Die Informationen Auf Dieser Website Stellen Keine Medizinische Beratung Dar. Wir Verkaufen Nichts. Die Richtigkeit Der Übersetzung Wird Nicht Garantiert. Haftungsausschluss
Anticholinergika, Genitourinary
Vesicare
Drogenzusammenfassung
Was ist Vesicare?
Vesicare (Solifenacin) ist ein muskarinischer Rezeptorantagonist, der Muskelkrämpfe des Blase Muskeln und werden verwendet, um die Symptome einer überaktiven Blase wie Inkontinenzhäufigkeit und Dringlichkeit zu behandeln.
Was sind Nebenwirkungen von Vesicare?
Vesicare kann schwerwiegende Nebenwirkungen verursachen, einschließlich:
- Starke Magenschmerzen
- Verstopfung für 3 Tage oder länger
- Schmerzen oder Brennen beim Urinieren
- Verwirrung
- Halluzination
- Sehveränderungen
- Augenschmerzen
- Halos um Licht herum sehen
- wenig oder gar kein Urinieren
- Fühlen Sie sich sehr durstig oder heiß
- nicht in der Lage sein zu urinieren
- schweres Schwitzen
- Heiße und trockene Haut
- Brechreiz
- Schwäche
- tolles Gefühl
- Brustschmerzen
- unregelmäßiger Herzschläge und
- Bewegungsverlust
Holen Sie sich sofort medizinische Hilfe, wenn Sie eines der oben aufgeführten Symptome haben.
Nebenwirkungen von Vesicare umfassen:
- Verstopfung
- Trockener Mund
- heisere Stimme
- Trockene Augen
- verschwommenes Sehen
- Brechreiz
- Appetitverlust
- Magenverstimmung
- Sodbrennen
- Kopfschmerzen
- Schwindel
- Schläfrigkeit
- müde fühlen
- Schwäche
- Fieber
- Halsschmerzen
- Körperschmerzen oder
- Grippe Symptome.
Suchen Sie medizinische Versorgung oder rufen Sie auf einmal 911 an, wenn Sie die folgenden schwerwiegenden Nebenwirkungen haben:
- Schwerwiegende Augensymptome wie plötzlicher Sehverlust verschwommenes Sehen Tunnel Sehschmerzen oder Schwellungen oder Halos in der Umgebung des Lichts;
- Schwerwiegende Herzsymptome wie schnelle unregelmäßige oder pochende Herzschläge; Flattern in deiner Brust; Kurzatmigkeit; und plötzlich Schwindel Benommenheit oder ohnmächtig;
- Starke Kopfschmerzen Verwirrung verwirrt Spracharm oder Bein Schwäche Schwierigkeiten beim Verlust der Koordination unstabil sehr steifes Muskeln hoher Fieber problemlos Schwitzen oder Zittern.
Dieses Dokument enthält nicht alle möglichen Nebenwirkungen und andere können auftreten. Wenden Sie sich an Ihren Arzt nach zusätzlichen Informationen zu Nebenwirkungen.
Dosierung für Vesicare
Die empfohlene Vesicare -Dosis beträgt 5 mg als Tablette, die einmal täglich aufgenommen wurde.
Welche Medikamentensubstanzen oder Nahrungsergänzungsmittel interagieren mit Vesicare?
Vesicare kann mit Azolantimykotika interagieren. Sagen Sie Ihrem Arzt alle Medikamente und Nahrungsergänzungsmittel, die Sie verwenden.
Vesicare während der Schwangerschaft und Stillen
Vesicare kann für ein ungeborenes Baby schädlich sein und sollte nicht von schwangeren Frauen angewendet werden. Es ist nicht bekannt, ob Solifenacin in Muttermilch übergeht oder ob es einem stillenden Baby schaden könnte. Wenden Sie sich vor dem Stillen an Ihren Arzt.
Weitere Informationen
Unser Vesicare Side Effects Drug Center bietet einen umfassenden Überblick über verfügbare Arzneimittelinformationen über die potenziellen Nebenwirkungen bei der Einnahme dieses Medikaments.
FDA -Drogeninformationen
- Drogenbeschreibung
- Indikationen
- Nebenwirkungen
- Warnungen
- Überdosis
- Klinische Pharmakologie
- Medikamentenhandbuch
Beschreibung für Vesicare
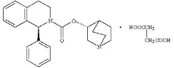
Vesicare® (Solifenacin Succinat) ist ein muskarinischer Rezeptorantagonist. Chemisch Solifenacin-Succinat ist Butanediosäure mit (1S)-(3R) -1-Azabicyclo [2.2.2] Okt-3-yl 34-dihydro-1-phenyl-2 (1H) ISO-Quinolinecarboxylat (1: 1) mit einer empirischen Formula von C.-Quinolinecarboxylat (1: 1) mit einer empirischen Formula von C-Quinolinecarboxylat mit einer empirischen Formel von C. 23 H 26 N 2 O 2 • C. 4 H 6 O 4 und ein Molekulargewicht von 480,55. Die strukturelle Formel von Solifenacin Succinat ist:
|
Solifenacin-Succinat ist ein weiß-gelb-weißes Kristall- oder Kristallpulver. Es ist bei Raumtemperatur in Wasser gletscher Essigsäure -Dimethylsulfoxid und Methanol frei löslich. Jedes Vesicare -Tablet enthält 5 oder 10 mg Solifenacin -Succinat und wird für die orale Verabreichung formuliert. Zusätzlich zu der Wirkstoff -Solifenacin -Succinat enthält jede Vesicare -Tablette auch die folgenden Inert -Inhaltsstoffe: Lactose -Monohydrat -Maisstärke -Hypromellose 2910 Magnesium -Stearat -Talk -Polyethylenglykol 8000 und Titan -Dioxid -Oxid -Oxid -Oxid -Oxid -Oxid -Oxid -Oxid -Oxid -Oxid -Tabletten -Tabletten -Tabletten -Tabletten -Tabletten -Tabletten (10 mg) (10 mg vessical) (10 mg) (10 mg Vessical -Tabletten).
Verwendung für Vesicare
Vesicare ® ist für die Behandlung von Erwachsenen mit überaktiver Blase mit Symptomen einer Dringlichkeit der Harninkontinenz und der Harnfrequenz angezeigt.
Dosierung für Vesicare
Dosierungsinformationen
Die empfohlene orale Vesicare -Dosis beträgt 5 mg einmal täglich. Wenn die 5 mg -Dosis gut vertragen, kann die Dosis einmal täglich auf 10 mg erhöht werden.
Vesicare should be taken with water Und swallowed whole. Vesicare can be administered with oder without food.
Dosierungsempfehlungen bei Patienten mit Nierenbehinderung
Überschreiten 5 mg bei Patienten mit schwerer Nierenbeeinträchtigung nicht täglich (CL) Cr <30 mL/min/1.73 m 2 ) [sehen Verwendung in bestimmten Populationen ].
Dosierungsempfehlungen bei Patienten mit Leberbeeinträchtigung
Überschreiten Sie bei Patienten mit mittelschwerer Leberbeeinträchtigung (Child-Pugh B) nicht mehr täglich 5 mg. Verwenden Sie Vesicare bei Patienten mit schwerer Leberbeeinträchtigung nicht (Child-Pugh C) [siehe Verwendung in bestimmten Populationen ].
