Die Informationen Auf Dieser Website Stellen Keine Medizinische Beratung Dar. Wir Verkaufen Nichts. Die Richtigkeit Der Übersetzung Wird Nicht Garantiert. Haftungsausschluss
Medikamente
Vayarin
Drogenzusammenfassung
Was ist Vayarin?
Vayarian (Pilipinen) ist ein medizinisches Essen für Lipid Ungleichgewichte im Zusammenhang mit ADHS.
Was sind Nebenwirkungen von Vayarin?
Zu den häufigen Nebenwirkungen von Vayaarin gehören:
- Bauchschmerzen
- Trockene und juckende Haut
- tics
- Brechreiz
- Hyperaktivität
- Wutanfall
- Kopfschmerzen und
- Schlaflosigkeit
Dosierung für Vayarin
Welche Medikamentensubstanzen oder Nahrungsergänzungsmittel interagieren mit Vayarin?
Vayarin kann interperakten Anticholinerge und cholinerge Medikamente. Sagen Sie Ihrem Arzt alle Medikamente und Nahrungsergänzungsmittel, die Sie verwenden.
Vayarin während der Schwangerschaft oder des Stillens
Vayarin wird nicht für die Verwendung während der Schwangerschaft oder des Stillens empfohlen, da es nicht bekannt ist, wie sich dies auf eine Schwangerschaft oder ein Pflegekind auswirken würde.
Weitere Informationen
Unser Vayarin (Lipirinen) -Seitwirkungsmittelzentrum bietet eine umfassende Übersicht über die verfügbaren Arzneimittelinformationen über die potenziellen Nebenwirkungen bei der Einnahme dieses Medikaments.
FDA -Drogeninformationen
- Drogenbeschreibung
- Indikationen
- Nebenwirkungen
- Warnungen
- Überdosis
- Klinische Pharmakologie
- Medikamentenhandbuch
Beschreibung für Vayarin
Vayarin® ist ein oral verabreichtes verschreibungspflichtiges medizinisches Lebensmittel für die klinische Ernährungsbewirtschaftung komplexer Lipid -Ungleichgewichte im Zusammenhang mit ADHS. Vayarin® ist eine speziell formulierte und verarbeitete Zusammensetzung, die die ausgeprägten medizinisch festgelegten Lipidernährungsanforderungen von Kindern mit ADHS erfüllt, deren Ernährungsbewirtschaftung nicht durch Modifikation der normalen Ernährung oder Verwendung von Nahrungsergänzungsmitteln erreicht werden kann.
Jede Vayarin® -Kapsel enthält:
Lipirinen® ...... 75 mg
Lipirinen® ist eine proprietäre Zusammensetzung, die Phosphatidylserin (PS) enthält, die an konjugiert ist Omega-3-Fettsäuren angereichert mit Eicosapentaensäure (EPA).
Lipide Ungleichgewichte bei ADHS
Es gibt eine wachsende Gruppe wissenschaftlicher Beweise, die zeigen, dass ein geringer Maß an bestimmtes Maß Lipids sind mit Aufmerksamkeitsdefizit -Hyperaktivitätsstörung (ADHS) verbunden. Während ADHS eine komplexe Störung ist, wurde gezeigt, dass sich die Ätiologie mit multifaktoriellem ADHS mit Stoffwechselstörungen wie Lipid- und Glukosestoffwechsel verbunden hat [1 2]. Die Anomalien des Lipidstoffwechsels, die bei ADHS auftreten können, sind mit einem erhöhten oxidativen Stress höher Fettsäuren . Reduzierte Phosphatidylserin-Spiegel, die Omega-3-Fettsäuren (PS-Omega-3) enthalten, haben Auswirkungen auf die Membranstruktur und -funktion, bei der angenommen wird, dass sie eine wichtige Rolle bei der Veröffentlichung von Signaltransduktionswegen und der Regulation des Zellwachstums spielen [3 4].
