Die Informationen Auf Dieser Website Stellen Keine Medizinische Beratung Dar. Wir Verkaufen Nichts. Die Richtigkeit Der Übersetzung Wird Nicht Garantiert. Haftungsausschluss

Timoptic-xe

Drogenzusammenfassung

Was ist Timoptic XE?

Timoptisch -XE (Timolol Maleate Ophthalmic-Lösung) ist ein Beta-Blocker zur Behandlung von Glaukomen mit offenem Winkel und andere Ursachen für den hohen Druck im Auge. Timoptic-xe ist in erhältlich generisches bilden.

Was sind Nebenwirkungen von Timoptic XE?

Timoptisch-XE may cause serious side effects including:

  • Nesselsucht
  • Schwierigkeiten beim Atmen
  • Schwellung Ihrer Gesichtslippen Zunge oder Hals
  • Keuchen
  • Brustschmerzen
  • langsame Herzschläge
  • Benommenheit
  • Muskelschwäche
  • Depression
  • Verwirrung
  • Halluzinationen
  • ungewöhnliche Gedanken oder Verhalten
  • Taubheit oder kaltes Gefühl in Ihren Händen und Füßen
  • schweres Stechen oder Verbrennen nach der Verwendung des Medikaments
  • Augenschwellung
  • Rötung oder schweres Unbehagen der Augen
  • Krusten oder Entwässerung des Auges
  • verschwommenes Sehen
  • Tunnelsicht
  • Augenschmerzen und
  • Halos um das Licht herum sehen

Holen Sie sich sofort medizinische Hilfe, wenn Sie eines der oben aufgeführten Symptome haben.



Zu den häufigen Nebenwirkungen von Timoptic-XE gehören:

  • vorübergehende Vision
  • doppelte Vision
  • Blättertes Augenlid
  • vorübergehendes Verbrennen/Stechen/Juckreiz/Rötung des Auges
  • wässrige Augen
  • Trockene Augen
  • Ich fühle mich, als ob etwas im Auge ist
  • Kopfschmerzen
  • Schwäche
  • Schwindel
  • Schläfrigkeit
  • Taubheit/Kribbeln/kaltes Gefühl in Ihren Händen oder Füßen
  • in den Ohren klingeln
  • Trockener Mund
  • Brechreiz
  • Durchfall
  • Appetitverlust
  • Magenverstimmung
  • Hautausschlag oder Verschlechterung
  • Schuppenflechte
  • Schlafprobleme (Schlaflosigkeit)
  • Husten oder
  • verstopfte Nase

Suchen Sie medizinische Versorgung oder rufen Sie auf einmal 911 an, wenn Sie die folgenden schwerwiegenden Nebenwirkungen haben:

  • Schwerwiegende Augensymptome wie plötzlicher Sehverlust verschwommenes Sehen Tunnel Sehschmerzen oder Schwellungen oder Halos in der Umgebung des Lichts;
  • Schwerwiegende Herzsymptome wie schnelle unregelmäßige oder pochende Herzschläge; Flattern in deiner Brust; Kurzatmigkeit; und plötzliche Schwindel -Benommenheit oder ohnmächtig;
  • Starke Kopfschmerzen Verwirrung verwirrt Spracharm oder Bein Schwäche Schwierigkeiten beim Verlust der Koordination unstabil sehr steifes Muskeln hoher Fieber problemlos Schwitzen oder Zittern.

Dieses Dokument enthält nicht alle möglichen Nebenwirkungen und andere können auftreten. Wenden Sie sich an Ihren Arzt nach zusätzlichen Informationen zu Nebenwirkungen.

Dosierung für Timoptic XE

Die Dosis von Timoptic-XE beträgt einmal täglich einen Abfall (entweder 0,25% oder 0,5%).

Welche Medikamentensubstanzen oder Nahrungsergänzungsmittel interagieren mit Timoptic XE?

Timoptisch-XE may interact with clonidine quinidine reserpine digitalis Acetazolamid Dichlorphenamid Methazolamid orales Timolol Andere Beta-Blocker-Calciumkanalblocker oder Antidepressiva. Sagen Sie Ihrem Arzt alle Medikamente und Nahrungsergänzungsmittel, die Sie verwenden.

Timoptisch XE During Schwangerschaft or Breastfeeding

Timoptisch-XE should be used only when prescribed during pregnancy. This drug passes into breast milk. Consult your doctor before breastfeeding.

Weitere Informationen

Unser Nebenwirkungen des Timoptic-XE (Timolol Maleate) bietet einen umfassenden Überblick über die verfügbaren Arzneimittelinformationen über die potenziellen Nebenwirkungen bei der Einnahme dieses Medikaments.

FDA -Drogeninformationen

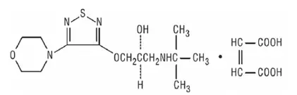
Beschreibung für Timoptic-xe

Timoptic-Xe® (Timolol Maleate Ophthalmic Gel Forming-Lösung) ist ein nicht selektives Beta-adrenerge Rezeptor-Blockiermittel. Sein chemischer Name ist (-)-1- (tert-butylamino) -3 [(4-Morpholino-125-Thiadiazol-3-yl) Oxy] -2-Propanol Maleate (1: 1) (Salz). Timolol Maleate besitzt ein asymmetrisches Kohlenstoffatom in seiner Struktur und wird als Levo-Isomer bereitgestellt. Die optische Rotation von Timolol Maleate beträgt:

Seine molekulare Formel ist c 13 H 24 N 4 O 3 SC 4 H 4 O 4 und seine strukturelle Formel lautet:

Timolol Maleate hat ein Molekulargewicht von 432,50. Es ist ein weißes, geruchloses kristallines Pulver, das in Wassermethanol und Alkohol löslich ist.