Dosierungsempfehlungen bei Patienten, die CYP3A4 -Inhibitoren einnehmen
Überschreiten 5 mg nicht einmal täglich, wenn Vesicare mit starken CYP3A4 -Inhibitoren wie Ketoconazol verabreicht wird [siehe Wechselwirkungen mit Arzneimitteln ].
Wie geliefert
Dosierungsformen und Stärken
Tabletten
- 5 mg: rund hellgelb mit 150 gestrichen
- 10 mg: runde hellrosa mit 151 gestrichen
Lagerung und Handhabung
Vesicare wird als runde filmbeschichtete Tabletten in Flaschen wie folgt zur Verfügung gestellt:
Jedes 5 -mg -Tablet ist hellgelb und mit einem Logo und 150 abgelehnt und ist wie folgt erhältlich:
Flasche 30 - NDC 51248-150-01
Jedes 10 -mg -Tablet ist hellrosa und mit einem Logo und 151 abgelehnt und ist wie folgt erhältlich:
Flasche 30 - NDC 51248-151-01
Flasche von 90 - NDC 51248-151-03
Speichern Sie bei 25 ° C (77 ° F) mit Ausflügen von 15 ° C bis 30 ° C (59 ° F bis 86 ° F) [siehe USP -kontrollierte Raumtemperatur].
Vermarktet und verteilt von: Astellas Pharma US Inc. Überarbeitet: Okt. 2022
Nebenwirkungen für Vesicare
Klinische Studien Erfahrung
Da klinische Studien unter stark unterschiedlichen Bedingungen durchgeführt werden, die in den klinischen Studien eines Arzneimittels beobachtet werden, können in den klinischen Studien eines anderen Arzneimittels nicht direkt mit den Raten verglichen werden und spiegeln möglicherweise nicht die in der Praxis beobachteten Raten wider.
Vesicare has been evaluated foder safety in 1811 adult patients in four rUndomized placebo-controlled trials (Studies 1-4) [sehen Klinische Studien ]. Expected adverse reactions of antimuscarinic agents are Trockener Mund Verstopfung verschwommenes Sehen (accommodation abnodermalities) urinary retention Und Trockene Augen. The incidence of Trockener Mund Und Verstopfung in patients treated with Vesicare was higher in the 10 mg dose group compared to the 5 mg dose group.
In den vier 12-wöchigen doppelblinden klinischen Studien wurden bei einem Patienten, das jeweils in der Vesicare 10 mg-Gruppe jeweils jeweils eine Darmobstruktion und Darmobstruktion stand, über schwerwiegende fäkale Impaktionen. Angioneurotisches Ödem wurde bei einem Patienten berichtet, der Vesicare 5 mg einnahm. Im Vergleich zu 12 Wochen Behandlung mit Vesicare waren die Inzidenz und der Schweregrad von Nebenwirkungen bei Patienten, die in Studie 5 bis zu 12 Monate lang im Medikament blieben, ähnlich [siehe Klinische Studien ].
Die häufigste nachteilige Reaktion, die zum Untersuchungsabbruch führte, war der trockene Mund (NULL,5%). Tabelle 1 listet die Raten identifizierter unerwünschter Reaktionen in den vier randomisierten placebokontrollierten Studien in einer Inzidenz von mehr als Placebo und in 1% oder mehr von Patienten mit Vesicare 5 oder 10 mg einmal täglich für bis zu 12 Wochen auf.
Tabelle 1: Nebenreaktionen, die von ≥ 1% der Patienten berichtet wurden und Placebo in den Studien 1 2 3 und 4 überschreiten
| Placebo (%) | Vesicare 5 mg (%) | Vesicare 10 mg (%) | |
| Anzahl der Patienten | 1216 | 578 | 1233 |
| Magen -Darm -Störungen | |||
| 4.2 | 10.9 | 27.6 | |
| 2.9 | 5.4 | 13.4 | |
| 2.0 | 1.7 | 3.3 | |
| 1.0 | 1.4 | 3.9 | |
| 1.0 | 1.9 | 1.2 | |
| 0.9 | 0.2 | 1.1 | |
| Infektionen und Befall | |||
| 2.8 | 2.8 | 4.8 | |
| 1.3 | 2.2 | 0.9 | |
| 1.0 | 0.3 | 1.1 | |
| Störungen des Nervensystems | |||
| 1.8 | 1.9 | 1.8 | |
| Augenstörungen | |||
| 1.8 | 3.8 | 4.8 | |
| 0.6 | 0.3 | 1.6 | |
| Nieren- und Harnstörungen | |||
| 0.6 | 0 | 1.4 | |
| Allgemeine Erkrankungen und Verwaltungsortbedingungen | |||
| 0.7 | 0.3 | 1.1 | |
| 1.1 | 1.0 | 2.1 | |
| Psychiatrische Störungen | |||
| 0.8 | 1.2 | 0.8 | |
| Atemstillstand und Mediastinalstörungen | |||
| 0.2 | 0.2 | 1.1 | |
| Gefäßstörungen | |||
| 0.6 | 1.4 | 0.5 |
Nachmarkterfahrung
Die folgenden nachteiligen Reaktionen wurden während der Verwendung von Solifenacin-Succinat nach der Nachgleichung in den USA und/oder außerhalb der USA identifiziert, da diese Reaktionen freiwillig aus einer Population unsicherer Größe gemeldet werden. Es ist nicht immer möglich, ihre Häufigkeit zuverlässig abzuschätzen oder eine kausale Beziehung zur Arzneimittelbelastung herzustellen.
Allgemeine Störungen und Verwaltungsortbedingungen: periphere Ödemeempfindlichkeitsreaktionen (einschließlich Angioödeme mit Atemwegsobstruktionsausschlags -Pruritus -Urtikaria anaphylaktische Reaktion);
Störungen des Nervensystems: Schwindel Kopfschmerzen Verwirrung Halluzinations delirium somnolence;
Herzerkrankungen: QT -Erweiterungstorsade mit Vorhoffleitungen Fibrillations -Tachykardie -Palpitationen;
Kannst du zu viel Albuterol nehmen?
Lebererkrankungen: Lebererkrankungen, die hauptsächlich durch abnormale Leberfunktionstests AST (AST (Aspartat Aminotransferase) Alt (Alanin Aminotransferase) GGT (Gamma-Glutamyltransferase) gekennzeichnet sind;
Nieren- und Harnstörungen: Nierenbeeinträchtigung Harnretention;
Stoffwechsel- und Ernährungsstörungen: verminderte Appetithyperkalämie;
Haut und subkutane Gewebeerkrankungen: Peeling Dermatitis erythema multiforme trockene Haut;
Augenstörungen: Glaukom;
günstigste Urlaubsziele
Magen -Darm -Störungen: gastroösophageale Refluxkrankheit Ileus erbrechen Bauchschmerzen Dysgeusie Sialadenitis;
Atemstörungen für Brust- und Mediastinalerkrankungen: Dysphonie Nasal Trockenheit;
Muskuloskelett- und Bindegewebestörungen: muskulöse Schwäche.
