlichen aufgetreten. Da diese Reaktionen freiwillig aus einer Population unsicherer Größe berichtet werden, ist es nicht immer möglich, ihre Häufigkeit zuverlässig abzuschätzen oder ein kausales Verhältnis zur Arzneimittelexposition herzustellen.
Herz -Kreislauf -System - QT -Verlängerungssynkope.
Periphere Gefäßeffekte - Raynauds Phänomen.
Allgemeine Erkrankungen und Verwaltungsortbedingungen - Lethargie.
Muskuloskelettsystem - Rhabdomyolyse.
Störungen des Nervensystems - Hypoästhesie; Parästhesie bei Kindern und Jugendlichen; sensorische Störungen; tics.
Psychiatrische Störungen - Depression und depressive Stimmung; Angstlibido ändert sich.
Anfälle - Anfälle wurden im Zeitraum nach dem Stempeln gemeldet. Die Fälle von Anfällen nach dem Stempeln umfassen Patienten mit bereits bestehenden Anfällen und Patienten mit identifizierten Risikofaktoren für Anfälle sowie Patienten mit weder Vorgeschichte noch identifizierter Risikofaktoren für Anfälle. Die genaue Beziehung zwischen Strattera und Anfällen ist aufgrund der Unsicherheit über das Hintergrundrisiko von Anfällen bei ADHS -Patienten schwer zu bewerten.
Haut- und subkutane Gewebeerkrankungen - Alopezie -Hyperhidrose.
Urogenitalsystem - männliche Beckenschmerzen; Urinzögern bei Kindern und Jugendlichen; Harnretention bei Kindern und Jugendlichen.
Wechselwirkungen mit Arzneimitteln foder Strattera
Monoaminoxidase -Inhibitoren
Bei anderen Arzneimitteln, die die Monoaminkonzentrationen des Gehirns beeinflussen, gab es Berichte über schwerwiegende manchmal tödliche Reaktionen (einschließlich Hyperthermie -Starrheit myoklonus autonomer Instabilität mit möglichen schnellen Schwankungen von Vitalfunktionen und mentalen Statusänderungen, die extreme Agitation umfassen, die in Delirium und Koma voranschreiten, wenn sie in Kombination mit Maoi aufgenommen wurden. Einige Fälle mit Merkmalen, die dem neuroleptischen malignen Syndrom ähneln. Solche Reaktionen können auftreten, wenn diese Medikamente gleichzeitig oder in unmittelbarer Nähe verabreicht werden [siehe Kontraindikationen ].
Wirkung von CYP2D6 -Inhibitoren auf Atomoxetin
In ausgedehnten Metabolisierern (EMS) erhöhen Inhibitoren von CYP2D6 (z. B. Paroxetinfluoxetin und Chinidin) die Plasmakonzentrationen von Atomoxetin Steady-State zu Expositionen, die denen in schlechten Metabolisatoren ähnlich sind (PMS). Bei EM-Personen, die mit Paroxetin oder Fluoxetin behandelt wurden, ist die AUC von Atomoxetin ungefähr 6 bis 8-fach und CSS max ist etwa 3 bis 4-fach größer als nur Atomoxetin allein.
In vitro Studien legen nahe, dass die gleichzeitige Verabreichung von Cytochrom -P450 -Inhibitoren an PMS die Plasmakonzentrationen von Atomoxetin nicht erhöhen wird.
Blutdrucksenkende Medikamente und Pressormittel
Aufgrund möglicher Auswirkungen auf den Blutdruck sollten Strattera mit blutdrucksenkenden Arzneimitteln und Pressoren (z. B. Dopamin -Dobutamin) oder anderen Medikamenten, die den Blutdruck erhöhen, vorsichtig eingesetzt werden.
Albuterol
Strattera should be administered with caution to patients being treated with systemically-administered (oderal oder intravenous) Albuterol (oder other beta2 agonists) because the action of Albuterol on the cardiovascular system can be potentiated resulting in increases in heart rate Und blood pressure. Albuterol (600 mcg iv over 2 hours) induced increases in heart rate Und blood pressure. These effects were potentiated by atomoxetine (60 mg BID foder 5 days) Und were most marked after the initial coadministration of Albuterol Und atomoxetine. However these effects on heart rate Und blood pressure were not seen in another study after the coadministration with inhaled dose of Albuterol (200-800 mcg) Und atomoxetine (80 mg QD foder 5 days) in 21 healthy Asian subjects who were excluded foder pooder metabolizer status.
Wirkung von Atomoxetin auf P450 -Enzyme
Atomoxetin verursachte keine klinisch wichtige Hemmung oder Induktion von Cytochrom -P450 -Enzymen, einschließlich CYP1A2 CYP3A CYP2D6 und CYP2C9.
CYP3A -Substrat (z. B. Midazolam)
Die gleichzeitige Verabreichung von Strattera (60 mg BID für 12 Tage) mit Midazolam Eine Modellverbindung für CYP3A4 -metabolisierte Arzneimittel (Einzeldosis von 5 mg) führte zu einer Erhöhung der AUC von Midazolam um 15%. Für Medikamente, die durch CYP3A metabolisiert wurden, wird keine Dosisanpassung empfohlen.
CYP2D6 -Substrat (z. B. Desipramin)
Die gleichzeitige Verabreichung von Strattera (40 oder 60 mg BID für 13 Tage) mit Desipramin -Modellverbindung für CYP2D6 -Arzneimittel (Einzeldosis von 50 mg) veränderte die Pharmakokinetik von Depramin nicht. Für die durch CYP2D6 metabolisierte Medikamente wird keine Dosisanpassung empfohlen.
Alkohol
Der Verbrauch von Ethanol mit Strattera veränderte die berauschenden Wirkungen von Ethanol nicht.
Methylphenidat
Die gleichzeitige Verabreichung von Methylphenidat mit Strattera erhöhte die kardiovaskulären Effekte nicht über diejenigen, die nur mit Methylphenidat gesehen wurden.
Medikamente, die hoch an Plasmaprotein gebunden sind
In vitro Medikamentenstudien wurden mit Atomoxetin und anderen hochgebundenen Arzneimitteln in therapeutischen Konzentrationen durchgeführt. Atomoxetin hatte keinen Einfluss auf die Bindung von Warfarin Acetylsalicylsäure -Phenytoin oder Diazepam an menschliches Albumin. In ähnlicher Weise wirkten sich diese Verbindungen nicht auf die Bindung von Atomoxetin an menschliches Albumin aus.
Medikamente, die den pH -Wert des Magens beeinflussen
Medikamente, die den pH -pH -pH -Wert (Magnesiumhydroxid/Aluminiumhydroxid Omeprazol) erhöhen, hatten keinen Einfluss auf die Bioverfügbarkeit von Strattera.
Drogenmissbrauch und Abhängigkeit
Kontrollierte Substanz
Strattera is not a controlled substance.
Missbrauch
In einer randomisierten doppelblinden, placebokontrollierten Missbrauchspotentialstudie bei Erwachsenen, die die Auswirkungen von Strattera und Placebo Strattera verglichen haben, war nicht mit einem Reaktionsmuster verbunden, das stimulierende oder euphoriante Eigenschaften deutete.
Abhängigkeit
Klinische Studiendaten bei über 2000 Kindern von Kindern und Erwachsenen mit ADHS und über 1200 Erwachsenen mit Depression zeigten nur isolierte Vorfälle der Arzneimittelumleitung oder unangemessene Selbstverabreichung im Zusammenhang mit Strattera. Es gab keine Hinweise auf eine Symptomrückprall oder unerwünschte Reaktionen, die auf ein Arzneimitteldiskontinuieren oder ein Entzugssyndrom hinweisen.
Tiererfahrung
Arzneimittelunterscheidungsstudien an Ratten und Affen zeigten eine inkonsistente Verallgemeinerung der Stimulus zwischen Atomoxetin und Kokain.
Warnungen vor Strattera
Eingeschlossen als Teil der 'VORSICHTSMASSNAHMEN' Abschnitt
Vorsichtsmaßnahmen für Strattera
Selbstmordgedanken
Strattera increased the risk of suicidal ideation in shodert-term studies in children Und adolescents with Aufmerksamkeitsdefizit/Hyperaktivitätsstörung (ADHS). Pooled analyses of shodert-term (6 to 18 weeks) placebo-controlled trials of Strattera in children Und adolescents have revealed a greater risk of suicidal ideation early during treatment in those receiving Strattera. There were a total of 12 trials (11 in ADHS Und 1 in enuresis) involving over 2200 patients (including 1357 patients receiving Strattera Und 851 receiving placebo). The average risk of suicidal ideation in patients receiving Strattera was 0.4% (5/1357 patients) compared to none in placebo-treated patients. There was 1 suicide attempt among these approximately 2200 patients occurring in a patient treated with Strattera. In diesen Versuchen traten keine Selbstmorde auf. Alle Reaktionen traten bei Kindern 12 Jahre oder jünger auf. Alle Reaktionen traten im ersten Monat der Behandlung auf. Es ist nicht bekannt, ob sich das Risiko einer Selbstmordgedanken bei pädiatrischen Patienten auf längerfristige Verwendung erstreckt. Eine ähnliche Analyse bei erwachsenen Patienten, die mit Strattera entweder für ADHS oder bei der MAGE -Depression (MDD) behandelt wurden, ergab kein erhöhtes Risiko für Suizidgedanken oder Verhalten in Verbindung mit der Verwendung von Strattera.
Alle pädiatrischen Patienten, die mit Strattera behandelt werden, sollten angemessen überwacht und bei der klinischen Verschlechterung von Selbstmord und ungewöhnlichen Verhaltensveränderungen in den ersten Monaten einer Arzneimitteltherapie oder in Zeiten von Dosisänderungen, die entweder zunimmt oder abnimmt, genau beobachtet werden.
Die folgenden Symptome wurden mit Strattera berichtet: Angstunfähigkeit Panikangriffe Schlaflosigkeit irritabilitäts Feindlichkeit Aggressivitätsimpulsivität Akathisia (psychomotorische Unruhe) Hypomanie und Manie. Obwohl ein kausaler Zusammenhang zwischen der Entstehung solcher Symptome und dem Auftreten von Selbstmordimpulsen nicht festgestellt wurde, besteht die Bedenken, dass solche Symptome den Vorläufern der aufkommenden Selbstmordrede darstellen können. Daher sollten Patienten, die mit Strattera behandelt werden, für die Entstehung solcher Symptome beobachtet werden.