Die sterile ophthalmische Gelformlösung von Timoptic-Xe wird als sterile isotonische gepufferte wässrige Lösung von Timolol Maleat in zwei Dosierungsstärken geliefert. Der pH-Wert der Lösung beträgt ungefähr 7,0 und die Osmolarität beträgt 260-330 MOSM. Jede ml timoptisch-xe 0,25% enthält 2,5 mg Timolol (NULL,4 mg Timolol Maleate). Jede ml timoptisch-xe 0,5% enthält 5 mg Timolol (NULL,8 mg Timolol Maleate). Inaktive Zutaten: Gellan Gum Tromethamin Mannitol und Wasser zur Injektion. Konservierungsmittel: Benzododecinium -Bromid 0,012%.

Ist Clonidin ein Calciumkanalblocker

Die Gelformlösung enthält ein gereinigtes anionisches Heteropolysaccharid, das aus Gellan -Kaugummi stammt. Eine wässrige Lösung von Gellangummi in Gegenwart eines Kationen hat die Fähigkeit zu Gel. Nach dem Kontakt mit dem vorgefertigten Tränenfilm bildet Timoptic-XE ein Gel, das anschließend durch den Tränenfluss entfernt wird.

Verwendet für Timoptic-XE

Die sterile ophthalmische Gelformungslösung von Timoptic-Xe ist bei der Behandlung des erhöhten intraokularen Drucks bei Patienten mit Augenhypertonie oder offenem Winkelglaukom angegeben.

Dosierung für Timoptic-xe

Die Patienten sollten angewiesen werden, den geschlossenen Behälter umzukehren und einmal vor jeder Verwendung zu schütteln. Es ist nicht notwendig, den Behälter mehr als einmal zu schütteln. Andere topisch angewandte Augenmedikamente sollten mindestens 10 Minuten vor Timopticxe verabreicht werden [siehe VORSICHTSMASSNAHMEN Patienteninformationen Und begleitend Anweisungen zur Verwendung ].

Die sterile ophthalmische Gelformungslösung von Timoptic-Xe ist in Konzentrationen von 0,25% und 0,5% erhältlich. Die Dosis ist ein Tropfen Timoptic-XE (entweder 0,25% oder 0,5%) im betroffenen Auge (n) einmal täglich.

Da bei einigen Patienten die drucksenkende Reaktion auf Timoptic-XE möglicherweise einige Wochen benötigt, um die Bewertung zu stabilisieren, müssen nach ungefähr 4 Wochen Behandlung mit Timoptic-XE die Bestimmung des intraokularen Drucks enthalten. Dosierungen, die mehr als ein Tropfen von 0,5% Timoptik-XE einmal täglich untersucht wurden. Wenn der intraokulare Druck des Patienten auf dieser Regime -gleichzeitigen Therapie immer noch nicht zufriedenstellend ist. Die gleichzeitige Verwendung von zwei topischen Beta-adrenergen Blockierern wird nicht empfohlen [siehe VORSICHTSMASSNAHMEN Wechselwirkungen mit Arzneimitteln Beta-adrenerge Blocker ].

Wenn Patienten mit Timoptikum zweimal täglich auf Timoptic-XE verabreicht wurden, die einmal täglich verabreicht wurden, ist der bleuternsive Effekt der Augen und ist konsistent geblieben.

Wie geliefert

Timoptic-Xe® (Timolol Maleate Ophthalmic Gel forming-Lösung) ist eine farblose bis nahezu farblose, leicht opaleszierende und leicht viskose Lösung.

Timoptic-Xe® (Timolol Maleate Ophthalmic Gel forming-Lösung) 0,25% Das Timolol -Äquivalent wird in einem weißen Polyethylen (LDPE) mit niedriger Dichte mit einer kontrollierten Tropfenspitze und einer gelben Polypropylenkappe wie folgt geliefert:

NDC 24208-814-25 5 ml in einer Kapazitätsflasche von 7,5 ml.

Yohimbe Power Max 2000 Nebenwirkungen

Timoptic-Xe® (Timolol Maleate Ophthalmic Gel forming-Lösung) 0,5% Das Timolol -Äquivalent wird in einem weißen Polyethylen (LDPE) mit niedriger Dichte mit einer kontrollierten Tropfenspitze und einer gelben Polypropylenkappe wie folgt geliefert:

NDC 24208-816-05 5 mL in a 7.5 mL capacity bottle.

Lagerung

Lagern Sie bei 59-77 ° F (15-25 ° C). Einfrieren vermeiden . Vor Licht schützen.

Verteilt von: Bausch Lomb Eine Abteilung von Valeant Pharmaceuticals North America LLC Bridgewater NJ 08807 USA.