Arzneimittelinteraktionen für Vesicare
Starke CYP3A4 -Inhibitoren
Solifenacin ist ein Substrat von CYP3A4. Die gleichzeitige Verwendung von Ketoconazol Ein starker CYP3A4 -Inhibitor erhöhte die Exposition von Solifenacin signifikant [siehe Klinische Pharmakologie ]. The dosage of Vesicare greater than 5 mg once daily is not recommended when concomitantly used with strong CYP3A4 inhibitoders [see Dosierung und Verwaltung ].
Warnungen für Vesicare
Eingeschlossen als Teil der 'VORSICHTSMASSNAHMEN' Abschnitt
Vorsichtsmaßnahmen für Vesicare
Angioödem und anaphylaktische Reaktionen
Angioödem der Gesichtslippenzunge und/oder Kehlkopf wurden mit Solifenacin -Succinat berichtet. In einigen Fällen trat ein Angioödem nach der ersten Dosis auf, die jedoch Stunden nach der ersten Dosis oder nach mehreren Dosen auftraten. Anaphylaktische Reaktionen wurden auch bei Patienten berichtet, die mit Solifenacin -Succinat behandelt wurden. Angioödem im Zusammenhang mit der Schwellung der oberen Atemwege und der anaphylaktischen Reaktionen kann lebensbedrohlich sein.
Vesicare is contraindicated in patients with a known oder suspected hypersensitivity to Solifenacs Succinat [see Kontraindikationen ]. If involvement of the tongue hypopharynx oder larynx occurs promptly discontinue Vesicare Und provide appropriate therapy Und/oder measures necessary to ensure a patent airway.
Harnaufbewahrung
Die Verwendung von Vesicare wie andere Antimuskarin -Arzneimittel bei Patienten mit klinisch signifikanter Obstruktion der Blasenauslass, einschließlich Patienten mit Harnretention, kann zu einer weiteren Harnretention und einer Nierenverletzung führen. Die Verwendung von Vesicare wird bei Patienten mit klinisch signifikanter Obstruktion des Blasenauslasss nicht empfohlen und bei Patienten mit Harnretention kontraindiziert [siehe Kontraindikationen ].
Magen -Darm -Störungen
Die Verwendung von Vesicare wie andere Antimuskarin -Arzneimittel bei Patienten mit Erkrankungen, die mit einer verminderten Magen -Darm -Motilität verbunden sind, kann zu einer weiteren verringerten Magen -Darm -Motilität führen. Vesicare ist bei Patienten mit Magenretention kontraindiziert [siehe Kontraindikationen ]. The use of Vesicare is not recommended in patients with conditions associated with deCreased gastrointestinal motility.
Effekte des Zentralnervensystems
Vesicare is associated with antimuscarinic central nervous system (CNS) adverse reactions [see Nebenwirkungen ]. A variety of CNS antimuscarinic adverse reactions have been repoderted including Kopfschmerzen Verwirrung Halluzinations Und somnolence. Monitoder patients foder signs of antimuscarinic CNS adverse reactions particularly after beginning treatment oder inCreasing the dose. Advise patients not to drive oder operate heavy machinery until they know how Vesicare affects them. If a patient experiences antimuscarinic CNS adverse reactions consider dose reduction oder drug discontinuation.
Kontrolliertes Glaukom mit schmalem Winkel
Vesicare should be used with caution in patients being treated foder narrow-angle Glaukom [see Kontraindikationen ].
QT -Verlängerung bei Patienten mit einem hohen Risiko einer QT -Verlängerung
In einer Untersuchung der Wirkung von Solifenacin -Succinat auf das QT -Intervall bei 76 gesunden Frauen [siehe Klinische Pharmakologie ] Solifenacin Succinat 30 mg (dreimal die größte maximal empfohlene Dosis bei erwachsenen Patienten) war mit einer mittleren Zunahme des von Fridericia korrigierten QT-Intervalls von 8 ms (90% CI 4 13) verbunden. Der QT -Verlängerungseffekt erschien bei Solifenacin -Succinat 10 mg weniger als bei Solifenacin -Succinat 30 mg und die Wirkung von Solifenacin -Succinat 30 mg erschien nicht so groß wie der der positiven Kontrollmoxifloxacin in seiner therapeutischen Dosis.
Die Verwendung von Vesicare wird bei Patienten mit hohem QT -Verlängerungsrisiko nicht empfohlen, einschließlich Patienten mit einer bekannten Anamnese der QT -Verlängerung und Patienten, die Medikamente einnehmen, die bekanntermaßen das QT -Intervall verlängern.
Patientenberatungsinformationen
Raten Sie dem Patienten, die von der FDA zugelassene Patientenkennzeichnung zu lesen ( Patienteninformationen ).
Angioödem und anaphylaktische Reaktionen
Informieren Sie Patienten, dass Angioödeme und anaphylaktische Reaktionen bei Patienten mit Vesicare berichtet wurden. Angioödeme und anaphylaktische Reaktionen können lebensbedrohlich sein. Raten Sie den Patienten, die Vesicare -Therapie unverzüglich abzubrechen und sofort Aufmerksamkeit zu suchen, wenn sie ein Ödeme der Zunge oder des Laryngopharynx oder der Atmung von Schwierigkeiten haben [siehe Kontraindikationen Und Warnungen und Vorsichtsmaßnahmen ].
Harnaufbewahrung
Informieren Sie die Patienten, dass Vesicare bei Patienten mit Erkrankungen im Zusammenhang mit der Obstruktion der Blasenauslass eine Harnretention verursachen kann [siehe Warnungen und Vorsichtsmaßnahmen ].
Magen -Darm -Störungen
Die Patienten darüber informieren, dass Vesicare bei Patienten mit einer verminderten Magen -Darm -Motilität eine weitere Verringerung der Magen -Darm -Motilität bei Patienten verursachen kann. Vesicare wurde mit Verstopfung und trockenem Mund verbunden. Raten Sie den Patienten, ihre Gesundheitsdienstleister zu kontaktieren, wenn sie schwere Bauchschmerzen haben oder 3 oder mehr Tage verstopft werden [siehe Warnungen und Vorsichtsmaßnahmen ].
Effekte des Zentralnervensystems
Weil Vesicare wie andere antimuskarinische Wirkstoffe Auswirkungen des Zentralnervensystems verursachen oder den Patienten verleumdet haben Warnungen und Vorsichtsmaßnahmen ].
Schmalwinkelglaukom
Informieren Sie die Patienten, dass Vesicare wie andere Antimuskarinik bei Patienten mit Schmalwinkelglaukom eine Verschlechterung des Glaukomzustands verursachen kann [siehe Warnungen und Vorsichtsmaßnahmen ].
Trockene Haut
Informieren Sie Patienten, dass Vesicare wie andere Antimuskarinik aufgrund eines verminderten Schwitzenes trockene Haut verursachen kann. Wärmefestigkeit aufgrund eines verminderten Schwitzenes kann auftreten, wenn Vesicare in einer heißen Umgebung verwendet wird [siehe Nebenwirkungen ].
Nichtklinische Toxikologie
Karzinogenese -Mutagenese -Beeinträchtigung der Fruchtbarkeit
No increase in tumors was found following the administration of solifenacin succinate to male and female mice for 104 weeks at doses up to 200 mg/kg/day (5 and 9 times respectively of the exposure at the maximum recommended human dose [MRHD] of 10 mg) and male and female rats for 104 weeks at doses up to 20 and 15 mg/kg/day respectively ( <1 times the exposure at the MRHD).