Die Änderung des therapeutischen Regimes sollte berücksichtigt werden, einschließlich möglicherweise Abbruch der Medikamente bei Patienten mit einer aufstrebenden Selbstmord oder Symptomen, die Vorläufer für die aufkommende Selbstmordung sein könnten, insbesondere wenn diese Symptome bei Beginn schwer oder abrupt sind oder nicht Teil der auftretenden Symptome des Patienten sind.
Familien und Pflegekräfte von pädiatrischen Patienten, die mit Strattera behandelt werden, sollten sich über die Überwachung der Patienten auf die Entstehung von Unruhbarkeit von Agitationen und den oben beschriebenen Verhaltensänderungen sowie zur Entstehung von Selbstmord und um solche Symptome unmittelbar minderungsbedarfsanbieter berichten. Eine solche Überwachung sollte die tägliche Beobachtung durch Familien und Betreuer umfassen.
Schwere Leberverletzung
Nach dem Stempel berichten aus, dass Strattera schwere Leberverletzungen verursachen kann. Obwohl in klinischen Studien mit etwa 6000 Patienten keine Anzeichen für eine Leberverletzung festgestellt wurden, gab es seltene Fälle von klinisch signifikanten Leberverletzungen, die wahrscheinlich oder möglicherweise mit der Verwendung von Strattera im Postmarktererfahrung in Verbindung gebracht wurden. Es wurde auch seltene Fälle von Leberversagen berichtet, einschließlich eines Falls, der zu einer Lebertransplantation führte. Aufgrund der wahrscheinlichen Unterberichterstattung ist es unmöglich, eine genaue Schätzung der tatsächlichen Inzidenz dieser Reaktionen zu liefern. In den meisten Fällen traten innerhalb von 120 Tagen nach Initiierung von Atomoxetin in den Fällen von Leberverletzungen auf, und einige Patienten hatten deutlich erhöhte Leberenzyme [> 20 x Obergrenze der normalen (ULN)] und Gelbsucht mit signifikant erhöhten Bilirubinspiegeln (> 2 x ULN), gefolgt von einer Erholung bei Atomoxetin -Abnahme. Bei einer Patientenleberverletzung, die sich durch erhöhte Leberenzyme von bis zu 40 x Uln und Gelbsucht mit Bilirubin bis zu 12 x Uln manifestierte, traten bei der Wiederaufnahme wieder auf und wurde von der Erholung nach dem Absetzen des Arzneimittels nachgewiesen, dass Strattera wahrscheinlich die Leberverletzung verursachte. Solche Reaktionen können einige Monate nach Beginn der Therapie auftreten, aber Laboranomalien können sich nach dem Absetzen des Arzneimittels einige Wochen weiter verschlechtern. Der oben beschriebene Patient erholte sich von seiner Leberverletzung und benötigte keine Lebertransplantation.
Strattera should be discontinued in patients with jaundice oder laboderatodery evidence of liver injury Und should not be restarted. Labortests zur Bestimmung der Leberenzymspiegel sollten nach dem ersten Symptom oder Anzeichen einer Leberfunktionsstörung durchgeführt werden (z. B. Pruritus Dark Urin -Gemung rechts oberer Quadrant -Zartheit oder ungeklärte Grippe wie Symptome) [siehe Labortests ; Patienteninformationen ].
Ernsthafte kardiovaskuläre Ereignisse
Plötzlicher Tod und bereits bestehende strukturelle Herzanomalien oder andere schwerwiegende Herzprobleme
Kinder und Jugendliche
Der plötzliche Tod wurde in Verbindung mit Atomoxetinbehandlung bei üblichen Dosen bei Kindern und Jugendlichen mit strukturellen Herzanomalien oder anderen schwerwiegenden Herzproblemen berichtet. Obwohl einige schwerwiegende Herzprobleme allein ein erhöhtes Risiko eines plötzlichen Todesatomoxetins bei Kindern oder Jugendlichen mit bekannten schwerwiegenden strukturellen Herzanomalien Kardiomyopathie schwerwiegende Herzrhythmusanomalien oder andere schwerwiegende Herzprobleme, die sie bei einer erhöhten Anfälligkeit für die noradrenergen Wirkung von Atomoxetin einsetzen können, nicht eingesetzt werden sollten.
Erwachsene
Bei Erwachsenen, die Atomoxetin in üblichen Dosen für ADHS einnehmen, wurden plötzliche Todesfälle und Myokardinfarkt berichtet. Obwohl die Rolle von Atomoxetin in diesen Fällen bei Erwachsenen auch unbekannte Erwachsene ist als Kinder, die schwerwiegende kardiomyopathische Herz -Rhythmus -Anomalien kardiomyopathische Herz -Herz -Arterienkrankheiten oder andere schwerwiegende Herzprobleme haben. Es sollte berücksichtigt werden, Erwachsene nicht mit klinisch signifikanten Herzanomalien zu behandeln.
Bewertung des kardiovaskulären Status bei Patienten, die mit Atomoxetin behandelt werden
Kinder Jugendliche oder Erwachsene, die zur Behandlung mit Atomoxetin in Betracht gezogen werden, sollten eine sorgfältige Anamnese (einschließlich der Bewertung einer familiären Vorgeschichte des plötzlichen Todes oder des ventrikulären Arrhythmiens) und einer körperlichen Untersuchung haben, um die Vorhandensein von Herzerkrankungen zu bewerten, und sollten eine weitere Herzbewertung erhalten, wenn Befunde eine solche Krankheit (z. B. Elektrokardiogramm und Echokardiogramm) ergeben. Patienten, die Symptome wie Anstrengungstrustschmerzen entwickeln, ungeklärte Synkope oder andere Symptome, die auf Herzerkrankungen während der Atomoxetinbehandlung hinweisen, sollten sich einer sofortigen Herzbewertung unterziehen.
Auswirkungen auf den Blutdruck und die Herzfrequenz
Strattera should be used with caution in patients whose underlying medical conditions could be wodersened by increases in blood pressure oder heart rate such as certain patients with hypertension tachycardia oder cardiovascular oder cerebrovascular disease. It should not be used in patients with severe cardiac oder vascular disoderders whose condition would be expected to deterioderate if they experienced clinically impodertant increases in blood pressure oder heart rate [see Kontraindikationen ]. Pulse Und blood pressure should be measured at baseline following Strattera dose increases Und periodically while on therapy to detect possible clinically impodertant increases.
Die folgende Tabelle enthält kurzfristige, placebokontrollierte klinische Studiendaten für die Anteile von Patienten mit zunehmendem Anstieg: Diastolischer Blutdruck ≥ 15 mm Hg; systolischer Blutdruck ≥ 20 mm Hg; Herzfrequenz größer oder gleich 20 bpm sowohl in der pädiatrischen als auch in der erwachsenen Populationen (siehe Tabelle 1).
Tabelle 1 a
| Pädiatrische akute placebokontrollierte | Erwachsene akute placebokontrollierte | |||||||
| Maximal b | Endpunkt | Maximal b | Endpunkt | |||||
| Atomoxetin % | Placebo % | Atomoxetin % | Placebo % | Atomoxetin % | Placebo % | Atomoxetin % | Placebo % | |
| DBP (≥ 15 mm Hg) | 21.5 | 14.1 | 9.3 | 4.8 | 12.6 | 8.7 | 4.8 | 3.5 |
| SBP (≥ 20 mm Hg) | 12.5 | 8.7 | 8.7 | 3.3 | 12.4 | 7.8 | 4.2 | 3.2 |
| HR (≥ 20 bpm) | 23.4 | 11.5 | 12.2 | 3.8 | 22.4 | 8.3 | 10.2 | 2.0 |
| a Abkürzungen: BPM = Schläge pro Minute; Dbp = diastolischer Blutdruck; HR = Herzfrequenz; MM Hg = Millimeters Quecksilber; SBP = systolischer Blutdruck. b Anteil der Patienten, die während der klinischen Studie zu einem bestimmten Zeitpunkt die Schwelle erfüllen. |
In placebokontrollierten Registrierungsstudien mit pädiatrischen Patienten wurde Tachykardie als unerwünschtes Ereignis für 0,3% (5/1597) dieser Strattera-Patienten im Vergleich zu 0% (0/934) von Placebo-Patienten identifiziert. Der mittlere Zunahme der Herzfrequenzerhöhung bei umfangreichen Patienten mit Stoffwechsel (EM) betrug 5,0 Schläge/Minute und bei schlechten Patienten mit Metabolizer (PM) 9,4 Schläge/Minute.
In klinischen Studien bei Erwachsenen, bei denen der EM/PM -Status verfügbar war, war der mittlere Herzfrequenzerhöhung bei PM -Patienten signifikant höher als bei EM -Patienten (11 Schläge/Minute gegenüber 7,5 Schlägen/Minute). Die Herzfrequenzeffekte könnten bei einigen PM -Patienten klinisch wichtig sein.
In placebokontrollierten Registrierungsstudien mit erwachsenen Patienten wurde Tachykardie als unerwünschtes Ereignis für 1,5% (8/540) von Strattera-Patienten im Vergleich zu 0,5% (2/402) von Placebo-Patienten identifiziert.
In klinischen Studien bei Erwachsenen, bei denen der EM/PM -Status verfügbar war, war die mittlere Änderung gegenüber dem diastolischen Blutdruck bei PM -Patienten höher als bei EM -Patienten (NULL,21 gegenüber 2,13 mm Hg), ebenso wie die mittlere Änderung gegenüber dem Ausgangswert im systolischen Blutdruck (PM: 2,75 gegenüber EM: 2,40 mm Hg). Die Blutdruckeffekte könnten bei einigen PM -Patienten klinisch wichtig sein.
Bei Patienten, die Strattera einnehmen, wurden orthostatische Hypotonie und Synkope berichtet. In Registrierungsstudien für Kinder und Jugendliche waren 0,2% (12/5596) von Strattera-behandelten Patienten eine orthostatische Hypotonie und 0,8% (46/5596) synkopen. Bei kurzfristigen Registrierungsstudien für Kinder und Jugendliche waren 1,8% (6/340) von Strattera-behandelten Patienten eine orthostatische Hypotonie im Vergleich zu 0,5% (1/207) von mit Placebo behandelten Patienten. Synkope wurde in kurzfristigen, placebokontrollierten ADHS-Registrierungsstudien für Kinder und Jugendliche nicht berichtet. Strattera sollte unter Vorsicht unter jedem Zustand verwendet werden, der Patienten für Hypotonie oder Bedingungen im Zusammenhang mit abrupten Herzfrequenz- oder Blutdruckveränderungen prädisponieren kann.