Im Vergleich zu gesunden Kindern im gleichen Alter haben Kinder mit ADHS einen geringeren Blutspiegel an Omega-3-LC-PUFA [5-13]. Diese Lipide, die auch im Gehirn gefunden wurden, spielen eine wesentliche Rolle bei der Entwicklung und Funktion des Gehirns. Es wurde wiederum berichtet, dass ein Omega-3-Fettsäuremangel mit vermindertem Gehirnphosphatidylserin korreliert ist, das hauptsächlich in Form von PS-Omega-3 liegt [14 15].
PS-OMEGA-3 spielen eine wichtige Rolle bei der Funktionsweise neuronaler Membranen wie der Signaltransduktionssekretions-Vesikel-Freisetzung Zell-To-To-To-To-To-To-To-To-To-Zell-Kommunikation und Zellwachstumsregulation [4]. Daher können reduzierte Spiegel von PS-Omega-3 und Omega-3 ein komplexes Lipid-Ungleichgewicht darstellen, das eine Rolle bei der Ätiologie/Pathogenese von ADHS und anderen neuronalen Erkrankungen spielt. Vayarin® ist eine proprietäre Lipidzusammensetzung von Phosphatidylserin-Omega-3 (PS-Omega-3), die mit der EPA angereichert sind. Diese Form wurde speziell entwickelt, um diese wesentlichen Lipide an das Gehirn zu liefern, um die richtige Gehirnfunktion zu unterstützen und aufrechtzuerhalten. Darüber hinaus ermöglicht die Anreicherung der EPA im Vayarin® -Produkt eine bessere Regulierung von Lipiden und zielt auf die spezifischen Ungleichgewichte ab, die mit ADHS verbunden zu sein scheinen [16].
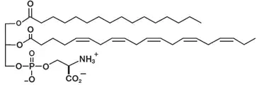
Abbildung 1: Schematische Struktur von Phosphatidylserin, die an die EPA konjugiert ist.
Chemische Struktur
|
Zutaten
Phosphatidylserin (PS) -Hydroxypropylmethylcellulose-Silicon-Dioxid enthält weniger als 1% der gemischten Tocopherole (D-Alpha-Tocopherol D-Betatocopherol D-Gamma-Tocopherol D-Delta-Tocopherol-Sunblor-D-Gamma-Tocopher-D-Delta-Tocopherol-Glyflower Oilblower Oilbower Oscorbyl-Palmitate-Rosemary-Rosemary-Rosemary-Rosemary-Extrakt (Rosemy-Tocopherol Monoglyceride) (konservativ) Karamell (Farbe) Titandioxid (Farbe). Vayarin® -Kapseln enthalten Schalentiere (Krill).
Kann Soja und Fisch enthalten.
Vayarin® -Kapseln enthalten keine Zucker -Laktosehefe oder Gluten.
Referenzen
3.. Mozzi R. S. Buratta und G. Goracci Metabolism und Funktionen von Phosphatidylserin im Gehirn von Säugetieren. Neurochem Res 2003. 28 (2): p. 195-214.
4. Vance J. E. und R. Steenbergen Metabolismus und Funktionen von Phosphatidylserin. Prog Lipid Res 2005. 44 (4): p. 207-34.
14. Hamilton L. et al. N-3-Fettsäuremangel verringert die Phosphatidylserinakkumulation selektiv in neuronalen Geweben. Lipide 2000. 35 (8): p. 863-9.
15. Murthy M. et al. Differentielle Wirkungen eines N-3-Fettsäuremangels auf die Zusammensetzung der Phospholipid-Molekülspezies im Hippocampus der Ratte. J Lipid Res 2002. 43 (4): p. 611-7.
Verwendung für Vayarin
Arztaufsicht
Vayarin® ist ein durch Rezept abgegebenes medizinisches Lebensmittel und muss unter der Überwachung der Arzt verwendet werden.