Solifenacin Succinat war in der nicht mutagenisch in vitro Salmonella Typhimurium oder Sie zeigten Chill mikrobieller Mutagenitätstest oder chromosomaler Aberrationstest bei menschlichen peripheren Blutlymphozyten mit oder ohne metabolische Aktivierung oder in der vergeblich Mikronukleus -Test bei Ratten.
Solifenacin -Succinat hatte keinen Einfluss auf die Fertilität der Fortpflanzungsfunktion oder die frühe embryonale Entwicklung des Fötus bei männlichen und weiblichen Mäusen, die mit 250 mg/kg/Tag (13 -mal der Exposition am MRHD) von Solifenacin -Succinat und bei männlichen Ratten, die mit 50 mg/kg/Tag behandelt wurden, behandelt wurden ((mit 50 mg/kg/kg) (Tag (( <1 times the exposure at the MRHD) Und female rats treated with 100 mg/kg/day (1.7 times the exposure at the MRHD) of Solifenacs Succinat.
Verwendung in bestimmten Populationen
Schwangerschaft
Risikozusammenfassung
Es gibt keine Studien mit der Verwendung von Solifenacin-Succinat bei schwangeren Frauen, um ein drogenassoziiertes Risiko von schwerwiegenden Geburtsfehlern oder unerwünschten Ergebnissen der Mutter oder des Fötus zu informieren. In tierischen Fortpflanzungsstudien mit oraler Verabreichung von Solifenacin -Succinat an schwangere Mäuse während des Zeitraums der Organogenese in einer Dosis wurden keine unerwünschten Entwicklungsergebnisse beobachtet, was zu einer 1,2 -fachen systemischen Exposition bei der maximal empfohlenen Humandosis (MRHD) von 10 mg/Tag führte. Die Verabreichung von Dosen 3,6 -mal und größer als die MRHD während der Organogenese führte jedoch zu mütterlichen Toxizität bei schwangeren Mäusen und führte zu einer Entwicklungstoxizität und einer verringerten Körpergewichte des fetalen Körpers bei Nachkommen [siehe Daten ].
In der US-allgemeinen Bevölkerung beträgt das geschätzte Hintergrundrisiko für größere Geburtsfehler oder eine Fehlgeburt bei klinisch anerkannten Schwangerschaften 2-4% bzw. 15 bis 20%.
Daten
Tierdaten
Mündliche Verabreichung von 14 C-Solifenacin-Succinat an schwangere Mäuse führte zur Gewinnung von Radiolabel im Fötus, was darauf hinweist, dass Solifenacin-verwandtes Produkt die Plazentasperre überqueren kann. Bei schwangerer Mäuseverabreichung von Solifenacin -Succinat bei einer Dosis von 250 mg/kg/Tag (NULL,9 -fache der systemischen Exposition bei der MRHD von 10 mg) führte zu einer erhöhten Inzidenz von Gaumenspalten und einer erhöhten Letalität der Mutter. Die Verabreichung von Solifenacin -Succinat an schwangere Mäuse während der Organogenese bei mehr oder gleich 3,6 -mal (100 mg/kg/Tag und größer). Die systemische Exposition am MRHD führte zu verringertem Körpergewicht der Fötus und einer verringerten Körpergewichtszunahme der Mutter. Bei Feten von schwangeren Mäusen, die mit Solifenacin-Succinat in einer Dosis von 30 mg/kg/Tag (NULL,2-fache der systemischen Exposition am MRHD), wurden keine Embryo-fetale Toxizität oder Teratogenität beobachtet. Verabreichung von Solifenacin Succinat an schwangere Ratten und Kaninchen bei einer Dosis von 50 mg/kg/Tag ( <1 times Und 1.8 times the systemic exposure at the MRHD respectively) resulted in no findings of embryo-fetal toxicity. Oral pre- Und post-natal administration of Solifenacs Succinat at 100 mg/kg/day (3.6 times the systemic exposure at the MRHD) during the period of oderganogenesis through weaning resulted in reduced peripartum Und postnatal survival reduced body weight gain by the pups Und delayed physical development (eye opening Und vaginal patency). An inCrease in the percentage of male offspring was also observed in litters from offspring (F2 generation) exposed to maternal doses of 250 mg/kg/day. There were no effects on natural delivery in mice treated with 1.2 times (30 mg/kg/day) the expected systemic exposure at the MRHD.
Stillzeit
Risikozusammenfassung
Es gibt keine Informationen über das Vorhandensein von Solifenacin in der Muttermilch die Auswirkungen auf das gestillte Kind oder die Auswirkungen auf die Milchproduktion. Solifenacin ist in Mausmilch vorhanden [siehe Daten ]. When a drug is present in animal milk it is likely that the drug will be present in human milk. The developmental Und health benefits of breastfeeding should be considered along with the mother’s clinical need foder Vesicare Und any potential adverse effects on the breastfed child from Vesicare oder from the underlying maternal condition.
Daten
Tierdaten
Mündliche Verabreichung von 14 C-Solifenacin-Succinat an stillende Mäuse führte zur Wiederherstellung der Radioaktivität in der Muttermilch. Laktierende weibliche Mäuse, oral verabreichte Solifenacin -Succinat in einer maternal giftigen Dosis von 100 mg/kg/Tag (NULL,6 -fache der systemischen Exposition am MRHD) hatten eine erhöhte postpartale Puppe -Sterblichkeitswelpe mit reduziertem Körpergewicht oder Verzögerungen bei der Reflex- und körperlichen Entwicklung. Welpen aus laktierenden Dämmen, die mündlich verabreicht wurden, haben Solifenacin -Succinat in einer Dosis von 30 mg/kg/Tag (NULL,2 -mal die systemische Exposition am MRHD) keine erkennbaren nachteiligen Befunde. Die Konzentrationen von Solifenacin in Tiermilch prognostizieren nicht unbedingt die Konzentration von Arzneimitteln in der Muttermilch.
Pädiatrische Verwendung
Die Sicherheit und Wirksamkeit von Vesicare -Tabletten wurde bei pädiatrischen Patienten nicht festgestellt.
Geriatrische Verwendung
In placebokontrollierten klinischen Studien wurden zwischen geriatrischen Patienten (623 Patienten ≥ 65 Jahre und 189 Patienten ≥ 75 Jahre) und jüngeren erwachsenen Patienten (1188 Patienten ≥ 65 Jahre und 189 Patienten ≥ 75 Jahre) ähnliche Sicherheit und Wirksamkeit beobachtet <65 years) treated with Vesicare [see Klinische Pharmakologie ].
Nierenbehinderung
Solifenacin -Plasmakonzentrationen sind bei Patienten mit schwerer Nierenbeeinträchtigung im Vergleich zu Probanden mit normaler Nierenfunktion größer [siehe Klinische Pharmakologie ]. Because inCreased solifenacin plasma concentrations inCrease the risk of antimuscarinic adverse reactions the maximum recommended dose of Vesicare in patients with severe renal impairment (CL Cr <30 mL/min/1.73 m 2 ) ist 5 mg einmal täglich [siehe Dosierung und Verwaltung ]. The recommended dose in patients with mild oder moderate renal impairment is the same as in patients with nodermal renal function.