Nebenwirkungen for Timoptisch-XE

In klinischen Studien wurde bei etwa einer von drei Patienten (30 Sekunden bis 5 Minuten) über ein übersichtliches unscharfes Sehen bei der Instillation des Tropfens berichtet. Weniger als 1% der Patienten stellten aufgrund eines verschwommenen Sehens aus den Studien ab. Die Häufigkeit von Patienten, die nach Verbrennen und Stechen bei der Instillation meldeten, war zwischen Timoptic-XE und Timoptik (ungefähr jeder von acht Patienten) vergleichbar.

In 1-5% der Patienten berichtete unerwünschte Erfahrungen waren:

Okular: Schmerzkonjunktivitis -Entladung (z. B. Krusten) Fremdkörperempfindungen Juckreiz und Risse;

Systemisch: Kopfschmerzen Schwindel und Infektionen der oberen Atemwege.

Die folgenden zusätzlichen nachteiligen Erfahrungen wurden mit der Verabreichung dieser oder anderer Timolol -Maleat -Formulierungen berichtet:

Körper als Ganzes

Asthenie/Müdigkeit und Brustschmerzen.

Herz -Kreislauf

Bradykardie Arrhythmie Hypotonie Hypertonie Synkope Herzblock Block zerebraler Gefäßunfall zerebrale Ischämie Herzversagen verschlechtert von Angina pectoris Herzstillstand Herzstillstand Lungenödem Ödeme Ödeme -Claudicatik -Phänomen sowie kalte Hände und Füße.

Verdauungs

Übelkeit Durchfalldyspepsie Magersucht und trockener Mund.

Immunologisch

Systemischer Lupus erythematodes.

Nervensystem/psychiatrisch

Erhöhung der Anzeichen und Symptome von Myasthenia gravis Parästhesie Schläfrigkeit Insomnia Albträume Verhaltensänderungen und psychische Störungen einschließlich Depressionsverwirrung Halluzinationen Angstherientierung Nervosität und Gedächtnisverlust.

Haut

Alopezie und Psoriasiformen oder Verschlimmerung der Psoriasis.

Überempfindlichkeit

Anzeichen und Symptome systemischer allergischer Reaktionen, einschließlich Anaphylaxie -Angioödem -Urtikaria, lokalisierter und verallgemeinerter Ausschlag.

Atemweg

Bronchospasmus (vorwiegend bei Patienten mit bereits bestehender bronchospastischer Erkrankung) Atemversagen Dyspnoe Nasenstauhusten und Infektionen der oberen Atemwege.

Endokrin

Maskierte Symptome einer Hypoglykämie bei diabetischen Patienten [siehe Warnungen ].

Besondere Sinne

Anzeichen und Symptome einer Augenreizung, einschließlich Blepharitis -Keratitis und trockenen Augen; Ptosis; verringerte Hornhautempfindlichkeit; zystoides Makulaödem; visuelle Störungen einschließlich Brechungsänderungen und Diplopie; Pseudopemphigoid; Ablösung der Aderung nach Filtrationsoperation [siehe VORSICHTSMASSNAHMEN Allgemein ]; und Tinnitus.

Urogenital

Die retroperitoneale Fibrose verringerte die Libido -Impotenz und die Peyronie -Krankheit. Die folgenden zusätzlichen nachteiligen Effekte wurden in klinischer Erfahrung mit oralem Timolol-Maleat oder anderen oralen Beta-Blockierungsmitteln berichtet und können als potenzielle Auswirkungen von ophthalmischem Timolol Maleate angesehen werden: Allergisch: Erythematöse Hautausschlagfieber in Kombination mit schmerzenden und schmerzenden Laryngospasm mit Atemmut mit Atemwälz; Körper als Ganzes: Extremitätsschmerzen verringerten die Gewichtsverlust der Bewegungstoleranz; Herz -Kreislauf: Verschlechterung der arteriellen Insuffizienzvasodilatation; Verdauung: Magen -Darm -Schmerz Hepatomegalie erbrechen mesenterische arterielle Thrombose Ischämische Kolitis; Hämatologisch: Nicht -Thrombozytopenische Purpura -Thrombozytopenische Purpura -Agranulozytose; Endokrine: Hyperglykämie -Hypoglykämie; Haut: Pruritus -Hautreizung erhöhte Pigmentierschwitzen; Bewegungsapparat: Arthralgie; Nervensystem/psychiatrisch: Schwindel lokale Schwäche verringerte die reversible mentale Depression, die sich nach Katatonie entwickelt, ein akutes reversibles Syndrom, das durch Desorientierung für Zeit und platzieren emotionale Labilität leicht getrübtes Sensorium gekennzeichnet und die Leistung der Neuropsychometrie verringert; Atemwege: Bronchiale Obstruktion ralten; Urogenital: Urinschwierigkeiten.

Wechselwirkungen mit Arzneimitteln for Timoptisch-XE

Beta-adrenerge Blocker

Patienten, die oral und timoptisch-XE ein Beta-adrenerge Blockierungsmittel erhalten, sollten für potenzielle additive Wirkungen von Beta-Blockade sowohl systemisch als auch auf den intraokularen Druck beobachtet werden. Die gleichzeitige Verwendung von zwei topischen Beta-adrenergen Blockierern wird nicht empfohlen.

