Die Informationen Auf Dieser Website Stellen Keine Medizinische Beratung Dar. Wir Verkaufen Nichts. Die Richtigkeit Der Übersetzung Wird Nicht Garantiert. Haftungsausschluss
Antidiabetiker, SGLT2 -Inhibitoren
Synjardy XR
Drogenzusammenfassung
Was ist Synjardy XR?
Tabletten für die orale Verwendung von Synjardy XR (Empagliflozin und Metforminhydrochlorid Extended-Release) sind eine Kombination eines Natriumglucose-Co-Transporters 2 (SGLT2) Inhibitor und einem Biguanid-Biguanid als Zuteilung zu Diät und Übung zur Verbesserung der Glycemämie-Kontrolle in Erwachsenen mit Typ-2-Diabetes-Mellitus mit beiden Diablen mit Metin-Diabetes-Mellitus mit beiden Diabetus-Mellitus mit beiden Diabetes, wenn sie mit beiden Diabeten mit einem Diabetes-Mellitus mit beiden Diabetes-Mellitus-Mäcknern und -modi-Diabet-Mellitus-Mellitus-Mäckchen-Mäckchen-Diskussionen behandelt werden.
Was sind Nebenwirkungen von Synjardy XR?
Synjardy XR
- Nesselsucht
- Schwierigkeiten beim Atmen
- Schwellung Ihrer Gesichtslippen Zunge oder Hals
- Brennen juckenden Geruchsausflussschmerzempfindlichkeit Rötung oder Schwellung des Genital- oder Rektalbereichs
- Fieber
- fühle uns unwohl
- wenig oder gar kein Urinieren
- Schwindel
- Schwäche
- Benommenheit
- Brechreiz
- Erbrechen
- Magenschmerzen
- Verwirrung
- ungewöhnliche Schläfrigkeit
- ungewöhnliche Muskelschmerzen
- Probleme beim Atmen
- Magenschmerzen
- unregelmäßige Herzfrequenz
- kalt fühlen
- Müdigkeit
- Schmerzen oder Brennen beim Urinieren
- erhöhtes Wasserlassen
- Blut in Ihrem Urin und
- Schmerzen in Ihrem Becken oder Rücken
Holen Sie sich sofort medizinische Hilfe, wenn Sie eines der oben aufgeführten Symptome haben.
Zu den häufigen Nebenwirkungen von Synjardy XR gehören:
- Harnwegsinfektion
- Genitalhefe -Infektionen
- Durchfall
- Brechreiz
- Erbrechen
- Gas
- Bauchbeschwerden
- Verdauungsstörungen
- Schwäche
- Kopfschmerzen
- laufend oder verstopfte Nase
- erhöhtes Wasserlassen
- erhöht Cholesterin oder Fettspiegel im Blut
- Gelenkschmerzen und
- Niedriger Blutzucker.
Suchen Sie medizinische Versorgung oder rufen Sie auf einmal 911 an, wenn Sie die folgenden schwerwiegenden Nebenwirkungen haben:
- Schwerwiegende Augensymptome wie plötzlicher Sehverlust verschwommenes Sehen Tunnel Sehschmerzen oder Schwellungen oder Halos in der Umgebung des Lichts;
- Schwerwiegende Herzsymptome wie schnelle unregelmäßige oder pochende Herzschläge; Flattern in deiner Brust; Kurzatmigkeit; und plötzliche Schwindel -Benommenheit oder ohnmächtig;
- Starke Kopfschmerzen Verwirrung verwirrt Spracharm oder Bein Schwäche Schwierigkeiten beim Verlust der Koordination unstabil sehr steifes Muskeln hoher Fieber problemlos Schwitzen oder Zittern.
Dieses Dokument enthält nicht alle möglichen Nebenwirkungen und andere können auftreten. Wenden Sie sich an Ihren Arzt nach zusätzlichen Informationen zu Nebenwirkungen.
Dosierung für Synjardy XR
Die Startdosis von Synjardy XR wird basierend auf dem aktuellen Regime des Patienten individualisiert. Die maximal empfohlene Gesamtdosis beträgt 25 mg Empagliflozin und 2000 mg Metformin.
Welche Medikamentensubstanzen oder Nahrungsergänzungsmittel interagieren mit Synjardy XR?
Synjardy xr kann mit topiramat oder anderen carbonischen Anhydrase -Inhibitoren Ranolazin Vandetanib Dolutegravir Cimetidin -Alkohol Diuretika Insulin oder Insulin Sekretagogues Corticosteroids Phenothiazine Thyroid -Produkte Erkrankungen oralalal -kontracapeploköder Phenytoin -Kortikosteroid -Kortikoster -Kortikoin -Kortikoin -Nikotinsäure -symphenmadhomimimimimethomimimimimetarics Phenytoins Phenytoins Phenytoins Phenytoin -Nikotinsäure -Symphen -Kanal -Alal -Alal -Channel -Dilitorien Phenytoin -Nikotinsäure -säkischen Symbole Isoniazid. Sagen Sie Ihrem Arzt alle Medikamente und Nahrungsergänzungsmittel, die Sie verwenden.
Synjardy XR während der Schwangerschaft oder des Stillens
Sagen Sie Ihrem Arzt, wenn Sie schwanger sind oder vorhaben, schwanger zu werden, bevor Sie Synjardy XR verwenden. Synjardy XR wird nicht für die Verwendung während des zweiten und dritten Trimesters empfohlen. Es kann einem Fötus schaden. Es ist nicht bekannt, ob Synjardy XR in Muttermilch übergeht. Aufgrund des Potentials für Schäden an einem stillenden Säuglingsstillstand bei der Verwendung von Synjardy XR wird nicht empfohlen.
Weitere Informationen
Unsere Tabletten für Synjardy XR (Empagliflozin und Metformin Hydrochlorid Extended Release) für den mündlichen Gebrauch Nebenwirkungen Arzneimittelzentrum bietet eine umfassende Übersicht über verfügbare Arzneimittelinformationen über die potenziellen Nebenwirkungen bei der Einnahme dieses Medikaments.
FDA -Drogeninformationen
- Drogenbeschreibung
- Indikationen
- Dosierung
- Nebenwirkungen
- Wechselwirkungen mit Arzneimitteln
- Warnungen
- Überdosis
- Klinische Pharmakologie
- Medikamentenhandbuch
WARNUNG
Laktatazidose
Nach dem Stempeln von Metformin-assoziierten Laktatazidose haben zu einer Hypotonie des Todeshypotos und zu resistenten Bradyarrhythmien geführt. Der Beginn der Metformin-assoziierten Laktikazise-Azidose wird häufig nur subtil nur von unspezifischen Symptomen wie Unwohlsein Myalgien Atemnotsnot und Bauchschmerzen begleitet. Die Metformin-assoziierte Lacticazidose wurde durch erhöhte Blut-Laktat-Spiegel (> 5 mmol/Liter) Anionenspalt-Azidose (ohne Hinweis auf Ketonurie oder Ketonämie) ein erhöhtes Verhältnis von Laktat/Pyruvat gekennzeichnet; und Metformin -Plasmaspiegel im Allgemeinen> 5 mcg/ml [siehe Warnungen und VORSICHTSMASSNAHMEN ].
Zu den Risikofaktoren für Metformin-assoziierte Laktikazidose gehören Nierenbeeinträchtigungen, die bestimmte Arzneimittel (z. B. carbonische Anhydrase-Inhibitoren wie Topiramat) im Alter von 65 Jahren oder mehr mit einer radiologischen Untersuchung mit Kontrastoperationen und anderen Verfahren für hypoxische Zustände (z. B. akutes konstantes Herzversagen) eingehalten werden (z. B. akutes Herzversagen).
Schritte zur Reduzierung des Risikos und zur Behandlung von Metformin-assoziierten Lactic-Azidose in diesen hohen Risikogruppen werden in vollständigen Verschreibungsinformationen bereitgestellt [siehe Dosierung und Verwaltung Kontraindikationen WARNUNGS AND VORSICHTSMASSNAHMEN Wechselwirkungen mit Arzneimitteln Und Verwendung in bestimmten Populationen ].
Wenn die metformin-assoziierte Laktikazidose vermutet wird, werden Synjardy XR sofort eingestellt und allgemeine unterstützende Maßnahmen in einem Krankenhaus eingeleitet. Schnellige Hämodialyse wird empfohlen [siehe Warnungen und VORSICHTSMASSNAHMEN ].
Prednisolonacetat Ophthalmic Suspension Nebenwirkungen
Beschreibung für Synjardy XR Extended Release Tablets
Die Tabletten für die orale Verwendung von Synjardy XR (Empagliflozin und Metforminhydrochlorid Extended-Freisetzung) enthalten zwei Antihyperglykämie-Medikamente, die bei der Behandlung von Typ-2-Diabetes verwendet werden: Empagliflozin und Metforminhydrochlorid.
Empagliflozin
Empagliflozin is an orally-active inhibitor of the sodium-glucose co-transporter 2 (SGLT2).
Der chemische Name von Empagliflozin ist D-Glucitol15-Anhydro-1-C- [4-Chlor-3-[4-[[(3S) -Tetrahydro-3furanyl] oxy] Phenyl] methyl] Phenyl]-(1S).
Seine molekulare Formel ist c 23 H 27 Clo 7 Und the molecular weight is 450.91. The structural formula is:
|
Empagliflozin is a white to yellowish non-hygroscopic powder. It is very slightly soluble in water sparingly soluble in methanol slightly soluble in ethanol Und acetonitrile; soluble in 50% acetonitrile/water; Und practically insoluble in toluene.
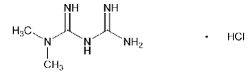
Metforminhydrochlorid
Metforminhydrochlorid (nn-dimethylimidodicarbonimidisches Diamidhydrochlorid) ist weder chemisch noch pharmakologisch mit anderen Klassen oraler Antihyperglykämmere in Verbindung. Metforminhydrochlorid ist eine weiße und weiße kristalline Verbindung mit einer molekularen Formel von C 4 H 11 N 5 • HCl und ein Molekulargewicht von 165,63. Metforminhydrochlorid ist in Wasser frei löslich und in Acetonether und Chloroform praktisch unlöslich. Die PKA von Metformin beträgt 12,4. Der pH -Wert einer 1% igen wässrigen Lösung von Metforminhydrochlorid beträgt 6,68. Die strukturelle Formel lautet:
|
Jede filmbeschichtete Tablette von Synjardy XR besteht aus einer Metformin-Hydrochlorid-Kerntablette mit erweiterter Freisetzung, die mit dem Empagliflozin mit der sofortigen Freisetzung von Arzneimittelsubstanzen beschichtet ist.
Synjardy XR -Tabletten für die orale Verabreichung sind in vier Dosierungsstärken erhältlich, die enthalten sind:
- 5 mg Empagliflozin und 1000 mg Metforminhydrochlorid-Verlängerung
- 10 mg Empagliflozin und 1000 mg Metforminhydrochlorid-Verlängerung
- 12,5 mg Empagliflozin und 1000 mg Metforminhydrochlorid-Verlängerung
- 25 mg Empagliflozin und 1000 mg Metforminhydrochlorid-Verlängerung
Jede filmbeschichtete Tablette mit Synjardy XR enthält die folgenden inaktiven Inhaltsstoffe: Tablettenkern: Polyethylenoxid Hypromellose und Magnesiumstearat. Film Coatings and Printing Ink: hypromellose titanium dioxide polydextrose polyethylene glycol talc carnauba wax purified water ferrosoferric oxide propylene glycol isopropyl alcohol ferric oxide yellow (5 mg/1000 mg 10 mg/1000 mg 25 mg/1000 mg) ferric oxide red (10 mg/1000 mg) FD
Verwendung für Synjardy XR Extended Release Tablets
Verbraucht
Verbraucht is a combination of empagliflozin Und Metformin hydrochloride (HCl) immediate-release indicated as an adjunct to diet Und exercise to improve glycemic control in adults Und pediatric patients aged 10 years Und older with type 2 Diabetes mellitus.
Verbraucht XR
Verbraucht XR is a combination of Empagliflozin und Metformin HCL extended-release indicated as an adjunct to diet Und exercise to improve glycemic control in adults with type 2 Diabetes mellitus.
Empagliflozin
Empagliflozin when used as a component of Verbraucht or Verbraucht XR is indicated in adults with type 2 Diabetes mellitus to reduce the risk of:
- Der kardiovaskuläre (CV) -Tod bei Erwachsenen mit etablierter Lebenslaufkrankheit.
- CV -Tod und Krankenhausaufenthalt bei Herzinsuffizienz bei Erwachsenen mit Herzinsuffizienz.
- Nachhaltiger Rückgang der EGFR-Endstadien-Nierenerkrankung CV Tod und Krankenhausaufenthalt bei Erwachsenen mit chronischer Nierenerkrankung mit Progressionsrisiko.
Einschränkungen der Nutzung
- Verbraucht Und Verbraucht XR are not recommended for use to improve glycemic control in patients with type 1 Diabetes mellitus. It may increase the risk of diabetic ketoacidosis in these patients [see WARNUNGS AND VORSICHTSMASSNAHMEN ].
- Aufgrund der MET für Min HCl -Komponente ist die Verwendung von Synjardy oder Synjardy XR für alle Indikationen auf Patienten mit Typ -2 -Diabetes mellitus beschränkt.
- Empagliflozin when used as a component of Verbraucht or Verbraucht XR is not recommended for the treatment of chronic kidney disease in patients with polycystic kidney disease or patients requiring or with a recent history of intravenous immunosuppressive therapy or greater than 45 mg of prednisone or equivalent for kidney disease [see Klinische Studien ]. Empagliflozin is not expected to be effective in these populations.
Dosierung für Synjardy XR Extended-release Tabletten
Tests vor Beginn von Synjardy oder Synjardy XR
- Bewerten Sie die Nierenfunktion, bevor Sie Synjardy oder Synjardy XR initiieren und klinisch angegeben [siehe WARNUNGS AND VORSICHTSMASSNAHMEN ].
- Volumenstatus bewerten. Bei Patienten mit Volumenabbau korrigieren Sie diesen Zustand, bevor Sie Synjardie oder Synjardy XR einleiten [siehe WARNUNGS AND VORSICHTSMASSNAHMEN Und Verwendung in bestimmten Populationen ].
Empfohlene Dosierung und Verabreichung von Synjardy oder Synjardy XR bei Erwachsenen
- Beim Umschalten auf Synjardy oder Synjardy XR von:
- Metformin HCl: Synjardy oder Synjardy XR in einer ähnlichen täglichen Dosierung von MET für Min HCl und einer täglichen DOS -Dosierung von 10 mg in der gesamten täglichen Empagliflozin einleiten.
- Empagliflozin: initiate Verbraucht or Verbraucht XR at the same total daily dosage of empagliflozin Und a total daily Metformin HCl dosage of 1000 mg.
- Empagliflozin Und Metformin HCl: initiate Verbraucht or Verbraucht XR at the same total daily dosages of each component.
- Empfohlene Dosierung von Synjardy oder Synjardy XR:
- Die empfohlene Gesamtdosis von Empagliflozin beträgt 10 mg.
- Für zusätzliche Glykämiekontrol -Empagliflozin kann bei Patienten, die täglich 10 mg tolerieren, auf eine maximale Gesamtdosis von 25 mg erhöht werden, und Metformin HCl kann auf eine maximale tägliche Gesamtdosis von 2000 mg mit einer allmählichen Eskalation erhöht werden, um die gastrointestinalen uswuswussten Reaktionen mit Metforminhcl zu verringern. [Siehe [siehe [siehe [siehe [siehe Nebenwirkungen ].
- Nehmen Sie die Synjardie zweimal täglich mit den Mahlzeiten oral ein.
- Nehmen Sie Synjardy XR einmal täglich mit einer Mahlzeit morgens oral. Jedes Tafel ganz schlucken. Teilen Sie Crush nicht auf und kauen Sie nicht.
Empfohlene Dosierung und Verabreichung von Synjardie bei pädiatrischen Patienten ab 10 Jahren und älter
- Individualisieren Sie die Dosierung der Synjardie auf der Grundlage des aktuellen Regimes des Patienten.
- Überwachen Sie die Effektivität und Verträglichkeit und passen Sie die Dosierung nach geeignetem, um die maximale tägliche Gesamtdosis von Empagliflozin 25 mg und Metformin HCl 2000 mg nicht zu überschreiten.
- Nehmen Sie die Synjardie zweimal täglich mit den Mahlzeiten oral ein; mit einer allmählichen Dosis Eskalation zur Reduzierung von gastrointestinalen Nebenwirkungen mit Metformin HCl [siehe Nebenwirkungen ].
Dosierung Recommendations in Patients with Nierenbehinderung
- Die Initiierung von Synjardy oder Synjardy XR wird aufgrund der Metformin -HCl -Komponente bei Patienten mit einem EGFR von weniger als 45 ml/min/1,73 m² nicht empfohlen.
- Verbraucht Und Verbraucht XR are contraindicated in patients with an eGFR less than30 mL/min/1.73 m² [see Kontraindikationen WARNUNGS AND VORSICHTSMASSNAHMEN Und Verwendung in bestimmten Populationen ].
Absetzen bei iodierten Kontrastbildgebungsverfahren
Synjardie oder Synjardy XR zum Zeitpunkt oder vor einem iodierten Kontrastbildgebungsverfahren bei Patienten mit einem EGFR unter 60 ml/min/1,73 m²; bei Patienten mit Lebererkrankung Alkoholismus oder Herzinsuffizienz; oder bei Patienten, denen intra-arterielles iodiertem Kontrast verabreicht wird. Bewerten Sie EGFR 48 Stunden nach dem Bildgebungsverfahren neu; Starten Sie Synjardy oder Synjardy XR neu, wenn die Nierenfunktion stabil ist [siehe WARNUNGS AND VORSICHTSMASSNAHMEN ].
Vorübergehende Unterbrechung für die Operation
Mindestens 3 Tage vor der Operation oder Verfahren im Zusammenhang mit einem längeren Fasten für mindestens 3 Tage lang Synjardy oder Synjardy XR zurückhalten. Lebenslauf Synjardy oder Synjardy XR, wenn der Patient klinisch stabil ist und die orale Aufnahme wieder aufgenommen hat [siehe WARNUNGS AND VORSICHTSMASSNAHMEN Und Klinische Pharmakologie ].
Empfehlungen bezüglich der verpassten Dosis
- Wenn eine Dosis verpasst wird, weist sie die Patienten an, die Dosis so schnell wie möglich einzunehmen.
- Raten Sie den Patienten, die nächste Dosis nicht zu verdoppeln.
Wie geliefert
Dosierung Forms And Strengths
Verbraucht Tabletten
| Empagliflozin Strength | Metformin HCl Stärke | Farbe/Form | Tablet -Markierungen |
| 5 mg | 500 mg | orange gelber Oval Biconvex Filmbeschichtete Tablette | Boehringer Ingelheim Company -Symbol und S5 auf einer Seite abgebrochen; Die andere Seite ist mit 500 gestrichen. |
| 5 mg | 1000 mg | bräunlich gelber ovales biconvex-filmbeschichteter Tablette | Boehringer Ingelheim Company -Symbol und S5 auf einer Seite abgebrochen; Die andere Seite ist mit 1000 gestrichen. |
| 12,5 mg | 500 mg | blassbräunisch-lila ovales Bikonvex-filmbeschichteter Tablette | Boehringer Ingelheim Company -Symbol und S12 auf einer Seite abgebrochen; Die andere Seite ist mit 500 gestrichen. |
| 12,5 mg | 1000 mg | dunkelbräunisch-lila ovales biconvex-filmbeschichtete Tablette | Boehringer Ingelheim Company -Symbol und S12 auf einer Seite abgebrochen; Die andere Seite ist mit 1000 gestrichen. |
Verbraucht XR Tabletten
| Empagliflozin Strength | Metformin HCl Extended - Freisetzungsstärke | Farbe/Form | Tablet -Markierungen |
| 5 mg | 1000 mg | olivgrün ovaler biconvex filmbeschichteter Tablette | Auf einer Seite in schwarzer Tinte mit dem Symbol Boehringer Ingelheim Company und S5 auf der oberen Linie gedruckt und 1000 m am unteren Rand. |
| 10 mg | 1000 mg | orangefarbene ovale biconvex-filmbeschichtete Tablette | Auf einer Seite in schwarzer Tinte mit dem Symbol Boehringer Ingelheim Company und S10 auf der oberen Linie gedruckt und 1000 m am unteren Rand. |
| 12,5 mg | 1000 mg | Blue Oval Biconvex Filmbeschichtete Tablette | Auf einer Seite in schwarzer Tinte mit dem Symbol Boehringer Ingelheim Company und S12 auf der oberen Linie gedruckt und 1000 m am unteren Rand. |
| 25 mg | 1000 mg | Hellgrünes ovales biconvex-filmbeschichteter Tablette | Auf einer Seite in schwarzer Tinte mit dem Symbol Boehringer Ingelheim Company und S25 auf der oberen Linie gedruckt und 1000 m am unteren Rand. |
Lagerung und Handhabung
Verbraucht Tablets sind wie folgt erhältlich:
| Tablettenstärke | Farbe/Form | Tablet -Markierungen | Paketgröße | NDC -Nummer |
| 5 mg Empagliflozin 500 mg Metformin HCl | orange gelber Oval Biconvex Filmbeschichtete Tablette | Boehringer Ingelheim Company -Symbol und S5 auf einer Seite abgebrochen; Die andere Seite ist mit 500 gestrichen. | 60 Flaschen | 0597-0159-60 |
| Flaschen von 180 | 0597-0159-18 | |||
| 5 mg Empagliflozin 1000 mg Metformin HCl | bräunlich gelber ovales biconvex-filmbeschichteter Tablette | Boehringer Ingelheim Company -Symbol und S5 auf einer Seite abgebrochen; Die andere Seite ist mit 1000 gestrichen. | 60 Flaschen | 0597-0175-60 |
| Flaschen von 180 | 0597-0175-18 | |||
| 12,5 mg Empagliflozin 500 mg Metformin HCl | blassbräunisch-lila ovales Bikonvex-filmbeschichteter Tablette | Boehringer Ingelheim Company -Symbol und S12 auf einer Seite abgebrochen; Die andere Seite ist mit 500 gestrichen. | 60 Flaschen | 0597-0180-60 |
| Flaschen von 180 | 0597-0180-18 | |||
| 12,5 mg Empagliflozin 1000 mg Metformin HCl | dunkelbräunisch-lila ovales biconvex-filmbeschichtete Tablette | Boehringer Ingelheim Company -Symbol und S12 auf einer Seite abgebrochen; Die andere Seite ist mit 1000 gestrichen. | 60 Flaschen | 0597-0168-60 |
| Flaschen von 180 | 0597-0168-18 |
Verbraucht XR Tablets sind wie folgt erhältlich:
| Tablettenstärke | Farbe/Form | Tablet -Markierungen | Paketgröße | NDC -Nummer |
| 5 mg Empagliflozin 1000 mg Metformin HCl | olivgrün ovaler biconvex filmbeschichteter Tablette | Auf einer Seite in schwarzer Tinte mit dem Symbol Boehringer Ingelheim Company und S5 auf der oberen Linie gedruckt und 1000 m am unteren Rand. | 60 Flaschen | 0597-0290-74 |
| Flaschen von 180 | 0597-0290-59 | |||
| 10 mg Empagliflozin 1000 mg Metformin HCl | orangefarbene ovale biconvex-filmbeschichtete Tablette | Auf einer Seite in schwarzer Tinte mit dem Symbol Boehringer Ingelheim Company und S10 auf der oberen Linie gedruckt und 1000 m am unteren Rand. | Flaschen von 30 | 0597-0280-73 |
| Flaschen von 90 | 0597-0280-90 | |||
| 12,5 mg Empagliflozin 1000 mg Metformin HCl | Blue Oval Biconvex Filmbeschichtete Tablette | Auf einer Seite in schwarzer Tinte mit dem Symbol Boehringer Ingelheim Company und S12 auf der oberen Linie gedruckt und 1000 m am unteren Rand. | 60 Flaschen | 0597-0300-45 |
| Flaschen von 180 | 0597-0300-93 | |||
| 25 mg Empagliflozin 1000 mg Metformin HCl | Hellgrünes ovales biconvex-filmbeschichteter Tablette | Auf einer Seite in schwarzer Tinte mit dem Symbol Boehringer Ingelheim Company und S25 auf der oberen Linie gedruckt und 1000 m am unteren Rand. | Flaschen von 30 | 0597-0295-88 |
| Flaschen von 90 | 0597-0295-78 |
Lagerung
Speichern Sie bei 20 ° C bis 25 ° C (68 ° F bis 77 ° F); Exkursionen, die auf 15 ° C bis 30 ° C (59 ° F bis 86 ° F) zulässig sind [siehe USP -kontrollierte Raumtemperatur ].