Hepatische Beeinträchtigung
Solifenacin -Plasmakonzentrationen sind bei Patienten mit mittelschwerer Leberbeeinträchtigungen im Vergleich zu Probanden mit normaler Leberfunktion höher [siehe Klinische Pharmakologie ]. Because inCreased solifenacin plasma concentrations inCrease the risk of antimuscarinic adverse reactions the maximum recommended dose of Vesicare in patients with moderate hepatic impairment (Child-Pugh B) ist 5 mg einmal täglich [siehe Dosierung und Verwaltung ] und Vesicare wird nicht für die Verwendung bei Patienten mit schwerer Leberbeeinträchtigung (Kinder-Pugh C) empfohlen.
Geschlecht
Die Pharmakokinetik von Solifenacin wird nicht wesentlich vom Geschlecht beeinflusst.
Überdosierungsinformationen für Vesicare
Überdosierung mit Vesicare kann möglicherweise zu schweren antimuskarinischen Wirkungen führen und sollte entsprechend behandelt werden. Die höchste Dosis in einer versehentlichen Überdosis von Solifenacin-Succinat betrug 280 mg (28-fache der maximalen Dosierung) in einem Zeitraum von 5 Stunden. Dieser Fall war mit Änderungen des geistigen Status verbunden. Einige Fälle berichteten über eine Abnahme des Bewusstseinsgrades.
Unerträgliche antimuskarinische Nebenwirkungen (fixierte und erweiterte Pupillen verschwommenes Sehversagen von Fersen-Toe-Prüfungszittern und trockene Haut) traten am Tag 3 bei normalen Freiwilligen auf, die täglich 50 mg (5-fache der maximal empfohlenen therapeutischen Dosis) einnahmen und innerhalb von 7 Tagen nach Absetzen des Drogens gelöst wurden.
Im Falle einer Überdosierung mit Vesicare -Behandlung mit Magenspülung und angemessenen unterstützenden Maßnahmen. Die EKG -Überwachung wird ebenfalls empfohlen.
Kontraindikationen für Vesicare
Vesicare is contraindicated in patients:
- Mit Harnaufbewahrung [siehe Warnungen und Vorsichtsmaßnahmen ]
- Mit Magenretention [siehe Warnungen und Vorsichtsmaßnahmen ]
- Mit unkontrolliertem Schmalwinkelglaukom [siehe Warnungen und Vorsichtsmaßnahmen ] Und
- Die Überempfindlichkeit gegenüber Solifenacin -Succinat oder den inaktiven Zutaten in Vesicare gezeigt haben. Berichtete Nebenwirkungen umfassten Anaphylaxie und Angioödem [siehe Nebenwirkungen ].
Klinische Pharmakologie foder Vesicare
Wirkungsmechanismus
Solifenacin ist ein wettbewerbsfähiger Muskarinrezeptor -Antagonist. Muskarinrezeptoren spielen eine wichtige Rolle bei mehreren wichtigen cholinergisch vermittelten Funktionen, einschließlich Kontraktionen der glatten Harnblasen -Muskulatur.
Pharmakodynamik
Herzelektrophysiologie
Der Effekt von 10 mg und 30 mg Solifenacin-Succinat (dreifache maximal empfohlener Dosis) auf das QT Warnungen und Vorsichtsmaßnahmen ]. After receiving placebo Und moxifloxacin sequentially subjects were rUndomized to one of two treatment groups. One group (n=51) completed 3 additional sequential periods of dosing with Solifenacs Succinat 10 20 Und 30 mg while the second group (n=25) in parallel completed a sequence of placebo Und moxifloxacin. Study subjects were female volunteers aged 19 to 79 years. The 30 mg dose of Solifenacs Succinat (three times the highest recommended dose) was chosen foder use in this study because this dose results in a solifenacin exposure that covers those observed upon coadministration of 10 mg Vesicare with strong CYP3A4 inhibitoders (e.g. ketoconazole 400 mg). Due to the sequential dose escalating nature of the study baseline ECG measurements were separated from the final QT assessment (of the 30 mg dose level) by 33 days.
Der mittlere Unterschied zur Grundlinie der Herzfrequenz im Zusammenhang mit den 10 und 30 mg Dosen von Solifenacin -Succinat im Vergleich zu Placebo betrug -2 bzw. 0 Schläge/Minute. Da ein signifikanter Periodeneffekt auf QTC beobachtet wurde, wurden die QTC-Effekte unter Verwendung des parallelen Placebo-Kontrollarms an und nicht die vorgegebene Intra-Patient-Analyse analysiert. Repräsentative Ergebnisse sind in Tabelle 2 gezeigt.
Tabelle 2: QTC -Änderungen in MSEC (90% CI) von der Grundlinie bei TMAX (im Vergleich zu Placebo) 1
| Drogen/Dosis | FRIERICIA -Methode (unter Verwendung des mittleren Unterschieds) |
| Solifenacin Succinat 10 mg | 2 (-3 6) |
| Solifenacin Succinat 30 mg | 8 (4 13) |
| 1. Die angezeigten Ergebnisse sind diejenigen, die aus dem parallelen Entwurfsteil der Studie abgeleitet sind, und stellen den Vergleich der Gruppe 1 mit zeitlich abgestimmten Placebo-Effekten in Gruppe 2 dar. |
Moxifloxacin wurde als positive Kontrolle in diese Studie einbezogen und angesichts der Länge der Studie wurde der Effekt auf das QT -Intervall in 3 verschiedenen Sitzungen bewertet. Die placebo-subtrahierten mittleren Veränderungen (90% CI) in QTCF für Moxifloxacin in den drei Sitzungen betrugen 11 (7 14) 12 (8 17) bzw. 16 (12 21).
Der QT -Intervall -Verlängerungseffekt der höchsten Solifenacin -Succin -Dosis (dreifache maximaler therapeutischer Dosis) war nicht so groß wie der des positiven Kontroll -Moxifloxacin bei seiner empfohlenen Dosis. Die Konfidenzintervalle überlappten sich jedoch und diese Studie wurde nicht so konzipiert, dass sie direkte statistische Schlussfolgerungen zwischen den Arzneimitteln oder den Dosisspiegeln ziehen.
Pharmakokinetik
Absorption
Nach oraler Verabreichung von Vesicare in gesunden Freiwilligen wurden die Peak-Plasma-Konzentrationen (CMAX) von Solifenacin innerhalb von 3 bis 8 Stunden nach der Verabreichung erreicht und im stationären Zustand lag zwischen 32,3 und 62,9 ng/ml für 5 bzw. 10 mg Vesicare-Tablets. Die absolute Bioverfügbarkeit von Solifenacin beträgt ungefähr 90%, wobei die Plasmakonzentrationen von Solifenacin proportional zur verabreichten Dosis sind.
Wirkung von Nahrung
Vesicare may be administered without regard to meals. A single 10 mg dose administration of Vesicare with food inCreased Cmax Und AUC of solifenacin by 4% Und 3% respectively.
Verteilung
Solifenac's beträgt ungefähr 98% ( vergeblich ) gebunden an menschliche Plasmaproteine, hauptsächlich an α1-Säure-Glykoprotein. Solifenacin ist stark auf Nicht-CN-Gewebe mit einem mittleren Verteilungsvolumen von 600 L. stationärem stationärem Verteilungsvolumen verteilt.