Entstehung neuer psychotischer oder manischer Symptome
Psychotische oder manische Symptome (z. B. Halluzinationen Wahndenken oder Manie) bei Patienten ohne Vorgeschichte von psychotischer Krankheit oder Manie können durch Strattera bei üblichen Dosen verursacht werden. Wenn solche Symptome auftreten, sollten Sie Strattera absetzen.
Patienten auf bipolare Störungen untersuchen
Patienten mit bipolarer Störung oder Risikofaktoren für eine bipolare Störung können während der Behandlung mit Strattera ein erhöhtes Risiko für die Entwicklung von Manie oder gemischten Episoden ausgesetzt sein. Es ist möglicherweise nicht möglich zu bestimmen, ob eine manische oder gemischte Episode, die während der Behandlung mit Strattera auftritt, auf eine nachteilige Reaktion auf Strattera oder die zugrunde liegende bipolare Störung eines Patienten zurückzuführen ist. Bevor die Behandlung mit Strattera -Patienten initiiert wird, sollten Sie angemessen auf Risikofaktoren für bipolare Störungen wie eine persönliche oder familiäre Anamnese von Manie und Depression untersucht werden.
Aggressives Verhalten oder Feindseligkeit
Patienten, die mit der Behandlung mit Strattera beginnen, sollten auf das Erscheinungsbild oder die Verschlechterung des aggressiven Verhaltens oder der Feindseligkeit überwacht werden. Es gibt Hinweise darauf, dass Strattera die Entstehung oder Verschlechterung von aggressivem Verhalten oder Feindseligkeit verursachen kann. ADHS und andere psychische Erkrankungen können mit Reizbarkeit in Verbindung gebracht werden, die es schwierig machen können, festzustellen, ob das Medikament oder die zugrunde liegende psychiatrische Erkrankung das Auftreten oder eine Verschlechterung des aggressiven Verhaltens oder der Feindseligkeit bei bestimmten Patienten verursacht. Wenn solche Symptome während der Behandlung auftreten, berücksichtigen Sie eine mögliche kausale Rolle von Strattera.
Allergische Ereignisse
Obwohl ungewöhnliche allergische Reaktionen, einschließlich anaphylaktischer Reaktionen, angioneurotische Öde -Urtikaria und Ausschlag bei Patienten berichtet wurden, die Strattera einnahmen.
Auswirkungen auf den Urinabfluss aus der Blase
Bei ADHS -kontrollierten ADHS -Studien bei Erwachsenen waren die Raten der Harnretention (NULL,7% 9/540) und im Urin zu Zögern (NULL,6% 30/540) bei Atomoxetin -Probanden im Vergleich zu Placebo -Probanden (0% 0/402; 0,5% 2/402) erhöht. Zwei erwachsene Atomoxetin -Probanden und keine Placebo -Probanden wurden aufgrund der Harnaufbewahrung aus kontrollierten klinischen Studien abgebrochen. Eine Beschwerde über die Retention oder das Zögern von Harnwaren sollte potenziell mit Atomoxetin verbunden sein.
Priapismus
Bei seltenen Nachmarktfällen von Priapismus, die als schmerzhafte und nicht schmerzhafte Penis -Erektion definiert sind, die mehr als 4 Stunden dauern, wurden für pädiatrische und erwachsene Patienten berichtet, die mit Strattera behandelt wurden. Die Erektionen wurden in Fällen gelöst, in denen Follow-up-Informationen nach Absetzen von Strattera verfügbar waren. Bei mutmaßlichem Priapismus ist eine schnelle medizinische Hilfe erforderlich.
Auswirkungen auf das Wachstum
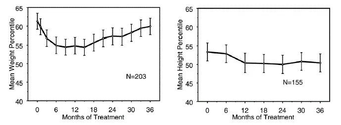
Daten über die langfristigen Auswirkungen von Strattera auf das Wachstum stammen aus offenen Studien und Veränderungen des Gewichts und der Größe werden mit normativen Populationsdaten verglichen. Im Allgemeinen die Gewichts- und Höhengewinnung von pädiatrischen Patienten, die mit Strattera-Verzögerungen hinter sich, die durch normative Bevölkerungsdaten für die ersten 9 bis 12 Monate der Behandlung vorhergesagt wurden. Anschließend haben die mit Strattera behandelten Patienten mit Gewichtszunahme und bei etwa 3 Jahren Behandlung um 17,9 kg durchschnittlich 0,5 kg mehr als vorhergesagt. Nach etwa 12 Monaten stabilisiert sich die Höhe der Höhe und bei 3 Jahren, die mit Strattera behandelt wurden, haben Patienten durchschnittlich 0,4 cm weniger als durch ihre Basisdaten vorhergesagt (siehe Abbildung 1 unten).
Abbildung 1: Durchschnittlich Gewicht und Größe Perzentile im Laufe der Zeit bei Patienten mit drei Jahren Strattera -Behandlung
|
Dieses Wachstumsmuster war im Allgemeinen ähnlich, unabhängig vom Pubertätsstatus zum Zeitpunkt der Behandlungsinitiierung. Patienten, die zu Beginn der Behandlung vorpubertal waren (Mädchen ≤ 8 Jahre alte Jungen ≤ 9 Jahre), erhielten durchschnittlich 2,1 kg und 1,2 cm weniger als vorhergesagt, die nach drei Jahren vorhergesagt wurden. Patienten, die pubertäre (Mädchen> 8 bis ≤ 13 Jahre alte Jungen> 9 bis ≤ 14 Jahre) oder späte Pubertäts (Mädchen> 13 Jahre alte Jungen> 14 Jahre) waren, hatten durchschnittliche Gewichts- und Höhengewinne, die nahe oder übertroffen wurden, die nach drei Jahren der Behandlung vorhergesagt wurden oder überschritten wurden.
Das Wachstum folgte einem ähnlichen Muster sowohl in umfangreichen als auch in schlechten Stoffwechsel (EMS PMS). PMS behandelte mindestens zwei Jahre lang durchschnittlich 2,4 kg und 1,1 cm weniger als vorhergesagt, während EMS durchschnittlich 0,2 kg und 0,4 cm weniger als vorhergesagt worden war.
In kurzfristigen kontrollierten Studien (bis zu 9 Wochen) verlor Strattera-behandelten Patienten durchschnittlich 0,4 kg und erhielten durchschnittlich 0,9 cm im Vergleich zu einem Gewinn von 1,5 kg und 1,1 cm bei den mit Placebo behandelten Patienten. In einer kontrollierten Studie mit fester Dosis haben 1,3% 7,1% 19,3% und 29,1% der Patienten mindestens 3,5% ihres Körpergewichts im Placebo 0,5 1,2 und 1,8 mg/kg/Tag-Dosisgruppen verloren.
Das Wachstum sollte während der Behandlung mit Strattera überwacht werden.
Labortests
Routine -Labortests sind nicht erforderlich.
CYP2D6 -Stoffwechsel
Schlechte Metabolisierer (PMS) von CYP2D6 haben eine 10-fache höhere AUC und eine 5-fache höhere Spitzenkonzentration auf eine gegebene Dosis von Strattera im Vergleich zu ausgedehnten Metabolisierern (EMS). Ungefähr 7% einer kaukasischen Bevölkerung sind PMS. Labortests stehen zur Verfügung, um CYP2D6 -PMS zu identifizieren. Die Blutspiegel in PMS ähneln denen, die durch die Einnahme starker Inhibitoren von CYP2D6 erreicht werden. Die höheren Blutspiegel in PMs führen zu einer höheren Rate einiger nachteiliger Auswirkungen von Strattera [siehe Nebenwirkungen ].
Gleichzeitige Verwendung starker CYP2D6 -Inhibitoren oder Verwendung bei Patienten, von denen bekannt ist, dass sie CYP2D6 PMS sind
Atomoxetin is primarily metabolized by the CYP2D6 pathway to 4-hydroxyatomoxetine. Dosierung adjustment of Strattera may be necessary when coadministered with potent CYP2D6 inhibitoders (e.g. paroxetine fluoxetine Und quinidine) oder when administered to CYP2D6 PMs [see Dosierung und Verwaltung Und Wechselwirkungen mit Arzneimitteln ].
Patientenberatungsinformationen
Raten Sie dem Patienten, die von der FDA zugelassene Patientenkennzeichnung zu lesen ( Medikamentenhandbuch ).
Selbstmordrisiko
Patienten, die ihre Familien und ihre Pflegepersonen auf die Entstehung von Angstunfähigkeit von Angstzuständen aufmerksam sind, sind ermutigt, dass die Akathisia (psychomotorische Unruhe) Hypomanie Manie andere ungewöhnliche Veränderungen in der Verhaltensdepression und der Selbstmordgedanken vor allem während der Stratelbehandlung und wenn die Dosierung angepasst wird, und wenn die Dosierung angepasst wird, auf die Ereignis von Angstzuständen aufgetreten ist und die Dosierung angepasst wird. Familien und Pflegepersonen von Patienten sollten empfohlen werden, alltägliche Symptome auf die Entstehung solcher Symptome zu beobachten, da Änderungen möglicherweise abrupt sein können. Solche Symptome sollten dem Prescriber oder des Gesundheitsberufs des Patienten berichtet werden, insbesondere wenn sie bei Beginn schwerwiegend sind oder nicht Teil der Symptome des Patienten waren. Symptome wie diese können mit einem erhöhten Risiko für Selbstmorddenken und Verhalten verbunden sein und zeigen, dass eine sehr enge Überwachung und möglicherweise Änderungen der Medikamente erforderlich sind [siehe WARNUNGS AND VORSICHTSMASSNAHMEN ].
Schwere Leberverletzung
Patienten, die Strattera initiieren, sollten davor gewarnt werden, dass sich eine schwere Leberverletzung entwickeln kann. Patienten sollten angewiesen werden, sich sofort mit ihrem Gesundheitsdienstleister in Verbindung zu setzen, falls sie Pruritus Dark Urin-Gelbsucht rechter oberer Quadrant-Zartheit oder unerklärliche grippeähnliche Symptome entwickeln [siehe WARNUNGS AND VORSICHTSMASSNAHMEN ].