Verteilt von: Boehringer Ingelheim Pharmaceuticals Inc. Ridgefield CT 06877 USA. Vermarktung von: Boehringer Ingelheim Pharmaceuticals Inc. Ridgefield CT 06877 USA und Eli Lilly und Company Indianapolis in 46285 USA. Überarbeitet: März2025
Nebenwirkungen for Synjardy XR Extended-release Tabletten
Die folgenden wichtigen Nebenwirkungen werden nachstehend und anderswo in der Kennzeichnung beschrieben:
- Laktatazidose [siehe WARNUNG BOXED Und WARNUNGS AND VORSICHTSMASSNAHMEN ]
- Diabetische Ketoacidose bei Patienten mit Typ -1 -Diabetes mellitus und anderen Ketoazidose [siehe WARNUNGS AND VORSICHTSMASSNAHMEN ]
- Volumenverarmung [siehe WARNUNGS AND VORSICHTSMASSNAHMEN ]
- Urosepsis und Pyelonephritis [siehe WARNUNGS AND VORSICHTSMASSNAHMEN ]
- Hypoglykämie [siehe WARNUNGS AND VORSICHTSMASSNAHMEN ]
- Nekrotisierende Fasziitis des Perineums (Fournier -Gangrän) [siehe WARNUNGS AND VORSICHTSMASSNAHMEN ]
- Genitale mykotische Infektionen [siehe WARNUNGS AND VORSICHTSMASSNAHMEN ]
- Amputation der unteren Extremität [siehe WARNUNGS AND VORSICHTSMASSNAHMEN ]
- Überempfindlichkeitsreaktionen [siehe WARNUNGS AND VORSICHTSMASSNAHMEN ]
- Vitamin B12 -Mangel [siehe WARNUNGS AND VORSICHTSMASSNAHMEN ]
Klinische Studien Erfahrung
Da klinische Studien unter stark unterschiedlichen Bedingungen durchgeführt werden, die in den klinischen Studien eines Arzneimittels beobachtet werden, können in den klinischen Studien eines anderen Arzneimittels nicht direkt mit den Raten verglichen werden und spiegeln möglicherweise nicht die in der Praxis beobachteten Raten wider.
Die Sicherheit von gleichzeitig verabreichtem Empagliflozin (tägliche Dosierung 10 mg oder 25 mg) und Metformin -HCl (mittlere tägliche Dosierung von ungefähr 1800 mg) wurde bei 3456 erwachsenen Patienten mit Typ -2 -Diabetes -Mellitus bewertet, die für 16 bis 24 Wochen, die 926 Patienten erhalten hatten. Dosierung von Empagliflozin 25 mg. Die Einstellung der Therapie aufgrund unerwünschter Ereignisse in den Behandlungsgruppen betrug 3,0% 2,8% und 2,9% für Placebo -Empagliflozin 10 mg bzw. Empagliflozin 25 mg.
Nebenwirkungen in einer klinischen Studie mit Empagliflozin (Add-On-Kombinationstherapie mit Metformin HCl und Sulfonylharnstoff) zur glykämischen Kontrolle bei Erwachsenen mit Typ-2-Diabetes mellitus
In einer 24-wöchigen placebokontrollierten Studie mit Empagliflozin 10 mg oder 25 mg, die einmal täglich zu Metformin HCl und Sulfonylharnstoffversorgung verabreicht wurden, und Sulfonylharnstoff-Reaktionen, die bei ≥ 5% der Empagliflozin-behandelten Patienten berichtet wurden, und häufiger als bei mit Placebo behandelten Patienten werden in Tabelle 1 dargestellt (siehe Tabelle 4) (siehe auch Tabelle 4).
Tabelle 1: Nebenwirkungen bei ≥5% der Erwachsenen mit Typ-2
| Nebenwirkungen | Placebo (%) n = 225 | Empagliflozin 10 mg (%) n = 224 | Empagliflozin 25 mg (%) n = 217 |
| Hypoglykämie | 9.8 | 15.6 | 12.9 |
| Harnwegsinfektion | 6.7 | 9.4 | 6.9 |
| Nasopharynngitis | 4.9 | 8.0 | 6.0 |
Empagliflozin
Klinische Studien bei Erwachsenen mit Typ -2 -Diabetes mellitus
Die Daten in Tabelle 2 stammen aus einem Pool von vier 24-wöchigen placebokontrollierten Studien und 18-wöchigen Daten aus einer placebokontrollierten Studie mit basalem Insulin bei erwachsenen Patienten mit Typ-2-Diabetes mellitus. Empagliflozin wurde als Monotherapie in einer Studie und als Add-On-Therapie in vier Studien verwendet [siehe Klinische Studien ].
Diese Daten spiegeln die Exposition von erwachsenen Patienten von 1976 gegenüber Empagliflozin mit einer mittleren Expositionsdauer von ca. 23 Wochen wider. Die Patienten erhielten ein Placebo (n = 995) Empagliflozin 10 mg (n = 999) oder Empagliflozin 25 mg (n = 977) einmal täglich. Das Durchschnittsalter der Bevölkerung betrug 56 Jahre und 3% waren älter als 75 Jahre. Mehr als die Hälfte (55%) der Bevölkerung war männlich; 46% waren weiß 50% asiatisch und 3% waren schwarz oder afroamerikaner. Zu Studienbeginn hatten 57% der Bevölkerung mehr als 5 Jahre Diabetes mellitus und hatten ein mittleres Hämoglobin A1C (HbA1c) von 8%. Die etablierten mikrovaskulären Komplikationen von Diabetes mellitus zu Studienbeginn umfassten diabetische Nephropathie (7%) Retinopathie (8%) oder Neuropathie (16%). Die Nierenfunktion der Basis war bei 91% der Patienten normal oder leicht beeinträchtigt und bei 9% der Patienten mäßig beeinträchtigt (mittlerer EGFR 86,8 ml/min/1,73 m²).
Tabelle 2 zeigt unerwünschte Reaktionen (ausgenommen Hypoglykämie), die zu Studienbeginn nicht vorhanden waren, bei der mit Empagliflozin behandelten Patienten häufiger als mit Placebo-behandelte Patienten und traten bei mehr oder gleich 2% der mit Empagliflozin behandelten Patienten auf.
Tabelle 2: Nebenwirkungen, die bei ≥2% der Erwachsenen mit Typ-2-Diabetes mellitus mit Empagliflozin und größer als Placebo in gepoolten placebokontrollierten klinischen Studien zur Empagliflozin-Monotherapie oder einer Kombinationstherapie berichtet wurden
| Nebenwirkungen | Placebo (%) N = 995 | Empagliflozin 10 mg (%) N = 999 | Empagliflozin 25 mg (%) N = 977 |
| Harnwegsinfektion a | 7.6 | 9.3 | 7.6 |
| Mykotische Infektionen der weiblichen genitalen Genital b | 1.5 | 5.4 | 6.4 |
| Infektion der oberen Atemwege | 3.8 | 3.1 | 4.0 |
| Erhöhtes Wasserlassen c | 1.0 | 3.4 | 3.2 |
| Dyslipidämie | 3.4 | 3.9 | 2.9 |
| Arthralgie | 2.2 | 2.4 | 2.3 |
| Männliche genitale mykotische Infektionen d | 0.4 | 3.1 | 1.6 |
| Brechreiz | 1.4 | 2.3 | 1.1 |
| a Vordefinierte unerwünschte Ereignisgruppierung, einschließlich, aber nicht beschränkt auf eine asymptomatische Bakteriurie -Zystitis der Harnwegsinfektion b Mykotische Infektionen der weiblichen genitalen Genital include the following adverse reactions: vulvovaginal mycotic infection vaginal infection vulvitis vulvovaginal cUndidiasis genital infection genital cUndidiasis genital infection fungal genitoHarnwegsinfektion vulvovaginitis cervicitis urogenital infection fungal vaginitis bacterial. Percentages calculated with the number of female subjects in each group as denominator: placebo (N=481) empagliflozin 10 mg (N=443) empagliflozin 25 mg (N=420). c Vordefinierte unerwünschte Ereignisgruppen, einschließlich, aber nicht beschränkt auf Polyuria pollakiuria und Nocturia d Männliche genitale mykotische Infektionen include the following adverse reactions: balanoposthitis balanitis genital infections fungal genitoHarnwegsinfektion balanitis cUndida scrotal abscess penile infection. Percentages calculated with the number of male subjects in each group as denominator: placebo (N=514) empagliflozin 10 mg (N=556) empagliflozin 25 mg (N=557). |
Durst (einschließlich Polydipsie) wurde bei 0% 1,7% und 1,5% für Placebo -Empagliflozin 10 mg bzw. Empagliflozin 25 mg gemeldet.
Volumenverarmung
Empagliflozin causes an osmotic diuresis which may lead to intravascular volume contraction Und adverse reactions related to volume depletion. In the pool of five placebo-controlled clinical trials in adults adverse reactions related to volume depletion (e.g. blood pressure (ambulatory) decreased blood pressure systolic decreased dehydration hypotension hypovolemia orthostatic hypotension Und syncope) were reported by 0.3% 0.5% Und 0.3% of patients treated with placebo empagliflozin 10 mg Und empagliflozin 25 mg respectively. Empagliflozin may increase the risk of hypotension in patients at risk for volume contraction [see Verwendung in bestimmten Populationen ].
Erhöhtes Wasserlassen
Im Pool von fünf placebokontrollierten klinischen Studien bei Erwachsenen traten bei Empagliflozin bei Empagliflozin häufiger auf Empagliflozin als auf Placebo auf (siehe Tabelle 2). Insbesondere Nocturia wurde von 0,4% 0,3% und 0,8% der Patienten mit Placebo -Empagliflozin 10 mg bzw. Empagliflozin 25 mg gemeldet.
Hypoglykämie In Clinical Trials With Empagliflozin For Glycemic Control In Adults With Type 2 Diabetes Mellitus
Die Inzidenz von Hypoglykämie bei Erwachsenen durch Versuch ist in Tabelle 3 gezeigt. Die Inzidenz von Hypoglykämie stieg, wenn Empagliflozin mit Insulin oder Sulfonylharnstoff verabreicht wurde.
Tabelle 3: Inzidenz von insgesamt a Und Severe b Hypoglykämische Ereignisse in placebokontrollierten klinischen Studien zur glykämischen Kontrolle bei Erwachsenen mit Typ-2-Diabetes mellitus c
| Monotherapie (24 Wochen) | Placebo (n = 229) | Empagliflozin 10 mg (n = 224) | Empagliflozin 25 mg (n = 223) |
| Gesamt (%) | 0.4 | 0.4 | 0.4 |
| Schwer (%) | 0 | 0 | 0 |
| In Kombination mit Metformin HCl (24 Wochen) | Placebo + Metformin HCl (n = 206) | Empagliflozin 10 mg + Metformin HCl (n = 217) | Empagliflozin 25 mg + Metformin HCl (n = 214) |
| Gesamt (%) | 0.5 | 1.8 | 1.4 |
| Schwer (%) | 0 | 0 | 0 |
| In Kombination mit Metformin HCl Sulfonylharnstoff (24 Wochen) | Placebo (n = 225) | Empagliflozin 10 mg + Metformin HCl + Sulfonylurea (n = 224) | Empagliflozin 25 mg + Metformin HCl + Sulfonylurea (n = 217) |
| Gesamt (%) | 8.4 | 16.1 | 11.5 |
| Schwer (%) | 0 | 0 | 0 |
| In Kombination mit Pioglitazon /- Metformin HCl (24 Wochen) | Placebo (n = 165) | Empagliflozin 10 mg + Pioglitazone +/- Metformin HCl (n = 165) | Empagliflozin 25 mg + Pioglitazone +/- Metformin HCl (n = 168) |
| Gesamt (%) | 1.8 | 1.2 | 2.4 |
| Schwer (%) | 0 | 0 | 0 |
| In Kombination mit basalem Insulin /- Metformin HCl (18 Wochen d ) | Placebo (n = 170) | Empagliflozin 10 mg (n = 169) | Empagliflozin 25 mg (n = 155) |
| Gesamt (%) | 20.6 | 19.5 | 28.4 |
| Schwer (%) | 0 | 0 | 1.3 |
| In Kombination mit MDI Insulin /- Metformin HCl (18 Wochen d ) | Placebo (n=188) | Empagliflozin 10 mg (n = 186) | Empagliflozin 25 mg (n = 189) |
| Gesamt (%) | 37.2 | 39.8 | 41.3 |
| Schwer (%) | 0.5 | 0.5 | 0.5 |
| a Gesamthypoglykämische Ereignisse: Plasma oder Kapillarglukose von weniger als oder gleich 70 mg/dl b Schwere hypoglykämische Ereignisse: Erfordernde Unterstützung unabhängig vom Blutzucker c Behandelter Satz (Patienten, die mindestens eine Dosierung des Versuchsmedikamente erhalten hatten) d Die Insulindosis konnte während der ersten 18-wöchigen Behandlungszeit nicht angepasst werden |
Andere Nebenwirkungen in klinischen Studien mit Empagliflozin bei Erwachsenen
- Genitalmykotische Infektionen: In the pool of five placebo-controlled clinical trials the incidence of genital mycotic infections (e.g. vaginal mycotic infection vaginal infection genital infection fungal vulvovaginal candidiasis and vulvitis) was increased in patients treated with empagliflozin compared to placebo occurring in 0.9% 4.1% and 3.7% of patients randomized to placebo empagliflozin 10 mg and Empagliflozin 25 mg. Das Absetzen der Studie aufgrund einer Genitalinfektion trat bei 0% der mit Placebo behandelten Patienten und 0,2% der mit Empagliflozin 10 mg oder 25 mg behandelten Patienten auf.
Mykotische Genitalinfektionen traten bei Frauen häufiger auf als bei männlichen Patienten (siehe Tabelle 2).
Phimose trat bei männlichen Patienten, die mit Empagliflozin 10 mg (weniger als 0,1%) und Empagliflozin 25 mg (NULL,1%) als Placebo (0%) behandelt wurden, häufiger auf.
- Harnwegsinfektionen: In dem Pool von fünf placebokontrollierten klinischen Studien war die Inzidenz von Harnwegsinfektionen (z. B. asymptomatische Bakteriurie und Zystitis im Urintraktinfektion) bei Patienten, die mit Empagliflozin behandelt wurden, im Vergleich zu Placebo erhöht (siehe Tabelle 2). Patienten mit chronischer oder rezidivierender Harnwegsinfektionen hatten eher eine Harnwegsinfektion. Die Behandlungsrate des Abbruchs aufgrund von Infektionen im Harnweg betrug 0,1% 0,2% und 0,1% für Placebo -Empagliflozin 10 mg bzw. Empagliflozin 25 mg.
Harnwegsinfektions occurred more frequently in female patients. The incidence of Harnwegsinfektions in female patients rUndomized to placebo empagliflozin 10 mg Und empagliflozin 25 mg was 16.6% 18.4% Und 17.0% respectively. The incidence of Harnwegsinfektions in male patients rUndomized to placebo empagliflozin 10 mg Und empagliflozin 25 mg was 3.2% 3.6% Und 4.1% respectively [see Verwendung in bestimmten Populationen ].
- Amputationen der unteren Extremität: In vier Empagliflozin-Ergebnisversuchen betrugen die Amputationsereignisse der unteren Extremitäten bei der Placebo-Gruppe 4,3 und 5,0 Ereignisse pro 1000 Patientenjahre und die Dosisgruppe von Empagliflozin 10 mg oder 25 mg mit einer HR von 1,05 (95% CI) (NULL,81 1,36). In einer langfristigen kardio-renalen Outcome-Studie mit Empagliflozin bei Patienten mit chronischer Nierenerkrankung wurde das Auftreten von Amputationen der unteren Gliedmaßen mit Ereignisraten von 2,9 und 4,3 Ereignissen pro 1000 Patientenjahre im Placebo- und Empagliflozin 10 mg Behandlungsarme berichtet.
Klinische Studie mit Empagliflozin bei pädiatrischen Patienten im Alter von 10 bis 17 Jahren mit Typ -2 -Diabetes mellitus
Empagliflozin was administered to 52 patients in a trial of 157 pediatric patients aged 10 to 17 years with type 2 Diabetes mellitus with a mean exposure to empagliflozin of 23.8 weeks [see Klinische Studien ]. Background therapies as adjunct to diet Und exercise included Metformin HCl (51%) a combination of Metformin HCl Und insulin (40.1%) insulin (3.2%) or none (5.7%). The mean HbA1c at baseline was 8.0% Und the mean duration of type 2 Diabetes mellitus was 2.1 years. The mean age was 14.5 years (range: 10-17 years) Und 51.6% were aged 15 years Und older. Approximately 50% were White 6% were Asian 31% were Black or African American Und 38% were of Hispanic or Latino ethnicity. The mean BMI was 36.0 kg/m² Und mean BMI Z-score was 3.0. Approximately 25% of the trial population had microalbuminuria or macroalbuminuria.
Das Risiko einer Hypoglykämie war bei pädiatrischen Patienten höher, die mit Empagliflozin behandelt wurden, unabhängig von der gleichzeitigen Verwendung von Insulin. Hypoglykämie definiert als Blutzucker <54 mg/dL occurred in 10 (19.2%) patients Und in 4 (7.5%) patients treated with empagliflozin Und placebo respectively. No severe hypoglycemic events occurred (severe Hypoglykämie was defined as an event requiring the assistance of another person to actively administer Kohlenhydrate glucagon or take other corrective actions).
Nebenwirkungen With Clinical Trials Of Metformin HCl
Die häufigsten (> 5%) etablierten unerwünschten Reaktionen aufgrund der Einleitung einer Metformin -HCl -Therapie sind Durchfall Übelkeit/Erbrechen -Bläherzusammenzugs -Unbehagen von Verdauungsstörungen Asthenie und Kopfschmerzen.
In einer 24-wöchigen klinischen Studie, in der die Glyburid-Therapie Metformin HCL oder Placebo zugesetzt wurde, waren die Nebenwirkungen der Glyburid-Therapie in der kombinierten Behandlungsgruppe (> 5% und größer als Placebo) Hypoglykämie (NULL,7% vs. 4,9%) Diarrha (NULL,5% VS 5,6%).
Pädiatrische Patienten
In klinischen Studien mit Metformin-HCl-Sofortablösungs-Tabletten bei pädiatrischen Patienten mit Typ-2-Diabetes mellitus war das Profil von unerwünschten Reaktionen ähnlich wie bei Erwachsenen.
Anomalien der Labortest in klinischen Studien mit Empagliflozin oder Metformin HCl
Empagliflozin
- Erhöhung des Serumkreatinins und abnimmt bei EGFR: Die Initiierung von Empagliflozin führt zu einem Anstieg des Serumkreatinins und einer Abnahme der EGFR innerhalb von Wochen nach der Starttherapie, und dann stabilisieren sich diese Veränderungen. In einer Studie gegen Erwachsene mit mittelschwerer Nierenbeeinträchtigung wurden größere mittlere Veränderungen beobachtet. In einer Langzeit -CV -Outcomes -Studie belief sich die Zunahme des Serumkreatinins und der Abnahme von EGFR in Woche 4 im Allgemeinen nicht über 0,1 mg/dl und -9,0 ml/min/1,73 m².
- Erhöhung des Lipoproteincholesterins mit niedriger Dichte (LDL-C): Bei Erwachsenen, die mit Empagliflozin behandelt wurden, wurden dosisbedingte Erhöhungen des Lipoproteincholesterins mit niedriger Dichte (LDL-C) beobachtet. LDL-C stieg bei Patienten, die mit Placebo-Empagliflozin 10 mg und Empagliflozin 25 mg behandelt wurden, um 2,3% 4,6% und 6,5%. Der Bereich der mittleren Basis-LDL-C-Spiegel betrug 90,3 bis 90,6 mg/dl zwischen Behandlungsgruppen.
- Erhöhung des Hämatokrits: In einem Pool von vier placebokontrollierten Studien bei Erwachsenen nahm der mediane Hämatokrit in Placebo um 1,3% und stieg bei Empagliflozin um 10 mg und 2,8% bei Empagliflozin 25 mg behandelte Patienten. Am Ende der Behandlung hatten 0,6% 2,7% und 3,5% der Patienten mit Hämatokriten zunächst im Referenzbereich Werte über der Obergrenze des Referenzbereichs mit Placebo -Empagliflozin 10 mg bzw. Empagliflozin 25 mg.
Metformin HCl
- Abnahme von Vitamin B12: In Metformin HCl-klinischen Studien über 29-wöchige Dauer wurde bei ungefähr 7% der Patienten eine Abnahme auf subnormale Spiegel der zuvor normalen Serum-Vitamin-B12-Spiegel beobachtet.
Nachmarkterfahrung
Während des Einsatzes nach der Annahme wurden zusätzliche nachteilige Reaktionen identifiziert. Da diese Reaktionen freiwillig aus einer Population unsicherer Größe berichtet werden, ist es im Allgemeinen nicht möglich, ihre Häufigkeit zuverlässig abzuschätzen oder ein kausales Verhältnis zur Arzneimittelexposition herzustellen.
Empagliflozin
Magen -Darm -Störungen: Verstopfung
Infektionen: Nekrotisierende Fasziitis des Perineums (Fournier -Gangrän) Urosepsis und Pyelonephritis
Stoffwechsel- und Ernährungsstörungen: Ketoazidose
Nieren- und Harnstörungen: Akute Nierenverletzung
Haut und subkutane Gewebeerkrankungen: Angioödem -Hautreaktionen (z. B. Hautausschlag Urtikaria)
Metformin HCl
Lebererkrankungen: Cholestatische hepatozelluläre und gemischte hepatozelluläre Leberverletzung
Wechselwirkungen mit Arzneimitteln for Synjardy XR Extended-release Tabletten
Siehe Tabelle 4 für klinisch relevante Wechselwirkungen mit Synjardy oder Synjardy XR.