Dosierung für Vayarin
Die übliche Dosis beträgt 2 Kapseln täglich oder wie ein Arzt.
Wie geliefert
Erhältlich als hart sie Kapseln.
| Handelsprodukt (60 Kapseln) | 75959-233-60* | Verwendung unter medizinischer/ ärztlicher Überwachung. |
| Probenprodukt (4 Kapseln) | 75959-233-04* | Professionelle Muster -Noch zum Verkauf. |
| * Vaya Pharma ™ repräsentiert diese Produktcodes nicht als tatsächliche nationale Arzneimittelcodes (NDCs). NDC -Formatcodes sind Produktcodes, die gemäß der Standard -Branchenpraxis angepasst sind, um die Formatierungsanforderungen von Apotheken- und Krankenversicherungscomputersystemen zu erfüllen. |
Lagerung
Aufgeben und in der ursprünglichen Flasche aufbewahren.
Speichern Sie 25 ° C bei bis zu 77 ° F. Vor Licht und Feuchtigkeit schützen.
Warnung
Halten Sie dieses Produkt außer Reichweite der Kinder.
Vayarin® besteht aus Lipiinen ™, einer proprietären Zusammensetzung, die Phospliatidyisem-Omega-3-EPA enthält.
Verteilt von: Vaya Pharma ™ Inc. Überarbeitet: Januar 2014
Nebenwirkungen für Vayarin
Unerwünschte Ereignisse
Die unerwünschten Ereignisse von Vayarin® wurden in einer randomisierten doppelblinden, placebokontrollierten Studie von 15 Wochen bewertet, gefolgt von einer offenen Verlängerung von weiteren 15 Wochen [38].
Unerwünschte Ereignisse, die im Verlauf der doppelblinden Phase angegeben wurden (Tabelle 2): 12 Teilnehmer der Vayarin® -Gruppe und 5 Teilnehmer der Placebo -Gruppe wurden von den Studienärzten als anbehandlungsbezogene oder wahrscheinlich verwandte unerwünschte Ereignisse (13 bzw. 5 unerwünschte Ereignisse) eingestuft. Es gab keine signifikanten Unterschiede zwischen den Studiengruppen in der Inzidenz oder der Anzahl der aufgezeichneten unerwünschten Ereignisse (P = 0,848 bzw. p = 0,982).
Unerwünschte Ereignisse im Verlauf der Open-Label-Erweiterung (Tabelle 2): 5 Teilnehmer berichteten über 7 unerwünschte Ereignisse, die von den Studienärzten als verwandt oder wahrscheinlich mit der Studienbehandlung zusammenhängen.
Tabelle 2
Fühlt sich Vicodin hoch?
| Studiendesign | Doppelblindstudie (4 Kapseln/Tag) | Open-Label-Erweiterung (2 Kapseln/Tag) | |
| Nebenwirkungen der Behandlungsgruppe* | Vayarin® (n = 137) | Placebo (n = 63) | Vayarin® (n = 150) |
| Magen -Darm -Beschwerden | 6 | 4 | 4 |
| Atopische Dermatitis | 1 | 0 | 0 |
| SGOT -Wert | 1 | 0 | 0 |
| Kopfschmerzen | 0 | 1 | 1 |
| Schlaflosigkeit | 0 | 0 | 1 |
| Tics | 1 | 0 | 0 |
| Hohe Triglyceride | 0 | 1 | 1 |
| Brechreiz | 1 | 0 | 0 |
| Hyperaktivität | 1 | 0 | 0 |
| Tantrnm | 2 | 0 | 0 |
Tabelle 2. Adverse events reported during the course of the double-blind and the open label phase.
*Gemessen von den Studienärzten als verwandt oder wahrscheinlich mit der Studienbehandlung zu tun
Drogenmissbrauch
Vayarin® does not have any known drug abuse or withdrawal effects.