Patienten auf bipolare Störungen untersuchen
Weisen Sie die Patienten und ihre Betreuer an, nach Anzeichen einer Aktivierung von Manie/Hypomanie zu suchen [siehe WARNUNGS AND VORSICHTSMASSNAHMEN ].
Aggression oder Feindseligkeit
Weisen Sie die Patienten und ihre Pflegekräfte an, sich so bald wie möglich an ihren Gesundheitsdienstleister zu wenden, wenn sie eine Zunahme von Aggression oder Feindseligkeit bemerken [siehe WARNUNGS AND VORSICHTSMASSNAHMEN ].
Priapismus
Bei seltenen Nachmarktfällen von Priapismus, die als schmerzhafte und nicht schmerzhafte Penis -Erektion definiert sind, die mehr als 4 Stunden dauern, wurden für pädiatrische und erwachsene Patienten berichtet, die mit Strattera behandelt wurden. Die Eltern oder Erziehungsberechtigten von pädiatrischen Patienten, die Strattera und erwachsene Patienten einnehmen, sollten angewiesen werden, dass Priapismus eine sofortige medizinische Hilfe erfordert [siehe WARNUNGS AND VORSICHTSMASSNAHMEN ].
Augenräger
Strattera is an ocular irritant. Strattera capsules are not intended to be opened. In the event of capsule content coming in contact with the eye the affected eye should be flushed immediately with water Und medical advice obtained. HUnds Und any potentially contaminated surfaces should be washed as soon as possible.
Wirkstoffwechselwirkung
Die Patienten sollten angewiesen werden, einen Gesundheitsdienstleister zu konsultieren, wenn sie eine verschreibungspflichtige oder rezeptfreie Medikamente einnehmen oder die Nahrungsergänzungsmittel oder pflanzliche Mittel einnehmen.
Schwangerschaftsregister
Beraten Sie den Patienten, dass es ein Schwangerschaftsregister gibt, das die Schwangerschaftsergebnisse bei Frauen überwacht, die während der Schwangerschaft Atomoxetin ausgesetzt sind [siehe Verwendung in bestimmten Populationen ].
Essen
Patienten können Strattera mit oder ohne Nahrung einnehmen.
Verpasste Dosis
Wenn Patienten eine Dosis verpassen, sollten sie angewiesen werden, sie so bald wie möglich einzunehmen, aber nicht mehr als die vorgeschriebene tägliche Menge an Strattera in einem Zeitraum von 24 Stunden einnehmen.
Störung der psychomotorischen Leistung
Patienten sollten angewiesen werden, beim Fahren eines Autos oder beim Betrieb gefährlicher Maschinen vorsichtig zu sein, bis sie einigermaßen sicher sind, dass ihre Leistung nicht durch Atomoxetin beeinflusst wird.
Nichtklinische Toxikologie
Karzinogenese -Mutagenese -Beeinträchtigung der Fruchtbarkeit
Karzinogenese
Atomoxetin HCl was not carcinogenic in rats Und mice when given in the diet foder 2 years at time-weighted average doses up to 47 Und 458 mg/kg/day respectively. The highest dose used in rats is approximately 8 Und 5 times the maximum recommended human dose (MRHD) in children Und adults respectively on a mg/m 2 Basis. Die Plasmaspiegel (AUC) von Atomoxetin bei dieser Dosis bei Ratten werden auf das 1,8 -fache (umfangreiche Metabolisierer) oder das 0,2 -fache (schlechte Metabolisierer) der Menschen bei Menschen geschätzt, die die maximale menschliche Dosis erhalten. Die höchste Dosis, die bei Mäusen verwendet wird 2 Basis.
Mutagenese
Atomoxetin HCl was negative in a battery of genotoxicity studies that included a reverse point mutation assay (Ames Test) an in vitro Maus -Lymphom -Assay Ein chromosomaler Aberrationstest in chinesischen Hamster -Eierstockzellen Ein außerplanmäßiger DNA -Synthese -Test in Rattenhepatozyten und einer vergeblich Mikronukleus -Test bei Mäusen. Der Prozentsatz der Eierstockzellen des chinesischen Hamster -Eierstocks mit Diplochromosomen, die auf Endeduplication (numerische Aberration) hinweisen, war jedoch geringfügig zugenommen.
Das Metabolit N-Desmethylatomoxetin HCl war im AMES-Testmaus-Lymphom-Assay und außerplanmäßiger DNA-Synthese-Test negativ.
Beeinträchtigung der Fruchtbarkeit
Atomoxetin HCl did not impair fertility in rats when given in the diet at doses of up to 57 mg/kg/day which is approximately 6 times the MRHD on a mg/m 2 Basis.
Verwendung in bestimmten Populationen
Schwangerschaft
Schwangerschaft Exposure Registry
Es gibt ein Schwangerschafts -Expositionsregister, das die Schwangerschaftsergebnisse bei Frauen überwacht, die ausgesetzt sind ADHS Medikamente einschließlich Strattera während der Schwangerschaft. Gesundheitsdienstleister werden ermutigt, Patienten durch die Aufforderung an das Nationale Schwangerschaftsregister für ADHS-Medikamente unter 1-866-961-2388 oder Besuch zu registrieren https://womenmentalhealth.org/adhd-medicates/.
Risikozusammenfassung
Verfügbare veröffentlichte Studien mit Atomoxetin-Anwendung bei schwangeren Frauen sind nicht ausreichend, um ein medikamenten damit verbundenes Risiko für schwerwiegende Geburtsfehler oder negative Ergebnisse der Mutter oder des Fötus zu ermitteln.
Einige tierische Reproduktionsstudien von Atomoxetin hatten unerwünschte Entwicklungsergebnisse. Eine von 3 Studien an schwangeren Kaninchen, die während der Organogenese dosiert wurden, führte zu verminderten lebenden Feten und zu einer Zunahme der frühen Resorptionen sowie zu geringfügigen Anstieg der Inzidenz der atypischen Herkunft der Karotisarterie und der fehlenden Subclavia -Arterie. Diese Effekte wurden in Plasmaspiegeln (AUC) 3 -mal und das 0,4 -fache der menschlichen Plasmaspiegel in ausgedehnten und schlechten Metabolisierern beobachtet, die die maximal empfohlene menschliche Dosis (MRHD) erhielten. Bei Ratten, die vor der Paarung dosiert und während der Organogenese dosiert 2 Basis. In one of 2 studies in which rats were dosed prioder to mating through the periods of oderganogenesis Und lactation decreased pup weight Und decreased pup survival were observed at doses coderresponding to 5-6 times the MRHD on a mg/m 2 Basis. No adverse fetal effects were seen in pregnant rats dosed during the oderganogenesis period (see Daten ).
Nebenwirkungen von Makrobiden bei älteren Menschen
Das geschätzte Hintergrundrisiko für schwere Geburtsfehler und Fehlgeburt für die angegebene Bevölkerung ist unbekannt. Alle Schwangerschaften haben ein Hintergrundrisiko von Geburtsfehler Verlust oder andere nachteilige Ergebnisse. In der US-allgemeinen Bevölkerung beträgt das geschätzte Hintergrundrisiko für größere Geburtsfehler und eine Fehlgeburt bei klinisch anerkannten Schwangerschaften 2-4% bzw. 1520%.
Daten
Tierdaten
Schwangere Kaninchen wurden während der gesamten Organogenese mit bis zu 100 mg/kg/Tag Atomoxetin durch Gavage behandelt. Bei dieser Dosis in 1 von 3 Studien wurde eine Abnahme lebender Feten und eine Erhöhung der frühen Resorptionen beobachtet. Es wurden leichte Zunahme der Inzidenzen des atypischen Ursprungs der Karotisarterie und der fehlenden Subclavia -Arterie beobachtet. Diese Befunde wurden in Dosen beobachtet, die eine leichte mütterliche Toxizität verursachten. Die No-Effect-Dosis für diese Befunde betrug 30 mg/kg/Tag. Die 100 mg/kg -Dosis beträgt ungefähr das 23 -fache der MRHD auf einem mg/m 2 Basis; Die Plasmaspiegel (AUC) von Atomoxetin bei dieser Dosis bei Kaninchen werden auf das 3,3 -fache (umfangreiche Metabolisierer) oder das 0,4 -fache (schlechte Metabolisierer), die die MRHD erhalten, geschätzt.
Die Ratten wurden mit bis zu ungefähr 50 mg/kg/Tag Atomoxetin behandelt (ungefähr 6 -mal der MRHD auf einem mg/m 2 Basis) in der Ernährung ab 2 Wochen (Frauen) oder 10 Wochen (Männchen) vor der Paarung durch die Zeiträume der Organogenese und Laktation. In 1 von 2 Studien verringerte sich das PUP -Gewicht und das Überleben von Puppen wurde beobachtet. Das verringerte Welpenkolk wurde auch bei 25 mg/kg (nicht bei 13 mg/kg) beobachtet. In einer Studie, in der Ratten mit Atomoxetin in der Ernährung aus 2 Wochen (Frauen) oder 10 Wochen (Männchen) vor der Paarung während der gesamten Organogenese behandelt wurden, und nur eine Abnahme des fötalen Gewichts (nur weiblich) und eine Zunahme der Inzidenz von unvollständigem Ossifikation des Wirbelsbalbalbals bei 40 mg/kg/kg/kg/kg (ungefähr 5 mal 5 mal bei einem mg/kg/kg/kg/kg/kg/kg/kg/kg/kg/kg/kg/kg/kg/kg (mmhd bei a mg/mg/kg/kg/kg/kg/kg/kg/kg/kg) wurden bei einem mg/kg (mmhd bei a mg/mg/kg (mmh 2 Basis), aber nicht bei 20 mg/kg/Tag.
Bei schwangeren Ratten wurden keine nachteiligen fetalen Effekte beobachtet 2 Basis) durch Gavage während des gesamten Zeitraums der Organogenese.
Stillzeit
Risikozusammenfassung
Es gibt keine Daten zum Vorhandensein von Atomoxetin oder ihrem Metaboliten in der Muttermilch die Auswirkungen auf das gestillte Kind oder die Auswirkungen auf die Milchproduktion. Atomoxetin ist in Tiermilch vorhanden. Wenn ein Medikament in Tiermilch vorhanden ist, ist es wahrscheinlich, dass das Medikament in der Muttermilch vorhanden ist.