Tabelle 4: Klinisch relevante Wechselwirkungen mit Synjardy oder Synjardy XR
| Carboanhydrase -Inhibitoren | |
| Klinische Auswirkung | Topiramat oder andere carbonische Anhydrase-Inhibitoren (z. B. Zonisamidacetazolamid oder Dichlorphenamid) verursachen häufig eine Abnahme des Serumbicarbonat und induzieren hyperchlorämische metabolische Azidose von Nichtanionlücken. Die gleichzeitige Anwendung dieser Arzneimittel mit Synjardie oder Synjardy XR kann das Risiko einer Laktatazidose erhöhen. |
| Intervention | Betrachten Sie die häufigere Überwachung dieser Patienten. |
| Medikamente, die die Metformin -Clearance verringern | |
| Klinische Auswirkung | Gleichzeitige Verwendung von Arzneimitteln, die die an der Niereneximination von Metformin beteiligten häufigen Nierentransportsystemen (z. B. organischer kationischer Transporter-2 [OCT2] / Multidrugin und Toxin-Extrusion [MATE] -Hemmer-Inhibitoren wie Ranolazin-Vandetanib Dolutegrir und Cimetidin), erhöhen die Risikogrir und das Risiko, dass das Risiko für das Risiko erhöht werden kann, kann das Risiko erhöhen. Klinische Pharmakologie ]. |
| Intervention | Berücksichtigen Sie die Vorteile und Risiken einer gleichzeitigen Verwendung. |
| Alkohol | |
| Klinische Auswirkung | Alkohol is known to potentiate the effect of Metformin on lactate metabolism. |
| Intervention | Warnen Sie die Patienten vor einer übermäßigen Alkoholkonsum, während Sie Synjardy oder Synjardy XR erhalten. |
| Diuretika | |
| Klinische Auswirkung | Die gleichzeitige Verabreichung von Empagliflozin mit Diuretika führte zu einem erhöhten Urinvolumen und der Häufigkeit von Hohlräumen, die das Potenzial für eine Volumenverarmung verbessern könnten. |
| Intervention | Vor der Einleitung von Synjardy oder Synjardy XR den Volumenstatus und die Nierenfunktion bewerten. Bei Patienten mit Volumenabbau korrigieren Sie diesen Zustand, bevor Synjardie oder Synjardy XR initiiert werden. Überwachen Sie nach Anzeichen und Symptomen der Volumenverarmung und Nierenfunktion nach Beginn der Therapie. |
| Insulin- oder Insulin -Sekretagogen | |
| Klinische Auswirkung | Das Risiko einer Hypoglykämie wird erhöht, wenn Synjardie oder Synjardy XR in Kombination mit Insulin -Secretagogen (z. B. Sulfonylharnstoff) oder Insulin verwendet wird. |
| Intervention | Die gleichzeitige Verabreichung von Synjardy oder Synjardy XR mit einem Insulin -Sekretagogen (z. B. Sulfonylharnstoff) oder Insulin kann eine geringere Dosierung des Insulinsekretagogen oder des Insulins erfordern, um das Risiko einer Hypoglykämie zu verringern. |
| Medikamente, die die glykämische Kontrolle beeinflussen | |
| Klinische Auswirkung | Bestimmte Medikamente produzieren dazu, Hyperglykämie zu erzeugen, und können zu einem Verlust der glykämischen Kontrolle führen. Diese Medikamente umfassen die Thiazide und andere Diuretika -Kortikosteroide Phenothiazine Schilddrüsenprodukte Östrogene orale Kontrazeptiva Phenytoin -Nikotinsäure Sympathomimetika Calciumkanal Blockierungen und Isoniazid. |
| Intervention | Wenn ein Patienten, der Synjardie oder Synjardy XR erhält, solche Medikamente verabreicht werden, sollte der Patient genau beobachtet werden, um eine angemessene glykämische Kontrolle aufrechtzuerhalten. Wenn solche Medikamente von einem Patienten zurückgezogen werden, der Synjardie oder Synjardy XR erhält, sollte der Patient genau bei der Hypoglykämie beobachtet werden. |
| Lithium | |
| Klinische Auswirkung | Die gleichzeitige Verwendung eines SGLT2 -Inhibitors mit Lithium kann die Serum -Lithium -Konzentrationen verringern. |
| Intervention | Überwachen Sie die Serum -Lithiumkonzentration häufiger während der Synjardie- oder Synjardy -XR -Initiierung und Dosierungsänderungen. |
| Positiver Uringlukosetest | |
| Klinische Auswirkung | SGLT2 -Inhibitoren erhöhen die Glukoseausscheidung im Urin und führen zu positiven Glukosetests im Urin. |
| Intervention | Die Überwachung der Blutzuckerkontrolle mit Uringlukosetests wird bei Patienten, die SGLT2 -Inhibitoren einnehmen, nicht empfohlen. Verwenden Sie alternative Methoden zur Überwachung der glykämischen Kontrolle. |
| Störung mit einem Assay von 15-Anhydroglucitol (15-Ag) | |
| Klinische Auswirkung | Messungen von 15-AGs sind bei der Beurteilung der Blutzuckerkontrolle bei Patienten, die SGLT2-Inhibitoren einnehmen. |
| Intervention | Die Überwachung der glykämischen Kontrolle mit 15-Ag-Assay wird nicht empfohlen. Verwenden Sie alternative Methoden zur Überwachung der glykämischen Kontrolle. |
Warnungen für Synjardy XR Extended Release Tablets
Eingeschlossen als Teil der VORSICHTSMASSNAHMEN Abschnitt.
Vorsichtsmaßnahmen für Synjardy XR Extended Release Tablets
Laktatazidose
Nach dem Marketing gab es Fälle von Metformin-assoziiertem Laktikazise, einschließlich tödlicher Fälle. Diese Fälle hatten ein subtiles Beginn und wurden von unspezifischen Symptomen wie Unwohlsein Myalgien -Bauchschmerzen Atemnot oder erhöhte Schläfrigkeit begleitet; Hypotonie und resistente Bradyarrhythmien sind jedoch bei schwerer Azidose aufgetreten. Die Metformin-assoziierte Lacticazidose wurde durch erhöhte Blutlaktatkonzentrationen (> 5 mmol/Liter) Anionenspalt-Azidose (ohne Hinweis auf Ketonurie oder Ketonämie) und ein erhöhtes Verhältnis von Laktatpyruvat gekennzeichnet. Metformin -Plasmaspiegel im Allgemeinen> 5 mcg/ml. Metformin verringert die Leberaufnahme von Laktat -Erhöhung des Laktatblutspiegels, was das Risiko einer Laktatazidose insbesondere bei gefährdeten Patienten erhöhen kann.
Wenn die metformin-assoziierte Laktikazidose vermutet wird, sollten allgemeine unterstützende Maßnahmen zusammen mit einer sofortigen Abnahme von Synjardy oder Synjardy XR unverzüglich in einem Krankenhaus eingeleitet werden. Bei Synjardie- oder Synjardie-XR-behandelten Patienten mit einer Diagnose oder einem starken Verdacht auf die Laktikazidose wird eine sofortige Hämodialyse empfohlen, um die Azidose zu korrigieren und akkumulierte Metformin zu entfernen (Metformin ist mit einer Clearance von bis zu 170 ml/Minute unter guten hämodynamischen Bedingungen dialyzierbar). Die Hämodialyse hat häufig zur Umkehrung der Symptome und zur Erholung geführt.
Bildung von Patienten und ihren Familien über die Symptome der Laktatazidose und wenn diese Symptome auftreten, weist sie an, Synjardie oder Synjardy XR abzubrechen und diese Symptome ihrem Gesundheitsdienstleister zu berichten.
Für jede der bekannten und möglichen Risikofaktoren für Metformin-assoziierte Laktikazise-Empfehlungen zur Verringerung des Risikos und zur Behandlung von Metformin-assoziierten Laktikazidose finden Sie nachstehend:
Nierenbehinderung
Bei Patienten mit signifikanter Nierenbeeinträchtigung trat die nach dem Marketing-Metformin-assoziierten Fälle von Laktatazidose hauptsächlich bei Patienten auf. Das Risiko einer Metforminakkumulation und der Metformin-assoziierten Lacticazidose nimmt mit dem Schweregrad der Nierenbeeinträchtigung zu, da Metformin durch die Niere wesentlich ausgeschieden wird. Zu den klinischen Empfehlungen, die auf der Nierenfunktion des Patienten basieren, gehören [siehe Dosierung und Verwaltung Und Klinische Pharmakologie ]:
- Vor der Initiierung von Synjardy oder Synjardy XR erhalten Sie eine geschätzte glomeruläre Filtrationsrate (EGFR).
- Verbraucht Und Verbraucht XR are contraindicated in patients with an eGFR below 30 mL/min/1.73 m² [see Kontraindikationen ].
- Erhalten Sie mindestens jährlich ein EGFR bei allen Patienten, die Synjardie oder Synjardy XR einnehmen. Bei Patienten mit erhöhtem Risiko für die Entwicklung einer Nierenbeeinträchtigung (z. B. älterer) sollte die Nierenfunktion häufiger bewertet werden.
Wechselwirkungen mit Arzneimitteln
Die gleichzeitige Verwendung von Synjardie oder Synjardie-XR mit spezifischen Arzneimitteln kann das Risiko einer Metformin-assoziierten Laktik-Azidose erhöhen: Diejenigen, die die Nierenfunktion beeinträchtigen Wechselwirkungen mit Arzneimitteln ]. Therefore consider more frequent monitoring of patients.
Alter 65 oder mehr
Das Risiko einer Metformin-assoziierten Lacticazidose nimmt mit dem Alter des Patienten zu, da ältere Patienten eine höhere Wahrscheinlichkeit haben, dass eine Nieren- oder Herzbeeinträchtigung von Lebern aufweist als jüngere Patienten. Bewerten Sie die Nierenfunktion häufiger bei älteren Patienten [siehe Verwendung in bestimmten Populationen ].
Radiologische Untersuchungen mit Kontrast
Die Verabreichung von intravaskulären iodierten Kontrastmitteln bei mit Metformin behandelten Patienten hat zu einer akuten Abnahme der Nierenfunktion und zum Auftreten von Laktatazidose geführt. Stop Synjardy oder Synjardy XR zum Zeitpunkt oder vor einem iodierten Kontrastbildgebungsverfahren bei Patienten mit einem EGFR von weniger als 60 ml/min/1,73 m²; bei Patienten mit einer Vorgeschichte von Leberbeeinträchtigungen Alkoholismus oder Herzinsuffizienz; oder bei Patienten, denen intra-arterielles iodiertem Kontrast verabreicht wird. Bewerten Sie EGFR 48 Stunden nach dem Bildgebungsverfahren neu und starten Sie die Synjardie oder Synjardy XR neu, wenn die Nierenfunktion stabil ist.
Operation und andere Verfahren
Das Zurückhalten von Lebensmitteln und Flüssigkeiten während chirurgischer oder anderer Verfahren kann das Risiko für die Hypotonie des Volumens und die Nierenbeeinträchtigung erhöhen. Synjardy oder Synjardy XR sollten vorübergehend eingestellt werden, während Patienten eine eingeschränkte Nahrungsaufnahme und die Flüssigkeitsaufnahme haben.
Hypoxische Zustände
Einige der Nachmarktierungsfälle von Metformin-assoziiert Herzinsuffizienz (insbesondere in Begleitung von Hypoperfusion und Hypoxämie). Kardiovaskulärer Zusammenbruch ( Schock . Wenn solche Ereignisse auftreten, synjardy oder synjardy xr.
Übermäßige Alkoholkonsum
Alkohol potentiates the effect of Metformin on lactate metabolism Und this may increase the risk of Metformin-associated lactic acidosis. Warnen Sie die Patienten vor einer übermäßigen Alkoholkonsum, während Sie Synjardy oder Synjardy XR erhalten.
Hepatische Beeinträchtigung
Patienten mit hepatischer Beeinträchtigung haben Fälle von Metformin-assoziierter Laktatazidose entwickelt. Dies kann auf eine beeinträchtigte Laktat -Clearance zurückzuführen sein, die zu höheren Laktatblutspiegeln führt. Vermeiden Sie daher die Verwendung von Synjardie oder Synjardy XR bei Patienten mit klinischen oder Labornachweisen für Lebererkrankungen.
Diabetische Ketoacidose bei Patienten mit Typ -1 -Diabetes mellitus und anderen Ketoazidose
Bei Patienten mit Typ 1 Diabetes mellitus Empagliflozin Eine Komponente von Synjardy oder Synjardy XR erhöht das Risiko einer diabetischen Ketoazidose ein lebensbedrohliches Ereignis, das über die Hintergrundrate hinausgeht. In placebokontrollierten Studien mit Patienten mit Typ-1-Diabetes mellitus war das Ketoazidose-Risiko bei Patienten, die Natriumglukose-Co-Transporter 2 (SGLT2) -Hemmer erhielten, im Vergleich zu Patienten, die Placebo erhielten, und fataler Ketoacidose ist mit Empagliflozin aufgetreten. Synjardy und Synjardy XR sind bei Patienten mit Typ -1 -Diabetes mellitus nicht für die glykämische Kontrolle angegeben.
Typ -2 -Diabetes mellitus und Pankreaserkrankungen (z. B. Vorgeschichte von Pankreatitis oder Pankreasoperation) sind auch Risikofaktoren für die Ketoazidose. Bei Patienten mit Typ -2 -Diabetes mellitus unter Verwendung von SGLT2 -Inhibitoren wie Synjardy oder Synjardy XR wurden Berichte über tödliche Ereignisse der Ketoazidose nach dem Typ 2 -Diabetes -Mellitus durchgeführt.
Ausfällung bei diabetischer Ketoazidose oder anderer Ketoazidose umfasst eine Unter-Insulinisierung aufgrund einer Insulindosisreduktion oder fehlenden Insulindosen akute Fiebererkrankung verringerte die kalorische Aufnahme ketogener Diät-Operationsvolumenabbau und Alkoholmissbrauch.
Anzeichen und Symptome stimmen mit Dehydration und schwerer metabolischer Azidose überein und umfassen Übelkeit, die Bauchschmerzen verallgemeinerte Unwohlsein und Atemnot. Der Blutzuckerspiegel bei der Darstellung kann unter denen liegen, die typischerweise für diabetische Ketoazidose (z. B. weniger als 250 mg/dl) erwartet werden. Ketoazidose und Glukosurie können länger bestehen als normalerweise erwartet. Die Glukoseausscheidung im Urin bleibt 3 Tage nach Abbruch von Synjardie oder Synjardy XR bestehen [siehe Klinische Pharmakologie ]; Es gab jedoch Nachmarktberichte über Ketoazidose und/oder Glukosurie, die mehr als 6 Tage und einige bis zu 2 Wochen nach Absetzen von SGLT2-Inhibitoren dauerten.
Betrachten Sie die Ketonüberwachung bei Patienten mit Ketoazidose, wenn sie durch die klinische Situation angezeigt werden. Bewertung für Ketoazidose unabhängig davon, ob sie den Blutzuckerspiegel bei Patienten mit Anzeichen und Symptomen aufweisen, die mit einer schweren metabolischen Azidose übereinstimmen. Wenn die Ketoazidose vermutet wird, bewerten und behandeln Sie Ketoazidose, falls dies bestätigt wird. Überwachen Sie die Patienten auf die Auflösung der Ketoazidose, bevor Synjardie oder Synjardy XR neu gestartet werden.
Zurückhalten Synjardie oder Synjardy XR, wenn möglich in temporären klinischen Situationen, die Patienten für Ketoazidose prädisponieren könnten. Lebenslauf Synjardy oder Synjardy XR, wenn der Patient klinisch stabil ist und die orale Aufnahme wieder aufgenommen hat [siehe Dosierung und Verwaltung ].
Bilden Sie alle Patienten über die Anzeichen und Symptome von Ketoazidose aus und weist die Patienten an, Synjardie oder Synjardy XR abzubrechen, und suchen Sie sofort einen Arzt auf, wenn Anzeichen und Symptome auftreten.
Volumenverarmung
Empagliflozin can cause intravascular volume depletion which may sometimes manifest as symptomatic hypotension or acute transient changes in creatinine [see Nebenwirkungen ]. There have been postmarketing reports of acute kidney injury some requiring hospitalization Und dialysis in patients with type 2 Diabetes mellitus receiving SGLT2 inhibitors including empagliflozin. Patients with impaired renal function (eGFR less than 60 mL/min/1.73 m²) elderly patients or patients on loop diuretics may be at increased risk for volume depletion or hypotension. Before initiating Verbraucht or Verbraucht XR in patients with one or more of these characteristics assess volume status Und renal function. In patients with volume depletion correct this condition before initiating Verbraucht or Verbraucht XR. Monitor for signs Und symptoms of volume depletion Und renal function after initiating therapy.
Urosepsis und Pyelonephritis
Es gab Berichte über schwerwiegende Harnwegsinfektionen, einschließlich Urosepsis und Pyelonephritis, die bei Patienten, die Empagliflozin erhalten, ins Krankenhaus eingeliefert. Die Behandlung mit Empagliflozin erhöht das Risiko für Harnwegsinfektionen. Bewerten Sie die Patienten auf Anzeichen und Symptome von Harnwegsinfektionen und behandeln Sie sie sofort, falls angegeben [siehe Nebenwirkungen ].
Hypoglykämie
Insulin- und Insulin -Sekretagogen sind bekannt, dass sie verursachen Hypoglykämie . Bei erwachsenen Patienten kann das Risiko einer Hypoglykämie erhöht werden, wenn Synjardie oder Synjardy XR in Kombination mit Insulinsekretagogen (z. B. Sulfonylharnstoff) oder Insulin verwendet werden. Bei pädiatrischen Patienten ab 10 Jahren war das Risiko einer Hypoglykämie bei Empagliflozin, unabhängig vom Insulingebrauch Nebenwirkungen ].
Das Risiko einer Hypoglykämie kann durch eine Verringerung der Dosis von Sulfonylharnstoff (oder anderen gleichzeitig verabreichten Insulin -Sekretagogen) oder Insulin gesenkt werden. Informieren Sie die Patienten mit diesen begleitenden Medikamenten und pädiatrischen Patienten über das Risiko einer Hypoglykämie und informieren Sie sie über die Anzeichen und Symptome einer Hypoglykämie.
Nekrotisierende Fasziitis des Perineums (Fournier's -Gangrän)
Bei Patienten mit Diabetes mellitus, die SGLT2-Inhibitoren einschließlich Empagliflozin erhalten, wurden bei Patienten mit Diabetes mellitus identifiziert, die SGLT2-Inhibitoren, einschließlich Empagliflozin, eine seltene, aber schwerwiegende und lebensbedrohliche nekrotisierende Infektion erfordert, die SGLT2-Inhibitoren empfangen, eine seltene, aber ernsthafte und lebensbedrohliche nekrotisierende Infektion, die SGLT2-Inhibitoren empfangen, die seltene, aber schwerwiegende und lebensbedrohliche nekrotisierende Infektionen erfordern, die SGLT2-Inhibitoren empfangen haben, berichtet. Fälle wurden sowohl bei Frauen als auch bei Männern gemeldet. Zu den schwerwiegenden Ergebnissen gehörten mehrere Operationen und Todesfälle im Krankenhausaufenthalt.
Patienten, die mit Synjardy oder Synjardy XR behandelt wurden, die mit Schmerzen oder Zartness -Erythem oder Schwellung im Genital- oder Perinealbereich sowie Fieber oder Unwohlsein aufweisen, sollten auf nekrotisierende Fasziitis beurteilt werden. Wenn der Verdacht auf die Behandlung mit breitem Spektrum-Antibiotika und gegebenenfalls chirurgische Debridement sofort beginnt. Synjardie oder Synjardy XR absetzen, überwachen den Blutzuckerspiegel genau und bieten eine angemessene alternative Therapie für die glykämische Kontrolle.
Mykotische Genitalinfektionen
Empagliflozin increases the risk for genital mycotic infections [see Nebenwirkungen ]. Patients with a history of chronic or recurrent genital mycotic infections were more likely to develop genital mycotic infections. Monitor Und treat as appropriate.
Amputation der unteren Extremität
In einigen klinischen Studien mit SGLT2 -Inhibitoren wurde ein Ungleichgewicht bei der Inzidenz der Amputation der unteren Extremitäten beobachtet. In vier Empagliflozin-Ergebnisversuchen betrugen die Amputationsereignisse der unteren Extremitäten bei der Placebo-Gruppe 4,3 und 5,0 Ereignisse pro 1000 Patientenjahre und die Dosisgruppe von Empagliflozin 10 mg oder 25 mg mit einer HR von 1,05 (95% CI) (NULL,81 1,36).
In einer langfristigen kardio-nänsiegeligen Outcome-Studie bei Patienten mit chronischer Nierenerkrankung wurde das Auftreten unteren Extremitätenamputationen mit Ereignisraten von 2,9 und 4,3 Ereignissen pro 1000 Patientenjahre im Placebo- und Empagliflozin 10 mg Behandlungsarme berichtet. Die Amputation von Zehen und Mittelfuß war am häufigsten (21 von 28 Empagliflozin 10 mg behandelte Patienten mit Amputationen der unteren Extremitäten) und einige über und unter dem Knie. Einige Patienten hatten mehrere Amputationen. Synjardy und Synjardy XR sind nicht für die Behandlung einer chronischen Nierenerkrankung angezeigt.
Periphere Arterienerkrankungen und diabetische Fußinfektionen (einschließlich Osteomyelitis) waren die häufigsten ausfälligen medizinischen Ereignisse, die zu einer Amputation erforderlich waren. Das Amputationsrisiko war bei Patienten mit einer Basisanamnese von diabetischen Fuß -Peripherie -Arterienerkrankungen (einschließlich früherer Amputation) oder Diabetes am höchsten.
Ratschläge der Patienten über die Bedeutung der routinemäßigen vorbeugenden Fußversorgung. Überwachung von Patienten, die Synjardie oder Synjardy XR auf Anzeichen und Symptome einer diabetischen Fußinfektion (einschließlich Osteomyelitis) erhalten, neue Schmerzen oder Zartsgeschwüre oder Geschwüre, an denen die unteren Gliedmaßen beteiligt sind und eine angemessene Behandlung einrichten.
Überempfindlichkeitsreaktionen
Bei Patienten, die mit Empagliflozin behandelt wurden, gab es Berichte über schwerwiegende Überempfindlichkeitsreaktionen (z. B. Angioödeme). Wenn eine Überempfindlichkeitsreaktion auftritt, ist die Synjardie oder die Synjardie xr; Behandeln Sie sofort gemäß Pflege und Überwachung, bis sich die Anzeichen und Symptome lösen. Synjardy und Synjardy XR sind bei Patienten mit Überempfindlichkeit gegenüber Empagliflozin oder einem der Hilfsmittel in Synjardy oder Synjardy XR kontraindiziert [siehe Kontraindikationen ].
Vitamin B12 -Mangel
In den metformin klinischen Studien über 29-wöchige Dauer wurde bei ungefähr 7% der mit Metformin behandelten Patienten eine Abnahme auf subnormale Spiegel der zuvor normalen Serum-Vitamin-B12-Spiegel beobachtet. Eine solche Abnahme möglicherweise aufgrund der Störung der B12-Absorption aus dem B12-Intrinsischen Faktor-Komplex kann mit einer Anämie in Verbindung gebracht werden, scheint jedoch durch Absetzen von Metformin oder Vitamin B12-Supplementierung schnell reversibel zu sein. Bestimmte Personen (mit unzureichendem Vitamin B12 oder Calciumaufnahme oder Absorption) scheinen für die Entwicklung subnormaler Vitamin -B12 -Spiegel prädisponiert zu sein. Messen Sie die hämatologischen Parameter jährlich und Vitamin B12 in Intervallen von 2 bis 3 Jahren bei Patienten mit Synjardie oder Synjardy XR und behandeln Sie alle Anomalien [siehe Nebenwirkungen ].
Patientenberatungsinformationen
Raten Sie dem Patienten, die von der FDA zugelassene Patientenkennzeichnung zu lesen ( Medikamentenhandbuch ).
Laktatazidose
Informieren Sie die Patienten über die Risiken einer Laktatazidose aufgrund von Metformin -Symptomen und Erkrankungen, die sich für ihre Entwicklung vorhaben. Raten Sie den Patienten, Synjardie oder Synjardy XR sofort abzubrechen und ihren Gesundheitsdienstleister unverzüglich zu benachrichtigen, wenn ungeklärte Hyperventilation Myalgie ungewöhnliche Somnolence oder andere unspezifische Symptome auftreten. Ratschläge gegen die Patienten gegen übermäßige Alkoholkonsum und informieren die Patienten über die Bedeutung der regelmäßigen Prüfung der Nierenfunktion, während sie Synjardy oder Synjardy XR erhalten. Weisen Sie die Patienten an, ihren Gesundheitsdienstleister darüber zu informieren, dass sie vor einem chirurgischen oder radiologischen Verfahren Synjardie oder Synjardy XR einnehmen WARNUNGS AND VORSICHTSMASSNAHMEN ].
Diabetische Ketoacidose bei Patienten mit Typ -1 -Diabetes mellitus und anderen Ketoazidose
Die Patienten darüber informieren, dass Synjardie oder Synjardy XR potenziell tödliche Ketoazidose verursachen können und dass Diabetes mellitus und Pankreasstörungen vom Typ 2 (z. B. Vorgeschichte von Pankreatitis oder Pankreasoperation) Risikofaktoren sind. Bilden Sie alle Patienten über ausfällige Faktoren aus (z. B. Insulindosisreduktion oder fehlende Insulindoseninfektion reduzierten die kalorische Aufnahme ketogene Diät -Operation Dehydration und Alkoholmissbrauch) und Symptome einer Ketoacidose (einschließlich Übelkeit erbrichter Schmerz, müde und müde und mühsames Breemen). Informieren Sie die Patienten, dass Blutzucker auch in Gegenwart von Ketoacidose normal sein kann.