Beseitigung
Die Eliminierungs-Halbwertszeit (T1/2) von Solifenacin nach chronischer Dosierung beträgt ungefähr 45-68 Stunden.
Stoffwechsel
Solifenacin wird in der Leber ausgiebig metabolisiert. Der primäre Weg zur Eliminierung ist CYP3A4; Allerdings existieren alternative Stoffwechselwege. Die primären Stoffwechselwege von Solifenacin sind die N-Oxidation des Chinuclidinrings und die 4R-Hydroxylierung des Tetrahydroischinolin-Rings. Ein pharmakologisch aktiver Metaboliten (4R-Hydroxy-Solifenacin), der bei niedrigen Konzentrationen auftritt und wahrscheinlich nicht signifikant zur klinischen Aktivität beiträgt, und drei pharmakologisch inaktive Metaboliten (N-Glucuronid und das N-Oxid und 4R-Hydroxy-N-Oxid von Solifenacin) wurden nach einer Dosierung von Selifen im menschlichen Plasma in Human-Plasma gefunden.
Ausscheidung
Nach der Verabreichung von 10 mg von 14 C-Solifenacin Succinat an gesunde Freiwillige 69% der Radioaktivität wurden im Urin und 23% in den Kot über 26 Tage gewonnen. Weniger als 15% (als Mittelwert) der Dosis wurden im Urin als intaktes Solifenacin gewonnen. Die im Urin identifizierten Hauptmetaboliten waren N-Oxid von Solifenacin 4R-Hydroxy Solifenacin und 4R-Hydroxy-N-Oxid von Solifenacin und in Kot 4R-Hydroxy Solifenacin.
Spezifische Populationen
Geriatrische Patienten
Mehrere Dosisstudien zu Vesicare bei geriatrischen Freiwilligen (65 bis 80 Jahre) zeigten, dass Cmax AUC- und T1/2-Werte von Solifenacin im Vergleich zu den jüngeren Freiwilligen für erwachsene erwachsene (18 bis 55 Jahre) um 20 bis 25% höher waren. [sehen Verwendung in bestimmten Populationen ].
Patienten mit Nierenbehinderung
In Studien mit Solifenacin-Succinat 10 mg gab Verwendung in bestimmten Populationen ].
Patienten mit Leberbehinderung
In Studien mit Solifenacin-Succinat 10 mg gab es bei Patienten mit mittelschwerer Leberbeeinträchtigung im Vergleich zu Probanden mit normaler Leberfunktion eine 2-fache Zunahme des T1/2 und bei Patienten mit mittelschwerer Leberbeeinträchtigungen um 35% Verwendung in bestimmten Populationen ]. Vesicare has not been studied in patients with severe hepatic impairment.
Arzneimittelinteraktionsstudien
Starke CYP3A4 -Inhibitoren
In einer Crossover-Studie nach Blockade von CYP3A4 durch gleichzeitige Verabreichung des starken CYP3A4-Inhibitors Ketoconazol 400 mg einmal täglich stieg der mittlere Cmax und die AUC von Solifenacin um 1,5 bzw. 2,7-fach [siehe Dosierung und Verwaltung Und Wechselwirkungen mit Arzneimitteln ].
Soll ich Wellbutrin mit Essen nehmen
CYP3A4 -Induktoren
Da Solifenacin ein Substrat von CYP3A4 -Induktoren von CYP3A4 ist, kann die Konzentration von Solifenacin verringern.
Warfarin
In einer Crossover -Studie erhielten die Probanden am 10. Dosierungsdosis von 25 mg eine einzelne orale Dosis von Warfarin 25 mg mit 2 mg SOLIFENACIN -Succinat oder einmal täglich für 16 Tage. Für R-Warfarin, als es mit Solifenacin-Succinat zusammengefasst wurde, stieg der mittlere Cmax um 3% und AUC um 2% ab. Für S-Warfarin, wenn es mit Solifenacin zusammenfasst, erhöhte sich der mittlere Cmax und AUC um 5% bzw. 1%.
Orale Kontrazeptiva
In einer Crossover -Studie erhielten Probanden 2 Zyklen von 21 Tagen oraler Kontrazeptiva, die 30 ug Ethinyl -Östradiol und 150 ug Levonorgestel enthielten. Während des zweiten Zyklus erhielten die Probanden zusätzliche Solifenacin -Succinate 10 mg oder passendes Placebo einmal täglich für 10 Tage ab 12 Tagen th Tag des Erhalts von oralen Kontrazeptiva. Für Ethinyl -Östradiol, wenn es mit Solifenacin verabreicht wurde, erhöhte sich der mittlere Cmax und AUC um 2% bzw. 3%. Für Levonorgestrel, wenn es mit Solifenacin verabreicht wurde, sanken die mittleren Cmax und AUC um 1%.
Digoxin
In einer Crossover -Studie erhielten die Probanden Digoxin (Ladendosis von 0,25 mg am Tag 1, gefolgt von 0,125 mg von den Tagen 2 bis 8) 8 Tage lang. Nachfolgend erhielten sie Solifenacin -Succinat 10 mg oder passendes Placebo mit Digoxin 0,125 mg für weitere 10 Tage. Wenn Digoxin mit Solifenacin -Succinat zusammengefasst wurde, stieg der mittlere Cmax und AUC um 13% bzw. 4%.
Medikamente durch Cytochrom -P450 -Enzyme metabolisiert
In vitro Studien zeigten, dass Solifenacin bei therapeutischen Konzentrationen CYP1A1/2 2C9 2C19 2D6 oder 3A4, die aus menschlichen Lebermikrosomen stammen, nicht hemmt.
Tiertoxikologie und/oder Pharmakologie
Juvenile Animal Toxicology Daten
Dosisbedingte erhöhte Mortalität ohne vorhergehende klinische Anzeichen traten bei jugendlichen Mäusen auf, die vor dem Absetzen von Tag 10 12 Wochen nach der Geburt mit Dosen behandelt wurden, die einen pharmakologischen Effekt erzielten. Die Tiere, die ab dem 10. Tag abgebildet wurden, hatten eine höhere Mortalität als die Mortalität bei erwachsenen Mäusen. Bei jugendlichen Mäusen, die nach einer Dauer von 4 Wochen vom 21. Tag nach der Geburt nach einer Dauer von 4 Wochen behandelt wurden, wurde keine erhöhte Häufigkeit der Mortalität beobachtet. Die Plasmaexposition am postnatalen Tag 10 war höher als bei erwachsenen Mäusen; Die systemische Exposition am postnatalen Tag 21 war vergleichbar mit der systemischen Exposition bei erwachsenen Mäusen.
Klinische Studien
Vesicare was evaluated in four twelve-week double-blind rUndomized placebo-controlled parallel group multicenter clinical trials foder the treatment of overactive Blase in adult patients having symptoms of urinary frequency urgency Und/oder urge oder mixed incontinence (with a predominance of urge). Entry Criteria required that patients have symptoms of overactive Blase foder ≥ 3 months duration. These studies involved 3027 patients (1811 on Vesicare Und 1216 on placebo) Und approximately 90% of these patients completed the 12-week studies. Two of the four studies evaluated the 5 Und 10 mg Vesicare doses (Studies 1 Und 2) Und the other two evaluated only the 10 mg dose (Studies 3 Und 4). All patients completing the 12-week studies were eligible to enter an open-label long-term extension study (Study 5) Und 81% of patients enrolling completed the additional 40-week treatment period. The majoderity of patients were Caucasian (93%) Und female (80%) with a mean age of 58 years.