Die Entwicklungs- und gesundheitlichen Vorteile des Stillens sollten zusammen mit dem klinischen Bedarf der Mutter nach Strattera und potenziellen nachteiligen Auswirkungen des gestillten Kindes von Strattera oder aus dem zugrunde liegenden mütterlichen Zustand berücksichtigt werden.
Pädiatrische Verwendung
Jeder, der die Verwendung von Strattera in einem Kind oder Jugendlichen in Betracht zieht, muss die potenziellen Risiken mit dem klinischen Bedarf ausgleichen [siehe Boxwarnung Und WARNUNGS AND VORSICHTSMASSNAHMEN ].
Die Pharmakokinetik von Atomoxetin bei Kindern und Jugendlichen ähnelt denen bei Erwachsenen. Die Sicherheitswirksamkeit und Pharmakokinetik von Strattera bei pädiatrischen Patienten unter 6 Jahren wurde nicht bewertet.
Eine Studie wurde an jungen Ratten durchgeführt, um die Auswirkungen von Atomoxetin auf das Wachstum und die neurobehaviorale und sexuelle Entwicklung zu bewerten. Die Ratten wurden mit 1 10 oder 50 mg/kg/Tag behandelt (ungefähr 0,2 2 bzw. 8 -mal die maximale menschliche Dosis auf einem mg/m 2 Basis) von Atomoxetin, die durch Gavage aus dem frühen postnatalen Zeitraum (Tag 10 des Alters) bis zum Erwachsenenalter gegeben wurde. Leichte Verzögerungen bei Beginn der vaginalen Durchgängigkeit (alle Dosen) und Präputialtrennung (10 und 50 mg/kg) geringfügige Abnahmen des Epididymalgewichts und der Spermienzahl (10 und 50 mg/kg) und eine geringfügige Abnahme der Korpora -Lutea (50 mg/kg) waren jedoch keine Auswirkungen auf die Fertilität oder die Fortpflanzungsleistung. Eine leichte Verzögerung des Einsetzens des Schneidezahnausbruchs wurde bei 50 mg/kg beobachtet. Ein geringfügiger Anstieg der motorischen Aktivität wurde am 15. Tag (Männer bei 10 und 50 mg/kg und Frauen bei 50 mg/kg) und am Tag 30 (Frauen bei 50 mg/kg) jedoch nicht am Tag 60 Jahre alt. Es gab keine Auswirkungen auf Lernen und Gedächtnistests. Die Bedeutung dieser Erkenntnisse für den Menschen ist unbekannt.
Geriatrische Verwendung
Die Sicherheitswirksamkeit und Pharmakokinetik von Strattera bei geriatrischen Patienten wurde nicht bewertet.
Leberinsuffizienz
Atomoxetin exposure (AUC) is increased compared with nodermal subjects in EM subjects with moderate (Child- Pugh Class B) (2-fold increase) Und severe (Child-Pugh Class C) (4-fold increase) hepatic insufficiency. Dosierung adjustment is recommended foder patients with moderate oder severe hepatic insufficiency [see Dosierung und Verwaltung ].
Niereninsuffizienz
EM -Probanden mit Nierenerkrankungen im Endstadium hatten eine höhere systemische Exposition gegenüber Atomoxetin als gesunde Probanden (etwa 65% zunehmend), aber es gab keinen Unterschied, wenn die Exposition für Mg/kg -Dosis korrigiert wurde. Strattera kann daher ADHS -Patienten mit Nierenerkrankungen im Endstadium oder weniger Niereninsuffizienz unter Verwendung des normalen Dosierungsschemas verabreicht werden.
Geschlecht
Geschlecht did not influence atomoxetine disposition.
Ethnischer Herkunft
Der ethnische Ursprung hatte keinen Einfluss auf die Atomoxetin -Disposition (außer dass PMS in Kaukasiern häufiger vorkommen).
Patienten mit gleichzeitiger Krankheit
Tics bei Patienten mit ADHS und Comorbid Tourettes Störung
Atomoxetin administered in a flexible dose range of 0.5 to 1.5 mg/kg/day (mean dose of 1.3 mg/kg/day) Und placebo were compared in 148 rUndomized pediatric (age 717 years) subjects with a DSM-IV diagnosis of ADHS Und comoderbid tic disoderder in an 18 week double-blind placebo- controlled study in which the majoderity (80%) enrolled in this trial with Tourette’s Disoderder (Tourette’s Disoderder: 116 subjects; chronic motoder tic disoderder: 29 subjects). A non-inferioderity analysis revealed that Strattera did not wodersen tics in these patients as determined by the Yale Global Tic Severity Scale Total Scodere (YGTSS). Out of 148 patients who entered the acute treatment phase 103 (69.6%) patients discontinued the study. The primary reason foder discontinuation in both the atomoxetine (38 of 76 patients 50.0%) Und placebo (45 of 72 patients 62.5%) treatment groups was identified as lack of efficacy with most of the patients discontinuing at Week 12. This was the first visit where patients with a CGI-S≥4 could also meet the criteria foder clinical non-responder (CGI-S remained the same oder increased from study baseline) Und be eligible to enter an open-label extension study with atomoxetine. There have been postmarketing repoderts of tics [see Nebenwirkungen ].
Angst bei Patienten mit ADHS und komorbiden Angststörungen
In zwei nach dem Marketing doppelblind placebokontrollierten Studien wurde nachgewiesen, dass die Behandlung von Patienten mit ADHS und komorbiden Angststörungen mit Strattera ihre Angst nicht verschlechtert.
In einer 12-wöchigen doppelblinden, placebokontrollierten Studie 176 Patienten im Alter von 8 bis 17 Jahren, die die DSM-IV-Kriterien für ADHS erfüllten, und mindestens eine der Angststörungen der Trennungsstörung Generalisierte Angststörung oder social phobia were rUndomized. Following a 2-week double-blind placebo lead-in Strattera was initiated at 0.8 mg/kg/day with increase to a target dose of 1.2 mg/kg/day (median dose 1.30 mg/kg/day +/-0.29 mg/kg/day). Strattera did not wodersen Angst in these patients as determined by the Pediatric Anxiety Rating Scale (PARS). Of the 158 patients who completed the double-blind placebo lead-in 26 (16%) patients discontinued the study.
In einer separaten 16-wöchigen doppelblinden, placebokontrollierten Studie 442 Patienten im Alter von 18 bis 65 Jahren, die die DSM-IV-Kriterien für ADHS bei Erwachsenen erfüllten soziale Angststörung (23% von ihnen hatten ebenfalls eine verallgemeinerte Angststörung) wurden randomisiert. Nach einem 2-wöchigen Doppelblind-Placebo-Lead-in-Strattera wurde bei 40 mg/Tag bis zu einer maximalen Dosis von 100 mg/Tag (mittlere tägliche Dosis 83 mg/Tag/19.5 mg/Tag) eingeleitet. Strattera verschlechterte die Angst bei diesen Patienten nicht, wie durch die Losbowitz Social Angst Scale (LSA) bestimmt. Von den 413 Patienten, die das Doppelblind-Placebo-Lead-in 149 (NULL,1%) abgeschlossen haben, lösten Patienten die Studie ab. Es gab Nachmarktberichte von Angstzuständen [siehe Nebenwirkungen ].
Überdosis Infodermation foder Strattera
Menschliche Erfahrung
Es gibt nur begrenzte Erfahrung in der klinischen Studie mit Strattera Überdosis. Während des Nachmarkters wurden Todesfälle berichtet, bei denen eine überdosis von Strattera und mindestens ein weiteres Medikament eine gemischte Überdosis übernommen hat. Es gab keine Berichte über den Tod, bei dem nur eine Überdosis von Strattera beteiligt war, einschließlich absichtlicher Überdosierungen mit Beträgen von bis zu 1400 mg. In einigen Fällen von Überdosierung mit Strattera wurden Anfälle berichtet. Die am häufigsten berichteten Symptome, die akute und chronische Überdosierungen von Strattera begleiteten, waren gastrointestinale Symptome Somnolence Schwindel -Tremor und abnormales Verhalten. Über Hyperaktivität und Aufregung wurden ebenfalls berichtet. Anzeichen und Symptome, die mit einer leichten bis mittelschweren Aktivierung des sympathischen Nervensystems übereinstimmen (z. B. Tachykardie -Blutdruck erhöhte Mydriasis trockene Mund), wurden ebenfalls beobachtet. Die meisten Ereignisse waren mild bis mäßig. Weniger häufig gab es Berichte über QT -Verlängerung und geistige Veränderungen, einschließlich Desorientierung und Halluzinationen [siehe Klinische Pharmakologie
Management der Überdosis
Wenden Sie sich an ein zertifiziertes Poison Control Center für aktuelle Anleitungen und Beratung. Da Atomoxetin eine hochproteingebundene Dialyse ist, ist es wahrscheinlich nicht nützlich bei der Behandlung von Überdosierung.
Kontraindikationen foder Strattera
Überempfindlichkeit
Strattera is contraindicated in patients known to be hypersensitive to atomoxetine oder other constituents of the product [see WARNUNGS AND VORSICHTSMASSNAHMEN ].
Monoaminoxidase -Inhibitoren (MAOI)
Strattera should not be taken with an MAOI oder within 2 weeks after discontinuing an MAOI. Treatment with an MAOI should not be initiated within 2 weeks after discontinuing Strattera. Bei anderen Arzneimitteln, die die Monoaminkonzentrationen des Gehirns beeinflussen, gab es Berichte über schwerwiegende manchmal tödliche Reaktionen (einschließlich Hyperthermie -Starrheit myoklonus autonomer Instabilität mit möglichen schnellen Schwankungen von Vitalfunktionen und mentalen Statusänderungen, die extreme Agitation umfassen, die in Delirium und Koma voranschreiten, wenn sie in Kombination mit Maoi aufgenommen wurden. Einige Fälle mit Merkmalen, die dem neuroleptischen malignen Syndrom ähneln. Solche Reaktionen können auftreten, wenn diese Medikamente gleichzeitig oder in unmittelbarer Nähe verabreicht werden [siehe Wechselwirkungen mit Arzneimitteln
Schmaler Winkelglaukom
In klinischen Studien war die Verwendung von Strattera mit einem erhöhten Risiko für Mydriasis verbunden, und daher wird der Einsatz bei Patienten mit enges Winkel nicht empfohlen Glaukom .