Kalziumantagonisten

Bei der gleichzeitigen Verabreichung von Beta-adrenergen Blockierern wie timoptisch-XE und oralen oder intravenösen Calcium-Antagonisten sollte aufgrund möglicher atrioventrikulärer Leitungsstörungen links ventrikuläres Versagen oder Hypotonie eine mögliche Verabreichung von Beta-adrenergen Blockern verwendet werden. Bei Patienten mit beeinträchtigter Herzfunktion sollte die gleichzeitige Verabreichung vermieden werden.

Catecholamin-Abnahme-Medikamente

Eine genaue Beobachtung des Patienten wird empfohlen, wenn ein Beta-Blocker an Patienten verabreicht wird, die Catecholamin-Abstandsmedikamente wie Reserpin aufgrund möglicher additiver Effekte und der Produktion von Hypotonie und/oder ausgeprägter Bradykardie erhalten, die zu einer Schwindel-Synkope oder einer Hypotonie des Haltens führen können.

Digitalis- und Calcium -Antagonisten

Die gleichzeitige Verwendung von Beta-adrenergen Blockierern mit Digitalis- und Calciumantagonisten kann additive Wirkungen haben, um die atrioventrikuläre Leitungszeit zu verlängern.

CYP2D6 -Inhibitoren

Während der kombinierten Behandlung mit CYP2D6-Inhibitoren (z. B. Chinidin-SSRIs) und Timolol wurde potenzierte systemische Beta-Blockade (z. B. eine verminderte Herzfrequenzdepression) berichtet.

Clonidin

Orale Beta-adrenerge Blockiermittel können den Abprallerhypertonie verschärfen, der dem Entzug von Klonidin folgen kann. Es gab keine Berichte über eine Verschärfung der Abprallerhypertonie mit ophthalmischer Timolol Maleate.

Injizierbares Epinephrin

[Sehen VORSICHTSMASSNAHMEN Allgemein Anaphylaxie ]

Warnungen for Timoptisch-XE

Wie bei vielen topisch angewandten Augenmedikamenten wird dieses Medikament systemisch absorbiert. Die gleichen nachteiligen Reaktionen, die bei der systemischen Verabreichung von Betaadrenerg -Blockierern auftreten können, können bei der topischen ophthalmischen Verabreichung auftreten. Beispielsweise wurden schwerwiegende Atemreaktionen und Herzreaktionen einschließlich des Todes aufgrund von Bronchospasmus bei Patienten mit Asthma und selten Todesstürmen in Verbindung mit Herzversagen berichtet, nachdem systemische oder ophthalmische Verabreichung von Timolol Maleate [siehe Kontraindikationen ].

Herzversagen

Die sympathische Stimulation kann für die Unterstützung der Kreislauf bei Personen mit verminderter Myokardkontraktilität von wesentlicher Bedeutung sein, und ihre Hemmung durch Beta-adrenerge Rezeptorblockade kann zu einem stärkeren Versagen führen. Bei Patienten ohne Herzversagen, die die Depression des Myokards mit Beta-Blockierungsmitteln über einen bestimmten Zeitraum hinweg fortgesetzt werden, kann dies in einigen Fällen zu Herzversagen führen. Beim ersten Anzeichen oder Symptom eines Herzversagens sollte Timoptic-XE abgesetzt werden.

Obstruktive Lungenerkrankung

Patienten mit chronisch obstruktiver Lungenerkrankung (z. B. chronisch Bronchitis-Emphysem) von leichten oder mittelschweren Schweregrad-Bronchospastikerkrankungen oder einer Vorgeschichte von bronchospastischen Erkrankungen (außer bronchialen Asthma oder einer Vorgeschichte von Bronchialasthma, bei dem Timoptic-XE kontraindiert wird [siehe [siehe) [siehe Kontraindikationen ] Sollte im Allgemeinen keine Beta-Blocker einschließlich Timoptik-XE empfangen.

Hauptoperation

Die Notwendigkeit oder Wünschbarkeit des Rückzugs von Beta-adrenergen Blockierern vor der größeren Operation ist umstritten. Beta-adrenerge Rezeptorblockade beeinträchtigt die Fähigkeit des Herzens, auf Beta-adrenergisch vermittelte Reflexstimuli zu reagieren. Dies kann das Risiko einer Vollnarkose bei chirurgischen Eingriffen verstärken. Einige Patienten, die Betaadrenergen -Rezeptor -Blocker erhielten, haben während der Anästhesie eine langwierige schwere Hypotonie erlebt. Es wurde auch Schwierigkeiten beim Neustart und Aufrechterhalten des Herzschlags berichtet. Aus diesen Gründen bei Patienten, die sich einer elektiven Operation unterziehen, empfehlen einige Behörden einen allmählichen Rückzug von Beta-adrenergen Rezeptorblockern. Bei Bedarf während der Operation können die Auswirkungen von Beta-adrenergen Blockern durch ausreichende Dosen adrenerge Agonisten umgekehrt werden.

Diabetes mellitus

Beta-adrenerge Blocker should be administered with caution in patients subject to spontaneous hypoglycemia or to diabetic patients (especially those with labile diabetes) who are receiving insulin or oral hypoglycemic agents. Beta-adrenergic receptor blocking agents may mask the signs Und symptoms of acute hypoglycemia.

Thyrotoxikose

Beta-adrenerge Blocker may mask certain clinical signs (e.g. tachycardia) of hyperthyroidism. Patients suspected of developing thyrotoxicosis should be managed carefully to avoid abrupt withdrawal of beta-adrenergic blocking agents that might precipitate a thyroid storm.