Der primäre Endpunkt in allen vier Versuchen war die mittlere Änderung von Ausgangswert auf 12 Wochen der Anzahl der Mikten/24 Stunden. Die sekundären Endpunkte umfassten die mittlere Änderung von der Ausgangslinie auf 12 Wochen in der Anzahl der Inkontinenz -Episoden/24 Stunden und der mittleren Volumen, die pro Miktion stimmte.
Die Wirksamkeit von Vesicare war in Bezug auf die Altersgruppen und das Geschlecht der Patienten ähnlich. Die mittlere Verringerung der Anzahl der Miktionen pro 24 Stunden war bei Vesicare 5 mg (NULL,3; P) signifikant höher <0.001) Und Vesicare 10 mg (2.7; p < 0.001) compared to placebo (1.4). The mean reduction in the number of incontinence episodes per 24 hours was significantly greater with Vesicare 5 mg (1.5; p < 0.001) Und Vesicare 10 mg (1.8; p < 0.001) treatment groups compared to the placebo treatment group (1.1). The mean inCrease in the volume voided per micturition was significantly greater with Vesicare 5 mg (32.3 mL; p < 0.001) Und Vesicare 10 mg (42.5 mL; p < 0.001) compared with placebo (8.5 mL).
Die Ergebnisse für die primären und sekundären Endpunkte in den vier einzelnen 12-wöchigen klinischen Studien von Vesicare sind in den Tabellen 3 bis 6 angegeben.
Tabelle 3: Mittlere Änderungen von Grundlinie bis Woche 12 in Wirksamkeitsendpunkten in Studie 1
| Parameter | Placebo (n = 253) Mean (SE) | Vesicare 5 mg (N = 266) Mean (SE) | Vesicare 10 mg (N = 264) Mean (SE) |
| Harnfrequenz (Anzahl der Miktionen/24 Stunden) 1 | |||
| 12,2 (NULL,26) | 12,1 (NULL,24) | 12,3 (NULL,24) | |
| 1,2 (NULL,21) | 2,2 (NULL,18) | 2,6 (NULL,20) | |
| <0.001 | <0.001 | ||
| Anzahl der Inkontinenz -Episoden/24 Stunden 2 | |||
| 2,7 (NULL,23) | 2,6 (NULL,22) | 2,6 (NULL,23) | |
| 0,8 (NULL,18) | 1,4 (NULL,15) | 1,5 (NULL,18) | |
| 2,7 (NULL,23) | <0.01 | <0.01 | |
| Volumen stimmig pro Miktion [ML] 2 | |||
| 143.8 (NULL,37) | 149,6 (NULL,35) | 147,2 (NULL,15) | |
| 7.4 (NULL,28) | 32,9 (NULL,92) | 39.2 (3.11) | |
| <0.001 | <0.001 | ||
| 1. Primärer Endpunkt 2. Sekundärer Endpunkt |
Tabelle 4: Mittlere Änderungen von Grundlinie bis Woche 12 in Wirksamkeitsendpunkten in Studie 2
| Parameter | Placebo (n = 281) Mean (SE) | Vesicare 5 mg (N = 286) Mean (SE) | Vesicare 10 mg (N = 290) Mean (SE) |
| Harnfrequenz (Anzahl der Miktionen/24 Stunden) 1 | |||
| 12,3 (NULL,23) | 12,1 (NULL,23) | 12,1 (NULL,21) | |
| 1,7 (NULL,19) | 2,4 (NULL,17) | 2,9 (NULL,18) | |
| <0.001 | <0.001 | ||
| Anzahl der Inkontinenz -Episoden/24 Stunden 2 | |||
| 3,2 (NULL,24) | 2,6 (NULL,18) | 2,8 (NULL,20) | |
| 1,3 (NULL,19) | 1,6 (NULL,16) | 1,6 (NULL,18) | |
| <0.01 | 0.016 | ||
| Volumen stimmig pro Miktion [ML] 2 | |||
| 147,2 (3.18) | 148,5 (NULL,16) | 145.9 (NULL,42) | |
| 11.3 (NULL,52) | 31.8 (NULL,94) | 36.6 (3.04) | |
| <0.001 | <0.001 | ||
| 1. Primärer Endpunkt 2. Sekundärer Endpunkt |
Tabelle 5: Mittlere Änderungen von Grundlinie bis Woche 12 in Wirksamkeitsendpunkten in Studie 3
| Parameter | Placebo (n = 309) Mean (SE) | Vesicare 10 mg (N = 306) Mean (SE) |
| Harnfrequenz (Anzahl der Miktionen/24 Stunden) 1 | ||
| 11,5 (NULL,18) | 11,7 (NULL,18) | |
| 1,5 (NULL,15) | 3,0 (NULL,15) | |
| <0.001 | ||
| Anzahl der Inkontinenz -Episoden/24 Stunden 2 | ||
| 3,0 (NULL,20) | 3,1 (NULL,22) | |
| 1,1 (NULL,16) | 2,0 (NULL,19) | |
| <0.001 | ||
| Volumen stimmig pro Miktion [ML] 2 | ||
| 190.3 (5.48) | 183,5 (NULL,97) | |
| 2.7 (3.15) | 47,2 (NULL,79) | |
| <0.001 | ||
| 1. Primärer Endpunkt 2. Sekundärer Endpunkt |
Tabelle 6: Mittlere Änderungen von Grundlinie bis Woche 12 in Wirksamkeitsendpunkten in Studie 4
| Parameter | Placebo (n = 295) Mean (SE) | Vesicare 10 mg (N = 298) Mean (SE) |
| Harnfrequenz (Anzahl der Miktionen/24 Stunden) 1 | ||
| 11,8 (NULL,18) | 11,5 (NULL,18) | |
| 1,3 (NULL,16) | 2,4 (NULL,15) | |
| <0.001 | ||
| Anzahl der Inkontinenz -Episoden/24 Stunden 2 | ||
| 2,9 (NULL,18) | 2,9 (NULL,17) | |
| 1,2 (NULL,15) | 2,0 (NULL,15) | |
| <0.001 | ||
| Volumen stimmig pro Miktion [ML] 2 | ||
| 175.7 (NULL,44) | 174.1 (NULL,15) | |
| 13.0 (NULL,45) | 46,4 (NULL,73) | |
| <0.001 | ||
| 1. Primärer Endpunkt 2. Sekundärer Endpunkt |
Patienteninformationen für Vesicare
Vesicare ®
(Ves-ih-care)
(Solifenacin Succinat) Tablette
Lesen Sie die Patienteninformationen, die mit Vesicare einhergehen ® Bevor Sie anfangen, es zu nehmen, und jedes Mal, wenn Sie eine Nachfüllung erhalten. Es kann neue Informationen geben. Diese Broschüre tritt nicht mit Ihrem Arzt über Ihre Krankheit oder Behandlung ein.
Was ist Vesicare?