Phäochromozytom
Bei Patienten mit Phäochromozytom oder einer Vorgeschichte des Phäochromozytoms, der Strattera erhielt, wurden schwerwiegende Reaktionen wie erhöhter Blutdruck und Tachyarrhythmie berichtet. Daher sollte Strattera nicht von Patienten mit Phäochromozytom oder einer Vorgeschichte von Phäochromozytom eingenommen werden.
Kathedrale der Junk-Fotos
Schwere Herz -Kreislauf -Störungen
Strattera should not be used in patients with severe cardiac oder vascular disoderders whose condition would be expected to deterioderate if they experience increases in blood pressure oder heart rate that could be clinically impodertant (foder example 15 to 20 mm Hg in blood pressure oder 20 beats per minute in heart rate) [see WARNUNGS AND VORSICHTSMASSNAHMEN ].
Klinische Pharmakologie foder Strattera
Wirkungsmechanismus
Der genaue Mechanismus, durch den Atomoxetin seine therapeutischen Wirkungen bei Aufmerksamkeitsdefit/Hyperaktivitätsstörung (ADHD) erzeugt Ex leben Aufnahme- und Neurotransmitter -Depletion -Studien.
Pharmakodynamik
Eine Expositions-Response-Analyse, die Dosen von Atomoxetin (NULL,5 1,2 oder 1,8 mg/kg/Tag) oder Placebo zeigte, zeigte die Exposition von Atomoxetin mit der Wirksamkeit, gemessen an der Bewertung der Aufmerksamkeitsdefizit/Hyperaktivitätsbewertungsstörungen und -Verart-Parent: Ermittler verwaltet und bewertet. Die Expositions-Effizienz-Beziehung war ähnlich der zwischen Dosis und Wirksamkeit mit den mittleren Expositionen beobachteten bei den beiden höchsten Dosen, die zu maximalen Veränderungen vor dem Ausgangswert führten [siehe Klinische Studien ].
Herzelektrophysiologie
Die Wirkung von Strattera auf die QTC-Verlängerung wurde in einem randomisierten doppelblind-positiven (Moxifloxacin 400 mg) und placebokontrollierten Cross-Over-Studie an gesunden männlichen CYP2D6-Metabolisierern bewertet. Insgesamt 120 gesunde Probanden wurden zweimal täglich 7 Tage täglich zweimal täglich verabreicht. In der Studie wurden keine großen Veränderungen des QTC -Intervalls (d. H. Erhöht> 60 ms aus dem Ausgangsbeginn absolut qtc> 480 ms) beobachtet. Kleine Änderungen im QTC -Intervall können jedoch nicht von der aktuellen Studie ausgeschlossen werden, da die Studie die Assayempfindlichkeit nicht nachweisen konnte. Das QTC -Intervall mit erhöhter Atomoxetinkonzentration war geringfügig zugenommen.
Pharmakokinetik
Atomoxetin is well-absoderbed after oderal administration Und is minimally affected by food. It is eliminated primarily by oxidative metabolism through the cytochrome P450 2D6 (CYP2D6) enzymatic pathway Und subsequent glucuronidation. Atomoxetin has a half-life of about 5 hours. A fraction of the population (about 7% of Caucasians Und 2% of African Americans) are pooder metabolizers (PMs) of CYP2D6 metabolized drugs. These individuals have reduced activity in this pathway resulting in 10-fold higher AUCs 5-fold higher peak plasma concentrations Und slower elimination (plasma half-life of about 24 hours) of atomoxetine compared with people with nodermal activity [extensive metabolizers (Ems)]. Drugs that inhibit CYP2D6 such as fluoxetine paroxetine Und quinidine cause similar increases in exposure.
Die Pharmakokinetik von Atomoxetin wurde in mehr als 400 Kindern und Jugendlichen in ausgewählten klinischen Studien unter Verwendung von Populations pharmakokinetischen Studien bewertet. Einzeldosis und stationäre individuelle pharmakokinetische Daten wurden auch bei Jugendlichen und Erwachsenen von Kindern erhalten. Wenn die Dosen auf mg/kg-Basis normalisiert wurden, wurden bei Kindern Jugendlichen und Erwachsenen ähnliche halbe Lebensdauer und AUC-Werte beobachtet. Die Clearance und das Verteilungsvolumen nach der Anpassung des Körpergewichts waren ebenfalls ähnlich.
Absorption und Verteilung
Atomoxetin is rapidly absoderbed after oderal administration with absolute bioavailability of about 63% in Ems Und 94% in PMs. Maximal plasma concentrations (Cmax) are reached approximately 1 to 2 hours after dosing.
Strattera can be administered with oder without food. Administration of Strattera with a stUndard high-fat meal in adults did not affect the extent of oderal absoderption of atomoxetine (AUC) but did decrease the rate of absoderption resulting in a 37% lower Cmax Und delayed Tmax by 3 hours. In clinical trials with children Und adolescents administration of Strattera with food resulted in a 9% lower Cmax.
Das stationäre Verteilungsvolumen nach intravenöser Verabreichung beträgt 0,85 l/kg, was darauf hinweist, dass sich Atomoxetin hauptsächlich in das gesamte Körperwasser verteilt. Das Verteilungsvolumen ist nach der Normalisierung des Körpergewichts im gesamten Patientengewicht ähnlich.
Bei therapeutischen Konzentrationen sind 98% Atomoxetin im Plasma hauptsächlich Albumin gebunden.
Stoffwechsel und Eliminierung
Atomoxetin is metabolized primarily through the CYP2D6 enzymatic pathway. People with reduced activity in this pathway (PMs) have higher plasma concentrations of atomoxetine compared with people with nodermal activity (Ems). Foder PMs AUC of atomoxetine is approximately 10-fold Und Css max is about 5-fold greater than Ems. Laboderatodery tests are available to identify CYP2D6 PMs. Coadministration of Strattera with potent inhibitoders of CYP2D6 such as fluoxetine paroxetine oder quinidine results in a substantial increase in atomoxetine plasma exposure Und dosing adjustment may be necessary [see WARNUNGS AND VORSICHTSMASSNAHMEN ]. Atomoxetin did not inhibit oder induce the CYP2D6 pathway.
Der Haupt oxidative Metaboliten, der unabhängig vom CYP2D6-Status gebildet wird, ist 4-Hydroxyatomoxetin, das glucuronidiert ist. 4-Hydroxyatomoxetin ist als Inhibitor des Norepinephrintransporters ausrüstet, zirkuliert jedoch in Plasma in viel niedrigeren Konzentrationen (1% der Atomoxetinkonzentration in EMS und 0,1% der Atomoxetinkonzentration in PMS). 4-Hydroxyatomoxetin wird hauptsächlich durch CYP2D6 gebildet, aber in PMS-4-Hydroxyatomoxetin wird von mehreren anderen Cytochrom-P450-Enzymen mit einer langsameren Geschwindigkeit gebildet. N-Desmethylatomoxetin wird durch CYP2C19 und andere Cytochrom-P450-Enzyme gebildet, weist jedoch im Vergleich zu Atomoxetin und Kreislauf in der Plasma in niedrigeren Konzentrationen (5% der Atomoxetinkonzentration in PMS) wesentlich weniger pharmakologische Aktivität auf.
Die mittlere scheinbare Plasma-Clearance von Atomoxetin nach oraler Verabreichung bei erwachsenen EMS beträgt 0,35 l/h/kg und die mittlere Halbwertszeit beträgt 5,2 Stunden. Nach oraler Verabreichung von Atomoxetin zu PMS-mittlerer scheinbarer Plasma-Clearance beträgt 0,03 l/h/kg und die mittlere Halbwertszeit von 21,6 Stunden. Bei PMS-AUC von Atomoxetin ist ungefähr 10-fach und CSS max ist etwa 5-fach größer als EMS. Die Eliminierungs Halbwertszeit von 4-Hydroxyatomoxetin ähnelt der von N-Desmethylatomoxetin (6 bis 8 Stunden) bei EM-Probanden, während die Halbwertszeit von N-Desmethylatomoxetin bei PM-Probanden (34 bis 40 Stunden) viel länger ist.
Atomoxetin is excreted primarily as 4-hydroxyatomoxetine-O-glucuronide mainly in the urine (greater than 80% of the dose) Und to a lesser extent in the feces (less than 17% of the dose). Only a small fraction of the Strattera dose is excreted as unchanged atomoxetine (less than 3% of the dose) indicating extensive biotransfodermation. [Sehen Verwendung in bestimmten Populationen ].
Klinische Studien
ADHS Studies In Kinder und Jugendliche
Akute Studien
Die Wirksamkeit von Strattera bei der Behandlung von ADHS wurde in 4 randomisierten doppelblinden placebokontrollierten Studien von pädiatrischen Patienten festgelegt (6 bis 18 Jahre). Ungefähr ein Drittel der Patienten erfüllten DSM-IV-Kriterien für unaufmerksame Subtypen und zwei Drittel erfüllten Kriterien sowohl für unaufmerksame als auch für hyperaktive/impulsive Subtypen.
Die Anzeichen und Symptome von ADHS wurden durch einen Vergleich der mittleren Änderung von Basislinie zu Endpunkt für Strattera- und Placebo-behandelte Patienten unter Verwendung einer Intent-to-Treat-Analyse des primären Ergebnismaßes gemessen, das der Prüfer verabreicht wurde und ADHS-Bewertungs-SCAL-IV-EIV-Parent-Version (ADHDRs) Gesamtpunktzahl, einschließlich hyperaktiver/impulter und intatentiver Abonnement,. Jeder Artikel auf den ADHDRs karten direkt auf ein Symptomkriterium für ADHS im DSM-IV.