Vorsichtsmaßnahmen for Timoptisch-XE

Allgemein

Aufgrund der möglichen Auswirkungen von Beta-adrenergen Blockierern auf den Blutdruck und der Puls sollten diese Mittel bei Patienten mit zerebrovaskulärer Insuffizienz mit Vorsicht verwendet werden. Wenn Anzeichen oder Symptome, die auf einen verringerten zerebralen Blutfluss hinweisen, nach Beginn der Therapie mit einer alternativen Therapie mit Timoptic-XE auftreten, sollten sie berücksichtigt werden.

Es gab Berichte über bakterielle Keratitis im Zusammenhang mit der Verwendung von Mehrdosisbehältern topischer ophthalmischer Produkte. Diese Behälter waren versehentlich von Patienten kontaminiert worden VORSICHTSMASSNAHMEN Patienteninformationen ].

Natrium -Edetat

Die Ablösung von Choroid nach Filtrationsverfahren wurde unter Verabreichung einer wässrigen Suppressiva (z. B. Timolol) berichtet.

Winkelverschlussglaukom

Bei Patienten mit Winkelverschlussglaukom besteht das unmittelbare Ziel der Behandlung darin, den Winkel wieder zu öffnen. Dies kann die Pupille einschränken. Timolol Maleate hat kaum oder gar keine Auswirkungen auf den Schüler. Timoptic-XE sollte nicht allein bei der Behandlung des Winkelverschlussglaukoms verwendet werden.

Anaphylaxie

Bei der Einnahme von Beta-Blockern-Patienten mit Atopie oder einer Vorgeschichte schwerer anaphylaktischer Reaktionen auf eine Vielzahl von Allergenen kann auf wiederholte versehentliche diagnostische oder therapeutische Herausforderung mit solchen Allergenen reaktiv sein. Solche Patienten reagieren möglicherweise nicht auf die üblichen Dosen von Adrenalin, die zur Behandlung von anaphylaktischen Reaktionen verwendet werden.

Muskelschwäche

Es wurde berichtet, dass die beta-adrenerge Blockade die Muskelschwäche im Einklang mit bestimmten myasthenischen Symptomen (z. B. Diplopie-Ptosis und verallgemeinerte Schwäche) potenziert. Timolol wurde selten berichtet, dass bei einigen Patienten mit Myasthenia gravis oder myasthenischen Symptomen die Muskelschwäche erhöht wurde.

Informationen für Patienten

Die Patienten sollten angewiesen werden, dass die Spitze des Abgabebehälters nicht das Auge oder die umgebenden Strukturen in Kontakt tritt.

Die Patienten sollten auch angewiesen werden, dass Augenlösungen bei unsachgemäßer Handhabung oder wenn die Spitze des Abgabebehälters das Auge oder die umgebenden Strukturen kontaminiert werden können, durch gemeinsame Bakterien, von denen bekannt ist, dass sie Augeninfektionen verursachen. Eine schwerwiegende Schädigung des Auges und des anschließenden Sehverlusts kann durch die Verwendung kontaminierter Lösungen resultieren [siehe VORSICHTSMASSNAHMEN Allgemein ].

Den Patienten sollte auch darauf hingewiesen werden, dass sie, wenn sie eine Augenoperation haben oder einen intercurrenten Augenerkrankung (z. B. Trauma oder Infektion) entwickeln, sofort die Ratschläge ihres Arztes bezüglich der fortgesetzten Verwendung des vorliegenden Multidose -Behälters einholen sollten.

Die Patienten sollten angewiesen werden, den geschlossenen Behälter umzukehren und einmal vor jeder Verwendung zu schütteln. Es ist nicht notwendig, den Behälter mehr als einmal zu schütteln.

Patienten, die begleitende topische Ophthalmedikamente benötigen, sollten angewiesen werden, diese mindestens 10 Minuten vor dem Einbringen von Timoptic-XE zu verabreichen.

Patienten mit bronchialen Asthma Eine Vorgeschichte von Bronchial -Asthma schwerer chronisch obstruktiver Lungenerkrankung Sinus Bradykardie zweiter oder dritten Grades atrioventrikulärer Block oder Herzversagen sollte empfohlen werden, dieses Produkt nicht einzunehmen [siehe Kontraindikationen ].

Transientes verschwommenes Sehen, der im Allgemeinen von 30 Sekunden bis 5 Minuten nach der Instillation und potenzielle Sehstörungen dauert, können die Fähigkeit beeinträchtigen, gefährliche Aufgaben wie Betriebsmaschinen oder das Fahren eines Kraftfahrzeugs auszuführen.

Karzinogenese -Mutagenese -Beeinträchtigung der Fruchtbarkeit

In einer zweijährigen Studie über Timolol Maleat, die Ratten oral verabreicht wurde, gab es einen statistisch signifikanten Anstieg der Inzidenz von Nebennieren-Phäochromozytomen bei männlichen Ratten, die 300 mg/kg/Tag verabreicht wurden (ungefähr 42000-mal die systemische Exposition nach dem maximal empfohlenen menschlichen Ophthalmic-Dosis). Ähnliche Unterschiede wurden bei Ratten nicht beobachtet, die orale Dosen verabreichten, die ungefähr 14000 -mal die maximal empfohlene menschliche ophthalmische Dosis entspricht.