Wechselwirkungen zwischen Arzneimitteln für Vayarin
Keine Informationen zur Verfügung gestellt.
Referenzen
38. Manor I. et al. Sicherheit von Phosphatidylserin, das Omega3-Fettsäuren bei ADHS-Kindern enthält: eine doppelblinde, placebokontrollierte Studie, gefolgt von einer Open-Label-Erweiterung. EUR -Psychiatrie 2013. 28 (6): p. 386-91.
Warnungs for Vayarin
Keine Informationen zur Verfügung gestellt.
Vorsichtsmaßnahmen für Vayarin
- Sicherheit und Wirksamkeit von Vayarin® bei pädiatrischen Patienten oder schwangeren oder stillenden Patienten wurden nicht festgestellt. Daher wird Vayarin® für diese Populationen nicht empfohlen.
- Vayarin® contains shellfish (krill) and should be used with caution in patients with known hypersensitivity to shellfish.
Überdosierungsinformationen für Vayarin
Keine Informationen zur Verfügung gestellt.
Kontraindikationen für Vayarin
Vayarin® is contraindicated in patients with known hypersensitivity (e.g. anaphylactic reaction) to Vayarin® or any of its components.
Klinische Pharmakologie for Vayarin
Wirkungsmechanismus
Omega-3-langkettige mehrfach ungesättigte Fettsäuren (LC-PUFA) spielen eine wichtige Rolle bei der Entwicklung und Funktion des Zentralnervensystems und der Funktionsweise des Zentralnervensystems 1-4 . Verringerte Omega-3-Fettsäurenspiegel sind haupt 5 Alzheimer -Krankheit 6 und ADHS 3 Es wurde festgestellt 7 .
Während der genaue Mechanismus, durch den Vayarin® seine Auswirkungen ausübt 8 . Es wurde festgestellt, dass PS Schlüsselproteine in neuronalen Membranen einschließlich Natrium/Calcium -ATPase reguliert 9 und Proteinkinase C 10 die entscheidende Funktionen für verschiedene Signaltransduktionswege übernehmen. In ähnlicher Weise interagiert PS mit der RAF-1-Proteinkinase, um eine Kaskade von Reaktionen zu fördern, von denen angenommen wird, dass sie am Zellüberleben beteiligt sind 11 . Zusätzlich wurde festgestellt 1213 und um den Hirnglukosespiegel zu erhöhen.
Absorption und Stoffwechsel
Die Einnahme von Phospholipiden -Pankreas -Verdauungsenzymen spaltete spezifische Fettsäuren, die zur Bildung von Lysophosphclipiden sind, die von den Schleimhautzellen des intesten NE absorbiert werden und in Phospholipide rekokyliert werden könnten 14 . Die freigesetzten Fettsäuren können für die Triglyceridsynthese verwendet werden. Aufgrund der hohen Aktivität von Decarboxylasen in den Schleimhautzellen wird der Groß 15 . Die repräsentierten PS -Phosphatidylethanolamin und andere Phospholipide gelangen in die Lympn und den Kreislauf und werden umverteilt.
Wechselwirkungen mit Arzneimitteln
PS kann möglicherweise mit einigen anticholinergen und cholinergen Medikamenten interagieren. Es wird empfohlen, einen Arzt über Vayarin® -Interaktionen zu konsultieren, die für bestimmte Erkrankungen gelten können.
Toxizität
Vayarin® similar to phosphatidylserine extracted from bovine cortex (BC-PS) contains saturated and monounsaturated Fettsäuren as well as ornega-3 LC-PUFA. The safety profile of BC-PS was determined in several non-clinical studies. Repeat-dose safety studies in rats and dogs show that oral administration of BC-PS at doses up to 1000 mg/kg/day for up to 6 months was without any significant adverse effects of toxicological concern 16 . Die Ergebnisse von Teratogenitätsstudien an Ratten bei Dosen bis zu 16 . In einem Mikronukleus-Test wurde BC-PS Mäusen bei Gesamtdosierungen von 30150 und 300 mg/kg in zwei bis 24 Stunden getrennten Dosen verabreicht. Die Ergebnisse der Studie ergeben keine Hinweise auf mutagene Potential oder Knochenmarktoxizität 16 .