Beraten Sie den Patienten, dass sie möglicherweise gebeten werden, Ketone zu überwachen. Wenn Symptome der Ketoazidose auftreten WARNUNGS AND VORSICHTSMASSNAHMEN ].
Volumenverarmung
Informieren Sie die Patienten, dass eine symptomatische Hypotonie mit Synjardie oder Synjardy XR auftreten kann, und raten Sie ihnen, ihren Gesundheitsdienstleister zu kontaktieren, wenn sie solche Symptome haben [siehe WARNUNGS AND VORSICHTSMASSNAHMEN ]. Inform patients that dehydration may increase the risk for hypotension Und to maintain adequate fluid intake.
Schwere Harnwegsinfektionen
Informieren Sie die Patienten über das Potenzial für Harnwegsinfektionen, die schwerwiegend sein können. Stellen Sie ihnen Informationen zu den Symptomen von Harnwegsinfektionen zur Verfügung. Raten Sie ihnen, medizinische Rat zu suchen, wenn solche Symptome auftreten [siehe WARNUNGS AND VORSICHTSMASSNAHMEN ].
Hypoglykämie
Informieren Sie die Patienten, dass Hypoglykämie berichtet wurde, wenn Synjardie oder Synjardy XR mit Insulin -Secretagus oder Insulin verwendet werden. Eine Hypoglykämie kann bei pädiatrischen Patienten auftreten, unabhängig von der zu begleitenden antidiabetischen Behandlung. Patienten oder Betreuer über die Anzeichen und Symptome einer Hypoglykämie erziehen [siehe WARNUNGS AND VORSICHTSMASSNAHMEN ].
Nekrotisierende Fasziitis des Perineums (Fournier's -Gangrän)
Die Patienten informieren, dass nekrotisierende Infektionen des Perineums (Fournier's Gangrene) mit Empagliflozin eine Komponente von Synjardy und Synjardy XR aufgetreten sind. Anwälte Patienten, um sofort medizinische Hilfe zu suchen, wenn sie Schmerzen oder Zartrötungen oder Schwellungen der Genitalien oder des Gebiets vom Genitalien zurück zum Rektum zusammen mit einem Fieber über 100,4 ° F oder Unwohlsein entwickeln [siehe WARNUNGS AND VORSICHTSMASSNAHMEN ].
Mykotische Genitalinfektionen in Females (e.g. Vulvovaginitis)
Informieren Sie weibliche Patienten, dass Vaginalhefe -Infektionen auftreten können, und geben ihnen Informationen über die Anzeichen und Symptome von Vaginalhefe -Infektionen. Beraten Sie sie über Behandlungsoptionen und wann Sie medizinische Beratung suchen [siehe WARNUNGS AND VORSICHTSMASSNAHMEN ].
Mykotische Genitalinfektionen In Males (e.g. Balanitis or Balanoposthitis)
Informieren Sie männliche Patienten, dass eine Hefe -Infektion des Penis (z. B. Balanitis oder Balanoposthitis) insbesondere bei unbeschnittenen Männern und Patienten mit chronischen und wiederkehrenden Infektionen auftreten kann. Stellen Sie ihnen Informationen über die Anzeichen und Symptome von Balanitis und Balanoposthitis (Ausschlag oder Rötung der Eichel oder Vorhaut des Penis) zur Verfügung. Beraten Sie sie über Behandlungsoptionen und wann Sie medizinische Beratung suchen [siehe WARNUNGS AND VORSICHTSMASSNAHMEN ].
Amputation der unteren Extremität
Ratschläge der Patienten über die Bedeutung der routinemäßigen vorbeugenden Fußversorgung. Weisen Sie die Patienten an, neue Wunden oder Geschwüre oder Infektionen mit Schmerzen oder Empfindlichkeit zu überwachen, an denen Bein oder Fuß beteiligt ist und sofort medizinische Rat einholen, wenn sich solche Anzeichen oder Symptome entwickeln [siehe WARNUNGS AND VORSICHTSMASSNAHMEN ].
Überempfindlichkeitsreaktionen
Informieren Sie die Patienten, dass schwerwiegende Überempfindlichkeitsreaktionen wie Urtikaria und Angioödem mit Empagliflozin eine Komponente von Synjardy und Synjardy XR berichtet wurden. Raten Sie den Patienten, sofort über Hautreaktionen oder Angioödeme zu berichten und das Medikament abzustellen, bis sie die Verschreibung von Gesundheitsdienstleister konsultiert haben [siehe WARNUNGS AND VORSICHTSMASSNAHMEN ].
Vitamin B12 -Mangel
Informieren die Patienten über die Bedeutung regelmäßiger hämatologischer Parameter und erhalten Sie Synjardie oder Synjardy XR [siehe WARNUNGS AND VORSICHTSMASSNAHMEN ].
Labortests
Informieren Sie die Patienten, dass bei der Einnahme von Synjardie oder Synjardy XR eine erhöhte Glukose in Urinanalyse erwartet wird [siehe Wechselwirkungen mit Arzneimitteln ].
Schwangerschaft
Beraten Sie schwangere Patienten und Patienten mit dem Fortpflanzungspotential des potenziellen Risikos für einen Fötus mit Behandlung mit Synjardy oder Synjardy XR [siehe Verwendung in bestimmten Populationen ]. Instruct patients to report pregnancies to their healthcare provider as soon as possible.
Stillzeit
Beraten Sie den Patienten, dass das Stillen während der Behandlung mit Synjardy oder Synjardy XR nicht empfohlen wird [siehe Verwendung in bestimmten Populationen ].
Patienten mit Fortpflanzungspotential
Die Patienten darüber informieren, dass die Behandlung mit Metformin bei einigen anovulatorischen Patienten vor der Menopause zu einem Eisprung führen kann, was zu einer unbeabsichtigten Schwangerschaft führen kann [siehe Verwendung in bestimmten Populationen ].
Verwaltungsanweisungen
Informieren Sie die Patienten, dass Synjardy -XR -Tabletten ganz geschluckt und niemals zerkleinerte gelöste oder gekautes geteilt werden müssen und dass unvollständig gelöste Synjardy -XR -Tabletten im Kot beseitigt werden können.
Verpasste Dosis
Weisen Sie die Patienten an, Synjardy oder Synjardy XR nur wie verschrieben zu nehmen. Wenn eine Dosis übersehen wird, sollte sie eingenommen werden, sobald sich der Patient erinnert. Raten Sie den Patienten, ihre nächste Dosis nicht zu verdoppeln [siehe Dosierung und Verwaltung ].
Nichtklinische Toxikologie
Karzinogenese -Mutagenese -Beeinträchtigung der Fruchtbarkeit
Verbraucht Or Verbraucht XR
Mit der Kombination von Empagliflozin und Metformin HCl wurde keine Karzinogenitätsmutagenität oder Beeinträchtigung der Fruchtbarkeitsstudien durchgeführt. Allgemeine Toxizitätsstudien bei Ratten bis zu 13 Wochen wurden mit den kombinierten Komponenten durchgeführt. Diese Studien zeigten, dass keine additive Toxizität durch die Kombination von Empagliflozin und Metformin verursacht wird.
Empagliflozin
Die Karzinogenese wurde in 2-Jahres-Studien an CD-1-Mäusen und Wistar-Ratten bewertet. Empagliflozin erhöhte die Inzidenz von Tumoren bei weiblichen Ratten nicht, die bei 100 300 oder 700 mg/kg/Tag dosierten (bis zum 72 -fachen der Exposition aus der maximalen klinischen Dosis von 25 mg). Bei männlichen Ratten waren Hämangiome des Mesenterial -Lymphknotens bei 700 mg/kg/Tag signifikant erhöht oder ungefähr das 42 -fache der Exposition aus einer klinischen Dosis von 25 mg. Empagliflozin erhöhte die Inzidenz von Tumoren bei weiblichen Mäusen nicht mit 100 300 oder 1000 mg/kg/Tag (bis zum 62 -fachen der Exposition aus einer klinischen Dosis von 25 mg). Nieren -Tubulus -Adenome und Karzinome wurden bei männlichen Mäusen bei 1000 mg/kg/Tag beobachtet, was ungefähr 45 -mal die Exposition der maximalen klinischen Dosis von 25 mg ist. Diese Tumoren können mit einem Stoffwechselweg assoziiert sein, das überwiegend in der männlichen Mausniere vorhanden ist.
Empagliflozin was not mutagenic or clastogenic with or without metabolic activation in the in vitro Ames bacterial mutagenicity assay the in vitro L5178Y tk+/- mouse lymphoma cell assay Und an in vivo micronucleus assay in rats.
Empagliflozin had no effects on mating fertility or early embryonic development in treated male or female rats up to the high dose of 700 mg/kg/day (approximately 155 times the 25 mg clinical dose in males Und females respectively).
Metformin HCl
Langzeitkarzinogenitätsstudien wurden bei Ratten (Dosierungsdauer von 104 Wochen) und Mäusen (Dosierungsdauer von 91 Wochen) in Dosen bis zu 900 mg/kg/Tag bzw. 1500 mg/kg/Tag durchgeführt. Diese Dosen sind beide ungefähr das 4 -fache der maximal empfohlenen täglichen Dosis von 2000 mg/kg/Tag basierend auf Vergleiche der Körperoberfläche. Bei männlichen oder weiblichen Mäusen wurden keine Hinweise auf Karzinogenität mit Metformin gefunden. In ähnlicher Weise wurde bei männlichen Ratten kein tumorigenes Potential beobachtet. Bei weiblichen Ratten, die mit 900 mg/kg/Tag behandelt wurden, gab es jedoch eine erhöhte Inzidenz von gutartigen Stroma -Uterus -Polypen.
In den folgenden In -vitro -Tests gab es keine Hinweise auf ein mutagenes Potential von Metformin: AMES -Test (Test ( Salmonella Typhimurium ) Genmutationstest (Maus -Lymphomzellen) oder chromosomale Aberrationen -Test (humane Lymphozyten). Die Ergebnisse des In -vivo -Maus -Mikronukleus -Tests waren ebenfalls negativ. Die Fruchtbarkeit männlicher oder weiblicher Ratten wurde von Metformin nicht betroffen, wenn sie in Dosen von bis zu 600 mg/kg/Tag verabreicht wurden, was ungefähr das 2 -fache der MRHD basiert, die auf Vergleiche der Körperoberfläche basiert.
Verwendung in bestimmten Populationen
Schwangerschaft
Risikozusammenfassung
Basierend auf Tierdaten, die nachteilige Niereneffekte von Empagliflozin -Synjardy und Synjardy XR zeigen, werden während des zweiten und dritten Trimesters der Schwangerschaft nicht empfohlen.
Die begrenzten verfügbaren Daten mit Synjardy Synjardy XR oder Empagliflozin bei schwangeren Frauen reichen nicht aus, um ein drogenassoziiertes Risiko für schwere Geburtsfehler und eine Fehlgeburt zu bestimmen. Veröffentlichte Studien mit Metformin -Anwendung während der Schwangerschaft haben keinen klaren Zusammenhang mit Metformin und schwerem Geburtsfehler oder Fehlgeburtenrisiko berichtet (siehe Daten ). There are risks to the mother Und fetus associated with poorly controlled diabetes in pregnancy (see Klinische Überlegungen ).
In Animal Studies führte Empagliflozin eine Komponente von Synjardy und Synjardy XR zu unerwünschten Nierenveränderungen bei Ratten, wenn sie während eines Zeitraums der Nierenentwicklung verabreicht wurden, die dem späten zweiten und dritten Trimester der menschlichen Schwangerschaft entspricht. Dosen ungefähr 13-mal Die maximale klinische Dosis verursachte Nierenbecken- und Tubulus-Dilatationen, die reversibel waren. Es wurden keine nachteiligen Entwicklungseffekte beobachtet, wenn Metformin schwangeren Ratten oder Kaninchen verabreicht wurde (siehe Daten ).
Das geschätzte Hintergrundrisiko für schwere Geburtsfehler beträgt 6% bis 10% bei Frauen mit vorsteuerem Diabetes mit einem Hba1c> 7 und wurde bei Frauen mit Hba1c> 10 bis zu 20% bis 25% beträgt. Das geschätzte Hintergrundrisiko einer Fehlgeburt für die angegebene Bevölkerung ist unbekannt. In der US -allgemeinen Bevölkerung beträgt das geschätzte Hintergrundrisiko für größere Geburtsfehler und eine Fehlgeburt bei klinisch anerkannten Schwangerschaften 2% bis 4% bzw. 15% bis 20%.
Klinische Überlegungen
Krankheitsassoziierte mütterliche und/oder embryo/fetale Risiko
Schlecht kontrollierter Diabetes in der Schwangerschaft erhöht das mütterliche Risiko für diabetische Ketoazidose vor der Eklampsie spontane Abtreibungen Frühgeborene und Entbindung Komplikationen. Schlecht kontrollierter Diabetes erhöht das fetale Risiko für schwere Geburtsfehler und Makrosomie im Zusammenhang mit Morbidität.
Daten
Menschliche Daten
Veröffentlichte Daten aus Nachmarktstudien haben keinen klaren Zusammenhang mit Metformin und schwerwiegenden Geburtsfehlern Fehlgeburt oder unerwünschten Ergebnissen für die Mutter oder fetale bei der Verwendung während der Schwangerschaft berichtet. Diese Studien können jedoch nicht definitiv das Fehlen eines Metformin-assoziierten Risikos aufgrund methodischer Einschränkungen, einschließlich kleiner Stichprobengröße und inkonsistenten Komparatorgruppen, feststellen.
Tierdaten
Empagliflozin: Empagliflozin dosed directly to juvenile rats from postnatal day (PND) 21 until PND 90 at doses of 1 10 30 Und 100 mg/kg/day caused increased kidney weights Und renal tubular Und pelvic dilatation at 100 mg/kg/day which approximates 13-times the maximum clinical dose of 25 mg based on AUC. These findings were not observed after a 13-week drug-free recovery period. These outcomes occurred with drug exposure during periods of renal development in rats that correspond to the late second Und third trimester of human renal development.
In Embryo-Fetal-Entwicklungsstudien an Ratten und Kaninchen wurde Empagliflozin für Intervalle verabreicht, die mit dem ersten Trimesterzeitraum der Organogenese beim Menschen übereinstimmten. Die Dosen von bis zu 300 mg/kg/Tag, was sich 48-mal (Ratten) und 128-mal (Kaninchen) annähert Bei Ratten bei höheren Dosen von Empagliflozin stieg die Fehlbildungen von Gliedmaßen-Knochen bei Feten mit 700 mg/kg/Tag oder 154-mal die maximale klinische Dosis von 25 mg an. Empagliflozin überquert die Plazenta und erreicht bei Ratten fetale Gewebe. In den Kaninchen führte höhere Dosen von Empagliflozin zu einer mütterlichen und fetalen Toxizität bei 700 mg/kg/Tag oder 139-mal die maximale klinische Dosis von 25 mg.
In vor- und postnatalen Entwicklungsstudien an schwangeren Ratten wurde Empagliflozin von Schwangerschaftstag 6 bis zum Laktationstag 20 (Entwöhnung) von bis zu 100 mg/kg/Tag (ungefähr 16-mal die maximale Dosis von 25 mg) ohne Muttertoxizität verabreicht. In den Nachkommen mit mehr oder gleich 30 mg/kg/Tag wurde ein reduziertes Körpergewicht beobachtet (ungefähr 4-mal die maximale klinische Dosis von 25 mg).
Metformin HCl: Metformin HCl did not cause adverse developmental effects when administered to pregnant Sprague Dawley rats Und rabbits at doses up to 600 mg/kg/day during the period of organogenesis. This represents an exposure of approximately 2- Und 6-times a clinical dose of 2000 mg based on body surface area (mg/m²) for rats Und rabbits respectively.
Empagliflozin Und Metformin HCl: No adverse developmental effects were observed when Empagliflozin und Metformin HCL were coadministered to pregnant rats during the period of organogenesis at exposures of approximately 35- Und 14-times the clinical AUC exposure of empagliflozin associated with the 10 mg Und 25 mg doses respectively Und 4-times the clinical AUC exposure of Metformin associated with the 2000 mg dose.
Stillzeit
Risikozusammenfassung
Es gibt nur begrenzte Informationen über das Vorhandensein von Synjardy Synjardy XR oder seiner Komponenten (Empagliflozin oder Metformin) in der Muttermilch die Auswirkungen auf das gestillte Kind oder die Auswirkungen auf die Milchproduktion. Limited veröffentlichte Studien berichten, dass Metformin in der Muttermilch vorhanden ist (siehe Daten ). Empagliflozin is present in the milk of lactating rats (see Daten ). Since human kidney maturation occurs in utero Und during the first 2 years of life when lactational exposure may occur there may be risk to the developing human kidney.
Aufgrund des Potenzials für schwerwiegende Nebenwirkungen in einem gestillten Kind, einschließlich des Potenzials von Empagliflozin, die postnatale Nierenentwicklung zu beeinflussen, empfiehlt Patienten, dass die Verwendung von Synjardy oder Synjardy XR beim Stillen nicht empfohlen wird.
Daten
Veröffentlichte klinische Laktationsstudien berichten, dass Metformin in der Muttermilch vorhanden ist, was zu einer Gewichtsdosis von Müttern und einem Milch/Plasma-Verhältnis zwischen 0,13 und 1. 1,13 und 1.13, die bei kleinen Probengröße und begrenzten Adus-Ereignis-Daten, die bei Infants, in Infants festgelegt wurden, und nicht so konzipiert waren, dass sie in INFANTS, in INFANTS-INFANNISELTERGEBEN,, reichen, in einer Gewichtsdosis und einem Milch-Plasma-Verhältnis zwischen 0,13 und 1, die bei der Laktation von Proben und begrenzten ADUSE-Ereignissen aufgewendet wurden.
Empagliflozin was present at a low level in rat fetal tissues after a single oral dose to the dams at gestation day 18. In rat milk the mean milk to plasma ratio ranged from 0.634 to 5 Und was greater than one from 2 to 24 hours post-dose. The mean maximal milk to plasma ratio of 5 occurred at 8 hours post-dose suggesting accumulation of empagliflozin in the milk. Juvenile rats directly exposed to empagliflozin showed a risk to the developing kidney (renal pelvic Und tubular dilatations) during maturation.
Frauen und Männer des Fortpflanzungspotentials
Diskutieren Sie das Potenzial für eine unbeabsichtigte Schwangerschaft mit Frauen vor der Menopause, da die Therapie mit Metformin bei einigen anovulatorischen Frauen zu einem Eisprung führen kann.
Pädiatrische Verwendung
Verbraucht
Die Sicherheit und Wirksamkeit der Synjardie als Ergänzung zu Ernährung und Bewegung zur Verbesserung der glykämischen Kontrolle bei Typ -2 -Diabetes mellitus wurde bei pädiatrischen Patienten ab 10 Jahren festgelegt. Die Verwendung von Synjardie für diese Anzeige wird durch Beweise aus einer 26-wöchigen doppelblinden, placebokontrollierten klinischen Studie mit Empagliflozin mit einer doppelblinden aktiven Behandlungssicherheits-Erweiterungsperiode von bis zu 52 Wochen bei 157 pädiatrischen Patienten im Alter von 10 bis 17 Jahren mit Typ-2-Diabetes-Mellitus und pediatric-pharmakokinetischer Studie [siehe Pediatric-Pharmakokinstudie) gestützt Klinische Pharmakologie Und Klinische Studien ].
Das Sicherheitsprofil von pädiatrischen Patienten, die mit Empagliflozin behandelt wurden WARNUNGS AND VORSICHTSMASSNAHMEN Und Nebenwirkungen ].
Die Verwendung von Synjardie für diese Indikation wird auch durch Beweise aus angemessenen und gut kontrollierten Studien von Metformin HCl-Sofortigungsfreisetzungs-Tablets bei Erwachsenen mit zusätzlichen Daten aus einer kontrollierten klinischen Studie unter Verwendung von Metformin HCl-Sofortablösungstabletten bei pädiatrischen Patienten 10 bis 16 Jahre mit Typ-2-Diabetes-Mellitus [siehe [siehe pädiatrische Patienten Klinische Studien ]. In this study adverse reactions were similar to those described in adults.
Die Sicherheit und Wirksamkeit der Synjardie wurde bei pädiatrischen Patienten im Alter von weniger als 10 Jahren nicht festgestellt.
Verbraucht XR
Sicherheit und Wirksamkeit von Synjardy XR wurde bei pädiatrischen Patienten nicht festgestellt.
Geriatrische Verwendung
Bewertung der Nierenfunktion häufiger bei synjardischen oder synjardy xr behandelten geriatrischen Patienten WARNUNGS AND VORSICHTSMASSNAHMEN ].
Die empfohlene Dosierung für die Metforminkomponente von Synjardy oder Synjardy XR bei geriatrischen Patienten sollte normalerweise am unteren Ende des Dosierungsbereichs beginnen.
Empagliflozin
In Empagliflozin Typ-2-Diabetes-Mellitus-Studien waren 2721 mit Empagliflozin behandelte Patienten 65 Jahre und älter und 491 Patienten waren 75 Jahre alt und älter. In diesen Studien traten bei 2,1% 2,3% und 4,4% der Patienten 75 Jahre und älter in den Placebo-Empagliflozin 10 mg und Empagliflozin 25 mg einmal tägliche Gruppen in 2,1% 2,3% und 4,4% der Patienten auf volumenbezogene und ältere 25-my-mg-Gruppen von 2,1% und 4,4% der Patienten auf. Infektionen im Harnweg traten bei 10,5% 15,7% und 15,1% der Patienten im Alter von 75 Jahren und älter im Placebo -Empagliflozin 10 mg und Empagliflozin 25 mg einmal täglich auf.
In Herzinsuffizienzversuchen umfassten die Kaiser-reduzierten 1188 (64%) Patienten, die mit Empagliflozin ab 65 Jahren behandelt wurden, und 503 (27%) Patienten 75 Jahre und älter. Zu den kaisergebundenen, gehörten 2402 (80%) Patienten, die mit Empagliflozin 65 Jahren und älter und 1281 (43%) Patienten 75 Jahre und älter behandelt wurden. Zwischen den Patienten von 65 Jahren und älteren und jüngeren erwachsenen Patienten wurden keine allgemeinen Unterschiede in der Sicherheit und Wirksamkeit beobachtet.
Metformin
Klinische Studien mit Metformin umfassten nicht eine ausreichende Anzahl von Patienten ab 65 Jahren und älter, um festzustellen, ob sie anders als jüngere erwachsene Patienten reagieren.
Nierenbehinderung
Verbraucht or Verbraucht XR should not be initiated in patients with an eGFR less than 45 mL/min/1.73 m² due to the Metformin component Und is contraindicated in patients with severe renal impairment (eGFR less than 30 mL/min/1.73 m²) end stage renal disease or dialysis.
Empagliflozin
Der Glukoseabsenkung von Empagliflozin 25 mg verringert bei erwachsenen Patienten mit sich verschlechterender Nierenfunktion. Die Risiken von Nieren -Beeinträchtigung des Volumens abnehme Reaktionen und der im Harnwege verwandten unerwünschten Reaktionen nahmen mit einer Verschlechterung der Nierenfunktion zu [siehe WARNUNGS AND VORSICHTSMASSNAHMEN ]. In the trial of pediatric patients aged 10 to 17 years with type 2 Diabetes mellitus patients with an eGFR less than 60 mL/min/1.73 m² were not enrolled.
Metformin
Metformin is substantially excreted by the kidney Und the risk of Metformin accumulation Und lactic acidosis increases with the degree of renal impairment [see WARNUNGS AND VORSICHTSMASSNAHMEN ].