In einer lebenslangen oralen Studie an Mäusen gab es statistisch signifikante Zunahme der Inzidenz von gutartigen und malignen Lungentumoren gutartiger Uteruspolypen und Brustadenokarzinome bei weiblichen Mäusen bei 500 mg/kg/Tag (ungefähr 71000 mal die systemische Exposition nach dem Maximum, das nach dem Maximum empfohlen wurde. zeitlich die systemische Exposition nach der maximal empfohlenen menschlichen Augendosis). In einer nachfolgenden Studie an weiblichen Mäusen, in denen die Untersuchungen nach dem Mortem auf die Gebärmutter beschränkt waren, und die Lunge wurde ein statistisch signifikanter Anstieg der Inzidenz von Lungentumoren bei 500 mg/kg/Tag erneut beobachtet.

Das erhöhte Auftreten von Brustadenokarzinomen war mit Erhöhungen des Serumprolaktins assoziiert, die bei weiblichen Mäusen auftraten, die orales Timolol mit 500 mg/kg/Tag verabreicht wurden, jedoch nicht bei oralen Dosen von 5 oder 50 mg/kg/Tag. Eine erhöhte Inzidenz von Brustadenokarzinomen bei Nagetieren wurde mit der Verabreichung mehrerer anderer therapeutischer Mittel in Verbindung gebracht, die Serumprolaktin erhöhen, aber beim Menschen wurde keine Korrelation zwischen Serumprolaktinspiegeln und Brusttumoren festgestellt.

Darüber hinaus gab es bei erwachsenen menschlichen weiblichen Probanden, die orale Dosierungen von bis zu 60 mg Timolol -Maleate erhielten (die maximal empfohlene orale Dosierung des Menschen), keine klinisch aussagekräftigen Veränderungen im Serumprolaktin.

Timolol Maleate war beim Testen kein mutagenes Potential vergeblich (Maus) im Mikronukleus -Test und im zytogenetischen Assay (Dosen von bis zu 800 mg) und in vitro In einem neoplastischen Zelltransformationsassay (bis zu 100 mcg/ml). In AMES -Tests waren die höchsten Konzentrationen von Timolol 5000 oder 10000 mcg/Platte mit statistisch signifikanten Erhöhungen der mit Tester Dehnung TA 100 beobachteten Revertants verbunden, nicht jedoch in den verbleibenden drei Stämmen. In den Assays mit Tester -Stamm TA 100 wurde keine konsistente Dosisantwortbeziehung beobachtet, und das Verhältnis von Test zur Kontrolle von Revertants erreichte nicht 2. Ein Verhältnis von 2 wird normalerweise als das Kriterium für einen positiven AMES -Test angesehen.

Reproduktions- und Fruchtbarkeitsstudien bei Ratten zeigten keinen nachteiligen Einfluss auf die männliche oder weibliche Fruchtbarkeit bei Dosen bis zu 21000 -mal die systemische Exposition nach der maximal empfohlenen menschlichen Ophthalmusendosis.

Schwangerschaft

Teratogene Wirkungen

Teratogenitätsuntersuchungen mit Timolol bei Mäusenratten und Kaninchen in oralen Dosen von bis zu 50 mg/kg/Tag (7000 -mal die systemische Exposition nach der maximal empfohlenen menschlichen Ophthalmiedosis) zeigten keine Hinweise auf fetale Fehlbildungen. Obwohl bei dieser Dosis bei Ratten eine verzögerte fetale Ossifikation beobachtet wurde, gab es keine nachteiligen Auswirkungen auf die postnatale Entwicklung von Nachkommen. Dosen von 1000 mg/kg/Tag (142000 -mal die systemische Exposition nach der maximal empfohlenen menschlichen ophthalmischen Dosis) waren bei Mäusen mütterlich und führten zu einer erhöhten Anzahl fetaler Resorptionen. Erhöhte fetale Resorptionen wurden auch bei Kaninchen in Dosen von 14000 -fachen der systemischen Exposition nach der maximal empfohlenen menschlichen Ophthalmusendosis in diesem Fall ohne offensichtliche mütterliche mütterliche Mütterlichkeit beobachtet.

Hotel in Australien Sydney

Es gibt keine angemessenen und gut kontrollierten Studien bei schwangeren Frauen. Timoptic-XE sollte während der Schwangerschaft nur angewendet werden, wenn der potenzielle Nutzen das potenzielle Risiko für den Fötus rechtfertigt.

Pflegemütter

Timolol Maleate wurde nach oraler und ophthalmischer Arzneimittelverabreichung in Muttermilch nachgewiesen. Aufgrund des Potenzials für schwerwiegende Nebenwirkungen von Timopticxe bei Säuglingen sollte eine Entscheidung getroffen werden, ob die Pflege eingestellt oder die Droge eingestellt werden soll, um die Bedeutung des Arzneimittels für die Mutter zu berücksichtigen.

Pädiatrische Verwendung

Sicherheit und Wirksamkeit bei pädiatrischen Patienten wurden nicht festgestellt.

Geriatrische Verwendung

Es wurden keine allgemeinen Unterschiede in der Sicherheit oder Wirksamkeit zwischen älteren und jüngeren Patienten beobachtet.