In Studie 1 eine 8-wöchige randomisierte doppelblinde, placebokontrollierte Dosis-Wirkungs-Akutbehandlungsstudie mit Kindern und Jugendlichen im Alter von 8 bis 18 (n = 297) erhielten entweder eine feste Dosis von Strattera (NULL,5 1,2 oder 1,8 mg/kg/Tag) oder Placebo. Stattera wurde am frühen Morgen und am späten Nachmittag/frühen Abend als geteilte Dosis verabreicht. Bei den 2 höheren Dosenverbesserungen der ADHS-Symptome waren bei stattera-behandelten Patienten statistisch signifikant überlegen, als mit Placebo-behandelten Patienten gemessen, gemessen auf der ADHDRS-Skala. Die 1,8 mg/kg/Tag -Strattera -Dosis lieferte keinen zusätzlichen Nutzen gegenüber der Beobachtung der 1,2 mg/kg/Tag -Dosis. Die Strattera -Dosis von 0,5 mg/kg/Tag war dem Placebo nicht überlegen.
In Studie 2 eine 6-wöchige randomisierte, doppelblinde, placebokontrollierte akute Behandlungsstudie mit Kindern und Jugendlichen im Alter von 6 bis 16 (n = 171) erhielten entweder Strattera oder Placebo. Stattera wurde am frühen Morgen als einzelne Dosis verabreicht und gemäß der klinischen Reaktion bis zu einer maximalen Dosis von 1,5 mg/kg/Tag auf gewichtsbereinigter Basis titriert. Die mittlere endgültige Dosis von Strattera betrug ungefähr 1,3 mg/kg/Tag. ADHS -Symptome wurden auf Strattera statistisch signifikant verbessert als das Placebo, gemessen auf der ADHDRS -Skala. Diese Studie zeigt, dass Strattera bei der Verabreichung einmal täglich am Morgen wirksam ist.
In 2 identischen 9-wöchigen akuten randomisierten doppelblinden placebokontrollierten Studien von Kindern im Alter von 7 bis 13 (Studie 3 n = 147; Studie 4 n = 144) wurden Strattera und Methylphenidat mit Placebo verglichen. Stattera wurde am frühen Morgen und am späten Nachmittag (nach der Schule) als geteilte Dosis verabreicht und gemäß der klinischen Reaktion auf gewichtsbereinigter Basis titriert. Die maximal empfohlene Strattera -Dosis betrug 2,0 mg/kg/Tag. Die mittlere endgültige Dosis von Strattera für beide Studien betrug ungefähr 1,6 mg/kg/Tag. In beiden Studien verbesserte sich die ADHS -Symptome statistisch signifikant signifikant auf Strattera als auf Placebo, gemessen auf der ADHDRS -Skala.
Prüfung von Bevölkerungsuntergruppen basierend auf Geschlecht und Alter (Alter ( <12 Und 12 to 17) did not reveal any differential responsiveness on the basis of these subgroupings. There was not sufficient exposure of ethnic groups other than Caucasian to allow exploderation of differences in these subgroups.
Wartungsstudie
Die Wirksamkeit von Strattera bei der Erhaltungsbehandlung von ADHS wurde in einer ambulanten Studie von Kindern und Jugendlichen (6-15 Jahre) festgelegt. Patienten, die die DSM-IV-Kriterien für ADHS erfüllen, die während einer ersten 10-wöchigen Open-Label-Behandlungsphase mit Strattera (NULL,2 bis 1,8 mg/kg) eine kontinuierliche Reaktion (NULL,2 bis 1,8 mg/kg/Tag) zeigten, wurden randomisiert, um ihre aktuelle Dosis von Strattera (N = 292) oder Placebo (n = 124) unter Double-Flind-Behandlung für die Beobachtung von Relapse zu fortsetzen. Die Reaktion während der Open-Label-Phase wurde als CGI-ADHD-S-Score ≤ 2 und eine Reduzierung von mindestens 25% gegenüber dem Ausgangswert in ADHDRS-IV-Parent: Inv Total Score definiert. Patienten, die Strattera zugeordnet wurden und während der ersten Doppelblind-Behandlungsphase etwa 8 Monate lang eine kontinuierliche Reaktion zeigten, wurden erneut auf die Fortsetzung ihrer aktuellen Dosis von Strattera (n = 81) oder auf Placebo (n = 82) unter Doppelblindbehandlung zur Beobachtung von Rückfall wurden erneut randomisiert. Der Rückfall während der doppelblinden Phase wurde als CGI-Adhd-S-Score von mindestens 2 aus dem Ende der Open-Label-Phase und dem ADHDRS-IV-Elternteil definiert: Inv Total Score Returns auf ≥ 90% des Studieneintrittswerts für 2 aufeinanderfolgende Besuche. Bei beiden Doppelblindphasen, die eine fortgesetzte Strattera-Behandlung erhielten, hatten eine signifikante längere Zeit, um einen Rückfall zu erzielen als bei Patienten, die Placebo erhielten.
ADHS Studies In Erwachsene
Die Wirksamkeit von Strattera bei der Behandlung von ADHS wurde in 2 randomisierten doppelblinden, placebokontrollierten klinischen Studien von erwachsenen Patienten ab 18 Jahren festgelegt, die die DSM-IV-Kriterien für ADHS erfüllten.
Anzeichen und Symptome von ADHS wurden unter Verwendung der von Investigator verabreichten Conners Adult ADHS-Bewertungsskala-Screening-Version (CAARS) einer 30-Punkte-Skala bewertet. Die primäre Wirksamkeitsmaßnahme war der 18-Punkte-Gesamt-ADHS-Symptom-Score (die Summe der Unaufmerksamkeits- und Hyperaktivität/Impulsivitäts-Subskalen aus den CAARs), die durch einen Vergleich der mittleren Änderung von der Ausgangswert zu Endpunkt unter Verwendung einer Absichtsanalyse bewertet wurden.
In 2 identischen 10-wöchigen randomisierten doppelblinden, placebokontrollierten akuten Behandlungsstudien (Studie 5 n = 280; Studie 6 n = 256) erhielten Patienten entweder Strattera oder Placebo. Stattera wurde am frühen Morgen und am späten Nachmittag/frühen Abend als geteilte Dosis verabreicht und gemäß der klinischen Reaktion in einer Reichweite von 60 bis 120 mg/Tag titriert. Die mittlere endgültige Dosis von Strattera für beide Studien betrug ungefähr 95 mg/Tag. In beiden Studien wurden die ADHS -Symptome bei Strattera statistisch signifikant verbessert, gemessen am ADHS -Symptomwert der CAARS -Skala.
Prüfung von Bevölkerungsuntergruppen basierend auf Geschlecht und Alter (Alter ( <42 Und ≥42) did not reveal any differential responsiveness on the basis of these subgroupings. There was not sufficient exposure of ethnic groups other than Caucasian to allow exploderation of differences in these subgroups.
Patienteninformationen für Strattera
Strattera ®
(Stra-thair-a)
(Atomoxetin) Kapseln
Lesen Sie den Medikamentenführer, der mit Strattera geliefert wird ® Bevor Sie oder Ihr Kind anfangen, es zu nehmen, und jedes Mal, wenn Sie eine Nachfüllung erhalten. Es kann neue Informationen geben. Dieser Medikamentenführer tritt nicht an den Platz, mit Ihrem Arzt über Ihre Behandlung oder die Behandlung Ihres Kindes mit Strattera zu sprechen.
Was sind die wichtigsten Informationen, die ich über Strattera wissen sollte?
Das Folgende wurde unter Verwendung von Strattera gemeldet:
Kinder und Jugendliche denken manchmal an Selbstmord und viele berichten, dass sie versuchen, sich selbst zu töten. Die Ergebnisse von klinischen Studien von Strattera mit über 2200 ADHS -Patienten im Kinder- oder Teenager legen nahe, dass einige Kinder und Jugendliche möglicherweise eine höhere Chance haben, Selbstmordgedanken oder Handlungen zu haben. Obwohl in diesen Studien keine Selbstmorde auftraten, entwickelten 4 von 1000 Patienten Selbstmordgedanken. Sagen Sie Ihrem Kind oder Ihrem Jugendarzt, wenn Ihr Kind oder Teenager (oder es gibt eine Familiengeschichte von):
Die Chance auf Selbstmordgedanken und Handlungen kann höher sein:
Verhindern Sie Selbstmordgedanken und Handeln in Ihrem Kind oder Teenager durch:
Achten Sie auf die folgenden Anzeichen in Ihrem Kind oder Teenager während der Strattera -Behandlung:
Rufen Sie sofort Ihr Kind oder Ihren Teenagerarzt an, wenn es eines der oben genannten Anzeichen hat, insbesondere wenn es neu ist, plötzlich oder schwerwiegend. Ihr Kind oder Teenager muss möglicherweise genau auf Selbstmordgedanken und Handlungen oder eine Veränderung in der Medizin beobachtet werden.
Strattera can cause liver injury in some patients. Call your doctoder right away if you oderyour child has the following signs of Leberprobleme:
Sagen Sie Ihrem Arzt, wenn Sie oder Ihr Kind Herzprobleme haben Herzfehler Blutdruck oder eine Familienanamnese dieser Probleme. Ihr Arzt sollte Sie oder Ihr Kind vor dem Start von Strattera sorgfältig auf Herzprobleme überprüfen.
Ihr Arzt sollte Ihren Blutdruck oder den Blutdruck und die Herzfrequenz Ihres Kindes regelmäßig während der Behandlung mit Strattera überprüfen.
Rufen Sie Ihren Arzt sofort an, wenn Sie oder Ihr Kind Anzeichen für Herzprobleme wie Brustschmerzen beim Atem oder Ohnmacht haben, während Sie Strattera einnehmen.
Rufen Sie sofort Ihr Kind oder Ihren Teenager -Arzt wegen neuer psychischer Symptome an Denn die Anpassung oder Stoppen der Strattera -Behandlung müssen möglicherweise berücksichtigt werden.
- Selbstmordgedanken und Handlungen bei Kindern und Jugendlichen:
- hat eine bipolare Krankheit (manisch-depressive Krankheit)
- Hatte Selbstmordgedanken oder Handlungen vor Beginn von Strattera
- früh während der Strattera -Behandlung
- Bei Dosisanpassungen
- Auf die Stimmungsverhalten Ihres Kindes oder Ihres Teenagers sind Gedanken und Gefühle zur Behandlung von Strattera achten
- Führen Sie alle Follow-up-Besuche mit Ihrem Kind oder Ihrem Teenager-Arzt wie geplant
- Angst
- Agitation
- Panikattacken
- Probleme beim Schlafen
- Reizbarkeit
- Feindseligkeit
- Aggressivität
- Impulsivität
- Unruhe
- Manie
- Depression
- Selbstmordgedanken
- Schwere Leberschädigung:
- Juckreiz
- Rechte obere Bauchschmerzen
- dunkler Urin
- gelbe Haut oder Augen
- Unerklärliche grippeähnliche Symptome
- Herzbezogene Probleme:
- Plötzlicher Tod bei Patienten mit Herzproblemen oder Herzfehler
- Schlaganfall und Herzinfarkt bei Erwachsenen
- Erhöhter Blutdruck und Herzfrequenz
- Neue mentale (psychiatrische) Probleme bei Kindern und Jugendlichen:
- Neue psychotische Symptome (wie das Hören von Stimmen, die an Dinge glauben, die nicht wahr sind, sind verdächtig) oder neue manische Symptome
Was ist Strattera?