Hepatische Beeinträchtigung
Die Verwendung von Metformin HCl bei Patienten mit Leberbeeinträchtigungen wurde mit einigen Fällen von Laktatazidose in Verbindung gebracht. Synjardy und Synjardy XR werden bei Patienten mit Leberbeeinträchtigung nicht empfohlen [siehe WARNUNGS AND VORSICHTSMASSNAHMEN ].
Überdosierungsinformationen für Synjardy XR Extended-Release-Tablets
Im Falle einer Überdosis mit Synjardy oder Synjardy XR in Betracht, die Gifthelp-Linie (1-800-222-1222) oder einen medizinischen Toxikologen für zusätzliche Empfehlungen zur Überdosierungsmanagement zu kontaktieren.
Überdosis von Metformin HCl ist aufgetreten, einschließlich der Aufnahme von Mengen von mehr als 50 Gramm. Laktatazidose wurde in ungefähr 32% der Fälle von Metformin -Überdosierungen berichtet [siehe WARNUNGS AND VORSICHTSMASSNAHMEN ]. Metformin is dialyzable with a clearance of up to 170 mL/min under good hemodynamic conditions. Therefore hemodialysis may be useful for removal of accumulated drug from patients in whom Metformin overdosage is suspected.
Die Entfernung von Empagliflozin durch Hämodialyse wurde nicht untersucht.
Kontraindikationen für Synjardy XR Extended Release Tablets
Verbraucht Und Verbraucht XR are contraindicated in patients with:
- schwere Nierenbeeinträchtigungen (EGFR weniger als 30 ml/min/1,73 m²) [siehe WARNUNGS AND VORSICHTSMASSNAHMEN Und Verwendung in bestimmten Populationen ].
- Akute oder chronische metabolische Azidose einschließlich diabetischer Ketoacidose [siehe WARNUNGS AND VORSICHTSMASSNAHMEN ].
- Überempfindlichkeit gegenüber Empagliflozin -Metformin -HCl oder einer der Hilfsmittel in Synjardie oder Synjardy -XR -Reaktionen wie Angioödemen sind aufgetreten [siehe WARNUNGS AND VORSICHTSMASSNAHMEN ].
Klinische Pharmakologie for Synjardy XR Extended-release Tabletten
Wirkungsmechanismus
Verbraucht Or Verbraucht XR
Verbraucht Und Verbraucht XR contain: empagliflozin a SGLT2 inhibitor Und Metformin HCl a biguanide.
was man in Paris unternehmen kann
Empagliflozin
Empagliflozin is an inhibitor of SGLT2 the predominant transporter responsible for reabsorption of glucose from the glomerular filtrate back into the circulation. By inhibiting SGLT2 empagliflozin reduces renal reabsorption of filtered glucose Und lowers the renal threshold for glucose Und thereby increases urinary glucose excretion.
Empagliflozin also reduces sodium reabsorption Und increases the delivery of sodium to the distal tubule. This may influence several physiological functions including but not restricted to increasing tubuloglomerular feedback Und reducing intraglomerular pressure lowering both pre- Und afterload of the heart Und downregulating sympathetic activity.
Metformin HCl
Metformin HCl is an antihyperglycemic agent which improves glucose tolerance in patients with type 2 Diabetes mellitus lowering both basal Und postprUndial plasma glucose. It is not chemically or pharmacologically related to any other classes of oral antihyperglycemic agents. Metformin HCl decreases hepatic glucose production decreases intestinal absorption of glucose Und improves insulin sensitivity by increasing peripheral glucose uptake Und utilization. Unlike sulfonylureas Metformin HCl does not produce Hypoglykämie in either patients with type 2 Diabetes mellitus or normal subjects (except in special circumstances) [see WARNUNGS AND VORSICHTSMASSNAHMEN ] und verursacht keine Hyperinsulinämie. Mit der Metformin-HCL-Therapie bleibt die Insulinsekretion unverändert, während das Fasten der Insulinspiegel und die tägliche Plasma-Insulinreaktion abnehmen können.
Pharmakodynamik
Empagliflozin
Harnglukoseausscheidung
Bei Patienten mit Typ-2-Diabetes mellitus-Harnglukoseausscheidung stieg unmittelbar nach einer Dosis Empagliflozin an und wurde am Ende einer 4-wöchigen Behandlungszeit beibehalten, die im Durchschnitt bei ungefähr 64 Gramm pro Tag mit 10 mg Empaglozin und 78 Gramm pro Tag mit 25 mg Empagliflozin einst täglich [siehe [siehe [siehe Schaufel Klinische Studien ]. Daten from single oral doses of empagliflozin in healthy subjects indicate that on average the elevation in urinary glucose excretion approaches baseline by about 3 days for the 10 mg Und 25 mg doses.
Harnvolumen
In einer 5-tägigen Studie betrug der mittlere 24-Stunden-Urinvolumenzunahme gegenüber dem Ausgangswert am Tag 1 und 135 ml am Tag 5 von Empagliflozin 25 mg einmal täglich.
Herzelektrophysiologie
In einer randomisierten placebokontrollierten Active-Comparator-Crossover-Studie wurden 30 gesunde Probanden eine einzige orale Dosis Empagliflozin 25 mg Empagliflozin 200 mg (8-fache der maximalen Dosis) Moxifloxacin und Placebo verabreicht. Mit 25 mg oder 200 mg Empagliflozin wurde kein Anstieg des QTC beobachtet.
Pharmakokinetik
Verbraucht
Die Verabreichung von 12,5 mg Empagliflozin/1000 mg Metformin -HCl unter Fed -Bedingungen führte zu einer Abnahme von AUC um 9% und zu einer Abnahme der Cmax für Empagliflozin um 28% im Vergleich zu Fastenbedingungen. Bei Metformin AUC nahm AUC um 12% ab und Cmax nahm im Vergleich zu den Fastenbedingungen um 26% ab. Der beobachtete Effekt von Lebensmitteln auf Empagliflozin und Metformin wird nicht als klinisch relevant angesehen.
Kann Hydrocodon Ihnen Kopfschmerzen bereiten
Verbraucht XR
Die Verabreichung von Synjardy XR mit Nahrung führte zu einer Änderung der Gesamtbelastung von Empagliflozin. Für Metformin HCL erhöhte Hochfettmahlzeiten erhöhte systemische Exposition gegenüber Metformin (gemessen durch Flächen- und Kurve [AUC]) um ungefähr 70% im Vergleich zum Fasten, während Cmax nicht betroffen ist. Die Mahlzeiten längere Tmax um ca. 3 Stunden.
Empagliflozin
Die Pharmakokinetik von Empagliflozin wurde bei gesunden Freiwilligen und Patienten mit Typ -2 -Diabetes mellitus charakterisiert, und es wurden keine klinisch relevanten Unterschiede zwischen den beiden Populationen festgestellt. Das mittlere Plasma-AUC und Cmax im stationären Zustand waren 1870 nmol · h/l bzw. 259 nmol/l mit 10 mg Empagliflozin und 4740 nmol · h/l und 687 nmol/l mit 25 mg Empaglizin, die einmal täglich behandelt wurde. Die systemische Exposition von Empagliflozin nahm im therapeutischen Dosisbereich in dosisproportionaler Weise zu. Empagliflozin scheint keine zeitabhängigen pharmakokinetischen Eigenschaften zu haben. Nach einer einmal täglichen Dosierung von bis zu 22% in Bezug auf Plasma-AUC wurde im stationären Zustand beobachtet.
Absorption
Nach oraler Verabreichung wurden die Spitzenplasmakonzentrationen von Empagliflozin nach 1,5 Stunden nach der Dosis erreicht. Die Verabreichung von 25 mg Empagliflozin nach Aufnahme einer fettreichen und kalorienförmigen Mahlzeit führte zu einer geringfügig geringeren Exposition; AUC nahm um ungefähr 16% ab und Cmax nahm im Vergleich zum Nüchternzustand um ca. 37% ab. Die beobachtete Wirkung von Lebensmitteln auf die Pharmakokinetik von Empagliflozin wurde nicht als klinisch relevant angesehen und Empagliflozin kann mit oder ohne Nahrung verabreicht werden.
Verteilung
Das scheinbare Verteilungsvolumen des stationären Zustands wurde auf einer Bevölkerungs pharmakokinetischen Analyse auf 73,8 l geschätzt. Nach Verabreichung einer oralen [14C] -Empagliflozin-Lösung an gesunde Probanden betrug die Verteilung der roten Blutkörperchen ungefähr 36,8% und die Plasmaproteinbindung 86,2%.
Beseitigung
Die scheinbare Halbwertszeit der terminalen Eliminierung von Empagliflozin wurde auf 12,4 Stunden geschätzt und die offensichtliche orale Clearance betrug 10,6 l/h auf der pharmakokinetischen Bevölkerungsanalyse.
Stoffwechsel
In menschlichem Plasma wurden keine Hauptmetaboliten von Empagliflozin nachgewiesen, und die am häufigsten vorkommenden Metaboliten waren drei Glucuronid-Konjugate (2-O-3-O- und 6-O-Glucuronid). Die systemische Exposition jedes Metaboliten betrug weniger als 10% des gesamten medikamentenbedingten Materials. In-vitro-Studien deuten darauf hin, dass der primäre Weg des Metabolismus von Empagliflozin beim Menschen die Glucuronidation durch das Uridin 5'-Diphospho-Glucuronosyltransferasen UGT2B7 UGT1A3 UGT1A8 und UGT1A9 ist.
Ausscheidung
Nach Verabreichung einer oralen [14C] -Empagliflozin-Lösung an gesunde Probanden wurde ungefähr 95,6%der medikamentenbedingten Radioaktivität in Kot (NULL,2%) oder Urin (NULL,4%) beseitigt. Die Mehrheit der in Kot gewonnenen medikamentenbedingten Radioaktivität war ein unverändertes Elternmedikament, und ungefähr die Hälfte der im Urin ausgeschiedenen radioaktiven Radioaktivität war unverändertes Elternmedikament.
Metformin HCl
Absorption
Die absolute Bioverfügbarkeit eines Metformin -HCl -500 -mg -Tablets unter Nüchternbedingungen beträgt ungefähr 50% bis 60%. Studien mit einzelnen oralen Dosen von Metformin -HCl -Tabletten von 500 mg bis 1500 mg und 850 mg bis 2550 mg zeigen, dass es an einer Dosis -Verhältnismäßigkeit mit zunehmenden Dosen fehlt, was eher auf eine verminderte Absorption als auf eine Veränderung der Elimination zurückzuführen ist.
Die Nahrung verringert das Ausmaß von und leicht verzögert die Absorption von Metformin, wie durch ungefähr 40% niedrigere Cmax A 25% niedrigere AUC und eine 35 -minütige Verlängerung der Zeit auf die Spitzenplasmakonzentration (TMAX) nach Verabreichung eines einzelnen 850 mg -Tablets Metformin mit Lebensmittel im Vergleich zu derselben Tablettenstärke, die Fasting verabreicht hat. Die klinische Relevanz dieser Abnahmen ist unbekannt.
Metformin HCl extended-release
Nach einer einzelnen oralen Dosis von 1000 mg (2 x 500 mg Tabletten) wird die maximale Plasmakonzentration (TMAX) nach einer Mahlzeit nach einer Mahlzeit nach einer Mahlzeit eine maximale Plasma-Metforminkonzentration (TMAX) erreicht. Sowohl in Einzel- als auch in mehreren Dosis Studien an gesunden Probanden bilden die Dosierung von 1000 mg (2 x 500 mg Tabletten) eine äquivalente systemische Exposition, gemessen mit AUC und bis zu 35% höheres Cmax von Metformin im Vergleich zu der sofortigen Freisetzung von 500 mg zweimal täglich.
Ein einzelne orale Dosen von Metformin HCl-Verlängerung von 500 mg bis 2500 mg führte zu einem weniger als proportionalen Anstieg sowohl von AUC als auch von Cmax. Fettarme und fettreiche Mahlzeiten erhöhten die systemische Exposition (gemessen mit AUC) aus Metformin-Tabletten mit erweiterten Freisetzung um etwa 38% bzw. 73% im Vergleich zum Fasten. Beide Mahlzeiten verlängerten Metformin Tmax um ungefähr 3 Stunden, aber Cmax war nicht betroffen.
Verteilung
Das scheinbare Verteilungsvolumen (v/f) von Metformin nach einzelnen oralen Dosen von Metformin-HCl-Tabletten mit sofortiger Freisetzung von 850 mg betrug 654 ± 358 L. Metformin ist vernachlässigbar an Plasmaproteine gebunden. Metformin -Partitionen in Erythrozyten höchstwahrscheinlich in Abhängigkeit von der Zeit.
Beseitigung
Metformin has a plasma elimination half-life of approximately 6.2 hours. In blood the elimination half-life is approximately 17.6 hours suggesting that the erythrocyte mass may be a compartment of distribution.
Stoffwechsel
Intravenöse Einzeldosis-Studien bei normalen Probanden zeigen, dass Metformin weder einem Leberstoffwechsel (weder beim Menschen identifiziert wurden) noch eine gallene Ausscheidung durchführt.
Ausscheidung
Nach oraler Verabreichung wird innerhalb der ersten 24 Stunden über die Nierenroute über die Nierenroute ausgeschieden. Die Nieren -Clearance ist ungefähr 3,5 -mal höher als die Kreatinin -Clearance, was darauf hinweist, dass die tubuläre Sekretion der Hauptweg der Metformin -Eliminierung ist.
Spezifische Populationen
Geriatrische Patienten
Verbraucht Or Verbraucht XR
Studien, die die Pharmakokinetik von Empagliflozin und Metformin nach Verabreichung von Synjardy oder Synjardy XR bei geriatrischen Patienten charakterisieren, wurden nicht durchgeführt [siehe WARNUNGS AND VORSICHTSMASSNAHMEN Und Verwendung in bestimmten Populationen ].
Empagliflozin
Das Alter hatte keinen klinisch bedeutenden Einfluss auf die Pharmakokinetik von Empagliflozin, basierend auf einer pharmakokinetischen Bevölkerungsanalyse [siehe Verwendung in bestimmten Populationen ].
Metformin HCl
Begrenzte Daten aus kontrollierten pharmakokinetischen Studien von Metformin HCl bei gesunden älteren Probanden legen nahe, dass die Gesamtplasma-Clearance von Metformin verringert wird. Die Halbwertszeit wird verlängert und Cmax ist im Vergleich zu gesunden jungen Probanden erhöht. Aus diesen Daten scheint es, dass die Änderung der Metformin -Pharmakokinetik mit dem Altern hauptsächlich durch eine Änderung der Nierenfunktion berücksichtigt wird.
Pädiatrische Patienten
Empagliflozin
Die Pharmakokinetik und Pharmakodynamik von Empagliflozin wurden bei pädiatrischen Patienten im Alter von 10 bis 17 Jahren mit Typ -2 -Diabetes mellitus untersucht. Die orale Verabreichung von Empagliflozin bei 10 mg und 25 mg führte zu einer Exposition innerhalb des bei erwachsenen Patienten beobachteten Bereichs.
Metformin
Nach der Verabreichung eines einzelnen oralen Metformin-HCl-500 mg-Tablettens mit sofortiger Freisetzung mit geometrischer Nahrungsmittel-Metformin-Cmax und AUC unterschieden sich zwischen pädiatrischen Diabetikern von diabetischen Patienten vom Typ 2 Typ 2 (12 bis 16 Jahre Alter) und geschlechtsspezifischer und gewichtsanpassender, gesunder Erwachsener (20 bis 45 Jahre), die alle Nierenfunktionen mit normaler Nierenfunktionen sind.
Auswirkungen des Alters des Altersmassenindex Geschlecht und Rasse
Empagliflozin
Das Geschlecht und die Rasse (Age Body Mass Index) (BMI) (Asiaten versus hauptsächlich Weiße) haben keine klinisch bedeutsame Auswirkungen auf die Pharmakokinetik von Empagliflozin.
Metformin HCl
Es wurden keine Studien zu Metformin Pharmacokinetic -Parametern gemäß der Rasse durchgeführt. In kontrollierten klinischen Studien von Metformin HCl bei Patienten mit Typ -2 -Diabetes mellitus war der antihyperglykämische Effekt in Weißen (n = 249) Schwarzen oder Afroamerikanern (n = 51) und Hispanics oder Latinos (n = 24) vergleichbar.
Patienten mit Nierenbehinderung
Verbraucht Or Verbraucht XR
Studien, die die Pharmakokinetik von Empagliflozin und Metformin HCL nach Verabreichung von Synjardy oder Synjardy XR bei renal beeinträchtigten Patienten charakterisieren, wurden nicht durchgeführt.
Empagliflozin
Bei erwachsenen Patienten mit Typ -2 -Diabetes mellitus mit mildem (EGFR: 60 bis weniger als 90 ml/min/1,73 m²) mittelschwer (EGFR: 30 bis weniger als 60 ml/min/1,73 m²) und schwerwiegender (EGFR: weniger als 30 ml/min/min/1,73 m²) Nierenhöhe und Patienten mit einem Gewicht von 20 ml/min/1,73 m²) und Patienten, die mit Diaglyse mit Nierenversagen aufgenommen wurden, und bei Diagryse -Patienten mit Nierenversagen AUC -MISSIGINGEGEBETTE AUSGEGEBOTE AUCSISIGE AUCSISSIGE AUCSISSIGE AUC -MISSIGE -AUC -AUC -AUC -MISSIGE -AUC -MISSIGE AUC -MISSIGE AUC -MISSIGE. 66% bzw. 48% im Vergleich zu Probanden mit normaler Nierenfunktion. Die Spitzenplasmaspiegel von Empagliflozin waren bei Patienten mit mittelschwerer Nierenbeeinträchtigung und Patienten mit Dialyse aufgrund von Nierenversagen im Vergleich zu Probanden mit normaler Nierenfunktion ähnlich. Die Peak -Plasma -Spiegel von Empagliflozin waren bei Patienten mit leichter und schwerer Nierenbeeinträchtigung im Vergleich zu Patienten mit normaler Nierenfunktion um etwa 20% höher. Die pharmakokinetische Bevölkerungsanalyse zeigte, dass die offensichtliche orale Clearance von Empagliflozin mit einer Abnahme der EGFR abnahm, was zu einer Erhöhung der Arzneimittelexposition führte. Der Bruchteil von Empagliflozin, der in Urin unverändert und im Urin -Glukoseausscheidung ausgeschieden wurde, nahm jedoch mit Abnahme der EGFR ab.
Metformin HCl
Bei Patienten mit verringerter Nierenfunktion ist Plasma und Bluthälfte von Metformin verlängert und die Nieren-Clearance verringert [siehe Kontraindikationen Und WARNUNGS AND VORSICHTSMASSNAHMEN ].
Patienten mit Leberbehinderung
Verbraucht Or Verbraucht XR
Studien, die die Pharmakokinetik von Empagliflozin und Metformin nach der Verabreichung von Synjardy oder Synjardy XR bei Patienten mit hepatisch beeinträchtigten Patienten charakterisieren, wurden nicht durchgeführt [siehe WARNUNGS AND VORSICHTSMASSNAHMEN ].
Empagliflozin
Bei erwachsenen Patienten mit leichter mittelschwerer und schwerer Leberbeeinträchtigung stieg nach der Kinderklassifizierung von Empagliflozin um ungefähr 23% 47% und 75% und Cmax stieg im Vergleich zu Probanden mit normaler Leberfunktion um ca. 4% 23% bzw. 48%.
Metformin HCl
Bei Patienten mit Leberfunktionsstörungen wurden keine pharmakokinetischen Studien von Metformin durchgeführt.
Arzneimittelinteraktionsstudien
Pharmakokinetische Arzneimittelwechselwirkungsstudien mit Synjardy oder Synjardy XR wurden nicht durchgeführt; Solche Studien wurden jedoch mit den einzelnen Komponenten Empagliflozin und Metformin HCl durchgeführt.
Empagliflozin
In -vitro -Bewertung von Wechselwirkungen mit Arzneimitteln
Empagliflozin does not inhibit inactivate or induce CYP450 isoforms. In vitro data suggest that the primary route of metabolism of empagliflozin in humans is glucuronidation by the uridine 5γ-diphospho-glucuronosyltransferases UGT1A3 UGT1A8 UGT1A9 Und UGT2B7. Empagliflozin does not inhibit UGT1A1 UGT1A3 UGT1A8 UGT1A9 or UGT2B7. Therefore no effect of empagliflozin is anticipated on concomitantly administered drugs that are substrates of the major CYP450 isoforms or UGT1A1 UGT1A3 UGT1A8 UGT1A9 or UGT2B7. The effect of UGT induction (e.g. induction by rifampicin or any other UGT enzyme inducer) on empagliflozin exposure has not been evaluated.
Empagliflozin is a substrate for P-glycoprotein (P-gp) Und breast cancer resistance protein (BCRP) but it does not inhibit these efflux transporters at therapeutic doses. Based on in vitro studies empagliflozin is considered unlikely to cause interactions with drugs that are P-gp substrates. Empagliflozin is a substrate of the human uptake transporters OAT3 OATP1B1 Und OATP1B3 but not OAT1 Und OCT2. Empagliflozin does not inhibit any of these human uptake transporters at clinically relevant plasma concentrations Und therefore no effect of empagliflozin is anticipated on concomitantly administered drugs that are substrates of these uptake transporters.
In -vivo -Bewertung von Wechselwirkungen mit Arzneimitteln
Empagliflozin pharmacokinetics were similar with Und without coadministration of Metformin HCl glimepiride pioglitazone sitagliptin linagliptin warfarin verapamil ramipril Und simvastatin in healthy volunteers Und with or without coadministration of hydrochlorothiazide Und torsemide in patients with type 2 Diabetes mellitus (see Figure 1). In subjects with normal renal function coadministration of empagliflozin with probenecid resulted in a 30% decrease in the fraction of empagliflozin excreted in urine without any effect on 24-hour urinary glucose excretion. The relevance of this observation to patients with renal impairment is unknown.
Abbildung 1: Auswirkung verschiedener Medikamente auf die Pharmakokinetik von Empagliflozin als 90% -Konfidenzintervall der geometrischen mittleren AUC- und Cmax -Verhältnisse [Referenzleitungen zeigen 100% (80% - 125%)]]
|
a Empagliflozin 50 mg einmal täglich; b Empagliflozin 25 mg Einzeldosis; c Empagliflozin 25 mg einmal täglich; d Empagliflozin 10 mg Einzeldosis
Empagliflozin had no clinically relevant effect on the pharmacokinetics of Metformin glimepiride pioglitazone sitagliptin linagliptin warfarin digoxin ramipril simvastatin hydrochlorothiazide torsemide Und oral contraceptives when coadministered in healthy volunteers (see Figure 2).