Überdosierungsinformationen für Timoptic-XE

In Bezug auf menschliche Überdosierung oder versehentliche orale Aufnahme von Timoptic-XE sind keine Daten verfügbar.

Es gab Berichte über versehentliche Überdosierung mit timoptischen Ophthalmikelösung Nebenwirkungen ]. Overdosage has been reported with timolol maleate tablets. A 30-year-old female ingested 650 mg of timolol maleate tablets (maximum recommended oral daily dose is 60 mg) Und experienced second Und third degree heart block. She recovered without treatment but approximately two months later developed irregular heartbeat hypertension Schwindel tinnitus faintness increased pulse rate Und borderline first degree heart block.

Ein in vitro Hämodialysestudie verwendet 14 C Timolol zu menschlichem Plasma oder Vollblut zeigte, dass Timolol von diesen Flüssigkeiten leicht dialysiert wurde; Eine Studie mit Patienten mit Nierenversagen zeigte jedoch, dass Timolol nicht leicht dialyze.

Kontraindikationen für Timoptic-XE

Timoptic-XE ist bei Patienten mit (1) bronchialen Asthma kontraindiziert; (2) eine Geschichte des bronchialen Asthma; (3) schwere chronisch obstruktive Lungenerkrankung [siehe Warnungen ]; (4) Sinus Bradykardie; (5) atrioventrikulärer Block zweiter oder dritten Grades; (6) offenes Herzversagen [siehe Warnungen )]; (7) Kardiogen Schock ; oder (8) Überempfindlichkeit gegenüber einer Komponente dieses Produkts.

Klinische Pharmakologie for Timoptisch-XE

Wirkungsmechanismus

Timolol Maleate ist ein adrenerge Rezeptor-Blockiermittel von Beta1 und Beta2 (nicht selektiv), das keine signifikante intrinsische sympathomimetische direkte myokardiale Depressiva oder lokale Anästhesie (membranstabilisierende) Aktivität aufweist.

Timoptic-XE, wenn sie topisch auf das Auge angewendet werden Glaukom . Ein erhöhter intraokularer Druck ist ein Hauptrisikofaktor bei der Pathogenese des glaukomatösen Gesichtsfeldverlusts und der Sehnervschäden.

Der genaue Mechanismus der blutdrucksenkenden Wirkung von Timoptic-XE ist zu diesem Zeitpunkt nicht klar festgelegt. Tonographie- und Fluorophotometriestudien von Timoptic® (Timolol Maleate Ophthalmic -Lösung) im Menschen legen nahe, dass seine vorherrschende Wirkung mit einer verringerten wässrigen Bildung zusammenhängen kann. In einigen Studien wurde jedoch auch eine leichte Zunahme der Ausflusseinrichtung beobachtet.

Die Beta-adrenerge Rezeptorblockade reduziert das Herzzeitvolumen sowohl bei gesunden Probanden als auch bei Patienten mit Herzerkrankungen. Bei Patienten mit schwerer Beeinträchtigung der Myokardfunktion kann die Blockade der Beta-adrenergen Rezeptor der Myokardfunktion die stimulierende Wirkung des sympathischen Nervensystems hemmen, das zur Aufrechterhaltung einer angemessenen Herzfunktion erforderlich ist.

Beta-adrenerge Rezeptorblockade in den Bronchien und Bronchiolen führt zu einer erhöhten Atemwegsresistenz durch ungehinderte parasympathische Aktivität. Eine solche Wirkung bei Patienten mit Asthma oder anderen bronchospastischen Erkrankungen ist möglicherweise gefährlich.

Pharmakokinetik

In einer Studie zur Plasma-Arzneimittelkonzentration bei sechs Probanden wurde die systemische Exposition gegenüber Timolol nach einer einmal täglichen Verabreichung von Timoptic-XE um 0,5% am Morgen bestimmt. Die mittlere Spitzenplasmakonzentration nach dieser Morgendosis betrug 0,28 ng/ml.

Klinische Studien

In kontrollierten doppelt maskierten multizentrischen klinischen Studien, in denen Timoptic-XE 0,25% mit timoptischen 0,25% und timoptisch-XE mit timoptischer 0,5% timoptischem Timopticxe verabreicht wurde, wurde nach dem Tag gezeigt, dass der intraokuläre Druck als äquivalentes Konzentration von timopttisch verabreichtem Timoptic-verabreicht wurde. Die Wirkung von Timolol auf die Senkung des den den intraokularen Druck war 24 Stunden lang mit einer einzelnen Dosis Timoptik-XE ersichtlich. Wiederholte Beobachtungen über einen Zeitraum von sechs Monaten deuten darauf hin, dass der intraokuläre Drucksenkung von Timoptic-XE konsistent war. Die Ergebnisse aus den größten klinischen und internationalen klinischen Studien, in denen Timoptic-XE mit 0,5% mit timoptischen 0,5% verglichen wird, sind in Abbildung 1 dargestellt.