Vesicare is a presCription medicine foder Erwachsene Wird verwendet, um die folgenden Symptome aufgrund einer überaktiven Erkrankung zu behandeln Blase:
- Urinkontinenz drängen: Ein starkes Bedürfnis, mit undichten oder Benetzungsunfällen zu urinieren
- Dringlichkeit: Ein starkes Bedürfnis, sofort zu urinieren
- Frequenz: oft urinieren
Vesicare 5 mg Und 10 mg tablets are not approved foder use in children.
Wer sollte Vesicare nicht nehmen?
Nicht Nehmen Sie Vesicare, wenn Sie:
- sind nicht in der Lage, Ihre Blase zu leeren (Harnaufbewahrung)
- Verzögert oder langsame Entleerung Ihres Magens (Magenretention)
- ein Augenproblem haben, das als unkontrollierter schmaler Winkel bezeichnet wird Glaukom
- sind allergisch gegen Solifenacin Succinate oder einen der Zutaten in Vesicare. Eine vollständige Liste von Zutaten finden Sie im Ende dieser Broschüre.
Was soll ich meinem Arzt sagen, bevor ich Vesicare einnehme?
Bevor Sie Vesicare nehmen, sagen Sie Ihrem Arzt, wenn Sie:
- Haben Sie Magen- oder Darmprobleme oder Probleme mit Verstopfung
- Haben Sie Probleme beim Entleeren Ihrer Blase oder Sie haben einen schwachen Urinstrom
- ein Augenproblem haben, das als schmaler Winkelglaukom bezeichnet wird
- Leberprobleme haben
- Nierenprobleme haben
- haben ein seltenes Herzproblem, das als QT -Verlängerung bezeichnet wird
- sind schwanger oder planen, schwanger zu werden. Es ist nicht bekannt, ob Vesicare Ihrem ungeborenen Baby schädigen wird. Sprechen Sie mit Ihrem Arzt, wenn Sie schwanger sind oder planen, schwanger zu werden.
- stillen oder planen zu stillen. Es ist nicht bekannt, ob Vesicare in Ihre Muttermilch übergeht. Sie und Ihr Arzt sollten entscheiden, ob Sie Vesicare oder Stillen nehmen.
Erzählen Sie Ihrem Arzt von all den Medikamenten, die Sie einnehmen einschließlich verschreibungspflichtiger und nicht verschreibungspflichtiger Medikamente Vitamine und Kräuterpräparate. Vesicare kann sich auf die Art und Weise auswirken, wie andere Medikamente und andere Medikamente die Funktionsweise von Vesicare beeinflussen können.
Wie soll ich Vesicare einnehmen?
- Nehmen Sie Vesicare genau so, wie Ihr Arzt Ihnen sagt, dass Sie es nehmen sollen.
- Sie sollten 1 Mal am Tag 1 Vesicare -Tablet einnehmen.
- Sie sollten Vesicare mit Wasser nehmen und die Tablette ganz schlucken.
- Sie können Vesicare mit oder ohne Essen einnehmen.
- Wenn Sie eine Dosis Vesicare verpassen, nehmen Sie am nächsten Tag erneut Vesicare ein. Nehmen Sie am selben Tag keine 2 Dosen Vesicare.
- Wenn Sie zu viel Vesicare nehmen, rufen Sie Ihren Arzt an oder gehen Sie sofort in die nächstgelegene Notaufnahme des Krankenhauses.
Was soll ich vermeiden, während ich Vesicare einnehme?
Senna S 8.6-50 mg Tabletten
Vesicare can cause verschwommenes Sehen oder Schläfrigkeit. Nicht drive oder operate heavy machinery until you know how Vesicare affects you.
Was sind die möglichen Nebenwirkungen von Vesicare?
Vesicare kann schwerwiegende Nebenwirkungen verursachen, einschließlich:
- Schwerwiegende allergische Reaktion. Hören Sie auf, Vesicare zu nehmen, und holen Sie sich sofort medizinische Hilfe, wenn Sie:
- Nesselhautausschlag oder Schwellung
- schwerer Juckreiz
- Schwellung Ihres Gesichtsmundes oder Ihrer Zunge
- Probleme beim Atmen
Die häufigsten Nebenwirkungen von Vesicare sind:
- Trockener Mund
- Verstopfung. Call your doctoder if you get severe stomach area (abdominal) pain oder become constipated foder 3 oder modere days.
- Harnwegsinfektion
- verschwommenes Sehen
Andere Nebenwirkungen wurden mit Anticholinergika wie Vesicare beobachtet und können umfassen:
- Trockene Haut aufgrund eines verminderten Schwitzenes. Wärmeerschöpfung oder Hitzeschlag kann durch ein verringertes Schwitzen auftreten, wenn Vesicare in heißen Umgebungen verwendet wird. Symptome können ein sein:
- vermindertes Schwitzen
- Schwindel
- Müdigkeit
- Brechreiz
- Erhöhung der Körpertemperatur
Sagen Sie Ihrem Arzt, wenn Sie einen Nebeneffekt haben, der Sie stört oder der nicht verschwindet.
Dies sind nicht alle möglichen Nebenwirkungen von Vesicare. Für weitere Informationen fragen Sie Ihren Arzt oder Apotheker.
Rufen Sie Ihren Arzt an, um medizinische Beratung zu Nebenwirkungen zu erhalten. Sie können der FDA bei 1-800-FDA-1088 Nebenwirkungen melden.
Wie soll ich Vesicare aufbewahren?
- Lagern Sie Vesicare zwischen 15 ° C bis 30 ° C. Halten Sie die Flasche geschlossen.
- Werfen Sie sicher die Medizin, das veraltet ist oder nicht mehr benötigt wird.
Halten Sie Vesicare und alle Medikamente außerhalb der Reichweite der Kinder.
Allgemeine Informationen über die sichere und effektive Verwendung von Vesicare
Medikamente werden manchmal für andere Zwecke als diejenigen verschrieben, die in Flugblättern von Patienteninformationen aufgeführt sind. Verwenden Sie Vesicare nicht für eine Erkrankung, für die es nicht vorgeschrieben wurde. Geben Sie anderen Menschen keine Vesicare an, auch wenn sie die gleichen Symptome haben, die Sie haben. Es kann ihnen schaden.
Diese Broschüre fasst die wichtigsten Informationen über Vesicare zusammen. Wenn Sie weitere Informationen wünschen, sprechen Sie mit Ihrem Arzt. Sie können Ihren Arzt oder Apotheker um Informationen zu Vesicare bitten, die für Angehörige der Gesundheitsberufe geschrieben wurden.
Was sind die Zutaten in Vesicare?
Wirkstoff: Solifenacs Succinat
Inaktive Zutaten: Lactose -Monohydrat -Maisstärke Hypromellose 2910 Magnesiumstearat Talk Polyethylenglykol 8000 und Titandioxid mit gelbem Eisenoxid (5 mg Vesicare -Tablette) oder rotem Eisenoxid (10 mg Vesicare -Tablet) (10 mg Vesicare -Tablet)
Was ist eine überaktive Blase?
Überaktive Blase tritt auf, wenn Sie Ihre Blasenkontraktionen nicht kontrollieren können. Wenn diese Muskelkontraktionen zu oft auftreten oder nicht kontrolliert werden können, können Sie Symptome einer überaktiven Blase erhalten, die Harnfrequenz -Dringlichkeit und Harninkontinenz (Leckage) sind.
Diese Patienteninformationen wurden von der US -amerikanischen Food and Drug Administration zugelassen.