Abbildung 2: Auswirkung von Empagliflozin auf die Pharmakokinetik verschiedener Medikamente, die als 90% -Konfidenzintervall von geometrischen mittleren AUC- und Cmax -Verhältnissen dargestellt werden [Referenzlinien zeigen 100% (80% - 125%)]]
|
a Empagliflozin 50 mg einmal täglich; b Empagliflozin 25 mg einmal täglich; c Empagliflozin 25 mg Einzeldosis; d als Simvastatin verwaltet; e als Warfarin Racemic -Mischung verabreicht; f als microgynon® verwaltet; g als Ramipril verwaltet
Metformin HCl
Tabelle 5: Auswirkung des koadministierten Arzneimittels auf die systemische Exposition von Plasma Metformin
| Koadministeriertes Medikament | Dosis von Coadministered Drug* | Dosis von Metformin HCl* | Geometrisches mittleres Verhältnis (Verhältnis mit/ohne koadministeriertes Medikament) keine Wirkung = 1,0 | ||
| AUC † | Cmax | ||||
| Glyburide | 5 mg | 500 mg≠ | Metformin | 0,98 ‡ | 0,99 ‡ |
| Furosemid | 40 mg | 850 mg | Metformin | 1.09 ‡ | 1.22 ‡ |
| Nifedipin | 10 mg | 850 mg | Metformin | 1.16 | 1.21 |
| Propranolol | 40 mg | 850 mg | Metformin | 0.90 | 0.94 |
| Ibuprofen | 400 mg | 850 mg | Metformin | 1.05 ‡ | 1.07 ‡ |
| Kationische Arzneimittel, die durch die tubuläre Nierensekretion eliminiert wurden, kann die Metformin -Eliminierung verringern [siehe Arzneimittelwechselwirkungen (7)]. | |||||
| Cimetidin | 400 mg | 850 mg | Metformin | 1.40 | 1.61 |
| Carboanhydrase -Inhibitoren können eine metabolische Azidose verursachen [siehe Wechselwirkungen mit Arzneimitteln ]. | |||||
| Topiramat ** | 100 mg | 500 mg | Metformin | 1.25 | 1.17 |
| * Alle Metformin- und Coadministered -Medikamente wurden als Einzeldosen verabreicht † AUC = AUC (INF) ≠ Metformin HCl erweiterte Freisetzungstabletten 500 mg ‡ Verhältnis von arithmetischen Mitteln ** im stationären Zustand mit Topiramat 100 mg alle 12 Stunden und Metformin 500 mg alle 12 Stunden; AUC = AUC (0-12 Stunden) |
Tabelle 6: Auswirkung von Metformin auf die systemische Exposition des kokadministerierten Arzneimittels
| Koadministeriertes Medikament | Dosis von Coadministered Drug* | Dosis von Metformin HCl* | Geometrisches mittleres Verhältnis (Verhältnis mit/ohne Metformin) kein Effekt = 1,0 | ||
| AUC † | Cmax | ||||
| Glyburide | 5 mg | 500 mg§ | Glyburide | 0,78 ‡ | 0,63 ‡ |
| Furosemid | 40 mg | 850 mg | Furosemid | 0,87 ‡ | 0,69 ‡ |
| Nifedipin | 10 mg | 850 mg | Nifedipin | 1.10 § | 1.08 |
| Propranolol | 40 mg | 850 mg | Propranolol | 1.01 | 0.94 |
| Ibuprofen | 400 mg | 850 mg | Ibuprofen | 0,97 v. | 1.01¶¶ |
| Cimetidin | 400 mg | 850 mg | Cimetidin | 0,95 | 1.01 |
| * Alle Metformin- und Coadministered -Medikamente wurden als Einzeldosen verabreicht † AUC = AUC (INF) unless otherwise noted ‡ Verhältnis von arithmetischen Mitteln p-Wert of difference <0.05 § AUC (0-24 Stunden) gemeldet ¶ Verhältnis von arithmetischen Mitteln |
Klinische Studien
Glykämische Kontrollstudien bei Erwachsenen mit Typ -2 -Diabetes mellitus
Bei erwachsenen Patienten mit Typ -2 -Diabetes -Mellitus -Behandlung mit Empagliflozin und Metformin HCl produzierten klinisch und statistisch signifikante Verbesserungen bei Hba1c im Vergleich zu Placebo und Metformin HCL. Die Verringerung der HbA1c wurde in Untergruppen, einschließlich Altersgeschlechtsrennen und Basis -BMI, beobachtet.
Empagliflozin Add-On Combination Therapy With Metformin HCl In Adult Patients With Type 2 Diabetes Mellitus
Insgesamt 637 Patienten mit Typ-2-Diabetes mellitus nahmen an einer doppelblinden placebokontrollierten Studie teil, um die Wirksamkeit von Empagliflozin in Kombination mit Metformin HCL zu bewerten.
Patienten mit Typ-2-Diabetes mellitus, die auf mindestens 1500 mg Metformin HCl pro Tag unzureichend kontrolliert wurden, betraten ein 2-wöchiges Placebo-Einlauf mit offener Label. Am Ende der Laufzeit wurden Patienten, die unzureichend kontrolliert wurden und einen HbA1c zwischen 7% und 10% hatten, auf Placebo Empagliflozin 10 mg oder Empagliflozin 25 mg randomisiert.
In Woche 24 wurde die Behandlung mit Empagliflozin 10 mg oder 25 mg täglich statistisch signifikante Reduzierungen bei Hba1c (P-Wert (P-Wert <0.0001) FPG Und body weight compared with placebo (see Table 7).
Tabelle 7: Ergebnisse in Woche 24 aus einer placebokontrollierten Studie gegen Empagliflozin, die in Kombination mit Metformin HCL verwendet wird
| Empagliflozin 10 mg N = 217 | Empagliflozin 25 mg N = 213 | Placebo N = 207 | |
| Halc (%) a | |||
| Grundlinie (Mittelwert) | 7.9 | 7.9 | 7.9 |
| Änderung von der Basislinie (angepasster Mittelwert) | -0.7 | -0.8 | -0.1 |
| Differenz von Placebo Metformin HCl (angepasster Mittelwert) (95% CI) | -0.6 b (-0,7 -0.4) | -0.6 b (-0,8 -0,5) | - - |
| Patienten [N (%)] Hba1c erreichen <7% | 75 (38%) | 74 (39%) | 23 (13%) |
| FPG (mg/dl) c | |||
| Grundlinie (Mittelwert) | 155 | 149 | 156 |
| Änderung von der Basislinie (angepasster Mittelwert) | -20 | -22 | 6 |
| Differenz von Placebo Metformin HCl (angepasster Mittelwert) | -26 | -29 | - - |
| Körpergewicht | |||
| Basismittelwert in kg | 82 | 82 | 80 |
| % Änderung gegenüber dem Ausgangswert (angepasster Mittelwert) | -2.5 | -2.9 | -0.5 |
| Unterschied zum Placebo (angepasster Mittelwert) (95% CI) | -2.0b (-2.6 -1.4) | -2.5b (-3.1 -1.9) | - - |
| a Modifizierte Absicht, die Bevölkerung zu tun. Die letzte Beobachtung in der Studie (LOCF) wurde verwendet, um fehlende Daten in Woche 24 zu unterstellen. In Woche 24 9,7% 14,1% und 24,6% wurden für Patienten, die auf Empagliflozin 10 mg Empagliflozin 25 mg bzw. Placebo randomisiert wurden, randomisiert. b ANCOVA P-VALUE <0.0001 (HbA1c: ANCOVA model includes baseline HbA1c treatment renal function Und region. Body weight Und FPG: same model used as for HbA1c but additionally including baseline body weight/baseline FPG respectively.) c FPG (mg/dl); for empagliflozin 10 mg n=216 for empagliflozin 25 mg n=213 Und for placebo n=207 |
In Woche 24 war der systolische Blutdruck im Vergleich zu Placebo um -4,1 mmHg statistisch signifikant reduziert (Placebo-korrigiertes p-Wert <0.0001) for empagliflozin 10 mg Und -4.8 mmHg (placebo-corrected p-Wert <0.0001) for empagliflozin 25 mg.
Empagliflozin Initial Combination Therapy With Metformin HCl
Insgesamt 1364 Patienten mit Typ-2-Diabetes mellitus nahmen an einer doppelblinden randomisierten aktiv kontrollierten Studie teil, um die Wirksamkeit von Empagliflozin in Kombination mit Metformin-HCl als Anfangstherapie im Vergleich zu den entsprechenden einzelnen Komponenten zu bewerten.
Behandlungsnaive Patienten mit unzureichend kontrolliertem Typ-2-Diabetes mellitus betraten 2 Wochen lang in ein Open-Label-Placebo-Einlauf. Am Ende der Laufzeit von Patienten, die unzureichend kontrolliert blieben und einen HbA1c zwischen 7% und 10,5% hatten, wurden in einem von 8 Armen mit aktiven Behandlung randomisiert: Empagliflozin 10 mg oder 25 mg; Metformin HCl 1000 mg oder 2000 mg; Empagliflozin 10 mg in Kombination mit 1000 mg oder 2000 mg Metformin HCl; oder Empagliflozin 25 mg in Kombination mit 1000 mg oder 2000 mg Metformin HCl.
In Woche 24 lieferte die Ersttherapie von Empagliflozin in Kombination mit Metformin HCL statistisch signifikante Verringerung der Hba1c (p-Wert) <0.01) compared to the individual components (see Table 8).
Tabelle 8: Glykämische Parameter nach 24 Wochen in einer Studie zum Vergleich von Empagliflozin und Metformin HCl mit den einzelnen Komponenten als Anfangstherapie
| Empagliflozin 10 mg + Metformin HCl 1000 mg a N = 161 | Empagliflozin 10 mg + Metformin HCl 2000 mg a N = 167 | Empagliflozin 25 mg + Metformin HCl 1000 mg a N = 165 | Empagliflozin 25 mg + Metformin HCl 2000 mg a N = 169 | Empagliflozin 10 mg N = 169 | Empagliflozin 25 mg N = 163 | Metformin HCl 1000 mg a N = 167 | Metformin HCl 2000 mg a N = 162 | |
| Hba1c (%) | ||||||||
| Grundlinie (Mittelwert) | 8.7 | 8.7 | 8.8 | 8.7 | 8.6 | 8.9 | 8.7 | 8.6 |
| Änderung von der Basislinie (angepasster Mittelwert) | -2.0 | -2.1 | -1.9 | -2.1 | -1.4 | -1.4 | -1.2 | -1.8 |
| Vergleich gegen Empagliflozin (angepasster Mittelwert) (95% CI) | -0.6 b (-0,9 -0.4) | -0.7 b (-1.0 -0.5) | -0.6 c (-0,8 -0.3) | -0.7 c (-1.0 -0.5) | - - | - - | - - | - - |
| Vergleich gegen Metformin HCl (angepasster Mittelwert) (95% CI) | -0.8 b (-1.0 -0.6) | -0.3 b (-0.6 -0.1) | -0.8 c (-1.0 -0.5) | -0.3 c (-0.6 -0.1) | - - | - - | - - | - - |
| Patienten [N (%)] Hba1c erreichen <7% | 96 (63%) | 112 (70%) | 91 (57%) | 111 (68%) | 69 (43%) | 51 (32%) | 63 (38%) | 92 (58%) |
| a Metformin HCl total daily dose administered in two equally divided doses per day. b P-Wert ≤ 0,0062 (modifizierte Absicht zu Treat Population [Beobachteter Fall] MMRM-Modell umfasste die Behandlungsnierenfunktionsregion Besuch durch Behandlungswechselwirkung und Baseline HbA1c). c P-Wert ≤ 0,0056 (modifizierte Intent-to-Treat-Population [Beobachteter Fall] MMRM-Modell umfasste die Behandlungsnierenfunktionsregion Besuch durch Behandlungswechselwirkung und Baseline HbA1c). |
Empagliflozin Add-On Combination Therapy With Metformin HCl And Sulfonylurea
Insgesamt 666 Patienten mit Typ-2-Diabetes mellitus nahmen an einer doppeltblind-placebokontrollierten Studie teil, um die Wirksamkeit von Empagliflozin in Kombination mit Metformin HCl plus einer Sulfonylharnstoff zu bewerten.
Patienten mit unzureichend kontrolliertem Typ-2-Diabetes mellitus auf mindestens 1500 mg pro Tag Metformin HCl und auf einer Sulfonylharnstoff gingen ein 2-wöchiger Open-Label-Placebo-Einlauf ein. Am Ende der Einlaufpatienten, die unzureichend kontrolliert blieben und einen Hba1c zwischen 7% und 10% hatten, wurden 10% Random-Empagliflozin 10 mg oder Empagliflozin 25 mg randomisiert.
Die Behandlung mit Empagliflozin 10 mg oder 25 mg täglich lieferte statistisch signifikante Verringerung des Hba1c (p-Wert) <0.0001) FPG Und body weight compared with placebo (see Table 9).
Tabelle 9: Ergebnisse in Woche 24 aus einer placebokontrollierten Studie gegen Empagliflozin in Kombination mit Metformin HCl und Sulfonylurea
| Empagliflozin 10 mg N = 225 | Empagliflozin 25 mg N = 216 | Placebo N = 225 | |
| Halc (%) a | |||
| Grundlinie (Mittelwert) | 8.1 | 8.1 | 8.2 |
| Änderung von der Basislinie (angepasster Mittelwert) | -0.8 | -0.8 | -0.2 |
| Unterschied zum Placebo (angepasster Mittelwert) (95% CI) | -0.6 b (-0,8 -0,5) | -0.6 b (-0,7 -0.4) | - - |
| Patienten [N (%)] Hba1c erreichen <7% | 55 (26%) | 65 (32%) | 20 (9%) |
| FPG (mg/dl) c | |||
| Grundlinie (Mittelwert) | 151 | 156 | 152 |
| Änderung von der Basislinie (angepasster Mittelwert) | -23 | -23 | 6 |
| Unterschied zum Placebo (angepasster Mittelwert) | -29 | -29 | - - |
| Körpergewicht | |||
| Basismittelwert in kg | 77 | 78 | 76 |
| % Änderung gegenüber dem Ausgangswert (angepasster Mittelwert) | -2.9 | -3.2 | -0.5 |
| Unterschied zum Placebo (angepasster Mittelwert) (95% CI) | -2.4 b (-3.0 -1.8) | -2.7 b (-3.3 -2.1) | - - |
| a Modifizierte Absicht, die Bevölkerung zu tun. Die letzte Beobachtung in der Studie (LOCF) wurde verwendet, um fehlende Daten in Woche 24 zu unterstellen. In Woche 24 17,8% 16,7% und 25,3% wurden für Patienten, die auf Empagliflozin 10 mg Empagliflozin 25 mg bzw. Placebo randomisiert wurden, randomisiert. b ANCOVA P-VALUE <0.0001 (HbA1c: ANCOVA model includes baseline HbA1c treatment renal function Und region. Body weight Und FPG: same model used as for HbA1c but additionally including baseline body weight/baseline FPG respectively.) c FPG (mg/dl); for empagliflozin 10 mg n = 225 for empagliflozin 25 mg n=215 for placebo n = 224 |
Aktive kontrollierte Studie gegen Glimepirid in Kombination mit Metformin HCL
Die Wirksamkeit von Empagliflozin wurde bei 1545 Patienten mit Typ-2-Diabetes mellitus mit unzureichender Glykämiekontrolle trotz der Metformin-HCL-Therapie in einer doppelblindem Glimepirid-kontrollierten Studie bewertet.
Patienten mit unzureichender glykämischer Kontrolle und einem HbA1c zwischen 7% und 10% nach einer 2-wöchigen Einlaufzeit wurden randomisiert zu Glimepirid oder Empagliflozin 25 mg.
In Woche 52 senkten Empagliflozin 25 mg und Glimepirid Hba1c und FPG (siehe Tabelle 10 Abbildung 3). Der Unterschied in der beobachteten Effektgröße zwischen Empagliflozin 25 mg und Glimepirid schloss die vorgegebene Nicht-Unfertigungsmarge von 0,3%aus. Die mittlere tägliche Dosierung von Glimepirid betrug 2,7 mg und die maximal zugelassene Dosierung in den USA beträgt 8 mg pro Tag.
Tabelle 10: Ergebnisse in Woche 52 aus einer aktiv kontrollierten Studie, in der Empagliflozin mit Glimepirid als Add-On-Therapie bei Patienten verglichen wird, die auf Metformin HCL unzureichend kontrolliert werden
| Empagliflozin 25 mg N = 765 | Glimpiride N = 780 | |
| Hba1c (%) a | ||
| Grundlinie (Mittelwert) | 7.9 | 7.9 |
| Änderung von der Basislinie (angepasster Mittelwert) | -0.7 | -0.7 |
| Differenz von Glimepirid (angepasster Mittelwert) (NULL,5% CI) | -0.07 b (-0,15 0,01) | - - |
| FPG (mg/dl) d | ||
| Grundlinie (Mittelwert) | 150 | 150 |
| Änderung von der Basislinie (angepasster Mittelwert) | -19 | -9 |
| Unterschied von Glimepirid (angepasster Mittelwert) | -11 | - - |
| Körpergewicht | ||
| Basismittelwert in kg | 82.5 | 83 |
| % Änderung gegenüber dem Ausgangswert (angepasster Mittelwert) | -3.9 | 2.0 |
| Unterschied von Glimepirid (angepasster Mittelwert) (95% CI) | -5.9 c (-6,3 -5.5) | - - |
| a Modifizierte Absicht, die Bevölkerung zu tun. Die letzte Beobachtung in der Studie (LOCF) wurde verwendet, um Daten zu unterstellen, die in Woche 52 fehlten. In Woche 52 wurden die Daten für 15,3% bzw. 21,9% der Patienten, die zu Empagliflozin 25 mg bzw. Glimepirid randomisiert wurden. b Nicht-Inferior-ANCOVA-Modell P-Wert <0.0001 (HbA1c: ANCOVA model includes baseline HbA1c treatment renal function Und region) c ANCOVA P-VALUE <0.0001 (Body weight Und FPG: same model used as for HbA1c but additionally including baseline body weight/baseline FPG respectively.) d FPG (mg/dl); for empagliflozin 25 mg n=764 for glimepiride n=779 |
Abbildung 3: Eingepasster mittlerer Hba1c -Änderung zu jedem Zeitpunkt (Vervollständiger) und in Woche 52 (Mitteilung) - loCF
|
In Woche 52 betrug die angepasste mittlere Änderung gegenüber dem Ausgangswert des systolischen Blutdrucks -3,6 mmHg im Vergleich zu 2,2 mmHg für Glimepirid. Die Unterschiede zwischen Behandlungsgruppen für den systolischen Blutdruck waren statistisch signifikant (p-Wert <0.0001).
In Woche 104 betrug die bereinigte mittlere Änderung gegenüber dem Ausgangswert in Hba1c -0,75% für Empagliflozin 25 mg und -0,66% für Glimepirid. Der bereinigte mittlere Behandlungsunterschied betrug -0,09% mit einem Konfidenzintervall von 97,5% von (-0,32% 0,15%) ohne die vorgegebene Nicht-Unfertigungsmarge von 0,3%. Die mittlere tägliche Dosierung von Glimepirid betrug 2,7 mg und die maximal zugelassene Dosierung in den USA beträgt 8 mg pro Tag. Die Analyse in der Woche 104 umfasste Daten mit und ohne gleichzeitige glykämische Rettungsmedikamente sowie Offbehandlungsdaten. Fehlende Daten für Patienten, die beim Besuch keine Informationen liefern, wurden auf der Grundlage der beobachteten Off-Behandlungsdaten unterstellt. In dieser Mehrfachimputationsanalyse wurden 13,9% der Daten für Empagliflozin 25 mg und 12,9% für Glimepirid unterstellt.
In Woche 104 führte Empagliflozin täglich 25 mg täglich zu einem statistisch signifikanten Unterschied in der Veränderung vom Ausgangswert für das Körpergewicht im Vergleich zu Glimepirid (-3,1 kg für Empagliflozin 25 mg gegenüber 1,3 kg für Glimepirid; Ancova-Locf P-Value <0.0001).
Glykämische Kontrollstudien bei pädiatrischen Patienten mit Typ -2 -Diabetes mellitus
Glykämische Kontrollstudie mit Empagliflozin bei pädiatrischen Patienten im Alter von 10 bis 17 Jahren mit Typ -2 -Diabetes mellitus
Dinamo (NCT03429543) war eine 26-wöchige doppelblinde, randomisierte, placebokontrollierte parallele Gruppenversuch mit einer doppelblinden aktiven Sicherheitsverlängerungszeit von bis zu 52 Wochen, um die Wirksamkeit von Empagliflozin zu bewerten. Die Studie umfasste pädiatrische Patienten im Alter von 10 bis 17 Jahren mit unzureichend kontrollierten Typ -2 -Diabetes mellitus (Hba1c 6,5 bis 10,5%). Patienten, die mit Metformin HCl (mindestens 1000 mg täglich oder maximal toleriertem Dosis) mit oder ohne Insulintherapie behandelt wurden, und Patienten mit Intoleranz gegenüber der Metformin -HCl -Therapie wurden eingeschlossen. Die Patienten wurden über 26 Wochen auf 3 Behandlungsarme (Empagliflozin 10 mg A Dipeptidylpeptidase-4 (DPP-4) oder Placebo) randomisiert. Patienten in der Empagliflozin 10 mg Gruppe, die Hba1c nicht erreicht haben <7.0% at Week 12 underwent a second rUndomization at Week 14 to remain on the 10 mg dose or increase to 25 mg. Patients on placebo were re-rUndomized at Week 26 to one of the empagliflozin doses (10 mg or 25 mg) or a DPP-4 inhibitor.
Insgesamt 157 Patienten wurden entweder mit Empagliflozin (10 mg oder 25 mg; n = 52) ein DPP-4-Inhibitor (n = 52) oder Placebo (n = 53) behandelt. Zu den Hintergrundtherapien als zusätzlich zu Ernährung und Bewegung gehörten Metformin HCl (51%) eine Kombination aus Metformin -HCl und Insulin (NULL,1%) Insulin (NULL,2%) oder keine (NULL,7%). Der mittlere HbA1c zu Studienbeginn betrug 8,0% und die mittlere Dauer von Typ -2 -Diabetes mellitus 2,1 Jahre. Das Durchschnittsalter betrug 14,5 Jahre (Bereich: 10-17 Jahre) und 51,6% waren 15 Jahre und älter. Ungefähr 50% waren weiß 6% waren asiatisch 31% waren schwarz oder afroamerikaner und 38% waren hispanischer oder lateinamerikanischer ethnischer Zugehörigkeit. Der mittlere BMI betrug 36,0 kg/m² und der mittlere BMI Z-Score 3,0. Patienten mit einem EGFR von weniger als 60 ml/min/1,73 m² wurden nicht in die Studie aufgenommen. Ungefähr 25% der Versuchsbevölkerung hatten eine Mikroalbuminurie oder eine Makroalbuminurie.
In Woche 26 war die Behandlung mit Empagliflozin in der Behandlung von Hba1c gegenüber Placebo überlegen (siehe Tabelle 11).
Tabelle 11: Ergebnisse in Woche 26 für eine placebokontrollierte Studie gegen Empagliflozin in Kombination mit Metformin HCl und/oder Insulin oder als Monotherapie bei pädiatrischen Patienten im Alter von 10 bis 17 Jahren mit Typ-2-Diabetes mellitusa
| Empagliflozin 10 mg Und 25 mg | Placebo | |
| Hba1c (%) b | ||
| Anzahl der Patienten | n = 52 | n = 53 |
| Grundlinie (Mittelwert) | 8.0 | 8.1 |
| Von der Grundlinie wechseln c | -0.2 | 0.7 |
| Unterschied von Placeboc (95% CI) | -0.8e (-1,5 -0.2) | - - |
| FPG (mg/dl) Bd | ||
| Anzahl der Patienten | n = 48 | n = 52 |
| Grundlinie (Mittelwert) | 154 | 159 |
| Von der Grundlinie wechseln c | -19 | 17 |
| Unterschied von Placeboc (95% CI) | -36 (-60.7 -10.7) | - - |
| a Modifizierte Absicht zu Treat Set (alle randomisierten und behandelten Patienten mit Basismessung). b Mehrere Imputationen unter Verwendung von Placebo-Auswaschansatz mit 500 Iterationen für fehlende Daten. Für Hba1c (Empagliflozin n = 5 (NULL,6%) Placebo n = 3 (NULL,7%)) für FPG (Empagliflozin n = 4 (NULL,3%) Placebo n = 2 (NULL,8%)). c Einstiegsmittelwert der kleinsten Quadrate aus der Analyse der Kovarianz (ANCOVA), die für den Grundwert und den Grundlinienalter angepasst wurden (Age-Schicht <15 years vs 15 to < 18 years). d Nicht auf statistische Signifikanz bewertet, nicht Teil des sequentiellen Testverfahrens. e p-Wert = 0,0116 (zweiseitig) |
Glykämische Kontrollstudie mit Metformin HCl Sofortige Freisetzung bei pädiatrischen Patienten im Alter von 10 bis 16 Jahren mit Typ-2-Diabetes mellitus:
Eine doppelblinde, placebokontrollierte Studie wurde bei pädiatrischen Patienten im Alter von 10 bis 16 Jahren mit Typ-2-Diabetes mellitus (mittlerer FPG 182,2 mg/dl) durchgeführt, bei dem Patienten bis zu 16 Wochen mit Metformin HCL HCL Sofortiger Freisetzungstabletten behandelt wurden (bis zu 2000 mg/Tag). Die Ergebnisse sind in Tabelle 12 angezeigt.