Abbildung 1: mittlere IOP- und STD -Abweichung (MM Hg) nach Behandlungsgruppe
US -amerikanische Studie

Kannst du ein hohes Metoclopramid bekommen?
Mean IOP and Std Deviation (mm Hg) - Illustration

Internationales Studium

Mean IOP and Std Deviation (mm Hg) - Illustration

Timoptic-XE, das einmal täglich verabreicht wurde, hatte ein Sicherheitsprofil, das dem einer äquivalenten Konzentration von zweimal täglich verabreichten Timoptikum ähnelt. Aufgrund der physikalischen Eigenschaften der Formulierung gab es bei Patienten, die Timoptic-XE verabreichten, eine höhere Inzidenz von transientes verschwommenes Sehen. Bei einigen Patienten, die Timoptic-XE um 0,5% erhielten Nebenwirkungen ].

Timoptic-XE wurde bei Patienten, die Kontaktlinsen tragen, nicht untersucht.

Patienteninformationen für Timoptic-XE

Anweisungen zur Verwendung

Timoptic-Xe®
(Tim-op´tik-xe)
(Timolol Maleate Ophthalmic Gel forming -Lösung) 0,25% und 0,5%

Lesen Sie diese Anweisungen zur Verwendung, die mit Timoptic-XE geliefert wird, bevor Sie anfangen, sie zu verwenden, und jedes Mal, wenn Sie eine Nachfüllung erhalten. Es kann neue Informationen geben. Diese Informationen treten nicht mit Ihrem Arzt über Ihre Krankheit oder Behandlung ein.

Wichtige Informationen zu Timoptic-XE:

  • Verwenden Sie Timoptic-XE genau so, wie Ihr Arzt Ihnen sagt, dass Sie es verwenden sollen. Ihr Arzt wird Ihnen sagen, wie viel Timoptic-XE Sie verwenden sollen und wann Sie es verwenden sollen.
  • Wenn Sie andere Medikamente in Ihrem Auge verwenden, warten Sie mindestens 10 Minuten zwischen der Verwendung von Timoptic-XE und Ihren anderen Augenmedikamenten.
  • Berühren Sie Ihr Auge oder Bereiche um Ihr Auge nicht mit der Spitze der Timopticxe -Flasche. Sie können Bakterien an der Spitze der Flasche erhalten, die dazu führen können, dass Sie eine Augeninfektion erhalten, die zu schweren Augenschäden oder Sehverlust führen kann.

Wie soll ich Timoptic-XE verwenden?

Schritt 1. Wasch deine Hände.

Schritt 2. Drehen Sie Ihre geschlossene Flasche Timoptic-XE auf den Kopf (umdreht) und schütteln Sie einmal.

Schritt 3. Entfernen Sie die Timoptik-XE-Kappe, indem Sie die Kappe in Richtung der angezeigten Pfeile drehen (siehe Abbildung a ). Legen Sie die Kappe in einen sauberen und trockenen Bereich. Lassen Sie die Spitze der Flasche nicht Ihre Finger oder andere Oberflächen berühren.

Abbildung a

Remove the TIMOPTIC-XE cap - Illustration

Schritt 4. Halten Sie die Flasche zwischen Ihrem Daumen und dem Zeigefinger mit 1 Hand. Verwenden Sie den Zeigefinger der anderen Hand, um das untere Augenlid herunterzuziehen, um eine Tasche für den Augentropfen zu bilden (siehe Abbildung b ) .Tilt deinen Kopf nach hinten.

Abbildung b

pull down the lower eyelid - Illustration

Schritt 5. Legen Sie die Flaschenspitze nahe an Ihr Auge. Achten Sie darauf, Ihr Auge nicht mit der Spitze der Flasche zu berühren. Drücken Sie die Flasche vorsichtig zusammen und lassen Sie 1 Tropfen in den Raum zwischen Ihrem unteren Augenlid und Ihrem Auge fallen (siehe Abbildung c ). Wenn ein Tropfen Ihr Auge verfehlt, befolgen Sie die Anweisungen in den Schritten 4 und 5 erneut.

Abbildung c

Let 1 drop fall - Illustration

Schritt 6. Wenn Ihr Arzt Ihnen gesagt hat, dass Sie in beiden Augen Timoptic-XE verwenden sollen, wiederholen Sie die Schritte 4 und 5 für Ihr anderes Auge.

Schritt 7. Legen Sie die Kappe wieder auf die Flasche und schließen Sie.

  • Die Timoptic-Xe-Flaschenspitze wird hergestellt, um 1 Tropfen auf einmal zu verleihen. Versuchen Sie nicht, das Loch in der Spitze Ihrer Flasche größer zu machen.
  • Waschen Sie die Flaschenspitze nicht.
  • Nachdem Sie alle Ihre Timoptic-XE-Dosen verwendet haben, gibt es in der Flasche noch einige Timoptic-XE. Versuchen Sie nicht, das zusätzliche Timoptik-XE aus der Flasche zu entfernen. Wirf es weg.

Wie soll ich Timoptic-XE speichern?

  • Lagern Sie Timoptic-XE bei Raumtemperatur zwischen 59 ° F und 77 ° F (20 ° C bis 25 ° C) in einer aufrechten Position.
  • Timoptic-xe nicht einfrieren.
  • Halten Sie Timoptic-Xe aus Licht.

Halten Sie Timoptic-XE und alle Medikamente außerhalb der Reichweite der Kinder.

Wenn Sie weitere Informationen wünschen, sprechen Sie mit Ihrem Arzt. Sie können Ihren Apotheker oder Arzt um weitere Informationen zu Timoptic-XE bitten, die für Angehörige der Gesundheitsberufe geschrieben wurden.