Klinische Erfahrung 1718
Doppelblindstudie
Verfahren
Eine 15-wöchige doppelblinde, placebokontrollierte klinische Studie wurde mit 200 ADHS-Kindern durchgeführt, die zufällig entweder Vayarin® oder Placebo (4 Kapseln/Tag) erhalten wurden. Die Auswirkung von Vayarin® wurde durch Bewertungsskalen und Fragebögen, einschließlich der Bewertungsskalen von Conners 'Parent (CRS-P) und Lehrer (CRS-T) und dem Child Health Fragebogen (CHQ), bewertet.
Ergebnisse
162 Teilnehmer haben die Studie abgeschlossen, von der 147 in die Wirksamkeitsanalyse einbezogen wurden. In der CRS-P-Bewertung wurde eine signifikante Verringerung der ADHS-Werte festgestellt. Darüber hinaus wurde ein signifikanter vorteilhafter Effekt im Fragebogen zur Lebensqualität (CHQ) beobachtet. Die Subgruppenanalyse von Kindern mit einem hyperaktiven/impulsiven Verhalten sowie Stimmung und Benavior-Dysregulation ergab eine stärkere Verringerung der ADHS-Werte.
Open-Label-Erweiterung
Verfahren
Eine 15-wöchige Open-Label-Erweiterung wurde bei 150 Kindern mit ADHS durchgeführt, die die zuvor gemeldete Doppelblindstudie abgeschlossen haben. Vayarin® (2 Kapseln) wurde täglich verabreicht. Die Wirkung von Vayarin® wurde von CRS-PT und dem CHQ bewertet.
Ergebnisse
Von 140 Teilnehmern, die die Studie 127 abgeschlossen haben, wurden in die Wirksamkeitsanalyse einbezogen. Kinder, die auf Vayarin® (2 Kapseln/Tag) aus der Placebo-Behandlung während der doppelblinden Phase wechseln, zeigten eine signifikante Verringerung der ADHS-Werte im Vergleich zu den Baseline-Scores in der CRS-T und CRS-P.
Sicherheitsbewertung
Die Behandlung wurde im Allgemeinen gut vertragen. Es gab keine klinisch aussagekräftigen Unterschiede zwischen den Behandlungsgruppen in den getesteten Blutparametern in der Doppelblindstudie und innerhalb der Behandlungsgruppe in der Open-Label-Verlängerung. Darüber hinaus wurden während der körperlichen Untersuchung keine klinisch signifikanten Befunde beobachtet, die Vitalzeichen oder Gewichtsmessungen bei beiden Studienphasen (zusätzliche Sicherheitsinformationen werden im Abschnitt unerwünschter Ereignisse) detailliert beschrieben).
Referenzen
1. Richardson A.J. 0Meqa-3-Fettsäuren in ADHS und verwandten Neustangen i op psychische Störungen. IRRT Rev. Psychiatry 2006. 13 (2): p. 15W2.
2. Sangiovanni J. P. et al. Meta-Analyse von Essentialsäuren von Nahrung und langkettigen lyunuierten Fettsäuren im Zusammenhang mit der visuellen Auflösung von Schärfe bei gesunden Frühgeborenen. Pädiatrie 2000.105 (6): p. 1292-8.
3. Schuchardt J. P. et al. Signifikanz von langkettigen mehrfach ungesättigten Fettsäuren (PUFAs) für die Entwicklung und das Verhalten von Kindern. Eur J Pediatr 2010.169 (2): p. 149-64.