Tabelle 12: Mittlere Änderung des Fastenplasmasglukose in Woche 16, um Metformin HCl mit Placebo bei pädiatrischen Patienten zu vergleichen a mit Typ -2 -Diabetes mellitus
| FPG (mg/dl) | Metformin HCl (n = 37) | Placebo (n = 36) | p-Wert |
| Grundlinie | 162.4 | 192.3 | |
| Änderung beim letzten Besuch | -42.9 | 21.4 | <0.001 |
| a Pädiatrische Patienten haben das Alter von 13,8 Jahren (Bereich 10-16 Jahre) |
Das mittlere Baseline-Körpergewicht betrug 205 Pfund und 189 lbs im Metformin HCl Sofortiger Freisetzung bzw. Placebo-Arme. Die mittlere Änderung des Körpergewichts von Grundlinie zu Woche 16 betrug in den Metformin HCl- bzw. Placebo -Armen -3,3 lbs und -2,0 lbs.
Empagliflozin CV Outcome Trial In Adult Patients With Type 2 Diabetes Mellitus And Atherosclerotic CV Disease
Das EM-Reg-Ergebnis war eine multizentrische multinationale randomisierte doppelblinde parallele Gruppenstudie, die das Risiko eines wichtigen unerwünschten CV-Ereignisses (MACE) zwischen Empagliflozin und Placebo verglich, wenn diese zu einer gleichzeitigen und gleichzeitig mit Standard der Pflegebehandlungen verwendeten CV-Behandlungen hinzugefügt wurden. Begleitende antidiabetische Medikamente wurden in den ersten 12 Wochen des Versuchs stabil gehalten. Danach konnten antidiabetische und atherosklerotische Therapien nach Ermessen der Ermittler angepasst werden, um sicherzustellen, dass die Teilnehmer gemäß der Standardversorgung dieser Krankheiten behandelt wurden.
Insgesamt 7020 Patienten wurden behandelt (Empagliflozin 10 mg = 2345; Empagliflozin 25 mg = 2342; Placebo = 2333) und nach einem Median von 3,1 Jahren befolgt. Ungefähr 72% der Versuchsbevölkerung waren weiß 22% asiatisch und 5% waren schwarz oder afroamerikanisch. Das Durchschnittsalter betrug 63 Jahre und ungefähr 72% waren männlich.
Alle Patienten in der Studie hatten zu Studienbeginn unzureichend kontrollierter Typ -2 -Diabetes mellitus (Hba1c größer oder gleich 7%). Der mittlere HbA1c zu Studienbeginn betrug 8,1% und 57% der Teilnehmer hatten mehr als 10 Jahre Diabetes mellitus. Ungefähr 31% 22% und 20% berichteten über eine frühere Vorgeschichte von Retinopathie und Nephropathie der Neuropathie gegenüber den Forschern, und der mittlere EGFR betrug 74 ml/min/1,73 m². Zu Studienbeginn wurden die Patienten mit einem (~ 30%) oder mehr (~ 70%) Antidiabetika behandelt, einschließlich Metformin HCl (74%) Insulin (48%) und Sulfonylharnstoff (43%).
Alle Patienten hatten zu Studienbeginn eine atherosklerotische CV -Erkrankung festgelegt, darunter eine (82%) oder mehr (18%) der folgenden: eine dokumentierte Vorgeschichte der Erkrankung der Koronararterien (76%) (23%) oder einer peripheren Arterienerkrankung (21%). Zu Beginn betrug der mittlere systolische Blutdruck 136 mmHg, der mittlere diastolische Blutdruck betrug 76 mmHg. Der mittlere LDL betrug 86 mg/dl. Die mittlere HDL betrug 44 mg/dl und das mittlere Urinalbumin -zu -Kreatinin -Verhältnis (UACR) 175 mg/g. Zu Studienbeginn wurden ungefähr 81% der Patienten mit Renin-Angiotensin-System-Inhibitoren von Renin Angiotensin-System zu 65% mit Beta-Blockern 43% mit 77% mit Statinen und 86% mit Antiplettelettagenten (meist Aspirin) behandelt.
Der primäre Endpunkt des EMPA-ERG-Ergebnisses war der Zeitpunkt, um ein erstes unerwünschtes Herzereignis (MACE) zu ereignen. Ein wesentliches unerwünschtes Herzereignis wurde als Auftreten eines Lebenslauf-Todes oder eines nicht tödlichen Myokardinfarkts (MI) oder eines nicht tödlichen Schlaganfalls definiert. Der statistische Analyseplan hatte vorgegeben, dass die 10- und 25-mg-Dosierungen kombiniert würden. Ein Cox-Proportional-Hazards-Modell wurde verwendet, um die Nichtverwaltung gegen die vorgegebene Risikomarge von 1,3 für das Gefährdungsverhältnis von Kennkenntnissen und Überlegenheit auf Kennheit zu testen, wenn die Nicht-Infertigkeit nachgewiesen wurde. Der Typ-1-Fehler wurde unter Verwendung einer hierarchischen Teststrategie über Mehrfachtests kontrolliert.
Empagliflozin significantly reduced the risk of first occurrence of primary composite endpoint of Lebenslauf Tod non-fatal myocardial infarction or non-fatal stroke (HR: 0.86; 95% CI: 0.74 0.99). The treatment effect was due to a significant reduction in the risk of Lebenslauf Tod in subjects rUndomized to empagliflozin (HR: 0.62; 95% CI: 0.49 0.77) with no change in the risk of non-fatal myocardial infarction or non-fatal stroke (see Table 13 Und Figures 4 Und 5). Ergebnisse for the 10 mg Und 25 mg empagliflozin dosages were consistent with results for the combined dosage groups.
Tabelle 13: Behandlungseffekt für den primären zusammengesetzten Endpunkt und seine Komponenten a
| Placebo N = 2333 | Empagliflozin N = 4687 | Hazard Ratio gegenüber Placebo (95% CI) | |
| Zusammensetzung des nicht tödlichen Myokardinfarkts nicht tödlichen Strichs (Zeit bis zum ersten Ereignis) b | 282 (NULL,1%) | 490 (NULL,5%) | 0,86 (NULL,74 0,99) |
| Nicht tödlicher Myokardinfarkt c | 121 (NULL,2%) | 213 (NULL,5%) | 0,87 (NULL,70 1,09) |
| Nicht tödlicher Schlaganfall c | 60 (NULL,6%) | 150 (NULL,2%) | 1,24 (NULL,92 1,67) |
| Lebenslauf Tod c | 137 (NULL,9%) | 172 (NULL,7%) | 0,62 (NULL,49 0,77) |
| a Behandelter Satz (Patienten, die mindestens eine Dosis Studienmedikamente erhalten hatten) b p-Wert for superiority (2-sided) 0.04 c Gesamtzahl der Ereignisse |
Abbildung 4: Geschätzte kumulative Inzidenz des ersten Keulstoffs
|
Abbildung 5: Geschätzte kumulative Inzidenz des Lebenslauf -Todes
|
Die Wirksamkeit von Empagliflozin beim Tod des Lebenslaufs war im Allgemeinen in den wichtigsten demografischen Untergruppen und der Krankheitsgruppen konsistent.
Der Vitalstatus wurde für 99,2% der Probanden in der Studie erhalten. Während des EMPA-Reg-Ergebnisversuchs wurden insgesamt 463 Todesfälle verzeichnet. Die meisten dieser Todesfälle wurden als CV -Todesfälle eingestuft. Die Nicht-CV-Todesfälle waren nur ein kleiner Anteil der Todesfälle und waren zwischen den Behandlungsgruppen ausgeglichen (NULL,1% bei Patienten, die mit Empagliflozin behandelt wurden und 2,4% der mit Placebo behandelten Patienten behandelt wurden).
Empagliflozin Heart Failure Trials Including Adult Patients With Type 2 Diabetes Mellitus
Kaiserreduzierte Studie (chronische Herzinsuffizienz mit linksventrikulärer Ejektionsfraktion ≤ 40%)
EMPEROR-Reduced (NCT03057977) was a double-blind trial conducted in adults with chronic heart failure [New York Heart Association (NYHA) functional class II-IV] with left ventricular ejection fraction (LVEF) ≤40% to evaluate the efficacy of empagliflozin as adjunct to standard of care heart failure therapy. Of 3730 patients 1863 were randomized to empagliflozin 10 mg once daily and 1867 to placebo once daily and were followed for a median of 16 months.
Grundlinie Disease Characteristics And Demographics
EMPEROR-Reduced included patients with type 2 diabetes mellitus (n=1856) and patients without type 2 diabetes mellitus (n=1874). The mean age of the trial population was 67 years (range: 25 to 94 years) and 76% were males 24% were women and 27% were 75 years of age or older. Approximately 71% of the trial population were White 18% Asian and 7% Black or African American. At randomization 75% of patients were NYHA class II 24% were class III and 0.5% were class IV. The mean LVEF was 28%. At baseline the mean eGFR was 62 mL/min/1.73 m² and the median urinary albumin to creatinine ratio (UACR) was 22 mg/g. Approximately half of the patients (52%) had eGFR equal to or above 60 mL/min/1.73 m² 24% had eGFR 45 to less than 60 mL/min/1.73 m² and 19% had eGFR 30 to less than 45 mL/min/1.73 m². At baseline 88% of patients were treated with angiotensin-converting enzyme (ACE) inhibitors angiotensin receptor blockers (ARB) or angiotensin receptor-neprilysin inhibitors (ARNI) 95% with beta-blockers 71% with mineralocorticoid receptor antagonists ( MRA ) and 95% with diuretics.
In EMPEROR-Reduced history of type 2 diabetes mellitus was present in 50% of the patients and 46% of these patients were treated with metformin HCl (444 patients in the empagliflozin group and 418 in the placebo group) and 25% were treated with insulin. In the type 2 diabetes mellitus subpopulation the mean age was 67 years; 77% were males; 69% White 19% Asian and 7% Black or African American; 32% were Hispanic/Latino. In the type 2 diabetes mellitus subpopulation at baseline 71% of patients were classified as NYHA class II 28% class III and 0.7% class IV; the mean LVEF was 27%; the mean baseline eGFR was 61 mL/min/1.73 m². In this subpopulation at baseline 88% of patients were treated with ACE inhibitors ARB or ARNI 95% with beta-blockers 70% with MRA and 96% with diuretics.
Ergebnisse
In kaiserreduziertem Empagliflozin 10 mg im Vergleich zu Placebo verringerte das Risiko des primären zusammengesetzten Endpunkts des CV-Todes oder des Krankenhausaufenthalts für Herzinsuffizienz (HHF) hauptsächlich durch eine Verringerung der HHF (HR 0,75 [95% CI 0,65 0,86]). Empagliflozin reduzierte das Risiko eines ersten und wiederkehrenden HHF einen wichtigen sekundären Endpunkt. Aufgrund der Metformin -HCl -Komponente Synjardy und Synjardy XR sind nicht für die Verwendung bei Patienten mit Herzinsuffizienz ohne Typ -2 -Diabetes mellitus angezeigt [siehe Indikationen und Nutzung ].
Die Wirkung von Empagliflozin auf die Reduzierung des Risikos des primären Verbundendpunkts war bei Patienten mit Typ -2 -Diabetes mellitus (HR 0,73 [95% CI 0,60 0,87]) und bei Patienten mit Typ -2 -Diabetes mellitus und Metformin HCl (HR 0,65 [95% CI 0,49 0,86].
Kaiservereinigungstur
Kaiser (NCT03057951) war eine doppelblinde Studie, die bei Patienten mit chronischer Herzinsuffizienz NYHA-Klasse II-IV mit LVEF> 40% durchgeführt wurde, um die Wirksamkeit von Empagliflozin als zusätzlich zu Standard der Pflegetherapie zu bewerten. Von 5988 Patienten wurden 2997 Patienten einmal täglich auf Empagliflozin 10 mg und 2991 Patienten einmal täglich nach Placebo und für einen Median von 26 Monaten befolgt.
Grundlinie Disease Characteristics And Demographics
EMPEROR-Preserved included patients with type 2 diabetes mellitus (n=2928) and patients without type 2 diabetes mellitus (n=3060). The mean age of the trial population was 72 years (range: 22 to 100 years) and 55% were males 45% were women and 43% were 75 years of age or older. Approximately 76% of the trial population were White 14% Asian and 4% Black or African American. At randomization 82% of patients were NYHA class II 18% were class III and 0.3% were class IV. This trial included patients with a LVEF <50% (33.1%) with a LVEF 50 to <60% (34.4%) Und a LVEF ≥60% (32.5%). At baseline the mean eGFR was 61 mL/min/1.73 m² Und the median urinary albumin to creatinine ratio (UACR) was 21 mg/g. Approximately half of the patients (50%) had eGFR equal to or above 60 mL/min/1.73 m² 26% had eGFR 45 to less than 60 mL/min/1.73 m² Und 19% had eGFR 30 to less than 45 mL/min/1.73 m². At baseline 81% of patients were treated with ACE inhibitors ARBs or ARNI 86% with beta-blockers 38% with MRAs Und 86% with diuretics.
In EMPEROR-Preserved history of type 2 diabetes mellitus was present in 49% of the patients and 54% of these patients were treated with metformin HCl (773 patients in the empagliflozin group and 803 in the placebo group) and 29% were treated with insulin. In the type 2 diabetes mellitus subpopulation the mean age was 71 years 57% were males 75% White 13% Asian and 5% Black or African American. In the type 2 diabetes mellitus subpopulation at baseline 79% of patients were classified as NYHA class II 20% class III and 0.2% class IV; the trial also included type 2 diabetics with LVEF <50% (35%) with a LVEF 50 to <60% (34%) Und a LVEF ≥60% (31%). For this subpopulation the mean baseline eGFR was 60 mL/min/1.73 m²; Und at baseline 83% of patients were treated with ACE inhibitors ARB or ARNI 88% with beta-blockers 39% with MRA Und 89% with diuretics.
Ergebnisse
In Kaiser-vorgewahrtem Empagliflozin 10 mg im Vergleich zu Placebo reduzierte das Risiko des primären zusammengesetzten Endpunkts (Zeit bis zum ersten Ereignis eines CV-Todes oder HHF) hauptsächlich durch eine Verringerung der Krankenhausaufenthalte für Herzinsuffizienz (HR 0,79 [95% CI 0,69 0,90]). Empagliflozin reduzierte das Risiko eines ersten und wiederkehrenden HHF einen wichtigen sekundären Endpunkt. Aufgrund der Metformin -HCl -Komponente Synjardy und Synjardy XR sind nicht für die Verwendung bei Patienten mit Herzinsuffizienz ohne Typ -2 -Diabetes mellitus angezeigt [siehe Indikationen und Nutzung ].
Die Wirkung von Empagliflozin auf die Reduzierung des Risikos des primären Verbundendpunkts war bei Patienten mit Typ -2 -Diabetes mellitus (HR 0,80 [95% CI 0,67 0,95]) und bei Patienten mit Typ -2 -Diabetes mellitus und Metformin HCl (HR 0,79 [95% CI 0,61 1.02].
Empagliflozin Chronic Kidney Disease Trial Including Adult Patients With Type 2 Diabetes Mellitus
Die Wirksamkeit von Empagliflozin ist eine Komponente von Synjardie und Synjardy XR, um das Risiko eines anhaltenden Rückgangs der EGFR-Endstadien-Nierenerkrankung zu verringern, CV-Tod und -aufenthalt bei Erwachsenen mit chronischer Nierenerkrankung mit dem Risiko eines Progressions aufgrund einer angemessenen und gut kontrollierten Studie mit Empagliflozin [Empa-Akidney (NCT0394110). Diese Studie wurde entwickelt, um den Behandlungseffekt von Empagliflozin im Vergleich zu Placebo bei Erwachsenen mit CKD (mit und ohne Typ -2 -Diabetes) zu bestimmen. Die Studie, bei der Empagliflozin statt Synjardie oder Synjardy XR untersuchte, umfasste Erwachsene, die Metformin HCL als eingehende Medikamente einnahmen. Die Wirksamkeitsergebnisse von EMPA-Kidney sind unten angegeben.
EMPA-Kidney war eine randomisierte doppelblinde, placebokontrollierte Studie, die bei Erwachsenen mit chronischer Nierenerkrankung durchgeführt wurde [EGFR ≥ 20 bis <45 mL/min/1.73 m²; or eGFR ≥45 to <90 mL/min/1.73 m² with urine albumin to creatinine ratio (UACR) ≥200 mg/g]. The trial excluded patients with polycystic kidney disease or patients requiring intravenous immunosuppressive therapy in the preceding three months or> 45 mg Prednison (oder gleichwertig) zum Zeitpunkt des Screenings. Das Hauptziel der Studie war es, die Auswirkungen von Empagliflozin als Ergänzung zum Standard der Versorgungstherapie einschließlich der Ras-Inhibitor-Therapie zu bewerten, wenn er rechtzeitig bis zum Fortschreiten des Nierenerkrankung oder zum Tod von Lebensläufen geeignet ist. Insgesamt 6609 Patienten wurden gleichermaßen randomisiert wie bei Empagliflozin 10 mg oral einst täglich oder Placebo und wurden für einen Median von 24 Monaten verfolgt.
Grundlinie Disease Characteristics And Demographics
EMPA-Kidney umfasste Patienten mit Typ-2-Diabetes mellitus (n = 2936) und Patienten ohne Typ-2-Diabetes mellitus (n = 3673). Das Durchschnittsalter der Studienbevölkerung betrug 63 Jahre (Bereich: 18 bis 94 Jahre) und 67% waren männlich. Ungefähr 58% der Studienbevölkerung waren weiße 36% asiatisch und 4% Schwarz oder Afroamerikaner. Zu Studienbeginn betrug der mittlere EGFR 37 ml/min/1,73 m² 21% der Patienten einen EGFR, der gleich oder über 45 ml/min/1,73 m² und 44% einen EGFR 30 bis weniger als 45 ml/min/1,73 m² hatte. Das mittlere UACR betrug 329 mg/g 20% der Patienten einen UACR <30 mg/g 28% had a UACR 30 to ≤300 mg/g and 52% had a UACR> 300 mg/g. Die häufigsten Ätiologien von CKD waren diabetische Nephropathie/diabetische Nierenerkrankungen (31%) glomeruläre Erkrankung (25%) hypertensive/renovaskuläre Erkrankungen (22%) und andere/unbekannte (22%). Zu Studienbeginn wurden 85% der Patienten mit Angiotensin-Converting-Enzym (ACE) -Hemmer oder Angiotensin-Rezeptorblocker (ARB) 64% behandelt Statine Und 34% with antiplatelet agents.
In EMPA-Kidney-Geschichte vom Typ-2-Diabetes mellitus war bei 44% der Patienten vorhanden, und 23% dieser Patienten wurden mit Metformin HCl (329 Patienten in der Empagliflozin-Gruppe und 334 in der Placebo-Gruppe) behandelt. In der Typ -2 -Diabetes -Mellitus -Subpopulation betrug das Durchschnittsalter 68 Jahre 67% Männer 59% Weiß 33% Asiat und 6% Schwarz oder Afroamerikaner. In der Typ -2 -Diabetes -Mellitus -Subpopulation zu Studienbeginn betrug der mittlere EGFR 36 ml/min/1,73 m² 17% der Patienten einen EGFR, der gleich oder über 45 ml/min/1,73 m² und 45% einen EGFR 30 bis weniger als 45 ml/min/1,73 m² hatte. Der mittlere UACR betrug 256 mg/g 22% der Patienten einen UACR <30 mg/g 31% had a UACR 30 to ≤300 mg/g and 47% had a UACR> 300 mg/g. Die häufigsten Ätiologien von CKD zu Studienbeginn in dieser Subpopulation waren diabetische Nephropathie/diabetische Nierenerkrankungen (67%) glomeruläre Erkrankung (6%) Hypertensive/renovaskuläre Erkrankungen (14%) und andere/unbekannte (13%). In dieser Subpopulation wurden zu Studienbeginn 85% der Patienten mit ACE -Inhibitor oder ARB 79% mit Statinen und 48% mit Treffpunkten behandelt.
Ergebnisse
In EMPA-Kidney Empagliflozin 10 mg im Vergleich zu Placebo reduzierte das Risiko des primären zusammengesetzten Endpunkts von anhaltend ≥ 40% EGFR-Rückgang anhaltender EGFR <10 mL/min/1.73 m² progression to end-stage kidney disease or CV or renal death. The treatment effect reflected a reduction in a sustained ≥40% eGFR decline sustained eGFR <10 mL/min/1.73 m² progression to end-stage kidney disease Und Lebenslauf Tod. There were few renal deaths during the trial. Empagliflozin also reduced the risk of first Und recurrent hospitalization; information collected on the reason for hospitalization was insufficient to further characterize the benefit. Because of the Metformin HCl component Verbraucht Und Verbraucht XR are not indicated for use in patients with CKD without type 2 Diabetes mellitus [see Indikationen und Nutzung ].
Die Wirkung von Empagliflozin auf die Reduzierung des Risikos des primären Verbundendpunkts war bei Patienten mit Typ -2 -Diabetes mellitus [HR 0,65 (95% CI 0,54 0,78)] und bei Patienten mit Typ -2 -Diabetes Mellitus und Metformin HCl als Hintergrundtherapie [HR 0,72 (95% CI 0,48 1.09).
Patienteninformationen für Synjardy XR Extended Release Tablets
Verbraucht®
(Sin-Jar-Dee)
(Empagliflozin- und Metformin -Hydrochlorid -Tabletten) für den oralen Gebrauch und
Verbraucht® XR
(Sin-Jar-Dee XR)
(Empagliflozin- und Metforminhydrochlorid-Tabletten ausgegeben) für den oralen Gebrauch
Was sind die wichtigsten Informationen, die ich über Synjardy oder Synjardy XR wissen sollte?
Verbraucht or Verbraucht XR can cause serious side effects including:
- Laktatazidose. Metformin hydrochloride (HCl) one of the medicines in Verbraucht Und Verbraucht XR can cause a rare but serious condition called lactic acidosis (a build-up of lactic acid in the blood) that can cause death. Lactic acidosis is a medical emergency Und must be treated in a hospital.
Hören Sie auf, Synjardy oder Synjardy XR zu nehmen, und rufen Sie Ihren Gesundheitsdienstleister sofort an oder gehen Sie in die nächste Notaufnahme des Krankenhauses, wenn Sie die folgenden Symptome einer Laktatazidose erhalten:
- Fühlen Sie sich sehr schwach und müde
- ungewöhnliche Schläfrigkeit haben oder länger als gewöhnlich schlafen
- haben ungewöhnliche (nicht normale) Muskelschmerzen
- Fühlen Sie sich vor allem in Ihren Armen und Beinen kalt
- Schwierigkeiten beim Atmen haben
- fühle mich schwindelig oder benommen
- haben unerklärliche Magen- oder Darmprobleme mit Übelkeit und Erbrechen oder Durchfall
- einen langsamen oder unregelmäßigen Herzschlag haben
Sie haben eine höhere Wahrscheinlichkeit, dass Sie mit Synjardie oder Synjardy XR eine Laktatazidose erhalten, wenn Sie:
- haben mittelschwere bis schwere Nierenprobleme
- Leberprobleme haben
- Trinken Sie viel Alkohol (sehr oft oder kurzfristig Alkoholexzesse).
- dehydriert werden (verlieren Sie eine große Menge an Körperflüssigkeiten). Dies kann passieren, wenn Sie mit einem Fieber oder Durchfall krank sind. Dehydration kann auch auftreten, wenn Sie viel mit Aktivität oder Bewegung schwitzen und nicht genügend Flüssigkeiten trinken.
- haben bestimmte Röntgentests mit injizierbaren Farbstoffen oder Kontrastmitteln.
- Machen Sie eine Operation oder ein anderes Verfahren, für das Sie die Menge an Lebensmitteln und Flüssigkeiten einschränken müssen, die Sie essen und trinken.
- eine Herzinsuffizienz haben.
- habe a Herzinfarkt Schwere Infektion oder Schlaganfall.
- sind 65 Jahre oder älter.