Strattera is a selective noderepinephrine reuptake inhibitoder medicine. It is used foder the treatment of attention deficit Und hyperactivity disoderder (ADHS). Strattera may help increase attention Und decrease impulsiveness Und hyperactivity in patients with ADHS.
Strattera should be used as a part of a total treatment program foder ADHS that may includecounseling oder other therapies.
Strattera has not been studied in children less than 6 years old.
Wer sollte Strattera nicht nehmen?
Strattera should not be taken if you oder your child:
- nehmen oder haben innerhalb der letzten 14 Tage ein Antidepressionsmedizin eingenommen, das als Monoaminoxidase-Inhibitor oder Maoi bezeichnet wird. Einige Namen von Maoi -Medikamenten sind Nardil ® (Phenelzinsulfat) Parnate ® (Tranylcypromsulfat) und Emsam ® (Selegilin transdermales System).
- ein Augenproblem haben, das als schmaler Winkelglaukom bezeichnet wird
- sind allergisch gegen alles in Strattera. Eine vollständige Liste von Zutaten finden Sie im Ende dieses Medikamentenleitfadens.
- einen seltenen Tumor namens Phäochromozytom haben oder haben.
Strattera may not be right foder you oder your child. Befodere starting Strattera tell yourdoctoder oder your child’s doctoder about all health conditions (oder a family histodery of) including:
- Selbstmordgedanken oder Handlungen haben oder hatten
- Herzprobleme Herzfehler unregelmäßiger Herz schlugen Bluthochdruck oder Niedriger Blutdruck
- psychische Probleme Psychose Manie bipolar illness oder Depression
- Leberprobleme
- sind schwanger oder planen, schwanger zu werden. Es ist nicht bekannt, ob Strattera Ihrem ungeborenen Baby schadet. Sprechen Sie mit Ihrem Arzt, wenn Sie schwanger sind oder planen, schwanger zu werden.
- Es gibt ein Schwangerschaftsregister für Frauen, die ADHS -Medikamenten einschließlich Strattera während der Schwangerschaft ausgesetzt sind. Der Zweck des Registers besteht darin, Informationen über die Gesundheit von Frauen zu sammeln, die Strattera und ihrem Baby ausgesetzt sind. Wenn Sie oder Ihr Kind während der Behandlung mit Strattera schwanger werden, sprechen Sie mit Ihrem Gesundheitsdienstleister über die Registrierung bei der Nationalen Schwangerschaftsregister von ADHS-Medikamenten unter 1-866-961-2388 oder besuchen https://womenmentalhealth.org/adhdmedication/.
- stillen oder planen zu stillen. Es ist nicht bekannt, ob Strattera in Ihre Muttermilch geht. Sprechen Sie mit Ihrem Arzt über den besten Weg, um Ihr Baby zu füttern, wenn Sie Strattera nehmen.
Kann Strattera mit anderen Medikamenten eingenommen werden?
Erzählen Sie Ihrem Arzt von allen Medikamenten, die Sie oder Ihr Kind einnehmen, einschließlich verschreibungspflichtiger und nicht verschreibungspflichtiger Medikamente Vitamine und Kräuterpräparate. Strattera Und some medicines may interact with each other Und cause serious side effects. Your doctoder will decide whether Strattera can be taken with other medicines.
Sagen Sie Ihrem Arzt besonders, wenn Sie oder Ihr Kind einnimmt:
- Asthma -Medikamente
- Antidepressionsmedikamente einschließlich Maois
- Blutdruckmedikamente
- kalt oder Allergie Arzneimittel, die abschwellende Stöcke enthalten
Kennen Sie die Medikamente, die Sie oder Ihr Kind einnehmen. Behalten Sie eine Liste Ihrer Medikamente bei, um Arzt und Apotheker zu zeigen.
Beginnen Sie keine neue Medizin, während Sie Strattera einnehmen, ohne mit Ihrem Arzt zu sprechen.
Wie sollte Strattera genommen werden?
- Nehmen Sie Strattera genau wie vorgeschrieben. Strattera kommt in verschiedenen Dosisstärkekapseln. Ihr Arzt kann die Dosis anpassen, bis sie für Sie oder Ihr Kind richtig ist.
- Kauen Sie nicht zerquetscht oder öffnen Sie die Kapseln nicht. Schlucken Sie Strattera -Kapseln mit Wasser oder anderen Flüssigkeiten ab. Sagen Sie Ihrem Arzt, ob Sie oder Ihr Kind Strattera nicht ganz schlucken können. Eine andere Medizin muss möglicherweise verschrieben werden.
- Vermeiden Sie es, eine kaputte Strattera -Kapsel zu berühren. Hände und Oberflächen waschen, die die Anopen Strattera -Kapsel berührten. Wenn eines Pulvers in die Augen oder die Augen Ihres Kindes kommt, spülen Sie sie sofort mit Wasser aus und rufen Sie Ihren Arzt an.
- Strattera can be taken with oder without food.
- Strattera is usually taken once oder twice a day. Take Strattera at the same time each day to help you remember. If you miss a dose of Strattera take it as soon as you remember that day. If you miss a day of Strattera do not double your dose the next day.Just skip the day you missed.
- Von Zeit zu Zeit kann Ihr Arzt für eine Weile die Behandlung von Strattera stoppen, um die ADHS -Symptome zu überprüfen.
- Ihr Arzt kann bei der Einnahme regelmäßiger Überprüfungen des Bluthochs und des Blutdrucks durchführen. Kinder sollten ihre Größe und ihr Gewicht oft überprüfen lassen, während sie Strattera einnehmen. Die Strattera-Behandlung kann gestoppt werden, wenn bei diesen Untersuchungen ein Problem gefunden wird.
- Wenn Sie oder Ihr Kind zu viel Strattera oder Überdosierungen einnehmen, rufen Sie Ihren Arzt Orpoison Control Center sofort an oder erhalten Sie eine Notfallbehandlung.
Was sind mögliche Nebenwirkungen von Strattera?
Sehen Was sind die wichtigsten Informationen, die ich über Strattera wissen sollte? Informationen über gemeldete Selbstmordgedanken und -aktionen andere psychische Probleme schwerwiegende Leberschäden und Herzprobleme.
Weitere schwerwiegende Nebenwirkungen sind:
- Ernsthafte allergische Reaktionen (Rufen Sie Ihren Arzt an, wenn Sie Probleme beim Atmen haben.
- Verlangsamung des Wachstums (Größe und Gewicht) bei Kindern
- Probleme, Urin zu übergeben, einschließlich
- Probleme beim Starten oder beibehalten eines Urinstroms
- Die Blase kann die Blase nicht vollständig leeren
Häufige Nebenwirkungen bei Kindern und Teenagern sind:
- Magenverstimmung
- Verringerter Appetit
- Übelkeit oder Erbrechen
- Schwindel
- Müdigkeit
- Stimmungsschwankungen
Häufige Nebenwirkungen bei Erwachsenen sind:
- Verstopfung
- Trockener Mund
- Brechreiz
- Verringerter Appetit
- Schwindel
- sexuelle Nebenwirkungen
- Probleme, Urin zu übergeben
Andere Informationen für Kinder von Kindern und Erwachsene:
- Erektionen, die nicht verschwinden (Priapismus), sind selten während der Behandlung mit Strattera aufgetreten. Wenn Sie eine Erektion haben, die mehr als 4 Stunden dauert, suchen Sie rechts medizinisches Hilfe. Aufgrund des Potenzials für dauerhafte Schäden einschließlich der potenziellen Unfähigkeit, Erektionen zu haben, sollte der Piapismus sofort von einem Arzt bewertet werden.
- Strattera may affect your ability oder your child’s ability to drive oder operate heavy machinery.Be careful until you know how Strattera affects you oder your child.
- Sprechen Sie mit Ihrem Arzt, wenn Sie oder Ihr Kind Nebenwirkungen haben, die lästig sind oder nicht verschwinden.
Dies ist keine vollständige Liste möglicher Nebenwirkungen. Rufen Sie Ihren Arzt an, um medizinische Beratung zu Nebenwirkungen zu erhalten. Sie können die FDA bei 1-800-FDA-1088 Nebenwirkungen melden.
Wie soll ich Strattera aufbewahren?
- Lagern Sie Strattera an einem sicheren Ort bei Raumtemperatur von 15 bis 30 ° C.
- Halten Sie Strattera und alle Medikamente außerhalb der Reichweite der Kinder.
Allgemeine Informationen über Strattera
Medikamente werden manchmal für andere Zwecke als die in einem Medikamentenhandbuch aufgeführten Zwecke verschrieben. Verwenden Sie Strattera nicht für einen Zustand, für den sie nicht verschrieben wurde. Geben Sie andere Menschen nicht, auch wenn sie den gleichen Zustand haben. Es kann ihnen schaden.
Dieser Medikamentenhandbuch fasst die wichtigsten Informationen über Strattera zusammen. Wenn Sie weitere Informationen wünschen, sprechen Sie mit Ihrem Arzt. Sie können Ihren Arzt oder Apotheker um Informationen zu Strattera bitten, die für medizinische Fachkräfte geschrieben wurden. Weitere Informationen zu Strattera erhalten Sie unter 1-800-Lilly-RX (1-800-545-5979) oder unter www.strattera.com.
Was sind die Zutaten in Strattera?
Wirkstoff: Atomoxetinhydrochlorid.
Inaktive Zutaten: vorgelatinisierte Stärkedimethicon -Gelatin -Natrium -Laurylsulfat -FD
Dieser Medikamentenführer wurde von der US -amerikanischen Food and Drug Administration zugelassen.