4. Kawashima A. et al. Auswirkungen von Eicosapentaensäure auf die synaptische Plastizität. Fettsäureprofil und Phosphoiinositid-3-Kinase-Signalübertragung in Hippocampus von Ratten und differenzierten PC12-Zellen. J Nution Biochern 2010.21 (4): p. 268-77.
5. Martinez M. Schwerer Mangel an Docosahexaensäure bei beroxisomalen Störungen: Ein Defekt der Delta 4 -Desaturation? Eurology 1990. 40 (8): p. 1292-8.
6. Soderberg M. et al. Fettsäurezusammensetzung von Gehirnphospholipiden in AQinq und bei Alzheimer -Krankheit. Lipids 1991.26 (6): p. 421-5.
7. Vaisman N. Pelled D. N-3 Phosphatidyl Serin dämpfte Scopolamin-induzierte Amnesie bei Ratten mittleren Alters. Prog Neuropsychopharmacol Biol Psychiatry 2009.33 (6): p. 952-9 ..
8. Mozzi R. Buratta S. Goracci G. Metabolismus und Funktionen von Phosphatidylserin im Gehirn von Säugetieren. Neurochem Res 2003. 28 (2): p. 195-214.
9. Wheeler R.P.W. R. ATPase -Aktivität der Natriumpumpe benötigt Phosphatidylserin. Nature 1970. 225 (5231): p. 449-450.
10. Bittova L. Stahelin R.V. Cho W. Rollen ionischer Reste der C1-Domäne in der Proteinkinase-C-Alpha-Aktivierung und des Ursprungs der Phosphatidylserinspezifität. J Biol Ghem. 2001. 276 (6): p. 4218-26.
11. Vance J. E. Phosphatidylserin und Phosphatidylethanolamin in Säugetierzellen: zwei metabolisch verwandte Aminophospholipide. ASBMB 2008: p. 1-48.
12. Pepeu G. Pepeu I.M.Amaducci L. Eine Überprüfung der pharmakologischen und klinischen Effekte von Phosphatidylserin. Ist Phosphatidylserin ein Medikament für das alternde Gehirn? Pharmacol Res 1996.33 (2): p. 73-80.
13. Mazzari S. und A. Battistella Phosphatidylserineffekte auf Dopamin Freigabe von Striatum Synaptosomen. In: Multidisziplinärer Ansatz zur Gehirnentwicklung. Elsevier North Holland Amsterdam 1980: p. 569-570.
14. TSO P. Darmlipidabsorption. Physiologie des Magen -Darm -Trakts. L.R. Johnson. Vol. 56.1994 New York: Raven Press.
15. Wise E. M. Elwyn D. Reaktionsraten an der Phosphatidsynthese in Leber und Dünndarm intakten Ratten. Journal of Biological Chemistry 1965. 240: p. 1537-1548.
16. Heywood R. Cozens D. Richold M. Toxikologie einer Phosphatidylserin -Präparation aus Rinderhirn. C. Trials Journal 1987.24 (1): p. 25-32.
17. Manor I. et al. Die Wirkung von Phosphatidylserin, das Omega-3-Fettsäuren auf die Symptome von Hyperaktivitätsstörungen bei Kindern bei Kindern enthält, bei Kindern: eine doppelblinde placebokontrollierte Studie, gefolgt von einer Open-Label-Verlängerung. Eur Psychiatry 2012.27 (5): S.335-42.
18. Manor I. et al. Sicherheit von Phosphatidylserin, das Omega-3-Fettsäuren bei ADHS-Kindern enthält: eine doppelblinde, placebokontrollierte Studie, gefolgt von einer Open-Label-Erweiterung. Eur Psychiatry 2013. EUR Psychiatry 2013. 28 (6): p. 386-91.
Patienteninformationen für Vayarin
Keine Informationen zur Verfügung gestellt. Please refer to the Warnungen und VORSICHTSMASSNAHMEN Abschnitt.