Teilen Sie Ihrem Gesundheitsdienstleister mit, ob Sie eines der Probleme in der obigen Liste haben. Sagen Sie Ihrem Gesundheitsdienstleister, dass Sie Synjardy oder Synjardy XR durchführen, bevor Sie Operationen oder Röntgentests durchführen. Ihr Gesundheitsdienstleister muss möglicherweise Ihre Synjardie oder Synjardy XR für eine Weile stoppen, wenn Sie operiert werden oder bestimmte Röntgentests haben. Synjardy oder Synjardy XR können andere schwerwiegende Nebenwirkungen haben. Sehen Sie, was sind die möglichen Nebenwirkungen von Synjardy oder Synjardy XR?
- Diabetische Ketoacidose (erhöhte Ketone in Ihrem Blut oder Urin) bei Menschen mit Typ 1 und anderen Ketoazidose. Verbraucht or Verbraucht XR can cause ketoacidosis that can be life-threatening Und may lead to death. Ketoazidose is a serious condition which needs to be treated in a hospital. People with type 1 diabetes habe a high risk of getting ketoacidosis. People with type 2 diabetes or pancreas problems also habe an increased risk of getting ketoacidosis. Ketoazidose can also happen in people who: are sick cannot eat or drink as usual skip meals are on a diet high in fat Und low in Kohlenhydrate (Ketogene Ernährung) Nehmen Sie weniger als die übliche Menge an Insulin oder Fehlende Insulin -Dosen ein. Trinken Sie zu viel Alkohol. Ketoazidose kann auch dann auftreten, wenn Ihr Blutzucker weniger als 250 mg/dl beträgt. Ihr Gesundheitsdienstleister kann Sie auffordern, ketone in Ihrem Urin oder Blut regelmäßig zu überprüfen.
Hören Sie auf, Synjardy oder Synjardy XR zu nehmen, und rufen Sie Ihren Gesundheitsdienstleister an oder holen Sie sich sofort medizinische Hilfe, wenn Sie die folgenden Informationen erhalten. Wenn möglich, überprüfen Sie nach Ketonen in Ihrem Urin oder Blut auch dann, wenn Ihr Blutzucker weniger als 250 mg/dl beträgt:
- Brechreiz
- Müdigkeit
- Erbrechen
- Probleme beim Atmen
- Schmerzen im Magenbereich (abdominal)
- Ketone in Ihrem Urin oder Blut
- Dehydration. Synjardie oder Synjardy XR können dazu führen, dass manche Menschen dehydriert werden (den Verlust von Körperwasser und Salz). Die Dehydration kann dazu führen, dass Sie schwindelig, schwach und schwach oder schwach, insbesondere wenn Sie aufstehen (orthostatische Hypotonie). Es gab Berichte über eine plötzliche Verschlechterung der Nierenfunktion bei Menschen, die Synjardy oder Synjardy XR einnehmen. Möglicherweise haben Sie ein höheres Dehydratisierungsrisiko, wenn Sie:
- Nehmen Sie Medikamente ein, um Ihren Blutdruck einschließlich Diuretika zu senken (Wasserpillen)
- sind auf einer niedrigen Natrium (Salz-) Diät
- Nierenprobleme haben
- sind 65 Jahre oder älter
Sprechen Sie mit Ihrem Gesundheitsdienstleister darüber, was Sie tun können, um Dehydration zu verhindern, einschließlich der täglichen Trinken, wie viel Flüssigkeit Sie trinken sollten. Rufen Sie Ihren Gesundheitsdienstleister sofort an, wenn Sie die Menge an Nahrung oder Flüssigkeit reduzieren, die Sie trinken, zum Beispiel, wenn Sie krank sind oder nicht essen oder anfangen, Flüssigkeiten aus Ihrem Körper zu verlieren, zum Beispiel durch Erbrechen von Durchfall oder zu lange in der Sonne.
- Scheidenpilzinfektion. Zu den Symptomen einer Vaginalhefe -Infektion gehören:
- Vaginalgeruch
- Weißer oder gelblicher Vaginalausfluss (Ausfluss kann klumpig sein oder wie Hüttenkäse aussehen)
- Vaginaler Juckreiz
- Hefeinfektion der Haut um den Penis (Balanitis oder Balanoposthitis). Es kann sich eine Schwellung eines unbeschnittenen Penis entwickeln, der es schwierig macht, die Haut um die Spitze des Penis zurückzuziehen. Andere Symptome einer Hefeinfektion des Penis sind:
- Rötung Juckreiz oder Schwellung des Penis
- Ausschlag des Penis
- Foul riechende Entladung aus dem Penis
- Schmerzen in der Haut um den Penis
Sprechen Sie mit Ihrem Gesundheitsdienstleister darüber, was zu tun ist, wenn Sie Symptome einer Hefe -Infektion der Vagina oder des Penis erhalten. Ihr Gesundheitsdienstleister kann vorschlagen, dass Sie eine rezeptfreie Antimykotika-Medizin verwenden. Sprechen Sie sofort mit Ihrem Gesundheitsdienstleister, wenn Sie ein rezeptfreies Antimykotika-Medikament verwenden und Ihre Symptome nicht verschwinden.
Was ist Synjardy oder Synjardy XR?
- Verbraucht is a prescription medicine that contains 2 diabetes medicines empagliflozin (JARDIANCE) Und Metformin HCl immediate-release.
- Verbraucht XR is a prescription medicine that contains 2 diabetes medicines empagliflozin (JARDIANCE) Und Metformin HCl extended-release.
- Verbraucht can be used along with diet Und exercise to improve blood sugar (glucose) in adults Und children who are 10 years of age Und older with type 2 diabetes.
- Verbraucht XR can be used along with diet Und exercise to improve blood sugar (glucose) in adults with type 2 diabetes.
- Einer der Medikamente in Synjardy und Synjardy XR Empagliflozin (Jardiance) kann auch bei Erwachsenen mit Typ -2 -Diabetes verwendet werden:
- die kardiovaskuläre Erkrankungen gekannt haben, um das Risiko eines kardiovaskulären Todes zu verringern.
- die eine Herzversagen haben (wenn das Herz nicht genug Blut dem Rest Ihres Körpers pumpen kann), um das Risiko eines kardiovaskulären Todes und Krankenhausaufenthalts bei Herzinsuffizienz zu verringern.
- Verringerung des Risikos einer weiteren Verschlechterung der Nierenerkrankung im Endstadium Nierenerkrankung (ESKD) aufgrund von Herz-Kreislauf-Erkrankungen und Krankenhausaufenthalt bei Erwachsenen mit chronischer Nierenerkrankung.
- Verbraucht or Verbraucht XR is not for use to lower blood sugar (glucose) in people with type 1 diabetes. It may increase their risk of diabetic ketoacidosis (increased ketones in blood or urine).
- Verbraucht or Verbraucht XR is only for use in people with type 2 diabetes because it contains the prescription medicine Metformin HCl.
- Einer der Arzneimittel in Synjardy oder Synjardy XR Empagliflozin (Jardiance) ist nicht für Menschen mit polyzystischer Nierenerkrankung oder in jüngster Zeit bestimmte Arten von immunsuppressiven Therapie zur Behandlung von Nierenerkrankungen. Empagliflozin (Jardiance) wird nicht erwartet, dass sie diese Bedingungen haben.
- Es ist nicht bekannt, ob Synjardie bei Kindern unter 10 Jahren sicher und wirksam ist.
- Es ist nicht bekannt, ob Synjardy XR bei Kindern sicher und wirksam ist.
Wer sollte Synjardy oder Synjardy XR nicht nehmen?
Nehmen Sie keine Synjardy oder Synjardy XR, wenn Sie:
- schwerwiegende Nierenprobleme haben.
- habe a condition called metabolic acidosis or diabetic ketoacidosis (increased ketones in the blood or urine).
- sind allergisch gegen Empagliflozin (Jardiance) Metformin HCl oder einen der Zutaten in Synjardy oder Synjardy XR. Eine vollständige Liste von Zutaten in Synjardy und Synjardy XR finden Sie im Ende dieses Medikamentenleitfadens. Die Symptome einer schwerwiegenden allergischen Reaktion auf Synjardie und Synjardy XR können umfassen:
- Ausschlag
- Erhöhte rote Bereiche auf Ihrer Haut (Nesselsucht)
- Schwellung Ihres Gesichts Lippen Mund und Hals, die Schwierigkeiten beim Atmen oder Schlucken haben kann
Wenn Sie eines dieser Symptome haben, hören Sie auf, Synjardy oder Synjardy XR einzunehmen, und rufen Sie Ihren Gesundheitsdienstleister sofort an oder gehen Sie in die nächstgelegene Notaufnahme des Krankenhauses.
Was soll ich meinem Gesundheitsdienstleister sagen, bevor ich Synjardy oder Synjardy XR einnehme?
Bevor Sie Synjardy oder Synjardy XR einnehmen, teilen Sie Ihrem Gesundheitsdienstleister alle Ihre medizinischen Erkrankungen mit, einschließlich, wenn Sie:
- haben Typ -1 -Diabetes oder hatten diabetische Ketoazidose.
- habe a decrease in your insulin dose.
- habe a serious infection.
- habe a history of infection of the vagina or penis.
- habe a history of amputation.
- Nierenprobleme haben.
- Leberprobleme haben.
- haben Herzprobleme, einschließlich einer Herzinsuffizienz.
- sind 65 Jahre oder älter.
- habe a history of Harnwegsinfektions or problems with urination.
- sind auf einer niedrigen Natrium (Salz-) Diät. Your healthcare provider may change your diet or your dose.
- werden operiert werden. Ihr Gesundheitsdienstleister kann vor Ihrer Operation Ihre Synjardie oder Synjardy XR stoppen. Sprechen Sie mit Ihrem Gesundheitsdienstleister, wenn Sie operiert werden, wann Sie aufhören sollen, Synjardy oder Synjardy XR einzunehmen, und wann Sie erneut beginnen sollen.
- Essen Sie weniger oder es gibt eine Veränderung Ihrer Ernährung.
- sind dehydriert.
- Habe oder hatte Probleme mit deiner Bauchspeicheldrüse, einschließlich einer Pankreatitis oder einer Operation auf deiner Bauchspeicheldrüse.
- Trinken Sie sehr oft Alkohol oder trinken Sie kurzfristig viel Alkohol (Alkoholexzesse).
- Habe jemals eine allergische Reaktion auf Synjardie oder Synjardy XR gehabt.
- erhalten eine Injektion von Farbstoff- oder Kontrastmitteln für ein Röntgenverfahren. Synjardy oder Synjardy XR müssen möglicherweise für kurze Zeit gestoppt werden. Sprechen Sie mit Ihrem Gesundheitsdienstleister darüber, wann Sie Synjardy oder Synjardy XR stoppen sollten und wann Sie erneut mit Synjardy oder Synjardy XR beginnen sollten. Sehen Sie, was die wichtigsten Informationen über Synjardy oder Synjardy XR wissen sollte?
- Haben Sie niedrige Vitamin -B12 -Spiegel im Blut.
- sind schwanger oder planen, schwanger zu werden. Synjardy oder Synjardy XR können Ihrem ungeborenen Baby schaden. Wenn Sie schwanger werden, während Sie Synjardy oder Synjardy XR einnehmen, teilen Sie Ihrem Gesundheitsdienstleister so schnell wie möglich mit. Sprechen Sie mit Ihrem Gesundheitsdienstleister darüber, wie Sie Ihren Blutzucker während der Schwangerschaft am besten kontrollieren können.
- stillen oder planen zu stillen. Synjardy oder Synjardy XR können in Ihre Muttermilch übergehen und Ihrem Baby schaden. Sprechen Sie mit Ihrem Gesundheitsdienstleister darüber, wie Sie Ihr Baby am besten füttern können, wenn Sie Synjardy oder Synjardy XR einnehmen. Stillen Sie nicht, während Sie Synjardy oder Synjardy XR einnehmen.
- sind eine Person, die nicht durchgemacht hat Menopause (vormenopausal), der nicht regelmäßig oder überhaupt keine Perioden hat. Synjardy oder Synjardy XR kann die Freisetzung eines Eies aus einem Eierstock in einer Person (Ovulation) verursachen. Dies kann Ihre Wahrscheinlichkeit erhöhen, schwanger zu werden. Teilen Sie Ihrem Gesundheitsdienstleister sofort mit, wenn Sie schwanger werden, während Sie Synjardy oder Synjardy XR einnehmen.
Teilen Sie Ihrem Gesundheitsdienstleister über alle Medikamente, die Sie einnehmen einschließlich verschreibungspflichtiger und rezeptfreier Medikamente Vitamine und Kräuterpräparate.
Verbraucht or Verbraucht XR may affect the way other medicines work Und other medicines may affect how Verbraucht or Verbraucht XR works. Know the medicines you take. Keep a list of them to show your healthcare provider Und pharmacist when you get a new medicine.
Wie soll ich Synjardy oder Synjardy XR einnehmen?
- Nehmen Sie Synjardy oder Synjardy XR genau so, wie Ihr Gesundheitsdienstleister Ihnen sagt, dass Sie es nehmen sollen.
- Wenn Ihnen Synjardie vorgeschrieben ist:
- Nehmen Sie die Synjardie 2 Mal jeden Tag mit den Mahlzeiten mit dem Mund. Die Einnahme von Synjardie mit den Mahlzeiten kann Ihre Chance auf Magenverstimmung senken.
- Wenn Ihnen Synjardy XR vorgeschrieben ist:
- Nehmen Sie Synjardy XR mit einer Mahlzeit morgens mit einer Mahlzeit am Mund. Die Einnahme von Synjardy XR mit einer Mahlzeit kann Ihre Chance, eine Magenverstimmung zu haben, verringern.
- Synjardy XR Tablets Ganze schlucken. Brechen Sie keinen Crec -Crush -Auflösen oder kauen Sie Synjardy XR -Tabletten. Wenn Sie Synjardy XR -Tablets nicht schlucken können, teilen Sie Ihrem Gesundheitsdienstleister die ganze Zeit aus.
- Möglicherweise sehen Sie etwas, das wie das Synjardy XR -Tablet in Ihrem Stuhl (Darmbewegung) aussieht. Dies ist nicht schädlich und sollte nicht die Art und Weise beeinflussen, wie Synjardy XR Ihren Diabetes steuert.
- Ihr Gesundheitsdienstleister wird Ihnen sagen, wie viel Synjardy oder Synjardy XR zu ergreifen und wann Sie es nehmen sollen. Ihr Gesundheitsdienstleister kann bei Bedarf Ihre Dosis ändern.
- Ihr Gesundheitsdienstleister kann Ihnen sagen, dass Sie Synjardy oder Synjardy XR zusammen mit anderen Diabetes -Medikamenten einnehmen sollen. Niedriger Blutzucker kann häufiger auftreten, wenn Synjardie oder Synjardy XR mit bestimmten anderen Diabetes -Medikamenten eingenommen werden. Sehen Was sind die möglichen Nebenwirkungen von Synjardy oder Synjardy XR?
- Wenn Sie eine Dosis verpassen, nehmen Sie sie so, wie Sie sich erinnern. Wenn es fast Zeit für Ihre nächste Dosis ist, überspringen Sie die verpasste Dosis und nehmen Sie das Medikament zur nächsten regelmäßig geplanten Zeit ein. Nehmen Sie nicht zwei Dosen Synjardy oder Synjardy XR gleichzeitig ein. Sprechen Sie mit Ihrem Gesundheitsdienstleister, wenn Sie Fragen zu einer verpassten Dosis haben.
- Wenn Sie zu viel Synjardie oder Synjardy XR nehmen, rufen Sie Ihren Gesundheitsdienstleister oder Ihre Gifthilfe bei 1-800-222-1222 an oder gehen Sie sofort in die nächste Notaufnahme des Krankenhauses.
- Wenn Sie Synjardy oder Synjardy XR einnehmen, haben Sie möglicherweise Zucker in Ihrem Urin, die bei einem Urintest auftauchen.
- Wenn Ihr Körper unter einigen Arten von Stress wie Fiebertrauma (wie einem Autounfall) steht, kann sich die Menge an Diabetes -Medikamenten ändern, die Sie benötigen. Teilen Sie Ihrem Gesundheitsdienstleister sofort mit, wenn Sie eine dieser Bedingungen haben, und befolgen Sie die Anweisungen Ihres Gesundheitsdienstleisters.
- Ihr Gesundheitsdienstleister kann bestimmte Blutuntersuchungen durchführen, bevor Sie mit Synjardy oder Synjardy XR und während Ihrer Behandlung nach Bedarf beginnen.
Was sollte ich vermeiden, während ich Synjardy oder Synjardy XR einnehme?
Vermeiden Sie es sehr oft, Alkohol zu trinken oder in kurzer Zeit viel Alkohol zu trinken (Alkoholexzesse). Es kann Ihre Chancen erhöhen, ernsthafte Nebenwirkungen zu erzielen.
Was sind die möglichen Nebenwirkungen von Synjardy oder Synjardy XR?
Verbraucht or Verbraucht XR may cause serious side effects including:
- Sehen Was sind die wichtigsten Informationen, die ich über Synjardy oder Synjardy XR wissen sollte?
- Schwere Harnwegsinfektionen. Schwerwiegende Harnwegsinfektionen, die zu einem Krankenhausaufenthalt führen können, haben bei Menschen, die Empagliflozin einnehmen, einen der Medikamente in Synjardy und Synjardy XR einnehmen. Sagen Sie Ihrem Gesundheitsdienstleister, wenn Sie Anzeichen oder Symptome einer Harnwegsinfektion haben, z. B. ein brennendes Gefühl beim Übergeben von Urin. Manchmal haben Menschen auch Fieber -Rückenschmerz Übelkeit oder Erbrechen.
- Niedriger Blutzucker (Hypoglykämie). Bei Erwachsenen, wenn Sie Synjardy oder Synjardy XR mit einem anderen Medikament einnehmen, das einen niedrigen Blutzucker wie Sulfonylharnstoff oder Insulin verursachen kann, ist Ihr Risiko, niedrig Blutzucker zu bekommen, höher. Bei Kindern zehn Jahre und älter ist das Risiko für niedrige Blutzucker mit Synjardie höher, selbst wenn Sie kein anderes Medikament verwenden, das auch den Blutzucker senken kann. Die Dosis Ihrer Sulfonylharnstoffmedizin oder Insulin muss möglicherweise gesenkt werden, während Sie Synjardy oder Synjardy XR einnehmen.
Anzeichen und Symptome von niedrigem Blutzucker können umfassen:
- Kopfschmerzen
- Reizbarkeit
- Verwirrung
- Schwindel
- Schläfrigkeit
- Hunger
- zittern oder sich nervös fühlen
- Schwitzen
- Schwäche
- Schneller Herzschlag
- Eine seltene, aber schwerwiegende bakterielle Infektion, die das Gewebe unter der Haut (nekrotisierende Fasziitis) im Bereich zwischen und um die Anus und Genitalien (Perineum) schädigt. Die nekrotisierende Fasziitis des Perineums ist bei Menschen aufgetreten, die Empagliflozin eines der Medikamente in Synjardy und Synjardy XR einnehmen. Eine nekrotisierende Fasziitis des Perineums kann zu einem Krankenhausaufenthalt führen, kann mehrere Operationen erfordern und zum Tod führen. Suchen Sie sich sofort medizinische Hilfe, wenn Sie Fieber haben oder sich sehr schwach müde oder unangenehm fühlen (Unwohlsein) und Sie entwickeln eine der folgenden Symptome in dem Bereich zwischen und um Ihren Anus und Ihre Genitalien:
- Schmerz oder Zärtlichkeit
- Schwellung
- Rötung der Haut (Erythem)
- Amputationen. SGLT2 -Inhibitoren können Ihr Risiko für Amputationen der unteren Gliedmaßen erhöhen.
- Sie können ein höheres Risiko für eine Amputation der unteren Extremitäten haben, wenn Sie:
- habe a history of amputation
- Hab blockiert oder verengte Blutgefäße normalerweise in Ihrem Bein
- Habe diabetische Fuß -Infektionsgeschwüre oder Wunden gehabt
Rufen Sie Ihren Gesundheitsdienstleister sofort an, wenn Sie neue Wunden oder Infektionen in Ihrem Bein oder Fuß haben. Sprechen Sie mit Ihrem Gesundheitsdienstleister über die richtige Fußpflege.
- Schwerwiegende allergische Reaktionen. Wenn Sie Symptome einer schwerwiegenden allergischen Reaktion haben, hören Sie auf, Synjardy oder Synjardy XR einzunehmen, und rufen Sie Ihren Gesundheitsdienstleister sofort an oder gehen Sie in die nächstgelegene Notaufnahme des Krankenhauses. Sehen Sie, wer Synjardy oder Synjardy XR nicht nehmen sollte.
- Niedriger Vitamin B12 (Vitamin B12 -Mangel). Die Verwendung von Metformin für lange Zeiträume kann zu einer Abnahme der Menge an Vitamin B12 in Ihrem Blut führen, insbesondere wenn Sie zuvor einen niedrigen Vitamin -B12 -Blutspiegel hatten. Ihr Gesundheitsdienstleister kann Blutuntersuchungen durchführen, um Ihren Vitamin B12 -Spiegel zu überprüfen.
Zu den häufigsten Nebenwirkungen von Synjardy oder Synjardy XR gehören:
- Niedriger Blutzucker
- Gas
- Harnwegsinfektions
- Magenbeschwerden
- stickige oder laufende Nase und Halsschmerzen
- Verdauungsstörungen
- Hefeinfektionen bei Frauen
- Schwäche
- Durchfall
- Kopfschmerzen
- Brechreiz or Erbrechen
Dies sind nicht alle möglichen Nebenwirkungen von Synjardy oder Synjardy XR. Weitere Informationen finden Sie in Ihrem Gesundheitsdienstleister oder Apotheker.
Rufen Sie Ihren Arzt an, um medizinische Beratung zu Nebenwirkungen zu erhalten. Sie können die FDA bei 1-800-FDA-1088 Nebenwirkungen melden.
Wie soll ich Synjardy oder Synjardy XR speichern?
- Synjardy oder Synjardy XR bei Raumtemperatur zwischen 68 ° F und 77 ° C bis 25 ° C) speichern.
- Halten Sie Synjardy oder Synjardy XR und alle Medikamente außerhalb der Reichweite der Kinder.
Allgemeine Informationen über die sichere und effektive Verwendung von Synjardy oder Synjardy XR.
Medikamente werden manchmal für andere Zwecke als die in einem Medikamentenhandbuch aufgeführten Zwecke verschrieben. Verwenden Sie keine Synjardy oder Synjardy XR für eine Erkrankung, für die sie nicht verschrieben wurde. Geben Sie anderen Menschen keine Synjardy oder Synjardy XR an, auch wenn sie die gleichen Symptome haben, die Sie haben. Es kann ihnen schaden.
Hotels in New Orleans
Sie können Ihren Apotheker oder Gesundheitsdienstleister um Informationen über Synjardy oder Synjardy XR bitten, die für Angehörige der Gesundheitsberufe geschrieben wurden.
Was sind die Zutaten in Synjardie?
Wirkstoffe: Empagliflozin und Metformin HCL
Inaktive Zutaten: kolloidales Siliziumdioxid Copovidon Maisstärke und Magnesiumstearat. Darüber hinaus enthält die Filmbeschichtung die folgenden inaktiven Inhaltsstoffe: Hypromellose Polyethylenglykol 400 Talk und Titandioxid. 5 mg/500 mg und 5 mg/1000 mg Tabletten enthalten auch Eisenoxidgelb. 12,5 mg/500 mg und 12,5 mg/1000 mg Tabletten enthalten auch schwarzes Ferrosofen -Oxid und Eisenoxidrot.
Was sind die Zutaten in Synjardy XR?
Wirkstoffe: Empagliflozin und Metformin HCL
Inaktive Zutaten: Der Tablettenkern enthält: Hypromellose -Magnesiumstearat und Polyethylenoxid. Die Filmbeschichtungen und Drucktinte enthalten: Carnuba Wax FD
Dieser Medikamentenführer wurde von der US -amerikanischen Food and Drug Administration zugelassen.